Zum Inhalt

Asset pricing with consumption-dividend cointegration

  • Open Access
  • 31.10.2025

Aktivieren Sie unsere intelligente Suche, um passende Fachinhalte oder Patente zu finden.

search-config
loading …
download
DOWNLOAD
print
DRUCKEN
insite
SUCHEN

Abstract

This paper develops a representative-agent model where consumption and dividends are cointegrated and examines its asset pricing implications. By specifying the dividend-consumption ratio as a Jacobi process, the model accommodates transitory deviations between dividends and consumption while keeping their ratio stationary. It also yields explicit formulas for equilibrium prices, risk-free rates, and equity premia, revealing countercyclical excess returns, plausible Sharpe ratios, and robust volatility. A calibration to historical U.S. data demonstrates the model’s capacity to match key financial moments, including the equity premium and price-dividend ratios. Overall, dividend-consumption cointegration combines tractability with explanatory power in asset pricing.

Publisher's Note

Springer Nature remains neutral with regard to jurisdictional claims in published maps and institutional affiliations.

1 Introduction

This paper develops a Lucas-type representative agent model in which consumption and dividends are cointegrated. A central challenge in consumption-based asset pricing is reconciling the long-term convergence of consumption and dividends with their divergence in short-term fluctuations. Leading models emphasize the role of persistent consumption risks or habit formation, but often abstract from the cointegrating relationship between dividends and consumption – a feature empirically documented yet theoretically underexplored.
For example, Campbell and Cochrane [14, p. 217] note that “The correlation between consumption growth and dividend growth in the model [...] is the same at all horizons, and dividends wander arbitrarily far from consumption as time passes. It would be better to make dividends and consumption cointegrated. ” Likewise, Bansal and Yaron also observe that [3, footnote 6] “The above specification models the growth rates of consumption (nondurables plus services) and dividends. Consequently, [...] consumption and dividends are not cointegrated. It is an empirical issue if these series are cointegrated or not. Additionally, these growth-rate focused models also do not consider the implications for the ratio of dividends to consumption. It is possible that confronting the model specification for consumption and dividends with these additional issues may provide further insights regarding the appropriate time-series model for them–we leave this for future research.”
In this paper, we tackle this question by developing a Lucas-type representative agent model where dividends and consumption are cointegrated, offering a framework to examine theoretical and empirical questions. Our model incorporates three essential components: (i) expected consumption growth, (ii) the relative expected growth of the dividend-consumption ratio (henceforth, the dividend share), and (iii) a term modulated by the conditional covariance between consumption and its dividend share. Importantly, stochastic deviations in dividend dynamics originate from two distinct sources: one that is perfectly correlated with consumption and another that captures idiosyncratic shocks to dividends, amplified by the volatility of the dividend share.
This model introduces three key innovations. First, we posit that the dividend share follows a stationary Jacobi diffusion process between zero and one, ensuring cointegration while accommodating stochastic deviations. This ratio governs both the dividend stream and a complementary non-dividend consumption source, generalizing the endowment economy structure. Second, we derive closed-form solutions for equilibrium asset prices, risk-free rates, and equity premia by exploiting the polynomial properties of the Jacobi process. Third, the model generates testable implications for cyclical variations in valuation ratios, excess returns, and volatility, which we calibrate to match historical moments. Thus, we provide a consumption-based model that nests cointegration into a tractable dynamic setting.
We establish equilibrium by assuming a representative agent with power utility who receives dividends along with a non-financial income stream. The asset price is obtained by computing the price-consumption function as an expectation under a change of measure, yielding a conditional quasi-CAPM (conditionally dependent) pricing representation, with time-varying betas reflecting the endogenous correlation between asset returns and consumption growth.
Theoretically, the paper characterizes asset prices and interest rates in an exchange economy in terms of the solution of an ordinary differential equation (Theorem 4). The dividend share’s stationarity ensures that dividends and consumption share a common long-term trend, while short-term dynamics allow for transient divergences. Then, Proposition 5 specifies the dividend share as a Jacobi process – mean-reverting with state-dependent volatility – and obtains the price-consumption and price-dividend ratios respectively as affine and hyperbolic functions of the dividend share. Consumption growth and volatility are countercyclical, rising when the dividend share declines, consistent with empirical patterns during economic contractions.
Empirically, the model successfully replicates salient features of U.S. financial markets. Using six parameters calibrated to match the 1930–2010 period, we generate realistic levels for the equity premium (5.0%), risk-free rate (0.6%), and Sharpe ratio (0.38), alongside countercyclical excess returns and interest rates. The price-dividend ratio exhibits stochastic variation (log standard deviation: 0.13). While consumption volatility is overestimated (4.5% vs. 2.0 – 2.2% empirically), the model captures the low-frequency oscillations of the dividend share (half-life of 19 years) and its concentration around 20% of aggregate consumption. Notably, the affine price-consumption ratio implies non-zero asset values even when dividends vanish, as non-dividend consumption sustains investor welfare – a departure from models assuming dividends as the sole income source.
These results address longstanding puzzles. The cointegration mechanism mitigates the “correlation puzzle" by allowing dividends and consumption to share long-term trends while diverging cyclically. The affine pricing kernel reconciles volatile price-dividend ratios with smooth consumption growth, circumventing the need for extreme risk aversion [14] or Epstein-Zin preferences [3]. Furthermore, the model’s closed-form solutions facilitate comparative statics: for instance, a 1-standard-deviation drop in the dividend share raises the equity premium by 1.2% and lowers the risk-free rate by 0.9%, mirroring business cycle dynamics.
In summary, the paper’s contribution is threefold: (i) introducing cointegration into a dynamic consumption-based framework, (ii) deriving closed-form solutions via polynomial processes, and (iii) empirically validating the model’s ability to match key financial moments.
The rest of the paper is organized as follows: Section 2 reviews the relevant literature, highlighting key contributions and the empirical puzzles addressed by the model. In Section 3, the model is formally introduced, detailing the consumption-dividend cointegration and the stochastic processes that govern them. Section 4 presents the general model framework, including the equilibrium conditions and pricing representations. Section 5 specializes the discussion to the parametric specification used for the calibration and defines the asset pricing moments considered. Section 6 discusses the calibration of the model, comparing its results with historical data to assess its empirical accuracy. Section 7 concludes. All proofs are in the Appendix.

2 Literature review

Consumption-based asset pricing begins with Lucas’ [32] model of an exchange economy with a representative agent, which remains the baseline for subsequent benchmarks. We build on Lucas’ economy by specifying aggregate consumption that separates dividends from a complementary source, such as labor. Like other extensions of Lucas’ model, the main motivation is to overcome empirical challenges such as the equity-premium [33] and related puzzles. The voluminous literature on empirical puzzles is discussed extensively in the survey [13].
Bansal and Yaron [3]1 offer a consumption-based model that reproduces several asset-pricing moments by modeling consumption and dividends separately, introducing a long-run predictable component and stochastic volatility. [9] propose a continuous time version of [3], with the addition of hidden states jump processes to explain changes in the implied-volatility curve after market crashes. [14] propose an external-habit model, which implies time-varying effective risk-aversion to reproduce fluctuations in the price-dividend ratio. As in [3], consumption and dividends are not cointegrated, though the authors of both papers advocate for an extension of their models in this direction.
Another stream of literature ([7, 37, 25, 40]) emphasizes the role of variable rare disasters – sudden unexpected crashes in economic fundamentals – in explaining asset pricing puzzles, such as the equity premium, stock volatility, and predictability in excess returns. Longstaff and Piazzesi [31] also include jumps in the dividend share. However, rare disaster models typically do not specify cointegrated dividends and consumption.
Other attempts to model the dividend share as a stationary process include [31], where the dividend share is the exponential of a square-root diffusion with jumps. It calibrates the equity premium to \(2.26\%\) with risk aversion of 5, generating the risk-free rate puzzle, i.e. obtaining a risk-free rate of more than \(10\%\). The advantage of their approach is that the affine property of the square-root diffusion yields moments in closed form. [34] and [39] introduce a mean-reverting dynamics for the dividend fraction of consumption and explore the capability of the ratio of labor income to consumption of reproducing predictability in the cross-section of stock returns (see also [18] for an analogous study in discrete-time).
Bansal et al. [4] show that the cointegration relation between dividends and consumption provides a measure of long-run risks in dividends. Their evidence highlights the importance of accounting for cointegration in explaining expected equity returns across different investment horizons, and [2, 15] provide evidence of cointegration.
We model the dividend share with a Jacobi process, a tractable polynomial diffusion [23, 24] supported in (0,1), hence a natural tool to describe a fraction, as in the model of segmentation and integration considered in [26]. Unlike [26], we accommodate non-zero correlation between the dividend share and aggregate consumption.

3 Model

The economy has a representative agent who consumes an asset’s dividend and another non-financial source of income. The aggregate consumption rate \(C_t\) and dividend-share of consumption \(U_t\) follow the joint diffusion
$$\begin{aligned} \frac{dC_t}{C_t}&= \mu (U_t)\,dt + \sigma (U_t)\,dW^C_t,\end{aligned}$$
(1)
$$\begin{aligned} dU_t&= b(U_t)\,dt + v(U_t)\,d{\overline{W}}_t,\end{aligned}$$
(2)
$$\begin{aligned} d{\overline{W}}_t&:= \rho (U_t)\, dW^C_t + \sqrt{1-\rho (U_t)^2}\, dW^U_t \end{aligned}$$
(3)
where \(W^C\) and \(W^U\) are independent Brownian motions, the diffusion \(U_t\) is supported on the unit interval \(I=(0,1)\), and \(\mu , b, \sigma , v :I\rightarrow \mathbb {R}\), and \(\rho :I\rightarrow (-1,1)\). By construction, \({\overline{W}}\) is a Brownian motion that has instantaneous correlation \(\rho (U_t)\) with \(W^C\). The dividend rate is defined by
$$\begin{aligned} D_t = C_t\cdot U_t ,\end{aligned}$$
(4)
which identifies \(U_t\) as the dividend share, and encodes in the model the cointegration of consumption and dividends. Thus, the dynamics of the dividend rate follows:
$$\begin{aligned} \frac{dD_t}{D_t} =&\left( \mu (U_t)+\frac{b(U_t)}{U_t}+\rho (U_t) \sigma (U_t) \frac{v(U_t)}{U_t} \right) dt \nonumber \\&+ \left( \sigma (U_t) + \frac{v(U_t)}{U_t}\rho (U_t) \right) dW^C_t + \frac{v(U_t)}{U_t} \sqrt{1-\rho (U_t)^2} \,dW^U_t. \end{aligned}$$
(5)
The expected dividend growth is driven by three components: the expected consumption growth, the relative expected growth of the dividend share U, and a term modulated by the conditional covariance between consumption and U. Stochastic deviations in the dividend’s dividend dynamics have two sources: a component perfectly correlated with consumption – proportional to consumption volatility plus correlation between consumption and its dividend share; and an idiosyncratic shock amplified by the volatility of U. The non-financial source of consumption is simply
$$\begin{aligned} C_t-D_t=C_t (1-U_t) .\end{aligned}$$
(6)
The well-posedness of the model requires some mild technical conditions on the coefficients. Formally, define the probability space as \((\Omega ,\mathcal {F}):=(C([0,\infty ), \mathbb {R}^+\times I),\mathcal {B}(C([0,\infty ),\mathbb {R}^+\times I)))\) where \(C([0,\infty ), \mathbb {R}^+\times I)\) denotes the space of continuous functions of time taking values on \(\mathbb {R}^+\times I\), while \(\mathcal {B}(C([0,\infty ),\mathbb {R}^+\times I))\) denotes the corresponding Borel \(\sigma \)-algebra.
Assumption 1
(Well-posedness) Assume that:
(i)
The functions \(\mu ,\sigma ,b,v : I \rightarrow \mathbb {R}\) are measurable and locally bounded, \(\rho :I\rightarrow [-1,1]\) is measurable.
 
(ii)
There exists a unique solution \(\mathbb {P}\) to the martingale problem2 on \(\mathbb {R}^+\times I\) associated with the differential operator
$$\begin{aligned} \mathcal {A} f(c,u)&:= c\, \mu (c) f_c(c,u) + b(u) f_u(c,u) + \frac{1}{2} c^2 \sigma ^2(c) f_{cc}(c,u)\\&+ c \,\sigma (c) \rho (u) v(u) f_{cu}(c,u) + \frac{1}{2} v^2(u) f_{uu}(c,u). \end{aligned}$$
 
Assumption 1 implies that the SDE in (1)–(3) is well-posed in the sense of [29, Definition 5.4.14], i.e., there exists a unique weak solution (as defined e.g. in [29, Definition 5.3.1]), for any deterministic initial condition \((C_0,U_0)\in \mathbb {R}^+\times I\) and that, by defining the processes C and U as the projections of the coordinate process on the first and second coordinate respectively, C and U satisfy the coupled equations (1)–(3) in the weak sense. Moreover, the consumption process C equals
$$\begin{aligned} C_s=C_t\cdot \exp \left( \int _t^s \left( \mu (U_v)-\frac{\sigma (U_v)^2}{2}\right) \,dv+\int _t^s \sigma (U_v) \,dW^C_v\right) , \end{aligned}$$
for all \(t<s\), \(\mathbb {P}\)–almost surely.3 The dividend process D is defined through Equation (4) and its dynamics in (5) follows from Ito’s formula, identifying a unique weak solution as for C and U.
The next assumption ensures that the dividend share \(U_t\) is stationary and supported in (0, 1).
Assumption 2
(Stationarity) For some fixed \(u_0\in I\), define for \(u\in I\) the scale function s(u) and the speed density m(u) as:
$$\begin{aligned} s(u):= e^ {-2\int _{u_0}^u \frac{b(z)}{v^2(z)}\,dz}, \qquad m(u):= \frac{2 e^ {2\int _{u_0}^u \frac{b(z)}{v^2(z)} \,dz}}{v^2(u)} .\end{aligned}$$
Then s and m satisfy
$$\begin{aligned} \quad \int _0^{u_0} s(u)\,du=\infty , \qquad \int _{u_0}^1 s(u)\,du=\infty , \qquad {\overline{m}}:=\int _I m(u)\,du<\infty . \end{aligned}$$
Thus, after normalization by \({\overline{m}}\), m is a probability density function on I.
A direct consequence of Assumption 2 is that (see e.g. [10, p. 37]) the process U has a unique stationary probability density: \(m(\cdot )\), i.e., for all bounded measurable functions \(f:I\rightarrow \mathbb {R}\) and initial value \(U_0\in I\),
$$\begin{aligned} \lim _{t\rightarrow \infty }\mathbb {E}[f(U_t)]=\int _I f(u) m(u)\,du. \end{aligned}$$
(7)
Furthermore, by the Ergodic theorem (see e.g. [20, Theorem 5.2.9]), for all functions \(f:I\rightarrow \mathbb {R}\) that are integrable with respect to m,
$$\begin{aligned} \lim _{t\rightarrow \infty } \frac{1}{t} \int _0^t f(U_s)\,ds =\int _I f(u) m(u)\,du, \end{aligned}$$
(8)
\(\mathbb {P}\)-almost surely and in the norm of the space of \(\mathbb {P}\)-integrable random variables, i.e. \(\lim \limits _{t\rightarrow \infty } \mathbb {E}\left[ \left| \frac{1}{t} \int _0^t f(U_s)\,ds -\int _I f(y) m(y)\,dy\right| \right] =0\).
The processes introduced above are defined in a representative agent economy that is assumed to be in equilibrium, in the following sense. Suppose that the representative agent holds position \(\phi _t\) of the risky asset with price \(P_t\) at time t, and the rest of the agent’s wealth Y is invested in the risk-free asset with rate of return \(r_t\). The agent receives a dividend flow \(D=(D_t)_{t\ge 0}\), defined as the unique weak solution of the SDE in (5), plus the non-financial income stream defined in Equation (6), and chooses to consume at the rate \(c_t\). Thus, the dynamics of Y is
$$\begin{aligned} dY_t = r_t (Y_t-\phi _t P_t) dt + \phi _t (dP_t + D_t dt) -c_t dt + D_t \frac{1-U_t}{U_t} dt .\end{aligned}$$
The representative agent maximizes the expected power utility of consumption on an infinite horizon
$$\begin{aligned} \max _{(c, \phi ) \in \mathcal {A}} \mathbb {E}\left[ \int _0^\infty e^{-\beta s} \frac{c_s^{1-\gamma }}{1-\gamma } \, ds \right] , \end{aligned}$$
(9)
where \(\beta \) is the time-preference rate and \(\gamma \) the risk-aversion parameter. The set of admissible strategies \(\mathcal {A}\) consists of any pair of progressively measurable processes \((c,\phi )\), where \(c=(c_t)_{t\ge 0}\) satisfies \(\mathbb {E}[\int _0^T c_t\, dt]<\infty \) for all \(T > 0\) and \(\phi =(\phi _t)_{t\ge 0}\) is such that \(\mathbb {E}[\int _0^T \phi _t^2\, d\langle P_t \rangle ]<\infty \) for all \(T > 0\), where \(P=(P_t)_{t\ge 0}\) is the asset price process.
In this setting, the notion of equilibrium is defined as follows.
Definition 1
An equilibrium is a pair \((r_t,P_t)_{t\ge 0}\), where \(r=(r_t)_{t\ge 0}\) is an adapted stochastic process such that \(\int _0^T r_t\, dt<\infty \) \(\mathbb {P}\)-almost surely for all \(T>0\) and \(P=(P_t)_{t\ge 0}\) is a continuous semimartingale, such that the optimal consumption-investment problem with non-financial income defined in (9) with safe rate r and asset price P is well-posed and solved by \(c_t=\frac{D_t}{U_t}\) and \(\phi _t\equiv 1\).

4 General results

The next assumption prescribes the well-posedness of the pricing function. It is tantamount to requiring that the stochastic differential equation
$$\begin{aligned} d U_t&= {\widehat{b}}(U_t)\,dt + v(U_t)\,d {\overline{W}}_t,\nonumber \\ d{\overline{W}}_t&:= \rho (U_t)\, dW^C_t + \sqrt{1-\rho (U_t)^2}\, dW^U_t, \end{aligned}$$
(10)
coupled with (1), is well-posed in the sense of [29, Definition 5.4.14], i.e., there exists a unique weak solution for any deterministic initial condition \((C_0,U_0)\in \mathbb {R}^+\times I\).
Assumption 3
(Finite prices) Assume that:
(i)
There exists a unique solution \({\widehat{\mathbb {P}}}\) to the martingale problem associated with the differential operator
$$\begin{aligned} \mathcal {{\widehat{A}}} f(c,u)&:= c\, \mu (c) f_c(c,u) + {\widehat{b}}(u) f_u(c,u) \nonumber \\&+ c^2 \frac{\sigma ^2(c)}{2} f_{cc}(c,u) + c\, \sigma (c) \rho (u) v(u) f_{cu}(c,u) + \frac{v^2(u)}{2} f_{uu}(c,u), \end{aligned}$$
where
$$\begin{aligned} {\widehat{b}}(u)&:= b(u)-(\gamma -1) v(u) \rho (u) \sigma (u). \end{aligned}$$
(11)
 
(ii)
Denoting by \({\widehat{\mathbb {E}}}\) the expectation under \(\widehat{\mathbb {P}}\),4
$$\begin{aligned} g(u):=\int _0^\infty {\widehat{\mathbb {E}}}^{u}\left[ e^{-\int _0^s \theta _L( U_v)\,dv} U_s \right] \, ds < \infty \qquad \text {for all }u\in I, \end{aligned}$$
(12)
where
$$\begin{aligned} \theta _L(u):=\beta +(\gamma -1) \left( \mu (u)-\gamma \frac{\sigma (u)^2}{2}\right) . \end{aligned}$$
(13)
 
Note that a sufficient condition for (12) to hold is that \(\theta _L\) is positive and bounded away from zero, i.e.,
$$\begin{aligned} \inf _{u\in I} \theta _L(u)= \beta + \inf _{u\in I} (\gamma -1)\left( \mu (u)-\gamma \frac{\sigma (u)^2}{2}\right) >0 .\end{aligned}$$
With these assumptions, the equilibrium price and the interest rate are characterized through the stochastic discount factor:
Proposition 2
Under Assumptions 13, the equilibrium asset price is the present value of future dividends:5
$$\begin{aligned} P_t=\mathbb {E}^u_t\left[ \int _t^\infty \frac{M_s}{M_t} D_s \, ds\right] , \end{aligned}$$
(14)
where \(M_t=e^{-\beta t} C_t^{-\gamma }\) denotes the stochastic discount factor, i.e., the marginal utility of aggregate consumption. The equilibrium safe rate \(r_t\) is identified by the condition that \(M_t \cdot e^{\int _0^t r_s\,ds}\) is a \(\mathbb {P}\)-local martingale.
As a first step, applying the results of Proposition 2, we express in Proposition 3 the price-consumption ratio in terms of a deterministic function on I, specifically the expectation of a functional of the process U under the measure \({\widehat{\mathbb {P}}}\) (cf. Assumption 3).
Proposition 3
Under Assumptions 13,
$$\begin{aligned} Z_t:= e^{-(\gamma -1)\int _0^t\sigma (U_v) \,dW^C_v-\frac{(\gamma -1)^2}{2}\int _0^t \sigma (U_v)^2\,dv} \end{aligned}$$
(15)
is a \((\mathcal {F}_t,\mathbb {P})\)-martingale such that \({\widehat{\mathbb {P}}}|_{\mathcal {F}_t}=Z_t\cdot \mathbb {P}|_{\mathcal {F}_t}\) for all \(t>0\). Moreover, the price-consumption ratio of the model (1)–(3) is
$$\begin{aligned} \frac{P_t}{C_t}=g(U_t), \end{aligned}$$
(16)
where g is a deterministic function of the dividend share defined in (12).
The main attributes of the model are described in terms of the price-consumption ratio g.
Theorem 4
Let Assumptions 13 hold, and assume that \(\inf _{I}\theta _L(u) >0\), \(v \in C^{2,\alpha }((0,1);\mathbb R)\), \({\widehat{b}} \in C^{1,\alpha }((0,1);{\mathbb {R}})\) and g is continuous in u.6 Then,
(i)
g is a classical solution to the second-order linear differential equation
$$\begin{aligned} \frac{1}{2} v^2(u) g''(u) + {\widehat{b}}(u) g'(u)- \theta _L(u) g(u) + u =0, \end{aligned}$$
(17)
for all \(u\in I\), with \({\widehat{b}}\) defined in (11). The logarithm of the price-dividend ratio is
$$\begin{aligned} \log \frac{P_t}{D_t} = h(U_t) :=\log \frac{g(u)}{u}; \end{aligned}$$
 
(ii)
The safe rate is
$$\begin{aligned} r_t=r(U_t):= \beta +\gamma \mu (U_t)-\frac{\gamma (\gamma +1) \sigma ^2(U_t)}{2}; \end{aligned}$$
 
(iii)
The return \(R_t\) of the risky asset satisfies
$$\begin{aligned} d&R_t:=\frac{dP_t+D_t dt}{P_t}\nonumber \\ &=\left[ r(U_t)+\gamma \sigma ^2(U_t)+\gamma v(U_t)\sigma (U_t)\rho (U_t)\frac{g'(U_t)}{g(U_t)}\right] dt \nonumber \\&+ \left( \sigma (U_t)+\frac{g'(U_t)}{g(U_t)} v(U_t)\rho (U_t) \right) dW^C_t +\frac{g'(U_t)}{g(U_t)} v(U_t) \sqrt{1-\rho ^2(U_t)}\, dW^U_t. \end{aligned}$$
In particular, the expected excess return is
$$\begin{aligned} \mu _R(U_t)-r(U_t)= \gamma \sigma ^2(U_t) + \gamma v(U_t) \rho (U_t) \sigma (U_t) \frac{g'(U_t)}{g(U_t)}; \end{aligned}$$
(18)
 
(iv)
The time varying consumption beta is
$$\begin{aligned} \beta _C(U_t):=\frac{\frac{d\langle P, C\rangle _t/dt}{P_t C_t}}{\frac{d\langle C\rangle _t/dt}{C_t^2}}= 1+ \frac{\rho (U_t) v(U_t) g'(U_t)}{\sigma (U_t) g(U_t)} \end{aligned}$$
which leads to the asset pricing relation
$$\begin{aligned} \mu _R(U_t)-r(U_t)=\beta _C(U_t)\cdot \gamma \sigma ^2(U_t). \end{aligned}$$
(19)
 
Assuming the existence of a tradable claim paying a dividend flow equal to aggregate consumption, its price can be computed in the same way as in Proposition 3, yielding the price-consumption ratio:
$$\begin{aligned} \frac{P^{TW}_t}{C_t}=g_{TW}(U_t), \qquad \text {with}\qquad g_{TW}(u):=\int _0^\infty {\widehat{\mathbb {E}}}^{u}\left[ e^{-\int _0^s \theta _L( U_v)\,dv} \right] \, ds. \end{aligned}$$
(20)
Adopting the same terminology as in [39, Section 2], \(P^{TW}_t\) denotes the price of total wealth, which pays a cash-flow at rate \(C_t\). Assuming that \(g_{TW}\) is continuous and replicating the proof of Theorem 4, we can also write the associated ordinary differential equation
$$\begin{aligned} \frac{1}{2} v^2(u) g_{TW}''(u) + {\widehat{b}}(u) g_{TW}'(u)- \theta _L(u) g_{TW}(u) + 1 =0, \end{aligned}$$
(21)
which is analogous to Equation (17). Again, by Theorem 4 the expected excess return of such an asset is
$$\begin{aligned} \mu _R^{TW}(U_t)-r(U_t)= \gamma \sigma ^2(U_t) + \gamma v(U_t) \rho (U_t) \sigma (U_t) \frac{g_{TW}'(U_t)}{g_{TW}(U_t)}. \end{aligned}$$
The last equation implies that, by interpreting the total wealth portfolio as the market portfolio, (19) reduces to
$$\begin{aligned} \mu _R(U_t)-r(U_t)=\beta _C(U_t) (\mu _R^{TW}(U_t)-r(U_t)) - \beta _C(U_t)\gamma v(U_t) \rho (U_t) \sigma (U_t) \frac{g_{TW}'(U_t)}{g_{TW}(U_t)} .\end{aligned}$$
(22)
In particular, if the price-consumption ratio \(g_{TW}(U_t)\) of total wealth portfolio is constant, then
$$\begin{aligned} \mu _R(U_t)-r(U_t)=\beta _C(U_t) (\mu _R^{TW}(U_t)-r(U_t)) ,\end{aligned}$$
(23)
which means that a conditional version of the consumption CAPM holds. By (20), this is the case with logarithmic utility (cf. [17, Section 1.5]) if \(\gamma =1\), \(\theta _L \equiv \beta \). Section 5 below offers an example where such a result holds for general power utility.

5 Calibrated model

To examine the implications of the setting above, this section considers a concrete specification for aggregate consumption (1), the dividend share (2), and their correlation (3) as follows:
$$\begin{aligned} \frac{dC_t}{C_t}&= \left( \mu _0 + \frac{\gamma \sigma _0^2}{2 U_t^2}\right) dt + \frac{\sigma _0}{U_t}\,dW^C_t,\end{aligned}$$
(24)
$$\begin{aligned} dU_t&= k (l-U_t)\,dt + v_0 \sqrt{U_t (1-U_t)}\, d{\overline{W}}_t,\end{aligned}$$
(25)
$$\begin{aligned} d{\overline{W}}_t&:=2\rho _0 \sqrt{U_t (1-U_t)}\, dW^C_t + \sqrt{1-4\rho _0^2 U_t (1-U_t)}\, dW^U_t, \end{aligned}$$
(26)
This model is obtained from (1)–(3) by setting \( \mu (u):=\mu _0 + \frac{\gamma \sigma _0^2}{2 u^2},\ \sigma (u):=\frac{\sigma _0}{u},\ b(u):=k(l-u),\ v(u):=v_0 \sqrt{u(1-u)},\ \rho (u):=2 \rho _0 \sqrt{u(1-u)}. \)
The model parameters satisfy the following restrictions:
Assumption 4
\(\mu _0\in \mathbb {R}\), \(v_0, \sigma _0, k\in \mathbb {R}^+\), \(l\in (0,1)\), \(\rho _0\in [0,1]\) in (24)–(26), and with \({\widehat{\rho }}:=2 \rho _0 (\gamma -1) v_0 \sigma _0\),
$$\begin{aligned} {k> {\widehat{\rho }}, \quad \frac{v_0^2}{2}\le \min \{kl,\, k l-{\widehat{\rho }}, \, k(1-l)\} \quad { and } \quad \beta +(\gamma -1) \mu _0>0.} \end{aligned}$$
The resulting process U is a Jacobi process [19, 30], which is in the class of polynomial processes [23, 24]. The dividend share is mean-reverting to its long-term level l with speed of mean reversion k and is less and less volatile as it approaches the (unattainable) boundaries 0 and 1. The parametric restriction \(v_0^2 < 2k(l \wedge (1-l))\) ensures that \(U_t\in (0,1)\) a.s. for all \(t\ge 0\). In fact, the invariant density of U belongs to the Beta distribution (with slight abuse of notation)
$$\begin{aligned} m(u):= \frac{1}{B(\alpha _1,\alpha _2)} u^{\frac{2 k}{v_0^2} l-1} (1-u)^{\frac{2 k}{v_0^2} (1-l)-1}, \end{aligned}$$
(27)
where \(\alpha _1:=\frac{2k l}{v_0^2}\), \(\alpha _2:=\frac{2k (1-l)}{v_0^2}\) and \(B(\alpha _1,\alpha _2)\) is the Beta function.
In this model, consumption grows exponentially, with both its expected growth and volatility depending on \(U_t\) counter-cyclically. Indeed, when the dividend share U decreases, both consumption’s expected growth and volatility increase, reflecting the larger aggregate shocks during recessions but also higher growth during recoveries.
Note also that C and U have instantaneous correlation equal to
$$\begin{aligned} \rho (U_t)= 2 \rho _0 \sqrt{U_t(1-U_t)}. \end{aligned}$$
(28)
This specific functional form of the correlation is motivated by tractability, as it allows to compute explicitly the asset price and all the quantities in Theorem 4. Because \(U_t\in (0,1)\), the parameter \(\rho _0\) represents the maximum correlation between the dividend share and consumption growth. Note that the dividend share of consumption covaries positively with consumption itself, implying a higher risk for the consumer and thereby commanding a higher risk premium.
Dividend dynamics stems from the relation \(D_t=C_t \cdot U_t\), whereby (5) yields
$$\begin{aligned} \frac{dD_t}{D_t}&=\left( \mu _0+ \frac{\gamma \sigma _0^2}{2 U_t^2} + k \left( \frac{l}{U_t} -1\right) + 2 \rho _0 \sigma _0 v_0 \frac{1-U_t}{U_t} \right) dt \nonumber \\&+ \left( \frac{\sigma _0}{U_t}+ 2 \rho _0 v_0 (1-U_t)\right) dW^C_t + \frac{v_0}{U_t} \sqrt{U_t (1-U_t)(1-4 \rho _0^2 U_t (1-U_t)) } \,d W^U_t. \end{aligned}$$
(29)
Expected dividend growth is divided into three components. The first one is expected consumption growth. The second one is a mean-reverting contribution to dividend growth: it is positive if the dividend share is below its long-term level l and negative otherwise (in the terminology of [18] this term is ruled by the duration \(\frac{l}{U_t}\) of the asset). The third and last term is proportional to the correlation between consumption and dividend share and increases as \(U_t\) decreases. The instantaneous volatility depends nonlinearly on \(U_t\).
Theorem 4 implies that the price-consumption function g(u) is a solution of the ODE in (17). In this setting, the differential equation reads
$$\begin{aligned} \frac{1}{2} v(u)^2 g''(u) + {\widehat{b}}(u) g'(u)- \theta _L g(u) +u =0, \qquad u\in (0,1) ,\end{aligned}$$
(30)
where, according to (11), the drift of U under the new probability measure \({\widehat{\mathbb {P}}}\) is \( {\widehat{b}}(u):= {\widehat{k}}({\widehat{l}}- u), \) where \( {\widehat{\rho }}:=2 \rho _0 (\gamma -1) v_0 \sigma _0, {\widehat{k}}:=k - {\widehat{\rho }}, {\widehat{l}}:= \frac{k l -{\widehat{\rho }}}{k -{\widehat{\rho }}}, \) and \( \theta _L(u)\equiv \theta _L:=\beta +(\gamma -1) \mu _0 \) is independent of u by construction. In view of Equations (20) and (22), this last assumption yields a conditional CAPM representation (cf. Proposition 5 below).
Note that the first inequality in Assumption 4 implies that \({\widehat{k}} >0\) and, together with \(kl-{\widehat{\rho }} >0\) in the second inequality, yields \({\widehat{l}} \in (0,1)\). The second inequality is equivalent to \(\frac{v_0^2}{2}\le \min \{kl, \, k(1-l)\}\) and \(\frac{v_0^2}{2}\le \min \{kl-{\widehat{\rho }}, \, k(1-l)\}\). These two assumptions yield both the well-posedness and the property of positive-recurrence for Equation (26), respectively, with drift b and \({\widehat{b}}\). The third part of Assumption 4 ensures that the asset price is finite.
Thanks to the polynomial structure of the coefficients of the ODE in (30), inherited by the Jacobi process, the price-consumption function follows in closed form, and so do the quantities introduced in Theorem 4.
Proposition 5
Let Assumption 4 hold. Then, in the model (24)–(26):
(i)
The price-consumption ratio is well-defined and affine, i.e., \(\frac{P_t}{C_t}=g(U_t)\), where \( g(u):=g_0 + g_1 u, \) with
$$\begin{aligned} g_0&:=\frac{k l - {\widehat{\rho }}}{(\theta _L+k -{\widehat{\rho }}) \theta _L}, \qquad g_1:=\frac{1}{\theta _L+k -{\widehat{\rho }}}; \end{aligned}$$
(31)
The log price-dividend ratio is \(\log (\frac{P_t}{D_t})=h(U_t)\), where
$$\begin{aligned} h(u):=\log { \frac{g(u)}{u}}=\log \left( \frac{g_0}{u} + g_1 \right) ; \end{aligned}$$
(32)
 
(ii)
The interest rate is \(r_t=r(U_t)\) with
$$\begin{aligned} r(u):= \beta +\gamma \mu _0-\frac{\gamma \sigma _0^2}{2 u^2}; \end{aligned}$$
(33)
 
(iii)
The dynamics of \(R_t\) is
$$\begin{aligned} d&R_t :=\frac{dP_t+D_t dt}{P_t} =\left[ \beta +\gamma \mu _0+\frac{\gamma \sigma _0^2}{2 U_t^2} +2\rho _0 \gamma v_0 \sigma _0 \frac{g_1(1-U_t)}{g_0+g_1 U_t}\right] dt \nonumber \\&+ \left( \frac{\sigma _0}{U_t}+ 2 \rho _0 v_0 g_1 \frac{U_t (1-U_t)}{g_0 + g_1 U_t} \right) dW^C_t +\frac{g_1 v_0}{g_0 + g_1 U_t} \sqrt{ U_t (1-U_t) (1-4 \rho _0^2 U_t (1-U_t)) }\, dW^U_t \end{aligned}$$
(34)
and, in particular, the expected excess return is
$$\begin{aligned} \mu _R(U_t)-r(U_t)= \frac{\gamma \sigma _0^2}{U_t^2} +2\rho _0 \gamma v_0 \sigma _0 \frac{g_1(1-U_t)}{g_0+g_1 U_t}; \end{aligned}$$
(35)
 
(iv)
The price of the consumption claim (cf. Theorem 4 and (20)) is constant:
$$\begin{aligned} \frac{P^{TW}_t}{C_t}=\frac{1}{\theta _L}=\frac{1}{\beta +(\gamma -1) \mu _0}. \end{aligned}$$
Consequently, the conditional CAPM representation
$$\begin{aligned} \mu _R(U_t)-r(U_t)=\beta _C(U_t) (\mu _R^{TW}(U_t)-r(U_t)) \end{aligned}$$
(36)
holds, where the time-varying consumption-beta is
$$\begin{aligned} \beta _C(U_t)&:= \frac{\frac{d\langle P, C\rangle _t/dt}{P_t C_t}}{\frac{d\langle C\rangle _t/dt}{C_t^2}} = 1+ \frac{2 \rho _0 v_0 g_1 U_t^2 (1-U_t)}{\sigma _0 (g_0+g_1 U_t)}, \end{aligned}$$
and \(\mu _R^{TW}(U_t)-r(U_t)=\gamma \frac{\sigma _0^2}{U_t^2}\) is the excess return of the consumption claim.
 
To compare the performance of the model to market data, it is useful to compute the expected (long-term) values of several moments under consideration. We will focus on the first two moments, i.e., expected value and standard deviation. To ensure that all moments considered are finite, the rest of this section requires the additional parameter restriction
$$\begin{aligned} \frac{v_0^2}{2}<\frac{k l}{4}. \end{aligned}$$
The long-term expected value and variance of log-consumption are the averages of their conditional counterparts with respect to the invariant distribution of the dividend share U:
$$\begin{aligned}&E_C:=\int _0^1 \left( \mu (u)-\frac{1}{2}\sigma (u)^2 \right) \cdot m(u)\,du=\int _0^1 \left( \mu _0 +\frac{1}{2} (\gamma -1) \frac{ \sigma _0^2}{u^2}\right) \cdot m(u)\,du, \\&{\bar{\sigma }}_C^2:=\int _0^1 \sigma (u)^2\cdot m(u)\,du=\int _0^1 \frac{\sigma _0^2}{u^2}\cdot m(u)\,du, \end{aligned}$$
Similarly, for log-dividends, (29) implies that
$$\begin{aligned}&E_D:=\int _0^1 \left( \mu _0+ \frac{\gamma \sigma _0^2}{2 u^2} + \frac{k l}{u} -k + 2 \rho _0 \sigma _0 v_0 \frac{1-u}{u} \right) \cdot m(u)\,du-\frac{1}{2} {\bar{\sigma }}_D^2. \\&{\bar{\sigma }}_D^2:=\int _0^1 \left( \frac{\sigma _0^2}{u^2}+\left( v_0^2+4\rho _0 v_0 \sigma _0 \right) \frac{1-u}{u} \right) \cdot m(u)\,du, \end{aligned}$$
The asset return’s dynamics in (34) yields
$$\begin{aligned}&{\bar{\sigma }}_R^2:=\int _0^1 \left( \frac{\sigma _0^2}{u^2}+4 \rho _0 v_0 \sigma _0 g_1 \frac{1-u}{g_0 + g_1 u}+g_1^2 v_0^2 \frac{u (1-u)}{(g_0 + g_1 u)^2} \right) \cdot m(u)\,du, \nonumber \\&E_R:=\int _0^1 \left( \beta +\gamma \mu _0+\frac{\gamma \sigma _0^2}{2 u^2} +2\rho _0 \gamma v_0 \sigma _0 \frac{g_1(1-u)}{g_0+g_1 u}\right) \cdot m(u)\,du-\frac{{\bar{\sigma }}^2_R}{2}. \end{aligned}$$
(37)
The log price-dividend ratio \(h(U_t)\) (see Equation (32)), its conditional expected value is \(\mathbb {E}_t\left[ h(U_t)\right] =h(U_t)\), and its conditional variance \(\mathbb {E}_t\left[ h(U_t)^2-\mathbb {E}\left[ h(U_t)\right] ^2\right] =h(U_t)^2-\mathbb {E}\left[ h(U_t)\right] ^2\) are deterministic functions of \(U_t\). Thus, the long-term mean and variance of the log price-dividend ratio are
$$\begin{aligned}&E_{pd}:=\int _0^1 h(u)\cdot m(u)\,du=\int _0^1 \log \left( \frac{g_0}{u} + g_1 \right) \cdot m(u)\,du,\\&{\bar{\sigma }}_{pd}^2:=\int _0^1 h(u)^2\cdot m(u)\,du-E_{pd}^2=\int _0^1 \log ^2\left( \frac{g_0}{u} + g_1 \right) \cdot m(u)\,du-E_{pd}^2. \end{aligned}$$
Similarly, the moments of the safe rate (33) are
$$\begin{aligned}&E_{r}:=\int _0^1 \left( \beta +\gamma \mu _0-\frac{\gamma \sigma _0^2}{2 u^2} \right) \cdot m(u)\,du,\\&{\bar{\sigma }}_{r}^2:=\int _0^1 \left( \beta +\gamma \mu _0-\frac{\gamma \sigma _0^2}{2 u^2} \right) ^2 \cdot m(u)\,du-E_{r}^2. \end{aligned}$$
Finally, the long-term average correlation between consumption and dividend shocks is obtained from the instantaneous correlation (24)–(29)
$$\begin{aligned} \frac{\frac{d\langle C, D\rangle _t/dt}{C_t D_t}}{\sqrt{\frac{d\langle C\rangle /dt}{C_t^2}}\sqrt{\frac{d\langle D\rangle _t/dt}{D_t^2}}}=\frac{\frac{\sigma _0}{U_t} + 2 \rho _0 v_0 (1-U_t) }{\sqrt{\frac{\sigma _0^2}{U_t^2}+ \left( v_0^2 + 4\rho _0 v_0 \sigma _0 \right) \frac{1-U_t}{U_t}}}, \end{aligned}$$
(38)
as its ergodic mean
$$\begin{aligned}&E_{\rho }:=\int _0^1 \frac{\frac{\sigma _0}{u} + 2 \rho _0 v_0 (1-u) }{\sqrt{\frac{\sigma _0^2}{u^2}+ \left( v_0^2 + 4\rho _0 v_0 \sigma _0 \right) \frac{1-u}{u}}} \cdot m(u)\,du. \end{aligned}$$
Some of the above integrals can be computed explicitly, while others only numerically. For the sake of brevity, available explicit formulas are not included in the presentation that follows.

6 Calibration

Table 1
Calibrated parameters: time-preference \(\beta \), long-term dividend-share l, risk aversion \(\gamma \), baseline consumption growth \(\mu _0\), baseline consumption volatility \(\sigma _0\), mean-reversion speed k of dividend-share and its base volatility \(v_0\), maximum instantaneous correlation \(\rho _0\). Model as in (24)-(26). All figures are in percent, except risk aversion and maximum correlation
\(\beta \)
l
\(\gamma \)
\(\mu _0 \)
\(\sigma _0 \)
k
\(v_0\)
\(\rho _0\)
0
19.0
10
0.16
0.62
3.57
5.24
1
Table 2
The first dataset is from [6] and covers the period 1930–2010 (first column). The second and third columns are from [9] and span, respectively, the years 1929–2008 and the post-war period 1946–2008. The table reports annualized expected consumption growth \(E_C\), consumption growth volatility \({\bar{\sigma }}_C\), expected asset return \(E_R\) and its volatility \({\bar{\sigma }}_R\), expected riskless rate \(E_r\) and its volatility \({\bar{\sigma }}_r\), expected dividend growth \(E_d\) and its volatility \({\bar{\sigma }}_d\), expected value \(E_{pd}\) and standard deviation \({\bar{\sigma }}_{pd}\) of the log price-dividend ratio, long-term correlation of dividends and consumption \(E_\rho \) and Sharpe ratio computed on the long-term moments. All figures are percent, except the average and standard deviation of the log price-dividend ratio, the average correlation, and the Sharpe ratio (computed from the long-term moments in the table)
moment
\({ {1930-2015}{\textsc {data 1}}}\)
\({{1929-2008}{\textsc {data 2}}}\)
\({{1946-2008}{\textsc {data 3}}}\)
model
\(E_C \)
1.8
1.9
1.9
1.2
\({\bar{\sigma }}_C \)
2
2.2
1.3
4.5
\(E_R \)
8.1
7.4
7.6
5.0
\({\bar{\sigma }}_R \)
19.0
20.3
18.1
11.6
\(E_r\)
0.5
0.6
0.7
0.6
\({\bar{\sigma }}_r\)
3
3.9
3.2
2.1
\(E_d\)
2.0
1.7
2.2
2.2
\({\bar{\sigma }}_d\)
11
11
6.6
14.7
\(E_{pd} \)
3.40
3.35
3.43
3.44
\({\bar{\sigma }}_{pd} \)
0.45
0.42
0.42
0.13
\(E_\rho \)
0.51
0.59
0.18
0.86
\(\frac{E_R - E_r}{{\bar{\sigma }}_R}\)
0.40
0.33
0.38
0.38
The model parameters (Table 1) are calibrated to several moments estimated from macroeconomic U.S. data (Table 2) through a least-squares minimization, in order to match the theoretical formulas obtained above with their empirical counterparts.
Consumption represents annual per capita real consumption expenditure on non-durables and services from the National Income and Product Accounts (NIPA) tables available from the Bureau of Economic Analysis. Aggregate stock market data consist of annual observations of returns, dividends, and prices of CRSP value-weighted portfolios. Nominal prices are converted to real using the Consumer Price Index (CPI). The real risk-free rate is based on inflation-adjusted three-month Treasury bills.
The time-preference rate \(\beta \) is set at zero, while the risk aversion \(\gamma \) at 10, the same value used by [3] and [9]. Higher values of risk aversion generally allow a better fit of the equity premium size, though are difficult to justify economically.
The remaining free parameters are the baseline average consumption growth \(\mu _0\), the baseline consumption volatility \(\sigma _0\), the long-term level of the dividend share l, the mean-reversion speed k, and the baseline volatility of the dividend share \(v_0\) and the maximum instantaneous correlation between consumption and dividend share \(\rho _0\).
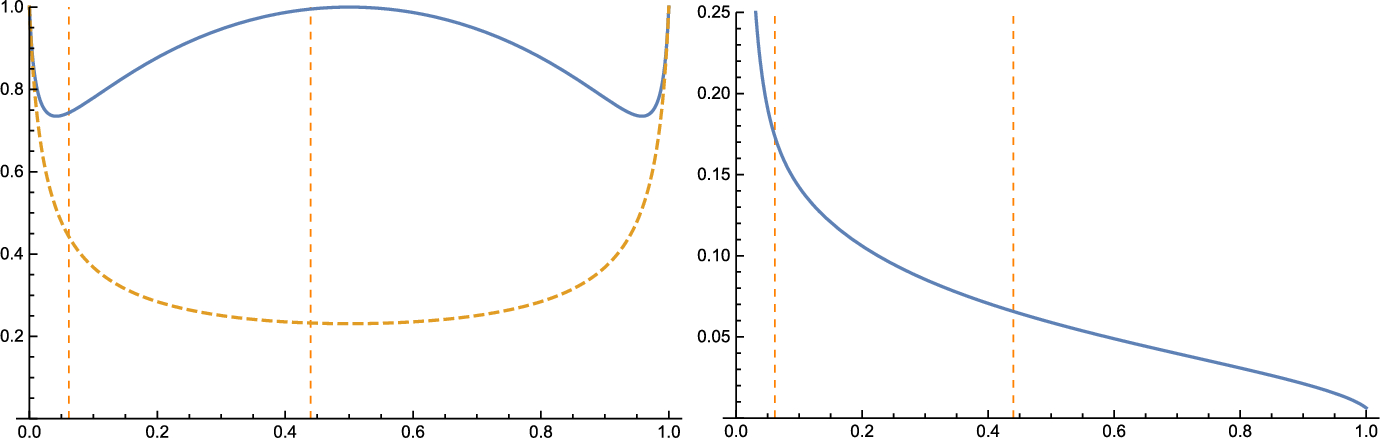
Fig. 1
Left: Stationary density of \(U_t\). Right: Price-consumption ratio (solid) and price-dividend ratio (dashed) against dividend share. Vertical dashed lines denote the stationary confidence interval of \(U_t\) at the 95% level. Parameters as in Table 1
Bild vergrößern
With its six free parameters, the model closely reproduces most of the 12 moments considered in the calibration. The average risk-free rate, dividend-growth, (log) price-dividend ratio, and Sharpe ratios reproduced match very closely the estimates from the three datasets. The equity premium calibrated by the model is \(5\%\), slightly lower than the empirical counterpart but within the confidence interval.
The model does not fully explain the volatility puzzle, i.e., the combination of low consumption volatility with high stock-price volatility. Indeed, stock price volatility is underestimated, while consumption volatility overestimated. Yet, the distinction between consumption and dividends, combined with dividends’ much higher volatility than consumption, generates – with plausible risk aversion – a much larger stock price volatility than the Lucas’ benchmark, in which consumption and stock prices have the same volatility.
The model reproduces a highly volatile price-dividend ratio, a feature that eludes the standard Lucas’ model, in which the price-dividend ratio is constant. The model also clearly distinguishes consumption from dividends, while keeping their ratio stationary and estimating its stochastic variation. The dividend share oscillates at low frequency, with a half-life of approximately 19 years.7 In the long-term average, dividends constitute one-fifth of aggregate consumption, with a standard deviation of U at about \(7.5\%\).
The calibration generates an average correlation \(E_\rho \) between dividends and consumption shocks that is significantly higher than its empirical counterparts. This difference is due in part to the different meaning of these correlations: the empirical correlations are at monthly, quarterly, or annual frequencies, therefore they are typically lower than the model-implied correlation, which is instantaneous.
The left panel in Figure 1 displays the calibrated stationary distribution of the dividend share \(U_t\) with its corresponding confidence interval. Dividends remain below \(50\%\) with high statistical confidence and fluctuations of the dividend share implied by the model have very low frequency as the half-life of shocks is relatively long.
Fig. 2
Left: Interest rate (solid) and expected excess return (dashed) against dividend-share \(U_t\). Right: Sharpe ratio (solid) and market price of consumption risk (dashed) against dividend-share \(U_t\). Vertical dashed lines denote the stationary confidence interval of \(U_t\) at the 95% level. Parameters as in Table 1.
Bild vergrößern
The right panel in Figure 1 shows that the price to aggregate consumption ratio increases linearly in \(U_t\): \(\frac{P_t}{C_t}=g_0+g_1 U_t\), where the constants \(g_0, g_1\) are as in (31). In particular, vanishing dividends do not imply a zero stock-price. When dividends are not paid, the agent’s wealth decreases but does not reach zero, as non-financial consumption sources remain. In the terminology of [17, p.355], the increasing relation between the price-consumption ratio and the dividend share \(U_t\) is a scale effect, meaning that larger dividends imply higher prices.
Because the price-consumption ratio is affine in \(U_t\), the price-dividend ratio is \(\frac{P_t}{D_t}=g_1+\frac{g_0}{U_t}\), i.e., hyperbolic in the dividend-share of consumption. As the dividend-share decreases, prices also decrease, but not as much as dividends, because the agent anticipates that the dividend share will eventually revert to its mean, hence stock prices reflect the value of future dividends. Thus, stocks look more expensive in terms of price-dividend ratio precisely in bad times.
The left panel in Figure 2 displays how the equity premium (35) increases as the dividend share decreases. On the contrary, the real safe rate (33) decreases – and may become negative as the share approaches zero. Thus, consistently with empirical observations, the model reproduces a cyclical interest rate and a counter-cyclical equity premium.
The right panel in Figure 2 shows stocks’ Sharpe ratio (solid), defined as
$$\begin{aligned} \frac{\mu _R(U_t)-r(U_t)}{\sqrt{\frac{d\langle P\rangle _t/dt}{P_t^2}}}=\frac{\frac{\gamma \sigma _0^2}{U_t^2} +2\rho _0 \gamma v_0 \sigma _0 \frac{g_1(1-U_t)}{g_0+g_1 U_t}}{\sqrt{\frac{\sigma _0^2}{U_t^2}+4 \rho _0 v_0 \sigma _0 g_1 \frac{1-U_t}{g_0 + g_1 U_t}+g_1^2 v_0^2 \frac{U_t (1-U_t)}{(g_0 + g_1 U_t)^2}}} \end{aligned}$$
(39)
and the market price of consumption risk (dashed), defined similarly as
$$\begin{aligned} \frac{\mu _R^{TW}(U_t)-r(U_t)}{\sqrt{\frac{d\langle P^{TW}\rangle _t/dt}{(P^{TW}_t)^2}}}=\gamma \frac{\sigma _0}{U_t}. \end{aligned}$$
(40)
Because the market is incomplete and investors cannot perfectly replicate the consumption claim, the consumption’s market-price of risk is higher than dividends’ counterpart, i.e., the stocks’ Sharpe ratio. Nevertheless, the difference is relatively low in view of the high correlation between dividends and consumption.
Fig. 3
Left: Correlation between dividend and consumption (38) against dividend-share with calibrated parameters (solid) and with \(\rho _0=0\) (dashed), i.e., with uncorrelated consumption and dividend-share. Right: Asset volatility against dividend-share \(U_t\). Vertical dashed lines denote the stationary confidence interval of \(U_t\) at the 95% level. Parameters as in Table 1
Bild vergrößern
In Figure 3, the instantaneous correlation between dividends and aggregate consumption (solid, defined in (38)) ranges between 0.7 and its maximum 1, which is attained only at \(u=0.5\), i.e., outside the stationary confidence interval of \(U_t\). Correlation has two main determinants: first, dividends are part of consumption, i.e. \(D_t=C_t\cdot U_t\). Second, their share of consumption is exactly \(U_t\), which is positively correlated with consumption itself through the term \(\rho _0\) (cf. (28)).
If one removed the latter channel (by setting \(\rho _0=0\)), correlation between dividends and consumption would reduce but not disappear (dashed, left panel in Figure 3). Also, positive correlation between consumption and dividend share (solid) causes the two dynamics to decouple moderately for low \(U_t\) (within the confidence interval). By contrast, for \(\rho _0=0\) correlation increases as the dividend share decreases.
The right panel in Figure 3 displays stocks’ volatility against the dividend-share. Volatility is clearly countercyclical, increasing substantially as dividend share decreases. The integrand in (37) and the dynamics in (34) highlight three factors: first, consumption volatility, which contains the consumption risk embedded in asset prices; second, the correlation between consumption shocks and shocks to the dividend-share; third, the fluctuations in the dividend-share, which are present in dividends’ dynamics.

7 Conclusion

This paper introduces a consumption-based asset pricing model that incorporates the cointegration between consumption and dividends. By bridging the gap between the empirical observation of cointegrated consumption-dividend relationships and theoretical asset pricing, the model offers an novel approach to addressing long-standing asset pricing puzzles. The key contributions are the introduction of cointegration into the dynamic framework, the derivation of closed-form solutions for asset prices, risk-free rates, and equity premiums, and the model’s empirical ability to match observed financial moments.
The cointegration of consumption and dividends reconciles the observed cyclical fluctuations in these variables with long-term trends, addressing several empirical puzzles. Despite some limitations, such as overestimating consumption volatility, the model captures the core features of asset pricing, offering a solid foundation for future research on dynamic consumption-dividend relationships in financial markets.

Acknowledgements

Guasoni is partially supported by SFI (16/IA/4443). Wang is partially supported by NSF (DMS-2206282).
Open Access This article is licensed under a Creative Commons Attribution 4.0 International License, which permits use, sharing, adaptation, distribution and reproduction in any medium or format, as long as you give appropriate credit to the original author(s) and the source, provide a link to the Creative Commons licence, and indicate if changes were made. The images or other third party material in this article are included in the article's Creative Commons licence, unless indicated otherwise in a credit line to the material. If material is not included in the article's Creative Commons licence and your intended use is not permitted by statutory regulation or exceeds the permitted use, you will need to obtain permission directly from the copyright holder. To view a copy of this licence, visit http://​creativecommons.​org/​licenses/​by/​4.​0/​.

Publisher's Note

Springer Nature remains neutral with regard to jurisdictional claims in published maps and institutional affiliations.
download
DOWNLOAD
print
DRUCKEN
Titel
Asset pricing with consumption-dividend cointegration
Verfasst von
Paolo Guasoni
Marco Piccirilli
Gu Wang
Publikationsdatum
31.10.2025
Verlag
Springer Berlin Heidelberg
Erschienen in
Mathematics and Financial Economics
Print ISSN: 1862-9679
Elektronische ISSN: 1862-9660
DOI
https://doi.org/10.1007/s11579-025-00403-4

Proofs

Proof of proposition 2

Proof
The proof follows the perturbation argument as in [26, Proposition A.2]. The only differences are the optimal consumption process \(C_t=D_t/U_t\) and additional term reflecting non-financial income in the budget equation. \(\square \)

Proof of proposition 3

Proof
Because the processes \(C_t\) and \(U_t\) do not explode in finite time with probability one (cf. [16, Remark 2.6]), by [16, Theorem 2.4] there exists a martingale \({\overline{Z}}_t\) such that \({\widehat{\mathbb {P}}}|_{\mathcal {F}_t}={\overline{Z}}_t\cdot \mathbb {P}|_{\mathcal {F}_t}\) for all \(t>0\). Thanks to [27, Lemma A.3] it holds that \(Z_t={\overline{Z}}_t\), which completes the first part of the proof.
Equation (14) implies that
$$\begin{aligned} P_t=\mathbb {E}^u_t\left[ \int _t^\infty \frac{M_s}{M_t} D_s \, ds\right] =\mathbb {E}_t\left[ \int _t^\infty e^{-\beta (s-t)} C_t^\gamma C_s^{-\gamma } D_s \, ds\right] . \end{aligned}$$
Because
$$\begin{aligned} C_s=C_t\cdot \exp \left( \int _t^s \left( \mu (U_v)-\frac{\sigma (U_v)^2}{2}\right) \,dv+\int _t^s \sigma (U_v) \,dW^C_v\right) , \end{aligned}$$
(41)
and \(D_s=C_s\cdot U_s\), it follows that
$$\begin{aligned} \frac{P_t}{C_t}=&\, \mathbb {E}^u_t\left[ \int _t^\infty e^{- \beta (s-t)} \frac{C_s^{1-\gamma } }{C_t^{1-\gamma }} U_s \, ds\right] \\ =&\, \mathbb {E}^u_t\left[ \int _t^\infty e^{- \int _t^s \left( \beta +(\gamma -1)\left( \mu (U_v)-\frac{\sigma (U_v)^2}{2} \right) \right) \,dv} e^{-(\gamma -1)\int _t^s\sigma (U_v) \,dW^C_v} U_s \, ds\right] \\ =&\, \mathbb {E}^u_t\left[ \int _t^\infty e^{- \int _t^s \left( \beta +(\gamma -1)\left( \mu (U_v)-\frac{\sigma (U_v)^2}{2} \right) \right) \,dv+\frac{(\gamma -1)^2}{2}\int _t^s \sigma (U_v)^2\,dv} \right. \\&\left. e^{-(\gamma -1)\int _t^s\sigma (U_v) \,dW^C_v-\frac{(\gamma -1)^2}{2}\int _t^s \sigma (U_v)^2\,dv} U_s \, ds\right] . \end{aligned}$$
By the Markov property,
$$\begin{aligned} \frac{P_t}{C_t}=&\, \mathbb {E}^{U_t}\left[ \int _0^\infty e^{-(\gamma -1)\int _0^s\sigma (U_v) \,dW^C_v-\frac{(\gamma -1)^2}{2}\int _0^s \sigma (U_v)^2\,dv} e^{-\int _0^s \theta _L(U_v)\,dv} U_s \, ds\right] \\ =&\, \mathbb {E}^{U_t}\left[ \int _0^\infty Z_s\, e^{-\int _0^s \theta _L(U_v)\,dv} U_s \, ds\right] \\ =&\, \int _0^\infty \mathbb {E}^{U_t}\left[ Z_s\, e^{-\int _0^s \theta _L(U_v)\,dv} U_s\right] \, ds=\int _0^\infty {\widehat{\mathbb {E}}}^{U_t}\left[ e^{-\int _0^s \theta _L(U_v)\,dv} U_s\right] \, ds, \end{aligned}$$
where the second-last equality follows from Fubini’s theorem. \(\square \)

Proof of theorem 4

Proof
(i) Because g is continuous and \(\theta _L(u) >0\), by the Hölder continuity of v and \({\widehat{b}}\), the proof of [27, Lemma 3.1] applies, establishing a special version of the inverse of Feymann-Kač formula (extending the results in [28]). That is, the expectation of an integral on the infinite horizon, as a function of the diffusion process, is characterized as the solution to the associated second-order differential equation without boundary conditions.
(ii) Proposition 2 implies that \(e^{-\beta t}\,C_t^{-\gamma }\,e^{\int _0^t r_s\,ds}\) is a local martingale. By Itô’s lemma,
$$\begin{aligned}&d\left( e^{-\beta t}\,C_t^{-\gamma }\,e^{\int _0^t r_s\,ds}\right) =e^{\int _0^t (r_s-\beta )\,ds}\,d(C_t^{-\gamma })+d\left( e^{\int _0^t (r_s-\beta )\,ds}\right) \,C_t^{-\gamma }\\ &=e^{\int _0^t (r_s-\beta )\,ds}C_t^{-\gamma }\left\{ \left( -\gamma \mu (U_t)+\frac{\gamma (\gamma +1)\sigma (U_t)^2}{2}+r_t-\beta \right) \,dt-\gamma \sigma (U_t) \,dW^C_t\right\} . \end{aligned}$$
Setting the drift to zero, the statement follows.
(iii) The asset price \(P_t\) satisfies
$$\begin{aligned}&dP_t = d(g(U_t) C_t) = g(U_t)dC_t +C_t dg(U_t)+ d\langle C_t, g(U_t)\rangle \\&\quad =\mu (U_t) C_t g(U_t)\,dt + \sigma (U_t) C_t g(U_t) dW^C_t+ C_t g'(U_t) b(U_t)\,dt+C_t g'(U_t)\, v(U_t) d{\overline{W}}_t\\&\quad +\frac{1}{2} g''(U_t) v(U_t)^2 C_t\,dt + \sigma (U_t) C_t v(U_t) g'(U_t) \rho (U_t)\,dt. \end{aligned}$$
Then, since \(D_t=C_t \cdot U_t\),
$$\begin{aligned}&dR_t = \frac{dP_t+D_t\,dt}{P_t} = \Bigl [\mu (U_t) + \frac{g'(U_t)}{g(U_t)} b(U_t) \nonumber \\&\qquad \quad +\frac{1}{2} \frac{g''(U_t)}{g(U_t)} v(U_t)^2+ v(U_t)\sigma (U_t)\rho (U_t)\frac{g'(U_t)}{g(U_t)} +\frac{U_t}{g(U_t)}\Bigr ] \,dt\nonumber \\&\qquad \quad + \left( \sigma (U_t)+\frac{g'(U_t)}{g(U_t)} v(U_t)\rho (U_t) \right) \nonumber \\&dW^C_t +\frac{g'(U_t)}{g(U_t)} v(U_t) \sqrt{1-\rho ^2(U_t)}\, dW^U_t \end{aligned}$$
(42)
and the excess expected return is
$$\begin{aligned}&\mu _{R}(U_t)-r(U_t)\, \nonumber \\&\quad = -\beta -(\gamma -1) \mu (U_t)+\frac{\gamma (\gamma +1)\sigma (U_t)^2}{2}+ \frac{g'(U_t)}{g(U_t)} b(U_t) +\frac{1}{2} \frac{g''(U_t)}{g(U_t)} v(U_t)^2 \nonumber \\&\qquad + v(U_t)\sigma (U_t)\rho (U_t)\frac{g'(U_t)}{g(U_t)} +\frac{U_t}{g(U_t)}\nonumber \\ &\quad =\frac{1}{g(U_t)}\Bigl [-\theta _L(U_t) g(U_t) +\gamma \sigma (U_t)^2 \,g(U_t) +{\widehat{b}}(U_t)g'(U_t)\nonumber \\&\qquad +\gamma v(U_t)\sigma (U_t)\rho (U_t) g'(U_t) + \frac{1}{2} v^2(U_t) g''(U_t)+U_t \Bigr ]\nonumber \\&\quad = \gamma \sigma (U_t)^2 +\gamma v(U_t)\sigma (U_t)\rho (U_t) \frac{g'(U_t)}{g(U_t)}. \end{aligned}$$
(43)
where the last equation follows from (17).
(iv) Note that \(\frac{d\langle P, C\rangle _t/dt}{P_t C_t}=\frac{d \langle R, C\rangle _t/dt}{C_t}\). Thus (42) implies that
$$\begin{aligned} \frac{\frac{d\langle P, C\rangle _t/dt}{P_t C_t}}{\frac{d\langle C\rangle _t/dt}{C_t^2}}= \frac{\frac{d \langle R, C\rangle _t/dt}{C_t}}{\frac{d\langle C\rangle _t/dt}{C_t^2}}= \frac{\sigma (U_t)^2+ \frac{g'(U_t)}{g(U_t)} v(U_t) \rho (U_t) \sigma (U_t)}{\sigma (U_t)^2} = 1+ \frac{\rho (U_t) v(U_t) g'(U_t)}{\sigma (U_t) g(U_t)}. \qquad \end{aligned}$$
(44)
\(\square \)

Proof of Proposition 5

Proof
It follows from Theorem 4 after observing that the Jacobi process with Assumption 4 satisfies Assumptions 13. The price-consumption ratio function can be calculated either by solving the ODE in (30) or by direct computation in (12). \(\square \)
1
See also its extension [5] and the empirical assessment of both two models in [8].
 
2
For example, see [29, Definition 5.4.10]. For brevity we omit the dependence of \(\mathbb {P}\) on the (deterministic) initial condition \((C_0,U_0)\).
 
3
The first part of this assertion is proven in [29, Section 5.4.B], the main steps being [29, Proposition 4.6, Corollary 4.8, Proposition 4.11]. See also [27, pp. 387-388] for more details on this construction. The exponential representation of the consumption process then follows from Itô’s formula.
 
4
Henceforth the dependence on the initial value of the consumption process is omitted in the superscript of the expectation, i.e., \({\widehat{\mathbb {E}}}^{u}\) refers to \({\widehat{\mathbb {E}}}^{c,u}\).
 
5
The operator \(\mathbb {E}^u_t\) denotes the conditional expectation \(\mathbb {E}\) on the \(\sigma \)-algebra \(\mathcal {F}_t\), with initial value \(U_t = u\).
 
6
\(C^{m,\alpha }(E;{\mathbb {R}})\) denotes the class of \({\mathbb {R}}\)-valued functions on E with locally \(\alpha \)-Hölder-continuous partial derivatives of mth order.
 
7
The equation \(e^{-k T}=1/2\) has solution \(T\approx 19\) for \(k=0.0357\) as in Table 1.
 
1.
Zurück zum Zitat Albanese, C., Kuznetsov, A.: Transformations of Markov Processes and Classification Scheme for Solvable Driftless Diffusions. arXiv preprint (2007). Available at arxiv:​0710.​1596
2.
Zurück zum Zitat Bansal, R., Kiku, D.: Cointegration and Long-Run Asset Allocation. J. Bus. Econ. Stat. 29(1), 161–173 (2011)MathSciNetCrossRef
3.
Zurück zum Zitat Bansal, R., Yaron, A.: Risks for the Long Run: A Potential Resolution of Asset Pricing Puzzles. J. Financ. 59(4), 1481–1509 (2004)CrossRef
4.
Zurück zum Zitat Bansal, R., Dittmar, R., Kiku, D.: Cointegration and Consumption Risks in Asset Returns. Rev. Financ. Stud. 22(3), 1343–1375 (2009)CrossRef
5.
Zurück zum Zitat Bansal, R., Kiku, D., Yaron, A.: An Empirical Evaluation of the Long-Run Risks Model for Asset Prices. Crit. Financ. Rev. 1(1), 183–221 (2012)CrossRef
6.
Zurück zum Zitat Bansal, R., Kiku, D., Yaron, A.: Risks for the long run: Estimation with time aggregation. J. Monet. Econ. 82(C), 52–69 (2016)CrossRef
7.
Zurück zum Zitat Barro, R.J.: Rare disasters and asset markets in the twentieth century. Q. J. Econ. 121(3), 823–866 (2006)MathSciNetCrossRef
8.
Zurück zum Zitat Beeler, J., Campbell, J.Y.: The long-run risks model and aggregate asset prices: An empirical assessment. Crit. Financ. Rev. 1(1), 141–182 (2012)CrossRef
9.
Zurück zum Zitat Benzoni, L., Collin-Dufresne, P., Goldstein, R.S.: Explaining asset pricing puzzles associated with the 1987 market crash. J. Financ. Econ. 101(3), 552–573 (2011)CrossRef
10.
Zurück zum Zitat Borodin, A.N., Salminen, P.: Handbook of Brownian motion–facts and formulae. Second edition, Birkhäuser Verlag, Basel, Probability and its Applications (2002)CrossRef
11.
Zurück zum Zitat Breeden, D.T.: Intertemporal Portfolio Theory and Asset Pricing. The New Palgrave Dictionary of Economics, 1–11. London: Palgrave Macmillan UK (2016)
12.
Zurück zum Zitat Breeden, D.T.: An intertemporal asset pricing model with stochastic consumption and investment opportunities. J. Financ. Econ. 7(3), 265–296 (1979)CrossRef
13.
Zurück zum Zitat Campbell, J.Y.: Consumption-Based Asset Pricing. In Handbook of the Economics of Finance, Volume 1B, ed. George M. Constantinides, Milton Harris, and René Stulz, 803–887. Amsterdam: Elsevier Science, North-Holland (2003)
14.
Zurück zum Zitat Campbell, J.Y., Cochrane, J.H.: By Force of Habit: A Consumption-Based Explanation of Aggregate Stock Market Behavior. J. Polit. Econ. 107(2), 205–251 (1999)CrossRef
15.
Zurück zum Zitat Chen, G., Hong, Z., Ren, Yu.: Durable consumption and asset returns: Cointegration analysis. Econ. Model. 53, 231–244 (2016)CrossRef
16.
Zurück zum Zitat Cheridito, P., Filipović, D., Yor, M.: Equivalent and absolutely continuous measure changes for jump-diffusion processes. Ann. Appl. Probab. 15(3), 1713–1732 (2005)MathSciNetCrossRef
17.
Zurück zum Zitat Cochrane, J.H., Longstaff, F.A., Santa-Clara, P.: Two Trees. Rev. Financ. Stud. 21(1), 347–385 (2007)CrossRef
18.
Zurück zum Zitat Da, Z.: Cash Flow, Consumption Risk, and the Cross-section of Stock Returns. J. Financ. 64, 923–956 (2009)CrossRef
19.
Zurück zum Zitat Delbaen, F., Shirakawa, H.: An Interest Rate Model with Upper and Lower Bounds. Asia-Pacific Finan. Markets. 9, 191–209 (2002)CrossRef
20.
Zurück zum Zitat Deuschel, J.D., Stroock, D.W.: Large deviations. Pure and Applied Mathematics 137, Academic Press Inc., Boston MA (1989)
21.
Zurück zum Zitat Duffie, D.: Dynamic asset pricing theory. Princeton University Press, Princeton (2010)
22.
Zurück zum Zitat Duffie, D., Zame, W.: The Consumption-Based Capital Asset Pricing Model. Econometrica 57(6), 1279–1297 (1989)MathSciNetCrossRef
23.
Zurück zum Zitat Filipović, D., Larsson, M.: Polynomial diffusions and applications in finance. Finance Stochast. 20(4), 931–972 (2016)MathSciNetCrossRef
24.
Zurück zum Zitat Filipović, D., Larsson, M., Trolle, A.B.: Linear-rational term structure models. J. Financ. 72(2), 655–704 (2017)CrossRef
25.
Zurück zum Zitat Gabaix, X.: Variable rare disasters: An exactly solved framework for ten puzzles in macro-finance. Q. J. Econ. 127(2), 645–700 (2012)CrossRef
26.
Zurück zum Zitat Guasoni, P., Wong, K.C.: Asset Prices in Segmented and Integrated Markets. Finance and Stochastics, 24(4), pp.939-980
27.
Zurück zum Zitat Guasoni, P., Wang, G.: Consumption in Incomplete Markets. Finance Stochast. 24, 383–422 (2020)MathSciNetCrossRef
28.
Zurück zum Zitat Heath, D., Schweizer, M.: Martingales versus PDEs in finance: an equivalence result with examples. J. Appl. Probab. 37, 947–957 (2000)MathSciNetCrossRef
29.
Zurück zum Zitat Karatzas, I., Shreve, S.E.: Brownian motion and stochastic calculus. Graduate Texts in Mathematics, Second edition, Springer-Verlag, New York (1991)
30.
Zurück zum Zitat Larsen, K.S., Sørensen, M.: Diffusion models for exchange rates in a target zone. Math. Financ. 17(2), 285–306 (2007)MathSciNetCrossRef
31.
Zurück zum Zitat Longstaff, F.A., Piazzesi, M.: Corporate earnings and the equity premium. J. Financ. Econ. 74(3), 401–421 (2004)CrossRef
32.
Zurück zum Zitat Lucas, R.E., Jr.: E: Asset Prices in an Exchange Economy. Econometrica 46(6), 1429–1445 (1978)MathSciNetCrossRef
33.
Zurück zum Zitat Mehra, R., Prescott, E.C.: The equity premium: A puzzle. J. Monet. Econ. 15(2), 145–161 (1985)CrossRef
34.
Zurück zum Zitat Menzly, L., Santos, T., Veronesi, P.: Understanding Predictability. J. Polit. Econ. 112(1), 1–47 (2004)CrossRef
35.
Zurück zum Zitat Merton, R.C.: Lifetime Portfolio Selection under Uncertainty: The Continuous-Time Case. Rev. Econ. Stat. 51(3), 247–257 (1969)CrossRef
36.
Zurück zum Zitat Merton, R.C., Model, A.I.C.A.P.: Econometrica 41(5), 867–887 (1973)MathSciNetCrossRef
37.
Zurück zum Zitat Rietz, T.A.: The equity risk premium a solution. J. Monet. Econ. 22(1), 117–131 (1988)CrossRef
38.
Zurück zum Zitat Rubinstein, M.: The valuation of uncertain income streams and the pricing of options. Bell J. Econ. Manag. Sci. 7, 407–425 (1976)MathSciNetCrossRef
39.
Zurück zum Zitat Santos, T., Veronesi, P.: Labor Income and Predictable Stock Returns. Rev. Financ. Stud. 19(1), 1–44 (2005)CrossRef
40.
Zurück zum Zitat Wachter, J.A.: Can time-varying risk of rare disasters explain aggregate stock market volatility? J. Financ. 68(3), 987–1035 (2013)CrossRef
    Bildnachweise
    Salesforce.com Germany GmbH/© Salesforce.com Germany GmbH, IDW Verlag GmbH/© IDW Verlag GmbH, Diebold Nixdorf/© Diebold Nixdorf, Ratiodata SE/© Ratiodata SE, msg for banking ag/© msg for banking ag, C.H. Beck oHG/© C.H. Beck oHG, OneTrust GmbH/© OneTrust GmbH, Governikus GmbH & Co. KG/© Governikus GmbH & Co. KG, Horn & Company GmbH/© Horn & Company GmbH, EURO Kartensysteme GmbH/© EURO Kartensysteme GmbH, Jabatix S.A./© Jabatix S.A.