Zum Inhalt

Base-catalysed hydrolysis of cellulose oxalate significantly affects its long-term stability

  • Open Access
  • 22.01.2026
  • Original Research
Erschienen in:

Aktivieren Sie unsere intelligente Suche, um passende Fachinhalte oder Patente zu finden.

search-config
loading …

Abstract

Der Artikel untersucht die Stabilität von Celluloseoxalatester und konzentriert sich dabei auf seine Anfälligkeit für basenkatalysierte Hydrolyse. Es untersucht die Auswirkungen unterschiedlicher pH-Werte auf die Stabilität der Esterbindung und zeigt eine signifikante Hydrolyse selbst bei Raumtemperatur und mittlerem pH-Wert auf. Die Studie unterstreicht die Bedeutung einer sorgfältigen Kontrolle der Lagerung und Durchlaufzeiten für reproduzierbare Laborarbeiten und industrielle Prozesse. Außerdem wird der Säuregehalt der Carbonsäure innerhalb von Celluloseoxalat untersucht und mit anderen Cellulosederivaten verglichen. Die Forschungsergebnisse kommen zu dem Schluss, dass Nanocellulose, die mit Oxalsäure hergestellt wird, trotz der Instabilität der Esterbindung für bestimmte Anwendungen immer noch nützlich sein könnte, insbesondere wenn sie direkt nach der Produktion verwendet wird. Der Artikel schlägt auch weitere Studien vor, die Techniken wie Festkörper-NMR verwenden, um das Verständnis des Hydrolyseprozesses zu vertiefen.

Supplementary Information

The online version contains supplementary material available at https://doi.org/10.1007/s10570-026-06948-x.

Publisher's Note

Springer Nature remains neutral with regard to jurisdictional claims in published maps and institutional affiliations.

Introduction

Cellulose nanomaterials have received a lot of attention within the cellulose research field, mainly because compared to micro- or macro-sized cellulosic fibres, the increased surface area and smaller dimensions can lead to increased efficiency or sometimes unique features, such as self-assembly into iridescent films (Gray 2016) or the ability to form load bearing transparent gels already at concentrations as low as 0.01 wt.% (Östmans et al. 2024). To date, research and development have discovered numerous different processes to prepare nanocellulose of varying surface chemistry and sizes, such as shorter more rigid cellulose nanocrystals or longer more flexible cellulose nanofibrils (Rol et al. 2019). Only a few processes are currently being used on a commercial scale and it can be difficult to estimate the total world production and sometimes to understand if nano- and not micro-cellulose is being produced. Despite this, the currently largest producer of cellulose nanocrystals, based in Canada, has an annual production capacity of 300 dried metric tonnes per year and utilizes a sulfuric acid-based process (CelluForce 2025). Another large producer has a stated production capacity of 150 dried metric tonnes per year and they are producing carboxymethylated nanocrystals (Anomera 2025). The largest production of chemically modified cellulose nanofibers can be found in Japan, where the total production was estimated to 880 dried metric tonnes per year in 2017 and includes different processes, mainly producing carboxymethylated nanocellulose and TEMPO-oxidised nanocellulose (Yano Research Institute 2017). Most known processes to produce nanocellulose result in an aqueous suspension of nanocellulose and is sold as an aqueous suspension but cellulose nanocrystals are also being sold in dried form (Anomera 2025; CelluForce 2025).
One of the processes that have been utilized within research to produce chemically modified cellulose nanomaterial is to perform simultaneous hydrolysis and esterification of cellulose with oxalic acid, which is an organic acid. Utilizing an oxalic acid-based process could be interesting due to several reasons: the yield of nanocellulose (based on the starting cellulosic material) could be higher than for sulfuric acid hydrolysed nanocellulose because less hydrolysis is likely to occur with a weaker acid; oxalic acid can be sourced from a renewable resource or even produced by carbon capture (Schuler et al. 2021); the chemical modification could potentially lower the mechanical energy required to reduce the dimensions of the cellulose if compared to solely using mechanical treatment. Although several researchers have utilized oxalic acid to produce cellulose nanomaterials (Chen et al. 2016; Henschen et al. 2019; Jiang et al. 2021; Onyianta et al. 2023; Vanderfleet et al. 2022), to the best of our knowledge no one has investigated the stability of the cellulose oxalate ester other than performing degradation testing through for example thermogravimetric analysis (TGA) measurements. In terms of assessing the stability of a cellulose ester, TGA measurements are more suited to give an indication of the temperatures that can be applied in for example plastic processing, but it will not provide insight into the long-term stability of the cellulose ester in aqueous or ambient conditions.
Cellulose esters are known to be susceptible to acid- or base catalysed hydrolysis of the ester bond, e.g., in the well-known viscose process the cellulose xanthate ester is dissolved and then the ester is purposely hydrolysed to regenerate cellulose. In a review on cellulose esters the instability of cellulose acetate propionate esterified with maleic acid in water is well understood and it is recommended to use it “quickly” (Edgar et al. 2001). Within nanocellulose research, cellulose nanocrystals with sulphate half-ester groups have been shown to even undergo auto-catalysed acidic de-sulphation (Beck & Bouchard 2014). Many different applications have been proposed for nanocellulose in diverse areas ranging from biomedical (Govindarasu et al. 2025) to food (Anand Babu et al. 2022) to composite materials (Dufresne 2019) to name a few. Applications that require the use of nanocellulose in aqueous state will most likely require the material to be stable over storage times ranging from months to years if a normal production and supply chain and shelf life of the product is considered (ISM 2025; Food Safety and Inspection Service (2025)). Applications that utilize the nanocellulose in dried form, e.g. composite material might still require long-term stability if the nanocellulose is synthesized in one location and utilized in another. In this study we report on the stability of the cellulose oxalate ester under ambient alkaline conditions, which is of high importance for any application utilizing nanocellulose produced with oxalic acid considering that most often nanocellulose is in aqueous alkaline conditions after mechanical processing.

Materials

The cellulose was a softwood sulphite dissolving pulp with a brightness > 92%, viscosity of 600 ml/g (DP 750) and an α-cellulose content of 93% provided by Domsjö Fabriker (ULTRA 2030). Oxalic acid dihydrate C2H2O4 · 2 H2O (Supelco, Merck reag.grade), acetone (EMPARTA® ACS analytical reagent, Supelco, Merck), hydrochloric acid 36% HCl (Supelco, Merck), disodium oxalate Na2C2O4 (Supelco, Merck), ion exchange resin (Amberlite IRC120H), sodium hydrogen carbonate NaHCO3 (reag.grade), potassium dihydrogen phosphate KH2PO4 (reag.grade) and sodium hydroxide NaOH (reag.grade) were all purchased from VWR and used as received. Poly-L-lysine 0.1 wt% (aq) was purchased from Sigma-Aldrich and used as received.

Methods

Hydrolysis and esterification of cellulose

A 250 mL beaker was loaded with solid oxalic acid dihydrate and a magnetic stirrer, sealed and placed in an oil bath heated to 125 °C. Upon heating and when the acid had turned liquid, the pulp was added to start the reaction. Note that it is important to seal the reaction vessel and not to have too much headspace in the reaction vessel (water will first evaporate from the oxalic acid dihydrate but it needs to be recirculated to the acid to dissolve it). The acid-to-pulp weight ratio was 10–1 and typically 10 g of pulp was used. The reaction time was 30 min after addition of the pulp and the reaction was quenched by removing the beaker from the oil bath and pouring the hot mixture into a larger beaker containing 300 mL acetone. After stirring for 10 min, the mixture was filtrated, and the hydrolysed cellulose powder was resuspended in 300 mL acetone under stirring for 1 h. The sample was then filtrated and a series of consecutive water washes with 200 mL water followed until the conductivity of the filtrate was below 50 µS.

Stability in buffer solution

Duplicate synthesis batches were produced for the buffer experiments. 0.3 g of dry cellulose oxalate powder (95%) was immersed in 50 mL buffer solution and stirred for 24 h at room temperature. The sample was then washed with deionized water by centrifugation until the conductivity of the supernatant water was below 2 µS to remove the buffer. The buffer solutions for pH 6, 7 and 8 were prepared by mixing 0.1 M KH2PO4 and 0.1 M NaOH(aq). The buffer solutions for pH 9 and 10 were prepared by mixing 0.05 M NaHCO3 and 0.1 M NaOH(aq). After washing to remove the buffer solution, the samples needed to be protonated before again measuring the carboxylic group content. For protonation, the samples were immersed in 0.1 M HCl(aq) at pH 1.05 for 30 min and subsequently washed again with deionized water by repeated centrifugation to remove the HCl(aq) before measuring the carboxylic group content by conductometric titration. The carboxylic group content remaining after immersion in buffer solution was calculated according to Eq. 1.
$$ \begin{gathered} {\text{Carboxylic}}\;{\text{group}}\;{\text{content}}~\left( {CGC} \right)~{\text{remaning}}~\% \hfill \\ = ~\frac{{CGC~{\text{after}}~{\text{buffer~treatment}}~\left[ {mmol/g} \right]}}{{{\text{Initial}}~CGC~\left[ {mmol/g} \right]}}~ \times 100 \hfill \\ \end{gathered} $$
(1)

Nanocellulose production

5 g of cellulose oxalate was dispersed in water to a total of 500 g (1 wt.% dispersion) and 1 M NaOH(aq) was added until the pH reached 10. The dispersion was mechanically treated using a M-110EH from Microfluidics within 30 min from adjusting the pH. The dispersion was passed 1 time through a set of chambers with larger diameter (400 & 200 µm) at 700 bar and then 4 times through a set with 200 & 100 µm diameter at 1700 bar. The pH after the mechanical treatment dropped to 7.

Conductometric titration

0.1 g of sample with a dry content of 95% was suspended in 490 ml milliQ water and 10 mL of 0.1 M NaCl(aq) was added. The suspension was titrated with 0.1 M NaOH(aq) with 25 μL increments using an automated titrator from Metrohm (module 856 with an 800 dosino) with nitrogen gas flowing through the sample. A single equivalence point and not the plateau was used to calculate the carboxylic group content according to Eq. 2, where V is the volume of titrant added to reach the equivalence point, M is the molar strength of the titrant NaOH and m is the dry mass of the sample.
$$ \begin{gathered} {\text{Carboxylic}}~{\text{group}}~{\text{content}}~\left[ {mmol/g} \right] \hfill \\ = \frac{{V\left[ {ml} \right] \times ~M~\left[ {mol/L} \right]}}{{m~\left[ g \right]}} \hfill \\ \end{gathered} $$
(2)

pKa determination

Cellulose oxalate nanocellulose was dialyzed for 24 h with two water exchanges, protonated using ion exchange resin and then titrated by hand with 0.1 M NaOH(aq). The pH was recorded 60 s after each addition. The protonation and titration were performed within the same day.

Fourier transform infrared spectroscopy (FTIR)

A Spectrum 100 from PerkinElmer with a Specac golden gate was used in ATR-mode to analyse the sample. 32 scans at 4 cm− 1 resolution were typically applied. The baseline was corrected through a manual selection of three baseline points and normalization was performed against the peak in the area between 1310–1320 cm− 1.

Atomic force microscopy (AFM)

The nanocellulose suspension was diluted from 1 wt.% to 0.0125 wt.% and mixed using an Ultra-Turrax high shear mixer from IKA for 30 s at low speed. Silica wafers were cleaned using ozone treatment and suspended in 1 M NaOH, rinsed with water, dried and coated with poly-lysine at pH 7 before dip-coating with the nanocellulose suspension. The surfaces were imaged using a Multimode 8 AFM from Bruker in Scan Asyst mode equipped with a SCANASYST-AIR probe with a nominal tip radius of 2 nm and spring constant of 0.4 N/m. The Nanoscope Analysis software was used to process and analyse the topographic images. The 2nd-order flattening function was used to process the images.

Results and discussion

Hydrolysis of the ester bond

The initial carboxylic group content varied between the two synthesis batches and were 0.26 ± 0.03 mmol/g and 0.39 ± 0.03 mmol/g. The stability of the ester bond within the pH range of 6–10 was investigated by measuring the carboxylic group content of the material before and after immersion in a buffer for 24 h. The results as seen in Table 1 indicate that hydrolysis of the ester bond occurs already at pH 6 but increases rapidly above pH 8 and already after 24 h in a buffer at pH 10 only 30% of the initial carboxylic group content remained.
Table 1
Carboxylic group content remaining after suspension in buffer at the selected pH for 24 h
Buffer pH
Carboxylic group content remaining
6
76 ± 0.5%
7
76 ± 0.2%
8
72 ± 2.7%
9
42 ± 0.2%
10
29 ± 1.3%
The pH range investigated here was chosen because it is relevant for nanocellulose production as the cellulose oxalate needs to be deprotonated to provide electrostatic repulsion before mechanical treatment to lower the mechanical energy input while increasing the yield of nanocellulose. Noteworthy observations that led us to investigate hydrolysis of the ester bond were that when producing nanocellulose (as described in the experimental section, see Fig. S1 for AFM image of the nanocellulose), the pH of the suspension would drop significantly after mechanical treatment (from ca 10–7). A similar drop in pH could be observed if the suspension was left to stir overnight before mechanical treatment. Another observation that led us to believe that hydrolysis was occurring over time was that the nanocellulose suspension would gradually turn thicker upon storage. Immediately after homogenization and for the subsequent 24 h, the suspension would be liquid as water but upon subsequent storage at room temperature it would turn thicker and form a gel. We emphasize that it is normal that the high shear inflicted by homogenization will cause the nanocellulose to align and that the viscosity will need time to fully settle but that this is not what was observed here. We now hypothesize that the observed thickening is due to aggregation of the fibrils due to loss of carboxylic group content and possibly build-up of sodium oxalate salt. We have also made observations that indicate that the ester is susceptible to auto-catalysed hydrolysis of the ester bond. The longer a sample of cellulose oxalate was left to stir in deionized water the higher the conductivity would become, even after washing with short 5 min consecutive water washes to remove excess unreacted acid (see Tale S1); the batches of cellulose oxalate powder that were stored dry (95%) in sealed containers after synthesis and washing became more acidic with time (pH 2.4–pH 2.25 for a 1% suspension after 3 months storage). Based on these observations and the results from the base-catalysed hydrolysis the ester most likely undergoes significant hydrolysis also under acidic conditions. The ester bond might already begin to hydrolyse in the washing step with water after synthesis (during which the initial pH of the suspension was below 3). These results show that the stability of the ester bond is important to consider when handling the cellulose oxalate, for example before deprotonating the material as a step before mechanical treatment to produce nanocellulose or when washing the ester with water. It should be noted that although cellulose esters in general are susceptible towards hydrolysis in aqueous environments, the stability of each cellulose ester should be investigated to see if the stability is acceptable for the intended use purpose. It can be noted that at the investigated pH levels, no significant molecular weight degradation is expected based on previous research of alkaline degradation of cellulose (Knill and Kennedy 2003; Swensson 2022).

Characterization using FTIR spectroscopy

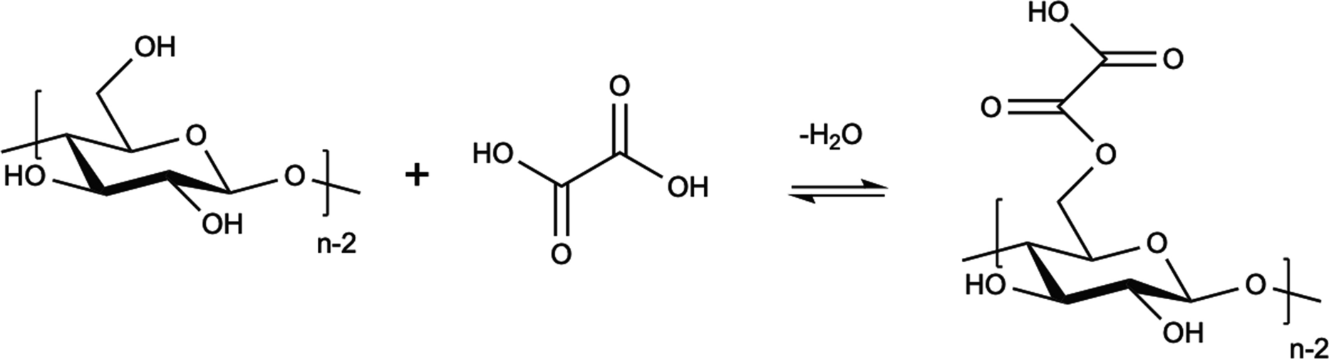
In addition to conductometric titration, FTIR spectroscopy was employed to analyse the samples. In several previous studies on cellulose nanomaterials produced using oxalic acid, FTIR has been used to confirm esterification and a peak at around 1740–1720 cm− 1 has been attributed to the C = O stretching (Douard et al. 2022; Li et al. 2017). The oxalic acid functionalized cellulose will however contain two types of carbonyls, one in an ester group and the other in a carboxylic acid group (see Fig. 1). In other cellulosic materials with carboxylic functionality (such as TEMPO-CNF or carboxymethyl cellulose), the carbonyl signal from the carboxylic acid shifts significantly downwards from ca 1740–1590 cm− 1 upon deprotonation (Coseri et al. 2015; de Britto & Assis 2009). It should therefore be possible to identify both the ester and the carboxylic acid functionality in the FTIR spectra if both protonated and deprotonated spectra are examined. ATR-FTIR was therefore conducted on the same set of samples that were immersed in buffers (and after washing with water).
Fig. 1
Chemical formula of esterification of cellulose with oxalic acid. Substitution at C6 is only assumed but not investigated
Bild vergrößern
In the spectra of the cellulose oxalate not treated with a buffer, two peaks at ca 1740 respectively 1640 cm− 1 were observed (see Fig. 2). Based on the authors experience, a peak at around 1640 cm−1 is always observed in cellulose samples and can be attributed to adsorbed water (Guo et al. 2018). In the spectra of the samples that were treated with buffer solutions, it can be observed that as the pH of the buffer suspension was increased, the peak attributed to adsorbed water increased while that attributed to the carbonyl in the ester and carboxylic acid decreased and shifter downwards and at pH 9 or 10 decreases significantly. There was no shift of the carboxylate peak to around 1590 cm−1 as reported for TEMPO-CNF or carboxymethyl cellulose (Coseri et al. 2015; de Britto & Assis 2009). Disodium oxalate was measured as a reference and a peak at 1625 cm−1 was observed (see Fig. S2 in the supporting information). Most likely the carbonyl peak of the deprotonated cellulose oxalate is overlapping with that of adsorbed water, making it difficult to separate them since the cellulose oxalate quickly adsorbs water even if the sample was dried in an oven prior to measurement.
Fig. 2
In ascending order, ATR-FTIR spectra of cellulose oxalate after the reaction (no buffer) and after immersion in buffer solution at pH 6, 7, 8, 9 and 10 (deprotonated samples). The spectra have been shifted for increased visibility
Bild vergrößern
Following re-protonation of the samples after immersion in buffer, the peak at 1740 cm− 1 was regenerated and in the sample for pH 7 an additional peak at 1700 cm− 1 was observed (a hint of it can be observed at pH 6 and 8 as well, see Fig. 3.). A tentative explanation is that this peak can be attributed to the carbonyl in the carboxylic acid. It can also be concluded that the results from FTIR-analysis agree with the carboxylic group content determination through conductometric titration and show that hydrolysis of the ester bond was more extensive at pH 9 and 10. The full FTIR spectra can be viewed in the supporting information (Fig. S3 and S4).
Fig. 3
In ascending order, ATR-FTIR spectra of cellulose oxalate after the reaction (no buffer) and after immersion in buffer solution at pH 6, 7, 8, 9 and 10 (after re-protonation). The spectra have been shifted for increased visibility
Bild vergrößern

A note on determination of carboxylic group content using conductometric titration

When performing conductometric titration a more acidic group such as the sulphate half-ester from sulphuric acid-CNC will produce a V-shaped curve while a weaker acidic group such as the carboxylic acid in TEMPO-CNF will produce a plateau (Beck et al. 2015; Fraschini et al. 2017; Katz et al. 1984). Cellulose oxalate has a carboxylic acid functionality, and therefore one might assume that the titration will produce curves with a plateau similar to TEMPO-oxidised cellulose but cellulose oxalate gives V-shaped curves, indicating that the cellulose oxalate functional group is relatively acidic. The carboxylic group content was therefore calculated using a singular equivalence point. In Fig. 4 two titration curves for the same weight of cellulose oxalate sample before and after submersion in a buffer at pH 10 can be viewed. As can be seen, after hydrolysis of the ester bond the equivalence point is reached at lower volumes but the curves both turn on the same number of additions (i.e. there is no plateau region). Note that for materials with a mix of strong and weak groups both the single equivalence point method and the plateau method might need to be applied.
Fig. 4
Example of a conductometric titration curve of cellulose oxalate after the reaction (blue) and after immersion in a pH 10 buffer for 24 h (followed by protonation, orange)
Bild vergrößern

pKa determination

Oxalic acid is a bifunctional acid with reported pKa values of 1.2 and 4.2 (Organic Chemistry Michigan State University 2025) and assuming that it is the more acidic carboxylic acid that takes part in the esterification, the question remains what the pKa of the free carboxylic acid will be when it is attached to cellulose. To measure the acidity of the introduced oxalate functionality, the pKa was measured via titration on a sample of cellulose oxalate nanocellulose after dialysis and ion-exchange (see Fig. 5). The pKa was determined to be 3.8, which is higher than that which has been reported for CNC with sulphate half-ester groups but lower than 5.1 that has been reported for cellulose functionalized with carboxylic acid groups through oxidation (Antoniw et al. 2023). The measured value in this study of 3.8 concurs with the observations made in the conductometric titrations that the carboxylic acid is relatively acidic.
Fig. 5
Titration curve of cellulose oxalate with NaOH(aq)
Bild vergrößern

Conclusions

Simultaneous hydrolysis and esterification of cellulose can be used to add ionizable groups to cellulose and produce nanocellulose. The cellulose oxalate ester is however significantly unstable in alkaline aqueous environment. Base-catalysed hydrolysis of the cellulose oxalate ester can be detected already at room temperature and intermediate pH levels of pH 6 to 8 but proceed even more rapidly at pH exceeding 8. Indications of significant auto-catalysed hydrolysis were shown but the rate of hydrolysis under acidic conditions and different temperatures remains to be investigated. The results in this article might be further studied with for example solid state-NMR. Careful control of storage and lead times need to be considered both for reproducible lab work and for industrial processes that want to utilize cellulose oxalate. It can also be concluded that the carboxylic acid within the cellulose oxalate is more acidic than that which is formed by for example TEMPO-mediated oxidation, which is important to consider when characterizing the material with for example conductometric titration. Despite the instability of the ester bond, nanocellulose produced using oxalic acid might still be useful for certain applications, for example if the nanocellulose is used directly after production and used in dried form before hydrolysis can occur.

Declarations

Competing interests

The authors declare no competing interests.
Open Access This article is licensed under a Creative Commons Attribution 4.0 International License, which permits use, sharing, adaptation, distribution and reproduction in any medium or format, as long as you give appropriate credit to the original author(s) and the source, provide a link to the Creative Commons licence, and indicate if changes were made. The images or other third party material in this article are included in the article's Creative Commons licence, unless indicated otherwise in a credit line to the material. If material is not included in the article's Creative Commons licence and your intended use is not permitted by statutory regulation or exceeds the permitted use, you will need to obtain permission directly from the copyright holder. To view a copy of this licence, visit http://creativecommons.org/licenses/by/4.0/.

Publisher's Note

Springer Nature remains neutral with regard to jurisdictional claims in published maps and institutional affiliations.
Download
Titel
Base-catalysed hydrolysis of cellulose oxalate significantly affects its long-term stability
Verfasst von
Beatrice Swensson
Monica Ek
Publikationsdatum
22.01.2026
Verlag
Springer Netherlands
Erschienen in
Cellulose / Ausgabe 3/2026
Print ISSN: 0969-0239
Elektronische ISSN: 1572-882X
DOI
https://doi.org/10.1007/s10570-026-06948-x

Supplementary Information

Below is the link to the electronic supplementary material.
Zurück zum Zitat Anand Babu P, Reshma BN, Moses JA, Anandharamakrishnan C (2022) Nanocellulose: recent trends and applications in the food industry. Food Hydrocoll 127:107484. https://doi.org/10.1016/j.foodhyd.2022.107484CrossRef
Zurück zum Zitat Anomera (2025) Our company. Accessed 8th of August 2025. https://anomera.ca/our-company/
Zurück zum Zitat Antoniw JM, Hallman MT, Kiriakou MV, Morse T, Cranston ED (2023) Colloidal stability window for carboxylated cellulose nanocrystals: considerations for handling, characterization, and formulation. Langmuir 39(30):10321–10334. https://doi.org/10.1021/acs.langmuir.3c00319CrossRefPubMed
Zurück zum Zitat Beck S, Bouchard J (2014) Auto-catalyzed acidic desulfation of cellulose nanocrystals. Nord Pulp Pap Res J 29(1):6–14. https://doi.org/10.3183/npprj-2014-29-01-p006-014CrossRef
Zurück zum Zitat Beck S, Méthot M, Bouchard J (2015) General procedure for determining cellulose nanocrystal sulfate half-ester content by conductometric titration. Cellulose 22(1):101–116. https://doi.org/10.1007/s10570-014-0513-yCrossRef
Zurück zum Zitat CelluForce (2025) About CelluForce. Accessed 8th of August 2025. https://celluforce.com/about-celluforce/
Zurück zum Zitat Chen L, Zhu JY, Baez C, Kitin P, Elder T (2016) Highly thermal-stable and functional cellulose nanocrystals and nanofibrils produced using fully recyclable organic acids. Green Chem 18:3835–3843. https://doi.org/10.1039/C6GC00687FCrossRef
Zurück zum Zitat Coseri S, Biliuta G, Zemljič LF, Srndovic JS, Larsson PT, Strnad S, Kreže T, Naderi A, Lindström T (2015) One-shot carboxylation of microcrystalline cellulose in the presence of nitroxyl radicals and sodium periodate. RSC Adv 5(104):85889–85897. https://doi.org/10.1039/C5RA16183ECrossRef
Zurück zum Zitat de Britto D, Assis OBG (2009) Thermal degradation of carboxymethylcellulose in different salty forms. Thermochim Acta 494(1):115–122. https://doi.org/10.1016/j.tca.2009.04.028CrossRef
Zurück zum Zitat Douard L, Belgacem MN, Bras J (2022) Extraction of carboxylated nanocellulose by combining mechanochemistry and NADES. ACS Sustain Chem Eng 10(39):13017–13025. https://doi.org/10.1021/acssuschemeng.2c02783CrossRef
Zurück zum Zitat Dufresne A (2019) Nanocellulose processing properties and potential applications. Curr Forestry Rep 5:76–89. https://doi.org/10.1007/s40725-019-00088-1CrossRef
Zurück zum Zitat Edgar KJ, Buchanan CM, Debenham JS, Rundquist PA, Seiler BD, Shelton MC, Tindall D (2001) Advances in cellulose ester performance and application. Prog Polym Sci 26(9):1605–1688. https://doi.org/10.1016/S0079-6700(01)00027-2CrossRef
Zurück zum Zitat Food Safety and Inspection Service (2025) Shelf-stable food Accessed 6th of August 2025 https://www.fsis.usda.gov/food-safety/safe-food-handling-and-preparation/food-safety-basics/shelf-stable-food
Zurück zum Zitat Fraschini C, Chauve G, Bouchard J (2017) TEMPO-mediated surface oxidation of cellulose nanocrystals (CNCs). Cellulose 24(7):2775–2790. https://doi.org/10.1007/s10570-017-1319-5CrossRef
Zurück zum Zitat Govindarasu M, Palanisamy S, George Joy J et al (2025) Advances of nanocellulose and cellulose-based derivatives for biomedical applications. Cellulose. https://doi.org/10.1007/s10570-025-06576-xCrossRef
Zurück zum Zitat Gray DG (2016) Recent advances in chiral nematic structure and iridescent color of cellulose nanocrystal films. Nanomaterials 6(11):213. https://doi.org/10.3390/nano6110213CrossRefPubMedPubMedCentral
Zurück zum Zitat Guo X, Liu L, Wu J, Fan J, Wu Y (2018) Qualitatively and quantitatively characterizing water adsorption of a cellulose nanofiber film using micro-FTIR spectroscopy. RSC Adv 8(8):4214–4220. https://doi.org/10.1039/C7RA09894DCrossRef
Zurück zum Zitat Henschen J, Li D, Ek M (2019) Preparation of cellulose nanomaterials via cellulose oxalates. Carbohydr Polym 213:208–216. https://doi.org/10.1016/j.carbpol.2019.02.056CrossRefPubMed
Zurück zum Zitat Institute for supply management (ISM) (2025) July 2025 manufacturing ism report on business. accessed 6th of Aug 2025 https://www.ismworld.org/supply-management-news-and-reports/reports/ism-report-on-business/pmi/july/
Zurück zum Zitat Organic chemistry michigan state university. ionization constants of heteroatom organic acids. https://www2.chemistry.msu.edu/faculty/reusch/virttxtjml/acidity2.htm. Accessed May 10 2025.
Zurück zum Zitat Jiang J, Zhu Y, Zargar S, Wu J, Oguzlu H, Baldelli A, Yu Z, Saddler J, Sun R, Tu Q, Jiang F (2021) Rapid, high-yield production of lignin-containing cellulose nanocrystals using recyclable oxalic acid dihydrate. Ind Crops Prod 173:114148. https://doi.org/10.1016/j.indcrop.2021.114148CrossRef
Zurück zum Zitat Katz S, Beatson RP, Anthony M (1984) The determination of strong and weak acidic groups in sulfite pulps. Svensk Papperstidning-Nordisk Cellulosa 87:48–53
Zurück zum Zitat Knill CJ, Kennedy JF (2003) Degradation of cellulose under alkaline conditions. Carbohydr Polym 51(3):281–300. https://doi.org/10.1016/S0144-8617(02)00183-2CrossRef
Zurück zum Zitat Li D, Henschen J, Ek M (2017) Esterification and hydrolysis of cellulose using oxalic acid dihydrate in a solvent-free reaction suitable for preparation of surface-functionalised cellulose nanocrystals with high yield. Green Chem 19(23):5564–5567. https://doi.org/10.1039/C7GC02489DCrossRef
Zurück zum Zitat Onyianta AJ, Xu G, Etale A, Eloi JC, Eichhorn SJ (2023) Tackling the challenge of drying and redispersion of cellulose nanofibrils via membrane-facilitated liquid phase exchange. Carbohydr Polym 314:120943. https://doi.org/10.1016/j.carbpol.2023.120943CrossRefPubMed
Zurück zum Zitat Östmans R, Benselfelt T, Erlandsson J, Rostami J, Hall S, Lindström SB, Wågberg L (2024) Solidified water at room temperature hosting tailored fluidic channels by using highly anisotropic cellulose nanofibrils. Mater Today Nano 26:100476. https://doi.org/10.1016/j.mtnano.2024.100476CrossRef
Zurück zum Zitat Rol F, Belgacem MN, Gandini A, Bras J (2019) Recent advances in surface-modified cellulose nanofibrils. Prog Polym Sci 88:241–264. https://doi.org/10.1016/j.progpolymsci.2018.09.002CrossRef
Zurück zum Zitat Schuler E, Demetriou M, Shiju NR, Gruter GJM (2021) Towards sustainable oxalic acid from CO2 and biomass. Chemsuschem 14(18):3636–3664. https://doi.org/10.1002/cssc.202101272CrossRefPubMedPubMedCentral
Zurück zum Zitat Swensson B (2022) Dissolution of cellulose in aqueous hydroxide base solvents. Dissertation, Chalmers University of Technology. https://research.chalmers.se/publication/528614/file/528614_Fulltext.pdf
Zurück zum Zitat Vanderfleet OM, D’Acierno F, Isogai A, MacLachlan MJ, Michal CA, Cranston E (2022) Effects of surface chemistry and counterion selection on the thermal behavior of carboxylated cellulose nanocrystals. Chem Mater 34(18):8248–8261. https://doi.org/10.1021/acs.chemmater.2c01665CrossRef
Zurück zum Zitat Yano Research Institute (2017) CNF (Cellulose Nanofiber) Market in Japan: Key Research Findings 2017. Accessed 8th of August 2025. https://www.yanoresearch.com/en/press-release/show/press_id/1740