Zum Inhalt

Biodegradable composites for sustainable nutrient delivery in aquatic environment

  • Open Access
  • 01.05.2026
  • Original Paper
Erschienen in:

Aktivieren Sie unsere intelligente Suche, um passende Fachinhalte oder Patente zu finden.

search-config
loading …

Abstract

Diese Studie befasst sich mit der Erzeugung und Bewertung biologisch abbaubarer Verbundstoffe, die für eine kontrollierte Nährstoffzufuhr in hydroponischen Systemen entwickelt wurden. Dabei werden die drängenden Probleme der Wasserknappheit und der ökologischen Nachhaltigkeit angesprochen. Die Forschung konzentriert sich auf die Integration von Stickstoff-Phosphor-Kalium-Düngemitteln (NPK) in biologisch abbaubare Polymermatrizen wie PBAT und PLA mit und ohne Zusatz von abgebranntem Kaffeesatz (SCG). Die Verbundwerkstoffe wurden aufgrund ihrer thermischen, morphologischen und mechanischen Eigenschaften sowie ihres wasserinduzierten Abbau- und Nährstofffreisetzungsverhaltens charakterisiert. Zu den wichtigsten Ergebnissen gehört die erhöhte Zersetzungskapazität der Verbundwerkstoffe in den ersten 30 Tagen, die durch das Vorhandensein von SCG und NPK beeinflusst wird. Die Studie unterstreicht die Rolle von SCG bei der Förderung des Wassereindringens und der Nährstoffdiffusion sowie den verzögerten thermischen Abbau der Füllstoffe innerhalb der Verbundstruktur. Die mechanischen Eigenschaften der Verbundwerkstoffe wurden durch die Wechselwirkung zwischen den Füllstoffen und den polymeren Matrizen beeinflusst, wobei die Zugfestigkeit aufgrund der schlechten Haftung zwischen den hydrophilen Füllstoffen und den hydrophoben Polymeren deutlich abnahm. Die Ergebnisse zeigen das Potenzial dieser funktionellen Verbundwerkstoffe für die Produktion von Pflanzenstützen in der Hydroponik und bieten eine nachhaltige Lösung für die Nährstoffversorgung in aquatischen Umgebungen.

Publisher’s Note

Springer Nature remains neutral with regard to jurisdictional claims in published maps and institutional affiliations.

Introduction

Climate change stands as one of the most critical challenges of the 21st century, impacting natural resources, particularly water availability and arable land. The Intergovernmental Panel on Climate Change (IPCC) reports that increasing global temperatures and shifting precipitation patterns are intensifying water scarcity, with detrimental effects on agricultural productivity and global food security [1]. These challenges underscore the urgent need for sustainable agricultural practices that reduce water consumption and mitigate environmental degradation [2].
In this context, hydroponic farming has gained recognition as a viable alternative to traditional soil-based agriculture, offering notable advantages in water efficiency and resource management. Hydroponic systems operate by recirculating water and nutrients, achieving up to 90% reduction in water usage compared to conventional methods while sustaining high crop yields [3]. This makes hydroponics a key player in addressing the dual challenges of water scarcity and the need for sustainable food production [4]. However, to fully realize the potential of hydroponics, the development of innovative materials and technologies is essential to further enhance its environmental and operational benefits.
Functional packaging has gained significant interest in recent years for its capacity to deliver added value beyond traditional roles of containment and protection. These advanced materials are engineered to interact with their contents or the surrounding environment, providing functionalities such as antimicrobial properties, oxygen scavenging, or the controlled release of active substances [5]. In the food industry, for instance, functional packaging has been shown to extend product shelf life, enhance safety, and reduce food waste [6]. Similarly, in the agriculture sector, functional packaging can play a crucial role in enhancing sustainability by incorporating fertilizers, pesticides, or growth promoters into the material matrix, thereby reducing the need for external inputs and minimizing environmental pollution [7].
One of the critical issues in modern agriculture, including hydroponics, is the excessive use of chemical fertilizers. Conventional fertilizer application often leads to nutrient leaching and runoff, causing soil degradation, groundwater contamination, and eutrophication of aquatic ecosystems [8]. Controlled-release fertilizers (CRFs) have been developed to mitigate these problems by delivering nutrients gradually, thereby improving nutrient use efficiency and reducing environmental impacts [9]. Incorporating nitrogen-phosphorus-potassium (NPK) fertilizer into biodegradable polymeric matrices can transform them into CRFs, offering a sustainable solution for precise and efficient nutrient delivery in hydroponic systems.
Recent studies have highlighted the potential of incorporating NPK fertilizers into biodegradable polymer matrices for controlled-release applications. For example, Wu and Liu developed polylactic acid composites integrating NPK fertilizer, showing that the addition of NPK improved the biodegradability of the material while enabling gradual nutrient release [10]. Guilherme et al. explored the use of starch-based superabsorbent polymers for NPK encapsulation, highlighting their dual functionality in water retention and nutrient delivery [7]. Daitx et al. investigated biodegradable polymer/clay systems for the highly controlled release of NPK, using PLA and PHB matrices, demonstrating their suitability for agricultural applications due to their biodegradability and nutrient-release performance [11]. Further advancements in this field have been achieved through innovative research on the integration of natural fibers and agricultural by-products into biodegradable polymer matrices. For instance, Harmaen et al. studied the thermal and biodegradation properties of F10 composites blended with NPK fertilizer and oil palm fibers. Their findings revealed that the addition of natural fibers enhanced the biodegradability and mechanical properties of the composites, making them suitable for agricultural applications [12]. In another study, Scaffaro et al. developed green composites based on Opuntia Ficus-indica for controlled release of NPK fertilizer, utilizing both compression molding and fused deposition modeling techniques. The composites exhibited excellent controlled-release properties and biodegradability [13]. Moreover, Rahman et al. explored the use of soybean by-products in PLA-based biocomposites for plant containers. Their research highlighted the potential of these materials to support sustainable development while maintaining performance in terms of mechanical strength and nutrient release, further emphasizing their applicability in eco-friendly agricultural practices [14]. While most studies on biodegradable polymer-based controlled-release fertilizers focus on soil-based agricultural applications, significantly fewer works address nutrient delivery systems designed for water-mediated environments, such as hydroponic systems. In such conditions, degradation mechanisms are governed by water uptake, filler dissolution, and interfacial weakening, which differ markedly from soil-driven processes.
This research aimed to obtain materials with controlled-release properties by compounding an NPK fertilizer on biodegradable matrices with or without spent coffee grounds (SCG), to characterize the prepared materials and to evaluate the nutrient content release. Two different matrices were evaluated, PBAT and a polymer based on PLA that are commonly employed to produce biodegradable composites [15]. The polymer’s choice was based on the thermal stability of the fillers previously assessed by thermogravimetric analysis (TGA).
SCG natural fillers were used as an inherent fertilizer source to accelerate the biodegradation of composite materials [1618]. SCG may control fertilizer release as they can be used as pore-forming agents [19, 20]. Furthermore, reusing eco-friendly SCG as a means of valorization is a possible strategy to reduce the environmental impact.
In this work, different loads of NPK fertilizer (20 wt% and 30 wt%) were studied to assess the fertilizing effect and its influence on the thermal and mechanical performance of the materials. Additionally, composites loaded with 40 wt% of SCG and with both fillers (20 wt% NPK and 20 wt% SCG) were characterized to evaluate the effect of SCG on the composite’s water degradability, both in the presence and absence of NPK fertilizer. A maximum load incorporation of 40 wt% was chosen to strike a balance between the desired properties and the limitations imposed by the material’s characteristics and the manufacturing process. Different matrices were studied to assess the ability of each type of polymer to promote the release of NPK. The composites were prepared by twin-screw extrusion at a maximum processing temperature of about 150 °C due to the sensitivity to degradation of lignocellulosic materials and inorganic fillers at high temperatures. The composites developed in this work are intended for hydroponic containers and plant supports, aiming to combine structural functionality with controlled nutrient delivery in water-mediated systems. This study therefore differentiates itself from conventional soil-based controlled-release systems by specifically investigating the synergistic role of SCG and NPK in regulating degradation and nutrient release under hydroponic conditions.

Materials and methods

Materials

A biodegradable PBAT (Ecoflex® FBlend C1200) was supplied by BASF-SE, with a melt flow rate (190 °C; 2.16 kg) of 2.7–4.9 g/10 min and a melting point of 110–120 °C. It is a semi-crystalline, aromatic copolyester with a high molecular weight that possesses good thermostability up to 230 °C and good processability. Inzea® F10 (F10), a polymer based on PLA was purchased from Nurel S.A. According to the manufacturer, it is a bio-based, flexible, biodegradable, and home-compostable polylactic acid grade that has 32% bio-based content and 40% renewable content. Its melting temperature is about 140–150 °C and its melt volume flow rate (190 °C, 2.16 Kg) is less than 5 cm3/10 min. SCG were collected from local coffee shops as a wet cake after extraction with hot water. They were first air-dried at room temperature for approximately one week, with manual stirring to prevent fungal breeding. Afterward, they were dried in a laboratory oven at 60 °C for around 12 h and stored in sealed containers. An NPK fertilizer (12-12-17) was purchased from a local supplier and it was ground into powder using a mill and stored. Both SCG and NPK, were subjected to particle size distribution analysis (granulometric analysis) before further use.

Composites preparation

Prior to compounding, the natural fillers were thermally evaluated to define the maximum processing temperature. Both PBAT and F10 pellets were dried at 80 °C for 12 h to remove moisture to avoid hydrolytic scissions during melt processing. Also, SCG was dried in an oven at 60 °C for 4 h and NPK fertilizer at 40 °C for about 8 h. A laboratory modular Leistritz LSM 30.34 co-rotating twin-screw extruder with two gravimetric feeders to ensure the accurate loading percentages of polymer and fillers (SCG and NPK) were used for composites processing. The screw speed was set at 130 rpm. and the temperature profile ranged from 115 °C, near the hopper, to 125 °C in the extruder die, in the case of PBAT composites and between 140 °C and 150 °C for F10 composites. The extruded material was air-cooled at room temperature and then granulated in a mill. The granules were used to produce tensile specimens (58 mm length x 9 mm width x 1.85 mm thickness) using a Boy 22 A injection molding machine, as shown in Fig. 1. The processing temperatures ranged from 130 °C near the hopper to 150 °C in the nozzle. Plates for further characterization tests were also obtained by compression molding using a laboratory press. The compression molding heating plates were set at 135 °C, where the granules were preheated for 2 min at 0 tons, then compressed for 3 min at 20 tons pressure, and cooled for 5 min at room temperature.
Fig. 1
Injection-molded specimens
Bild vergrößern

Granolumetric analysis

The granulometric characterization of both SCG and NPK was performed using a vibratory sieve shaker (FRITSCH Analysette 3 Spartan, Pulverisette 0) equipped with a set of sieves of mesh sizes < 150, 150, 300, 500, 710 and 1000 μm. The sieving process was carried out for 10 min at an amplitude of 3 mm.

Thermogravimetric analysis (TGA)

TGA is performed using a TGA Q500 (TA Instruments, New Castle, USA) to evaluate the filler’s and composites’ thermal stability. Ten milligrams of samples were heated from 40 °C to 500 °C at the heating rate of 10 °C/min under nitrogen atmosphere.

Scanning electron microscopy (SEM)

SEM analysis of compression molded cross-section surfaces was performed before and after 90 days in water using an Ultra-high resolution Field Emission Gun 148 Scanning Electron Microscopy (FEG-SEM), NOVA 200 Nano SEM (FEI Company, Hillsboro, Oregon). Samples were previously fractured in liquid nitrogen and covered with a thin film (2 nm) of 150 Au-Pd (80 − 20 weight%); in a high-resolution sputter coater (208 h Cressington Company), coupled to an MTM-20 Cressington High Resolution Thick-ness Controller. The samples were fixed on stainless steel supports to observe their cross sections. The image results were analyzed to investigate the distribution of SCG and NPK in the polymer matrix, their interaction, and the effects of water’s degradation action.

Melt flow index (MFI)

The melt flow index of all composites prepared was measured using DAVENTEST equipment (Meerbusch, Germany). The test was carried out at 150 °C with a 2.16 kg load. Three measurements were made for each sample.

Mechanical properties

The mechanical performance of the composites was investigated by tensile tests using a universal test machine Instron 5969 (Norwood, MA) equipped with an SVE 2 Non-Contacting Video Extensometer. The tests were performed using the molded injected specimens according to ASTM D638. The measurements were made at a crosshead speed of 50 mm min− 1 at room temperature. Ten specimens were evaluated for each formulation and average values of Young’s modulus, tensile strength, and elongation at break were calculated.

Water-induced degradation

Samples were prepared for water degradation measurements by cutting the compression molded plates into 25 × 25 mm2. The weight of these reference pieces was designated by m0. Thereafter, three samples were immersed in 100 mL of distilled water and kept at room temperature in Orbital Shaker SSL1 Stuart equipment in continuous shaking at 140 rpm to simulate the movement of water in hydroponic systems. The samples were removed from the water at 30-day intervals, dried at 70 °C for 96 h under vacuum, and weighed (mt). Then the same samples were once more immersed in 100 mL of fresh distilled water. The process was repeated 3 times and the mass loss (Δmt) was evaluated over 90 days, calculated as follows:
$$\:{\varDelta\:m}_{t}\left(\%\right)=\frac{{m}_{0}-{m}_{t}}{{m}_{0}}\:\times\:100$$
(1)

Nutrients release

Nutrients release from the composites was investigated using the solutions obtained from water-induced degradation measurement tests after an incubation period of 30 days. Nutrient release was evaluated at a single time point, corresponding to the cumulative solution collected after the incubation. The reported nutrient concentrations correspond to the concentrations measured in the incubation solutions (mg/L). The nitrogen concentration in the solution was determined using the catarometry technique, and macronutrients (P, K, Ca, Mg, S) and micronutrient (Fe, Mn, B, Cu, Zn, Mo, Al) concentrations were analyzed by inductively coupled plasma optical emission spectrometry by a local company A2 Análises Químicas, Lda (Guimarães, Portugal).

Results and discussion

Filler’s characterization

Particle size distribution

Figure 2 shows the particle size distributions of the NPK fertilizer and SCG. Figure 2a shows a particle size distribution strongly skewed toward the finer fractions. Most particles are smaller than 300 μm, with a pronounced peak in the < 150 μm range. This indicates that the NPK fertilizer is predominantly composed of fine particles. Figure 2b exhibits a broader and more balanced distribution. The highest frequency occurs in the 300–500 μm range and the overall shape is more symmetrical, although still slightly skewed to the right. This suggests that SCG particles are generally coarser and more evenly distributed in size, with fewer fines compared to the NPK fertilizer.
Fig. 2
Granulometric analysis of (a) NPK fertilizer and (b) SCG
Bild vergrößern

Thermal evaluation

The thermal stability of the SCG and NPK fertilizers was investigated to ensure the appropriate selection of polymers to be used in composite processing and to define the processing conditions. Figure 3 presents the thermogravimetric analysis curves of NPK and SCG, where the bold line is the weight loss, and the dashed one is the derivative weight loss.
The plot shows three distinct regions of SCG’s weight variation. The first one with a weight loss of about 4 wt% ranging from 60 °C to 110 °C is due to the evaporation of the moisture present in SCG considering its hydrophilic nature [16]. The second region, ranging between 240 °C and 325 °C, is related to the depolymerization and decomposition of carbohydrates and lipids including hemicellulose and some oils present in SCG, resulting in a weight loss of about 50 wt% with a peak of weight loss at 300 °C. The third region which occurred between 325 °C and 430 °C presents a weight loss of about 20 wt% due to the degradation of cellulose whose decomposition temperature range is 315–390 °C [21].
The NPK fertilizer shows a slight weight loss of about 2 wt% between ~ 60 °C and 80 °C, due to the loss of adsorbed water, followed by two decomposition stages at 120 °C and 280 °C. The residual content is about 60 wt% at 500 °C. These results have shown that due to its lower thermal stability, the NPK fertilizer has limitations on the processing temperature. It should be noted that the NPK weight loss is relatively small up to 150 °C, which corresponds to less than ~ 3 wt%. Therefore, it is possible to use processing temperatures of 150 °C without compromising the performance of the composite materials by fillers’ degradation. Considering this maximum temperature limit, polymers with a melting temperature no higher than this value, such PBAT and F10, were chosen as matrices. This approach ensures the polymer melting and the nutritional preservation of the filler’s integrity during composite processing.
Fig. 3
Thermogravimetric (TG) and Derivative Thermogravimetric (DTG) curves of SCG and NPK fertilizer
Bild vergrößern

Composites characterization

Scanning electron microscopy

The scanning electron microscopy analysis was carried out to assess the composite’s homogeneity level and investigate the interfacial adhesion between the fillers and the polymeric matrices. The composite samples were analyzed after processing and after 90 days of water immersion to evaluate the composite decomposition degree as well as any changes in their morphology and structure. Specifically, composites containing only one of the fillers (20 wt% NPK or 40 wt% SCG) were analyzed to investigate the effect of each constituent on material decomposition. Composites with both fillers incorporated (20 wt% NPK and 20 wt% SCG) were also evaluated to assess the combined influence of the fillers on the degree of decomposition. Figures 4 and 5 correspond to the surface of PBAT and F10 composites, whereas Figs. 6 and 7 depict their cross-sectional morphology, enabling a comparative evaluation of the composites’ surface and cross-section, as explored throughout the discussion.
The images (Figs. 4a and 5a) show a relatively uniform dispersion of NPK particles within the PBAT and F10 polymeric matrix, with particles appearing mostly as approximately spherical and varying in size. Some particle agglomeration was observed, which is consistent with the hygroscopic nature of NPK fertilizers causing particle clustering, as reported in previous studies [22]. In both cases the NPK particles showed a poor interfacial bond with the polymeric matrix, suggesting material incompatibility, previously expected due to the inorganic fertilizer’s nature. Following immersion in water, composites with 20 wt% NPK (Figs. 4b and 5b) revealed cracks and voids on the surface, resulting from fertilizer dissolution in water and its diffusion into the surrounding environment. Furthermore, a uniform distribution of spent coffee grounds was observed on the surface of PBAT and F10 composites with 40 wt% SCG (Figs. 4c and 5c). In both cases, the composites show a gap zone between the SCG particles and the polymeric matrix suggesting poor interfacial adhesion. As well as other lignocellulosic materials, SCG exhibit a hydrophilic nature due to the presence of hydroxyl groups, justifying the weak interfacial bond with the hydrophobic polymeric matrices [23]. Similar results were reported by Moustafa et al. for PBAT composites reinforced with SCG natural fibers and by Chin-San Wu for PLA/SCG composites [24, 25].
Fig. 4
SEM micrographs of PBAT surface composites before water immersion and after 90 days of immersion in water
Bild vergrößern
Fig. 5
SEM micrographs of F10 surface composites before water immersion and after 90 days of immersion in water
Bild vergrößern
This weak interfacial adhesion is particularly noticeable after water immersion, as evidenced in the cross-sectional images of the composites (Figs. 6d and 7d), where visible cracks are observed around the SCG particles, highlighted by green circles. These cracks and interfacial voids, typically in the micrometer range indicate interfacial degradation promoted by water uptake. Even in the absence of water-induced decomposition, the cross-sectional morphology of the composites (Figs. 6c and 7c) reveals the presence of interfacial voids (pointed out with green arrows) likely resulting from the pull-out of SCG particles during fracture, further confirming insufficient interfacial bonding. Due to the release of SCG particles, the surface of the composites became less rough with depressions (Figs. 4d and 5d). However, no significant differences were observed in the cross-section of the composites before (Figs. 6c and 7c) and after water exposure (Figs. 6d and 7d) indicating that the composite weight loss was likely primarily due to the release of SCG on the surface and the degradation of the polymers themselves. After analyzing the composites containing individual fillers, the morphology of the samples containing both SCG and NPK was also examined. Figures 4e and 5e shows noticeable filler agglomerates on the surface. This behavior is attributed to the immiscibility of both SCG and NPK fertilizer with the polymeric matrix, due to their distinct nature and poor mutual affinity, promoting preferential self-agglomeration of each filler rather than homogeneous dispersion. SEM observations indicate that SCG alone does not significantly promote water-induced degradation, as only limited morphological changes were observed in composites containing 40 wt% SCG. This suggests that SCG does not act as an intrinsically degradable phase. However, when SCG is combined with NPK fertilizer, an indirect or synergistic effect may occur. In this case, the hydrophilic nature and weak interfacial adhesion of SCG may facilitate local water accumulation and interfacial weakening, which, in the presence of the water-soluble NPK phase, promotes microvoid formation. These microstructural changes are directly associated with the dissolution of NPK particles, which simultaneously leads to nutrient release into the aqueous medium. In both matrices, PBAT and F10, surface SEM images after water immersion (Figs. 4f and 5f) show morphological changes associated with filler leaching and interfacial alteration, evidenced by the formation of microvoids and a reduction surface roughness. Additionally, the presence of larger gaps, comparable to the original filler dimensions of about 300 μm, in cross-section, possibly due to the detachment/removal of SCG fibers during the fracture, allowed the creation of water channels that reach the internal parts of the composites, leading to heightened weight loss. This effect was particularly evident in PBAT composites, where a significantly higher number of cavities was observed (Fig. 6f) compared to the composites with only 20 wt% NPK (Fig. 6b). These findings suggest that the incorporation of spent coffee grounds intensified water-induced degradation. As SCG fibers absorbed water and swelled, they may have contributed to the release of fertilizer embedded within the composite structure.
Fig. 6
SEM micrographs of the cross-section PBAT composites before water immersion and after 90 days of immersion in water
Bild vergrößern
Fig. 7
SEM micrographs of the cross-section F10 composites before water immersion and after 90 days of immersion in water
Bild vergrößern

Thermogravimetric analysis

The effect of filler loading on the thermal properties was investigated through thermogravimetric analysis. Figure 8 shows the thermogravimetric analysis results: Fig. 8a presents the TG curves corresponding to weight loss, while Fig. 8b displays the DTG curves representing the derivative of weight loss. PBAT has a single-step thermal degradation starting at around 320 °C due to the maximum decomposition of aliphatic copolyester adipic acid and 1,4-butanediol [26]. Examining components that make up composites, NPK has a lower decomposition temperature compared to PBAT, thus presenting a significant difference in thermal performance. So, adding NPK fertilizer reduces the thermal stability of the composites as they present an onset thermal decomposition slightly lower than neat PBAT. Likewise, the addition of organic fibers (SCG) has decreased the composite’s thermal stability as shown by decomposition occurring at lower temperatures. This is a common trend since some portions of the polymer are replaced with natural fibers that are less thermally stable [12]. Nevertheless, the PBAT composite with 40 wt% SCG shows a higher onset degradation temperature, than the NPK-containing PBAT composites, since SCG is thermally more stable than NPK fertilizer up to 240 °C. From the results, it seems that the polymer matrix provided shielding for filler particles in the composite structure, delaying their thermal decomposition due to relatively low thermal conductivity.
Fig. 8
(a) Thermogravimetric (TG) curves and (b) Derivative Thermogravimetric (DTG) curves of PBAT composites
Bild vergrößern
The thermal behavior of F10 shows two thermal degradation stages. Figure 9 shows the thermogravimetric analysis results: Fig. 9a presents the TG curves corresponding to weight loss, while Fig. 9b displays the DTG curves representing the derivative of weight loss. From literature, the first one at 315 °C corresponds to thermoplastic starch (TPS) decomposition and the second at 400 °C to the beginning of PLA degradation [27, 28]. The thermostability of NPK composites lies between the NPK fertilizer constituents and the polymer depicting in the thermograms the degradation’s regions corresponding to both components. The same can be observed to the composite with 40 wt% SCG, which presents an intermediate behavior between F10 and SCG. As expected, thermal stability gradually decreased as the NPK content increased, yet, composites began to decompose above the chosen processing temperature, proving that the processing temperature is suitable, preventing premature degradation of natural fillers. The second step of NPK composites thermal degradation corresponds to PLA decomposition, it started at a higher temperature compared to neat polymer, due to the greater stability of NPK in this temperature range. The composite with both fillers exhibits a very similar thermal behavior compared to NPK composites up to 240 °C. However, beyond this temperature, it shows a slightly higher weight loss, due to SCG whose thermal degradation starts around this temperature. The composite with 40 wt% SCG showed the higher onset degradation temperature of all composites due to its cellulosic nature, as previously found for PBAT composites. Once again, the results confirmed that the polymeric matrix provided a substantial increase in the thermal stability of the fillers.
Fig. 9
(a) Thermogravimetric (TG) curves and (b) Derivative Thermogravimetric (DTG) curves of F10 composites
Bild vergrößern
In both PBAT and F10 composites, an increase in the residual mass at high temperatures was observed, particularly for formulations containing higher NPK contents and for the composite incorporating both SCG and NPK. This behavior is attributed to the inorganic fraction of the NPK fertilizer, which remains as non-volatile residue, and to the lignocellulosic nature of SCG, which promotes char formation upon thermal degradation. The combined presence of both fillers results in an additive effect on char residue, despite their immiscibility within the polymeric matrix.
Table 1 summarizes the thermogravimetric analysis results of the neat polymers and their corresponding composites, including the onset degradation temperature, the temperatures associated with the main DTG peaks, and the respective mass losses.
Table 1
Thermogravimetric analysis results
Composition
Tpeak (ºC)
Tonset (ºC)
Weight loss (%)
NPK
225
172
38
SCG
301;450
274;406
66;26
PBAT
402
376
92
PBAT + 20% NPK
399
368
85
PBAT + 30% NPK
397
356
78
PBAT + 20% NPK + 20% SCG
400
358
76
PBAT + 40% SCG
404
372
90
F10
319;402
296;372
31;56
F10 + 20% NPK
218;402
208;364
21;49
F10 + 30% NPK
218;401
204;362
19;47
F10 + 20% NPK + 20% SCG
214;398
198;366
22;50
F10 + 40% SCG
315;398
288;370
37;45

Melt flow index

MFI measurements were used to examine the composite’s flow characteristics in the molten state, to evaluate their processability. Figure 10 presents the MFI results of neat polymers and respective composites. The effect of filler incorporation on the melt flow behavior was found to be strongly dependent on the host polymer matrix.
For PBAT-based composites, the addition of NPK fertilizer resulted in a decrease in melt flow index, indicating an increase in melt viscosity. This behavior is probably associated with the inorganic nature of NPK particles, which can increase resistance to flow by acting as physical obstacles within the polymer melt. In contrast, the incorporation of SCG into the PBAT matrix led to an increase in MFI. This effect is probably related to the presence of low-molecular-weight extractives in SCG, such as carbohydrates, lipids, and phenolic oils, which can act as plasticizing agents, and provide a lubricating effect, promoting higher molecular mobility and explaining the increase in MFI observed in PBAT composites with SCG incorporation [21, 29]. The plasticizing effect refers to the ability of certain substances to reduce intermolecular forces between polymer chains, thereby increasing chain flexibility and lowering viscosity [30].
For F10 composites, an opposite trend was observed. The addition of NPK fertilizer resulted in an increase in MFI, suggesting a reduction in melt viscosity. This behavior is probably related to molecular scission phenomena occurring during melt processing, promoted by the hygroscopic nature of NPK particles and the higher sensitivity of PLA-based systems to hydrolytic and thermo-oxidative degradation. The molecular scission occurs due to the hydrolysis reaction in the presence of water, leading to the cleavage of ester bonds within polymer chains during degradation [31]. Conversely, the incorporation of SCG into the F10 matrix resulted in a decrease in MFI. This effect is probably due to the rigid lignocellulosic nature of SCG particles and their tendency to form agglomerates within the F10 matrix, which can increase melt resistance.
The absence of a clear trend in MFI evolution with filler content can be attributed to the distinct filler’s nature and the different responses of each polymer matrix, as well as to the diversity of factors that influence the materials flow behavior such as filler content, particle size, fillers interaction, and phenomena like molecular scission and plasticization effect.
Fig. 10
Melt Flow Index of neat polymers and corresponding composites
Bild vergrößern

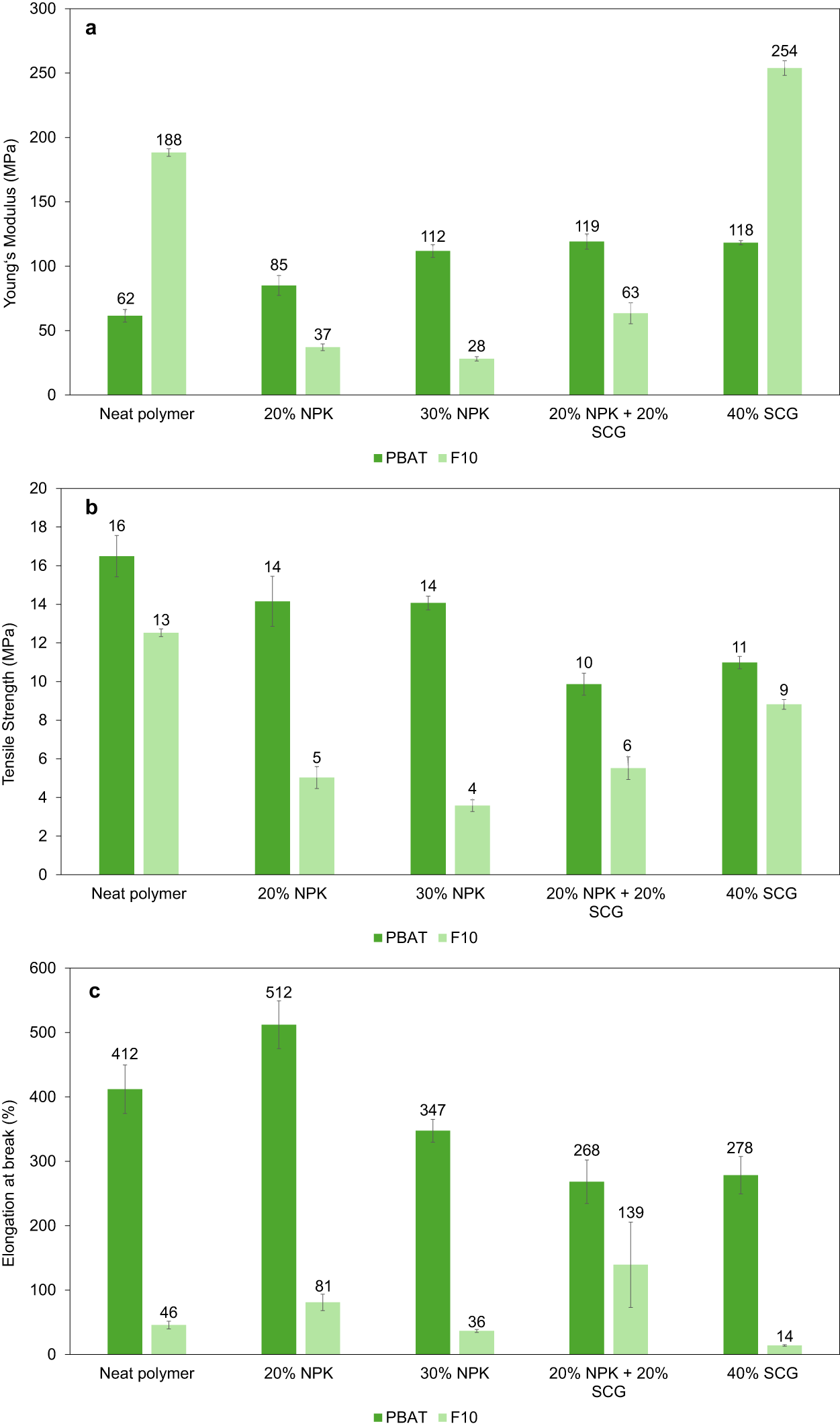
Mechanical properties

The effect of NPK and SCG particles on the tensile properties of the composites is depicted in Fig. 11. Compared with the neat polymer, PBAT composites exhibited higher Young’s modulus with the incorporation of both NPK and SCG particles (Fig. 11a). For example, in the F10 composites, the addition of SCG particles increased the Young’s modulus from 188 MPa to 254 MPa, highlighting the stiffening effect of the filler. However, the presence of NPK suggests a decrease in the material’s resistance to deformation. For both polymers, adding SCG resulted in a noticeable increase in the Young’s modulus, which is a common behavior, given the higher stiffness of cellulose-based materials compared to virgin polymer [32].
The tensile strength decreased for all composites compared to the corresponding neat polymer (Fig. 11b) which can be attributed to the poor interfacial adhesion between the fillers and polymers, as seen in SEM images [24]. In addition, the presence of voids possibly because of volatiles released during processing and the fracture of SCG particles due to lack of cohesion could be additional factors accounting for the significant reduction in tensile strength observed in the composites. Indeed, adequate interfacial adhesion between materials is required for an effective stress transfer, which explains the tensile strength reduction [23]. Similar outcomes have been reported in prior research studies for composites reinforced with SCG natural fibers. Moustafa et al. observed a substantial decrease in tensile strength as the SCG content increased in the PBAT matrix, attributing it to hindered compatibility between the materials [24]. Moreover, Chin-San Wu attributed the marked decrease in tensile strength of PLA/SCG composites to the poor dispersion of SCG in the PLA matrix [25].
The incorporation of higher amounts of NPK fertilizer resulted in a decrease in elongation at the break of PBAT composites from 412% to 347% (Fig. 11c). This reduction of about 16% suggests that the presence of NPK particles limits the overall deformability of the material before fracture. In the F10 composites, there was also a decrease from 81% to 36% in the elongation at break when increasing the NPK content from 20 wt% to 30 wt%. The fertilizer may also have a plasticizer effect, as evidenced by the reduction in tensile strength with increasing NPK content, making the composite less resistant to stress application.
The addition of SCG to both polymeric matrices led to a reduction in elongation at break compared to the neat polymers. However, the F10 composites containing 20 wt% NPK and 20 wt% SCG displayed an unexpected increase in elongation from 46% (neat F10) to 139%, suggesting that filler-matrix interactions may have contributed to this deviation. Other factors such as the variable size of the particles and their agglomeration could also contribute to this inconsistency. The overall decrease in elongation at break with SCG addition may be related to the presence of fillers that introduce discontinuities in the matrix, acting as stress concentration points, and promoting the propagation of cracks under applied stress [24, 33]. The presence of voids and other imperfections at the filler/polymer interface, as observed in the SEM images, may also have contributed to the composite fracture. From an application perspective, the developed composites are intended for hydroponic containers that are not exposed to significant mechanical loading. In such systems, materials primarily serve as temporary support and are subjected to limited stresses during handling and operation. Therefore, the mechanical performance is considered sufficient for the intended use. In this context, biodegradability and controlled nutrient release are prioritized over high structural performance, and the observed mechanical behavior does not compromise the functional requirements of hydroponic applications.
Fig. 11
Plot comparison of mechanical properties of composites: (a) Young’s modulus, (b) Tensile strength, and (c) Elongation at break
Bild vergrößern

Water-induced degradation

Water measurements were used as a simple method to examine the sensitivity in a water environment and the decomposition capacity of composites. Figure 12 presents the aqueous solutions of neat polymers and their corresponding composites after immersion in water for 30, 60, and 90 days, while Fig. 13 shows the cumulative mass loss for the same time intervals and samples. A higher percentage of weight loss in the first 30 days was observed for all composites, corroborated by a general solution’s darker color during this period. The gradual fading of the solution’s color overtime, in general, further supports the greater degradation capacity in the first 30 days. Samples of 100% polymer have a lower mass loss, showing that the incorporation of fillers into the polymer matrix promoted material decomposition in water. In fact, F10 composites exhibited a higher mass loss compared to PBAT composites, attributed to the presence of higher bio-based and renewable content, potentially thermoplastic starch, a natural polymer with high hydrophilicity and hygroscopicity [27]. According to Natu et al. the blending of polymers and hydrophilic compounds leads to an enhanced degradation rate, attributed to an increase in water absorption [34]. The introduction of SCG into the polymer matrix resulted in a slightly higher decomposition capacity compared to their corresponding neat polymers, especially in the first 30 days. This difference may be ascribed to the release of coffee particles onto the composite surface. However, SCG could have also influenced the material’s interaction with water, leading to a slightly more pronounced decomposition over time. The sudden release of surface-available fertilizer in the composites justifies the higher decomposition capacity in the first 30 days [13]. Additionally, it was observed that the incorporation of a higher fertilizer concentration into the matrix resulted in greater weight loss due to its high solubility in water. This explains the absence of weight loss for the F10 composite with 30 wt% NPK in Fig. 13, as this NPK fertilizer concentration weakened the material’s structure, manifested by sample breakdown on the same day they were immersed in water. In composites with both fillers incorporated, a superior decomposition capacity was perceived compared to their respective composites with the same NPK concentration (20 wt%). This suggests that the addition of SCG may influence the water-induced degradation of the materials since the porosity of SCG may have also create microchannels or spaces in the composites helping water entry into the material and thus dissolving the soluble compounds of the fertilizer.
Fig. 12
Aqueous solutions of different compositions after immersion in water for 30, 60 and 90 days
Bild vergrößern
Fig. 13
Weight loss of neat polymers and corresponding composites over the 90-day study period
Bild vergrößern

Nutrients release

The analysis of aqueous samples using Inductively Coupled Plasma Optical Emission Spectroscopy (ICP-OES) enabled the study of fertilizer release, specifically focusing on the concentration of different mineral salts. The distilled water used in the aqueous solutions was previously analyzed to ensure the absence of any mineral salts. Distilled water was used to ensure controlled and reproducible conditions, allowing a baseline evaluation of nutrient release without interference from dissolved salts or pH variations. The results presented in this section should therefore be interpreted as a reference scenario, while the influence of more complex hydroponic environments is beyond the scope of this study. It is important to distinguish between the theoretical initial nutrient content of the composites and the nutrient concentrations measured in solutions. The initial nutrient content can be estimated on a formulation basis, considering the declared composition of the NPK fertilizer and its weight fraction in the composite formulations. However, this estimation represents a nominal nutrient loading and does not correspond to an experimentally measured value. The nutrient concentrations reported in this section exclusively correspond to the fraction released into the aqueous medium after 30 days of immersion, as this period is particularly relevant for early plant growth stages, during which nutrient availability is critical. Moreover, previous studies have reported that the highest nutrient release rates typically occur during the initial immersion period. Therefore, this timeframe provides meaningful insight into the short-term release behavior of the fertilizer-loaded composites. The nutrient release beyond 30 days was not evaluated in this work, and long-term release kinetics remain a subject for future investigation.
As expected, the release of nutrients by the neat polymers (Table 2) was minimal, since they are primarily composed of carbon and hydrogen atoms, with some other elements in certain cases, depending on the chemical nature of the polymer and possible additives used in its production. Nevertheless, it is noticeable that F10 holds a variety of mineral salts in its composition, although in small quantities. The higher concentration of macronutrients in solution from F10 composites compared to those of PBAT (Fig. 14) could be attributed, in part, to the chemical composition of F10, but the greater propensity of F10 for degradation, resulting in a higher weight loss of the composites, may also contribute to the release of nutrients in larger quantities. Therefore, nutrient release is influenced not only by fertilizer loading, but also by the degradation kinetics of the polymer matrix under aqueous conditions. As expected, the concentration of the macronutrients in the solution increased by increasing the concentration of fertilizer added to the polymers, showing that the amount of released nutrients is proportional to the fertilizer content. The micronutrients in the solution were residual for all composites, which can be explained by the chemical composition of the NPK fertilizer used, which are much lower than the macronutrients. Composites consisting of 40 wt% SCG showed to be poor in the release of macronutrients, as expected, since although SCG contains some mineral salts in their composition, these are found in very limited quantities, hence the low concentration of nutrients in solution [21]. This observation reveals that in composites with both fillers incorporated, the main source of nutrients was from the NPK fertilizer, showing that SCG played a role in the release of fertilizer’s constituents from the composites. This is evidenced by the fact that compositions containing 20 wt% NPK and 20 wt% SCG demonstrated a higher concentration of macronutrients in solution compared to composites with 20 wt% NPK. These results suggest that SCG may influence the nutrient release behavior of the composites, possibly by promoting morphological changes that facilitate water penetration and diffusion of fertilizer constituents.
Table 2
Concentration (mg/L) of macro and micronutrients, in solution, released by the neat polymers PBAT and F10
 
N (%)a
P
K
Ca
Mg
S
Fe
Mn
B
Cu
Zn
Mo
Al
PBAT
0.010
0.200
-
-
-
0.720
0.190
-
-
-
-
-
-
F10
0.020
0.400
0.230
7.890
0.150
0.203
0.040
-
-
-
-
-
-
aThe nitrogen element is presented as a percentage (%) as it was found by catarometry
Fig. 14
Concentration of macronutrients (mg/L), in solution, released by the composites in the first 30 days of the study
Bild vergrößern

Conclusions

Innovative and functional green composites were produced by adding NPK fertilizer to biodegradable polymers with or without SCG particles. The thermal, morphological, and mechanical properties of the PBAT and F10 composites were analyzed, along with their water degradation capability and subsequent nutrient release. The decomposition in water showed that all composites presented a higher weight loss in the first 30 days of the study, which gradually stabilized over time. These results lead to the assumption that decomposition started on the composite’s surface and over time primarily occurred through the absorption and diffusion of water throughout the composite. The release tests revealed that SCG itself is poor in mineral content release due not only to the lower water degradation of these composites but also to the low concentration of mineral salts in the SCG. However, in composites with the same percentage of NPK (20 wt%), the addition of SCG promoted nutrient release. This observation indicates that the principal source of nutrients was NPK fertilizer, and the SCG played a role in influencing water-induced degradation and nutrient release behavior. F10 composites release a greater amount of nutrients compared to PBAT composites, which may be attributed to the presence of starch in F10 that enhanced decomposition in water as well as other additives present in this polymer. It should be noted that the experimental results related to weight loss and nutrient release were obtained using three specimens per condition. While this sample size was sufficient to identify consistent trends, future studies involving a larger number of specimens would allow for more robust statistical analysis. Thermal analysis results showed that the polymers matrices delayed the thermal degradation of the fillers by embedding them within the composite structure, preventing premature degradation at low temperatures and broadening the processing window. SEM analysis revealed a weak interfacial bond between the fillers and both polymers, as well as the filler’s agglomeration when incorporated together. Additionally, SEM micrographs revealed changes in composite morphology after 90 days of immersion in water. It particularly highlighted the influence of SCG, which appears to promote morphological changes that facilitate water penetration and nutrient diffusion. The porosity of SCG seems to create microchannels or spaces in the composites facilitating water entry into the material and thus dissolving the soluble compounds of the fertilizer. Concerning the mechanical properties, it was observed that the addition of NPK increases the Young’s modulus of PBAT composites and a decrease in the rigidity of F10 composites, which may be attributed to the distinct interaction between the fertilizer and the different polymeric matrices. Additionally, the incorporation of SCG into both polymeric matrices provided rigidity to the materials, which can be ascribed to the intrinsic stiffness of lignocellulosic materials. The tensile strength decreased in all composite materials when compared to the respective neat polymers. This decrease in tensile strength was due to poor adhesion between the hydrophilic fillers and the hydrophobic polymer matrices. Additionally, the addition of SCG led to a decrease in elongation at break, fostering significant discontinuities within the matrix. Thus, the results obtained show that these functional composites have great potential to produce plant supports in hydroponics. The main novelty of this work lies in the combined use of NPK fertilizer and spent coffee grounds in biodegradable polymer matrices designed for hydroponic applications, highlighting the influence of SCG on water-induced degradation and nutrient release.

Declarations

Competing interests

The authors declare no competing interests.
Open Access This article is licensed under a Creative Commons Attribution 4.0 International License, which permits use, sharing, adaptation, distribution and reproduction in any medium or format, as long as you give appropriate credit to the original author(s) and the source, provide a link to the Creative Commons licence, and indicate if changes were made. The images or other third party material in this article are included in the article’s Creative Commons licence, unless indicated otherwise in a credit line to the material. If material is not included in the article’s Creative Commons licence and your intended use is not permitted by statutory regulation or exceeds the permitted use, you will need to obtain permission directly from the copyright holder. To view a copy of this licence, visit http://creativecommons.org/licenses/by/4.0/.

Publisher’s Note

Springer Nature remains neutral with regard to jurisdictional claims in published maps and institutional affiliations.
Download
Titel
Biodegradable composites for sustainable nutrient delivery in aquatic environment
Verfasst von
Ana C. Machado
M. Cidália R. Castro
F. M. Duarte
Publikationsdatum
01.05.2026
Verlag
Springer Berlin Heidelberg
Erschienen in
Polymer Bulletin / Ausgabe 5/2026
Print ISSN: 0170-0839
Elektronische ISSN: 1436-2449
DOI
https://doi.org/10.1007/s00289-026-06314-8
1.
Zurück zum Zitat IPCC (2021) Climate change 2021: the physical science basis, Intergovernmental Panel on Climate Change (IPCC), Geneva. https://www.ipcc.ch/report/ar6/wg1/downloads/report/IPCC_AR6_WGI_TS.pdf. Accessed 12 Jan 2026
2.
Zurück zum Zitat FAO (2017) The future of food and agriculture: trends and challenges. FAO, Rome
3.
Zurück zum Zitat Barbosa GL, Gadelha FDA, Kublik N et al (2015) Comparison of land, water, and energy requirements of lettuce grown using hydroponic vs conventional agricultural methods. Int J Environ Res Public Health 12:6879–6891. https://doi.org/10.3390/ijerph120606879CrossRefPubMedPubMedCentral
4.
Zurück zum Zitat Joshi D, Nainabasti A, Bhandari R et al (2022) A review on soilless cultivation: the hope of urban agriculture. Arch Agric Environ Sci 7:473–481. https://doi.org/10.26832/24566632.2022.0703022CrossRef
5.
Zurück zum Zitat López-Rubio A, Almenar E, Hernandez-Muñoz P et al (2004) Overview of active polymer-based packaging technologies for food applications. Food Rev Int 20:357–387. https://doi.org/10.1081/FRI-200033462CrossRef
6.
Zurück zum Zitat Realini CE, Marcos B (2014) Active and intelligent packaging systems for a modern society. Meat Sci 98:404–419. https://doi.org/10.1016/j.meatsci.2014.06.031CrossRefPubMed
7.
Zurück zum Zitat Guilherme MR, Aouada FA, Fajardo AR et al (2015) Superabsorbent hydrogels based on polysaccharides for application in agriculture as soil conditioner and nutrient carrier: a review. Eur Polym J 72:365–385. https://doi.org/10.1016/j.eurpolymj.2015.04.017CrossRef
8.
Zurück zum Zitat Zhang X, Davidson EA, Mauzerall DL et al (2015) Managing nitrogen for sustainable development. Nature 528:51–59. https://doi.org/10.1038/nature15743CrossRefPubMed
9.
Zurück zum Zitat Shaviv A (2001) Advances in controlled-release fertilizers. Adv Agron 71:1–49. https://doi.org/10.1016/s0065-2113(01)71011-5CrossRef
10.
Zurück zum Zitat Wu L, Liu M (2008) Preparation and properties of chitosan-coated NPK compound fertilizer with controlled-release and water-retention. Carbohydr Polym 72:240–247. https://doi.org/10.1016/j.carbpol.2007.08.020CrossRef
11.
Zurück zum Zitat Daitx TS, Giovanela M, Carli LN, Mauler RS (2019) Biodegradable polymer/clay systems for highly controlled release of NPK fertilizer. Polym Adv Technol 30:631–639. https://doi.org/10.1002/pat.4499CrossRef
12.
Zurück zum Zitat Harmaen AS, Khalina A, Azowa I et al (2015) Thermal and biodegradation properties of poly(lactic acid)/fertilizer/oil palm fibers blends biocomposites. Polym Compos 36:576–583. https://doi.org/10.1002/pc.22974CrossRef
13.
Zurück zum Zitat Scaffaro R, Citarrella MC, Gulino EF (2022) Opuntia ficus-indica based green composites for NPK fertilizer controlled release produced by compression molding and fused deposition modeling. Compos Part Appl Sci Manuf 159:107030. https://doi.org/10.1016/j.compositesa.2022.107030CrossRef
14.
Zurück zum Zitat Rahman MM, Dey A, Yodo N et al (2023) Soybean by-products bioplastic (polylactic acid)-based plant containers: sustainable development and performance study. Sustainability 15:5373. https://doi.org/10.3390/su15065373CrossRef
15.
Zurück zum Zitat Jadhav AC, Pandit P, Gayatri TN et al (2019) Production of green composites from various sustainable raw materials. In: Green composites, pp 1–24. https://doi.org/10.1007/978-981-13-1969-3_1
16.
Zurück zum Zitat Picca G, Plaza C, Madejón E, Panettieri M (2023) Compositing of coffee Silverskin with carbon rich materials leads to high quality soil amendments. Waste Biomass Valorization 14:297–307. https://doi.org/10.1007/s12649-022-01879-7CrossRef
17.
Zurück zum Zitat Horgan FG, Floyd D, Mundaca EA, Crisol-Martínez E (2023) Spent coffee grounds applied as a top-dressing or incorporated into the soil can improve plant growth while reducing slug herbivory. Agriculture 13:257. https://doi.org/10.3390/agriculture13020257CrossRef
18.
Zurück zum Zitat Gaidukova G, Platnieks O, Aunins A et al (2021) Spent coffee waste as a renewable source for the production of sustainable poly(butylene succinate) biocomposites from a circular economy perspective. RSC Adv 11:18580–18589. https://doi.org/10.1039/d1ra03203hCrossRefPubMedPubMedCentral
19.
Zurück zum Zitat Zhang B, Nasereddin J, McDonagh T et al (2021) Effects of porosity on drug release kinetics of swellable and erodible porous pharmaceutical solid dosage forms fabricated by hot melt droplet deposition 3D printing. Int J Pharm 604:120626. https://doi.org/10.1016/j.ijpharm.2021.120626CrossRefPubMed
20.
Zurück zum Zitat Kerolli Mustafa M, Gabelica I, Mandić V et al (2022) Reusing waste coffee grounds in the Preparation of porous alumina ceramics. Sustainability 14:14244. https://doi.org/10.3390/su142114244CrossRef
21.
Zurück zum Zitat Ballesteros LF, Teixeira JA, Mussatto SI (2014) Chemical, functional, and structural properties of spent coffee grounds and coffee Silverskin. Food Bioprocess Technol 7:3493–3503. https://doi.org/10.1007/s11947-014-1349-zCrossRef
22.
Zurück zum Zitat Agustina TE, Rizky I, Utama MEW, Amal MI (2018) Characterization and utilization of zeolite for NPK slow release fertilizer. Int J Eng Trans A 31:622–628. https://doi.org/10.5829/ije.2018.31.04a.14CrossRef
23.
Zurück zum Zitat Lule ZC, Kim J (2021) Properties of economical and eco-friendly poly(butylene adipate terephthalate) composites loaded with surface treated coffee husk. Compos Part Appl Sci Manuf 140:106154. https://doi.org/10.1016/j.compositesa.2020.106154CrossRef
24.
Zurück zum Zitat Moustafa H, Guizani C, Dufresne A (2017) Sustainable biodegradable coffee grounds filler and its effect on the hydrophobicity, mechanical and thermal properties of biodegradable PBAT composites. J Appl Polym Sci 134:44498. https://doi.org/10.1002/app.44498CrossRef
25.
Zurück zum Zitat Wu CS (2015) Renewable resource-based green composites of surface-treated spent coffee grounds and polylactide: characterisation and biodegradability. Polym Degrad Stab 121:51–59. https://doi.org/10.1016/j.polymdegradstab.2015.08.011CrossRef
26.
Zurück zum Zitat Al-Itry R, Lamnawar K, Maazouz A (2012) Improvement of thermal stability, rheological and mechanical properties of PLA, PBAT and their blends by reactive extrusion with functionalized epoxy. Polym Degrad Stab 97:1898–1914. https://doi.org/10.1016/j.polymdegradstab.2012.06.028CrossRef
27.
Zurück zum Zitat Turco R, Ortega-Toro R, Tesser R et al (2019) Poly(lactic acid)/thermoplastic starch films: effect of cardoon seed epoxidized oil on their chemicophysical, mechanical, and barrier properties. Coatings 9:574. https://doi.org/10.3390/coatings9090574CrossRef
28.
Zurück zum Zitat Xiang S, Feng L, Bian X et al (2020) Evaluation of PLA content in PLA/PBAT blends using TGA. Polym Test 81:106211. https://doi.org/10.1016/j.polymertesting.2019.106211CrossRef
29.
Zurück zum Zitat de Bomfim ASC, de Oliveira DM, Benini KCC et al (2023) Effect of spent coffee grounds on the crystallinity and viscoelastic behavior of polylactic acid composites. Polymers 15:2719. https://doi.org/10.3390/polym15122719CrossRefPubMedPubMedCentral
30.
Zurück zum Zitat Waisarikit A, Suadaung N, Khantho B et al (2025) Extracted spent coffee grounds as a performance-enhancing additive for poly(lactic acid) biodegradable nursery bags in agriculture. Polymers 17:561. https://doi.org/10.3390/polym17050561CrossRefPubMedPubMedCentral
31.
Zurück zum Zitat Gleadall A (2013) Computer simulation of polymer chain scission in biodegradable polymers. J Biotechnol Biomater 3:154. https://doi.org/10.4172/2155-952X.1000154CrossRef
32.
Zurück zum Zitat Seddiqi H, Oliaei E, Honarkar H et al (2021) Cellulose and its derivatives: towards biomedical applications. Cellulose 28:1893–1931. https://doi.org/10.1007/s10570-020-03674-wCrossRef
33.
Zurück zum Zitat Marques M, Gonçalves LFFF, Martins CI et al (2022) Effect of polymer type on the properties of polypropylene composites with high loads of spent coffee grounds. Waste Manag 154:232–244. https://doi.org/10.1016/j.wasman.2022.10.009CrossRefPubMed
34.
Zurück zum Zitat Natu MV, De Sousa HC, Gil MH (2013) Influence of polymer processing technique on long term degradation of poly(ε-caprolactone) constructs. Polym Degrad Stab 98:44–51. https://doi.org/10.1016/j.polymdegradstab.2012.10.030CrossRef

JOT - Journal für Oberflächentechnik (Link öffnet in neuem Fenster)

Das führende Magazin für sämtliche Themen in der Oberflächentechnik.
Für Entscheider und Anwender aus allen Bereichen der Industrie.

    Bildnachweise
    Wagner Logo/© J. Wagner GmbH, Harter Drying Solutions/© HARTER GmbH, Cenaris Logo/© CENARIS GmbH, Ecoclean Logo/© SBS Ecoclean Group, Eisenmann Logo/© EISENMANN GmbH, FreiLacke Logo/© Emil Frei GmbH & Co. KG, Afotek Logo/© @AFOTEK Anlagen für Oberflächentechnik GmbH, Fischer Logo/© Helmut Fischer GmbH, Venjakob Logo/© VENJAKOB Maschinenbau GmbH & Co. KG, Nordson Logo/© Nordson Deutschland GmbH, Akzo Nobel Power Coatings GmbH/© Akzo Nobel Power Coatings GmbH, Sames GmbH/© Sames GmbH, Karl Bubenhofer AG/© Karl Bubenhofer AG, Munk GmbH/© Munk GmbH, Endress+Hauser Flow Deutschland/© Endress+Hauser Flow Deutschland, JOT - Journal für Oberflächentechnik, Chemetall und ZF optimieren den Vorbehandlungsprozess/© Chemetall