Zum Inhalt

Business executives’ service on UK government boards and firm performance does “insiderness” matter?

  • Open Access
  • 11.11.2025
Erschienen in:

Aktivieren Sie unsere intelligente Suche, um passende Fachinhalte oder Patente zu finden.

search-config
loading …

Abstract

Dieser Artikel untersucht die Dynamik von Führungskräften, die als Non-Executive Directors (NED) in britischen Regierungsgremien tätig sind, und ihre Auswirkungen auf die Unternehmensleistung. Die Studie untersucht die potenziellen Vorteile dieser persönlichen Dienstleistung, darunter eine verbesserte Markt- und Finanzleistung sowie eine niedrigere Besteuerung. Ein zentraler Schwerpunkt ist die mäßigende Wirkung von "Insider", die untersucht, wie Unternehmen mit langfristigen Beratungsbeziehungen zu politischen Entscheidungsträgern größere Vorteile erlangen können. Die Studie stützt sich auf einen einzigartigen Datensatz aus den Jahren 2008 bis 2021 und vergleicht Unternehmen mit Führungskräften, die als NEDs dienen, mit solchen ohne. Die Ergebnisse deuten darauf hin, dass Unternehmen mit Führungskräften als NEDs tendenziell eine höhere Markt- und Finanzleistung und eine niedrigere Besteuerung erreichen. Darüber hinaus hebt die Studie hervor, dass diese Vorteile für FTSE100-Unternehmen stärker sind, obwohl die Rentabilität für diese Firmen mit NEDs, die in Regierungsgremien sitzen, geringer sein könnte. Der Artikel diskutiert auch die theoretischen und praktischen Implikationen dieser Ergebnisse und liefert wertvolle Einsichten in die Literatur über unternehmenspolitische Aktivitäten und Unternehmensleistung.

Publisher’s note

Springer Nature remains neutral with regard to jurisdictional claims in published maps and institutional affiliations.

1 Introduction

Private firms undertake Corporate Political Activity (CPA) to maximize control over the regulatory environment in which they operate (Lawton et al., 2013; Rasche, 2015). Within this setting, personal service in government through “revolving door” appointments has become increasingly important. For private firms, personal service can facilitate lobbying, create new markets, and send a powerful signal to markets that a firm has the government’s support (Hillman et al., 1999). However, despite growing interest in the dynamics of personal service (e.g. Houston & Ferris, 2015; Byun et al., 2018; Carretta et al., 2012), research has yet to address whether business executives who simultaneously serve as Non-Executive Directors (NEDs) on central government boards garner firm-level benefits or the potentially moderating effects of firm “insiderness” on those outcomes.
To date, scholarship dealing with personal service identifies firm-specific benefits from the election and appointment of business leaders to political office (Luechinger & Moser, 2014; Szakonyi, 2018). Such benefits could be accumulated particularly efficiently by executives who simultaneously serve on government boards because NEDs obtain inside knowledge about regulations and develop “special relationships with the government” (Brezis & Cariolle, 2019, p.596), while still being active business executives. When executives participate as NEDs in in the “real time” governance of government agencies, they build networks of influence (Brezis & Cariolle, 2019), co-creating their own “bureaucratic capital” and that of the politicians and civil servants with whom they work. Firms with more executives simultaneously serving as NEDs on government boards will therefore likely have better performance than those with fewer executives serving as NEDs or none at all.
In addition to emphasising political connections, CPA research suggests that the value created through linkages between business and government may be contingent on the strength of those linkages (Acquaah, 2007; Lester et al., 2008; Sawant et al., 2021). The degree to which policy-makers consider a firm an “insider” within the policy-making process may therefore be a critical moderator of the relationship between executives’ service on government boards and firm-specific outcomes. “Insider” status is achieved when a firm develops a long-term consultative relationship with policy-makers and is trusted by those policy-makers (Grant, 1978). In particular, large, established corporations cultivate a visible “insider” reputation, which enables them to maximise the benefits from the political networks in which they are embedded (Berrios, 2006). Hence, “insider” firms with executives simultaneously serving as government NEDs may gain greater advantages over rival companies than non-insider firms with NEDs. Our contributions to the CPA literature are therefore focused on answering two key research questions: (i) do companies with executives serving as government NEDs obtain firm-specific benefits; and, (ii) does “insiderness” influence the government NED-firm benefits relationship?
Scholarly interest in the boards of public service-delivery organizations, such as schools and hospitals, is growing (Kirkpatrick et al., 2017; Land, 2002; Roberts & Connors, 1998). However, the corporate governance boards that oversee central government ministries, departments and agencies, and the NEDs who sit on them, remain almost completely neglected. To our knowledge, only two empirical studies have examined the work of NEDs on departmental boards, providing valuable background on their role and responsibilities (Hazell et al., 2017; Kakabadse & Kakabadse, 2023), but offering little analysis of firm-specific benefits. This lack of research interest is remarkable given the media stories about the conflicts of interest that surround the NEDs serving at the heart of UK government (Merrick, 2020; Payne & Thomas, 2021; Savage, 2021). Firm-level benefits from NED service are thus a subject of timely importance, especially given the trend towards the “boardization” of central government in many countries (Lafuente & Nguyne, 2011), and increasing interest in new and alternative CPA tactics (Katic & Hillman, 2023).
To develop new knowledge about CPA and firm performance, we investigate whether firms accrue benefits from the simultaneous personal service of their executives on the boards of UK central government departments and agencies: public organizations that manage public policy for the national ruling political party of the day. We employ a unique database of the NEDs on government boards, supplemented with corporate financial and taxation indicators from the annual accounts of all the firms included in the major FTSE indices, plus non-FTSE UK firms from which NEDs are drawn. The data extend from 2008 to 2021. Our analysis compares firms with executives simultaneously serving as government NEDs with firms that do not have such executives, controlling for other relevant firm-level covariates. Our results indicate that firms with executives serving as NEDs on departmental and agency boards tend to achieve higher levels of market and financial performance, and have lower levels of taxation than firms with fewer or no government NEDs. Further analysis indicates that most of these benefits are stronger for FTSE100 companies, but that profitability is weaker for FTSE100 companies with NEDs serving on government boards.
In the next section of the paper, we review the literature on personal service and firm-specific benefits, before developing hypotheses about the performance of companies with executives simultaneously serving as government NEDs. We then reflect on the importance of “insider” status for CPA and posit a hypothesis on the moderating effects of “insiderness” on the government NED-performance relationship. In the third section, we describe the study context and our empirical approach. In the fourth section, we report our statistical estimates, presenting evidence on the firm-specific benefits of having executives serve as government NEDs and the moderating effects of “insiderness”. In the final section, we discuss the theoretical and practical implications of our findings.

2 Personal service and firm-specific benefits

Building political connections and gaining access to policymakers is arguably a firm’s “single most important political goal” (Schuler et al., 2002, p. 659). Nevertheless, the political tactics of their competitors, the time and resources required to obtain the trust of policy-makers and the limited attention span of officials driven by the pressures of the electoral cycle can hinder meaningful access (Bouwen, 2002; Schuler et al., 2002). Within this context, nurturing deeper political connections through personal service in government represents an attractive activity for firms seeking to convince policymakers of a company’s preferred outcomes (Hadani, 2007).
Katic and Hillman (2023) consider the personal service of business executives appointed to work in government an informal tactic of direct CPA, because businesspeople moving into government jobs can lobby policy-makers informally on behalf of their past employers (Houston & Ferris, 2015). Former business executives serving in government benefit their previous companies by giving advance warning of new regulations, procurement and consultation opportunities, and by cultivating a network of useful contacts (Langbein, 1986). Active business executives serving as NEDs on government boards have opportunities to steer government policy in this way on both a formal (and informal) basis while still working for their private employers, thereby improving the efficiency of the gains from personal service.

2.1 Performance effects of personal service

Houston and Ferris (2015) distinguish between positive “lobbying effects” from the appointment of former government officials to corporate directorships, and positive “pork effects” that can generate firm-specific benefits when former corporate executives are elected or appointed to serve in government jobs. “Lobbying effects” are good for firm performance because of the bureaucratic capital (i.e. expertise, insights and contacts) that former politicians and civil servants bring from their previous roles. By contrast, “pork effects” accrue to firms when former business executives distribute benefits towards their previous employer as they progressively build bureaucratic capital within government. Executives entering government who wish to return to private sector jobs have an incentive to influence the policy process in ways that are beneficial to potential employers.
Service as NEDs on government boards gives business executives still employed by private firms the opportunity to capture “lobbying” and “pork” effects. Public service can enable executives to build the bureaucratic capital needed to influence politicians and public officials by developing regulatory expertise and brokering new connections between their company and relevant policy-makers (Houston & Ferris, 2015; Sun et al., 2012). Importantly, the on-going service of business executives on government boards enables companies to by-pass “the time gap between public and private offices” (Brezis & Cariolle, 2019, p. 610). Firms with NEDs in government gain better and more regular access to policy-makers that can lead to the award of grants and contracts, advance notice of regulatory changes and an “insider” reputation that is valued by investors (Hillman et al., 1999). The bureaucratic capital developed by business executives who simultaneously serve as government NEDs thus seems likely to enable firms to achieve higher levels of financial and market performance.
Executives serving as NEDs provide unique input into policy-making in government and develop valuable contacts from whom they can learn about contracting opportunities, regulatory changes and policy developments. NEDs on UK government boards directly advise on “performance (including agreeing key performance indicators), operational issues (including the operational/delivery implications of policy proposals), and on the effective management of the department” (Cabinet Office, 2017, p. 6). Because of their dual roles inside and outside of government, executives serving as government NEDs can transfer firm-specific knowledge that enhances their companies’ competitive advantage more quickly than businesspeople appointed to full-time government jobs or former politicians who take up corporate positions (Bonardi & Vanden Bergh, 2015). Nonetheless, it is also possible that personal service substitutes for, rather than complements, conventional market strategy, with companies that invest time and money in developing political connections diverting resources away from potentially more profitable investments in technology, human capital and R&D (Bhuyan, 2000; Bonardi, 2008). Furthermore, executives simultaneously serving as government NEDs could prefer to boost their own prestige and earning power rather than corporate performance (Hadani et al., 2015).
To date, most of the empirical literature on political connections has found positive effects from the appointment of public officials as company directors, using measures of market and accounting performance (e.g. abnormal returns, market capitalization, profitability and sales turnover) (Hadani & Schuler, 2013; Hillman, 2005; Niessen & Ruenzi, 2010; Palmer & Schneer, 2016). Additionally, numerous studies highlight how the appointment of former or current business leaders to political roles may bring benefits for firm performance (Houston & Ferris, 2015; Hillman & Hitt, 1999; Luechinger & Moser, 2014). However, some research suggests moving public officials onto company boards can harm market value and weaken financial controls due to the unpredictable nature of political influence and ties (Carretta et al., 2012; Hadani & Schuler, 2013). Likewise, while former executives may use their new connections in government to assist companies capture more grants and enhance their market power (Faccio, 2010; Szakonyi, 2018), some firms experience weaker market value and profitability (Faccio, 2010).
Faccio’s seminal (2006) study indicates that the benefits of political connections are stronger when executives serve in government than when politicians sit on company boards. According to He (forthcoming), connections in government may be even more beneficial when firms are able to influence the unelected officials responsible for implementing public policy rather than elected politicians, due to officials’ lower level of public visibility. Firms placing executives as NEDs on government boards are thus able to reap the greater benefits from personal service in government and from the low visibility of the work of governing boards. Therefore, based on the theoretical ideas outlined above regarding the value of placing executives as NEDs on government boards and the related empirical literature, we posit:
  • Hypothesis 1: Having an executive serve as a NED on a government board will be positively associated with corporate financial performance.

2.2 Taxation effects of personal service

In addition to gains in corporate financial performance, accounting scholars argue that companies engaging in CPA are likely to target improvements in tax liabilities (Barrick & Brown, 2019). Hanlon and Heitzman (2010) emphasize that tax legislation is open to the influence of stakeholders outside government. By building connections inside government, companies can lobby for tax breaks and exemptions, weaker regulation and changes in tax law, all of which potentially reduce a firm’s effective tax rate (Barrick & Brown, 2019). Business executives serving within government achieve these goals by persuading regulators to reduce the costs firms incur to meet regulatory standards (Makkai & Braithwaite, 1992). As a result, it may be possible to gain both greater revenue from political connections and to reduce tax liabilities. Indeed, Barrick and Brown (2019) highlight how “firms that engage in general CPA appear more likely to engage in tax-related CPA” (p.67). Furthermore, Hill et al. (2013) highlight how shareholders value tax-related lobbying. Again, firms that employ executives who simultaneously serve as NEDs on government boards may accrue sizeable benefits because those executives exchange knowledge between their employer and tax authorities more efficiently than executives who accept full-time government jobs or the former politicians sitting on company boards.
Empirical evidence on the impact of personal service on corporate taxation is comparatively scarce, but research does suggest that political connections facilitate aggressive tax planning (Kim & Zhang, 2016). As such, firms with connections in government seek lower effective tax rates (see Egerod, 2019; Wang & You, 2022). Some scholars suggest tax-related benefits from political connections may not transpire because tax policy changes are diffused across industries (Faccio, 2010) or because firms seeking influence may choose to respect the letter of the (tax) law (Szakonyi, 2018). However, the wider lobbying-taxation literature highlights that companies that intensively lobby policy-makers benefit from lower tax rates (e.g. Brown et al., 2015; Richter et al., 2009; Wang et al., 2022), face a lower probability of fraud detection (Yu & Yu, 2011) and weaker sanctions for fraud offences when they are caught (Fulmer & Knill, 2012). For the above reasons, we propose:
  • Hypothesis 2: Having an executive serve as a NED on a government board will be negatively associated with corporation tax.

2.3 The moderating effect of ‘insider’ status

Firm-level contingencies are likely to influence the effectiveness of companies’ efforts to mobilise their political connections (Getz, 1991; Schuler & Rehbein, 1997). In particular, policy “insiderness”, the extent to which companies are “regular and familiar partners with public officials and whether they are considered as one of the few alternatives on a policy issue” (Albareda et al., 2023, p. 192) is likely to shape the outcomes from personal service in government. By virtue of their market share and economic importance, the largest, most well-established firms achieve “insider” status (Coen, 2007). Such “insiders” benefit from more frequent participation in policy-making on a wide variety of issues, which gives them access to a broader range of policy-makers than other groups (Maloney et al., 1994). As a result, “insider” firms may gain most from their executives’ simultaneous service on government boards because they have stronger and more diverse political connections and can mobilise more bureaucratic capital than firms without insider status.
Empirical evidence highlights the dominance of traditional business and economic interests within European policy-making communities (Binderkrantz & Christiansen, 2015; Dommett et al., 2017; Fraussen et al., 2015; Weiler et al., 2019). However, comparatively little research has addressed whether “insiderness” results in better outcomes for firms. Studies show that large companies benefit from their enhanced reputation in the competition for government contracts (Alonso & Andrews, 2023; Berrios, 2006; Drope & Hansen, 2006), but scholars have yet to identify performance differences between “insider” and “non-insider” firms. Nevertheless, ideas about the benefits that large, prestigious and well-established firms achieve from being “insiders” have long fuelled scholars’ arguments about the connections between political and business elites (Parry, 2005). In particular, FTSE 100 companies are regarded as insiders within the British political system, due to their status as bastions of corporate leadership critical to the UK economy (Davis, 2017; Wilks, 2013). Although this brings greater exposure to public scrutiny, the leaders of FTSE 100 companies can exploit their unique “insider” position to promote the financial goals of their companies by “forming a vital bridging network between financial and state elites” (Davis, 2019, p.112). Based on the above reasons, it seems likely that FTSE 100 companies will be in an especially strong position to benefit from their executives’ service on government boards. As a result, we posit:
  • Hypothesis 3: Firm-specific benefits from having an executive serve as a NED on a government board will be stronger for FTSE100 companies.

3 Context and data

Boards of directors have long been a feature of private sector corporate governance, but their use as institutions for improving the corporate governance of central government agencies has become significant only recently (Lafuente & Nguyne, 2011). Within the UK, boards of directors were established for all the major government ministries, departments, agencies and non-departmental public bodies during the 2000s (Wilks, 2007). Importantly, the introduction of NEDs on to government boards was intended to make them more “business-like”, with boards expected to include at least four NEDs, most of whom should be senior business executives (Cabinet Office, 2017).
UK Government NEDs are appointed through an open competitive selection process (National Audit Office, 2024), i.e. “a formal process, bound by laws, rules and regulations for political behavior” (Katic & Hillman, 2023, p. 1920). NEDs are expected to attend 5–8 board meetings a year and are paid up to £20,000 per annum. NEDs must declare any potential conflicts of interest and uphold the Code of Conduct for Board Members of Public Bodies once in post (Cabinet Office, 2019). However, the presence of conflicts of interest does not preclude appointment. Business executives’ service as NEDs on government boards in the UK therefore presents them with a range of formal and informal opportunities to realize firm-specific benefits for their private employers.

3.1 Government NEDs data set

To test our proposed hypotheses, we construct a unique dataset combining accounting information for a large sample of companies, with information collected by hand on the governing boards of the full population of 26 departments and 100 agencies of the UK government that were in operation during the study period. This includes the small number of boards for departments and agencies of the devolved governments in Scotland and Wales. Our unit of analysis is the firm-year, consisting of 2,049 firms across 14 years, 2008–2021 in a balanced panel.1 Firm-level data were obtained from Bureau van Dyck’s FAME database, while data on NEDs and government agencies were obtained from a variety of sources; see Table 2 for a set of summary statistics, and the Supplementary Appendix for full details of the data sources.
The sample used in the study comprises: all the companies that are not domestic or foreign subsidiaries included in the different FTSE listings made available in Bureau Van Dijk’s FAME database (see the Supplementary Appendix); and, non-FTSE firms for whom a NED worked that held assets of more than one million British Pounds. The sample therefore encompasses UK multinational companies (e.g. Astrazeneca, Barclays Bank, BP) and unlisted companies (e.g. Ark Schools, Atom Bank, Marshall of Cambridge).
To accurately match executives who simultaneously served as NEDs on government boards to the companies for whom they work, we first searched the annual reports of all UK government departments and agencies for details about their board composition. These are made publicly available through UK government websites, though in some cases were accessed via stored internet pages in the UK national archives. Next, we examined the biographical details of the NEDs presented in the annual reports and transposed employment details of each company-based NED into a database, matching their dates of employment in private firms with their years of service on a government board. Where there was insufficient biographical detail in the annual reports to facilitate this transposition, we obtained the career history of NEDs via Linkedin pages and other media sources.

3.2 Dependent variables

We leverage seven outcome measures that explore firm-specific benefits typically investigated in the CPA literature. To test our hypothesis regarding corporate financial performance, we analyse: market capitalization; turnover; pre-tax profit; post-tax profit; return on capital employed; and, return on total assets. To test our taxation hypothesis, we analyse the level of UK corporation tax paid annually by each company. To ensure direct comparability of all coefficients across outcomes and avoid concerns over linearity in the parameters, we transformed all outcome variables, first by mean-standard normalization and second with the inverse hyperbolic sine. This transformation has several advantages over standardisation and log-transformation when dependent variables exhibit substantial right-skew or have negative or zero values, as we do not need additional intercept-shifts or threaten the Gauss-Markov assumption of linearity in the parameters (Friedline et al., 2015).2

3.3 Predictor variables – count of NEDs in government, at least one NED in government

We leverage two predictor variables that capture different ways to operationalize how embedded a firm’s executives are as government NEDs. Our first operationalization is a count of all firm executives simultaneously employed as NEDs in government departments and agencies for a given year. If a NED in a given year is also an executive for a firm, that individual is included in the annual count.3 The variable ranges from 0 to 25 with a mean of 0.204. Most firm-years – 25,218 out of 28,686 – have no executives working in government as NEDs, which would suggest that placing the first executive in government as a NED is more difficult than having subsequent executives serve as NEDs. Therefore, our second operationalization is a dichotomous measure of whether a firm has at least one executive simultaneously serving as a government NED in a given year. An added advantage of this second measure is that we model the distinction between firms that can obtain this sort of access, and those firms that cannot. These two measures are lagged by a single year, as a NED is unlikely to provide their firm with appreciable benefits in the same year that they are appointed.
We report the number and distribution of NEDs across government departments and agencies for each year of the study period in Table 1. The table highlights that while the number of NEDs in government departments has remained constant since 2010, the number of NEDs in government agencies has nearly tripled.
Table 1
Distribution of unique government NEDs by year, 2010-20
Year
Department NEDs
Agency NEDs
2010
128
78
2011
130
92
2012
131
97
2013
132
99
2014
132
117
2015
132
147
2016
131
153
2017
130
149
2018
130
174
2019
130
185
2020
-
200

3.4 Control variables

We rely on several covariates to control for alternative explanations for firm performance. First, we include two dichotomous indicators capturing whether the firm is a member of the FTSE 100 or FTSE 250 and is therefore recognised to be a successful company. Due to their size and importance in the UK economy, we would expect these firms to draw more government attention from among the sample of firms included in our analysis. In particular, FTSE 100 companies are considered “insiders” within the British political system (Davis, 2017). Second, firm size is measured as the total assets held per annum. This enables us to gauge the total resources available to a company to generate profit through their business activities (Dang et al., 2018). Third, we include firm age measured as the number of years since the year in which the company was incorporated, which serves as a further proxy for the reputational effects of a firm on its performance and its propensity to be connected to government (Hillman et al., 2004).
Fourth, we calculate a “ranking” of firms based on the observed prestige of NEDs in a department or agency. When a department or agency lists the NEDs in their annual reports, we wrote their names down in the order they appear. Usually, the chair or co-chairs of the board are listed first. By capturing this order when aggregating data to the firm-year, we observe which firms have “higher-ranked” NEDs on department or agency boards. Therefore, our estimates control for the ability of firms to obtain more benefits from more influential NED positions. Relatedly, we include a variable measuring the proportion of a firm’s executives who are NEDs on the boards of government departments, which are more prestigious than agencies.
Also included are a series of dummies for each year observed in the data. This is to account for any temporal effects that could have affected firm performance. Descriptive statistics for all the variables included in our analysis are shown in Table 2.
Table 2
Descriptive statistics before transformation*
 
Obs
Mean
SD
Min
Max
Market Capitalization (£ Millions)
12,731
1872.38
8360.90
0.08
153,345
Turnover (£000s)
18,271
1476463.42
10159302.04
−31,644,000
316,046,000
Profit, Pre-Tax (£000s)
20,305
103691.97
1046255.03
−40,667,000
35,815,000
Profit, Post-Tax (£000s)
20,316
74592.67
809191.59
−38,344,000
37,704,000
ROCE (%)
20,166
−0.20
81.60
−997.54
982.90
ROTA (%)
20,252
−5.92
56.91
−999.71
817.70
Tax (£000s)
16,905
−34903.33
392128.28
−16,785,000
16,582,000
FTSE100
27,672
0.05
0.22
0
1
FTSE250
27,672
0.13
0.33
0
1
Assets (Firm Size) (£000s)
20,912
7627073.74
75612570.93
0
2,401,652,000
Age of Firm
21,318
22.89
30.29
-
164.70
Number of NEDs
27,672
0.17
0.86
0
25.00
At least one NED
27,672
0.09
0.28
0
1
Avg NED Rank
27,672
0.22
0.98
0
17.00
Pct NEDs Department
27,672
0.05
0.21
0
1
*Note: In creating our balanced panel, we created firm-year observations that preceded the formation of the firm. These observations have no data from the FAME dataset and are excluded in all analyses. Some variables, such as market capitalization, turnover, and tax, have some missingness in the data. Please see the Supplementary Appendix for further discussion

3.5 Correlations

Correlations between the variables used in our analysis are displayed in Fig. 1. The correlation matrix shows that our NEDs measures are associated with our firm-level variables – we report strong correlations between our main Count of NEDs variable and our market capitalization, profits, and tax variables, and moderate correlations with most other variables.
Fig. 1
Correlation matrix, post-transformation
Bild vergrößern

4 Analysis

Our analyses rely on fixed effects regression estimates, with firm-clustered standard errors. We employ four sets of models: (1) where the predictor is the lagged number of NEDs; (2) where the predictor is the lagged dichotomized NEDs variable; (3) an interaction between the lagged number of NEDs and FTSE100 status; and (4) an interaction between the lagged dichotomized NEDs variable and FTSE100 status. The models examining the number of NEDs are reported first in Table 3.
Table 3
Business executives serving as government NEDs and firm performance – Number of NEDs
 
Market capitalization
Turnover
Profit pre-tax
Profit post-tax
ROCE
ROTA
Tax
Number of NEDst−1
0.018** (0.009)
0.009* (0.005)
0.030 (0.021)
0.024 (0.022)
0.003 (0.005)
−0.002 (0.004)
−0.028** (0.013)
FTSE100 firm
1.233*** (0.034)
0.830*** (0.041)
0.872*** (0.075)
0.917*** (0.079)
0.179*** (0.031)
0.256*** (0.037)
−0.549*** (0.052)
FTSE 250 firm
0.070*** (0.004)
0.098*** (0.024)
0.061** (0.019)
0.056*** (0.016)
−0.196*** (0.022)
−0.349*** (0.077)
−0.040*** (0.009)
Firm size (assets)
0.313*** (0.116)
0.450*** (0.125)
0.339 (0.206)
0.307 (0.210)
−0.042 (0.027)
−0.042** (0.020)
−0.095 (0.141)
Age of firm
−0.009*** (0.001)
−0.007*** (0.001)
−0.008*** (0.002)
−0.007*** (0.002)
0.017*** (0.002)
0.030*** (0.004)
0.005*** (0.001)
Average NED ranking
0.004 (0.005)
−0.001 (0.002)
−0.006 (0.009)
−0.003 (0.008)
−0.004 (0.003)
−0.005* (0.003)
0.004 (0.007)
% NEDs in departments
0.041 (0.031)
−0.000 (0.011)
0.037 (0.051)
0.068 (0.064)
−0.056* (0.029)
−0.020 (0.027)
0.024 (0.051)
(Intercept)
−0.148*** (2.281)
−0.040*** (0.007)
−0.011 (0.007)
−0.018* (0.008)
−0.021*** (0.003)
−0.001 (0.007)
0.037*** (0.006)
Observations
12,381
13,949
15,714
15,715
15,611
19,803
16,512
Adjusted R2
0.95
0.97
0.59
0.55
0.33
0.53
0.56
F-test
19.85
33.42
1.69
1.44
0.64
1.37
1.53
Year and firm-level effects included in all models. Firm-clustered standard errors reported in parentheses.
Sig: ***<0.01, **<0.05, *<0.10.
The results shown in Table 3 offer some support for our first hypothesis about the link between business executives’ service as a NED on a government board and corporate financial performance. Firms with more government NEDs are associated with higher market capitalization and higher turnover, when controlling for other potential influences on firm performance. Firms with more government NEDs do not appear to have better profitability than those with fewer NEDs. Nevertheless, we do observe evidence in support of our second hypothesis regarding the connection between government NED service and corporate tax: firms with more executives simultaneously serving as NEDs on government boards have a lower taxation burden than firms with fewer executives simultaneously serving as government NEDs.
Our models examining firms with at least one executive simultaneously serving as a government NED are reported in Table 4. Here, our first hypothesis receives stronger support. Although firms with at least one government NED are not associated with higher market capitalization, they have higher turnover and better profitability than companies with no NEDs at all on government boards. In addition, the NEDs coefficient is negative and statistically significant for the taxation model shown in Table 4, thereby supporting hypothesis two.
Table 4
Business executives serving as government NEDs and firm performance – At least one NED
 
Market capitalization
Turnover
Profit pre-tax
Profit post-tax
ROCE
ROTA
Tax
At least one NEDt−1
0.022 (0.017)
0.023* (0.012)
0.120** (0.040)
0.115** (0.043)
0.028* (0.016)
0.031* (0.012)
−0.063** (0.031)
FTSE100 firm
1.241*** (0.033)
0.814*** (0.042)
0.832*** (0.078)
0.867*** (0.082)
0.172*** (0.037)
0.278*** (0.029)
−0.510*** (0.056)
FTSE 250 firm
0.067*** (0.004)
0.099*** (0.007)
0.060*** (0.017)
0.052** (0.019)
−0.210*** (0.042)
−0.372*** (0.025)
−0.046*** (0.010)
Firm size (assets)
0.333*** (0.104)
0.459*** (0.126)
0.370* (0.210)
0.332 (0.215)
−0.039 (0.027)
−0.044* (0.018)
−0.124 (0.139)
Age of firm
−0.008*** (0.001)
−0.008*** (0.001)
−0.007*** (0.002)
−0.006** (0.002)
0.017*** (0.003)
0.031*** (0.002)
0.006*** (0.001)
Average NED ranking
0.005 (0.006)
−0.001 (0.001)
−0.008 (0.008)
−0.006 (0.008)
−0.005* (0.003)
−0.006** (0.003)
0.004 (0.007)
% NEDs in departments
0.051* (0.030)
0.002 (0.011)
0.011 (0.054)
0.036 (0.064)
−0.068** (0.027)
−0.039 (0.027)
0.021 (0.057)
(Intercept)
−0.151*** (0.009)
−0.041*** (0.006)
−0.011* (0.007)
−0.021** (0.008)
−0.023*** (0.006)
−0.037*** (0.003)
0.027*** (0.005)
Observations
12,381
13,949
15,714
15,715
15,611
16,671
13,802
Adjusted R2
0.95
0.97
0.59
0.55
0.32
0.52
0.58
F-test
19.75
39.62
1.69
1.43
0.62
1.27
1.66
Year and firm-level effects included in all models. Firm-clustered standard errors reported in parentheses.
Sig: ***<0.01, **<0.05, *<0.10.
The findings in Table 4 underline the value that firms create from their first political connections. If a firm places at least one serving executive as a NED on a government board, it can expect important benefits. For example, a firm placing its first executive as a NED on a government board in 2021 should expect to see its annual post-tax profits increase by £24.4 million, ceteris paribus, while that same firm should expect to pay £8.9 million less in tax per year. For our dichotomized models, having any government NEDs during the study period is associated with increased pre-tax profits of £52.2 million and increased post-tax profits of £45.2 million. These are substantial gains, and politically-connected firms likely already understand these consequences.4
To test our third hypothesis dealing with insider firms, our final set of models explore the interactions between our NED variables and the firms listed on the FTSE 100 index. These findings are reported in Table 5 and are straightforward – and fascinating. The signs for the coefficient for the NED x FTSE 100 firm variable are consistently in the expected direction (i.e. negative only for taxation), and the coefficient is statistically significant for all the outcome measures analysed, except ROCE and ROTA. In other words, the results presented in Table 5 suggest that FTSE 100 firms that have added NEDs have higher market capitalization, turnover, pre- and post- tax profits, while also reporting a lower tax burden, than non-FTSE firms or firms that have not added NEDs in the past year.
Table 5
Business executives serving as government NEDs x FTSE100 firms and firm performance
 
Market capitalization
Turnover
Profit pre-tax
Profit post-tax
ROCE
ROTA
Tax
Panel A (Number of NEDs)
Number of Nedst−1 x FTSE 100 firm
0.044*** (0.015)
0.017** (0.008)
0.068* (0.035)
0.061 (0.039)
0.007 (0.010)
0.005 (0.008)
−0.050** (0.022)
Number of Nedst−1
−0.022 (0.014)
0.001 (0.001)
−0.005 (0.006)
−0.007 (0.007)
−0.001 (0.009)
−0.004 (0.007)
0.001 (0.004)
FTSE100 firm
1.217*** (0.035)
0.814*** (0.038)
0.824*** (0.089)
0.873*** (0.096)
0.169*** (0.032)
0.242*** (0.033)
−0.515*** (0.054)
Observations
12.472
13,949
15,714
15,715
15,611
15,671
13,082
Adjusted R2
0.95
0.97
0.60
0.55
0.33
0.51
0.59
F-test
19.98
33.60
1.71
1.45
0.64
1.23
1.68
Panel B (At least one NED)
At least one NEDt−1 x FTSE 100 firm
0.118*** (0.035)
0.076** (0.035)
0.316** (0.134)
0.314** (0.137)
0.020 (0.032)
−0.016 (0.028)
−0.184* (0.106)
At least one NEDt−1
−0.020 (0.018)
0.000 (0.005)
0.023 (0.023)
0.019 (0.026)
0.022 (0.021)
0.036** (0.016)
−0.004 (0.018)
FTSE100 firm
1.172*** (0.038)
0.769*** (0.048)
0628*** (0.144)
0.673*** (0.148)
0.162*** (0.035)
0.278*** (0.031)
−0.405*** (0.108)
Observations
12.381
13,949
15,714
15,715
15,611
15,671
13,082
Adjusted R2
0.95
0.97
0.60
0.55
0.33
0.52
0.58
F-test
19.87
37.50
1.72
1.46
0.63
1.29
1.67
Control covariates, year and firm-level effects included in all models. Firm-clustered standard errors reported in parentheses. Sig: ***<0.01, **<0.05, *<0.10
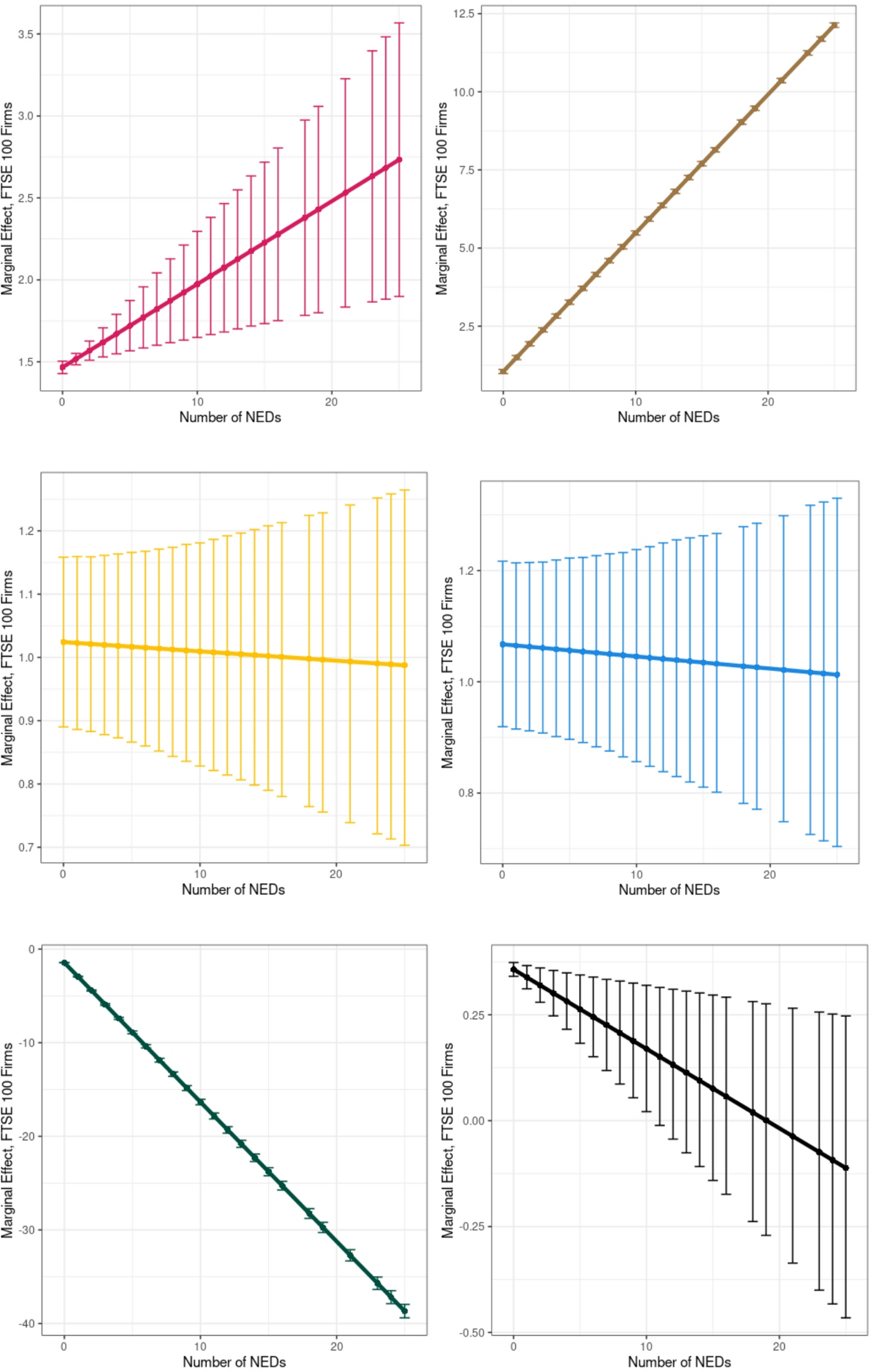
Substantive effects from the interactions presented in Panel B, Table 5 show the power of FTSE 100 firms placing their executives as government NEDs. A FTSE100 firm obtaining its first government NED should see raw pre-tax profits grow by £240,000 more, and raw post-tax profits grow by £264,000 more, than a non-FTSE100 firm obtaining its first NED, while tax would decrease substantially (£1.3 million) more for FTSE100 firms adding NEDs than non-FTSE100 firms adding NEDs. These effects underscore how privileged access to government decision-making can generate substantial financial rewards in even a single year. To fully explore the combined NED-FTSE 100 effect, it is informative to examine the marginal effect of being a FTSE 100 firm across different numbers of NEDs within government. We therefore plot the slope and confidence intervals of those marginal effects in Figs. 2 and 3 below.5
Fig. 2
Marginal effects of Number of NEDs for FTSE100 firms on: Market capitalization, turnover, profit pre-tax, profit post-tax, ROCE, and ROTA
Bild vergrößern
Fig. 3
Marginal effects of Number of NEDs for FTSE100 firms on: Taxation
Bild vergrößern
The marginal effect graphs reveal a more nuanced picture of the apparent advantages accruing to FTSE 100 firms placing more executives as NEDs on government boards. They suggest firms that increase their number of government NEDs benefit only in terms of higher market capitalization and turnover, and lower taxation. Moreover, despite the absence of statistically significant coefficients for the interaction terms in the ROCE and ROTA models presented in Table 5, the graphs point towards costs for FTSE 100 firms with more government NEDs in terms of both these profitability ratios. Profitability appears to decline as more FTSE 100 executives are appointed as government NEDs.
Overall, these findings suggest that, regardless of model specification, there is a link between firm performance and firms building bureaucratic capital directly by having their executives serve as NEDs on government boards. This holds regardless of other factors that might influence firm performance, such as firm size or age, or executives “rank” as a NED on a government board. However, firm-specific benefits for “insiders” seem to be restricted to market-based outcomes and taxation, rather than the profitability and efficiency that are arguably the hallmarks of innovative and successful companies (Canals, 2001; Roberts, 1999). In fact, for “insider” FTSE 100 firms, profitability appears to decline as they become more embedded in the corporate governance of UK government departments and agencies Fig. 2.

4.1 Endogeneity check

We note that endogeneity threats to our analysis – that firm profits influence the number of executives simultaneously serving as government NEDs – are not borne out by the data. We estimated a pair of models predicting the number of government NEDs each firm has in a particular year, with lagged firm-level variables as our main predictors. We find that only the Average NED ranking and Pct NEDs in Department variables are consistently associated with a higher number of executives simultaneously serving as government NEDs. No firm-level variables are associated with the count of NEDs save membership in the FTSE250 Index, while four variables are associated with having at least one government NED: firms with higher tax, higher turnover, higher pre-tax profit, but lower post-tax profit, have a higher chance of at least one NED. These estimates are reported and discussed further in the Supplementary Appendix (Fig. 3).

5 Discussion

To date, research on firm-specific benefits from executives’ personal service has focused on business leaders’ election or appointment to political office. Drawing on a novel dataset of NEDs on the boards of departments and agencies of the UK central government, our results suggest that firms with more executives simultaneously serving as NEDs on government boards do better on some measures of corporate financial performance and reduce their tax burden. Further analysis indicates that these benefits are especially strong for “insider” FTSE 100 firms, with one important exception: profitability gains from executives’ service as government NEDs are greater for non-FTSE 100 firms. Next, we discuss the implications of our findings.

5.1 Implications for CPA research

We contribute to the growing literature on CPA by focusing on the firm-specific benefits accrued through business executives’ simultaneous service as NEDs on government boards, paying especial attention to the benefits realised by “insider” firms. Drawing on a unique dataset capturing the appointment of executives to government NED positions, we go beyond prior analyses of personal service in government (e.g. Houston & Ferris, 2015; Hillman & Hitt, 1999; Luechinger & Moser, 2014) to address a novel form of CPA through which firms can become formally involved in the policy process. In doing so, our analysis suggests that personal service on government boards may be an efficacious strategy for building bureaucratic capital that can help to create value for companies.
Our findings also contribute to scholarship dealing with “insider” status within policy-making communities. Prior research in this field has emphasised the informational benefits accruing to “insiders” (e.g. Broscheid & Coen, 2003; Weiler et al., 2019), but has yet to identify tangible rewards associated with “insider” status. Drawing on a direct measure of access to and involvement with policy-makers and a battery of corporate financial and taxation indicators, we highlight how “insider” firms benefit financially from participation in the governance of government agencies. Nevertheless, our findings reveal profitability losses for FTSE 100 firms with more NEDs serving on government boards.
Callander et al. (2022) highlight that firms with politically-based market power (i.e. “insiders”) may suffer a corresponding reduction in their capability-based market power due to policy-makers’ efforts to manage competition and dominant firms’ weaker incentive to invest in new technologies and innovation. It is therefore possible that any profitability gains that FTSE 100 firms make through executives’ personal service as government NEDs may have been exhausted already due to their established status as the vanguard of Britain’s business community. As a result, the strength of the position of FTSE 100 firms as “insiders” within the UK corporate elite could itself be a brake on the kinds of innovation and growth that would result in better profitability – something that has been observed in developing economies (Desai & Olofsgard, 2008). Whiffin (2022) argues that the FTSE 100 has become a ‘Jurassic Park’ market dominated by firms that have reached maturity and which operate in industries, such as banking, insurance and energy, that no longer generate rapid revenue growth. Detailed quantitative and qualitative research on the relationship between business leaders’ service as NEDs on government boards and rates of business innovation, investment and development in the UK and elsewhere would therefore cast valuable new light on the dynamics of business-government relations.

5.2 Implications for practitioners

The results of our study demonstrate to business executives that simultaneous service on government boards can enable them to develop bureaucratic capital that generates desirable outcomes for the firms that employ them. In particular, the findings suggest that having at least one government NED can spur higher market capitalisation and more sales turnover. These benefits are even greater for firms that have more government NEDs than those that have a smaller number, and include a reduced tax bill, thereby highlighting that firms encouraging a higher intensity of personal service seem to be doing especially well. Nevertheless, while our results highlight that FTSE 100 firms can improve their market capitalisation, turnover and tax profile if they encourage firm representatives to undertake personal service as NEDs, they appear to do so at the expense of profitability. Hence, for “insider” firms, questions might arise about trade-offs between different outcomes when becoming more involved in the governance of government agencies. Our study suggests that “insiders” in Britain may be willing to trade high profitability for the more stable and secure benefits of high market capitalisation, high turnover and low taxes.
Although the involvement of NEDs from private firms in the governance of government agencies has become more common in many countries (Lafuente & Nguyne, 2011), questions remain about the desirability of the “boardization” of government (Wilks, 2007). In the UK, if the lead NED believes that “the permanent secretary [of a department] is a barrier to effective delivery, in extremis, they can recommend that the PM, lead minister and Head of the Civil Service, should remove him or her from post” (Cabinet Office, 2011, article 3.6). According to some observers, allocating this level of political authority to business executives poses a major challenge to democratic accountability (Barratt, 2015; Schillemans & Bovens, 2019). Prior research suggests that NEDs carry out their responsibilities conscientiously (Kakabadse & Kakabadse, 2023), but the wider citizenry (and their elected representatives) may have justifiable concerns about conflicts of interest. For example, the UK Committee on Standards in Public Life (2021) raised questions about the tendency for NEDs to be appointed without competition through political connections. For business executives serving as NEDs on government boards, efforts to demonstrate their expertise, commitment to creating public value and a reputation for impartiality may reassure critical observers of the validity of their role within government (Hazell et al., 2017). For public policy-makers, full transparency of the NEDs appointments process and publication of the minutes of the meetings of governance boards can potentially make the role of business executives on government boards more open to scrutiny, especially those that are employed by “insider” firms.

5.3 Limitations

This study represents an important first step in the investigation of the potential private gains that firms can realize from the simultaneous service of their executives as NEDs on government boards. Such boards are increasingly used to steer central government agencies across the world, so further research into this phenomenon is needed to corroborate our findings. An important goal for such studies would be to address some of the limitations of our approach.
Firstly, the available data do not permit us to determine the precise mechanisms through which business leaders’ personal service as government NEDs results in better firm performance. More research is needed to pinpoint whether the benefits of placing a NED on a government board are a result of stock market reactions, regulatory capture or preferential treatment in government contracting processes. Secondly, were it available, information on competitive selection processes for the appointment of NEDs to government boards could facilitate experimental designs comparing the performance of firms for whom successful applicants worked with that of firms for whom un-successful applicants work. Thirdly, while we follow prior CPA studies in using market capitalization and turnover as proxies for corporate financial performance, both indicators are correlated with firm size, which could influence our results. Subsequent studies could address the full complexity of firm performance using a wider array of financial ratios and indicators of firms’ environmental and social goals (Hristov et al., 2022). Finally, research dealing with CPA in general would benefit greatly from a systematic effort to understand whether the realization of private gains comes at the expense of public and societal value (Mollona & Faldetta, 2022). Management researchers have long queried the benefits of outside directors on company boards (Bhagat & Black, 2001), so analysis of the relationship between the use of NEDs from private firms on government boards and the performance of government departments and agencies, as well as their contribution to the wider social good, would be invaluable.

6 Conclusion

Our study contributes to scholarship on firm-specific benefits from CPA by providing evidence of the efficacy of business executives’ service as NEDs on government boards. Although media reports have spotlighted conflicts of interest associated with these appointments (Merrick, 2020; Payne & Thomas, 2021), researchers have paid almost no attention to the potential benefits to companies of placing NEDs at the heart of government. Importantly, since the relative importance of service on a government board seems to vary according to firm “insiderness”, we hope that our study provides a foundation for further theoretical development and empirical tests of firm-specific outcomes from government NED service in other public sector settings in the UK and elsewhere.

Declarations

Conflict of interest

The authors have no competing interests to declare that are relevant to the content of this article.
Open Access This article is licensed under a Creative Commons Attribution 4.0 International License, which permits use, sharing, adaptation, distribution and reproduction in any medium or format, as long as you give appropriate credit to the original author(s) and the source, provide a link to the Creative Commons licence, and indicate if changes were made. The images or other third party material in this article are included in the article’s Creative Commons licence, unless indicated otherwise in a credit line to the material. If material is not included in the article’s Creative Commons licence and your intended use is not permitted by statutory regulation or exceeds the permitted use, you will need to obtain permission directly from the copyright holder. To view a copy of this licence, visit http://creativecommons.org/licenses/by/4.0/.

Publisher’s note

Springer Nature remains neutral with regard to jurisdictional claims in published maps and institutional affiliations.

Rhys Andrews

is a professor of public management in Cardiff Business School. His research interests focus on public administration and corporate political activity. He has published widely in refereed journals including: British Accounting Review, European Journal of Political Research, European Management Review, Public Administration, Strategic Management Journal.

Kevin Fahey

is an associate professor in politics in the School of Politics & International Studies at the University of Nottingham. His research interests focus on the effects of institutions and institutional reforms on the behavior of political elites. His research has been published at Comparative Political Studies, Electoral Studies, and Political Research Quarterly.
Download
Titel
Business executives’ service on UK government boards and firm performance does “insiderness” matter?
Verfasst von
Rhys Andrews
Kevin Fahey
Publikationsdatum
11.11.2025
Verlag
Springer US
Erschienen in
Journal of Management and Governance / Ausgabe 1/2026
Print ISSN: 1385-3457
Elektronische ISSN: 1572-963X
DOI
https://doi.org/10.1007/s10997-025-09767-7
1
This balanced panel is imperfect due to missingness in the FAME database’s set of variables and removal of firms that are subsidiaries of foreign companies. We use data up to 2021 due to the availability of recent data; some data from the COVID period is not yet in the FAME database, and this nonrandom missingness could threaten our inferences.
 
2
In the Supplementary Appendix, we re-estimate coefficients without transformations and report those findings, which are essentially the same as those we report in the manuscript. Note, however, that these findings are driven by a skewed outcome measure that threatens our assumption of linearity in the parameters.
 
3
Often, these NEDs do not report which years they were firm executives. Our measure is inclusive in that if they list being a NED for an unspecified time, we consider them as an executive for all years of the study.
 
4
To explore the robustness of these results further, we subset the data through listwise deletion and run the set of models without covariates, but with year- and company- fixed effects. The total sample size is slightly under 10,000 – meaning we nonrandomly drop nearly two-thirds of the sample. The results for the count of NEDs models are essentially the same, and those for the at least one NED models are similar - the at least one NED coefficients all exhibit the expected signs, but are no longer statistically significant for ROCE and ROTA, though the coefficient becomes significant for the market capitalization model.
 
5
When an interactive term is included in a regression model, it is not possible to interpret the direct effects of the base terms in the same way as when the interactive term is not included in the model, as in Tables 3 and 4 (see Jaccard & Turrisi, 2003). The marginal effects graphs show the way in which the number of NEDs influences the connection between FTSE 100 firms and their performance relative to other firms.
 
Zurück zum Zitat Acquaah, M. (2007). Managerial social capital, strategic orientation, and organizational performance in an emerging economy. Strategic Management Journal, 28, 1235–1255.CrossRef
Zurück zum Zitat Albareda, A., Braun, C., & Fraussen, B. (2023). Explaining why public officials perceive interest groups as influential: On the role of policy capacities and policy insiderness. Policy Sciences, 56(2), 191–209.CrossRef
Zurück zum Zitat Alonso, J. M., & Andrews, R. (2023). Insider lobbying and government contracts: The moderating role of firm size. European Management Review, 19(3), 462–475.CrossRef
Zurück zum Zitat Barratt, E. (2015). Liberal conservatism,‘boardization’and the government of civil servants. Organization, 22(1), 40–57.CrossRef
Zurück zum Zitat Barrick, J. A., & Brown, J. L. (2019). Tax-related corporate political activity research: A literature review. The Journal of the American Taxation Association, 41(1), 59–89.CrossRef
Zurück zum Zitat Berrios, R. (2006). Government contracts and contractor behavior. Journal of Business Ethics, 63, 119–130.CrossRef
Zurück zum Zitat Bhagat, S., & Black, B. (2001). The non-correlation between board independence and long-term firm performance. Journal of Corporate Law, 27, 231.
Zurück zum Zitat Bhuyan, S. (2000). Corporate political activities and oligopoly welfare loss. Review Of Industrial Organization, 17(4), 411–426.CrossRef
Zurück zum Zitat Binderkrantz, A. S., & Christiansen, P. M. (2015). From classic to modern corporatism. Interest group representation in Danish public committees in 1975 and 2010. Journal of European Public Policy, 22(7), 1022–1039.CrossRef
Zurück zum Zitat Bonardi, J. P. (2008). The internal limits to firms’ nonmarket activities. European Management Review, 5, 165–174.CrossRef
Zurück zum Zitat Bonardi, J. P., & Bergh, R. G. V. (2015). Political knowledge and the resource-based view of the firm. In T. Lawton, & T. S. Rajwani (Eds.), The Routledge companion to Non-Market strategy (pp. 12–28). Routledge.
Zurück zum Zitat Bouwen, P. (2002). Corporate lobbying in the European union: The logic of access. Journal Of European Public Policy, 9(3), 365–390.CrossRef
Zurück zum Zitat Brezis, E. S., & Cariolle, J. (2019). The revolving door, state connections, and inequality of influence in the financial sector. Journal of Institutional Economics, 15(4), 595–614.CrossRef
Zurück zum Zitat Broscheid, A., & Coen, D. (2003). Insider and outsider lobbying of the European commission: An informational model of forum politics. European Union Politics, 4, 165–189.CrossRef
Zurück zum Zitat Brown, J. L., Drake, K., & Wellman, L. (2015). The benefits of a relational approach to corporate political activity: Evidence from political contributions to tax policymakers. The Journal of the American Taxation Association, 37, 69–102.CrossRef
Zurück zum Zitat Byun, H., Frake, J., & Agarwal, R. (2018). Leveraging who you know by what you know: Specialization and returns to relational capital. Strategic Management Journal, 39(7), 1803–1833.CrossRef
Zurück zum Zitat Cabinet Office. (2017). Corporate governance in central government departments: Code of good practice. Cabinet Office.
Zurück zum Zitat Cabinet Office. (2019). Code of conduct for board members of public bodies. Cabinet Office.
Zurück zum Zitat Callander, S., Foarta, D., & Sugaya, T. (2022). Market competition and political influence: An integrated approach. Econometrica, 90(6), 2723–2753.CrossRef
Zurück zum Zitat Canals, J. (2001). How to think about corporate growth? This paper is based on the author’s book, Managing Corporate Growth, Oxford University Press, Oxford, 2000. European Management Journal, 19(6), 587–598.
Zurück zum Zitat Carretta, A., Farina, V., Gon, A., & Parisi, A. (2012). Politicians ‘on board’: Do political connections affect banking activities in italy? European Management Review, 9, 75–83.CrossRef
Zurück zum Zitat Coen, D. (2007). Empirical and theoretical studies in EU lobbying. Journal Of European Public Policy, 14, 333–345.CrossRef
Zurück zum Zitat Dang, C., Li, Z., & Yang, C. (2018). Measuring firm size in empirical corporate finance. Journal of Banking & Finance, 86, 159–176.CrossRef
Zurück zum Zitat Davis, A. (2017). Sustaining corporate class consciousness across the new liquid managerial elite in Britain. The British Journal of Sociology, 68(2), 234–253.CrossRef
Zurück zum Zitat Davis, A. (2019). Top CEOs, financialization, and the creation of the super-rich economy. Cultural Politics, 15(1), 88–104.CrossRef
Zurück zum Zitat Desai, R., & Olofsgard, A. (2008). Do politically connected firms undermine their own competitiveness? Evidence from developing countries. Brookings Global Economy and Development Working Paper (18).
Zurück zum Zitat Dommett, K., Hindmoor, A., & Wood, M. (2017). Who meets whom: Access and lobbying during the coalition years. The British Journal of Politics and International Relations, 19(2), 389–407.CrossRef
Zurück zum Zitat Drope, J. M., & Hansen, W. L. (2006). Does firm size matter? Analyzing business lobbying in the United States. Business and Politics, 8(2), 1–17.CrossRef
Zurück zum Zitat Egerod, B. C. K. (2019). The Revolving Door and Taxes – Political Connections Decrease Corporate Tax Rates. Working Paper. https://dpsa.dk/papers/Tax%20Results%20Draft%20vol%205.pdf
Zurück zum Zitat Faccio, M. (2006). Politically connected firms. American Economic Review, 96, 369–386.CrossRef
Zurück zum Zitat Faccio, M. (2010). Differences between politically connected and nonconnected firms: A cross- country analysis. Financial Management, 39(3), 905–928.CrossRef
Zurück zum Zitat Fraussen, B., Beyers, J., & Donas, T. (2015). The expanding core and varying degrees of insiderness: Institutionalised interest group access to advisory councils. Political Studies, 63(3), 569–588.CrossRef
Zurück zum Zitat Friedline, T., Masa, R. D., & Chowa, G. A. (2015). Transforming wealth: Using the inverse hyperbolic sine (IHS) and splines to predict youth’s math achievement. Social Science Research, 49, 264–287.CrossRef
Zurück zum Zitat Fulmer, S., Knill, A. M., & Yu, X. (2012). Political contributions and the severity of government enforcement. Unpublished manuscript, Florida State University.
Zurück zum Zitat Getz, K. A. (1991). Selecting corporate political tactics. In: Academy of Management Proceedings (Vol. 1991, No. 1, pp. 326–330). Briarcliff Manor, NY 10510: Academy of Management.
Zurück zum Zitat Grant, W. (1978). Insider groups, outsider groups, and interest group strategies in Britain. University of Warwick, Department of Politics, 1978.
Zurück zum Zitat Hadani, M. (2007). Family matters: Founding family firms and corporate political activity. Business & Society, 46(4), 395–428.CrossRef
Zurück zum Zitat Hadani, M., & Schuler, D. A. (2013). In search of El dorado: The elusive financial returns on corporate political investments. Strategic Management Journal, 34(2), 165–181.CrossRef
Zurück zum Zitat Hadani, M., Dahan, N. M., & Doh, J. P. (2015). The CEO as chief political officer: Managerial discretion and corporate political activity. Journal Of Business Research, 68(11), 2330–2337.CrossRef
Zurück zum Zitat Hanlon, M., & Heitzman, S. (2010). A review of tax research. Journal of Accounting & Economics, 50(2/3), 127–178.CrossRef
Zurück zum Zitat Hazell, R., Cogbill, A., Owen, D., Webber, H., & Chebib, L. (2017). Critical friends? The role of non-executives on Whitehall boards. University College London.
Zurück zum Zitat He, T. L. (Forthcoming) (Ed.). Low profile, high impact: How the visibility of political agents shapes corporate political influence. Strategic Management Journal.
Zurück zum Zitat Hill, M. D., Kubick, T. R., Lockhart, G. B., & Wan, H. (2013). The effectiveness and valuation of political tax minimization. Journal of Banking & Finance, 37(8), 2836–2849.CrossRef
Zurück zum Zitat Hillman, A. J. (2005). Politicians on the board of directors: Do connections affect the bottom line? Journal of Management, 31(3), 464–481.CrossRef
Zurück zum Zitat Hillman, A. J., & Hitt, M. A. (1999). Corporate political strategy formulation: A model of approach, participation, and strategy decisions. Academy of Management Review, 24(4), 825–842.CrossRef
Zurück zum Zitat Hillman, A. J., Keim, G. D., & Schuler, D. (2004). Corporate political activity: A review and research agenda. Journal of Management, 30(6), 837–857.CrossRef
Zurück zum Zitat Hillman, A. J., Zardkoohi, A., & Bierman, L. (1999). Corporate political strategies and firm performance: Indications of firm-specific benefits from personal service in the US government. Strategic Management Journal, 20(1), 67–81.CrossRef
Zurück zum Zitat Houston, R., & Ferris, S. (2015). Does the revolving door swing both ways? The value of political connections to US firms. Managerial Finance, 41(10), 1002–1041.CrossRef
Zurück zum Zitat Hristov, I., Chirico, A., & Ranalli, F. (2022). Corporate strategies oriented towards sustainable governance: Advantages, managerial practices and main challenges. Journal of Management & Governance, 26(1), 75–97.CrossRef
Zurück zum Zitat Jaccard, J., & Turrisi, R. (2003). Interaction effects in multiple regression (p. 72). Sage.
Zurück zum Zitat Kakabadse, A. P., & Kakabadse, N. (2023). Enhancing policy delivery: Normalizing four critical contributions. British Politics, 18(2), 236–255.CrossRef
Zurück zum Zitat Katic, I. V., & Hillman, A. (2023). Corporate political activity, reimagined: Revisiting the political marketplace. Journal of Management, 49(6), 1911–1938.CrossRef
Zurück zum Zitat Kim, C., & Zhang, L. (2016). Corporate political connections and tax aggressiveness. Contemporary Accounting Research, 33(1), 78–114.CrossRef
Zurück zum Zitat Kirkpatrick, I., Vallascas, F., & Veronesi, G. (2017). Business experts on public sector boards: What do they contribute? Public Administration Review, 77(5), 754–765.CrossRef
Zurück zum Zitat Lafuente, M., & Nguyne, N. T. (2011). Studying the use of public sector boards for enhancing ministry-agency coordination and performance in selected OECD countries. Tech. rep. Working paper series on public sector management, World Bank, Washington, D.C.
Zurück zum Zitat Land, D. (2002). Local school boards under review: Their role and effectiveness in relation to students’ academic achievement. Review Of Educational Research, 72(2), 229–278.CrossRef
Zurück zum Zitat Langbein, L. I. (1986). Money and access: Some empirical evidence. Journal Of Politics, 48(4), 1052–1062.CrossRef
Zurück zum Zitat Lawton, T., McGuire, S., & Rajwani, T. (2013). Corporate political activity: A literature review and research agenda. International Journal of Management Reviews, 15(1), 86–105.CrossRef
Zurück zum Zitat Lester, R. H., Hillman, A., Zardkoohi, A., & CannellaJr., A. A. (2008). Former government officials as outside directors: The role of human and social capital. Academy of Management Journal, 51(5), 999–1013.CrossRef
Zurück zum Zitat Luechinger, S., & Moser, C. (2014). The value of the revolving door: Political appointees and the stock market. Journal of Public Economics, 119, 93–107.CrossRef
Zurück zum Zitat Makkai, T., & Braithwaite, J. (1992). In and out of the revolving door: Making sense of regulatory capture. Journal Of Public Policy, 12(1), 61–78.CrossRef
Zurück zum Zitat Maloney, W. A., Jordan, G., & McLaughlin, A. M. (1994). Interest groups and public policy: The insider/outsider model revisited. Journal Of Public Policy, 14(1), 17–38.CrossRef
Zurück zum Zitat Merrick, R. (2020). Tory insiders being handed top Whitehall jobs despite promise of ‘independent’ appointees. The Independent, 5th August, 2020.
Zurück zum Zitat Mollona, E., & Faldetta, G. (2022). Ethics in corporate political action: Can lobbying be just? Journal of Management & Governance, 26(4), 1245–1276.CrossRef
Zurück zum Zitat National Audit Office. (2024). Non-executive appointments. Report by the comptroller and auditor general. House of Commons.
Zurück zum Zitat Niessen, A., & Ruenzi, S. (2010). Political connectedness and firm performance: Evidence from Germany. German Economic Review, 11(4), 441–464.CrossRef
Zurück zum Zitat Palmer, M., & Schneer, B. (2016). Capitol gains: The returns to elected office from corporate board directorships. The Journal of Politics, 78(1), 181–196.CrossRef
Zurück zum Zitat Parry, G. (2005). Political elites. ECPR.
Zurück zum Zitat Payne, S., & Thomas, D. (2021). Hancock affair highlights opaque world of Whitehall non-execs. The Financial Times, 11th July 2021.
Zurück zum Zitat Rasche, A. (2015). The corporation as a political actor–European and North American perspectives. European Management Journal, 33(1), 4–8.CrossRef
Zurück zum Zitat Richter, B. K., Samphantharak, K., & Timmons, J. F. (2009). Lobbying and taxes. American Journal of Political Science, 53(4), 893–909.CrossRef
Zurück zum Zitat Roberts, C. C., & Connors, E. J. (1998). Major challenges facing governing boards of healthcare delivery organizations. Journal of Healthcare Management, 43(4), 297–301.CrossRef
Zurück zum Zitat Roberts, P. W. (1999). Product innovation, product–market competition and persistent profitability in the US pharmaceutical industry. Strategic Management Journal, 20(7), 655–670.CrossRef
Zurück zum Zitat Savage, M. (2021). One in five Whitehall non-executive directors have links to political parties. The Observer, 18th July 2021.
Zurück zum Zitat Sawant, R. J., Nachum, L., & Panibratov, A. Y. (2021). The effect of interpersonal political embeddedness on firm internationalization scope. British Journal of Management, 32(3), 812–831.CrossRef
Zurück zum Zitat Schillemans, T., & Bovens, M. (2019). Governance, accountability and the role of public sector boards. Policy & Politics, 47(1), 187–206.CrossRef
Zurück zum Zitat Schuler, D. A., & Rehbein, K. (1997). The filtering role of the firm in corporate political involvement. Business & Society, 36(2), 116–139.CrossRef
Zurück zum Zitat Schuler, D. A., Rehbein, K., & Cramer, R. D. (2002). Pursuing strategic advantage through political means: A multivariate approach. Academy of Management Journal, 45(4), 659–672.CrossRef
Zurück zum Zitat Sun, P., Mellahi, K., & Wright, M. (2012). The contingent value of corporate political ties. Academy of Management Perspectives, 26(3), 68–82.CrossRef
Zurück zum Zitat Szakonyi, D. (2018). Businesspeople in elected office: Identifying private benefits from firm-level returns. American Political Science Review, 112(2), 322–338.CrossRef
Zurück zum Zitat Wang, C., Wilson, R. J., Zhang, S., & Zou, H. (2022). Political costs and corporate tax avoidance: Evidence from sin firms. Journal of Accounting and Public Policy, 41(1), Article 106861.CrossRef
Zurück zum Zitat Wang, L., & You, K. (2022). The impact of political connections on corporate tax burden: Evidence from the Chinese market. Finance Research Letters, 47, Article 102944.CrossRef
Zurück zum Zitat Weiler, F., Eichenberger, S., Mach, A., & Varone, F. (2019). More equal than others: Assessing economic and citizen groups’ access across policymaking venues. Governance, 32(2), 277–293.CrossRef
Zurück zum Zitat Whiffin, A. (2022). Lex in-depth: Why is the UK stock market so cheap? Financial Times, March 6th, 2022.
Zurück zum Zitat Wilks, S. (2007). Boardization and corporate governance in the UK as a response to depoliticization and failing accountability. Public Policy and Administration, 22(4), 443–460.CrossRef
Zurück zum Zitat Wilks, S. (2013). The political power of the business corporation. Edward Elgar.
Zurück zum Zitat Yu, F., & Yu, X. (2011). Corporate lobbying and fraud detection. Journal of Financial and Quantitative Analysis, 46(6), 1865–1891.CrossRef
Bildnachweise
Schmalkalden/© Schmalkalden, NTT Data/© NTT Data, Verlagsgruppe Beltz/© Verlagsgruppe Beltz, rku.it GmbH/© rku.it GmbH, ibo Software GmbH/© ibo Software GmbH, Sovero/© Sovero, Axians Infoma GmbH/© Axians Infoma GmbH, genua GmbH/© genua GmbH, Prosoz Herten GmbH/© Prosoz Herten GmbH, Stormshield/© Stormshield, MACH AG/© MACH AG, OEDIV KG/© OEDIV KG, Rundstedt & Partner GmbH/© Rundstedt & Partner GmbH, Doxee AT GmbH/© Doxee AT GmbH , Governikus GmbH & Co. KG/© Governikus GmbH & Co. KG, Vendosoft/© Vendosoft, givve Bezahlkarte - digitale Effizienz trifft menschliche Nähe/© givve