Zum Inhalt

Decoherence mitigation by embedding a logical qubit in a qudit

  • Open Access
  • 01.07.2023
  • Regular Article
Erschienen in:

Aktivieren Sie unsere intelligente Suche, um passende Fachinhalte oder Patente zu finden.

search-config
loading …

Abstract

Der Artikel vertieft sich in das Konzept der Einbettung logischer Qubits in höher dimensionale Quantensysteme, um die Lebensdauer von Quantenspeichern zu erhöhen. Durch die Nutzung der Eigenschaften von Quoten zeigen die Forscher, dass Quanteninformationen im Vergleich zu herkömmlichen Qubitsystemen über längere Zeiträume erhalten werden können. Die Studie verwendet numerische Simulationen und Entropie-Produktionsanalysen, um zu zeigen, dass die erhöhte Dimensionalität und Trennung zwischen den Energieniveaus in Quoten zu dieser erhöhten Robustheit beitragen. Die Ergebnisse deuten darauf hin, dass Quoten eine effizientere und weniger ressourcenintensive Alternative zu herkömmlichen Methoden zur Korrektur von Quantenfehlern darstellen könnten. Die Arbeit beleuchtet auch das Potenzial von Quoten in Quantenprozessoren und -speichern und ermutigt zur weiteren Erforschung ihrer praktischen Anwendung.

Publisher's Note

Springer Nature remains neutral with regard to jurisdictional claims in published maps and institutional affiliations.

1 Introduction

Schemes for quantum computation (QC) rely on networks of quantum bits (qubits) that are mutually coupled and subjected to sequences of controlled operations (quantum gates). Each individual qubit is represented by an algebra of zero-trace \(2 \times 2\) unitary Hermitian matrices, while a classical computer utilizes classical bits that take the value 0 or 1 [14]. The resulting topological manifold describing the state of the qubit is the Bloch sphere, which encodes an uncountably infinite number of possible states, as compared to the two discrete states of a classical bit. Because Hilbert spaces are complex projective spaces, the points on the Bloch sphere are isomorphic to the unit vectors in \(\mathbb {C}^2\), representing the probabilistic outcomes of observing \(\mid 0\rangle \) and \(\mid 1\rangle \) under projective measurements. Multi-qubit states are linear combinations of vectors that are constructed from tensor products of single-qubit computational basis vectors, i.e., \(\mid \psi \rangle = \sum _{\vec {q}} a_{\vec {q}} \mid \alpha _{q_1} \rangle \otimes \mid \alpha _{q_2}\rangle \otimes \dots \otimes \mid \alpha _{q_n} \rangle \). The richness of information encoded by qubits endow quantum computers with unique computational capabilities. Early on, Shor [5, 6] Grover [7] proposed algorithms that have almost become synonymous with QC. Unfortunately, the creation of clean quantum gates exhibiting high fidelity in the presence of decoherence have proven to be a formidable challenge. Quantum error correction (QEC) codes were proposed to mitigate these problems [8, 9]. The highly important toric and surface codes have had a great impact in the field [916]. Improvements in quantum technology over the last two decades have led to the successful realization of the surface code [17, 18]; see also [19, 20].
There currently exist several different schemes for the realization of physical qubits (e.g., molecular magnets [21], defects in solids, cold ions, atoms and molecules, Rydberg atoms, nuclear and electron spin resonances, to name a few); superconducting qubit platforms are currently the most popular thanks to their public availability on cloud computing platforms made possible by companies such as Google, IBM, Rigetti, and IonQ [22]. These platforms are termed NISQ (noisy intermediate scale quantum) devices. As pointed out by Preskill [23], NISQ devices have found many immediate applications, such as variational quantum algorithms [2427] and quantum-inspired algorithms [2831]. As of today, it is unclear whether any of these methods provide a clear quantum advantage over classical computers in applications of current interest. We note, on the other hand, that the feasibility of quantum supremacy has been demonstrated in experiments [18].
Indeed, while these NISQ platforms provide excellent research, development and educational tools, the realization of large-scale QC algorithms remains out of reach, as the qubits remain too fragile, not well-controlled, and limited by decoherence as well as leakage effects. The impact of quantum errors can be mitigated using error correction schemes. However, those are based on fault-tolerant architectures, which require additional hardware resources (qubits and related controls). The added overhead limits the usefulness of error correction schemes. To overcome this problem, physical devices that are inherently fault tolerant have been proposed as a way to overcome logical errors [32]. With physical fault tolerance, no special architectures are needed, as the fault tolerance is built into the design of the qubit itself. This circumvents the problem of different setups producing different sources of errors. In this context, the realization of robust qubits is of great interest and utmost importance.
In the context of generating robust qubits, we note the proposals for multi-level systems, such as error-correcting codes for molecular magnets [33, 34], optical systems [35] as well as the Kerr-cat qubit (superposition of coherent states) [36]. In Ref. [37], the authors proposed molecular spin qudits as elements of a quantum simulator. In Ref. [38], dysprosium (Dy), whose spin J is 8, was used for enhanced quantum sensing. Furthermore, bosonic codes have been extensively studied: the binomial code [39], the cat code [4044], the Gottesman–Kitaev–Preskill (GKP) code [36, 4548], and the rotation-symmetric bosonic codes [49]. To realize the bosonic codes, truncated bosonic modes are required and optical systems are possible platforms that may provide us with bosonic modes. Nuclear spins with \(I > 1/2\) are examples of multi-level spin systems, and they exhibit faster relaxation rates, which are a function of the nuclear quadrupole moment and local electric-field gradient. In Ref. [5053], the structure and control of such systems are analyzed in the context of NMR experiments.
The description of qudit systems and their uses in QC is often done in terms of generalized Pauli and Clifford operators [54], qudit stabilizer code [55, 56], qudit surface code [57], a decoder for the qudit surface code [58], and a quantum error correction architecture for qudits [59, 60]. Finally, in Ref. [61] qudit-based QC is discussed, including implementations of qudit variants of known quantum algorithms. In this study, we examine the case of qudits (d-level systems) that encode quantum states in a superposition of two energy sublevels playing the role(s) of logical qubits. The remaining unused levels (the “nonencoding subspace”) are not explicitly addressed. Instead, this subspace naturally enhances the lifetime of the logical qubits. We focus on the spin–lattice relaxation mechanism, where enhanced relaxation motivates the use of such systems in quantum memory applications. Specifically, we show that when the quantum information is stored into the two most polarized spin states (e.g., \(\mid \psi \rangle = c_1 \mid d-1 \rangle + c_2 \mid 0 \rangle \)), one obtains a more robust quantum memory in which quantum information can be stored for longer periods of time compared to a pure two-level system (qubit) with no intermediate sublevels separating the pair of qubit levels. In numerical computations, we show that the lifetime of the proposed quantum memory is longer than the conventional qubit system. In order to understand the flow of information between encoding and nonencoding subspaces, entropy production provides an explanation for why qudits exhibit fundamentally different behavior compared to qubits. This paper is organized as follows. In Sects. 2, 4, and 5, we describe the mathematical prerequisite. In Sects. 6 and 7, we show numerical simulations and give discussions. Finally, Sect. 8 concludes this paper. In “Appendix,” we compare the qudit embedding method to a simple QEC model and identify a potentially interesting direction for future research, namely, the use of qudits in quantum memory applications with inherent robustness to information loss.

2 Maximally polarized states (spin-coherent states) in qudits

In this section, we describe how to embed qubit information into a qudit system. Consider a qudit with spin s whose Hilbert space is spanned by \(d = 2s + 1\) energy levels. The density matrix for a qubit \({\hat{\rho }}'\) is specified via two basis states \(\mid \uparrow \rangle , \mid \downarrow \rangle \) and four complex numbers \(\rho _{\uparrow \uparrow }, \rho _{\uparrow \downarrow }, \rho _{\downarrow \uparrow }, \rho _{\downarrow \downarrow }\) that satisfy \(\rho _{\uparrow \uparrow } + \rho _{\downarrow \downarrow } = 1\) and \(\rho _{\uparrow \downarrow }^* = \rho _{\downarrow \uparrow }\):
$$\begin{aligned} {\hat{\rho }}'&:=\rho _{\uparrow \uparrow } \mid \uparrow \rangle \langle \uparrow \mid + \rho _{\uparrow \downarrow } \mid \uparrow \rangle \langle \downarrow \mid + \rho _{\downarrow \uparrow } \mid \downarrow \rangle \langle \uparrow \mid + \rho _{\downarrow \downarrow } \mid \downarrow \rangle \langle \downarrow \mid . \end{aligned}$$
(1)
We denote a single-qudit state by \({\hat{\rho }}\) and the d states in the d-level qudit by \(\mid 0 \rangle , \mid 1 \rangle , \mid 2 \rangle , \dots , \mid d - 1 \rangle \). The state described in Eq. (1) is encoded into the d-level qudit as follows:
$$\begin{aligned} {\hat{\rho }}&:=\rho _{\uparrow \uparrow } \mid 0 \rangle \langle 0 \mid + \rho _{\uparrow \downarrow } \mid 0 \rangle \langle d-1 \mid \nonumber \\&\quad + \rho _{\downarrow \uparrow } \mid d-1 \rangle \langle 0 \mid + \rho _{\downarrow \downarrow } \mid d-1 \rangle \langle d-1 \mid . \end{aligned}$$
(2)
Note that \(\mid 0 \rangle \) and \( \mid d-1 \rangle \) are often referred to as \(\mid s, s \rangle \) and \(\mid s, -s \rangle \), respectively. They are also called “maximally polarized” states. In this paper, we investigate some properties of Eq. (2), such as its lifetime by using an error model that will be explained below. Our analysis shows that encoding of the qubit state in the maximally polarized states leads to longer lifetimes compared to the use of intermediate levels.

3 Error models

We start by defining the generalized Pauli operators [62]:
$$\begin{aligned} \hat{X}'&:=\sum _{k = 0, 1, \dots , d-2} (\mid k \rangle \langle k + 1 \mid + \mid k + 1 \rangle \langle k \mid ). \end{aligned}$$
(3)
$$\begin{aligned} \hat{Z}&:=\sum _{k = 0, 1, \dots , d-1} \omega ^k \mid k \rangle \langle k \mid , \end{aligned}$$
(4)
where \(\omega :=e^{2 \pi i / d}\). Note that the definition of \(\hat{X}'\) in Eq. (3) is different from the definition of \(\hat{X}\) in Ref. [62] since \(\hat{X}\) is not symmetric. As justified in A.4 of “Appendix,” there exist physical models where symmetric X-errors occur. We therefore use \(\hat{X}'\) to represent that class of error. For a n-qudit system, \(\hat{X}'\) in Eq. (3) and \(\hat{Z}\) in Eq. (4) acting on the ith qudit are denoted by
$$\begin{aligned} \hat{X}_i'&:=\underbrace{\hat{1} \otimes \dots \otimes \hat{1}}_{i-1} \otimes \hat{X}' \otimes \underbrace{\hat{1} \otimes \dots \otimes \hat{1}}_{n-i}, \end{aligned}$$
(5)
$$\begin{aligned} \hat{Z}_i&:=\underbrace{\hat{1} \otimes \dots \otimes \hat{1}}_{i-1} \otimes \hat{Z} \otimes \underbrace{\hat{1} \otimes \dots \otimes \hat{1}}_{n-i}. \end{aligned}$$
(6)
Evolution of open quantum systems is continuous in time, as described by a master equation such as the Lindblad equation [63]. However, in the QEC literature it is customary to consider a discrete-time dynamical model called the quantum map:
$$\begin{aligned} {\hat{\rho }}_{t + \Delta t}&= \mathcal {E}_p ({\hat{\rho }}_t), \end{aligned}$$
(7)
where \(\Delta t\) is a discrete-time step taken to be \(\Delta t=1\) (without loss of generality). For \(\mathcal {E}_p (\cdot )\) in Eq. (10), we consider the following model:
$$\begin{aligned} \mathcal {E}_p (\cdot )&:=\bigodot _{i = 1, 2, \dots , n} \mathcal {E}_p (\cdot ; \{ \hat{K}_{i, k} \}_{k=1}^{d-1}), \end{aligned}$$
(8)
where
$$\begin{aligned}&\bigodot _{i = 1, 2, \dots , n} \mathcal {E}_p (\cdot ; \{ \hat{K}_{i, k} \}_{k=1}^K) \nonumber \\&\quad :=\mathcal {E}_p (\mathcal {E}_p ( \dots (\mathcal {E}_p (\cdot ; \{ \hat{K}_{n, k} \}_{k=1}^K) \dots ; \{ \hat{K}_{2, k} \}_{k=1}^K); \{ \hat{K}_{1, k} \}_{k=1}^K), \end{aligned}$$
(9)
and
$$\begin{aligned} \mathcal {E}_p ({\hat{\rho }}; \{ \hat{K}_{i, k} \}_{k=1}^K)&:=(1 - p) {\hat{\rho }} + \frac{p}{K} \sum _{k=1}^K \frac{\hat{K}_{i, k} {\hat{\rho }} \hat{K}_{i, k}^\dagger }{\textrm{Tr} [\hat{K}_{i, k} {\hat{\rho }} \hat{K}_{i, k}^\dagger ]}. \end{aligned}$$
(10)
Note that the notation used in Eq. (8) is not the tensor product. It merely denotes the composition of operations, as shown in Eq. (9). Here, p is the probability of error in the model and K is the number of error channels. For the \(X'\)-type error model and the Z-type error model, \(K=1\), but for the \(X'+Z\)-type error model, K = 2. For \(\mathcal {E}_p ({\hat{\rho }}; \{ \hat{K}_{i, k} \}_{k=1}^K)\) in Eq. (10) being trace-preserving, we have divided the second term of the right-hand side of Eq. (10) by \(\textrm{Tr} [\hat{K}_{i, k} {\hat{\rho }} \hat{K}_{i, k}^\dagger ]\). Note that in general, \(\textrm{Tr} [\hat{K}_{i, k} {\hat{\rho }} \hat{K}_{i, k}^\dagger ]\) can be zero, but we have checked that in our setup, it is nonzero. Single-qudit operators, \(\{ \hat{K}_{i, k} \}_{\begin{array}{c} k=1, 2, \dots , K, \\ i = 1, 2, \dots , n \end{array}}\), are denoted as:
$$\begin{aligned} \hat{K}_{i, k}&:=\underbrace{\hat{1} \otimes \dots \otimes \hat{1}}_{i-1} \otimes \hat{K}_k \otimes \underbrace{\hat{1} \otimes \dots \otimes \hat{1}}_{n-i}. \end{aligned}$$
(11)
Note that \(\bigodot _{i = 1, 2, \dots , n} \mathcal {E}_p (\cdot ; \{ \hat{K}_{i, k} \}_{k=1}^K)\) does not depend on the order of terms in the product since we consider only single-qudit errors.

4 Process fidelity

A variety of measures [64] exist to quantify the time evolution of quantum states. We use the process fidelity [65, 66] since our calculations do not invoke a random number generator (e.g., the Haar measure) and its interpretation is relatively clear. The definition of process fidelity is based on the concept of quantum state fidelity for the maximally entangled state. Maximally entangled state is used because the dynamics of decoherence depends on not only maps but also initial states. When we consider the maximally entangled state and an error model (map) is applied to only one of them, fidelity appears to be monotonically decreasing. The fidelity between two quantum states \({\hat{\rho }}\) and \({\hat{\sigma }}\) is given by [64]
$$\begin{aligned} \mathcal {F} ({\hat{\rho }}, {\hat{\sigma }})&:=\bigg ( \textrm{Tr} \bigg [ \sqrt{\sqrt{{\hat{\rho }}} {\hat{\sigma }} \sqrt{{\hat{\rho }}}} \bigg ] \bigg )^2. \end{aligned}$$
(12)
The initial state is
$$\begin{aligned} \mid \psi _\textrm{ini} \rangle&= \frac{1}{\sqrt{2}} (\mid 0_\textrm{L} \rangle \otimes \mid 0_\textrm{L} \rangle + \mid 1_\textrm{L} \rangle \otimes \mid 1_\textrm{L} \rangle ), \end{aligned}$$
(13)
whereas error models are applied to the second qudit. We compute the fidelity between the initial state and the state at time step \(\tau \).
The general definition of the process fidelity is given by [65, 66]
$$\begin{aligned} \mathcal {F} (\mathcal {A} (\cdot ), \mathcal {B} (\cdot ))&:=\mathcal {F} ({\hat{\rho }}_\mathcal {A}, {\hat{\rho }}_\mathcal {B}'), \end{aligned}$$
(14)
where \({\hat{\rho }}_\mathcal {A} :=\mathcal {A} ({\hat{\rho }})\) and \({\hat{\rho }}_\mathcal {B}' :=\mathcal {B} ({\hat{\rho }}')\). In this study, we use the identity map for \(\mathcal {A}\) in Eq. (14) and the error maps defined in Sect. 3.

5 Entropy production

To interpret the results from numerical simulations, we used entropy production, which is defined as
$$\begin{aligned} \Delta S_\tau&:=S_\tau - S_{\tau - 1}, \end{aligned}$$
(15)
with \(S_{-1} = 0\) and \(S :=- \textrm{Tr} [{\hat{\rho }} \ln {\hat{\rho }}]\). Furthermore, we define entropy productions in the total space, the encoding subspace, and the nonencoding subspace in terms Eq. (15) with \({\hat{\rho }}\), \({\hat{\rho }}^\textrm{en}\), and \({\hat{\rho }}^\mathrm {non-en}\), respectively, where
$$\begin{aligned} {\hat{\rho }}^\textrm{en}&:=\hat{P}^\textrm{en} {\hat{\rho }} \hat{P}^\textrm{en}, \end{aligned}$$
(16)
$$\begin{aligned} {\hat{\rho }}^\mathrm {non-en}&:=\hat{Q}^\textrm{en} {\hat{\rho }} \hat{Q}^\textrm{en}. \end{aligned}$$
(17)
Here, \(\hat{P}^\textrm{en}\) is the projection onto the most polarized states \(\mid 0_\textrm{L} \rangle \) and \(\mid 1_\textrm{L} \rangle \), whereas \(\hat{Q}^\textrm{en}\) is the projection in the orthogonal complement of \(\hat{P}^\textrm{en}\) (i.e., the nonencoding subspace):
$$\begin{aligned} \hat{P}^\textrm{en}&:=(\mid 0_\textrm{L} \rangle \langle 0_\textrm{L} \mid +\mid 1_\textrm{L} \rangle \langle 1_\textrm{L} \mid ) \otimes (\mid 0_\textrm{L} \rangle \langle 0_\textrm{L} \mid +\mid 1_\textrm{L} \rangle \langle 1_\textrm{L} \mid ), \end{aligned}$$
(18)
$$\begin{aligned} \hat{Q}^\textrm{en}&:=\hat{1} - \hat{P}^\textrm{en}. \end{aligned}$$
(19)

6 Numerical simulation: fidelity

To quantify decoherence of quantum states, we use the process fidelity, Eq. (12), by computing the quantity:
$$\begin{aligned} \mathcal {F} \bigg ({\hat{\rho }}_\textrm{ini}, \frac{{\hat{\rho }}_t^\textrm{en}}{\textrm{Tr} [{\hat{\rho }}_t^\textrm{en}]} \bigg ), \end{aligned}$$
(20)
where \({\hat{\rho }}_t^\textrm{en} :=\hat{P}^\textrm{en} {\hat{\rho }}_t \hat{P}^\textrm{en}\) and \({\hat{\rho }}_t\) is defined, recursively, via \({\hat{\rho }}_t = \mathcal {E}_p ({\hat{\rho }}_{t-1})\). We denote the actions of the qudit operators \(\hat{X}_i', \hat{Z}_i\) and \(\hat{X}_i'+ \hat{Z}_i\) in Eq. (8) by \(\mathcal {E}_p^{(X')} (\cdot )\), \(\mathcal {E}_p^{(Z)} (\cdot )\), and \(\mathcal {E}_p^{(X'+Z)} (\cdot )\), respectively. Figure 1 shows process fidelity for the Z-, \(X'\)-, and \(X'+Z\)-type error models and its dependence on d. Here, we take \(\mid 0_\textrm{L} \rangle = \mid 0 \rangle \) and \(\mid 1_\textrm{L} \rangle = \mid d-1 \rangle \) (maximally polarized state) and increase the dimensionality of the qudit manifold (d).
Fig. 1
Process fidelity for a the Z-type error model, b the \(X'\)-type error model, and c the \(X'+Z\)-type error model. d is varied. The initial state is the maximally entangled state. The process fidelity decays slower for higher d, and this observation means that qudits with higher d show longer life times. The maximally polarized state is used: \(\mid 0_\textrm{L} \rangle = \mid 0 \rangle \) and \(\mid 1_\textrm{L} \rangle = \mid d-1 \rangle \) where d is the number of energy levels
Bild vergrößern
For all three error models, process fidelity increases with d, at least initially. Thus, quantum information is preserved over longer times. The logical qubit’s lifetime appears to increase with its dimensionality (d). It is still unclear whether this is due to dimensionality or separation between the levels of the logical qudit. We observe non-monotonic behavior in Fig. 1a. The fidelity initially drops because the errors move the “weights" away from the most polarized levels to intermediate levels. After several steps, all levels possess nonzero “weights," and some weights begin to flow back to the most polarized levels at a higher rate, resulting in higher fidelity. Mathematically, the time evolution of the population of any given sublevel is dictated by a set of coupled ODEs (one for each sublevel and coupling to its neighboring levels), and such coupled ODEs generally lead to non-exponential decays.
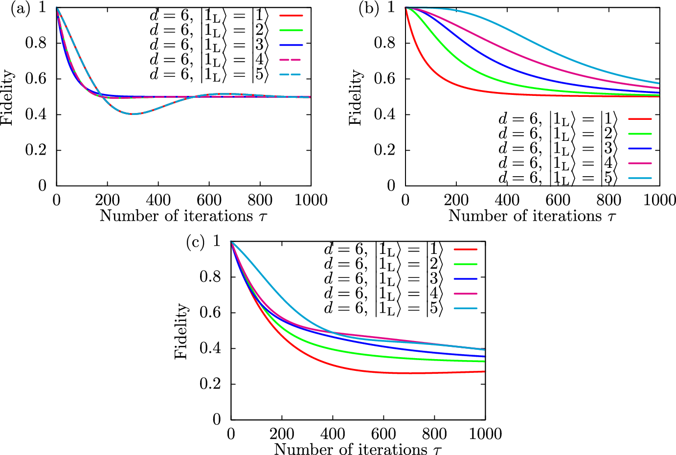
To investigate this, we fix the value \(d=6\) as well as the state \(\mid 0_\textrm{L} \rangle = \mid 0\rangle \) but vary the distance between two logical states by increasing \(\mid 1_\textrm{L} \rangle \). In Fig. 2, we show the \(\mid 1_\textrm{L} \rangle \)-dependence of the process fidelity for the Z-, \(X'\)- and \(X'+Z\)-type error models.
Fig. 2
Process fidelity for a the Z-type error model, b the \(X'\)-type error model, and c the \(X'+Z\)-type error model. We have varied \(\mid 1_\textrm{L} \rangle \) from \(\mid 1 \rangle \) to \(\mid 5 \rangle \), while \(\mid 0_\textrm{L} \rangle \) is fixed to \(\mid 0 \rangle \). The initial state is the maximally entangled state
Bild vergrößern
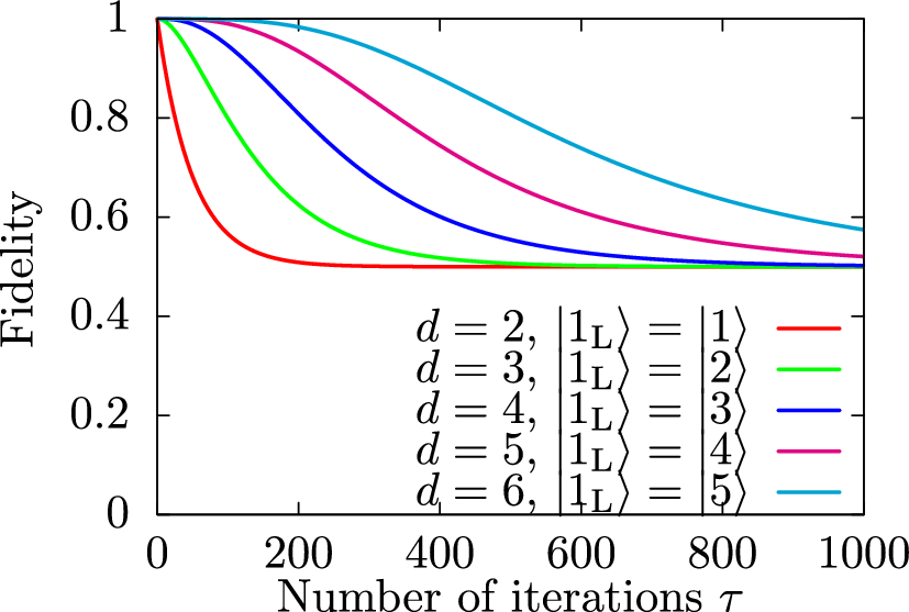
The observed trends are similar to those of Fig. 1. We therefore conclude that the distance between \(\mid 0_\textrm{L} \rangle \) and \(\mid 1_\textrm{L} \rangle \) is the key factor, not the dimensionality of the qudit itself (although dimensionality d needs to be high). Figure 3 shows that the lifetime enhancement holds regardless of whether d is fixed and the logical qubit \(\mid 1_L \rangle \) is increased, or if d is varied along with \(\mid 1_L \rangle \).
Fig. 3
Process fidelity for the \(X'\)-type error model. We have varied the number of levels from \(d=2\) to \(d=6\). We have varied \(\mid 1_\textrm{L} \rangle \) from \(\mid 1 \rangle \) to \(\mid 5 \rangle \), while \(\mid 0_\textrm{L} \rangle \) is fixed to \(\mid 0 \rangle \)
Bild vergrößern
In Fig. 4, we show process fidelity when we vary \(\mid 0_\textrm{L} \rangle \) and \(\mid 1_\textrm{L} \rangle \) simultaneously while keeping the distance fixed (set equal to 1).
Fig. 4
Process fidelity for a the Z-type error model, b the \(X'\)-type error model, and c the \(X'+Z\)-type error model. We have varied \(\mid 0_\textrm{L} \rangle \) and \(\mid 1_\textrm{L} \rangle \) simultaneously keeping the distance: \(\mid 1_\textrm{L} \rangle = \mid n+1 \rangle \) when \(\mid 0_\textrm{L} \rangle = \mid n \rangle \). The initial state is the maximally entangled state
Bild vergrößern
All curves are nearly identical, meaning that the lifetime does not depend on the choice of sublevels. This result supports the view that lifetime depends primarily on distance between levels.
Thus, the process fidelity decays slower as the separation between logical levels is increased. Consider the experiment where d is increased and the logical qubit is encoded in the maximally polarized states. We fit the Kohlrausch (stretched exponential) function [67, 68]
$$\begin{aligned} f(t;b,\tau ,\alpha )&:=(1-b) e^{-(t/\tau )^\alpha }+b. \end{aligned}$$
(21)
for each d and obtain its parameters \(\alpha \), \(\tau \), and b. (A parameter estimation method was proposed in Ref. [69].) In Table 1, the values of b, \(\tau \), and \(\alpha \) obtained from the fit are shown.
Table 1
Estimated values of b, \(\tau \), and \(\alpha \) for each d
d
b
\(\tau \)
\(\alpha \)
2
0.500
49.498
1.000
3
0.500
161.053
1.417
4
0.500
307.247
1.720
5
0.500
490.644
1.921
6
0.501
718.775
2.060
In Fig. 5a, the results shown in Table 1 are plotted and, in Fig. 5b, the raw values and the fitting curves are shown.
Fig. 5
Estimated parameters of the fitted Kohlrausch function for the process fidelity in the case of the \(X'\)-type error model. a Dependence of b, \(\tau \), and \(\alpha \) on d. b Raw data and fitting curves. The original data are shown in dots and the fitting curves are depicted via dashed lines. We have varied \(\mid 1_\textrm{L} \rangle \) from \(\mid 1 \rangle \) to \(\mid 5 \rangle \), while \(\mid 0_\textrm{L} \rangle \) is fixed to \(\mid 0 \rangle \)
Bild vergrößern
Figure 5b shows good agreement between raw data (symbols) and the fitted curve. The value of \(\alpha \) increases from 1 to \(\sim 2\), whereas the lifetime \(\tau \) increases by a factor of \(\sim 15\) (more than an order of magnitude). This result for \(\tau \) is important, as it supports the use of qudits as building blocks for more robust quantum memories. The result for \(\alpha \) indicates that for the \(X'\) error model. This can be understood from the form of the \(X'\) operator (Eq. 3) which, when inserted into the quantum map (Eq. 10), leads to a set of coupled ODEs for the elements of the density matrix that describe a detailed balanced first-order rate process with transitions between neighboring levels. It is well known that distributions of rate processes lead to stretched exponential relaxation.

7 Numerical simulation: entropy production

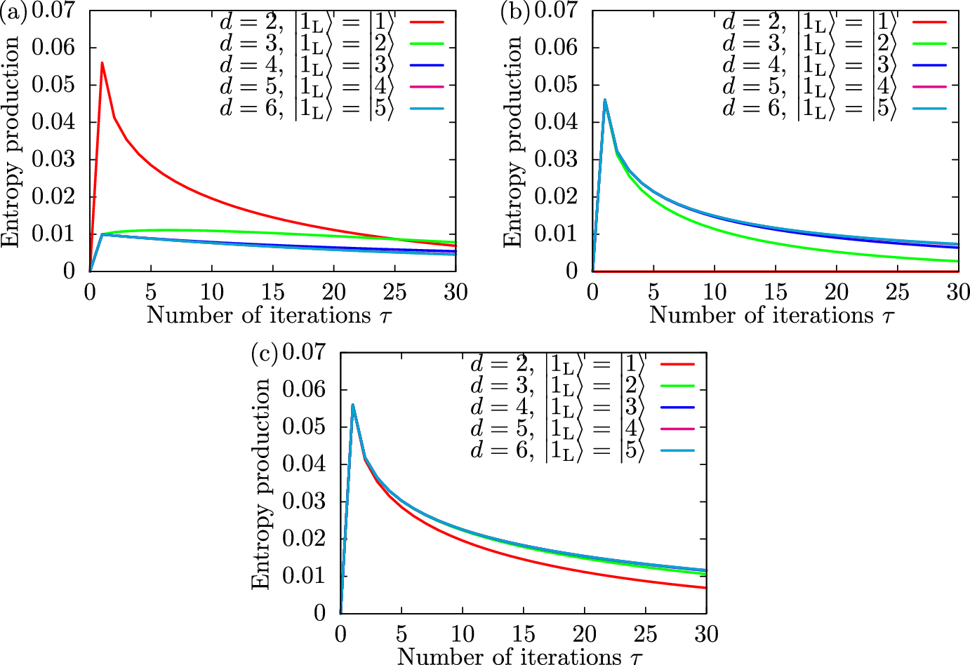
To shed light on the results of Sect. 6, we compute entropy production (defined in Sect. 5). Figure 6 shows entropy production of the total space, the encoding subspace, and the nonencoding subspace for the Z-type error model.
Fig. 6
Entropy production of a the encoding subspace, b the nonencoding subspace, and c the total space for the Z-type error model. The initial state is the maximally entangled state. The maximally polarized state is used: \(\mid 0_\textrm{L} \rangle = \mid 0 \rangle \) and \(\mid 1_\textrm{L} \rangle = \mid d-1 \rangle \), where d is the number of energy levels
Bild vergrößern
We see that in Fig. 6a entropy production decreases with d. This behavior is consistent with the results of Fig. 1a: Shorter lifetimes are associated with high entropy production (rapid loss of information). The results of Fig. 6 also show that entropy production in the encoding subspace and the total space are the same, but entropy production in the nonencoding subspace is always zero. We interpret this to mean that information initially stored in the logical qubit flows out of the qudit system. This leakage of information out of the system is less pronounced at large d. The lack of entropy production in the nonencoding subspace (Fig. 6b) is a consequence of the Z-type error model, which does not have any channels connecting encoding and nonencoding subspaces (i.e., none of the operators \(\mid k\rangle \langle k \mid \) present in Z connect pairs of energy levels).
Figure 7 shows entropy production of the total space, the encoding subspace, and the nonencoding for the \(X'\)-type error model.
Fig. 7
Entropy production of a the encoding subspace, b the nonencoding subspace, and c the total space for the \(X'\)-type error model. The initial state is the maximally entangled state. The maximally polarized state is used: \(\mid 0_\textrm{L} \rangle = \mid 0 \rangle \) and \(\mid 1_\textrm{L} \rangle = \mid d-1 \rangle \) where d is the number of energy levels
Bild vergrößern
In Fig. 7a, entropy production within the encoding subspace is drastically suppressed with d. This observation is again consistent with the results of Fig. 1(b) (i.e., longer lifetimes with increased d due to the preservation of information). However, there is an important difference between the cases of the \(X'\)-type error model and the Z-type error model. For \(X'\), the entropy production in the nonencoding subspace is nonzero. In fact, entropy production in the nonencoding subspace dominates. This feature enables recovery of qubit information by post-selection. Contrary to the case of the Z-type error model, the entropy production in the nonencoding subspace and the total space are nearly identical except for the case \(d = 2\). This leads to increased robustness of the state in the encoding subspace. We note that for \(d = 2\) the nonencoding subspace does not exist; therefore, \(d = 2\) is an important exception. It is the reason why physical qubits are less ideally suited for use as quantum memories: The only allowed pathway for information transfer is irreversible, whereas for the qudit some of the leakage channels are reversible.
In Fig. 8, we show entropy production of the total space, the encoding subspace, and the nonencoding for the \(X'\)-type error model and Z-type error model.
Fig. 8
Entropy production of a the encoding subspace, b the nonencoding subspace, and c the total space for the \(X'\)-type error model and Z-type error model. The initial state is the maximally entangled state. The maximally polarized state is used: \(\mid 0_\textrm{L} \rangle = \mid 0 \rangle \) and \(\mid 1_\textrm{L} \rangle = \mid d-1 \rangle \), where d is the number of energy levels
Bild vergrößern
In the case of the \(X'+Z\)-type error model, intermediate behavior between the above two cases is observed. Though the improvements become smaller compared to the case of the pure \(X'\)-type error model, entropy production can still be suppressed by increasing d.

8 Conclusions

We propose the use of qudits as embedding space to encode quantum information from qubits. When the rates of all error channels are kept identical, the resulting quantum memory of the d-level system exhibits longer lifetime than the case of physical qubits. An interpretation of the results was obtained by computing entropy production within the encoding subspace: For the physical qubit, information loss is entirely irreversible, whereas for the qudit, information loss from the logical qubit state is only partly irreversible. The reversible part results in longer lifetimes. We show in “Appendix” that qudit encoding has properties analogous to quantum error correction (QEC).
These results suggest that the encoding of logical qubits in the levels of qudits can provide increased robustness due to the inherent physics of such systems. Interesting avenues to pursue would be to (i) explore how such physics-aided robustness—potentially requiring less extra overheads—compare with the algorithm-aided robustness created in QEC schemes, more specifically, estimating the circuit complexity of a QEC circuit that could afford similar robustness, and (ii) how to integrate the two schemes to obtain simpler circuits and reduced operation overheads that plague direct QEC implementations. In order to determine the actual performance gains, a real physical system and its precise characteristics should be modeled. Performance gains over QEC (if any) can only be determined by simulating the precise physical system under consideration, using realistic modeling. A proper QEC scheme for qudits must also be devised. “Appendix” presents a simple, but unoptimized one. Nonetheless, we conclude that these findings are encouraging and warrant further investigations. This work may lead to new strategies for quantum processors and quantum memories based on the use of qudits.
There are, of course, important physical considerations involved when using physical qudits, such as the faster relaxation rates of nuclei with large quadrupolar moments or the difficulty of selectively addressing pairs of sublevels. Optical qubits [7072] and superconducting qubits could be adapted for such applications. Another possible test platform would be the nuclear spins in bullvalene in a liquid crystal solvent [73, 74]. Because of rapid bond shifting, every one of the ten protons is equivalent, and every dipolar coupling is the same; so the totally symmetric representation in such a system is effectively a spin-N system [74]. A simple (X/2)-\(\tau \)-(X/2) sequence will produce the theoretical maximum possible N-quantum coherence just by making the delay equal to 1/3D [74].

Acknowledgements

We thank Yasunari Suzuki, Warren S. Warren, and Eric Hudson for fruitful discussions. This work was partially funded by NSF awards 2137984 and 1936375.

Declarations

Conflict of interest

We declare no conflicts of interest.
Open Access This article is licensed under a Creative Commons Attribution 4.0 International License, which permits use, sharing, adaptation, distribution and reproduction in any medium or format, as long as you give appropriate credit to the original author(s) and the source, provide a link to the Creative Commons licence, and indicate if changes were made. The images or other third party material in this article are included in the article's Creative Commons licence, unless indicated otherwise in a credit line to the material. If material is not included in the article's Creative Commons licence and your intended use is not permitted by statutory regulation or exceeds the permitted use, you will need to obtain permission directly from the copyright holder. To view a copy of this licence, visit http://​creativecommons.​org/​licenses/​by/​4.​0/​.

Publisher's Note

Springer Nature remains neutral with regard to jurisdictional claims in published maps and institutional affiliations.
download
DOWNLOAD
print
DRUCKEN
Titel
Decoherence mitigation by embedding a logical qubit in a qudit
Verfasst von
Hideyuki Miyahara
Yiyou Chen
Vwani Roychowdhury
Louis-Serge Bouchard
Publikationsdatum
01.07.2023
Verlag
Springer US
Erschienen in
Quantum Information Processing / Ausgabe 7/2023
Print ISSN: 1570-0755
Elektronische ISSN: 1573-1332
DOI
https://doi.org/10.1007/s11128-023-04035-9

Appendix A: Limitations of QEC

Herein, we discuss some limitations of QEC and argue in favor of embedding quantum states inside maximally polarized qudit sublevels as a way to mitigate errors. The precise benefits of QEC (if any) of course may depend on the exact nature of the error model used, the precise physical nature of the qudits, and available control methods. The QEC model discussed here is limited to known physically plausible decoherence processes arising in multi-level systems (see section A.4). Better performing QEC is of course possible in theory (e.g., using an extended operator algebra such as one spanned by the set of monomials \(X^nZ^m\)), but may lack physical justification; such schemes are not discussed here.

A.1 Fate of maximally entangled states with QEC

Consider an isolated qudit with embedded logical qubit state (i.e., a quantum memory). The question we are interested in addressing is whether or not a stored quantum state can survive longer with or without QEC. Let us consider a simple QEC structure and investigate its properties.

A.1.1 Encoding scheme

In Ref. [59], a systematic approach to construct a circuit that embeds the measurement values of given stabilizer operators into ancilla qudits for the repetition code was proposed. We review the method.
Suppose that the initial state is \(\mid \psi \rangle \). Consider the case where we want to embed \(n_\textrm{s}\) stabilizer operators \(\{ \hat{S}_i \}_{i=1}^{n_\textrm{s}}\) into a circuit. The redundant state, on which the repetition code relies, is given by
$$\begin{aligned} \mid {\tilde{\psi }} \rangle&:=\prod _{i = 2, 3, \dots , n_\textrm{r}} \widehat{\textrm{CNOT}}_{i, j} \mid \psi \rangle \mid \underbrace{0 0 \dots 0}_{n_\textrm{r} - 1} \rangle , \end{aligned}$$
(A1)
where \(n_\textrm{r}\) is the number of redundant qudits. Here, \( \widehat{\textrm{CNOT}}_{i, j}\) is the CNOT gate whose control qudit is the ith qudit and target qudit is the jth qudit. Next, we define the syndrome detection operator \(\hat{S}_\textrm{syn}\):
$$\begin{aligned} \hat{S}_\textrm{syn}&:=\sum _{k_1, k_2, \dots , k_{n_\textrm{s}} = 0, 1, \dots , d-1} \hat{S}_1^{k_1} \hat{S}_2^{k_2} \dots \hat{S}_{n_\textrm{a}}^{k_{n_\textrm{s}}} \nonumber \\&\qquad \qquad \qquad \otimes \mid k_1 k_2 \dots k_{n_\textrm{s}} \rangle \langle k_1 k_2 \dots k_{n_\textrm{s}} \mid , \end{aligned}$$
(A2)
where \(n_\textrm{r}\) is the number of redundant qudits and \(n_\textrm{a}\) is the number of ancilla qudits. Note that, as shown in Eq. (A2), \(n_\textrm{a} = n_\textrm{s}\). By using the circuit shown in Fig. 9, we can store the measurement values of \(\{ \hat{S}_i \}_{i=1}^{n_\textrm{s}}\) in the ancilla qudits [59].
Fig. 9
QEC circuit for qudit syndrome measurements. \(\hat{E}\) is an error operator
Bild vergrößern

A.2 Three-qudit repetition code and stabilizer group

Consider a three-qudit repetition code and partial QEC for bit-flipping errors. The initial state of the three-qudit repetition code is given by
$$\begin{aligned} \mid {\tilde{\psi }} \rangle&:=\widehat{\textrm{CNOT}}_{1, 2} \widehat{\textrm{CNOT}}_{1, 3} \mid \psi \rangle \mid 0 \rangle \mid 0 \rangle , \end{aligned}$$
(A3)
We consider the following stabilizer group for correct bit-flipping errors:
$$\begin{aligned} \mathcal {S}&:=\{ \hat{Z}_1 \hat{Z}_2^\dagger , \hat{Z}_2 \hat{Z}_3^\dagger \}. \end{aligned}$$
(A4)
Equation (A4) stabilizes the following states:
$$\begin{aligned} \{ \mid k, k, k \rangle \}_{k = 0, 1, \dots , d-1}. \end{aligned}$$
(A5)
Note that Eq. (A4) can correct the bit-flipping errors though it cannot correct all one-qudit errors.

A.2.1 Full circuit

In the main text, we clarified that qudits are robust against bit-flipping errors. Our goal is to correct phase-flipping errors via QEC; the circuit shown in Fig. 9 with Eq. (A4) can correct them by inserting quantum Fourier transform (QFT) operators before and after the error models. The full circuit based on the circuit shown in Fig. 9 with Eq. (A4) is given by Fig. 10 where we have used subcircuits shown in Fig. 11, and the measurements are taken in the computational basis by using \(\hat{P}^k\) for \(k = 0, 1, \dots , d-1\). Note that \(\widehat{\textrm{CNOT}}_{i, j} \ne \widehat{\textrm{CNOT}}_{i, j}^\dagger \) unlike the conventional CNOT gate.
Fig. 10
QEC circuit for phase-flipping errors
Bild vergrößern
Fig. 11
Subcircuits for QEC circuit shown in Fig. 10
Bild vergrößern
The correct operators in Fig. 10 are specified by \((x_1, x_2, x_3)\), and they are functions of the values of measurements \((m_1, m_2)\). In Table 2, we summarize the relationship between \((m_1, m_2)\) and \((x_1, x_2, x_3)\).
Table 2
Relationship between measurements and correction operators. Only correctable patterns of measurements are shown. In the table, i takes \(0, 1, 2, \dots , d-1\)
\(m_1\)
\(m_2\)
\(x_1\)
\(x_2\)
\(x_3\)
i
0
i
0
0
\(-i \ (\textrm{mod} \ d)\)
i
0
i
0
0
\(-i \ (\textrm{mod} \ d)\)
0
0
i

A.2.2 Numerical results

Figure 12  shows the process fidelity with and without QEC in the case of the Z-type error model by solid and dashed lines, respectively.
Fig. 12
Process fidelity for the Z-type error model. Solid lines and dashed lines depict results with and without QEC, respectively. We use states at a \(\tau = 1\), b \(\tau = 10\), and c \(\tau = 100\). The initial state is the maximally entangled state
Bild vergrößern
Since the QEC circuit in Fig. 10 is designed for phase-flipping errors, the process fidelity with QEC is higher than that without QEC for small p.
Figure 13  shows the process fidelity with and without QEC in the case of the \(X'\)-type error model by solid and dashed lines, respectively.
Fig. 13
Process fidelity for the \(X'\)-type error model. Solid lines and dashed lines depict results with and without QEC, respectively. We use states at a \(\tau = 1\), b \(\tau = 10\), and c \(\tau = 100\). The initial state is the maximally entangled state
Bild vergrößern
Since the QEC circuit in Fig. 10 cannot correct bit-flipping errors, the process fidelity without QEC is higher than that with QEC.
Figure 14  shows the process fidelity with and without QEC in the case of the \(X'+Z\)-type error model by solid and dashed lines, respectively.
Fig. 14
Process fidelity for the \(X'+Z\)-type error model. Solid lines and dashed lines depict results with and without QEC, respectively. We use states at a \(\tau = 1\), b \(\tau = 10\), and c \(\tau = 100\). The initial state is the maximally entangled state
Bild vergrößern
Figure 14 shows that, though the QEC circuit in Fig. 10 can correct phase-flip errors, the process fidelity without QEC is higher than that with QEC.

A.3 Remarks

Though QEC for both bit-flipping and phase-flipping errors was not investigated in this paper, it is expected that it can improve the process fidelity. However, to implement QEC for both bit-flipping and phase-flipping errors such as the surface code, a large number of qubits are required. We should note that the QEC we considered for phase-flipping errors is simple. Our simulation results show that the process fidelity is improved only for the Z-type error model but performance gets worse for \(X'\)- and \(X'+Z\)-type error models. This result suggests that the inherent physical robustness of qudits may be an interesting avenue to pursue in conjunction with or in lieu of error-correcting codes, which have higher overhead costs. In order to determine the actual performance gains, a real physical system and its precise characteristics should be modeled.

A.4 Physical justification of the error operators

The operators \(X'\) and Z map to known physical systems. Two such physical models are the Cooper-pair box (CPB) model and the Jayne–Cummings model. The Hamiltonian of the CPB model is of the form [75]:
$$\begin{aligned} \hat{H}_\textrm{CPB}&:=\hbar \omega _r \hat{a}^\dagger \hat{a} - \frac{E_\textrm{J}}{2} \sum _N (\mid N \rangle \langle N + 1 \mid + \mid N + 1 \rangle \langle N \mid ) \nonumber \\&\quad + 4 E_\textrm{C} \sum _N (N - \hat{n}_\textrm{g})^2 \mid N \rangle \langle N \mid , \end{aligned}$$
(A6)
where \(\omega _r=\sqrt{LC}\) is the frequency, \(\hat{a}\) is the annihilation operator for the microwave resonator field, \(\hat{n}_\textrm{g} :=\frac{C_\textrm{g} \hat{V}_\textrm{g}}{2 e}\), \(C_g\) is the capacitance between the CPB island and the bias gate for the island, \(E_\textrm{J} / \hbar \) is the Josephson frequency, \(E_\textrm{C} :=\frac{e^2}{2 C_\Sigma }\), and \(C_\Sigma \) is the capacitance between the island and the rest of the circuit. \(\hat{V}_g\) is the operator for the total voltage applied to the island by the bias gate. This voltage can be split as \(\hat{V}_g = V_g^{(0)} + \hat{v}\), where \(V_g^{(0)}\) is a DC field and \(\hat{v}\) is the microwave field in the cavity, which is quantized. It is related to the cavity annihilation operator by \( \hat{v} = (\hat{a} + \hat{a}^\dagger ) \sqrt{ \hbar \omega _r / (2C) }\). We can write \( \hat{n}_g = n_g^{(0)} + \delta \hat{n}_g\) and \(\delta \hat{n}_g(t) = [ C_g/(2e) ] \hat{v}(t)\). For \(\hat{n}_g(t)\) small, the bias \(n_g^{(0)}\) can be chosen such that the CPB has a small number of CP on it at any time. Thus, the Hilbert space can be restricted to a smaller subspace, e.g., \(N \in \{0,1,\dots ,d-1\}\). The Cooper-pair operators in the second and third terms then directly map to our operators \(X'\) and Z, respectively. Both terms can give rise to decoherence channels for the CPB if terms in their coefficients (\(E_J\), \(E_C\), \(C_g\), \(C_\Sigma \)) fluctuate. For example, fluctuations in the Josephson frequency \(E_\textrm{J}\) (second term) can lead to decoherence in a “random-field” semiclassical picture (e.g., Redfield master equation). The decoherence rate is determined by the time autocorrelation \(\langle E_\textrm{J}(t) E_\textrm{J}(t+\tau ) \rangle \). Since the third term depends on the bath operators a, \(a^\dagger \) (via \(\hat{v}\)), and \(E_\textrm{C}\), decoherence in the quantum master equation at a rate is determined by the time autocorrelation of bath operators, \(\langle \hat{u}(t) \hat{u}(t+\tau ) \rangle \), where \(\hat{u}(t):= E_C(t) C_g(t) \hat{v}(t)\). Thus, \(X'\) and Z operators can be used to model decoherence (amplitude and phase damping channels, respectively) in superconducting qubits, where the common sources of noise include fluctuations in the Josephson energy of the junctions, gate charge fluctuations, magnetic field fluctuations, and interactions with photons and phonons [76, 77].
Another Hamiltonian of interest is Jaynes–Cummings, which can be used to model relaxation in NMR [7880]:
$$\begin{aligned} \hat{H}_\textrm{JC}&:=\hbar \hat{a}^\dagger \hat{a} + \frac{\hbar \omega _\alpha }{2} {\hat{\sigma }}^z + \frac{\hbar \Omega }{2} (\hat{a} {\hat{\sigma }}^+ + \hat{a}^\dagger {\hat{\sigma }}^-). \end{aligned}$$
(A7)
where \(\vec {\sigma }\) are Pauli matrices for the nuclear spin \(I=1/2\). For larger spins \(I>1/2\), Eq. (A7) can be directly generalized to the qudit case by replacing \({\hat{\sigma }}^z\), \({\hat{\sigma }}^+\), and \({\hat{\sigma }}^-\) by \(\hat{J}^z\), \(\hat{J}^+\), and \(\hat{J}^-\), respectively. For a general spin I, there are \(d=2I+1\) sublevels and the Wigner matrices are \((2I+1)\times (2I+1)\) dimensional. The angular momentum operators \(\vec {\hat{J}}\), (where \(\vec {\hat{J}} \equiv \vec {\hat{I}}\) for nuclear spins) transforms like rank-1 tensors (vectors). The matrices \(X'\) and Z are similar to those of \(\hat{J}_x = (\hat{J}^+ + \hat{J}^-)/2\) and \(\hat{J}_z\), respectively. In the Redfield (semiclassical) description, temporal random fluctuations in the local frequency \(\omega _\alpha \) lead to decoherence (dephasing) at a rate determined by the autocorrelation function \(\langle \omega _\alpha (t) \omega _\alpha (t+\tau ) \rangle \). Likewise, fluctuations in the drive field \(\Omega \) (associated with the photon count in the RF/microwave cavity) lead to an amplitude depolarizing channel.
1.
Zurück zum Zitat Feynman, R.P., et al.: Simulating physics with computers. Int. J. Theor. Phys 21(6/7) (1982)
2.
Zurück zum Zitat Deutsch, D., Penrose, R.: Quantum theory, the church-turing principle and the universal quantum computer. Proc. R. Soc. Lond. A Math. Phys. Sci. 400(1818), 97–117 (1985)ADSMathSciNetMATH
3.
Zurück zum Zitat Deutsch, D., Jozsa, R.: Rapid solution of problems by quantum computation. Proc. R. Soc. Lond. A Math. Phys. Sci. 439(1907), 553–558 (1992)ADSMathSciNetMATH
4.
Zurück zum Zitat Lloyd, S.: Universal quantum simulators. Science 273(5278), 1073–1078 (1996)ADSMathSciNetMATH
5.
Zurück zum Zitat Shor, P.W.: Algorithms for quantum computation: discrete logarithms and factoring. In: Proceedings 35th Annual Symposium on Foundations of Computer Science, pp. 124–134 (1994)
6.
Zurück zum Zitat Fowler, A.G., Devitt, S.J., Hollenberg, L.C.: Implementation of shor’s algorithm on a linear nearest neighbour qubit array. arXiv:​quant-ph/​0402196 (2004)
7.
Zurück zum Zitat Grover, L.K.: A fast quantum mechanical algorithm for database search. In: Proceedings of the Twenty-eighth Annual ACM Symposium on Theory of Computing, pp. 212–219 (1996)
8.
Zurück zum Zitat Shor, P.W.: Scheme for reducing decoherence in quantum computer memory. Phys. Rev. A 52, 2493–2496 (1995)ADS
9.
Zurück zum Zitat Nielsen, M.A., Chuang, I.L.: Quantum Computation and Quantum Information: 10th Anniversary Edition. Cambridge University Press, (2010). https://​doi.​org/​10.​1017/​CBO9780511976667​
10.
Zurück zum Zitat Bravyi, S.B., Kitaev, A.Y.: Quantum codes on a lattice with boundary. arXiv:​quant-ph/​9811052 (1998)
11.
Zurück zum Zitat Kitaev, A.Y.: Fault-tolerant quantum computation by anyons. Ann. Phys. 303(1), 2–30 (2003)ADSMathSciNetMATH
12.
Zurück zum Zitat Kitaev, A.: Anyons in an exactly solved model and beyond. Ann. Phys. 321(1), 2–111 (2006)ADSMathSciNetMATH
13.
Zurück zum Zitat Bravyi, S., Englbrecht, M., König, R., Peard, N.: Correcting coherent errors with surface codes. NPJ Quant. Inf. 4(1), 1–6 (2018)
14.
Zurück zum Zitat Steane, A.M.: A tutorial on quantum error correction. Quant. Comput. Algorith. Chaos, pp 1–32 (2006)
15.
Zurück zum Zitat Devitt, S.J., Munro, W.J., Nemoto, K.: Quantum error correction for beginners. Rep. Prog. Phys. 76(7), 076001 (2013)ADS
16.
Zurück zum Zitat Fowler, A.G., Mariantoni, M., Martinis, J.M., Cleland, A.N.: Surface codes: towards practical large-scale quantum computation. Phys. Rev. A 86(3), 032324 (2012)ADS
17.
Zurück zum Zitat Johnson, M.W., Amin, M.H., Gildert, S., Lanting, T., Hamze, F., Dickson, N., Harris, R., Berkley, A.J., Johansson, J., Bunyk, P., et al.: Quantum annealing with manufactured spins. Nature 473(7346), 194–198 (2011)ADS
18.
Zurück zum Zitat Arute, F., Arya, K., Babbush, R., Bacon, D., Bardin, J.C., Barends, R., Biswas, R., Boixo, S., Brandao, F.G., Buell, D.A., et al.: Quantum supremacy using a programmable superconducting processor. Nature 574(7779), 505–510 (2019)ADS
19.
Zurück zum Zitat Krinner, S., Lacroix, N., Remm, A., Di Paolo, A., Genois, E., Leroux, C., Hellings, C., Lazar, S., Swiadek, F., Herrmann, J., et al.: Realizing repeated quantum error correction in a distance-three surface code. arXiv preprint arXiv:​2112.​03708 (2021)
20.
Zurück zum Zitat Zhao, Y., Ye, Y., Huang, H.-L., Zhang, Y., Wu, D., Guan, H., Zhu, Q., Wei, Z., He, T., Cao, S., et al.: Realizing an error-correcting surface code with superconducting qubits. arXiv preprint arXiv:​2112.​13505 (2021)
21.
Zurück zum Zitat Leuenberger, M.N., Loss, D.: Quantum computing in molecular magnets. Nature 410(6830), 789–793 (2001)ADS
22.
Zurück zum Zitat Castelvecchi, D.: Quantum computers ready to leap out of the lab in 2017. Nature 541(7635) (2017)
23.
Zurück zum Zitat Preskill, J.: Quantum computing in the NISQ era and beyond. Quantum 2, 79 (2018)
24.
Zurück zum Zitat Cerezo, M., Arrasmith, A., Babbush, R., Benjamin, S.C., Endo, S., Fujii, K., McClean, J.R., Mitarai, K., Yuan, X., Cincio, L., et al.: Variational quantum algorithms. Nat. Rev. Phys. 3(9), 625–644 (2021)
25.
Zurück zum Zitat Mitarai, K., Negoro, M., Kitagawa, M., Fujii, K.: Quantum circuit learning. Phys. Rev. A 98, 032309 (2018)ADS
26.
Zurück zum Zitat Schuld, M., Bocharov, A., Svore, K.M., Wiebe, N.: Circuit-centric quantum classifiers. Phys. Rev. A 101, 032308 (2020)ADSMathSciNet
27.
Zurück zum Zitat Miyahara, H., Roychowdhury, V.: Ansatz-independent variational quantum classifier. arXiv preprint arXiv:​2102.​01759 (2021)
28.
Zurück zum Zitat Han, K.-H., Kim, J.-H.: Quantum-inspired evolutionary algorithm for a class of combinatorial optimization. IEEE Trans. Evol. Comput. 6(6), 580–593 (2002)
29.
Zurück zum Zitat Arrazola, J.M., Delgado, A., Bardhan, B.R., Lloyd, S.: Quantum-inspired algorithms in practice. arXiv preprint arXiv:​1905.​10415 (2019)
30.
Zurück zum Zitat Miyahara, H., Tsumura, K., Sughiyama, Y.: Deterministic quantum annealing expectation-maximization algorithm. J. Stat. Mech: Theory Exp. 2017(11), 113404 (2017). https://​doi.​org/​10.​1088/​1742-5468/​aa967eMathSciNetCrossRefMATH
31.
Zurück zum Zitat Miyahara, H., Sughiyama, Y.: Quantum extension of variational bayes inference. Phys. Rev. A 98, 022330 (2018)ADS
32.
Zurück zum Zitat Szkopek, T., Roychowdhury, V.P., Antoniadis, D.A., Damoulakis, J.N.: Physical fault tolerance of nanoelectronics. Phys. Rev. Lett. 106, 176801 (2011)ADS
33.
Zurück zum Zitat Chiesa, A., Petiziol, F., Macaluso, E., Wimberger, S., Santini, P., Carretta, S.: Embedded quantum-error correction and controlled-phase gate for molecular spin qubits. AIP Adv. 11(2), 025134 (2021)ADS
34.
Zurück zum Zitat Chiesa, A., Macaluso, E., Petiziol, F., Wimberger, S., Santini, P., Carretta, S.: Molecular nanomagnets as qubits with embedded quantum-error correction. J. Phys. Chem. Lett. 11(20), 8610–8615 (2020)
35.
Zurück zum Zitat Puri, S., St-Jean, L., Gross, J.A., Grimm, A., Frattini, N.E., Iyer, P.S., Krishna, A., Touzard, S., Jiang, L., Blais, A., Flammia, S.T., Girvin, S.M.: Bias-preserving gates with stabilized cat qubits. Sci. Adv. 6(34), 5901 (2020)ADS
36.
Zurück zum Zitat Grimm, A., Frattini, N.E., Puri, S., Mundhada, S.O., Touzard, S., Mirrahimi, M., Girvin, S.M., Shankar, S., Devoret, M.H.: Stabilization and operation of a kerr-cat qubit. Nature 584(7820), 205–209 (2020)ADS
37.
Zurück zum Zitat Tacchino, F., Chiesa, A., Sessoli, R., Tavernelli, I., Carretta, S.: A proposal for using molecular spin qudits as quantum simulators of light-matter interactions. J. Mater. Chem. C 9, 10266–10275 (2021)
38.
Zurück zum Zitat Chalopin, T., Bouazza, C., Evrard, A., Makhalov, V., Dreon, D., Dalibard, J., Sidorenkov, L.A., Nascimbene, S.: Quantum-enhanced sensing using non-classical spin states of a highly magnetic atom. Nat. Commun. 9(1), 1–8 (2018)
39.
Zurück zum Zitat Michael, M.H., Silveri, M., Brierley, R.T., Albert, V.V., Salmilehto, J., Jiang, L., Girvin, S.M.: New class of quantum error-correcting codes for a bosonic mode. Phys. Rev. X 6, 031006 (2016)
40.
Zurück zum Zitat Leghtas, Z., Kirchmair, G., Vlastakis, B., Schoelkopf, R.J., Devoret, M.H., Mirrahimi, M.: Hardware-efficient autonomous quantum memory protection. Phys. Rev. Lett. 111, 120501 (2013)ADS
41.
Zurück zum Zitat Bergmann, M., van Loock, P.: Quantum error correction against photon loss using multicomponent cat states. Phys. Rev. A 94, 042332 (2016)ADS
42.
Zurück zum Zitat Mirrahimi, M.: Cat-qubits for quantum computation. Comptes Rendus Physique 17(7), 778–787 (2016)
43.
Zurück zum Zitat Li, L., Zou, C.-L., Albert, V.V., Muralidharan, S., Girvin, S.M., Jiang, L.: Cat codes with optimal decoherence suppression for a lossy bosonic channel. Phys. Rev. Lett. 119, 030502 (2017)ADS
44.
Zurück zum Zitat Hastrup, J., Andersen, U.L.: All-optical cat-code quantum error correction. arXiv preprint arXiv:​2108.​12225 (2021)
45.
Zurück zum Zitat Gottesman, D., Kitaev, A., Preskill, J.: Encoding a qubit in an oscillator. Phys. Rev. A 64, 012310 (2001)ADS
46.
Zurück zum Zitat Tzitrin, I., Bourassa, J.E., Menicucci, N.C., Sabapathy, K.K.: Progress towards practical qubit computation using approximate Gottesman-Kitaev-Preskill codes. Phys. Rev. A 101, 032315 (2020)ADSMathSciNet
47.
Zurück zum Zitat Bourassa, J.E., Alexander, R.N., Vasmer, M., Patil, A., Tzitrin, I., Matsuura, T., Su, D., Baragiola, B.Q., Guha, S., Dauphinais, G., et al.: Blueprint for a scalable photonic fault-tolerant quantum computer. Quantum 5, 392 (2021)
48.
Zurück zum Zitat Larsen, M.V., Chamberland, C., Noh, K., Neergaard-Nielsen, J.S., Andersen, U.L.: Fault-tolerant continuous-variable measurement-based quantum computation architecture. PRX Quantum 2, 030325 (2021)ADS
49.
Zurück zum Zitat Grimsmo, A.L., Combes, J., Baragiola, B.Q.: Quantum computing with rotation-symmetric bosonic codes. Phys. Rev. X 10, 011058 (2020)
50.
Zurück zum Zitat Sanctuary, B.C.: Multipole n.m.r. Mole. Phys. 48(6), 1155–1176 (1983)
51.
Zurück zum Zitat Zur, Y., Vega, S.: Two-photon nmr on spins with i=1 in solids. J. Chem. Phys. 79(2), 548–558 (1983)ADS
52.
Zurück zum Zitat Vega, S., Pines, A.: Operator formalism for double quantum nmr. J. Chem. Phys. 66(12), 5624–5644 (1977)ADS
53.
Zurück zum Zitat Vega, S., Naor, Y.: Triple quantum nmr on spin systems with i = 3/2 in solids. J. Chem. Phys. 75(1), 75–86 (1981)ADS
54.
Zurück zum Zitat Hostens, E., Dehaene, J., De Moor, B.: Stabilizer states and clifford operations for systems of arbitrary dimensions and modular arithmetic. Phys. Rev. A 71, 042315 (2005)ADSMathSciNetMATH
55.
Zurück zum Zitat Pirandola, S., Mancini, S., Braunstein, S.L., Vitali, D.: Minimal qudit code for a qubit in the phase-damping channel. Phys. Rev. A 77, 032309 (2008). https://​doi.​org/​10.​1103/​PhysRevA.​77.​032309ADSCrossRef
56.
Zurück zum Zitat Cafaro, C., Maiolini, F., Mancini, S.: Quantum stabilizer codes embedding qubits into qudits. Phys. Rev. A 86, 022308 (2012). https://​doi.​org/​10.​1103/​PhysRevA.​86.​022308ADSCrossRef
57.
Zurück zum Zitat Bullock, S.S., Brennen, G.K.: Qudit surface codes and gauge theory with finite cyclic groups. J. Phys. A: Math. Theor. 40(13), 3481–3505 (2007)ADSMathSciNetMATH
58.
Zurück zum Zitat Watson, F.H.E., Anwar, H., Browne, D.E.: Fast fault-tolerant decoder for qubit and qudit surface codes. Phys. Rev. A 92, 032309 (2015)ADS
59.
Zurück zum Zitat Nadkarni, P.J., Garani, S.S.: Quantum error correction architecture for qudit stabilizer codes. Phys. Rev. A 103, 042420 (2021)ADSMathSciNet
60.
Zurück zum Zitat Klappenecker, A., Sarvepalli, P.K.: On subsystem codes beating the quantum hamming or singleton bound. Proc. R. Soc. A Math. Phys. Eng. Sci. 463(2087), 2887–2905 (2007)ADSMathSciNetMATH
61.
Zurück zum Zitat Wang, Y., Hu, Z., Sanders, B.C., Kais, S.: Qudits and high-dimensional quantum computing. Front. Phys. 8, 479 (2020)
62.
Zurück zum Zitat Gheorghiu, V.: Standard form of qudit stabilizer groups. Phys. Lett. A 378(5), 505–509 (2014)ADSMathSciNetMATH
63.
Zurück zum Zitat Breuer, H.-P., Petruccione, F., et al.: The Theory of Open Quantum Systems. Oxford University Press on Demand (2002)
64.
Zurück zum Zitat Liang, Y.-C., Yeh, Y.-H., Mendonça, P.E., Teh, R.Y., Reid, M.D., Drummond, P.D.: Quantum fidelity measures for mixed states. Rep. Prog. Phys. 82(7), 076001 (2019)ADSMathSciNet
65.
Zurück zum Zitat Gilchrist, A., Langford, N.K., Nielsen, M.A.: Distance measures to compare real and ideal quantum processes. Phys. Rev. A 71, 062310 (2005)ADS
66.
Zurück zum Zitat Mayer, K., Knill, E.: Quantum process fidelity bounds from sets of input states. Phys. Rev. A 98, 052326 (2018)ADS
67.
Zurück zum Zitat Kohlrausch, R.: Theorie des elektrischen rückstandes in der leidener flasche. Ann. Phys. 167(2), 179–214 (1854)
68.
Zurück zum Zitat Elton, D.C.: Stretched exponential relaxation. arXiv preprint arXiv:​1808.​00881 (2018)
69.
Zurück zum Zitat June, R.K., Cunningham, J.P., Fyhrie, D.P.: A novel method for curvefitting the stretched exponential function to experimental data. Biomed. Eng. Res. 2(4), 153 (2013)
70.
Zurück zum Zitat Wasilewski, W., Banaszek, K.: Protecting an optical qubit against photon loss. Phys. Rev. A 75, 042316 (2007)ADS
71.
Zurück zum Zitat Mehta, K.K., Bruzewicz, C.D., McConnell, R., Ram, R.J., Sage, J.M., Chiaverini, J.: Integrated optical addressing of an ion qubit. Nat. Nanotechnol. 11(12), 1066–1070 (2016)ADS
72.
Zurück zum Zitat Hudson, E. private communication
73.
Zurück zum Zitat Warren, W.S.: Selectivity in multiple quantum nuclear magnetic resonance (1980). https://​doi.​org/​10.​2172/​7091703
74.
Zurück zum Zitat Warren, W.S. private communication
75.
Zurück zum Zitat Schuster, D.I., Wallraff, A., Blais, A., Frunzio, L., Huang, R.-S., Majer, J., Girvin, S.M., Schoelkopf, R.J.: ac stark shift and dephasing of a superconducting qubit strongly coupled to a cavity field. Phys. Rev. Lett. 94, 123602 (2005). https://​doi.​org/​10.​1103/​PhysRevLett.​94.​123602ADSCrossRef
76.
Zurück zum Zitat O’Malley, P.J.J.: Superconducting Qubits: Dephasing and Quantum Chemistry. University of California, Santa Barbara (2016)
77.
Zurück zum Zitat Ithier, G., Collin, E., Joyez, P., Meeson, P.J., Vion, D., Esteve, D., Chiarello, F., Shnirman, A., Makhlin, Y., Schriefl, J., Schön, G.: Decoherence in a superconducting quantum bit circuit. Phys. Rev. B 72, 134519 (2005). https://​doi.​org/​10.​1103/​PhysRevB.​72.​134519ADSCrossRef
78.
Zurück zum Zitat Paula, F.M., Silva, I.A., Montealegre, J.D., Souza, A.M., deAzevedo, E.R., Sarthour, R.S., Saguia, A., Oliveira, I.S., Soares-Pinto, D.O., Adesso, G., Sarandy, M.S.: Observation of environment-induced double sudden transitions in geometric quantum correlations. Phys. Rev. Lett. 111, 250401 (2013). https://​doi.​org/​10.​1103/​PhysRevLett.​111.​250401ADSCrossRef
79.
Zurück zum Zitat Auccaise, R., Céleri, L.C., Soares-Pinto, D.O., deAzevedo, E.R., Maziero, J., Souza, A.M., Bonagamba, T.J., Sarthour, R.S., Oliveira, I.S., Serra, R.M.: Environment-induced sudden transition in quantum discord dynamics. Phys. Rev. Lett. 107, 140403 (2011). https://​doi.​org/​10.​1103/​PhysRevLett.​107.​140403ADSCrossRef
80.
Zurück zum Zitat Silva, I.A., Souza, A.M., Bromley, T.R., Cianciaruso, M., Marx, R., Sarthour, R.S., Oliveira, I.S., Lo Franco, R., Glaser, S.J., deAzevedo, E.R., Soares-Pinto, D.O., Adesso, G.: Observation of time-invariant coherence in a nuclear magnetic resonance quantum simulator. Phys. Rev. Lett. 117, 160402 (2016). https://​doi.​org/​10.​1103/​PhysRevLett.​117.​160402ADSCrossRef