Zum Inhalt

Discrete element analysis of powder spreading in binder jetting of raw Earth sediments

  • Open Access
  • 02.03.2026
  • ORIGINAL ARTICLE

Aktivieren Sie unsere intelligente Suche, um passende Fachinhalte oder Patente zu finden.

search-config
loading …

Abstract

Diese Studie geht der Analyse diskreter Elemente der Pulverstreuung im Bindemittelstrahlverfahren nach und konzentriert sich dabei insbesondere auf rohe Erdsedimente. Die Forschung untersucht die Machbarkeit der Verwendung von unraffinierten Sedimenten in der additiven Fertigung und beleuchtet den Einfluss von Prozessparametern wie Rollenverfahrgeschwindigkeit, Schichtdicke, Rollendurchmesser und Rollendrehzahl auf die Pulverbettdichte (PBD) und die Standardabweichung (FSD). Die Studie zeigt, dass Verfahrgeschwindigkeit und Schichtdicke die kritischsten Faktoren sind, wobei eine optimale Verfahrgeschwindigkeit von 20 mm / s die höchste PBD und größte Homogenität ergibt. Eine Schichtdicke unter 120 μm führt aufgrund von Partikelverklemmungen und Hohlraumbildung zu einer Verringerung der PBD. Die Simulationen zeigen durchweg eine durch Perkolation bedingte Segregation, bei der sich feinere Partikel bis zum Boden der Schicht absetzen, während gröbere Partikel nach oben aufsteigen. Eine vergleichende Analyse bestätigt, dass kugelförmige Partikel überlegene PBD und FSD erreichen, was die Herausforderungen unterstreicht, die von unregelmäßigen, natürlichen Körnern ausgehen. Die Studie kommt zu dem Schluss, dass die Anpassung unraffinierter Sedimente an das Bindemittelstrahlverfahren machbar ist, aber eine sorgfältige Auswahl der Prozessparameter erfordert, um eine akzeptable Schichtqualität zu erreichen. Diese Forschung bietet praktische Anleitungen für Branchen, die darauf abzielen, den Energie- und Transportbedarf durch die Verwendung von Rohstoffen aus der Erde in der additiven Fertigung zu reduzieren.

Publisher’s Note

Springer Nature remains neutral with regard to jurisdictional claims in published maps and institutional affiliations.
D
roller diameter, mm
e
coefficient of restitution
E
Young’s modulus, GPa
E *
equivalent Young’s modulus, Pa
E i
Young’s modulus of sphere i, Pa
E i
Young’s modulus of sphere j, Pa
\(\:{F}_{\text{g}}\)
resultant gravitational force, N
\(\:{F}_{\text{c}}\)
resultant contact force, N
\(\:{F}_{\text{n}\text{c}}\)
resultant noncontact force, N
\(\:{F}_{\text{N}}^{\text{d}}\)
normal damping force, N
\(\:{F}_{\text{T}}^{\text{d}}\)
tangential damping force, N
\(\:{F}_{\text{T}}\)
tangential force, N
\(\:{F}_{\text{N}}\)
normal contact force, N
G
shear modulus, Pa
G *
equivalent shear modulus, GPa
H
layer thickness, µm
I
moment of inertia, kg∙m2
M
resultant contact torque, N∙m
m
mass of the particle, kg
m i
mass of sphere/mass of grid i, g
m j
mass of sphere j, kg
m *
equivalent mass, kg
N
number of grids
R *
equivalent radius
R
particle radius, m
R i
radius of spherei, m
R j
radius of spherej, m
\(\:{S}_{\text{N}}\)
normal stiffness, N/m3/2
\(\:{S}_{\text{T}}\)
tangential stiffness, N/m
t
time, s
v
translational velocity of the particle, m/s
V s
roller traverse speed, mm/s
\(\:{v}_{\text{N}}^{\text{r}\text{e}\text{l}}\)
normal component of the relative velocity, m/s
\(\:{V}_{\text{i}}\)
volume of grid i, cm3
\(\varnothing_{\mathrm{i}}\)
PBD of grid i
\(\overline{\varnothing}_{\mathrm{i}}\)
average PBD

1 Introduction

1.1 Background

1.1.1 Binder jetting technology

Additive manufacturing (AM) fabricates parts layer by layer, enabling high geometric freedom and reduced waste [1]. It has become a national research priority due to its impact in sectors such as healthcare, aerospace, and defense [2], supporting the development of lighter and more efficient components [3]. Among AM categories, binder jetting (BJT) stands out for its high productivity, lack of support structures, and minimal residual stress [3].
BJT employs a drop-on-demand printhead to selectively bind powder particles into “green” parts, which are subsequently densified during sintering or infiltration [3]. Figure 1 illustrates a typical BJT system, where a recoating mechanism—most commonly a counter-rotating roller—spreads powder across the build platform. Rollers are widely used because they can handle broad particle size distributions (PSDs) and form dense, uniform layers [3, 4]. Spreadability, defined as the ability to form smooth and homogeneous layers, depends strongly on particle size, shape, cohesion, and spreading parameters such as traverse speed, layer thickness, roller diameter, and rotation speed [4].
Fig. 1
Typical BJT AM system
Bild vergrößern
Sand-based BJT systems are now used for complex foundry molds [5], with commercial systems from ExOne and VoxelJet supporting both raw and processed sands [6]. However, BJT parts often suffer from low density, high porosity, and poor mechanical performance [7]. These limitations arise from both material and process factors. Coarser particles generally flow better than fine powders due to weaker cohesive forces [8], and particle morphology affects packing efficiency. Traverse speed strongly influences layer uniformity: high speeds (> 40 mm/s) promote void formation, while slower speeds yield denser layers [3, 9, 10]. Layer thickness must be optimized to avoid jamming in thin layers or loss of resolution in thicker ones [3, 8, 11, 12]. Rotational speed is a secondary parameter but can improve flowability at higher values [13].
Because experimental optimization is costly, numerical modeling—particularly the Discrete Element Method (DEM)—is increasingly used to study granular flow in BJT. DEM enables particle-scale analysis of contact forces and layer formation, making it a powerful tool for predicting spreading performance [14, 15].

1.2 Literature review

Powder morphology significantly affects spreading behavior. Mussatto et al. [16] showed that powders with high sphericity and smooth surfaces achieved superior flowability and packing in L-PBF, while elongated particles caused mechanical interlocking and heterogeneous layers. Zhang et al. [13] used DEM to examine BJT spreading of Al₂O₃ and found that traverse speed reduces powder bed density (PBD), with layer thickness being the dominant parameter. Nan et al. [17] and Haeri [18] reported similar findings, showing that roller-based systems outperform blades at low speeds but that certain blade designs can achieve competitive uniformity at high speeds.
Particle shape is a key factor: Zhang et al. [19] found that non-spherical PA6 particles formed arches and cavities, reducing PBD. Muñiz-Lerma et al. [20] confirmed that spherical, narrow-PSD powders pack more efficiently than irregular, broad-PSD powders.
DEM accuracy depends on realistic input parameters. Ge and Monroe [21] reported COR values of 0.88–0.98 for dry sands. Rorato et al. [22] linked rolling friction to particle sphericity, with angular Hostun sand exhibiting values near 0.75. Senetakis et al. [23] measured static friction values of 0.23–0.24 for quartz sands, while Brumund and Leonards [24] observed higher friction for angular sands against polished steel. Additional studies [2527] support rolling friction values of 0.45–0.65 for natural granular materials.
Segregation is another challenge in powder-bed AM. Percolation effects cause fine particles to settle while coarse ones remain elevated, reducing homogeneity [3, 17]. Adjusting traverse speed and layer thickness can mitigate—but not fully eliminate—segregation [10].
This manuscript extends an earlier feasibility study by the authors [28] by incorporating a full set of DEM simulations with reconstructed particle shapes, a more detailed evaluation of spreading parameters, and a strengthened validation section. These additions allow for benchmarking the behavior of unrefined silt against idealized spherical particles and to contextualize the chosen model inputs using recent literature. Overall, the current study clarifies how grain morphology and processing conditions influence powder bed formation when using raw earth sediments in binder jetting.

2 Simulation setup

The commercial DEM software Altair® EDEM (v. 2023) was used to model particle-scale powder spreading in BJT. The influence of roller rotational speed, traverse speed, roller diameter, and layer thickness on powder flow was investigated. Newton’s equations of motion were solved numerically to update translational and rotational motion [29]:
$$m\frac{\text{d}v}{\text{d}t}=\:F_\text{g}+F_\text{c}+F_{\text{n}\text{c}}$$
(1)
where \(F_g\) is the resultant gravitational force, and Fc and Fnc are contact and noncontact forces. Rotational motion follows:
$$I\frac{\text{d}\omega\:}{\text{d}t}=M$$
(2)
where M is the net torque.

2.1 Feedstock description and modeling

Using locally available, unrefined sediments supports sustainable AM and highlights the potential of BJT for construction in remote regions [30]. The targeted feedstock was an unrefined sandy silt from the Gypsum Hills in Kansas, consisting mainly of quartz, red shales, gypsum, and mica (Fig. 2).
Fig. 2
Microscopic view of the investigated sandy silt sample
Bild vergrößern
Particle morphology strongly influences flow behavior in powder-bed AM [31, 32], and BJT is especially sensitive because spreading quality directly affects packing density and binder penetration. While spherical powders exhibit favorable flowability [3], natural sediments contain grains ranging from rounded to angular [33]. Understanding their behavior is therefore essential for evaluating the feasibility of raw powders in BJT.
Particle size and shape were characterized using the Morphologi G3 system, which provides high-resolution 2D imaging [34, 35]. Measured diameters ranged from 2.18 to 270.32 μm (mean 15.34 μm), with D10, D50, and D90 equal to 3.45, 9.37, and 34.70 μm, respectively (Fig. 3).
Fig. 3
PSD of the unrefined sandy silt sample measured using the Morphologi G3 system
Bild vergrößern
Representative grain morphologies based on circularity, convexity, and elongation are shown in Fig. 4. These categories illustrate the range of shapes present in the sediment, from nearly spherical to highly angular or elongated particles.
Fig. 4
Representative particle shapes from the unrefined sandy silt sample: (a) well-rounded, (b) sub-rounded, (c) sub-angular, (d) angular, and (e) elongated.
Bild vergrößern
Although spherical particles simplify DEM contact detection, modeling natural sediments requires irregular geometries. The Altair EDEM multi-sphere method approximates each grain using overlapping spheres, enabling reasonable geometric fidelity at manageable computational cost [29].
To capture the diversity of the measured sediment, 25 particle shapes were selected after reviewing several thousand Morphologi G3 images. The selected shapes span the standard morphology classes—angular, sub-angular, sub-rounded, well-rounded, and elongated—following sedimentological schemes [33]. Each particle was manually reconstructed in EDEM based on its measured dimensions, preserving realistic size characteristics. Table 1 summarizes the morphology metrics for the 25 reconstructed shapes. The sandy silt is classified as a USCS sandy silt, consisting of a dominant silt fraction (< 63 μm) and a significant portion of coarser sand grains.
Table 1
Measured dimensions of selected particles and assigned random PSD
Grain ID
Shape Category
Circle Equivalent (CE) Diameter \(\left(\mu m\right)\)
High Sensitivity (HS) Circularity
Convexity
Elongation
Assigned Random PSD Range (\(\:\varvec{\mu\:}\varvec{m})\)
P1
Angular
29.43
0.785
0.962
0.162
1–1.1.1
P2
Angular
52.32
0.73
0.946
0.232
1–1.1.1
P3
Angular
47.46
0.79
0.961
0.059
1–1.1.1
P4
Angular
44.24
0.872
0.986
0.203
1–1.1.1
P5
Angular
49.96
0.819
0.986
0.204
1–1.1.1
P6
Perfect elongation
43.78
0.68
0.996
0.608
1–1.1.1
P7
Perfect elongation
23.82
0.675
0.995
0.627
1–1.1.1
P8
Perfect elongation
43.45
0.553
0.995
0.703
1–1.1.1
P9
Perfect elongation
14.17
0.442
0.991
0.76
1–1.1.1
P10
Perfect elongation
10.38
0.331
0.989
0.805
1–1.1.1
P11
Well rounded
12.18
0.964
1
0.143
1–1.1.1
P12
Well rounded
15.99
0.963
0.998
0.061
1–1.1.1
P13
Well rounded
12.8
0.969
1
0.066
1–1.1.1
P14
Well rounded
103.85
0.967
0.995
0.053
1–1.1.1
P15
Well rounded
51.13
0.92
0.994
0.208
1–1.1.1
P16
Sub rounded
47.17
0.942
0.998
0.147
1–1.1.1
P17
Sub rounded
49.22
0.807
0.996
0.421
1–1.1.1
P18
Sub rounded
37.09
0.885
0.999
0.339
1–1.1.1
P19
Sub rounded
14.77
0.946
1
0.236
1–1.1.1
P20
Sub rounded
29.64
0.862
0.988
0.318
1–1.1.1
P21
Sub angular
48.52
0.879
0.997
0.122
1–1.1.1
P22
Sub angular
44.21
0.821
0.997
0.466
1–1.1.1
P23
Sub angular
41.54
0.927
0.988
0.14
1–1.1.1
P24
Sub angular
31.66
0.841
0.995
0.429
1–1.1.1
P25
Sub angular
40.05
0.902
0.99
0.112
1–1.1.1
The selection of twenty-five representative particles was not arbitrary. The full Morphologi G3 dataset contained several thousand grains spanning wide ranges of circularity, convexity, and elongation. To ensure that the DEM particle library captured this measured variability, the dataset was first grouped into the five commonly used morphology classes—well-rounded, sub-rounded, sub-angular, angular, and elongated—following standard sedimentological classification schemes [33, 36]. Five representative grains were then selected from each class, providing proportional coverage of the observed morphology distribution while keeping the total number of multi-sphere reconstructions computationally manageable. Prior particle-scale DEM studies have shown that shape libraries of approximately 20–30 particles are sufficient to capture morphological variability in granular flow while maintaining computational feasibility [19, 37]. Accordingly, the chosen 25 shapes provide statistically meaningful morphological diversity for simulating the spreading behavior of the unrefined sediment.
As shown in Fig. 5, the 25 selected particles shown in Table 1 were divided into five shape categories: (a) angular, (b) sub-angular, (c) sub-rounded, (d) well-rounded, and (e) elongated. The far left of each column displays the 2D images of the selected particles, while the middle column highlights their basic structure, representing the major sphere or spheres forming the particle’s main body. The final column presents the multi-sphere reconstructed versions of the particles used in the EDEM software.
Fig. 5
Images and multi-sphere representations of particles used in EDEM simulations. The five shape categories are: a angular, b sub-angular, c sub-rounded, d well-rounded, and e elongated
Bild vergrößern
A randomized PSD scaling range of 1.0–1.1 was applied to the reconstructed particles to maintain realistic size variability while avoiding extremely fine or overly large grains. Because only a subset of the sediment could be reconstructed, assigning the measured PSD directly to this library would bias the distribution toward the chosen shapes. The randomized PSD avoids this bias and better reflects the natural stochastic variation of the unrefined sediment, ensuring representative spreading behavior and packing patterns in DEM simulations.

2.2 Input parameters

All simulations incorporated a cylindrical counter-roller, powder bed, and build platform, as shown in Fig. 6, while Table 2 outlines the process parameters used for each EDEM simulation. These DEM parameters investigated are known to directly influence the physical behavior of the powder during spreading, governing adhesion, frictional resistance, and rolling constraints that ultimately affect packing efficiency, layer smoothness, and particle segregation. The gap height was set for all simulations, as the build platform lowers by the layer thickness after each layer deposition. The build platform and the powder bed region used in the simulations each measured 10 mm × 2 mm, corresponding to the active area involved in a single spreading pass. The counter-roller spreads powder by rotating counterclockwise at rotational speed ω while moving linearly at speed Vs, transferring particles to form a uniform layer on the platform. The selected values for Vs, ω, and layer thickness H align with typical ranges used in BJT experiments and commercial systems [3, 4]. Reported studies indicate that traverse speeds between 20 and 200 mm/s cover both high-density, low-speed spreading and faster processing conditions, while rotational speeds of 100–280 rpm ensure effective powder dispersion with minimal interparticle friction. Similarly, layer thicknesses ranging from 40 to 220 μm are commonly used in BJT to balance resolution, uniformity, and process efficiency [3]. Roller dimensions correspond to a scaled-down recoater, which is commonly used in DEM powder-spreading simulations to reduce computational size while keeping the local spreading behavior realistic [3, 4, 7, 13, 15, 17, 38]). As in most DEM powder-spreading studies, only a single-layer spreading event is simulated here, since the recoating mechanics repeat uniformly during each printing cycle and the first-layer behavior is representative of subsequent layers.
Fig. 6
Domain and parameterized BJT components of the powder spreading simulation
Bild vergrößern
Table 2
Process parameter values used for simulations
Parameter
Values
Roller’s traverse speed \(\:{\varvec{V}}_{\varvec{s}}\:(\varvec{m}\varvec{m}/\varvec{s})\)
20, 40, 60, 80, 100, 120, 140, 160, 180, 200
Roller’s rotational speed \(\:\varvec{\omega\:}\:\left(\varvec{r}\varvec{p}\varvec{m}\right)\)
100, 120, 140, 160, 180, 200, 220, 240, 260, 280
Roller’s diameter \(\:\varvec{D}\:\left(mm\right)\)
2, 3, 4, 5
Powder layer thickness \(\:\varvec{H}\:\left(\varvec{\mu\:}\varvec{m}\right)\)
40, 60, 80, 100, 120, 140, 160, 180, 200, 220
Gap height \(\:\varvec{\delta\:}\:\left(\varvec{\mu\:}\varvec{m}\right)\)
10
The DEM parameters used in this study represent dry powder behavior because the analysis focuses solely on the spreading stage, which occurs prior to binder deposition. Binder-related effects such as droplet impact, capillary infiltration, and solvent evaporation therefore do not influence the input parameters used here. The material properties used in the simulations were gathered from various sources in the literature and are summarized in Table 3. The density of the sandy silt was set to 1650 kg/m³ [39]. The Young’s modulus and Poisson’s ratio were assigned values of 90.1 GPa [40] and 0.32 [41], respectively. For particle-particle interactions, the coefficient of restitution was set to 0.88 [21], the coefficient of static friction to 0.24 [23], and the coefficient of rolling friction to 0.75 [22]. For particle-wall interactions, the coefficient of restitution was set to 0.68 [26], the coefficient of static friction to 0.50 [24], and the coefficient of rolling friction to 0.65 [25].
Table 3
Material properties of sandy silt used for numerical simulations
Parameter
Value
Units
Solid Density (\(\:\varvec{\rho\:})\) [39]
1650
kg/m3
Young’s Modulus \(\:\left(\varvec{E}\right)\) [40]
90.1
GPa
Poisson’s Ratio (\(\:\varvec{\nu\:})\) [41]
0.32
 
Coefficient of Restitution (Particle-Particle) [21]
0.88
 
Coefficient of Static Friction (Particle-Particle) [23]
0.24
 
Coefficient of Rolling Friction (Particle-Particle) [22]
0.75
 
Coefficient of Restitution (Particle-Wall) [26]
0.68
 
Coefficient of Static Friction (Particle-Wall) [24]
0.50
 
Coefficient of Rolling Friction (Particle-Wall) [25]
0.65
 
The DEM simulations use standard assumptions for dry granular spreading. Particles are modeled as rigid multi-sphere clumps interacting through the Hertz–Mindlin contact law with JKR adhesion. No particle deformation, wear, or moisture-related cohesion is considered, and material properties remain constant during spreading. Controlled environments, and electrostatic effects are neglected. Roller and boundary geometries are treated as rigid with the frictional parameters listed in Table 3. Only a single spreading pass is simulated, as the recoating mechanics repeat uniformly for each layer.

2.3 Simulation domain and contact modeling

The DEM simulation domain, periodic boundaries, and gravity force were all included in the simulation environment. The simulation domain, shown as a red box in Fig. 6, defines the space where particles reside and interact during processing. Only objects within this domain are used for calculations. The domain was 40 mm in length, 2 mm in width, and 5 mm in height. Acceleration due to gravity was set to 9.81 m/s2 in the negative z direction (downwards). The counter-roller was modeled as a rigid geometry with artificially-reduced mechanical properties to improve computational efficiency. Although rollers in physical systems are typically made from stiff and dense materials, assigning such properties in EDEM simulations would lead to extremely small time steps and prolonged computation. Therefore, the roller was assigned lower density and stiffness values, a standard and validated simplification in DEM modeling [14, 29]. This reduced stiffness is a standard DEM simplification used in spreading simulations and does not affect the results because the roller behaves as a rigid boundary, not a deformable body. The utilized roller properties are summarized in Table 4.
Table 4
Properties of the counter roller used for simulations
Property
Value
Units
Poisson’s ratio (υ)
0.3
 
Solid density (ρ)
1320
kg/m3
Shear Modulus (G)
3.6
GPa
Employed contact models for particle-particle and particle-geometry interactions are crucial, as they define how particles behave upon contact. This study employed the Hertz-Mindlin (no slip) model and assumed dry sand conditions. For two spherical bodies in contact, the normal contact force is expressed as [42, 43]:
$$\begin{array}{c}F_\text{N}=\:\frac43E^\ast\sqrt{R^\ast}{\delta\:}_\text{n}^\frac32\end{array}$$
(3)
where \(\:{E}^{*}\) and \(\:{R}^{*}\) are the equivalent Young’s modulus and radius, respectively, which are defined as [42, 43]:
$$\begin{array}{c}\frac1{E^\ast}=\:\frac{\left(1-v_\text{i}^2\right)}{E_\text{i}}+\frac{\left(1-v_\text{j}^2\right)}{E_\text{j}}\end{array}$$
(4)
$$\begin{array}{c}\frac1{R\text{*}}=\:\frac1{R_\text{i}}+\:\frac1{R_\text{j}}\end{array}$$
(5)
where \(\:{E}_{\text{i}}\), \(\:{v}_{\text{i}}\), \(\:{R}_{\text{i}}\), and \(\:{E}_{\text{j}}\), \(\:{v}_{\text{j}}\), \(\:{R}_{\text{j}}\) are the Young’s modulus, Poisson’s ratio, and radius of each sphere in contact, respectively. In addition, the normal damping force is defined as [42, 43]:
$$\begin{array}{c}F_\text{N}^\text{d}=\:-2\sqrt{\frac56}\:\beta\:\sqrt{S_\text{N}m^\ast}\ast v_\text{N}^{\text{r}\text{e}\text{l}}\end{array}$$
(6)
where\(\:{S}_{\text{N}}\) is the normal stiffness, \(\:{v}_{\text{N}}^{\text{r}\text{e}\text{l}}\) is the normal component of the relative velocity, and \(\:{m}^{*}\) is the equivalent mass. The damping coefficient is given by \(\:\beta\:=\:\) \(\:\frac{\text{ln}e}{\sqrt{{\text{l}\text{n}}^{2}e+\:{\pi\:}^{2}}}\), where \(\:e\) is the coefficient of restitution. The normal stiffness \(\:{S}_{N}\) and equivalent mass \(\:{m}^{*}\)are found using Eqs. (7)-(8), respectively:
$$\begin{array}{c}S_\text{N}=2E^\ast\sqrt{R^\ast{\delta\:}_\text{n}}\end{array}$$
(7)
$$\begin{array}{c}m^\ast={(\frac1{m_\text{i}}+\frac1{m_\text{j}})}^{-1}\end{array}$$
(8)
The tangential force depends on the tangential overlap \(\:{\delta\:}_{\text{T}}\) and the tangential stiffness \(\:{S}_{\text{T}}\):
$$\begin{array}{c}F_\text{T}=-S_\text{T}{\delta\:}_\text{T}\end{array}$$
(9)
$$\begin{array}{c}S_\text{T}=8G^\ast\sqrt{R^\ast{\delta\:}_\text{N}}\end{array}$$
(10)
where \(\:{G}^{*}\) is the equivalent shear modulus, which is expressed as:
$$\begin{array}{c}G^\ast=\:\left[\frac{2\left(2-v_\text{i}\right)\left(1+v_\text{i}\right)}{E_\text{i}}+\frac{2\left(2-v_\text{j}\right)\left(1+v_\text{j}\right)}{E_\text{j}}\right]^{-1}\end{array}$$
(11)
Finally, tangential damping is defined as [42, 43]:
$$\begin{array}{c}F_\text{T}^\text{d}=\:-2\sqrt{\frac56}\:\beta\:\sqrt{S_\text{T}m^\ast}v_\text{T}^{\text{r}\text{e}\text{l}}\end{array}$$
(12)
The tangential force is limited by Coulomb friction \(\:{\mu\:}_{\text{S}}{F}_{\text{N}}\), where \(\:{\mu\:}_{\text{s}}\) is the static friction coefficient [42, 43].
In BJT, adequate layer spreading results in a dense, uniform layer with consistent PSD and minimal void spaces [17]. The amount of powder supplied for spreading directly affects the green density of printed objects [44]. To ensure optimal binding, the PBD of the dispensed layer is thoroughly assessed by examining multiple locations across the powder bed to evaluate density uniformity [8]. For the current study, the PBD of each grid, \(\varnothing_i\), was calculated by measuring the material density within defined enclosures, quantifying the amount of material per unit volume, typically expressed as [45]:
$$\begin{array}{c}\varnothing_\text{i}=\:\frac{\sum\:_{\text{i}=1}^\text{N}\left(m_\text{i}/\rho\:\right)}{V_\text{i}}\end{array}$$
(13)
where \(\:{m}_{\text{i}}\) is the particle mass of grid i, \(\:\rho\:\) is the sand density, and \(\:{V}_{\text{i}}\) is the volume of grid i. Values for \(\:{m}_{\text{i}}\) were directly pulled from the EDEM simulation results. The overall average PBD was determined by dividing the sum of the PBD for each grid by the total number of grids (N):
$$\begin{array}{c}\overset-\varnothing=\frac{\sum\:_{\text{j}=1}^\text{N}\varnothing_\text{i}}N\end{array}$$
(14)
To quantify segregation, the fraction standard deviation (FSD) is used, with a low FSD indicating a more homogeneous PSD. The formula for calculating the standard deviation of the PBD across the spread layer can be found in [10, 17].
$$\sigma_{\overline{\varnothing}} = \sqrt{\frac{1}{N-1} \sum_{i=1}^{N} (\varnothing_i - \overline{\varnothing})^2}$$
(15)
where \(\overline\varnothing\) is the average PBD.
To apply Eqs. (14)–(15), the powder bed was divided into forty equally-sized grids, with ten stretching along the length and four along the width of the substrate. The thickness of the grids corresponds to the layers thickness, which is along the z axis.

2.4 Model validation

To assess the accuracy of the DEM approach, a validation study was embarked using the parameters and results from Zhang et al. [13]. This comparison served to validate not only the simulation setup but also the data processing method used in this study to calculate PBD. In Zhang et al.’s study, the spreading behavior of Al₂O₃ ceramic powder was simulated using DEM to evaluate the effects of roller traverse speed Vs, roller’s rotational speed ω, roller’s diameter D, and powder layer thickness H, on PBD. Their material system used Al₂O₃ particles with particle size distribution values of D10, D50, and D90 were reported as 24, 48, and 72 μm, respectively, with a particle density of 3820 kg/m³. In the present work, Zhang et al.’s conditions were replicated using the same Hertz–Mindlin with JKR contact model and material properties. However, a distinct method was used to calculate PBD: here, the powder bed was divided into grids to compute local and average PBD values, rather than adopting Zhang et al.’s original approach. Despite this difference, the re-simulated results showed close agreement with Zhang et al.’s findings, as shown in Fig. 7.
Fig. 7
Validation of the current DEM model through comparison of simulated powder bed density (PBD) versus layer thickness with published data from Zhang et al. [13]
Bild vergrößern
The relative error between the re-simulated data and Zhang et al.’s results was calculated:
$$\begin{array}{c}Relative\:Error\:\left(\%\right)=\:\frac{{PBD}_{Zhang}-{PBD}_{Validation}}{{PBD}_{Zhang}}\times\:100\end{array}$$
(16)
The computed percent relative errors are summarized in Table 5. The mean relative error (MRE) was found to be 5.6, confirming that the implemented DEM model and grid-based PBD evaluation method accurately capture powder spreading behavior.
Table 5
Relative error between Zhang et al. [13] and re-simulated PBD values
Layer Thickness H (µm)
PBDZhang
PBDvalidation
Relative Error (%)
50
0.15
0.16
6.666
75
0.18
0.17
5.555
100
0.25
0.24
4
125
0.36
0.38
5.555
150
0.49
0.47
4.082
175
0.52
0.48
7.692
To further assess the robustness of the DEM framework under a different process condition, an additional benchmark validation was performed using the blade-velocity analysis reported by Si et al. [38]. Their study investigated the relationship between packing density and blade velocity for PA6 powder across spreading speeds of 5–100 mm/s using a JKR-based DEM model calibrated through angle-of-repose experiments. The present model was used to replicate these conditions, and the resulting packing densities were compared directly with the published values. The simulated results reproduced the same decreasing trend with increasing blade velocity and showed reasonable quantitative agreement, with a mean relative error of approximately 10.8% and deviations of below 2% in the high-velocity regime (50–100 mm/s). This second benchmark, together with the Zhang et al. comparison, demonstrates that the implemented DEM framework accurately reproduces known spreading behavior across multiple independent studies and varying process parameters (Table 6).
Table 6
Relative error between Si et al. [38] and re-simulated PBD values
Blade velocity (mm/s)
PBDSi
PBDvalidation
Relative Error (%)
5
0.35
0.41
17.1
10
0.34
0.42
23.5
20
0.35
0.39
11.4
50
0.295
0.30
1.7
100
0.19
0.19
0.0

3 Results and discussion

3.1 Avalanching and percolation in powder spreading

Figure 8 illustrates the dynamic flow behavior of the sandy silt particles as the roller moves from left to right across the powder bed. Particles are color-coded by size: yellow for small, blue for medium, and red for large, helping visualize the particle size distribution (PSD).
Fig. 8
Side view of percolation segregation during powder spreading (going left to right), showing avalanching behavior
Bild vergrößern
A distinct avalanching effect is seen at the roller’s leading edge, where particles climb the roller surface and cascade down the backside. This cascading motion continuously facilitates uniform layer formation/spreading.
Simultaneously, percolation is observed, where smaller particles sift downward through voids between larger ones, concentrating at the base of the layer. Coarser particles accumulate near the surface, creating vertical size segregation. This behavior is common in wide PSD systems and can influence part density and uniformity. The observed angle of repose also reflects powder flowability, which in turn affects layer formation.
These results confirm that gravity-driven percolation—enhanced by the avalanching flow—leads to segregation during spreading, with finer particles settling and coarser ones rising, similar to the “Brazil Nut Effect” [3, 4649].
As shown in Fig. 9, finer particles tend to settle near the start of the layer (leading edge), while coarser grains accumulate toward the end (trailing edge). This gradient mirrors the spreading direction and reflects combined effects of gravity and roller momentum. The leading edge appears smoother and denser due to fine particle fill-in, while the trailing edge is rougher with more voids. These variations can affect powder bed density and binder infiltration, potentially compromising part strength and dimensional accuracy [3, 16, 46]. This depth-dependent pattern is characteristic of percolation-driven segregation, where more rounded grains migrate downward under disturbances while angular grains remain closer to the surface.
Fig. 9
Percolation segregation illustrated by the settling of small particles at the start of the layer during powder spreading (aerial view of powder bed). The powder is spread from left to right, as indicated by the arrow
Bild vergrößern

3.2 Influence of layer thickness

Layer thickness affects packing density and binder saturation, influencing part strength and surface quality [50]. As shown in Fig. 10a, FSD reaches its lowest point at 120 μm, indicating maximum uniformity. PBD (Fig. 10b) increases significantly up to 120 μm, then rises only marginally, remaining between 0.48 and 0.51 through 220 μm. Thus, 120 μm represents a practical optimum, balancing high uniformity with near-maximal density. In thinner layers, particle jamming reduces PBD, while irregular shapes cause interlocking and voids that disrupt consistent spreading [51, 52].
Fig. 10
Influence of layer thickness (with D = 4 mm, ω = 200 rpm, and \(\:{V}_{\text{s}}\) = 20 mm/s) on a FSD and b PBD
Bild vergrößern

3.3 Influence of roller traverse speed

Traverse speed ranged from 20 to 200 mm/s in 20 mm/s increments. As shown in Fig. 11, PBD decreases and FSD increases with higher speeds. Optimal spreading occurs below 40 mm/s, consistent with prior studies [45]. PBD peaks just below 0.5 at 20 mm/s and drops to ~ 0.3 at 200 mm/s. FSD is lowest (~ 0.08) at 20 mm/s and highest at the maximum speed. These trends confirm traverse speed as a critical parameter affecting both density and uniformity during layer deposition. These results highlight that traverse speed governs the time available for particles to rearrange under gravity and roller-induced shear. At higher speeds, insufficient relaxation time prevents fine–coarse percolation from stabilizing, leading to stratified layers and larger voids. This mechanism explains the strong deterioration in both PBD and FSD at Vs > 40 mm/s.
Fig. 11
Influence of roller’s traverse speed (with D = 4 mm, ω = 200 rpm, and H = 200 μm) on a FSD and b PBD
Bild vergrößern

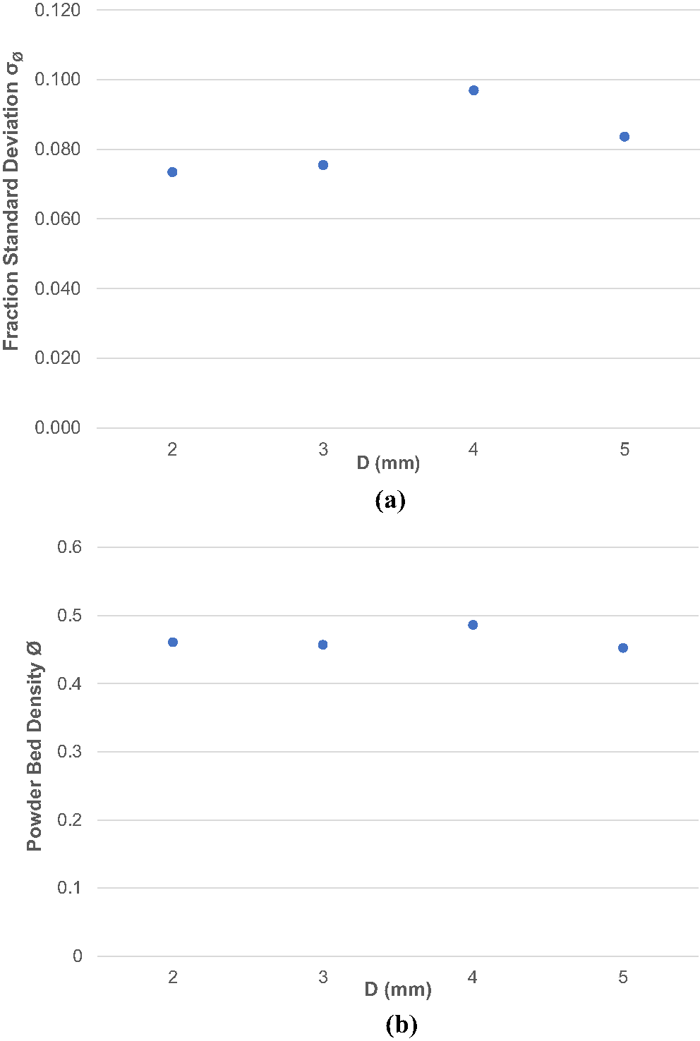
3.4 Influence of roller diameter

As shown in Fig. 12, roller diameter had minimal influence on PBD, which varied narrowly between 0.45 and 0.49. FSD ranged from 0.07 to 0.10, showing a slightly greater sensitivity. Among tested cases, the 4 mm roller yielded both the highest PBD and highest FSD. According to Zhang et al. [13], diameters above 6 mm can enhance PBD due to increased compression and particle rearrangement. While all examined diameters produced comparable PBD, FSD exhibited greater variability, suggesting the 2 mm roller may be preferable when minimizing segregation. Overall, roller diameter is less critical than other parameters such as layer thickness or traverse speed.
Fig. 12
The influence of roller’s diameter (when \(\:{V}_{\text{s}}\) = 20 mm/s, ω = 200 rpm, and H = 200 μm) on a FSD and b PBD
Bild vergrößern

3.5 Influence of roller rotational speed

As shown in Fig. 13, rotational speed has minimal impact on PBD and FSD. PBD is stable with a slight drop above 220 rpm. FSD fluctuates between 0.060 and 0.100 without a clear trend. A speed of 140 rpm yields low FSD and high PBD. These FSD variations are likely due to particle circulation from roller-induced shear forces. A comparison between the unrefined sediment and an idealized spherical powder is presented in Sect. 3.6, where the influence of particle shape on flowability and packing response is analyzed.
Fig. 13
The influence of roller’s rotational speed (when \(\:{V}_{\text{s}}\) = 20 mm/s, D = 4 mm, and H = 200 μm) on a FSD and b PBD
Bild vergrößern

3.6 Comparison between spherical & non-spherical particles

To establish a benchmark for evaluating the challenges associated with spreading non-spherical particles, it is crucial to compare the PBD of the investigated sample with that of a sample composed solely of spherical particles with a narrow PSD. This comparison also serves to validate the results, ensuring alignment with existing findings in literature, where spherical particles are known to exhibit superior spreadability due to their uniform geometry and lower frictional resistance. Since the layer thickness and traverse speed have been identified as the most influential factors on both PBD and FSD, with 20mm/s being the optimum traverse speed, the focus is placed on comparing results at varying layer thicknesses while maintaining the optimum traverse speed of 20 mm/s.
According to the comparison data in Fig. 14, represented by the orange dotted line for raw earth sample (non-spherical) and the blue dotted line for spherical particles, samples with spherical particles achieved a higher PBD and significantly lower FSD, indicating improved layer uniformity. Specifically, the PBD for spherical particles reached 0.59 at layer thicknesses above 120 μm, while non-spherical particles had a peak PBD of 0.51 at a layer thickness of 220 μm. The PBD for spherical particles gradually increased from 60 to 120 μm, then remained constant from 120 to 220 μm. In contrast, the PBD for non-spherical particles rose sharply from 40 to 120 μm before stabilizing up to 220 μm.
Fig. 14
Impact of particle morphology on PBD and layer uniformity a FSD and b PBD
Bild vergrößern
The FSD was notably lower for spherical particles compared to non-spherical particles, which exhibited a broader PSD. The FSD for spherical particles decreased consistently as layer thickness increased, remaining significantly lower than the FSD of non-spherical particles across all layer thicknesses. Non-spherical particles displayed a variable FSD, fluctuating considerably with different layer thicknesses. These findings demonstrate that spherical particles, with a narrower PSD, result in more consistent and uniform layers, underscoring their advantage in achieving higher packing density and layer uniformity compared to non-spherical particles with a broader PSD. For non-spherical particles, small changes in layer thickness alter how irregular grains interlock, rotate, and settle, which leads to the observed fluctuations in FSD. This sensitivity does not occur for spherical particles, whose geometry produces more consistent flow behavior across different layer heights.

4 Conclusions

This study successfully employed the Discrete Element Method (DEM) to simulate the counter-roller spreading of unrefined silt, assessing the feasibility of adapting raw sediments for binder jetting (BJT) additive manufacturing. The investigation revealed that among the process parameters evaluated, roller traverse speed and layer thickness were the most influential factors governing the quality of the powder bed. A clear inverse relationship was established between traverse speed and powder bed density (PBD), with an optimal value of 20 mm/s yielding the highest PBD and greatest homogeneity, as measured by the fraction standard deviation (FSD). Similarly, layer thickness proved critical; layers thinner than 120 μm resulted in significantly reduced PBD due to particle jamming and the formation of voids as larger, irregular grains obstructed powder flow. In contrast, roller rotational speed and diameter had a minimal effect on the final powder bed characteristics within the tested ranges.
Furthermore, the simulations consistently demonstrated percolation-driven segregation in all cases, where finer particles settled to the bottom of the layer while coarser ones rose to the top. This phenomenon, inherent to powders with wide particle size distributions, is a key contributor to layer inhomogeneity. The performance gap between ideal and non-ideal feedstocks was quantified through a comparative analysis, which confirmed that spherical particles consistently achieved superior PBD and FSD. This result underscores the challenges posed by the interlocking and higher friction of the irregular, natural grains.
Ultimately, this work demonstrates that adapting unrefined sediments for BJT is feasible, but not without significant trade-offs. Achieving acceptable layer quality necessitates low traverse speeds and large layer thicknesses, which may compromise overall print time and geometric resolution. Nonetheless, this study directly supports industrial implementation of raw earth sediments by identifying process windows and trade-offs for spreading unrefined, locally sourced powders in binder jet and related powder-bed systems. By quantifying how traverse speed, layer thickness, and particle morphology govern packing density and layer uniformity, the simulations provide practical guidance for selecting recoating conditions that reliably produce dense, homogeneous layers from as-excavated feedstocks. Because the DEM framework reconstructs particle shapes from simple morphological measurements, it can be transferred to other regional sediments, enabling site-specific optimization of spreading parameters prior to costly machine trials. These capabilities are particularly relevant for construction, architecture, and infrastructure applications, where on-site or near-site raw earthen materials could be binder-jetted into non-structural but impactful components such as façade panels, acoustic tiles, interior partition elements, formwork, or low-cost tooling, thereby reducing embodied energy and transportation demands.

Acknowledgements

This work was supported by the National Science Foundation (NSF) under Award No. 2423166.

Declarations

Competing interests

The authors have no relevant financial or non-financial interests to disclose.
Open Access This article is licensed under a Creative Commons Attribution 4.0 International License, which permits use, sharing, adaptation, distribution and reproduction in any medium or format, as long as you give appropriate credit to the original author(s) and the source, provide a link to the Creative Commons licence, and indicate if changes were made. The images or other third party material in this article are included in the article’s Creative Commons licence, unless indicated otherwise in a credit line to the material. If material is not included in the article’s Creative Commons licence and your intended use is not permitted by statutory regulation or exceeds the permitted use, you will need to obtain permission directly from the copyright holder. To view a copy of this licence, visit http://creativecommons.org/licenses/by/4.0/.

Publisher’s Note

Springer Nature remains neutral with regard to jurisdictional claims in published maps and institutional affiliations.
Download
Titel
Discrete element analysis of powder spreading in binder jetting of raw Earth sediments
Verfasst von
Ibrahim Al Qabani
Karin Goldberg
Dean A. Snelling
Hossein Taheri
Rafael Quirino
Genevieve Baudoin
Scott M. Thompson
Publikationsdatum
02.03.2026
Verlag
Springer London
Erschienen in
The International Journal of Advanced Manufacturing Technology
Print ISSN: 0268-3768
Elektronische ISSN: 1433-3015
DOI
https://doi.org/10.1007/s00170-025-17225-9
1.
Zurück zum Zitat Ngo TD, Kashani A, Imbalzano G, Nguyen KT, Hui D (2018) Additive manufacturing (3D printing): a review of materials, methods, applications and challenges. Compos Part B Eng 143:172–196CrossRef
2.
Zurück zum Zitat Kunovjanek M, Knofius N, Reiner G (2022) Additive manufacturing and supply chains–a systematic review. Prod Plann Control 33(13):1231–1251CrossRef
3.
Zurück zum Zitat Mostafaei A, Elliott AM, Barnes JE, Li F, Tan W, Cramer CL, Nandwana P, Chmielus M (2021) Binder jet 3D printing—process parameters, materials, properties, modeling, and challenges. Prog Mater Sci 119:100707CrossRef
4.
Zurück zum Zitat Ziaee M, Crane NB (2019) Binder jetting: a review of process, materials, and methods. Additive Manuf 28:781–801CrossRef
5.
Zurück zum Zitat Sama SR, Badamo T, Manogharan G (2020) Case studies on integrating 3D sand-printing technology into the production portfolio of a sand-casting foundry. Int J Metalcast 14(1):12–24CrossRef
6.
Zurück zum Zitat Chun SY, Kim SJ, Kim WG, Lee G, Lee MJ, Ye B, Kim HD, Lee JH, Kim T (2023) Powder-bed-based 3D printing with cement for sustainable casting. J Mater Res Technol 22:3192–3206CrossRef
7.
Zurück zum Zitat Wu S, Yang Y, Huang Y, Han C, Chen J, Xiao Y, Li Y, Wang D (2023) Study on powder particle behavior in powder spreading with discrete element method and its critical implications for binder jetting additive manufacturing processes. Virtual Phys Prototyp 18(1):e2158877CrossRef
8.
Zurück zum Zitat Miyanaji H (2018) Binder jetting additive manufacturing process fundamentals and the resultant influences on part quality
9.
Zurück zum Zitat Shrestha S, Manogharan G (2017) Optimization of binder jetting using Taguchi method. JOM 69:491–497CrossRef
10.
Zurück zum Zitat Xiao X, Jin Y, Tan Y, Gao W, Jiang S, Liu S, Chen M (2022) Investigation of the effects of roller spreading parameters on powder bed quality in selective laser sintering. Materials 15(11):3849CrossRef
11.
Zurück zum Zitat Simchi A (2004) The role of particle size on the laser sintering of iron powder. Metall Mater Trans B 35:937–948CrossRef
12.
Zurück zum Zitat Butscher A, Bohner M, Döbelin N, Galea L, Loeffel O, Müller R (2013) Moisture based three-dimensional printing of calcium phosphate structures for scaffold engineering. Acta Biomater 9(2):5369–5378CrossRef
13.
Zurück zum Zitat Zhang J, Tan Y, Bao T, Xu Y, Xiao X, Jiang S (2020) Discrete element simulation of the effect of roller-spreading parameters on powder-bed density in additive manufacturing. Materials 13(10):2285CrossRef
14.
Zurück zum Zitat Fouda YM, Bayly AE (2020) A DEM study of powder spreading in additive layer manufacturing. Granul Matter 22(1):10CrossRef
15.
Zurück zum Zitat Clares AP, Manogharan G (2021) June. Discrete-Element Simulation of Powder Spreading Process in Binder Jetting, and the Effects of Powder Size. In international manufacturing science and engineering conference (Vol. 85062, p. V001T01A009). American Society of Mechanical Engineers
16.
Zurück zum Zitat Mussatto A, Groarke R, O’Neill A, Obeidi MA, Delaure Y, Brabazon D (2021) Influences of powder morphology and spreading parameters on the powder bed topography uniformity in powder bed fusion metal additive manufacturing. Addit Manuf 38:101807
17.
Zurück zum Zitat Nan W, Pasha M, Ghadiri M (2020) Numerical simulation of particle flow and segregation during roller spreading process in additive manufacturing. Powder Technol 364:811–821CrossRef
18.
Zurück zum Zitat Haeri S (2017) Optimisation of blade type spreaders for powder bed preparation in additive manufacturing using DEM simulations. Powder Technol 321:94–104CrossRef
19.
Zurück zum Zitat Zhang T, Chen D, Yang H, Zhao W, Wang Y, Zhou H (2024) Spreading behavior of non-spherical particles with reconstructed shapes using discrete element method in additive manufacturing. Polymers 16(9):1179CrossRef
20.
Zurück zum Zitat Muñiz-Lerma JA, Nommeots-Nomm A, Waters KE, Brochu M (2018) A comprehensive approach to powder feedstock characterization for powder bed fusion additive manufacturing: a case study on AlSi7Mg. Materials 11(12):2386CrossRef
21.
Zurück zum Zitat Ge J, Monroe CA (2019) The effect of coefficient of restitution in modeling of sand granular flow for core making: part I free-fall experiment and theory. Int J Metalcast 13:753–767CrossRef
22.
Zurück zum Zitat Rorato R, Arroyo M, Gens A, Andò E, Viggiani G (2021) Image-based calibration of rolling resistance in discrete element models of sand. Comput Geotech 131:103929CrossRef
23.
Zurück zum Zitat Senetakis K, Coop MR, Todisco MC (2013) The inter-particle coefficient of friction at the contacts of Leighton buzzard sand quartz minerals. Soils Found 53(5):746–755CrossRef
24.
Zurück zum Zitat Brumund WF, Leonards GA (1973) Experimental study of static and dynamic friction between sand and typical Constuction materials. J Test Eval 1(2):162–165CrossRef
25.
Zurück zum Zitat De Blasio FV, Saeter MB (2009) Rolling friction on a granular medium. Phys Rev E 79(2):022301CrossRef
26.
Zurück zum Zitat Sandeep CS, Senetakis K, Cheung D, Choi CE, Wang Y, Coop MR, Ng CWW (2021) Experimental study on the coefficient of restitution of grain against block interfaces for natural and engineered materials. Can Geotech J 58(1):35–48CrossRef
27.
Zurück zum Zitat Evans TM, Zhang L (2019) A numerical study of particle friction and initial state effects on the liquefaction of granular assemblies. Soil Dyn Earthq Eng 126:105773CrossRef
28.
Zurück zum Zitat Al Qabani I, Goldberg K, Taheri H, Snelling D, Baudoin G, Quirino R, Thompson SM (2024) Spreadability of Raw Sand in Binder Jet Additive Manufacturing: Examining Feasibility Using Numerical Methods, 35th International Solid Freeform Fabrication Symposium (SFF), The Minerals, Metals & Materials Society: TMS, University of Texas at Austin, pp. 159–171, 11–14 August, Austin, Texas, USA. doi: https://hdl.handle.net/2152/130681
30.
Zurück zum Zitat Shakor P, Chu SH, Puzatova A, Dini E (2022) Review of binder jetting 3D printing in the construction industry. Prog Addit Manuf 7(4):643–669CrossRef
31.
Zurück zum Zitat Brika SE, Letenneur M, Dion CA, Brailovski V (2020) Influence of particle morphology and size distribution on the powder flowability and laser powder bed fusion manufacturability of Ti-6Al-4V alloy. Addit Manuf 31:100929
32.
Zurück zum Zitat Nasato DS, Pöschel T (2020) Influence of particle shape in additive manufacturing: discrete element simulations of polyamide 11 and polyamide 12. Addit Manuf 36:101421
33.
Zurück zum Zitat Li L, Iskander M (2021) Evaluation of roundness parameters in use for sand. J Geotech Geoenviron Eng 147(9):04021081CrossRef
35.
Zurück zum Zitat Joo YJ, Soreghan AM, Madden MEE, Soreghan GS (2018) Quantification of particle shape by an automated image analysis system: a case study in natural sediment samples from extreme climates. Geosci J 22:525–532CrossRef
36.
Zurück zum Zitat Blott SJ, Pye K (2008) Particle shape: a review and new methods of characterization and classification. Sedimentology 55(1):31–63CrossRef
37.
Zurück zum Zitat Yim S, Bian H, Aoyagi K, Yamanaka K, Chiba A (2023) Effect of powder morphology on flowability and spreading behavior in powder bed fusion additive manufacturing process: a particle-scale modeling study. Addit Manuf 72:103612
38.
Zurück zum Zitat Si L, Zhang T, Zhou M, Li M, Zhang Y, Zhou H (2021) Numerical simulation of the flow behavior and powder spreading mechanism in powder bed-based additive manufacturing. Powder Technol 394:1004–1016CrossRef
39.
Zurück zum Zitat Zeri M, Alvalá S, Carneiro RC, Cunha-Zeri G, Costa JM, Rossato Spatafora L, Urbano D, Vall-Llossera M, Marengo J (2018) Tools for communicating agricultural drought over the Brazilian Semiarid using the soil moisture index. Water 10(10):1421CrossRef
40.
Zurück zum Zitat Daphalapurkar NP, Wang F, Fu B, Lu H, Komanduri R (2011) Determination of mechanical properties of sand grains by nanoindentation. Exp Mech 51:719–728CrossRef
41.
Zurück zum Zitat Gu X, Yang J, Huang M (2013) Laboratory measurements of small strain properties of dry sands by bender element. Soils Found 53(5):735–745CrossRef
42.
Zurück zum Zitat Liu Q, Wang Z, Zhang N, Zhao H, Liu L, Huang K, Chen X (2022) Local scour mechanism of offshore wind power pile foundation based on CFD-DEM. J Mar Sci Eng 10(11):1724CrossRef
43.
Zurück zum Zitat Mindlin RD, Deresiewicz H (1953) Elastic spheres in contact under varying oblique forces
44.
Zurück zum Zitat Myers K, Paterson A, Iizuka T, Klein A (2021) The effect of print speed on surface roughness and density uniformity of parts produced using binder jet 3D printing
45.
Zurück zum Zitat Zhang J, Tan Y, Xiao X, Jiang S (2022) Comparison of roller-spreading and blade-spreading processes in powder-bed additive manufacturing by DEM simulations. Particuology 66:48–58CrossRef
46.
Zurück zum Zitat Capozzi LC, Sivo A, Bassini E (2022) Powder spreading and spreadability in the additive manufacturing of metallic materials: a critical review. J Mater Process Technol 308:117706CrossRef
47.
Zurück zum Zitat Chen H, Wei Q, Zhang Y, Chen F, Shi Y, Yan W (2019) Powder-spreading mechanisms in powder-bed-based additive manufacturing: experiments and computational modeling. Acta Mater 179:158–171CrossRef
48.
Zurück zum Zitat Du W, Roa J, Hong J, Liu Y, Pei Z, Ma C (2021) Binder jetting additive manufacturing: effect of particle size distribution on density. J Manuf Sci Eng 143(9):091002CrossRef
49.
Zurück zum Zitat Arntz MMHD, Beeftink HH, den Otter WK, Briels WJ, Boom RM (2014) Segregation of granular particles by mass, radius, and density in a horizontal rotating drum. AIChE J 60(1):50–59CrossRef
50.
Zurück zum Zitat Vaezi M, Chua CK (2011) Effects of layer thickness and binder saturation level parameters on 3D printing process. Int J Adv Manuf Technol 53:275–284CrossRef
51.
Zurück zum Zitat Nan W, Pasha M, Bonakdar T, Lopez A, Zafar U, Nadimi S, Ghadiri M (2018) Jamming during particle spreading in additive manufacturing. Powder Technol 338:253–262CrossRef
52.
Zurück zum Zitat Gibson I, Rosen D, Stucker B, Khorasani M (2021) Binder jetting. Additive manufacturing technologies. pp 237–252

    Marktübersichten

    Die im Laufe eines Jahres in der „adhäsion“ veröffentlichten Marktübersichten helfen Anwendern verschiedenster Branchen, sich einen gezielten Überblick über Lieferantenangebote zu verschaffen. 

    Bildnachweise
    MKVS GbR/© MKVS GbR, Nordson/© Nordson, ViscoTec/© ViscoTec, BCD Chemie GmbH, Merz+Benteli/© Merz+Benteli, Robatech/© Robatech, Ruderer Klebetechnik GmbH, Xometry Europe GmbH/© Xometry Europe GmbH, Atlas Copco/© Atlas Copco, Sika/© Sika, Medmix/© Medmix, Kisling AG/© Kisling AG, Dosmatix GmbH/© Dosmatix GmbH, Innotech GmbH/© Innotech GmbH, Hilger u. Kern GmbH, VDI Logo/© VDI Wissensforum GmbH, Dr. Fritz Faulhaber GmbH & Co. KG/© Dr. Fritz Faulhaber GmbH & Co. KG, ECHTERHAGE HOLDING GMBH&CO.KG - VSE, mta robotics AG/© mta robotics AG, Bühnen, The MathWorks Deutschland GmbH/© The MathWorks Deutschland GmbH, Spie Rodia/© Spie Rodia, Schenker Hydraulik AG/© Schenker Hydraulik AG