Zum Inhalt

Effect of Nanoparticles and Microparticles of Hexagonal Boron Nitride on Structure, Thermal and Mechanical Stability of Lithium and Calcium Greases

  • Open Access
  • 01.12.2024
  • Original Paper
Erschienen in:

Aktivieren Sie unsere intelligente Suche, um passende Fachinhalte oder Patente zu finden.

search-config
loading …

Abstract

Der Artikel untersucht die Auswirkungen von hexagonalen Bornitrid (h-BN) -Nanopartikeln und Mikropartikeln auf die Struktur, thermische Stabilität und mechanische Stabilität von Lithium- und Calciumfetten. Sie untersucht, wie die Granularität und Konzentration von h-BN die Fetteigenschaften wie Fallpunkt, Eindringtiefe und mechanische Stabilität beeinflussen. Die Studie verwendet fortschrittliche bildgebende Verfahren, einschließlich REM und AFM, um die Mikrostruktur von Fetten und die Verteilung von h-BN-Partikeln zu beobachten. Die Ergebnisse zeigen, dass h-BN-Partikel die thermische und mechanische Stabilität von Fetten verbessern, wobei Nanopartikel stärkere Effekte zeigen. Der Artikel unterstreicht auch die Bedeutung der Art des Verdickungsmittels in Fetten und der Adsorptionskapazität von h-BN-Partikeln für die Bestimmung der Gesamtleistung des Fettes.

Publisher's Note

Springer Nature remains neutral with regard to jurisdictional claims in published maps and institutional affiliations.

1 Introduction

Boron nitride exists in several polymorphic varieties, whose crystal structure depends on the hybridisation of the bond between nitrogen and boron. Among the compounds with sp2-type bonding, there is a hexagonal boron nitride (h-BN), which has found application in tribology. This material is considered, for example, as an additive to lubricating oils and greases [1]. The internal structure, as illustrated in Fig. 1 provides low friction resistance and determines its application. Hexagonal boron nitride is also a material with high thermochemical stability, good thermal conductivity, no electrical conductivity and low chemical reactivity [210]. The tribological potential of this material is particularly related to its high stability and cleanliness of working environments (white colour of h-BN powder). Hexagonal boron nitride also exhibits non-toxicity and a low environmental impact, which makes it an alternative to other layered compounds, such as molybdenum disulfide and graphite, which contain sulphur or carbon [5, 11].
Fig. 1
Crystallographic structure of hexagonal boron nitride [1]
Bild vergrößern
The application of hexagonal boron nitride as an additive to grease enhances their tribological properties, contingent on the selection of particles with an appropriate granulation and concentration. This topic has been extensively explored in the global literature, with encouraging outcomes pertaining to the reduction of friction resistance and wear of mating elements [2, 1224]. In view of the use of such greases in real tribological systems, it is also necessary to determine the effect of h-BN particles on other functional properties of these lubricants. Among the important properties of greases, consistency, determined by cone penetration, dropping point, and mechanical and structural stability, are most often mentioned. However, there are few works describing studies of such properties of greases mixed with h-BN particles, especially of different granularity.
An evaluation of the effect of the concentration of one type of hexagonal boron nitride on the consistency and dropping point was presented in [2]. As a result of the dispersion of hexagonal boron nitride in lithium grease with particles smaller than 2 µm and exhibiting an average size of about 0.5 µm, the dropping point of the grease decreased slightly, as did the cone penetration. The author concluded that the addition of boron nitride did not impair the rheological properties of the base grease. A similar trend regarding the change in the consistency of the greases and the opposite regarding the change in the dropping point was reported in [12, 13]. In addition to the concentration of hexagonal boron nitride, the effect of its granularity on the rheology and consistency of the grease was also considered [14]. As the particle size decreased, a decrease in the unworked and worked penetration values was observed. It is noteworthy that the values of worked penetration were lower than the unworked penetration, indicating a strengthening of the structure of the grease due to mechanical action. The dropping point of the lithium grease increased after the addition of h-BN and was higher the smaller the particle size of the additive. The best results were observed for nanoparticles with an average size of 70 nm. Additionally, studies of hexagonal boron nitride nanoparticles were conducted in [15], where the effects of concentration and adsorption capacity were also investigated. It was postulated that nanoparticles with a large specific surface area (19.4735 m2 g−1) and an extensive porous structure (the structure was dominated by mesopores, mainly 2–5 nm in size) would readily bind to lithium grease particles. Consequently, the binding of the grease would be enhanced, rendering it more challenging to liquefy under high-temperature conditions. Additionally, an increase in the dynamic viscosity of the grease was observed for concentrations of the additive that were appropriately selected.
In addition to dropping point and penetration studies, the world literature has considered the effect of h-BN on the rheological properties of greases, evaluated by amplitude sweep tests. The authors of the paper [25] studied h-BN nanoparticles dispersed in lithium grease. However, they did not provide detailed information on the additive's physical and chemical properties. Its use was associated with an increase in the viscosity of the base grease. Regardless of the concentration of h-BN, the grease viscosity decreased as the shear rate increased. The authors postulated that the introduction of solid particles into the grease caused a strengthening of its microstructure, which was associated with the deposition of these particles between the lithium stearate fibres. As the temperature increased, the viscosity of the greases decreased regardless of the concentration of solid particles. The increase in temperature was associated with a decrease in the force of interaction between the fibres of the thickener, resulting in a weakening of the grease’s microstructure. The addition of particulate matter to the base grease led to an increase in the values of the storage modulus and loss modulus. Based on these observations, it was concluded that the hexagonal boron nitride particles caused an increase in the grease's resistance to deformation. This was confirmed by the increased complex modulus values observed for greases with h-BN content in comparison to the base sample. The incorporation of solid particles into the grease also augmented the yield stress of the grease. The paper [23] evaluated the impact of h-BN microparticles with an average particle size of 1.59 µm. The addition of 10% h-BN to the grease increased the values of the storage modulus and loss modulus, indicating that the grease continued to exhibit viscoelastic properties. The authors concluded that the solid lubricant particles were deposited in the existing structure created by the thickener, with the caveat that this occurred at a concentration of 10% h-BN. At higher concentrations of the additive, some of its particles were probably scattered in the structure of the grease.
To understand the mechanisms by which hexagonal boron nitride particles affect the tribological and rheological properties of greases, it is beneficial to employ imaging techniques to elucidate their structural characteristics. However, the nature of greases presents a challenge in this regard. The volatile nature of their components renders it impossible to image them under the vacuum conditions typically employed in scanning electron microscopy (SEM) or transmission electron microscopy (TEM). This issue can be addressed by extracting the oil from the grease using non-polar solvents or reducing the volatility of its components by freezing the sample (cryo-SEM, cryo-TEM). In both cases, the natural colloidal structure of greases is disrupted, and the resulting image is not a realistic representation of it. However, only such procedures offer the possibility of obtaining high-resolution images and are often used in scientific research [19, 2632]. Another technique employed to image the structure of greases is atomic force microscopy (AFM). This method has the advantage of being able to operate at atmospheric pressure. However, the interaction of the cantilever tip with the sample can be affected due to the geometry of the tip and the consistency of the grease. To obtain sufficiently smooth layers of grease in such a case, thermal operations involving heating and cooling of the grease are employed. Such thermal operations also disrupt the original structure of the grease [26]. Images of the microstructure of grease thickeners in the presence of hexagonal boron nitride particles are presented in publications [19, 32]. In both cases, the oil was extracted, and h-BN nanoparticles were introduced into the greases at a concentration of 1% as an additive. It was observed that the solid lubricant particles were deposited on the fibre surface of the thickener without interfering with the structure of the base grease. However, the conclusions of these observations pertained to the tribological properties of the greases, and not to their other properties related to rheology and consistency.
The addition of hexagonal boron nitride to grease results in alterations to its functional properties, including penetration, dropping point and rheological characteristics. These changes are contingent upon the concentration and granulation of the additive, although a definitive rule cannot be established. Furthermore, the impact of h-BN on the performance of grease may also be contingent upon the base grease. The type of thickener may influence the deposition of h-BN particles within the grease structure. However, the results of previous research have indicated that the presence of h-BN particles is typically observed in one type of grease, which is usually a lithium thickener. Additionally, it has been suggested that the introduction of hexagonal boron nitride particles into grease may affect the mechanical and structural stability of the grease under its operating conditions. Furthermore, the effect of hexagonal boron nitride on the mechanical stability of greases has not yet been fully elucidated. Such studies are essential in predicting the rheological behaviour of greases under their operating conditions in tribological systems. It is also necessary to clarify the deposition of nanoparticles and microparticles of hexagonal boron nitride in the structure of greases. The results of the previously cited studies on the functional properties of greases led to the conclusion that hexagonal boron nitride particles can affect the microstructure of greases. The studies referenced did not typically employ microscopic techniques to observe the structural characteristics of greases. Consequently, the influence of hexagonal boron nitride (h-BN) particles on the microstructure of greases has not been sufficiently recognised. To understand the influence of h-BN on the performance parameters of greases, it is essential to study its physico-chemical properties, which includes determining the particle size distribution and characterising the porous structure. In light of the aforementioned considerations, it is possible to justify the influence of h-BN nanoparticles and microparticles on the structure and functional properties of greases.
The objective of the current article is to assess the impact of distinct types of hexagonal boron nitride on the performance parameters of lithium and calcium greases. A comparison of the performance parameters of nanoparticles and microparticles of h-BN in this regard was deemed essential, particularly given the growing interest of researchers in the utilisation of nanomaterials as additives in greases and the encouraging outcomes observed in this context, including those pertaining to hexagonal boron nitride nanoparticles. It was decided to conduct studies including dropping point, penetration and mechanical stability. In view of the need to identify the effect of h-BN on these properties of greases, a study of the physico-chemical properties of the additive relevant in this context was carried out. A detailed description of these studies, which has been utilised in this work, can be found in [1]. The analysis was complemented by microscopic observations, which showed the structure of thickeners for greases containing h-BN nanoparticles and microparticles. An attempt was thus made to identify the mechanism of formation of the grease structure with h-BN particles and its behaviour under conditions of high temperature and mechanical interaction.

2 Experimental Methods

2.1 Materials

As previously stated, the impact of h-BN on the functionality of greases can vary depending on the specific grease in question. Therefore, two distinct types of base grease were employed in this study: lithium grease (L) and calcium grease (C). Lithium grease (L) was a composition of mineral oil thickened lithium 12-hydroxystearate. Calcium grease (C) was based on mineral oil thickened with calcium soap, which was a reaction product of a mixture of fatty acids and calcium hydroxide. The base greases were procured from a domestic manufacturer. The compositions were constituted of a base oil and a thickener. The kinematic viscosity of the mineral base oil employed in both greases was approximately 150 mm2/s at 40 °C.
Two types of hexagonal boron nitride were introduced into the base greases. The materials were obtained from Nanografi Nanotechnology, Turkey (additive A) and from Henze Boron Nitride Products AG, Lauben, Germany (additive B). The first of them (A) was used at a concentration of 3% (samples LA3 and CA3) and 5% (samples LA5 and CA5). The second additive (B) was used for comparison purposes at a concentration of 3% (samples LB3 and CB3). The types of h-BN used are materials whose physical and chemical properties are described extensively in the publication [1]. The selection of additive concentrations was informed by prior research [24], wherein the anti-seizure and anti-wear characteristics of lithium and calcium greases were evaluated through tests conducted on a four-ball apparatus. The tribological performance was found to be optimal in greases containing the additive with the smallest average size and the highest proportion of nanoparticles (additive A). In general, the use of this additive at a concentration of 5% was found to be the most effective, followed by those containing this additive at a concentration of 3%. Of the greases containing hexagonal boron nitride, the use of the additive with the largest grain size (additive B) yielded the least favourable results and was selected for comparison in this study. In light of these findings, there was a recognition of the necessity for further research into the performance properties of greases, such as thermal and mechanical stability.
To eliminate the influence of the hexagonal boron nitride grease preparation method on the results obtained, each such composition was prepared in the same way. The process commenced with the pre-mixing of properly measured amounts of the components, which took five minutes. The greases were then subjected to mechanical mixing at room temperature, which lasted one hour. Mechanical mixing was conducted using a 300 W mixer with a 3.5 l rotating bowl at a constant speed (the first mixing stage on the unit's 5-stage scale). In the final stage, the compositions transferred to a sealed metal container were homogenised during a 30-min sonication. Consequently, six samples of greases containing hexagonal boron nitride were prepared, which were then subjected to further testing in combination with the base greases (Fig. 2).
Fig. 2
Optical images of greases
Bild vergrößern

2.2 Investigation of Physical and Chemical Properties of Hexagonal Boron Nitride

As the methodology of this research has been exhaustively delineated in [1], this section offers a concise summary of the methods employed.
The morphology and size of the h-BN particles were analysed using a Nova NanoSEM 200 scanning electron microscope. The resulting images were then subjected to analysis using the ImageJ software. The grain area data were processed using the GrainSizeTools script [33], which was written in Python.
Nitrogen adsorption isotherms were obtained at -196 °C using an ASAP 2020 adsorption analyser from Micromeritics (Norcross, GA, USA). The specific surface area of the hexagonal boron nitride particles was determined by the Brunauer, Emmett and Teller (BET) method [34]. The total pore volume (Vt) was determined concerning a single point on the nitrogen adsorption isotherm, corresponding to a relative pressure of approximately 0.99, according to the methodology described in [35]. Pore size distribution (PSD) functions were determined from nitrogen adsorption isotherms using the non-local density functional theory (2D-NLDFT) method for carbon slit pores under the assumption of energetic heterogeneity and geometrical corrugation of the pore walls, as previously described in [36]. The calculations were performed based on the global integral adsorption equation in a numerical program.

2.3 Microstructure of Greases and Thickeners

In the initial phase of this part of the research, an attempt was made to analyse the microstructure of the greases in situ, without interfering in any way with the grease during the preparation process. The environmental scanning electron microscope (ESEM) was used for this purpose. Due to the nature of the samples, their imaging was only possible at magnifications of up to 2000x, at which the spatial structure of the greases was not visible. This was due to the homogeneity of the samples and the difficulty of obtaining adequate contrast between the oil phase and the thickener. Attempts were made to obtain images at higher magnifications, but the material deformed under the influence of the electron beam, making it impossible to obtain an image of sufficient quality.
Due to the limitations of the research, it was decided to extract oil from greases and visualise the structure of their thickeners. The experiments in the publication [31] were used for this purpose. A mesh made of AISI 304 grade stainless steel with a wire diameter of 63 µm and a distance between adjacent wires of 100 µm was used. Prior to measurements, the mesh was washed with hexane in an ultrasonic cleaner for 5 min. A thin layer of each grease was applied to the grid and washed with hexane. Following this treatment, only the thickener remained on the steel mesh wires. Imaging was conducted on a DualBeam SEM/PFIB Helios 5 PFIB CXe microscope. An accelerating voltage of 2 kV and a current of 0.1 nA were employed during imaging. Prior to scanning microscopy analysis, the slides were sputtered with a layer of 5 nm gold using a Safematic CCU-010 sputtering unit. This was done to prevent the accumulation of electrical charge on the surface and to ensure the generation of high-quality images.
The course of the extraction process based on optical images of the reticle is illustrated in Fig. 3. Optical images of the reticle were obtained using a Nikon Eclipse LV 100D optical microscope with an objective lens with a magnification of 5 × and a numerical aperture of 0.15. To negate the effect of hexane on the results of the analysis of the microstructure of the greases, the same amount of solvent was used for each grease, which was applied with a micropipette in each run. The tests were carried out for base greases and greases containing 3% of both types of additives, which enabled the effect of additive granulation on the network arrangement of lithium and calcium grease to be compared.
Fig. 3
Optical images of steel mesh in different stages of oil extraction from grease
Bild vergrößern
In addition to scanning microscopy tests, which permitted the visualisation of the microstructure of grease thickeners, it was also decided to evaluate the distribution of hexagonal boron nitride particles in the structure of the grease in the presence of base oil. The phenomenon of light polarisation was employed for this purpose. This proved to be a valuable tool in depicting the distribution of hexagonal boron nitride particles in the structure of greases due to the fluorescent properties of this material. Images were obtained using a Nikon Eclipse LV 100D optical microscope, operating in transmitted light mode. Lenses of 10 × and 50 × magnification were employed. The images obtained were subjected to graphic correction. For microscopic observations, a thin layer of each grease was applied to a basic slide.
By combining the results from the two microscopic techniques employed, the distribution of hexagonal boron nitride particles within the structure of lithium and calcium grease could be determined, and the influence of these particles on the structure could be assessed.

2.4 Dropping Point

The dropping point is the lowest temperature above which a grease begins to behave like a liquid and its droplet falls from the bottom of a standardised test vessel. The tests were conducted using a kit for determining the dropping point of greases at high temperatures, the Model K19410, supplied by Tusnovics Instruments, Krakow, Poland. The apparatus allows the dropping point to be determined in the range up to 400 °C. A test procedure based on the provisions of the PN-ISO 6299 [37] standard for testing the dropping point of greases over a wide temperature range was adopted. This test methodology coincides with the indications of ASTM D2265 [38]. Three dropping point determinations were made for each grease.

2.5 Consistency and Mechanical Stability

The consistency of a grease is determined by the penetration number. This is calculated by measuring the penetration of a cone into the grease sample, with the result expressed in tenths of a millimetre. The value at 25 °C is used as the basis for the classification of greases developed by the NLGI (National Lubricating Grease Institute). The number of double strokes used for such determinations is 60. The process of subjecting the analytical sample to working at a higher number of double strokes is referred to as prolonged worked penetration [39, 40]. Standards [39, 40] do not stipulate a mandatory number of double strokes required for the determination of prolonged worked penetration of greases. One typical value employed in such instances is the number of 10,000 double strokes, which was utilised in the present study.
The mechanical stability of greases is related to changes in structural viscosity and consistency in terms of the shear stress acting on the grease. It can therefore be assessed based on penetration tests. In the present study, a measure of the mechanical resistance of grease was the difference in worked penetration (P60) and after prolonged worked penetration (P10000). Such a parameter can be useful in predicting the behaviour of grease in use.
The grease penetration test stand was equipped with a Stanhope-Seta 1700 penetrometer and a Stanhope-Seta 1780 mechanical grease worker. The tests were conducted in accordance with normative documents [39, 40]. A full-size cone with a diameter of 76.2 mm, a height of 76.2 mm and a weight of 150 g was used. At the outset of the experiment, the consistency class of the greases was determined by the NLGI standard, following 60 double strokes. The working process was then continued until 10,000 double strokes were reached. The penetration vessel was then placed in a Lauda K6KS thermostat to maintain a temperature of 25 ± 0.5 °C. In accordance with the standard operating procedure, 60 double strokes were performed and penetration was measured. This process was repeated three times for each sample.

3 Results and Discussion

3.1 Physical and Chemical Properties of Hexagonal Boron Nitride

Figure 4 illustrates the microscopic images of particles from two samples of hexagonal boron nitride. The particles of the additives differed in size and shape. A detailed particle size analysis was conducted using the image analysis method. The results are presented in the form of histograms in Fig. 5.
Fig. 4
SEM images of particles of hexagonal boron nitride. Adapted from [1]
Bild vergrößern
Fig. 5
Particle size distribution of hexagonal boron nitride. Adapted from [1]
Bild vergrößern
The outcomes of the selected parameters characterising the particle dimensions of the diverse h-BN specimens are presented in Table 1. The value of D was obtained by calculating the arithmetic mean of the apparent diameter of the particles. Assuming that the diameter D is equivalent to the diameter of a sphere, the volume of each sphere was calculated in the next step. The equivalent diameter D50 was then determined, representing the diameter of a sphere for which the grains smaller and larger than it would comprise half of the total volume of a given sample of hexagonal boron nitride. The precise methodology is outlined in detail in [1].
Table 1
Properties of hexagonal boron nitride particles [1]
Sample
Apparent diameter D [nm]
D50 [nm]
Specific surface area SBET [m2 g−1]
Total pore volume Vt [cm3 g−1]
A
130
225
30
0.15
B
6985
14010
7
0.04
Sample A exhibited particles with an average size of 130 nm, with a range of 10–440 nm. Approximately 33% of the particles exhibited an apparent diameter of less than 100 nm, which is indicative of nanoparticles. In contrast, Sample B exhibited particles with an average size of 6985 nm, with a range of 1490–13820 nm.
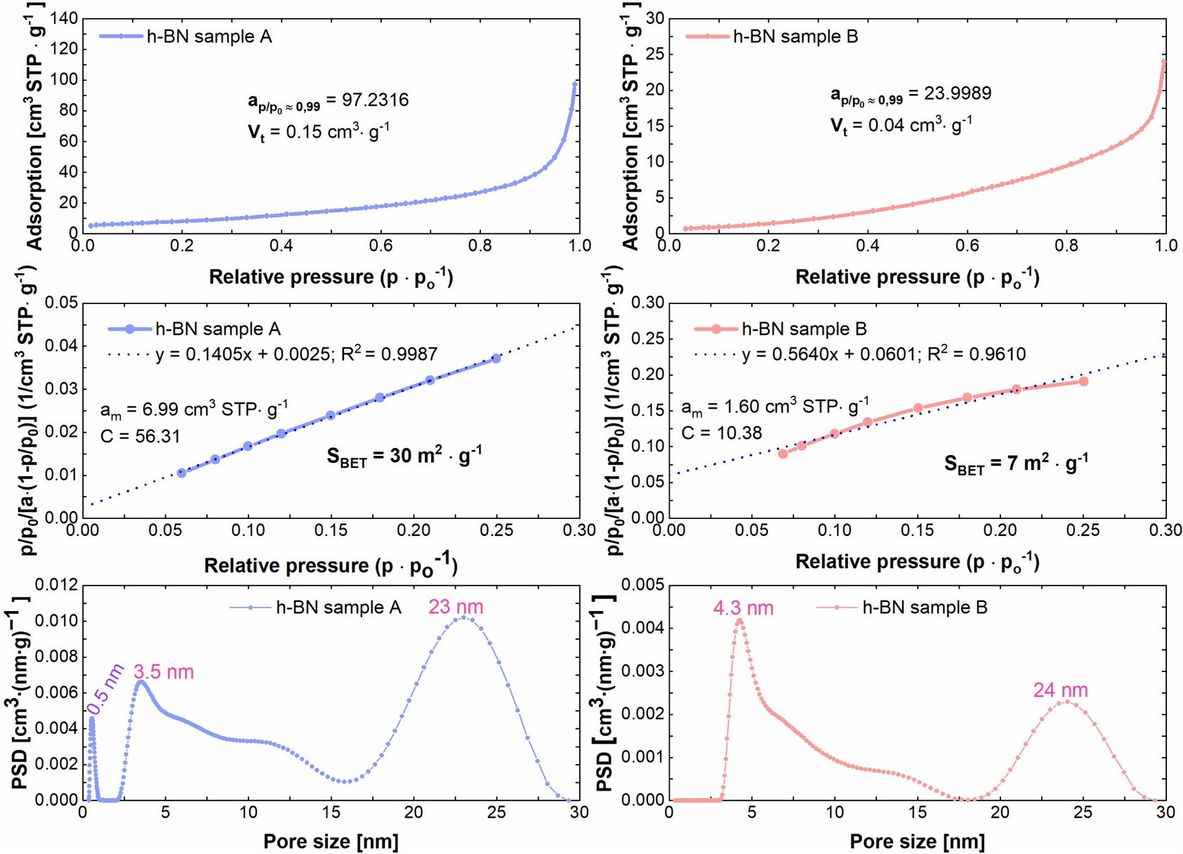
Figure 6 illustrates the experimental low-temperature nitrogen adsorption isotherms and the adsorption data approximated by the BET equation for each of the hexagonal boron nitride samples. The isotherms for each test material were analysed, and it was found that the experimental data within the assumed relative pressure range of 0–0.25 fitted the linear BET equation well. This was confirmed by the values of the determination coefficient R2, which describes the fit of the obtained results to the assumed linear model. The total pore volume Vt was calculated from the recorded adsorption data. Additionally, low-temperature nitrogen adsorption isotherms were employed to ascertain the pore size distribution function (PSD) via non-local density functional theory (2D-NLDFT), as illustrated in Fig. 6. The calculation process is described in detail in [1].
Fig. 6
Adsorption isotherms, adsorption isotherms in the coordinates of the BET equation and pore size distributions of hexagonal boron nitride particles. Adapted from [1]
Bild vergrößern
The values of the parameters characterising the adsorption properties of the hexagonal boron nitride samples are presented in Table 1. As with morphology and particle size, a significant difference was observed between the specific surface area and total pore volume values for samples A and B. The specific surface area of the particles from sample A was 30 m2·g−1, which was more than four times greater than that for sample B. Furthermore, the total pore volume was 3.75 times higher than that of sample B. Both samples of hexagonal boron nitride exhibited heterogeneous pores, predominantly in the mesoporous range. Furthermore, the pore sizes were found to be approximately 0.5 nm for material A, which indicated that this type of hexagonal boron nitride was a nanoporous material.

3.2 Microstructure of Greases and Thickeners

Imaging was conducted following the extraction of the base oil from the greases. Prior to the measurements, a 5 nm layer of gold was sputtered onto the sample, as without it, local degradation of the sample under the influence of the electron beam would have occurred. Furthermore, differences in the topography of the resulting thickener layer, which remains on the steel mesh in powder form, also presented a certain limitation. During the analyses, it was found that the structure of the grease thickeners was homogeneous. This was also true for grease thickeners containing hexagonal boron nitride particles. It should be noted that the images show the structure of the network formed by the fibres of the thickener in a two-dimensional system. It is important to acknowledge that grease has a spatial, three-dimensional structure. This limitation of the imaging method had to be taken into account in the analysis of the obtained test results. Figure 7 illustrates the microstructure of the grease thickeners following oil extraction.
Fig. 7
Microstructure of lithium and calcium thickeners of greases
Bild vergrößern
The lithium grease thickener was composed of short and thin fibres that were highly entangled. In contrast, the fibres of the calcium grease thickener were more aggregated and more entangled. Consequently, the thickener structure of this grease was more compact. Furthermore, the fibres of the calcium thickener were also characterised by smaller dimensions than those of the lithium thickener.
The hexagonal boron nitride (h-BN) particles were deposited within the structure of the greases, which were formed by their densification. The distribution of the h-BN particles was determined by the spatial network created by the fibres of the thickener. When h-BN particles derived from sample A (Fig. 4) with an average diameter of 130 nm were added to the greases, the structure of the grease thickeners did not change significantly. Due to their size, such particles were deposited in large numbers between the fibres forming the spatial network of the greases. This was more apparent in the case of lithium grease, where the spaces between the fibres were larger, making such h-BN particles also visible in the depth of the sample. In the highly aggregated structure of the calcium grease, such particles were not absorbed between the fibres of the thickener. In addition to the size of the additive A particles, their distribution was probably due to their high adsorption capacity. Such particles showed a high affinity to adsorb to the fibres, particularly the lithium grease. The size of the particles from sample B, represented by an average of 6985 nm, made it difficult to locate them in the existing grease structure. For such particles, with their lamellar structure (Fig. 4), to locate within the network formed by the thickener fibres, local deformation of this network was necessary.
Images of the greases from the optical microscope are shown in Fig. 8. It should be noted that the layer of grease spread on the base slide exhibited variable topography. Consequently, the intensity of the light emitted by the previously excited hexagonal boron nitride particles varied. The distribution of hexagonal boron nitride particles was uniform for both types of hexagonal boron nitride with the presence of base oil in the grease structure. The network arrangement of the lithium and calcium greases was determined by analysis of the scanning electron microscope results. It was confirmed that particles from additive A, with an average size of 130 nm and high adsorption capacity, were easily located in the grease structure and in large numbers. In contrast, the particles from sample B were visible as crystalline forms in the optical microscope images, and their size made it difficult to locate them in the grease structure without its deforming. Given that these optical microscope images were recorded in the presence of the base oil, it is probable that some of the particles visible in these images were embedded in the oil phase and not adsorbed onto the thickener fibres. It seems plausible that these particles were extracted together with the base oil during the preparation of the samples for examination in the SEM.
Fig. 8
Distribution of hexagonal boron nitride particles in lithium and calcium greases
Bild vergrößern

3.3 Dropping Point

The values of the dropping point for lithium greases are presented in Fig. 9a, while those for calcium greases are shown in Fig. 9b.
Fig. 9
Dropping point: a lithium greases, b calcium greases
Bild vergrößern
During the testing of calcium greases, the formation of a droplet with a trailing thread was observed. In contrast, lithium greases produced a separate droplet. This was likely because the microstructure of calcium grease thickeners was more aggregated (Fig. 7). It is also possible that the intrinsic physical and chemical properties of the thickener have affected its melting process.
The dropping point increased with the introduction of hexagonal boron nitride into the greases, regardless of its concentration and granulation. The increase in values for lithium greases ranged from 6 °C to approximately 12 °C, which was more significant than for calcium greases, for which it was approximately 0.3 °C to 2.5 °C. In the case of calcium grease, it can be reasonably assumed that the observed effect is insignificant, given that the results compared are within the normative precision of the method.
Larger dropping point values were achieved for greases with additive A, which had a much smaller granularity than additive B and a significant proportion of nanoparticle fractions (Fig. 5, Table 1). This was consistent with the conclusions of the aforementioned work [14] on the effect of h-BN granulation on the dropping point values of greases. In the case of sample A, the highest dropping point values were achieved with a 5% h-BN content. However, in the case of calcium grease, the difference was insignificant, within the limit of the standard deviation. A slight difference of approximately 2 °C was observed between the dropping points of the calcium greases with additives A and B. A comparable difference was observed between the LA3 and LB3 lithium greases.
The high temperature resulted in a weakening of the microstructure of the greases. The dropping point of the grease was mainly a result of the thickener melting and was thus characteristic of the type of base grease. The dispersion of h-BN particles in the grease has contributed to an increase in the dropping point of the greases. This phenomenon was particularly evident in the case of the particles of additive A, which may have compacted the weakened network of grease subjected to heating. Concurrently, the particles of additive A particles did not induce any deformation of the thickener fibres, in contrast to the particles of additive B particles (Fig. 7). This may have influenced the slightly higher dropping point values obtained for greases containing additive A. In addition, particles (particularly nanoparticles) dispersed in the oil phase may also have contributed to the dropping point value and increased the effective viscosity of the base oil. The smaller particles present in the greases in which the hexagonal boron nitride derived from sample A was dispersed, characterised by a large specific surface area and a large total pore volume (Table 1), combined with the particles of the base greases with greater ease, so that the liquefaction of such a grease under high-temperature conditions was more difficult. Therefore, the dropping point values shown in Fig. 9 increased with decreasing additive granularity and increasing the values of parameters describing the porous structure (Table 1). A similar role of the porous structure of h-BN particles in shaping the dropping point values of greases was predicted in [15]. This is further supported by the fact that hexagonal boron nitride is a material with high thermal stability. Additionally, it exhibits excellent thermal conductivity, which may have had a beneficial impact on the distribution of heat within the grease sample subjected to heating.

3.4 Consistency and Mechanical Stability

The values of worked penetration and prolonged worked penetration are presented in Fig. 10. As a consequence of the prolonged shear stress acting on the grease (prolonged work lasted for nearly 167 min), the values of the number of penetrations were higher than those observed during working in 60 cycles, which lasted for one minute.
Fig. 10
Penetration values: a lithium greases, b calcium greases
Bild vergrößern
The penetration number values determined at 25 °C were used to assign the greases to NLGI consistency classes (Table 2). Each of the calcium greases was classified in class four, where the penetration number values should be in the range of 175–205 units. The L and L3 greases were assigned to class two. In contrast, the LA5 and LB3 greases exhibited penetration numbers that exceeded the standard classification values. However, according to the NLGI indications, they can be considered to belong to the 1.5 classification, which describes greases with penetration numbers between classes 1 and 2.
Table 2
Consistency classes of lithium and calcium greases
Sample
L
LA3
LA5
LB3
C
CA3
CA5
CB3
Worked penetration P60 at 25 °C [10–1 mm]
287
294
296
297
193
195
195
198
NLGI number
2
2
1.5
1.5
4
4
4
4
Greater penetration values were observed for lithium greases, indicating a reduced resistance to mechanical impact compared to calcium greases. This can be attributed, among other things, to the distinct spatial structure of both types of greases (Fig. 7). The fibres of the thickener in calcium greases exhibited greater aggregation, resulting in a more robust spatial network that exhibited enhanced resistance to mechanical deformation. It is also possible that this was due to the concentration of the thickener.
The worked penetration increased by 7 to 10 units for lithium greases and by 2 to 5 units for calcium greases following the application of hexagonal boron nitride (h-BN). The observed differences in calcium greases were within the established limits of repeatability for the method, indicating that the impact of h-BN on the consistency of calcium grease is likely to be minimal. Conversely, the opposite trend was observed for prolonged worked penetration. The values obtained for greases with h-BN content were found to be lower than those for base greases, by 3 to 9 units for lithium greases and 1 to 8 units for calcium greases, respectively.
It is probable that during the mechanical mixing of the greases with powdered h-BN, alterations occurred in the spatial structure of the base greases. This could have been due to the thixotropic nature of the greases. Under shear induced by mechanical mixing, the structural viscosity of the greases decreased. Under such conditions, hexagonal boron nitride particles were deposited between the fibres of the thickener. Since the structure of the shear-altered greases is only reproducible to a certain extent, the greases prepared in this way did not return to their original consistency. This is indicated by the penetration values obtained for greases with h-BN after 60 cycles (Fig. 10). During prolonged working of the base grease, its spatial structure was weakened, which was related to the weakening of the interaction between metallic soap fibres. Consequently, the values of the number of penetrations increased in comparison to those recorded after 60 double strokes (Fig. 10). The effect of mechanical interaction on the consistency of the grease was reduced as a result of the dispersion of h-BN in the base greases. During prolonged kneading, the h-BN particles were able to increase the density of the grease's spatial network, thus increasing its resistance to mechanical deformation. Consequently, the incorporation of hexagonal boron nitride into lithium and calcium greases resulted in enhanced mechanical stability (Fig. 11).
Fig. 11
Mechanical stability of the greases
Bild vergrößern
Greater resistance to shear stress was demonstrated by calcium greases, with a change in penetration number indicating resistance to mechanical deformation of 7 to 17 units. For lithium greases, this figure was 11 to 29 units. This may have been related to the more compact consistency of the base calcium grease associated with the density of the thickener fibres (Fig. 7), which showed a P60 penetration number 94 units lower than that of the base lithium grease (Fig. 10). Among lithium and calcium greases, those with 5% h-BN derived from sample A exhibited the highest mechanical stability. As with thermal stability, the role of the physical and chemical properties of hexagonal boron nitride was also observed in the mechanical stability parameters. The additive containing nanoparticles (A) demonstrated lower worked penetration values following kneading at 60 cycles and 10,000 cycles. The particles, with an average size of 130 nm and a high adsorption capacity, were adsorbed to the fibres of thickeners. In addition, such small particles were dispersed in large numbers in the oil phase. The densification of the grease structure increased its resistance to prolonged mechanical deformation. Simultaneously, the additive A particles did not cause deformation of the soap fibre network. These factors had a positive effect on the mechanical stability of the greases into which they were introduced. Additive B, which contains particles with an average size of 6985 nm and lower adsorption capacity than additive A, demonstrated a less pronounced effect on the mechanical stability of the greases. This could also have been the result of local network deformation caused by the particles of this additive, which weakened the grease structure formed by the interaction of base oil and thickener. However, greases containing these h-BN particles demonstrated greater mechanical stability than base greases.

4 Conclusion

The article determines the effect of hexagonal boron nitride of different granularity on the structure, and thermal and mechanical stability of the greases into which it was introduced. After analysing the results of the implemented research programme, it was found that
(1)
the effect of hexagonal boron nitride on the performance properties of greases was determined by the type of thickener. It was observed that smaller changes in the values of dropping point, worked penetration and prolonged worked penetration were recorded for calcium greases in which the thickener was more aggregated. The results obtained for calcium greases were generally within the repeatability of the methods of these tests;
 
(2)
additive A, characterised by a smaller granularity and a more extended porous structure, applied at a concentration of 5%, caused the largest increase in the dropping point of the base greases, amounting to 12 °C in lithium grease and 2.5 °C in calcium grease;
 
(3)
the smallest changes in penetration, indicative of the grease's mechanical stability, were recorded for greases containing 5% h-BN A. They amounted to 11 units of penetration number in lithium grease and 7 units in calcium grease;
 
(4)
hexagonal boron nitride particles were deposited in the existing structure of greases formed by thickening the base oil. How such particles were deposited depended on their size and adsorption capacity. The dispersion of hexagonal boron nitride particles in greases resulted in an increase in their resistance to deformation due to prolonged shear stresses (prolonged worked penetration) and an increase in their resistance to high-temperature operation; and
 
(5)
the presence in the spatial network of greases of particles with significantly smaller sizes, a higher proportion of nanoparticle fractions and greater adsorption capacities (sample A) increased their resistance to high temperature, which was associated with a thickening of the network and more difficult escape of oil particles from it. Such particles also proved to be an effective additive, increasing the resistance of lithium and calcium greases to long-term mechanical deformation.
 

Declarations

Competing Interests

The authors declare no competing interests.
Open Access This article is licensed under a Creative Commons Attribution 4.0 International License, which permits use, sharing, adaptation, distribution and reproduction in any medium or format, as long as you give appropriate credit to the original author(s) and the source, provide a link to the Creative Commons licence, and indicate if changes were made. The images or other third party material in this article are included in the article's Creative Commons licence, unless indicated otherwise in a credit line to the material. If material is not included in the article's Creative Commons licence and your intended use is not permitted by statutory regulation or exceeds the permitted use, you will need to obtain permission directly from the copyright holder. To view a copy of this licence, visit http://creativecommons.org/licenses/by/4.0/.

Publisher's Note

Springer Nature remains neutral with regard to jurisdictional claims in published maps and institutional affiliations.
Download
Titel
Effect of Nanoparticles and Microparticles of Hexagonal Boron Nitride on Structure, Thermal and Mechanical Stability of Lithium and Calcium Greases
Verfasst von
Szymon Senyk
Krzysztof Gocman
Marta Skolniak
Tomasz Białecki
Tadeusz Kałdoński
Publikationsdatum
01.12.2024
Verlag
Springer US
Erschienen in
Tribology Letters / Ausgabe 4/2024
Print ISSN: 1023-8883
Elektronische ISSN: 1573-2711
DOI
https://doi.org/10.1007/s11249-024-01912-x
1.
Zurück zum Zitat Senyk, S., Chodkiewicz, A., Gocman, K., Szczęśniak, B., Kałdoński, T.: Hexagonal nano and micro boron nitride: properties and lubrication applications. Materials (2022). https://doi.org/10.3390/ma15030955CrossRefPubMedPubMedCentral
2.
Zurück zum Zitat Kałdoński, T.: Tribological applications of boron nitride (in Polish). Military University of Technology, Warsaw (2006)
3.
Zurück zum Zitat Reeves, C.J., Menezes, P.L., Lovell, M.R., Jen, T.C.: Tribology of solid lubricants. In: Menezes, P.L., Nosonovsky, M., Ingole, S.P., Kailas, S.V., Lovell, M.R. (eds.) Tribology for Scientists and Engineers: From Basics to Advanced Concepts, pp. 447–494. Springer, New York (2013)CrossRef
4.
Zurück zum Zitat Wang, J., Ma, F., Sun, M.: Graphene, hexagonal boron nitride, and their heterostructures: properties and applications. Mater. Today Phys. (2017). https://doi.org/10.1016/j.mtphys.2017.07.001CrossRef
5.
Zurück zum Zitat Kimura, Y., Wakabayashi, T., Okada, K., Wada, T., Nishikawa, H.: Boron nitride as a lubricant additive. Wear (1999). https://doi.org/10.1016/S0043-1648(99)00146-5CrossRef
6.
Zurück zum Zitat Yan, C., Zeng, Q., Hao, Y., Xu, Y., Zhou, M.: Friction-induced hardening behaviors and tribological properties of 60NiTi alloy lubricated by lithium grease containing nano-BN and MoS2. Tribol. Trans. (2019). https://doi.org/10.1080/10402004.2019.1619889CrossRef
7.
Zurück zum Zitat Sahoo, R.R., Biswas, S.K.: Effect of layered MoS2 nanoparticles on the frictional behavior and microstructure of lubricating greases. Tribol. Lett. 53, 157–171 (2014). https://doi.org/10.1007/s11249-013-0253-4CrossRef
8.
Zurück zum Zitat Chkhartishvili, L., Tabatadze, G., Nackebia, D., Bzhalava, T., Kalandadze, I.: Hexagonal boron nitride as a solid lubricant additive (an overview). Nano Studies 14, 91–98 (2016)
9.
Zurück zum Zitat Lipp, A., Schwetz, K.A., Hunold, K.: Hexagonal boron nitride: and applications fabrication. Properties (1989). https://doi.org/10.1016/0955-2219(89)90003-4CrossRef
10.
Zurück zum Zitat Radomski, J., Rećko, W.M., Ketling-Szemley, M.: Properties of boron nitride and methods of its preparation (in Polish). Engineering Industry Publishers “WEMA.” (1980)
11.
Zurück zum Zitat Peña-Parás, L., Maldonado-Cortés, D., Taha-Tijerina, J.: Eco-Friendly Nanoparticle Additives for Lubricants and Their Tribological Characterization. In: Handbook of Ecomaterials. pp. 1–21. Springer (2018)
12.
Zurück zum Zitat Guan, Q., Zhang, X.W., He, J., Li, Z., Wei, Y.L., Ren, F.E., Gong, N., Ding, H.H., Wang, W.J.: Effect of WS2 and h-BN nano-additive on extreme pressure and anti-wear properties of semi-fluid lithium base grease. Surf. Technol. 51, 233–242 (2022). https://doi.org/10.16490/j.cnki.issn.1001-3660.2022.08.019CrossRef
13.
Zurück zum Zitat Wen, M.Y., Guo, P., Hui, J.D., Hui, Z.M., Geng, F.: The effect of additives on tribological behaviours in polyurea grease. In: Materials Research Innovations. pp. S5596–S5599. Maney Publishing (2015)
14.
Zurück zum Zitat Kumar, N., Saini, V., Bijwe, J.: Dependency of lithium complex grease on the size of hBN particles for enhanced performance. Tribol. Lett. (2023). https://doi.org/10.1007/s11249-022-01691-3CrossRef
15.
Zurück zum Zitat Wang, T., Li, Z.J., Li, J.B., He, Q.: Impact of boron nitride nanoparticles on the wear property of lithium base grease. J. Mater. Eng. Perform. (2020). https://doi.org/10.1007/s11665-020-05008-0CrossRef
16.
Zurück zum Zitat Pawlak, Z., Kałdoński, T., Lisewski, M., Urbaniak, W., Oloyede, A.: The effect of hexagonal boron nitride additive on the effectiveness of grease-based lubrication of a steel surface. Indus. Lubr. Tribol. 64, 84–89 (2012). https://doi.org/10.1108/00368791211208688CrossRef
17.
Zurück zum Zitat Krawiec, M., Leśniewski, T.: Investigation of lubrication efficiency of lithium grease filled with boron nitride (in Polish). Surface Mining. 82–86 (2013)
18.
Zurück zum Zitat Podgornik, B., Kosec, T., Kocijan, A.: Donik: tribological behaviour and lubrication performance of hexagonal boron nitride (h-BN) as a replacement for graphite in aluminium forming. Tribol. Int. (2015). https://doi.org/10.1016/j.triboint.2014.09.011CrossRef
19.
Zurück zum Zitat Wu, C., Xie, Y., Zhao, H., Yang, H., Li, X., Ni, J.: Effects of hBN and CaCO3 nanoparticles on tribological and vibration properties of polyurea grease on rolling bearing. Tribol. Lett. (2022). https://doi.org/10.1007/s11249-022-01639-7CrossRef
20.
Zurück zum Zitat Jóźwiak, P., Siczek, K.: The research on the influence of the presence of boron nitride in the grease on the resistance to movement of the steering rod pin (in Polish). Archiv. Automot. Eng. 58, 123–137 (2012)
21.
Zurück zum Zitat Torres, H., Podgornik, B., Jovičević-Klug, M., Rodríguez Ripoll, M.: Compatibility of graphite, hBN and graphene with self-lubricating coatings and tool steel for high temperature aluminium forming. Wear (2022). https://doi.org/10.1016/j.wear.2021.204187CrossRef
22.
Zurück zum Zitat Krawiec, S., Krawiec, M., Leśniewski, T.: Evaluation of lubrication efficiency based on wear during variable loads and sliding velocities (in Polish). Tribology 4, 127–136 (2016)CrossRef
23.
Zurück zum Zitat Gorbacheva, S.N., Yadykova, A.Y., Ilyin, S.O.: Rheological and tribological properties of low-temperature greases based on cellulose acetate butyrate gel. Carbohydr. Polym. (2021). https://doi.org/10.1016/j.carbpol.2021.118509CrossRefPubMed
24.
Zurück zum Zitat Senyk, S., Kałdoński, T., Tribological properties of greases containing hexagonal boron nitride with different granulation (in Polish), Mołdoch-Mendoń, I., Maciąg, K (ed.), Technological solutions of the 21st century - effects and development prospects. Volume 4, TYGIEL Scientific Publishers, Lublin (2023)
25.
Zurück zum Zitat Bhat, S.A., Charoo, M.S.: Formulation and rheology of bio-grease mixed with h-BN nanoparticles. Energy Sour. Part A: Recov. Utiliz. Environ. Effects (2021). https://doi.org/10.1080/15567036.2021.1927250CrossRef
26.
Zurück zum Zitat Roman, C., Valencia, C., Franco, J.M.: AFM and SEM assessment of lubricating grease microstructures: influence of sample preparation protocol, frictional working conditions and composition. Tribol. Lett. (2016). https://doi.org/10.1007/s11249-016-0710-yCrossRef
27.
Zurück zum Zitat Cyriac, F., Lugt, P.M., Bosman, R., Padberg, C.J., Venner, C.H.: Effect of thickener particle geometry and concentration on the grease EHL film thickness at medium speeds. Tribol. Lett. (2016). https://doi.org/10.1007/s11249-015-0633-zCrossRef
28.
Zurück zum Zitat De Laurentis, N., Cann, P., Lugt, P.M., Kadiric, A.: The influence of base oil properties on the friction behaviour of lithium greases in rolling/sliding concentrated contacts. Tribol. Lett. (2017). https://doi.org/10.1007/s11249-017-0908-7CrossRef
29.
Zurück zum Zitat Muller, D., Matta, C., Thijssen, R., binYusof, M.N., van Eijk, M.C.P., Chatra, S.: Novel polymer grease microstructure and its proposed lubrication mechanism in rolling/sliding contacts. Tribol. Int. 110, 278–290 (2017). https://doi.org/10.1016/j.triboint.2017.02.030CrossRef
30.
Zurück zum Zitat Zhang, E., Li, W., Zhao, G., Wang, Z., Wang, X.: A study on microstructure, friction and rheology of four lithium greases formulated with four different base oils. Tribol. Lett. (2021). https://doi.org/10.1007/s11249-021-01469-zCrossRef
31.
Zurück zum Zitat Larsson, E., Westbroek, R., Leckner, J., Jacobson, S., Rudolphi, Å.K.: Grease-lubricated tribological contacts—influence of graphite, graphene oxide and reduced graphene oxide as lubricating additives in lithium complex (LiX)- and polypropylene (PP)-thickened greases. Wear (2021). https://doi.org/10.1016/j.wear.2021.204107CrossRef
32.
Zurück zum Zitat Wu, C., Hong, Y., Ni, J., Teal, P.D., Yao, L., Li, X.: Investigation of mixed hBN/Al2O3 nanoparticles as additives on grease performance in rolling bearing under limited lubricant supply. Colloids Surf A Physicochem Eng Asp (2023). https://doi.org/10.1016/j.colsurfa.2022.130811CrossRef
33.
Zurück zum Zitat Lopez-Sanchez, M.A.: GrainSizeTools: a Python script for grain size analysis and paleopiezometry based on grain size. J. Open Source Softw. (2018). https://doi.org/10.21105/joss.00863CrossRef
34.
Zurück zum Zitat Brunauer, S., Emmett, P.H., Teller, E.: Adsorption of gases in multimolecular layers. J. Am. Chem. Soc. (1938). https://doi.org/10.1021/ja01269a023CrossRef
35.
Zurück zum Zitat Gregg, S.J., Sing, K.S.W., Salzberg, H.W.: Adsorption surface area and porosity. J. Electrochem. Soc. (1967). https://doi.org/10.1149/1.2426447CrossRef
36.
Zurück zum Zitat Jagiello, J., Olivier, J.P.: 2D-NLDFT adsorption models for carbon slit-shaped pores with surface energetical heterogeneity and geometrical corrugation. Carbon (2013). https://doi.org/10.1016/j.carbon.2012.12.011CrossRef
37.
Zurück zum Zitat PN-ISO 6299:2009—Petroleum Products—Determination of Dropping Point of Lubricating Greases (Wide Temperature Range)
38.
Zurück zum Zitat ASTM D 2265-22—Standard Test Method for Dropping Point of Lubricating Grease Over Wide Temperature Range
39.
Zurück zum Zitat ASTM D217-21a—Standard Test Methods for Cone Penetration of Lubricating Grease
40.
Zurück zum Zitat PN-ISO 2137:2021-07—Petroleum Products and Lubricants—Determination of Cone Penetration of Lubricating Greases and Petrolatum

    Marktübersichten

    Die im Laufe eines Jahres in der „adhäsion“ veröffentlichten Marktübersichten helfen Anwendern verschiedenster Branchen, sich einen gezielten Überblick über Lieferantenangebote zu verschaffen. 

    Bildnachweise
    MKVS GbR/© MKVS GbR, Nordson/© Nordson, ViscoTec/© ViscoTec, BCD Chemie GmbH, Merz+Benteli/© Merz+Benteli, Robatech/© Robatech, Ruderer Klebetechnik GmbH, Xometry Europe GmbH/© Xometry Europe GmbH, Atlas Copco/© Atlas Copco, Sika/© Sika, Medmix/© Medmix, Kisling AG/© Kisling AG, Dosmatix GmbH/© Dosmatix GmbH, Innotech GmbH/© Innotech GmbH, Hilger u. Kern GmbH, VDI Logo/© VDI Wissensforum GmbH, Dr. Fritz Faulhaber GmbH & Co. KG/© Dr. Fritz Faulhaber GmbH & Co. KG, ECHTERHAGE HOLDING GMBH&CO.KG - VSE, mta robotics AG/© mta robotics AG, Bühnen, The MathWorks Deutschland GmbH/© The MathWorks Deutschland GmbH, Spie Rodia/© Spie Rodia, Schenker Hydraulik AG/© Schenker Hydraulik AG