Zum Inhalt

Effects of varying oxygen content in suction gas during sintering of iron ore

  • Open Access
  • 13.03.2025
  • Original Paper
Erschienen in:

Aktivieren Sie unsere intelligente Suche, um passende Fachinhalte oder Patente zu finden.

search-config
loading …

Abstract

Der Artikel geht der kritischen Rolle des Sauerstoffgehalts im Sauggas beim Sintern von Eisenerz nach, einem Prozess, der für die Produktion von hochwertigem Sintermaterial für die Stahlproduktion unverzichtbar ist. Es untersucht, wie unterschiedliche Sauerstoffgehalte die Gaszusammensetzung, spezifische Sinterparameter und die allgemeine Qualität des Sinters beeinflussen. Die Studie zeigt, dass die Erhöhung des Sauerstoffgehalts zu schnelleren Flammenfrontgeschwindigkeiten, höheren CO- und CO2-Konzentrationen und einem früheren SO2-Durchbruch führt, die alle den Sinterprozess und die Produktqualität beeinflussen. Die Forschung untersucht auch die Auswirkungen von Sauerstoff auf Temperaturprofile, Schmelzphasenbildung und die Bildung von Schlüsselphasen wie SFCA, die für die Sinterfestigkeit und Produktivität entscheidend sind. Durch eine Reihe akribisch durchgeführter Experimente und theoretischer Berechnungen liefert der Artikel eine detaillierte Analyse, wie der Sauerstoffgehalt optimiert werden kann, um die Sintereffizienz zu steigern, Emissionen zu reduzieren und die Qualität des Endprodukts zu verbessern. Die Ergebnisse bieten wertvolle Einblicke in die Zukunft der Sinterprozesse, insbesondere im Kontext des Übergangs der Stahlindustrie zu nachhaltigeren Praktiken.

Supplementary Information

The online version contains supplementary material available at https://doi.org/10.1007/s42243-024-01432-x.

1 Introduction

Crude steel production continues to record high growth rates to support an increasing population and is about to reach the historic mark of 2.000 Mt (www.worldsteel.org). In addition, the reduction of greenhouse gas emissions in Europe, especially CO2, has become an important issue in recent years as a result of the EU Commission’s Green Deal [1]. Even though European steel companies are endeavoring to switch to direct reduction plants and will do so in the coming years [2], primary steel production in Europe is currently still carried out exclusively in integrated steelworks [3]. The ferriferous feed material, especially for low-grade ores, is mainly produced in sinter plants for the blast furnace [4], with selective waste gas recirculation sintering representing the state of the art [5]. Due to infrastructural limitations, the transition from the blast furnace–basic oxygen furnace route to direct reduction plants can only take place gradually [6, 7], which means that these two production routes will coexist and possible synergies can be exploited. For example, an increased use of oxygen as a by-product of electrolysis is possible. In addition, high-quality iron ores will become scarce [8] or the price will rise due to increased demand, meaning that low-grade ores will also become interesting for direct reduction processes in the future. For these reasons, the sintering process is facing a transformation to meet future challenges and therefore a deeper knowledge of the potential effects of the O2 content in the suction gas varied, for concentration levels below and above 21 vol.%, is essential.
Sintering is a burden treatment process and is used to agglomerate fine-grained ferrous materials such as fine ores, concentrates or waste products from steel mills (e.g., mill scale, blast furnace flue dust) with the addition of fluxes (e.g., limestone) and solid fuels including coke breeze to form clinker, called sinter. Therefore, the granulated raw mixture (green mix) is heated to the point of partial fusion, whereby subsequent solidification takes place following superficial softening, partial melting and slag formation. The required heat is generated by the combustion of the coke breeze. The air or gas suction from top to bottom causes transient temperature profiles to move through the sinter bed in the form of a heat wave. The profiles result from the heat released from the coke breeze combustion and the heat requirements of the calcination processes as well as the formation of the melt phase during the sintering process. In general, the combustion of the coke breeze remains incomplete during the sintering process, as some of the carbon is not completely converted to carbon dioxide. Therefore, it is desirable to optimize the coke breeze burnout, where the O2 content in the suction gas, especially the oxygen partial pressure, has a significant influence on the coke breeze burnout characteristics [9] and combustion rate [10].
Fan et al. [11] investigated the influence of the O2 content in the suction gas in the range from 10 to 21 vol.% on iron ore sintering in smaller sinter pot experiments. The findings show a decrease in productivity, yield and sinter strength with decreasing O2 content from 21 to 16 vol.% and decrease rapidly with further reduction of the O2 content. Furthermore, with decreasing the O2 content in the suction gas, a lower flame front speed in combination with increasingly incomplete coke combustion was observed. The maximum temperature in the sinter bed drops from 1294 to 1200 °C with 21 to 10 vol.% O2, respectively, and explains the decrease in the sinter strength by less amount of melt phase formation. Separate shaft furnace tests have shown an increase in the CO content and a decrease in the CO2 content in the combustion zone with decreasing O2 supply. The enhanced reducing atmosphere in the sintering process leads to a higher magnetite content and progressively lower calcium ferrite content in the sinter product.
The influence of oxygen supply up to 30 vol.% in selective regions of the sinter bed of an iron ore sintering process was investigated by Kang et al. [12] using sinter pot tests. The results show that the enrichment of the O2 concentration ensures effective heat utilization, indicating a rapid combustion of the coke breeze and providing a high temperature level in the investigated sinter bed. Iwami et al. [13] performed sinter pot tests and found that the sintering time was significantly reduced by oxygen enrichment up to 28 vol.% due to the increase in combustion rate, while the sinter yield and strength remained constant. Lovel et al. [14] assumed that an increasing oxygen availability prevents the gasification of C with CO2 due to an enriched oxygen potential in the off-gas. Hence, CO levels close to zero will coincidently increase the available heat for sintering, improve the fuel utilization and thus increase the flame front speed.
A varying O2 content in the suction gas also affects phase formation during iron ore sintering, which in turn has a significant influence on the sinter strength. Laboratory sinter trials carried out [15] lead to increasing magnetite and decreasing hematite contents as the partial pressure of oxygen decreases in the heating stage. In the air cooling stage, magnetite reacts at higher oxygen potential to form reoxidized hematite, whereas magnetite produced in the heating stage remains at the lower oxygen potential [16]. A significant effect of the oxygen partial pressure on the formation of silico ferrite of calcium and aluminum (SFCA-I and SFCA) was demonstrated by Webster et al. [17] using in situ X-ray diffraction experiments, with the formation of the desired SFCA-I not occurring at too low oxygen partial pressure. Contrariwise, too high oxygen partial pressure will reduce the thermal stability range of SFCA-I prior to SFCA formation, as the conversion of hematite into magnetite is increasingly suppressed [18]. In addition, Wang et al. [18] described the enhanced content of SFCA phase by increasing sintering temperature.
The aim of this paper is, based on the above-mentioned facts, to investigate the influence of a varying O2 content in the suction gas on the sintering process, in particular the off-gas composition, specific sintering parameters as well as the sinter quality. It is intended to explore systematically how the oxygen utilization behaves as a function of the O2 supply in the suction gas and how this affects the carbon burnout and the off-gas composition regarding the CO/CO2 ratio, NO formation and SO2 release. The influence on the flame front speed is also considered. In addition, the temperature profiles in the sinter bed are used to evaluate the melt phase formation and its effect on the yield, the returns, the loss of mass and the sinter strength. Supplementary chemical analyses of the sintered material as well as those of the raw materials and the raw mixture are used to complete the evaluation of the experimental results.

2 Theoretical calculation of combustion rate

To ensure the formation of the melt phase during sintering, sufficient energy must be provided, primarily through combustion of the coke breeze. If the temperature distribution through the sinter bed is considered from the drying zone to the sinter cooling zone, the following endothermic energy terms must be taken into account [19]: drying the green mix, separation of the hydrate water, calcination and reduction, melt phase formation, final heating of the suction gas in the combustion zone, and preheating of the suction gas in the oxidation and the sinter cooling zone. In addition to the combustion of the coke breeze, re-oxidation of the Fe(II) is an exothermic energy term that supports the preheating of the suction gas. The coke combustion rate \({r}_{\text{c}}\) depends on the oxygen partial pressure \({p}_{{\text{O}}_{2}}\) in the suction gas and can be described exemplarily with the intrinsic form according to Smoot and Smith [10]:
$$r_{{{\text{c}},{\text{int}}}} = k_{1} {\text{exp}}\left({- E_{\text{a}} /({RT_{\text{s}}}) } \right)p_{{{\text{O}}_{2} }}$$
(1)
where \({r}_{\text{c},\text{ int}}\) is coke combustion rate; \({k}_{1}\) is constant parameter, 8.6×102 kg m−2 s−1 kPa−1; \({E}_{\text{a}}\) is activation energy; R is molar gas constant; and \({T}_{\text{s}}\) is solid temperature.
\({E}_{\text{a}}\) of the coke breeze is calculated on the basis of thermogravimetric analysis using the Coats–Redfern method [20, 21]. \({p}_{{\text{O}}_{2}}\) results from the O2 content in the suction gas and the average ambient pressure during the time of the experiments.
Figure 1 shows the theoretical coke conversion rate as a function of \({T}_{\text{s}}\) for the tested O2 concentrations in the suction gas. In addition, the theoretical maximum conversion rate of the individual sinter series is shown in relation to the average peak temperature in the sinter bed (see additionally Figs. S7 and S8).
Fig. 1
Surface–specific coke conversion as a function of solid temperature for different O2 contents in suction gas. Red line describes theoretical maximum coke conversion rate of experimentally determined averaged peak temperatures reached in sinter bed; insert demonstrates correlation between surface–specific coke conversion and O2 content at experimentally determined peak temperatures (Tpeak)
Bild vergrößern
The rate estimations in Fig. 1 show a progressive coke conversion of reactive surface per m2 with increased O2 supply. Taking into account the experimentally determined peak temperatures in the sinter bed, which are discussed in more detail in Sect. 4, the coke conversion is even lower. However, when interpreting the experimental results below, it must also be taken into account that an increasing amount of liquid formation during coke breeze combustion might act as a barrier to oxygen diffusion and thus can reduce the coke combustion rate [22].

3 Material and methods

The described sintering experiments were carried out using a miniaturized laboratory-scale sinter test facility (SASITE) in combination with a synthetic gas mixing and processing unit. A schematic view of the experimental setup is provided in Figs. 2 and S1 in the supplementary material. The link between the described laboratory-scale sinter test facility and an industrial sintering belt was established via the kinetic relation of the heat wave through the column to the temperature profile in the moving sinter bed by Tsioutsios et al. [23]. Laboratory-scale sintering enables a flexible variation of experimental parameters for establishing fundamental understanding in order to identify feasible optimizations for industrial sintering processes [24].
Fig. 2
SASITE with oxyfuel burner for ignition period (a) and synthetic gas processing and mixing unit for subsequent sintering period (b). PIR—Pressure indicator registration
Bild vergrößern
The sinter test facility consists of a refractory ceramic tube (alumina) with a precise seating to the bottom and a press fit via a flange on the top, each with an alumina pad for airtight sealing (see Figs. S2 and S3a and S3b). The refractory ceramic tube can be filled with a sinter bed of 80 mm in diameter and 390 mm in bed height on a carrier disk and the hearth layer at the bottom. Up to seven thermocouples (T1–T7, type N) can be placed equally distributed over the height of the sinter bed. These measuring points can additionally be used for pressure loss measurements before (cold flow permeability) and after the sintering experiments. Another thermocouple (T8, type K) is located directly under the carrier disk. In addition, the setup comprised an oxyfuel burner (Oxipyr P-2035, Messer Austria GmbH), an off-gas suction system (rotary vane vacuum pump) with integrated gas analysis (O2, CO, CO2, SO2 and NO) and a control and data acquisition system. The off-gas components CO, CO2, SO2 and NO are measured by a non-dispersive infrared sensor (NDIR), with a measuring range of 0–10 vol.% for CO, 0–100 vol.% for CO2, 0–1 vol.% for SO2 and 0–2500 × 10−4 vol.% for NO. Residual O2 in the off-gas is measured electrochemically with a range of 0–25 vol.%.
The gas mixing unit (DV4-S-MK-T-2202–1, aDROP Feuchtemesstechnik GmbH, Germany) is used for the production of the synthetic gas mixtures and mainly consists of several mass flow controllers (EL-FLOW and LOW-∆P-FLOW, Bronkhorst High-Tech B.V.) for O2, N2, CO, CO2, NO, SO2 and others, as well as a Coriolis mass flow controller (CORI-FLOW M14V14I, Bronkhorst High-Tech B.V.) for H2O in combination with a subsequent evaporator unit. The purity of the gases as well as the concentration variation range at a gas flow of up to 15 m3 h−1 is shown in Table 1. The individual gases and the steam are combined and enter a mixing and heating chamber. The gas mixture leaving the gas mixing station enters the gas hood via a heated transfer line. The gas hood is also heated and linearly increases the inner diameter from the transfer line to the same size as the sinter column. A packing of alumina spheres in the gas hood, held by a perforated plate, leads to a homogeneous distribution of the gas mixture over the sintering surface. Centric and precise positioning of the gas hood on the sinter bed (see Fig. S3c) in combination with an operating mode in slight overpressure, which is monitored by a pressure measurement in the gas hood directly above the sintering surface, prevents the entry of ambient air. Measurements have shown that the maximum proportion of ambient air is 1.5%. During ignition period, the gas mixture is fed into the technical center exhaust system via a three-way valve above the gas hood to ensure a representative gas mixture already when the gas hood is placed on the sinter bed.
Table 1
Concentration variation range and purity of individual gas components at a gas flow of up to 15 m3 h−1 for synthetic gas mixtures
Gas component
Concentration variation
Purity/vol.%
Range
Unit
O2
0–30
vol.%
99.95
CO
0–3
vol.%
99.5
CO2
0–12
vol.%
99.5
SO2
0–3000
mg m−3
99.98
NO
0–600
mg m−3
99.5
N2
70–90
vol.%
99.95
Steam
0–14
vol.%
99.95
The raw materials for the granulated raw mixture (green mix) were directly obtained from the industrial project partner. The particle size distributions of the individual raw materials as well as of the raw mixture are illustrated in Fig. S4. To ensure homogeneous mixing quality throughout the extensive series of sintering experiments, the raw materials are mixed in an Eirich Intensive Mixer (RT05) according to a defined recipe (see Table 2) with a moisture content just below the target moisture of 7.10 wt.%. 60 kg green mix is produced per run, with the Eirich intensive mixer set as follows: curl speed of 500 r/min, speed “slow” of the mixing pan, synchronization of curl and mixing pan. The components are mixed in the initial state for 15 s and, after the addition of water to adjust the moisture content, for a further 105 s. The granulated raw mixture is then packed in airtight buckets of approximately 20 kg each. A sinter series consists of three individual sintering experiments. Therefore, the green mix from one bucket is used for each sinter series in order to exclude any influence of the mixing on the three single experiments. Immediately before each sinter series, the moisture content of the green mix from one bucket is finally adjusted to a target moisture of 7.10 wt.% by adding water before mixing with a spiral stirrer for 45 s, whereby the moisture content of 7.10 wt.% was determined experimentally in advance to ensure optimum green bed permeability while preserving the stability of the granulate structure. Moreover, the three sintering experiments are carried out immediately one after the other. The green mix preparation was developed and intensively tested in advance, so that the same behavior in terms of cold flow permeability and bulk density can be achieved with industrial green mix. In summary, the above parameters ensure that the green mix produced on the laboratory scale has the same composition and properties as an industrial green mix.
Table 2
Recipe of raw mixture for sinter series (wt.%)
Iron ore
64.27
Returns
22.54
Coke breeze
4.94
Limestone
8.25
Target moisture (based on moisture mix)
7.10
The results of the chemical analyses of the raw materials as well as the mean value of the raw mixture from the Eirich mixing runs A–D are shown in Table 3. Samples are ground to be less than 63 µm for analyses using a vibrating disk mill. The loss on ignition (LOI) is measured at 1050 °C, and total C is determined using Leco. Total iron (TFe) and Fe2+ are determined by Zimmermann Reinhardt titration, and Fe3+, FeO and Fe2O3 are subsequently calculated. To analyze CaO, MgO and Al2O3, sulfuric acid digestion is performed and subsequently analyzed by inductively coupled plasma (ICP). SiO2 is analyzed by ICP after lithium tetraborate digestion and differential weighing. The results of the coke breeze analysis in Table 4 show a fixed carbon content (Cfix) of 84.39 wt.% and an ash content of 13.90 wt.%, on dry mass bases.
Table 3
Chemical composition of raw materials (iron ore, returns and limestone) and raw mixtures from Eirich mixing runs A–D (wt.%)
Component
Method
Iron ore
Returns
Limestone
Mean value green mix
Eirich mixer runs A–D
LOI (1050)
DIN 51081
2.1
0.1
44.2
9.2 ± 0.8
C
Leco1)
0.1
0.3
12.3
5.3 ± 0.6
S
Leco1)
0.0
0.2
0.0
 
SiO2
AW 24
5.5
5.4
0.5
4.3 ± 0.7
CaO
ÖNORM EN 16170
0.1
12.6
45.5
7.5 ± 0.0
MgO
ÖNORM EN 16170
0.2
3.8
8.9
1.6 ± 0.1
Al2O3
ÖNORM EN 16170
1.2
1.5
0.2
1.4 ± 0.2
TFe
Titrimetric2)
63.7
52.1
 
53.5 ± 0.1
Fe2+
Titrimetric2)
1.1
3.0
  
Fe3+
Calculated
62.5
49.1
 
53.5 ± 0.1
FeO
Calculated
1.4
3.8
  
Fe2O3
Calculated
89.3
70.2
 
76.4 ± 0.1
1)Inductive melting and determination of CO2 and SO2 in an oxygen carrier stream; 2)by Zimmermann Reinhardt method
Table 4
Chemical composition of coke breeze
Parameter
Test standard
Raw
Dry
Dry and ash-free
Moisture/wt.%
DIN 51718
8.3
  
Ash/wt.%
DIN 51719
12.8
13.9
 
Fixed carbon/wt.%
DIN 51720
77.4
84.4
98.0
Volatile components/wt.%
DIN 51720
1.6
1.7
2.0
Carbon/wt.%
DIN 51732
77.3
84.3
97.9
Hydrogen/wt.%
DIN 51733
0.3
0.3
0.3
Nitrogen/wt.%
DIN 51734
1.1
1.2
1.4
Total sulfur/wt.%
DIN 51724-2
0.6
0.7
0.8
Caloric value/(kJ kg−1)
DIN 51900
24,940
27,193
31,581
Calorific value/(kJ kg−1)
DIN 51900
24,676
27,126
31,509
Charging of the ceramic tube starts with a hearth layer of 150 g sintered material with a particle size between 5 and 9 mm. The residual height of 390 ± 1 mm is successively charged with green mix. At selected measuring points, thermocouples are embedded carefully in the granular packing and protected by thin-walled alumina tubes. A separate refractory ceramic tube is used for each sintering experiment in order to exclude influences from potential contamination during prior experiments. Before the sintering experiment, the bulk density and subsequently the green bed pressure loss (cold flow permeability) are measured (see Table 5).
Table 5
Gas composition of sinter series, bulk density, initial moisture content of green mix and green bed pressure loss (cold flow permeability)
O2/vol.%
N2/vol.%
Bulk density1)/(kg m−3)
Initial moisture content2)/wt.%
Green bed pressure loss3)/(Pa m−1)
7
93
1790
7.2 ± 0.1
6120
8
92
1801
7.2 ± 0.0
6820
9
91
1790 ± 13
7.2 ± 0.1
6730 ± 600
10
90
1816 ± 23
7.1 ± 0.1
7730 ± 400
11
89
1806 ± 17
7.1 ± 0.1
6680 ± 750
12
88
1829 ± 10
7.0 ± 0.1
6860 ± 350
15
85
1832 ± 16
7.2 ± 0.1
7570 ± 910
18
82
1825 ± 14
7.3 ± 0.1
7820 ± 600
21
79
1802 ± 9
7.5 ± 0.1
7520 ± 240
24
76
1809 ± 11
7.1 ± 0.1
7620 ± 30
27
73
1799 ± 19
7.2 ± 0.1
7480 ± 490
30
70
1790 ± 22
7.2 ± 0.2
6840 ± 240
1)Bulk density is determined in sinter column before each sintering experiment; 2)moisture content is determined three times for each sintering experiment based on total moisture mass; 3)averaged values over measuring points of sinter bed normalized to 1 m and green bed pressure loss is measured prior to sintering experiment with a superficial velocity of 0.83 ± 0.02 m s−1 (at 25 °C)
Ignition period of the oxyfuel burner lasts for 60 s. After ignition, a constant superficial velocity of 0.81 ± 0.02 m s−1 (at 25 °C) is used until the temperature under the hearth layer begins to rise and the burn-through point is reached. This implies constant suction gas flow within the time period after ignition until reaching the burn-through point. The gas hood is placed on the sinter bed after the end of ignition for 60 s and removed when the burn-through point is reached. The burn-through point, equating with the sintering time, is defined by the peak temperature under the hearth layer. When the temperature under the hearth layer has dropped below 100 °C, an additional permeability test for the sinter product is conducted. The sintered material is then carefully dismounted from the ceramic tube, sieved with a 5-mm sieve and weighed, and the strength of the sinter with a particle size larger than 5 mm is measured within 24 h after sintering with the shutter test (JIS-M 8711). Both the > 5 mm and < 5 mm fractions (including the returns) after the shutter test are packaged in sealed sample bags for further chemical analysis.
In the presented series of experiments, the oxygen content in the synthetic suction gas is varied between 7 and 30 vol.%. This means that the synthetic suction gas consists only of different proportions of oxygen and nitrogen. The temperature of the suction gas is 25 ± 2 °C for all experiments. Table 5 shows the corresponding suction gas compositions of the sintering experiments carried out as well as the results of the bulk density, the initial moisture of the green mix and the green bed pressure loss (cold flow permeability).
To determine the influence of the different O2 contents in the suction gas on the produced sinter, samples of the sinter fraction > 5 mm were analyzed for LOI, C, SiO2, CaO, MgO, Al2O3, TFe, FeO and Fe2O3, and samples of the fraction < 5 mm were analyzed for LOI and C. Samples of the > 5 mm and < 5 mm fractions from one representative sintering experiment were analyzed from each sinter series. The analysis methods are the same as those used for the raw materials and the raw mixtures described above. Leco method of carbon analysis alone does not permit the discrimination between elemental and carbonate-bound carbon. In addition, selected samples are therefore analyzed using simultaneous thermogravimetric analysis (STA). These analyses are conducted in both an inert and a dry air atmosphere in order to distinguish between elemental and carbonate-bound carbon.

4 Results and discussion

4.1 Off-gas analysis

Figure 3 shows exemplary trend of the off-gas temperature directly under the hearth layer as well as the off-gas components (SO2, CO, CO2, NO and residual O2) of the sinter series with 21 vol.% O2 in the suction gas. Adiabatic saturation temperature is reached approximately 30 s after the end of ignition for approximately 30 s, as indicated in the off-gas temperature profile, due to the formation of the condensation zone. The peak values of CO, CO2 and NO at the beginning of the sintering experiments can be attributed solely to the emissions of the ignition burner and are not considered as a casual feature of the sinter flame front. A comprehensive and detailed presentation of the off-gas temperature and species profiles for all sinter series can be found in the supplementary material, in Figs. S5 and S6.
Fig. 3
Temperature and species profiles for sinter series with 21 vol.% O2 in suction gas with three repeated test running. Temporal evolution of off-gas temperature (Toff-gas) is indicated directly under hearth layer as well as trend of off-gas components (SO2, CO, CO2, NO and residual O2); yellowish area marks individual time interval used for averaging off-gas concentrations of residual O2, CO and CO2 in Table 6; dark gray lines show pressure loss across sinter bed (psinter packing)
Bild vergrößern
With increasing O2 supply at constant gas flow, the burn-through point is reached earlier, after 981 ± 20 s at 12 vol.% O2 and 754 ± 16 s at 30 vol.% O2 (Figs. S5 and S6 and Table 7). This trend is accompanied by increasing CO and CO2 emissions. Furthermore, the SO2 breakthrough starts earlier with increasing the O2 content in the suction gas due to enhanced dry-out of the condensation zone. In addition, SO2 is released over a shorter period of time, which leads to higher SO2 peak concentrations.
The results of the stationary gas hood sintering periods in Table 6 (yellowish area in Fig. 3) indicate that both the average and the total amounts of consumed O2 increase with increasing the O2 contents in the suction gas. A higher average O2 consumption confirms also a more pronounced flame front and leads to a shorter sintering time and thus to a higher heat transfer front speed, increasing more or less linearly from 2.39 ± 0.05 cm min−1 at 12 vol.% O2 to 3.10 ± 0.07 cm min−1 at 30 vol.% O2 in the suction gas.
Table 6
Averaged off-gas composition and averaged gas flow through sinter bed during stationary period of gas hood sintering
O2 content in suction gas/vol.%
Duration of averaging off-gas values during stationary gas hood sintering1)/s
Average CO1)/vol.%
Average CO21)/vol.%
\(\text{CO}/{\text{CO}}_{2}\) ratio
Average residual O21)/vol.%
Average gas flow1)/(m3 h−1)
Average consumed O21)/vol.%
Total amount of consumed O2 during stationary gas hood sintering1)/g
7
1164
0.5 ± 0.2
3.5 ± 0.8
\(1/7.3\)
4.9 ± 0.6
12.4 ± 1.0
2.2
123
8
1040
0.6 ± 0.2
4.1 ± 1.0
\(1/7.0\)
5.1 ± 0.7
12.4 ± 1.1
2.9
149
9
796
1.2 ± 0.5
5.9 ± 1.4
\(1/4.9\)
4.5 ± 1.4
12.5 ± 0.7
4.5
177
10
811
1.4 ± 0.5
6.6 ± 1.2
\(1/4.7\)
4.9 ± 1.3
12.2 ± 0.5
5.1
201
11
712
1.6 ± 0.4
7.7 ± 1.3
\(1/4.7\)
5.0 ± 1.3
12.2 ± 0.9
6.1
208
12
666
2.2 ± 0.3
8.9 ± 0.9
\(1/4.1\)
4.7 ± 0.9
12.4 ± 1.0
7.3
240
15
634
2.6 ± 0.5
10.1 ± 1.1
\(1/3.8\)
6.2 ± 1.1
12.3 ± 0.9
8.8
271
18
560
3.0 ± 0.4
10.9 ± 0.6
\(1/3.6\)
8.2 ± 0.5
12.3 ± 0.6
9.8
269
21
551
3.1 ± 0.5
12.4 ± 0.7
\(1/4.0\)
9.4 ± 0.7
12.3 ± 0.5
11.6
310
24
500
3.5 ± 0.4
12.9 ± 0.7
\(1/3.7\)
11.1 ± 0.7
12.4 ± 0.8
12.9
316
27
490
3.4 ± 0.6
14.1 ± 1.1
\(1/4.2\)
12.8 ± 1.0
12.3 ± 0.7
14.2
339
30
427
3.5 ± 0.6
15.8 ± 1.2
\(1/4.6\)
14.0 ± 1.1
12.4 ± 0.7
16.0
336
1)Sintering time period was measured with start of gas hood sintering (60 s after end of ignition) until stationary sintering ends, which is indicated by rise of residual O2 in off-gas or CO and CO2 begins to fall (see complementary individual yellowish area marked in Figs. 3, S5 and S6)
In Fig. 4, the cumulated mass of the off-gas components (CO, CO2, NO and SO2) over the total test period time of 1200 s is depicted for the sinter series at 9–30 vol.% O2 and 1500 s for the sinter series at 7 and 8 vol.% O2 in the suction gas. The summed CO values are still stable from 12 to 30 vol.% O2 and decrease continuously below 12 vol.% O2 with a more rapid decrease from 9 to 8 vol.% O2. The summed CO2 values fall slightly from 609 ± 33 to 527 ± 22 g CO2 at 30–12 vol.% O2, respectively, and further decrease sharply to 364 g CO2 at 7 vol.% O2 in the suction gas. There is also a continuous decrease in the summed NO values in the range from 2359 ± 53 and 2036 ± 72 mg NO at 30–15 vol.% O2, with a sharp decrease below 15 vol.% O2 to 1270 mg NO at 7 vol.% O2 in the suction gas, due to a less oxidizing atmosphere in the flame front as well as in the off-gas. The summed SO2 values show a similar trend to the NO values, decreasing slightly from 690 ± 46 to 537 ± 54 mg SO2 in the range from 30 to 15 vol.% O2 with a quite clear linear drop below 15 vol.% O2 to 73 mg SO2 at 7 vol.% O2 in the suction gas.
Table 7
Total sintering time (including ignition period) of conducted sinter series and accumulated off-gas volume
O2 content in suction gas/vol.%
Total sintering time from ignition to burn-through point/s
Total off-gas volume from ignition to burn-through point/m3 (101.325 Pa, 0 °C)
7
1390
4.66
8
1309
4.41
9
1075 ± 22
3.64 ± 0.11
10
1078 ± 16
3.49 ± 0.06
11
1039 ± 35
3.27 ± 0.11
12
981 ± 20
3.28 ± 0.08
15
919 ± 37
3.04 ± 0.07
18
874 ± 21
2.92 ± 0.08
21
840 ± 21
2.80 ± 0.08
24
832 ± 31
2.79 ± 0.11
27
779 ± 11
2.61 ± 0.05
30
754 ± 16
2.55 ± 0.08
Fig. 4
Cumulated masses of off-gas components NO, SO2, CO and CO2 over total test period of 1200 s for sinter series at 9–30 vol.% O2 and 1500 s for sinter series at 7 and 8 vol.% O2 in suction gas with error bars included for all series with exception of series with 7 and 8 vol.% O2
Bild vergrößern
Due to the faster heat transfer front speed with increasing O2 supply and thereupon decreasing total off-gas volume (see the last column in Table 7), the averaged off-gas concentrations for CO, CO2, NO and SO2 are shown in Fig. 5. CO2 increases from 161 ± 3 to 239 ± 20 g m−3 at 12–30 vol.% O2 in the suction gas. Even CO increases slightly from 28 ± 1 to 37 ± 4 g m−3 in the same oxygen concentration range. The NO amount rises sharply from 714 ± 27 to 925 ± 50 mg m−3, while SO2 shows a moderate increase from 176 ± 14 to 271 ± 26 mg m−3 in the range of 15 to 30 vol.% O2 in the suction gas. Below approximately 15 vol.% O2 in the suction gas, a more rapid concentrational drop in all the discussed off-gas components can be observed.
Fig. 5
Time-averaged concentrations of off-gas components NO, SO2, CO and CO2 over test period of 1200 s for sinter series at 9–30 vol.% O2 and 1500 s for sinter series at 7 and 8 vol.% O2 in suction gas based on total off-gas volume from experiment start to burn-through point (see last column in Table 7) with error bars included for all series with exception of series with 7 and 8 vol.% O2
Bild vergrößern

4.2 Specific sintering process parameter

The temperature profiles in the sinter bed at different heights are shown in Fig. 6 for the sinter series with 21 vol.% O2. The dashed line in the diagram at 1100 °C represents the limit for melt phase formation [25] and can be used for additional quantitative validation of the results shown below. The temperature profiles for all sinter series can be found in the supplementary material, in Figs. S7 and S8.
Fig. 6
Temperature profiles in sinter bed at a height of 100 (T2), 200 (T4) and 300 mm (T6) from top of ceramic tube (sinter bed) as well as off-gas under hearth layer of sinter series with 21 vol.% O2 in suction gas with three repeated test runs
Bild vergrößern
Figures S7 and S8 show considerably higher peak temperatures in the sinter bed with increased O2 supply in the suction gas. Along with bed temperature peaking, we find a more gradual temperature rise, longer dwell time within melt phase formation (> 1100 °C) and a less gradual cooling. On the whole, the enhanced O2 supply will ensure a more pronounced flame front over the sinter height. The lower cooling rates are possibly due to a stronger re-oxidation in the cooling zone, which will be discussed in more detail later.
Sintering leads to a typical decrease in bed height [26], and a characteristic shrinking behavior could be observed for specific sinter series. With higher oxygen supply, the bed height gradually decreased. Nevertheless, it must be noted that the thermocouples in the sinter bed have a certain support function of the granular structure and therefore only the upper 100 mm (height from the top of the ceramic tube to the first positioned thermocouple) is preferentially indicative for the shrinking analysis. Figure 7 shows the yield, the returns and the loss of mass as bars on the left y-axis and characteristic sintering parameters on the right. The results of the loss of mass increase significantly linearly from 6.7 to 9.5 ± 0.7 wt.% with 7–12 vol.% O2 and further increase slightly linearly to 10.3 ± 0.4 wt.% with 30 vol.% O2 in the suction gas. The increasing loss of mass is mainly due to the evaporation of moisture as well as the increasing carbon burnout and the calcination effect with increasing the O2 content in the suction gas, as can also be seen from the summed off-gas values in Fig. 4 and the chemical analyses for the carbon content of the fractions > 5 mm in Table 8 and < 5 mm in Table 9.
Fig. 7
Yield, returns and loss of mass of sinter series including heat transfer front speed, productivity and sinter strength
Bild vergrößern
Table 8
Chemical analysis of sinter fraction after shutter test with a particle size larger than 5 mm
O2 content in suction gas/vol.%
Method
7
8
9
10
11
12
15
18
21
24
27
30
LOI (1050 °C)/wt.%
DIN 51081
 + 0.30
 + 0.49
 + 0.67
 + 0.99
 + 0.96
 + 1.09
 + 1.09
 + 1.06
 + 0.90
 + 0.80
 + 0.84
 + 0.91
Total C/wt.%
Leco
0.74
0.23
0.10
0.14
0.08
0.05
0.06
0.04
0.03
0.02
0.04
0.03
SiO2/wt.%
AW 24
3.80
3.38
3.18
3.81
3.87
4.57
4.41
4.56
4.69
4.07
3.81
4.28
CaO/wt.%
ÖNORM EN 16170
6.77
5.78
5.25
6.26
6.42
7.33
7.46
7.47
7.83
6.60
6.64
6.96
MgO/wt.%
ÖNORM EN 16170
1.43
1.21
1.17
1.32
1.37
1.57
1.56
1.61
1.61
1.34
1.40
1.44
Al2O3/wt.%
ÖNORM EN 16170
1.23
1.09
1.25
1.20
1.34
1.32
1.33
1.26
1.39
1.19
1.34
1.24
TFe/wt.%
Titrimetric1)
61.30
62.31
62.02
61.22
61.05
60.31
60.58
60.58
59.62
61.05
61.10
60.78
Fe2+/wt.%
Titrimetric1)
7.56
7.26
6.96
8.70
7.92
8.26
8.17
7.83
8.26
6.92
7.44
7.02
Fe3+/wt.%
Calculated
53.74
55.05
55.06
52.52
53.13
52.05
52.41
52.75
51.36
54.13
53.66
53.76
FeO/wt.%
Calculated
9.72
9.33
8.95
11.19
10.18
10.60
10.50
10.07
10.62
8.90
9.57
9.03
Fe2O3/wt.%
Calculated
76.77
78.64
78.66
75.03
75.90
74.36
74.87
75.36
73.37
77.33
76.66
76.80
1)By Zimmermann Reinhardt method
Table 9
Chemical analysis of sinter fraction with a particle size < 5 mm (returns and amount of yield after shutter test with a particle size < 5 mm)
O2 content in suction gas/vol.%
Method
7
8
9
10
11
12
15
18
21
24
27
30
LOI (1050 °C)/wt.%
DIN 51081
4.19
4.08
3.40
2.78
2.49
1.64
1.45
1.01
1.08
1.13
1.04
0.63
Total C/wt.%
Leco
2.93
2.82
2.46
1.99
1.87
1.25
1.14
0.76
0.81
0.72
0.73
0.48
In accordance with the loss of mass, the yield increases slightly linearly from 65.3 ± 1.8 to 73.2 ± 2.1 wt.% in the oxygen range from 12 to 30 vol.% (see Fig. 7). Below an O2 content of 12 vol.%, the yield decreases rapidly. The returns decrease continuously from 25.2 ± 2.4 to 16.5 ± 2.5 wt.% in the range from 12 to 30 vol.% O2 and increase sharply below 12 vol.% O2. In addition, the sinter strength shows a similar behavior, increasing from 63.1 ± 1.3 to 74.7 ± 1.7% at 12–30 vol.% O2 and decreasing rapidly below 12 vol.% O2. Under 10 vol.% O2 in the suction gas, sinter strength is no longer given. The peak temperatures in the sinter bed drop significantly as soon as the O2 concentration in the suction gas falls below 12 vol.% (see average peak temperature of the respective sintering series in Fig. 1 and the detailed temperature profiles in Figs. S7 and S8). This temperature drop causes a significantly lower melt phase formation as well as a lower formation of the SFCA phases [15, 18, 26] and can explain the abrupt decrease in sinter yield and strength. The simultaneous increase in sinter yield and strength is possibly due to the combination of melt phase formation without over- and under-melting [27] with sintering at a high temperature range with high oxygen partial pressure, which promotes the formation of SFCA phases [18]. The abrupt drop in sinter yield and strength already below 16 vol.% O2 described by Fan et al. [11] is probably due to a different recipe and thus altered chemical composition of the raw mixture, resulting in a different melt and SFCA phase formation regime.
As the productivity depends directly on the yield as well as on the flame front speed, the productivity increases clearly linearly with increasing the O2 content above 12 vol.% from 33.8 to 48.2 t m−2 d−1, at a bed height of 390 ± 1 mm, and drops greatly below 12 vol.% (Fig. 7).

4.3 Chemical analysis

In Table 8, the chemical analysis of the sinter fraction after the shutter test with a particle size > 5 mm is shown. The chemical analysis of the sinter fraction < 5 mm, including the returns and the amount of the yield after the shutter test with a particle size < 5 mm, is shown in Table 9.
The LOI of the fraction < 5 mm shows a decreasing mass loss from 4.19 to 0.63 wt.% over the analyzed oxygen concentration range, whereas the LOI of the fraction > 5 mm shows a slight gain of mass and stays almost constant at least within 10 to 30 vol.% O2. In order to be able to interpret the changes in the LOI, the analyses of the carbon and iron species must also be considered (see Fig. 8).
Fig. 8
Selected parameter of chemical analysis (total C in left diagram and LOI, TFe, Fe2+ and Fe3+ in right diagram) of sinter fractions > 5 and < 5 mm
Bild vergrößern
The total carbon content decreases in both fractions with increasing the O2 content in the suction gas, from 0.74 to 0.03 wt.% in the fraction > 5 mm and from 2.93 to 0.48 wt.% in the fraction < 5 mm, respectively. The relatively high total carbon content in the fraction < 5 mm is due to the tendency toward poorer sintering in the outer zone of the sinter bed near the inner surface of the refractory ceramic tube (see supplementary Fig. S9). The results of STA analyses indicate that in the fraction < 5 mm, both elemental and carbonate-bound carbon are present in approximately equal proportions. The proportion of elemental carbon increases below 18 vol.% O2, with a strong rise at 11 vol.% O2. Neither elemental nor carbonate-bound carbon was detected by STA in the > 5 mm fraction of the sinter series with 21, 12 and 11 vol.% O2, indicating that the slight mass gain in the LOI of the fraction > 5 mm can solely be ascribed to re-oxidation of ferrous iron and is not attributed to carbon.
TFe shows across all sinter samples a mean value of 60.99 ± 0.69 wt.%. Within the range of 12–21 vol.% O2 in the suction gas, the ferrous iron content reaches its maximum (about 8.2 wt.%) and again decreases for O2 concentrations outside this interval. A singular high ferrous iron content at 10 vol.% O2 in the suction gas appears to be an outlier.
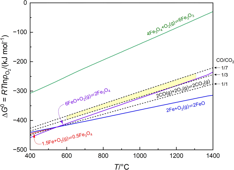
Since the moving heat front and the accompanied sintering zone appear to be sandwiched between a preceding reduction zone and an oxidation zone at the trailing edge [15, 16, 28], potential re-oxidation of the sintered material must be analyzed carefully. The CO/CO2 ratio in the off-gas has a considerable influence on the reduction ratio of the sinter. The actual CO/CO2 ratio results from the interaction between the O2 supply, the carbon burnout and calcination in combination with the peak temperature in the sinter bed. Additionally, a higher re-oxidation rate in the oxidation zone is given with an increased supply of oxygen, which is reflected in the sinter bed by less gradual cooling rates (see Figs. S7 and S8). A moderate concentration of 12–21 vol.% O2 in the suction gas in combination with a resulting CO/CO2 ratio of \(1/4\)\(1/3\) in the off-gas defines a gas atmosphere, which favors beginning formation of bivalent iron. Equilibrium thermodynamic consideration in Fig. 9 [29] shows that measured CO/CO2 ratios of \(1/7\)\(1/3\) in the off-gas are the thermodynamic limit for the reduction of hematite to magnetite. The concentration gradient of the bivalent iron in the sinter fractions > 5 mm also explains the varying LOI results, as shown in Table 8 and Fig. 8.
Fig. 9
Gibbs free standard reaction enthalpy (ΔG0) as a function of temperature for iron oxides and carbon monoxide created with FactSage 7.3. Yellowish area indicates reduction potential in reduction and sintering zone with a CO/CO2 ratio from 1/3 to 1/7 in a temperature range of 600–1300 °C
Bild vergrößern
The mean value of the SiO2 content of all sinter samples is 4.04 ± 0.46 wt.%, and it is 6.73 ± 0.72 wt.% for CaO, 1.42 ± 0.14 wt.% for MgO and 1.27 ± 0.08 wt.% for Al2O3. Due to the loss of mass caused by the carbon burnout and the calcination, the proportions of SiO2, CaO, MgO and Al2O3 in the sinter fraction > 5 mm should be slightly higher than those in the raw mixture. However, the mass fractions of SiO2, CaO, MgO and Al2O3 are about 10% below those of the raw mixture, which indicates a separation within the sinter fractions larger and smaller than 5 mm.

5 Conclusions

1.
An increased O2 content in the suction gas leads to a faster flame front speed and thus to higher CO and CO2 concentrations in the off-gas, due to a lower total off-gas volume produced over the individually shorter sintering time. In addition, SO2 breakthrough starts earlier and the release takes place over a shorter period of time, which leads to higher SO2 peak values.
 
2.
The summed amount of the individual off-gas components shows the following behaviors: CO amounts are still stable from 30 to 12 vol.% O2 and then fall continuously. CO2 amounts fall slightly from 30 to 12 vol.% O2 and then decrease sharply. NO and SO2 amounts show a continuous decrease from 30 to 15 vol.% O2 and then a sharp decrease.
 
3.
With increasing O2 supply, both the average and the total amounts of consumed O2 increase. Also, higher temperature peaks in the sinter bed, with a more gradual temperature rise, longer dwell time in the temperature range of the melt phase formation and less gradual cooling time, can be observed. The temperature peaks in the sinter bed drop significantly as soon as the O2 concentration in the suction gas falls below 12 vol.%.
 
4.
As the O2 content in the suction gas increases, the yield increases rapidly till 12 vol.% O2 and further linearly up to 73.2 wt.% at 30 vol.% O2. The loss of mass shows an indirectly proportional behavior to the yield, so that the returns decrease continuously from 25.2 to 16.5 wt.% in the range from 12–30 vol.% O2. In the same oxygen range, the productivity increases as well as the sinter strength. The continuous increase in the sinter yield and strength above 12 vol.% O2 can be explained by the extent of melt phase formation and the associated promoted formation of SFCA phases.
 
5.
The chemical analyses indicate the highest ferric iron mass fraction in the sinter product with 12–21 vol.% O2 supplied in the suction gas. This is due to the interaction between the CO/CO2 ratio during the reduction and the remaining O2 content in the suction gas in the final re-oxidation zone.
 
The conducted experiments provided new and consolidated results on the sintering behavior of iron ores with varying O2 contents in the suction gas and provided a knowledge to meet future challenges regarding the transformation of the iron and steel industry. The authors conclude that any tuning option of the O2 supply for proper sintering depends essentially on the chemical composition of the iron ore and on the recipe accompanied by enhanced melt phase formation and subsequent consolidation of the SFCA phases. The results also show the potential to specifically adapt the recipe of the raw mixture at higher O2 supply, in particular toward a lower coke breeze content, which would allow for a reduction in specific CO and CO2 emissions per ton of product sinter.

Acknowledgements

The authors would like to thank Primetals Technologies Austria GmbH for funding the research project.

Declarations

Conflict of interest

The authors declare no conflict of interest.
Open Access This article is licensed under a Creative Commons Attribution 4.0 International License, which permits use, sharing, adaptation, distribution and reproduction in any medium or format, as long as you give appropriate credit to the original author(s) and the source, provide a link to the Creative Commons licence, and indicate if changes were made. The images or other third party material in this article are included in the article's Creative Commons licence, unless indicated otherwise in a credit line to the material. If material is not included in the article's Creative Commons licence and your intended use is not permitted by statutory regulation or exceeds the permitted use, you will need to obtain permission directly from the copyright holder. To view a copy of this licence, visit http://creativecommons.org/licenses/by/4.0/.
Download
Titel
Effects of varying oxygen content in suction gas during sintering of iron ore
Verfasst von
Jan Eisbacher-Lubensky
Sigrid Pichler
Nina Schlemmer
Fritz Kittinger
Christian Weiß
Michaela Böberl
Publikationsdatum
13.03.2025
Verlag
Springer Nature Singapore
Erschienen in
Journal of Iron and Steel Research International / Ausgabe 10/2025
Print ISSN: 1006-706X
Elektronische ISSN: 2210-3988
DOI
https://doi.org/10.1007/s42243-024-01432-x

Supplementary Information

Below is the link to the electronic supplementary material.
[1]
Zurück zum Zitat European Commission, The European green deal, Brussels, Belgium, 2019.
[2]
Zurück zum Zitat Australasian Centre for Corporate Responsibility Inc. (ACCR), Forging pathways: insights for the green steel transformation, Canberra, Australia, 2024.
[3]
Zurück zum Zitat EUROFER—The European Steel Association, European steel in figures 2023, Brussels, Belgium, 2023.
[4]
Zurück zum Zitat P. Wang, M. Ryberg, Y. Yang, K. Feng, S. Kara, M. Hauschild, W.Q. Chen, Nat. Commun. 12 (2021) 2066.CrossRef
[5]
Zurück zum Zitat R. Remus, Best available techniques (BAT) reference document for iron and steel production: Industrial emissions Directive 2010/75/EU integrated pollution prevention and control, Publications Office, Luxembourg, Luxembourg, 2013.
[6]
Zurück zum Zitat International Energy Agency (IEA), Iron and steel technology roadmap: Towards more sustainable steelmaking, Paris, France, 2020.
[7]
Zurück zum Zitat H. Vu, F. Cecchin, N. Iacob, C. Stroia, Climate-neutral steelmaking in Europe: Decarbonisation pathways, investment needs, policy conditions, recommendations, Publications Office of the European Union, Luxembourg, Luxembourg, 2022.
[8]
Zurück zum Zitat S. Nicholas, S. Basirat, Iron ore quality a potential headwind to green steelmaking: Technology and mining options are available to hit net-zero steel targets, Lakewood, US, 2022.
[9]
Zurück zum Zitat L. Xiong, Z. Peng, F. Gu, L. Ye, L. Wang, M. Rao, Y. Zhang, G. Li, T. Jiang, Powder Technol. 340 (2018) 131–138.CrossRef
[10]
Zurück zum Zitat L.D. Smoot, P.J. Smith, Coal combustion and gasification, Springer, Boston, US, 1985.CrossRef
[11]
Zurück zum Zitat X.H. Fan, Z.Y. Yu, M. Gan, W.Q. Li, Z.Y. Ji, J. Iron Steel Res. Int. 20 (2013) No. 6, 1–6.
[12]
Zurück zum Zitat H. Kang, S. Choi, W. Yang, B. Cho, ISIJ Int. 51 (2011) 1065–1071.CrossRef
[13]
Zurück zum Zitat Y. Iwami, T. Yamamoto, T. Higuchi, K. Nushiro, M. Sato, N. Oyama, ISIJ Int. 53 (2013) 1633–1641.CrossRef
[14]
Zurück zum Zitat R.R. Lovel, K.R. Vining, M. Dell 'amico, ISIJ Int. 49 (2009) 195–202.CrossRef
[15]
Zurück zum Zitat L.H. Hsieh, J.A. Whiteman, ISIJ Int. 29 (1989) 24–32.CrossRef
[16]
Zurück zum Zitat L.H. Hsieh, J.A. Whiteman, ISIJ Int. 29 (1989) 625–634.CrossRef
[17]
Zurück zum Zitat N.A.S. Webster, M.I. Pownceby, I.C. Madsen, J.A. Kimpton, ISIJ Int. 53 (2013) 774–781.CrossRef
[18]
Zurück zum Zitat Z. Wang, D. Pinson, S. Chew, B.J. Monaghan, M.I. Pownceby, N.A.S. Webster, H. Rogers, G. Zhang, ISIJ Int. 56 (2016) 1138–1147.CrossRef
[19]
Zurück zum Zitat H.W. Gudenau, Ferrous metallurgical process engineering: From ore to steel. Collection of materials for the practical course "Ferrous Metallurgical process engineering", Aachen, Germany, 1989.
[20]
Zurück zum Zitat A.W. Coats, J.P. Redfern, Nature 201 (1964) 68–69.CrossRef
[21]
Zurück zum Zitat R. Ebrahimi-Kahrizsangi, M.H. Abbasi, Trans. Nonferrous Met. Soc. China 18 (2008) 217–221.CrossRef
[22]
Zurück zum Zitat K.I. Ohno, K. Noda, K. Nishioka, T. Maeda, M. Shimizu, ISIJ Int. 53 (2013) 1588–1593.CrossRef
[23]
Zurück zum Zitat N. Tsioutsios, C. Weiß, J. Rieger, E. Schuster, B. Geier, Appl. Therm. Eng. 165 (2020) 114554.CrossRef
[24]
Zurück zum Zitat L. Lu, Iron Ore Sintering Research at Different Scales, in: ICSTI 2018–8th International Congress on Science and Technology of Ironmaking, Vienna, Austria, 2018, 247–255.
[25]
Zurück zum Zitat Z. Cheng, J. Yang, L. Zhou, Y. Liu, Q. Wang, Appl. Energy 161 (2016) 364–374.CrossRef
[26]
Zurück zum Zitat Y.Z. Wang, J.L. Zhang, Z.J. Liu, Y.P. Zhang, D.H. Liu, Y.R. Liu, Int. J. Miner. Metall. Mater. 24 (2017) 1087–1095.CrossRef
[27]
Zurück zum Zitat B. Zhang, J. Zhou, M. Li, Appl. Therm. Eng. 131 (2018) 70–79.CrossRef
[28]
Zurück zum Zitat A. Babich, D. Senk, H.W. Gudenau, Ironmak. Steelmak. 36 (2009) 222–229.CrossRef
[29]
Zurück zum Zitat J.R. Rumble, T.J. Bruno, M.J. Doa, CRC handbook of chemistry and physics: A ready-reference book of chemical and physical data, 102nd ed., CRC Press/Taylor & Francis Group, Boca Raton, USA, 2021.

JOT - Journal für Oberflächentechnik (Link öffnet in neuem Fenster)

Das führende Magazin für sämtliche Themen in der Oberflächentechnik.
Für Entscheider und Anwender aus allen Bereichen der Industrie.

    Bildnachweise
    Wagner Logo/© J. Wagner GmbH, Harter Drying Solutions/© HARTER GmbH, Cenaris Logo/© CENARIS GmbH, Ecoclean Logo/© SBS Ecoclean Group, Eisenmann Logo/© EISENMANN GmbH, FreiLacke Logo/© Emil Frei GmbH & Co. KG, Afotek Logo/© @AFOTEK Anlagen für Oberflächentechnik GmbH, Fischer Logo/© Helmut Fischer GmbH, Venjakob Logo/© VENJAKOB Maschinenbau GmbH & Co. KG, Nordson Logo/© Nordson Deutschland GmbH, Akzo Nobel Power Coatings GmbH/© Akzo Nobel Power Coatings GmbH, Sames GmbH/© Sames GmbH, Karl Bubenhofer AG/© Karl Bubenhofer AG, Munk GmbH/© Munk GmbH, Endress+Hauser Flow Deutschland/© Endress+Hauser Flow Deutschland, SERFILCO GmbH/© Munk GmbH, Dörken/© Dörken, JOT - Journal für Oberflächentechnik