Skip to main content
Top

An effective reduction method with Caughey damping for spurious oscillations in dynamic problems

  • Open Access
  • 12-08-2025
  • Research
Published in:

Activate our intelligent search to find suitable subject content or patents.

search-config
loading …

Abstract

This article delves into the persistent issue of spurious oscillations in dynamic problems, particularly in contact and impact scenarios. It introduces a novel approach that leverages the Central Difference Method (CDM) coupled with Caughey damping to mitigate these oscillations effectively. The article meticulously examines various damping characteristics, including degressive, linear, and progressive types, and compares their efficacy in reducing spurious oscillations. Through rigorous testing on both one-dimensional (1D) and two-dimensional (2D) models, the proposed method demonstrates superior performance in maintaining accuracy while significantly reducing oscillations. The study also explores the impact of different parameters on the damping characteristics and provides insights into the optimal settings for practical applications. Furthermore, the article offers a detailed comparison with widely used methods like the HHT- and Bulk Viscosity (BV) methods, showcasing the advantages of the proposed approach. The results indicate that the proposed method can be effectively applied to more complex models, making it a valuable tool for engineers and researchers in the field of mechanical engineering.

Publisher's Note

Springer Nature remains neutral with regard to jurisdictional claims in published maps and institutional affiliations.

1 Introduction

Spurious oscillations have a numerical origin and are problematic in many fields of mechanical engineering. Numerical solutions of dynamic problems are especially prone to include undesired oscillations emerging from varying sources. These oscillations have adverse effects on the solution, distorting its accuracy or even causing divergence. The primary origin of spurious oscillations is the spatial discretization which is mainly realized by the Finite Element Method (FEM) [1]. As the continuum can only be considered approximately in the Finite Element (FE) model, the highest eigenmodes are not included in the solution [2]. This approximation may induce severe oscillations in the solution that must be eliminated or significantly reduced.
Many types of dynamic problems are concerned with the adverse effect of spurious oscillations. One of the main fields where these oscillations usually cause serious difficulties are contact problems [3]. Similar concerns are involved in impact problems [4, 5] which signify a special case of contact problems. Undesired oscillations are present in the time evolution of velocity and contact pressure in both frictional [6] and non-frictional [7] models. The numerical modeling of wave propagation problems [8, 9] are also affected by spurious oscillations. In fluid dynamics, the numerical solution of equations of gas dynamics contains numerical distortions too. The pressure and the temperature distribution of shock waves are both susceptible to include undesired oscillations [10]. Besides, the appropriate numerical treatment of supersonic flows are especially problematic due to the wave’s interaction with the boundaries of the model [11].
Spurious oscillations may be treated according to many different approaches. Most attempts aim to reduce the oscillations with a damping effect included in the numerical method. This damping can be exerted in many ways, but there are two main approaches. One branch of numerical methods operates with numerical damping that is involved in the scheme. This kind of methods can be subdivided into forward [12, 13] and backward increment [14, 15], single-stage [16, 17] and multistage [18] schemes. They also may be distinguished whether the damping effect may be altered [19, 20] or not [21]. Besides, the shape of the damping characteristics is also important, as it can be both progressive [18], degressive [20] or mixed [22, 23]. The well-known Newmark method [24] possesses a backward increment scheme and a controllable numerical damping with one parameter. As it is unconditionally stable and simply formulated, the Newmark method is the standard time stepping method in many FE software like Abaqus or Ansys. The improved version of the Newmark scheme, the HHT-\(\alpha\) method [20] is also widely applied. It has a degressive damping character that can be set with an additional \(\alpha\) parameter. Kim’s method [18] represents a novel, two-stage formulation with progressive damping characteristics. On one hand, its forward increment scheme requires less computational capacity, but the amount damping which may be exerted is very limited. The method developed by Kolay and Ricles [22] (KR-\(\alpha\)) as well as the scheme of Noh and Bathe (\(\rho _{\infty }\)-Bathe) [23] possess a mixed damping character whose initial stage is progressive and changes to degressive at the higher eigenfrequencies.The KR-\(\alpha\) and the \(\rho _{\infty }\)-Bathe schemes both have second order accuracy and unconditional stability. The KR-\(\alpha\) method has a forward increment formulation, while the \(\rho _{\infty }\)-Bathe method’s formulation is implicit.
The second possibility to exert damping is the application of a viscous damping term in the FE model [25]. This approach was firstly described by von Neumann and Richtmeyer in [26] whose method has been named as Bulk Viscosity (BV). The damping characteristics of the BV method is linear, its detailed formulation can be found in [27]. This scheme is usually coupled with the Central Difference Method (CDM) [28] which does not contain numerical damping, so the aimed damping effect can be directly exerted through the viscous damping term. This technique has been applied in many industrial FE software, like Ansys [29] and Abaqus [30]. In contrast, the Caughey damping [31] provides a more versatile definition for the damping character. Using this kind of damping, a wide range of damping curves may be approximated with high accuracy [32]. Applying the Caughey damping is not a resource intensive procedure, as its composition only requires the addition and multiplication of small bandwidth matrices. Moreover, the Caughey damping has already been applied for solving wave propagation problems [33], so it is relevant to use it for reducing the spurious oscillations.
Solving contact and impact problems is an important field, where the reduction of spurious oscillations is a crucial aspect. The treatment of the contact may be realized using two main approaches. On one hand, the penalty method [34] can be applied whose formulation is simpler, but its accuracy lags behind the Lagrange multiplier method [35] which is the second approach for treating contact. Here, the contact pressure, an additional variable must be considered in the equation of motion making the numerical solution computationally more expensive. Nevertheless, the more accurate solution has been favoured in this article, so the latter method has been applied for handling contact.
In this paper, a novel approach is presented aiming to reduce the spurious oscillations in dynamic problems. The proposed technique is based on the CDM, while the damping effect is exerted as viscous damping. The viscous term is formulated as Caughey damping which provides an accurate fitting to certain kind of damping characters. The aimed damping curve is defined for the Algorithmic Damping Ratio (ADR) according to [36]. In order to verify the newly developed method, it is tested on a standard test example of an impact problem. The main improvement of the research is the effective reduction of spurious oscillations by keeping the accuracy level as high as possible.

2 Methodology

2.1 Discretization scheme

In order to deal with the definition of the damping characteristics, the equation of motion must be formulated. For the spatial discretization FEM is used, while the temporal discretization is realized by the CDM. The corresponding equation of motion can be written as a system of semi-discretized second-order ordinary differential equations.
$$\begin{aligned} \textbf{M}\ddot{\textbf{u}}(t)+\textbf{C}\dot{\textbf{u}}(t)+\textbf{K}\textbf{u}(t)=\textbf{f}(t) \end{aligned}$$
(1)
where \(\textbf{M}\), \(\textbf{C}\) and \(\textbf{K}\) mean the mass, damping and stiffness matrices, respectively. On the right hand side of the formula, \(\textbf{f}(t)\) denotes the load vector, \(\textbf{u}(t)\) is the nodal displacement vector, \(\dot{\textbf{u}}(t)\) means the nodal velocity vector, while \(\ddot{\textbf{u}}(t)\) denotes the nodal acceleration vector in the function of time t. In addition, the solution of Eq. (1) requires both boundary and initial conditions. The boundary conditions depend on the considered model, while the initial conditions must be given at \(t=0\) as
$$\begin{aligned} \textbf{u}(0)=\textbf{u}_{0}\qquad {\hbox {and}}\qquad \dot{\textbf{u}}(0)=\textbf{v}_{0} \end{aligned}$$
(2)
where \(\textbf{u}_{0}\) is the initial displacement vector, while \(\textbf{v}_{0}\) denotes the initial velocity vector at \(t=0\).

2.1.1 The central difference method

The main reasons of choosing the CDM for temporal discretization are the forward increment formulation and the second order accuracy. Another important and beneficial feature for this application is the lack of numerical damping, so the damping effect can be exerted directly as viscous damping. The major drawback of the CDM is the conditional stability. However, in the case of dynamic problems, sufficiently accurate calculations usually requires time steps significantly lower than the critical value. The original CDM can be given as the formulae of the velocity and the acceleration at the current time step t in an incremental form the following way.
$$\begin{aligned} \ddot{\textbf{u}}_i=\dfrac{\textbf{u}_{i+1}-2\textbf{u}_{i}+\textbf{u}_{i-1}}{\Delta t^{2}} \end{aligned}$$
(3)
$$\begin{aligned} \dot{\textbf{u}}_{i}=\frac{\textbf{u}_{i+1}-\textbf{u}_{i-1}}{2\Delta t} \end{aligned}$$
(4)
where \(\Delta t\) denotes the time step size, while \(i+1\), i and \(i-1\) increments mean the numerical values at time step \(t+\Delta t\), t and \(t-\Delta t\), respectively. By substituting Eqs. (3) and (4) into Eq. (1) and rearranging it to \(\textbf{u}_{i+1}\), the following linear system of equations shall be obtained.
$$\begin{aligned} \left( \Delta t\textbf{C}+2\textbf{M}\right) \textbf{u}_{i+1}={2\Delta }t^{2}\textbf{f}_{i}+\left( 4\textbf{M}-2\Delta t^{2}\textbf{K}\right) \textbf{u}_{i}+\left( \Delta t\textbf{C}-2\textbf{M}\right) \textbf{u}_{i-1} \end{aligned}$$
(5)
However, applying the formulation above is not beneficial, as it requires the inversion of term \(\Delta t\varvec{\varvec{\hbox {C}}}+2\varvec{\textrm{M}}\) which is a computationally expensive procedure. Hence, Eq. (4) is substituted with the following formula to calculate \(\dot{\textbf{u}}_{i}\).
$$\begin{aligned} \dot{\textbf{u}}_{i}=\frac{\textbf{u}_{i}-\textbf{u}_{i-1}}{\Delta t} \end{aligned}$$
(6)
Thus, substituting Eqs. (3) and (6) into Eq. (1) and deducting it to \(\textbf{u}_{i+1}\) the following equation can be determined.
$$\begin{aligned} \textbf{M}\textbf{u}_{i+1}=\Delta t^{2}\textbf{f}_{i}+\left( 2\textbf{M}-\Delta t\textbf{C}-\Delta t^{2}\textbf{K}\right) \textbf{u}_{i}+\left( \Delta t\textbf{C}-\textbf{M}\right) \textbf{u}_{i-1} \end{aligned}$$
(7)
This formulation still does not contain numerical damping, but it only requires the inversion of \(\textbf{M}\). Furthermore, the mass matrix can be diagonalized according to [37] which gives the so-called lumped mass matrix whose inversion is computationally cheap. The appropriate definition of the damping character requires the knowledge of the amplification matrix for the CDM. Thus, it is practical to rearrange Eq. (7) as the following.
$$\begin{aligned} \left[ \begin{array}{c} \textbf{u}_{i+1}\\ \textbf{u}_{i} \end{array}\right] =\textbf{A}^{\textrm{CDM}}\left[ \begin{array}{c} \textbf{u}_{i}\\ \textbf{u}_{i-1} \end{array}\right] +\textbf{b}^{\textrm{CDM}} \end{aligned}$$
(8)
where \(\textbf{A}^{\textrm{CDM}}\) means the amplification matrix and \(\textbf{b}^{\textrm{CDM}}\) contains the inhomogeneous components of Eq. (7). For later examinations, only the former quantity shall be substantial. For the CDM, this can be given as follows.
$$\begin{aligned} \textbf{A}^{\textrm{CDM}}=\left[ \begin{array}{cc} 2\textbf{I}-\Delta t\textbf{M}^{-1}\textbf{C}-{\bigtriangleup }t^{2}\textbf{M}^{-1}\textbf{K} \quad & \quad \Delta t\textbf{M}^{-1}\textbf{C}-\textbf{I}\\ \textbf{I} \quad & \quad \textbf{0} \end{array}\right] . \end{aligned}$$
(9)
where \(\textbf{I}\) denotes the identity matrix and \(\textbf{0}\) means the zero matrix.

2.1.2 Treatment of contact

The appropriate definition of boundary conditions between contacting bodies is an important aspect to be considered in a contact problem. For this purpose, the Lagrange multiplier method has been applied in this article, as it had already been mentioned in Sect. 1. According to this approach, the penetration between the contacting bodies is completely prohibited. Thus, the contact condition for the displacements is formulated in the following way.
$$\begin{aligned} \mathbf {G (u+X)=0} \end{aligned}$$
(10)
where \(\textbf{X}\) means the vector of initial configuration, \(\textbf{u}\) denotes the displacement vector, while \(\textbf{G}\) represents the contact constraint matrix. Besides, regarding the contact pressure between contacting bodies, the equation of motion (Eq. (1)) must be modified and rewritten in the following form.
$$\begin{aligned} \textbf{M}\ddot{\textbf{u}}_i+\textbf{C}\dot{\textbf{u}}_i+\textbf{K}\textbf{u}_i + \textbf{G}_i^{\textrm{T}} \lambda _i=\textbf{f}_i \end{aligned}$$
(11)
where \(\lambda _i\) means the Lagrange multiplier at the \(i^{\textrm{th}}\) time instant and it is equivalent with the surface contact pressure. A more detailed description of this formulation can be found in [4]. Considering Eqs. (10) and (11), the deduction for the CDM presented in Sect. 2.1.1 can easily be performed by replacing Eq. (1) with Eq. (11). The amplification matrix (\(\textbf{A}^{\textrm{CDM}}\)) given by Eq. (9) remain unchanged, as the additional Lagrange multiplier term in Eq. (11) is independent from the the displacement and its derivatives.

2.2 Damping formulation

In the proposed method, the aimed damping characteristics shall be prescribed as the function of the circular eigenfrequencies. Albeit, the composition of the damping matrix does not demand the calculation of the eigenmodes, the appropriate description of the proposed method requires the transformation of the equation of motion into the frequency domain. Thus, the displacement vector can be written as
$$\begin{aligned} \textbf{u}(t)=\mathbf {T\,q}(t) \end{aligned}$$
(12)
where \(\textbf{T}\) means the transformation matrix, while \(\textbf{q}\) denotes the vector of the modal coordinates. The former term is composed based on the mass-normalized eigenvectors in the following way.
$$\begin{aligned} \textbf{T}=\left[ \begin{array}{ccc} c_{1}\textbf{a}_{1}&\ldots&c_{n}\textbf{a}_{n}\end{array}\right] \qquad {\hbox {where}}\qquad c_{k}=\frac{1}{\sqrt{\textbf{a}_{k}^{\textrm{T}}\textbf{M}\textbf{a}_{k}}} \end{aligned}$$
(13)
In the formulae above, \(\textbf{a}_{k}\) denotes the \(k^{\textrm{th}}\) eigenvector of the considered FEM model. Substituting Eq. (13) into Eq. (1) and multiplying it by \(\textbf{T}^{\textrm{T}}\) on the left side, the following equation can be obtained.
$$\begin{aligned} \textbf{T}^{\textrm{T}}\textbf{M}\textbf{T}\ddot{\textbf{q}}(t)+\textbf{T}^{\textrm{T}}\textbf{C}\textbf{T}\dot{\textbf{q}}(t)+\textbf{T}^{\textrm{T}}\textbf{K}\textbf{T}\textbf{q}(t)=\textbf{T}^{\textrm{T}}\textbf{f} \end{aligned}$$
(14)
where the coefficients of \(\ddot{\textbf{q}}\), \(\dot{\textbf{q}}\) and \(\textbf{q}\) are the corresponding terms for \(\textbf{M}\), \(\textbf{C}\) and \(\textbf{K}\) in the frequency domain, respectively.
$$\begin{aligned} & \textbf{T}^{\textrm{T}}\textbf{M}\textbf{T}=\textbf{I} \end{aligned}$$
(15)
$$\begin{aligned} & \textbf{T}^{\textrm{T}}\textbf{K}\textbf{T}=\left[ \begin{array}{ccc} \ddots & & 0\\ & \omega _{k}^{2}\\ 0 & & \ddots \end{array}\right] \end{aligned}$$
(16)
$$\begin{aligned} & \textbf{T}^{\textrm{T}}\textbf{C}\textbf{T}=\left[ \begin{array}{ccc} \ddots & & 0\\ & 2\xi _{k}\omega _{k}\\ 0 & & \ddots \end{array}\right] \end{aligned}$$
(17)
where \(\omega _{k}\) means the \(k^{\textrm{th}}\) circular eigenfrequency, while \(\xi _{k}\) denotes the corresponding Physical Damping Ratio (PDR). Thus, the equation of motion (Eq. (1)) can be rewritten as a series of uncoupled Single Degree of Freedom (SDoF) equations as
$$\begin{aligned} \ddot{q}_{k}\left( t\right) +2\xi _{k}\omega _{k}\dot{q}_{k}\left( t\right) +\omega _{k}^{2}q_{k}\left( t\right) ={\varphi }_{k}\left( t\right) \end{aligned}$$
(18)
where
$$\begin{aligned} \textbf{T}^{\textrm{T}}\textbf{f}=\left[ \begin{array}{c} {{\varphi }}_{1}\\ \vdots \\ {{\varphi }}_{n} \end{array}\right] \end{aligned}$$
(19)
Using Eqs. (15)–(17), the amplification matrix in the modal domain can be written as follows.
$$\begin{aligned} \textbf{A}_{\textrm{SDOF}}^{\textrm{CDM}}=\left[ \begin{array}{cc} 2-2\Delta t\xi \omega -\Delta t^{2}\omega ^{2}\quad & \quad 2\Delta t\xi \omega -1\\ 1 \quad & \quad 0 \end{array}\right] \end{aligned}$$
(20)

2.2.1 The algorithmic damping

The accurate determination of an aimed damping characteristics requires the calculation of the Algorithmic Damping Ratio (ADR). At first, the eigenvalues of the amplification matrix (Eq. (20)) must computed based on the following formula.
$$\begin{aligned} \lambda _{1,2}=\sigma \pm \varepsilon i={\hbox {exp}}\left[ \overline{\varOmega }\left( -\overline{\xi }\pm i\sqrt{1-\overline{\xi }^{2}}\right) \right] \end{aligned}$$
(21)
where \(\sigma\) and \(\varepsilon\) are the real and imaginary parts of the eigenvalues, respectively. \(\overline{\xi }\) denotes the ADR, while \(\overline{\varOmega }=\overline{\omega }\Delta t\) where \(\overline{\omega }\) means the algorithmic circular eigenfrequency. Knowing \(\lambda _{1,2}\), \(\overline{\varOmega }\) can be calculated in the following way.
$$\begin{aligned} \overline{\varOmega }=\frac{{\hbox {arctan}}\left( {\displaystyle \frac{\varepsilon }{\sigma }}\right) }{\sqrt{1-\overline{\xi }^{2}}} \end{aligned}$$
(22)
Using the formula above, the ADR shall be written as
$$\begin{aligned} \overline{\xi }=\frac{-{\hbox {ln}}\left( \sigma ^{2}+\varepsilon ^{2}\right) }{2\overline{\varOmega }}. \end{aligned}$$
(23)
Applying the above described calculation method of the ADR for \(\textbf{A}_{\textrm{SDOF}}^{\textrm{CDM}}\) given by Eq. (20), \(\overline{\xi }\) can be obtained according to the following two stage definition.
$$\begin{aligned} \hat{\xi }=\frac{{\hbox {ln}}\left( 1-2\xi \Delta t\omega \right) }{2\,{\hbox {atan}}\left( {\displaystyle \frac{\Delta t\omega \sqrt{4-\left( \Delta t\omega +2\xi \right) ^{2}}}{\left( \Delta t\omega \right) ^{2}+2\xi \Delta t\omega -2}}\right) } \end{aligned}$$
(24)
$$\begin{aligned} \overline{\xi }=\frac{\hat{\xi }}{\sqrt{1+\hat{\xi }^{2}}} \end{aligned}$$
(25)
The formula above determines the damping characteristics that actually prevails in the numerical solution. The aimed damping coefficients belonging to each eigenfrequency must be defined as the ADR. As it has been proved in [36], this is the only way to compose the equivalent \(\textbf{C}\) matrix accurately. Knowing the characteristics in \(\overline{\xi }\), the belonging \(\xi\) may only be calculated by numerical root finding methods, as it cannot be expressed analytically. For this purpose, the Krawczyk method [38] offers an accurate solution with reasonable computational demand.
As it has been deducted in [36], there is a great freedom in the determination of the damping curve. In the region of \(0\le \overline{\xi }<1\) any arbitrary value can be given for every \(\omega\), by any \(\Delta t<\Delta t_{\textrm{max}}\) where \(\Delta t_{\textrm{max}}\) is the maximal applicable time step size. For practical reasons detailed in [36], \(\Delta t_{\textrm{max}}\) is given at the bifurcation point according to the following equation.
$$\begin{aligned} \Delta t_{\textrm{max}}=\Delta t_{\textrm{b}}={\hbox {min}} \left( \frac{2}{\omega } \left( 1-\xi \right) \right) \end{aligned}$$
(26)

2.2.2 Matrix composition

In order to implement an aimed damping character, the belonging damping matrix must be composed. For the effective usability, matrix \(\textbf{C}\) shall be defined as Caughey damping. The Caughey damping can be given according to the formulation presented by Adhikari [32] as
$$\begin{aligned} \textbf{C}=\textbf{M}\sum _{j=0}^{N-1}\alpha _{j}\left( \textbf{M}^{-1}\textbf{K}\right) ^{j} \end{aligned}$$
(27)
where \(\alpha _{j}\) denotes the coefficient belonging to \(\textbf{M}^{-1}\textbf{K}\) on the \(j^{\textrm{th}}\) power, while N means the number of terms considered in the summation. Transforming the equation above into the frequency domain using Eqs. (15)–(17) results a following formulation.
$$\begin{aligned} 2\xi _{k}\omega _{k}=\sum _{j=0}^{N-1}\alpha _{j}\omega _{k}^{2j} \end{aligned}$$
(28)
which can rewritten as an algebraic system of equations according to
$$\begin{aligned} \left[ \begin{array}{cccc} 1 & \omega _{1}^{2} & \omega _{1}^{4}\ldots & \omega _{1}^{2N-2}\\ 1 & \omega _{2}^{2} & \omega _{2}^{4}\ldots & \omega _{2}^{2N-2}\\ \vdots & \vdots & \vdots & \vdots \\ 1 & \omega _{n}^{2} & \omega _{n}^{4}\ldots & \omega _{n}^{2N-2} \end{array}\right] \left\{ \begin{array}{c} \alpha _{0}\\ \alpha _{1}\\ \vdots \\ \alpha _{N-1} \end{array}\right\} =\left\{ \begin{array}{c} 2\omega _{1}\xi _{1}\\ 2\omega _{2}\xi _{2}\\ \vdots \\ 2\omega _{n}\xi _{n} \end{array}\right\} \end{aligned}$$
(29)
Rearranging Eq. (28) to \(\xi _{k}\) results the following polynomial formulation for the PDR.
$$\begin{aligned} & \xi _{k}=\frac{1}{2}{\mathop {j}\limits ^{[}}=0]{N-1}{\sum }\alpha _{j}\omega _{k}^{2j-1}\nonumber \\ & \quad =\frac{1}{2}\left( \frac{\alpha _{0}}{\omega _{k}}+\alpha _{1}\omega _{k}+\alpha _{2}\omega _{k}^{3}+\ldots +\alpha _{N-1}\omega _{k}^{2N-3}\right) \end{aligned}$$
(30)
Thus, the damping characteristics can be defined as the linear combination of the odd powers of \(\omega _{k}\). The lack of even powers results that calculating the square roots of the mass and stiffness matrices is not required. Moreover, this formulation allows a very versatile determination for the damping character. Using the polynomial above, several different damping curve shapes may be defined from degressive to linear and progressive. The greatest benefit of determining the aimed damping character this way is that it only requires the computation of \(\omega _{\textrm{max}}\), so the calculation of every eigenmode is not necessary. This feature is substantial for the widespread application of the proposed method, as the solution of the frequency equation is a computationally expensive procedure. Instead, the polynomial characteristics shall be determined by a damping matrix composed using the appropriate linear combination of the mass and stiffness matrices. This approach demands only the addition and multiplication of small bandwidth matrices which are not resource-intensive operations. Moreover, the resulting damping matrix’s bandwidth remains relatively small. Thus, it can be treated as a sparse matrix which requires much less memory capacity compared to dense matrices.

2.3 Application of a specific damping character

When choosing a concrete damping characteristics, the reasonable definition through Caughey damping and the effective reduction of spurious components are major aspects to be considered. The PDR character resulted by Caughey damping only contains terms of \(\omega\) of odd powers (see. Equation (30)). This feature provides a very precise approximation for functions whose Taylor series expansion only contains terms of odd powers. In addition, the precise adjustability in a wide range is an important feature too. As the hyperbolic sine function fulfills all of these criteria, it shall be very promising to apply it for reducing spurious oscillations.
$$\begin{aligned} \overline{\xi } \left( \omega \right) = \frac{c_2}{{\hbox {sh}}\left( c_1 \right) } \; {\hbox {sh}} \left( \frac{c_1}{\omega _{\textrm{max}}} \omega \right) \end{aligned}$$
(31)
For the sake of practical applicability, the damping character has been prescribed by two parameters according to Eq. (31). Thus, a very versatile definition is possible for the damping curve, as the maximal value of the damping curve at \(\omega _{\textrm{max}}\) can be adjusted by \(c_2\), while the curvature of the character (which also means the initial slope) shall be influenced by \(c_1\). Defining the damping character in this way is unique, it is the most important feature of the proposed method. Similar definition had already been applied in the past work of authors [39], but the above described form proved to be more straightforward and practical.

2.3.1 Composition of damping matrix

As it has been written in Sect. 2.2.2, a practical way to exert an aimed damping character is the application of Caughey damping. In order to write Eq. (31) in a polynomial form which is needed in Eq. (30), it has to be expanded into a Taylor-series.
$$\begin{aligned} \frac{c_2}{{\hbox {sh}}\left( c_1 \right) } \; {\hbox {sh}} \left( \frac{c_1}{\omega _{\textrm{max}}} \omega \right) \approx \frac{c_2}{{\hbox {sh}}\left( c_1 \right) } \sum _{l=1}^{L} \frac{\left[ {\hbox {sh}} \left( \frac{c_1}{\omega _{\textrm{max}}} \omega \right) \right] ^{(l)} (\omega =0)}{l !} \omega ^l \end{aligned}$$
(32)
The Taylor-series of the damping curve given by Eq. (31) is defined as Eq. (32), where \({\hbox {sh}} \left( c_1 \omega / \omega _{\textrm{max}} \right)\) can be expanded in the following way.
$$\begin{aligned} {\hbox {sh}} \left( \frac{c_1}{\omega _{\textrm{max}}} \omega \right) \approx \frac{c_1}{\omega _\textrm{max}} \omega + \frac{1}{6} \left( \frac{c_1}{\omega _\textrm{max}} \right) ^3 \omega ^3 +\ldots + \frac{1}{L !} \left( \frac{c_1}{\omega _\textrm{max}} \right) ^L \omega ^L \end{aligned}$$
(33)
The equation above is in accordance with Eq. (30), both of them contains only members of \(\omega\) of odd powers. However, as the aimed damping curve must be determined for the ADR (see [36]), the polynomial in Eq. (33) cannot be used directly. Based on the character given as Eq. (31), the corresponding \(\xi\) values (PDR) must be calculated using the Krawczyk root finding method [38].
$$\begin{aligned} \xi (\omega ) \approx \sum _{j=1}^{N} \frac{a_j}{\omega _{\textrm{max}}^{2j-1}} \omega ^{2j-1}= \frac{a_1}{\omega _{\textrm{max}}} \omega + \frac{a_2}{\omega _{\textrm{max}}^3} \omega ^3 +\ldots + \frac{a_N}{\omega _{\textrm{max}}^{2N-1}} \omega ^{2 N -1} \end{aligned}$$
(34)
Considering the resulting discrete points, the curve fitting of polynomial (34) can be done using the least squares method.
$$\begin{aligned} \alpha _j = 2 \frac{a_j}{\omega _{\textrm{max}}^{2j-1}} \end{aligned}$$
(35)
Knowing \(a_j\) parameters, the coefficients in Eq. (27) can be calculated as Eq. (35). For this purpose, only the calculation of the maximal circular eigenfrequency must be performed. All the other \(\omega\) values are free to choose within the interval of \((0,\omega _{\textrm{max}})\).

3 Results

3.1 Analysis of damping characteristics

3.1.1 Model

In order to examine the efficacy of different damping characters in reducing the spurious oscillations emerging in a contact problem, a simple numerical example has been considered. In Fig. 1 the mechanical model of a simplified impact problem is shown. The model represents the time moment of the impact, when the linear elastic rod is colliding with the rigid wall. The right side endpoint (\(\textbf{B}\)) of the rod of length l is fixed while a \(v_{0}\) initial velocity is defined for every other point of the rod. Point \(\textbf{A}\) signifies the centerpoint of the rod which shall be important for examinations in the forthcoming sections. Because of the fixed endpoint, an elastic deformation occurs alongside the x direction which can be described as a propagating wave. Similar examples are used oftentimes to test experimental numerical methods [2, 18, 40].
Fig. 1
The mechanical model of the wave propagation problem
Full size image
The above presented test example is solved using the FEM with a one dimensional (1D) FE model. The boundary conditions are shown in Fig. 2. This model is compiled using 1D truss elements with 1 Degrees of Freedom (DoF) per node which is the longitudinal displacement. It contains uniform elements with \(E=90\,{\hbox {MPa}}\) and \(\rho =7.85 \cdot {10^{-9}}\, \frac{{\hbox {kg}}}{{\hbox {mm}}}\) material parameters, the initial velocity is \(v_{0}=1000\,\frac{{\hbox {mm}}}{{\hbox {s}}}\), while the parameters of the mesh are the following: \(l=20\,{\hbox {mm}}\), \(n=100\), \(l_{e}=0.2\,{\hbox {mm}}\).
Fig. 2
FE model (1D)
Full size image
Applying this simple 1D model is beneficial in many ways. The simplistic FE model provides a very fast numerical calculation which has a great importance in experimenting with different damping characteristics. The impact induces sudden changes in the acceleration and velocity functions which put the tested methods to the probe. However, the most important feature of this example is the availability of an exact solution [4] that provides a good reference to examine the accuracy of the numerical solutions.

3.1.2 Numerical methods

The main goal of comparing the results of different numerical methods is the intend to analyse what kind of characteristics would be the most effective to get rid of the spurious oscillations. For the sake of simplicity, three basic character types are distinguished based on the curvature of the damping curve: degressive, linear and progressive.
The degressive characteristics is represented by the well-known Newmark method and its improved version, the HHT-\(\alpha\) method. The ruling parameter for the latter scheme has been set by the relationship that had been deducted in [5]. The BV method possess a linear damping curve exerted as viscous damping. As BV only produces the damping matrix, it is coupled with the CDM. Kim’s method has a heavily progressive damping character, while the KR-\(\alpha\) and the \(\rho _{\infty }\)-Bathe methods provide a mixed character with both progressive and degressive stages.
All of the considered numerical methods have alterable numerical damping through one or two ruling parameters. The applied parameters have been set by the corresponding parameter identification for each method on the basis of the procedure that had been written in [5]. The applied time step size is \(\Delta t=0.5\, \Delta t_{\textrm{max}}\) for every method where \(\Delta t_{\textrm{max}}\) is calculated according to the CDM as Eq. (26). The thorough description of each method can be found in the corresponding citations. The main features of the considered methods and the chosen ruling parameters are summarized in Table 1.
Table 1
Comparison of the considered methods
Method name
Character type
Increment type
Parameter value
Newmark
Degressive
Backward
\(\delta =0.5\)
HHT-\(\alpha\)
Degressive
\(\alpha =-0.33\)
\(\rho _{\infty }\)-Bathe
Mixed
\(\rho _{\infty }=0\); \(\gamma =1.74\)
BV
Linear
Forward
\(c_b=0.05\)
KR-\(\alpha\)
Mixed
\(\rho _{\infty }=0.21\)
Kim
Progressive
\(\alpha _2=0.19\)

3.1.3 Comparison of numerical results

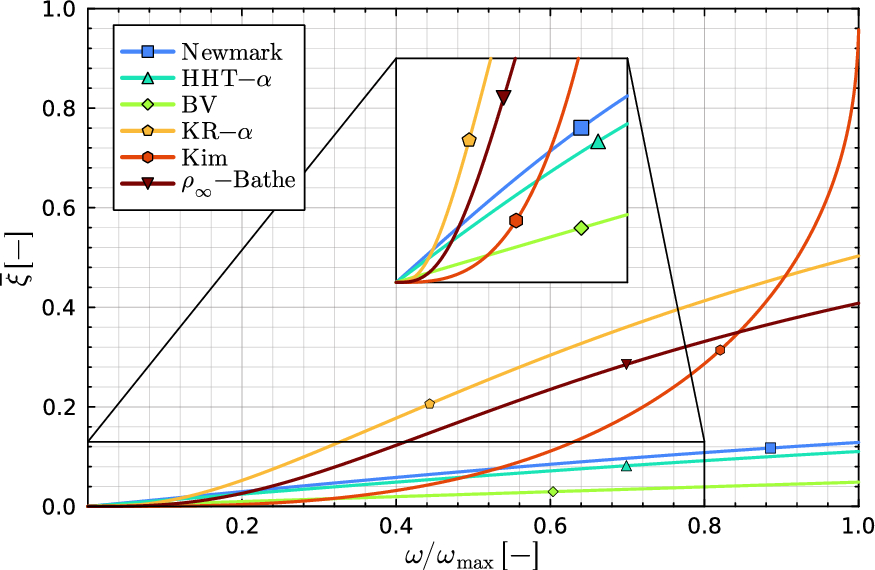
First and foremost the damping characters of the considered methods are compared (Fig. 3). The character types of the damping curves in Fig. 4 are in accordance with Table 1. The KR-\(\alpha\) method results a mixed type character, as it starts in a progressive manner, but at higher eigenfrequencies it becomes degressive.
The effectiveness of the considered methods are compared through the results for the 1D impact problem described in Sect. 3.1.1. Both qualitative and quantitative comparison have been made. The former type is represented by the time evolution of the velocity and the reaction force (Figs. 5 and 6), while the resulting curves are quantified in Fig. 7. For this purpose, four different indicators have been used. The first is the relative error given as follows.
$$\begin{aligned} {\epsilon }_{\textrm{rel}}(\phi )=\frac{{ {\mathop {i}\limits ^{[}}=1]{m}{\sum }|\phi _{i}^{\textrm{num}}-\phi _{i}^{\textrm{ex}}|}}{{ {\mathop {i}\limits ^{[}}=1]{m}{\sum }|\phi _{i}^{\textrm{ex}}|}} \end{aligned}$$
(36)
where m means the number of time steps, \(\phi\) is the quantity to be examined (velocity or reaction force), while \(\phi _{i}^{\textrm{num}}\) and \(\phi _{i}^{\textrm{ex}}\) denote the \(i^{\textrm{th}}\) value for the examined quantity from the numerical and the exact solution, respectively.
The second indicator is the total variation [41] which characterizes the amount of oscillations in the numerical solution. This measure is given according to the following formula. Figure 3 illustrates how it quantifies numerical oscillations.
$$\begin{aligned} {TV(\phi )}={{\mathop {i}\limits ^{[}}=1]{m-1}{\sum }|\phi _{i+1}^{\textrm{num}}-\phi _{i}^{\textrm{num}}|} \end{aligned}$$
(37)
where \(\phi _{i+1}^{\textrm{num}}\) denotes the \((i+1)^{\textrm{th}}\) value from the numerical solution for the examined quantity.
Besides, another indicator, the oscillation error have been applied for the time evolution of velocity according to Idesman [42]. This measure also characterizes the amount of numerical oscillations using a different approach than TV and calculated as follows. The meaning of each quantity in the equations below has been illustrated in Fig. 3.
$$\begin{aligned} e_{\textrm{osc}}={\hbox {max}}(e_1,e_2) \end{aligned}$$
(38)
where
$$\begin{aligned} e_1=\frac{ v_1^{{\hbox {max}}} - v_1^{{\hbox {min}}} }{v_{\textrm{max}}} \quad \hbox {and} \quad e_2=\frac{ v_2^{\textrm{max}} - v_2^{\textrm{min}} }{v_{\textrm{max}}} \end{aligned}$$
(39)
The energy dissipation has been defined as the relative total energy loss in the examined period of time. In the following equation, \({E}_{\textrm{tot}}\) means the total energy of the mechanical system that includes the external work, the kinetic and strain energy.
$$\begin{aligned} {E}_{\textrm{diss}}=\frac{{E}_{\textrm{tot}}(t_0) - {E}_{\textrm{tot}}(t_{\textrm{max}})}{{E}_{\textrm{tot}}(t_0)} \end{aligned}$$
(40)
Fig. 3
Illustrations for \(e_{\textrm{osc}}\) and TV
Full size image
Fig. 4
Damping characteristics of the considered methods
Full size image
Fig. 5
Time evolution of velocity at point \(\textbf{A}\)
Full size image
Examining the comparison of indicators (Fig. 7), the resulted velocity (Fig. 5) and reaction force (Fig. 6) curves, the BV and the Kim method prove to be offering the most effective solutions. The BV method provides the best overall solution with effective oscillation reduction, high accuracy and reasonable energy dissipation. The Kim method is not so effective in eliminating the spurious oscillations. However, it results a very good accuracy with especially little energy dissipation. The major drawback of this method is that it cannot exert more damping effect than by the considered parameter value. The further increase of \(\alpha _2\) would cause divergence in the solution.
Fig. 6
Time evolution of reaction force at point \(\textbf{B}\)
Full size image
Fig. 7
Quantitative comparison of the considered methods
Full size image
Considering the here presented results comprehensively, it suggests that the optimal damping character may be produced as the combination of the linear and the progressive damping curves. The main problem with the Kim method’s character is that its initial steepness is very low, causing that it cannot exert enough damping to reduce the spurious oscillations substantially. However, a progressive damping curve with higher initial steepness could be more effective by keeping the beneficial accuracy and energy dissipation indicators. These insights confirm that the specific damping character given as Eq. (31) may be an appropriate choice to reduce spurious components effectively. The numerical properties of defining the damping character in this way shall be thoroughly analysed in the further sections.

3.2 Accuracy of approximation

In proposed approach, the determination of damping character has been realized using Caughey damping according to Eq. (31), as it had been detailed in Sect. 2.3. However, as it provides only an approximate representation of matrix \(\textbf{C}\), a sufficiently high number of \(\omega\) values must be taken into consideration in Eqs. (32) and (27). The minimal value for it has been determined by the number of terms considered in the Taylor-series.
$$\begin{aligned} \epsilon _{\textrm{rel}}^{\textrm{ADR}}=\frac{|\overline{\xi }_{\textrm{approx}}(\omega ) - \overline{\xi }(\omega ) |}{\overline{\xi }(\omega )} \end{aligned}$$
(41)
Fig. 8
Accuracy of approximating the damping curve with its Taylor-series at \(c_2=0.9\)
Full size image
Figure 8 shows the accuracy of approximating Eq. (31) with different maximal degrees and a fixed \(c_2=0.9\) parameter. (The explanation of choosing this parameter value will be found in the following section.) The approximation error given as Eq. (41) has been examined in the function of curvature which is determined by \(c_1\) in a range of \(c_1 \in [0,10]\). Each curve is plotted only until it does not exceed \(\overline{\xi }_{\textrm{max}}=1\). Surpassing this value may cause divergence in the solution, so it must be avoided. Hence, many of the curves corresponding to certain maximal degrees are only usable in a limited range of \(c_1\). Raising the curvature of damping character by increasing \(c_1\) results that the approximation requires higher degrees to achieve a certain level of accuracy. Considering the resulting curves, \(L\ge 11\) offers a sufficient accuracy in a wide range of \(c_1\).

3.3 Parameter identification

As it has been deducted in the former sections, the \({\hbox {sh}}(x)\) type damping character given as Eq. (31), defined as Caughey damping is promising to reduce spurious oscillations effectively. In order to prove this efficacy, the effect of the ruling parameters: \(c_1\) and \(c_2\) must be analyzed. For this purpose, the same indicators shall be used as it has been in Sect. 3.1.3: the relative error given as Eq. (36), the total variation defined as Eq. (37) and the energy dissipation according to Eq. (40). These measures have been calculated using the same 1D model as it has been used in Sect. 3.1.1 with identical parameters.
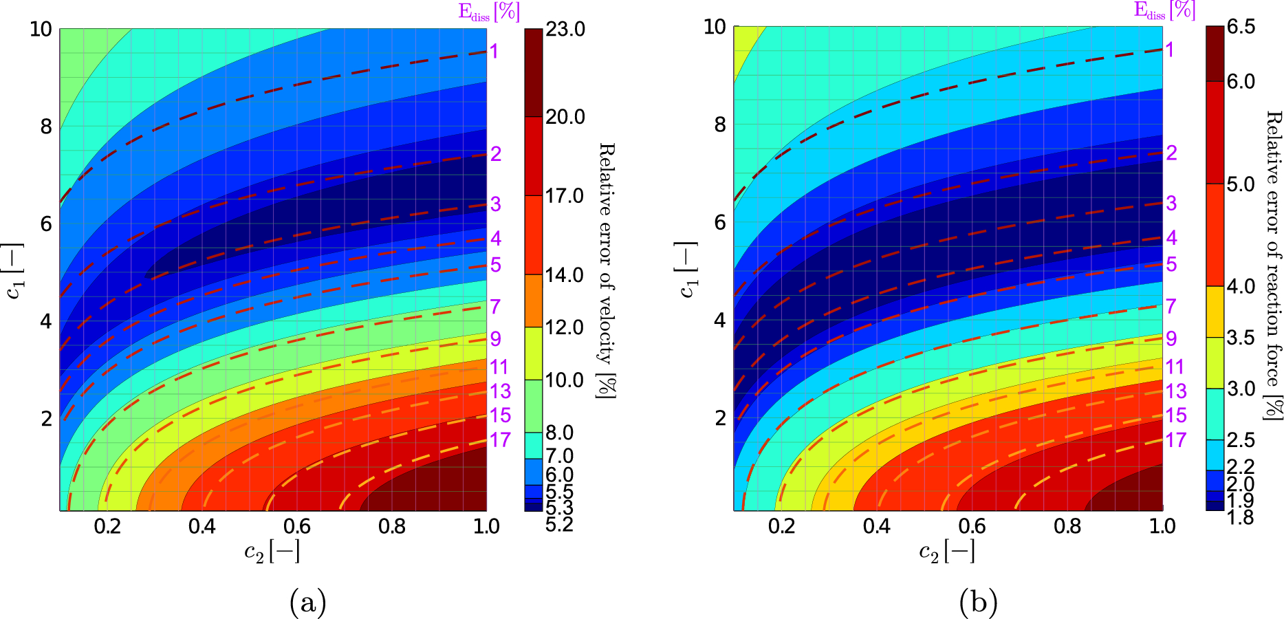
Fig. 9
Relative error of the velocity and the reaction force
Full size image
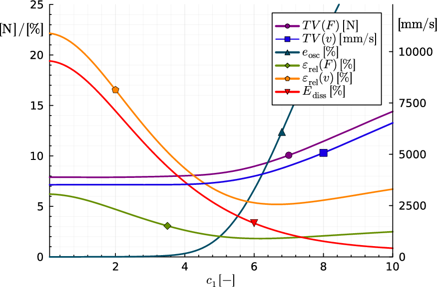
The relative error and the total variation have been examined in the function of \(c_1\) and \(c_2\) for both the reaction force and the velocity. In Fig. 9 and Fig. 10 these measures are illustrated, respectively. The energy dissipation is visualized using trajectories denoted with dashed lines in the figures. Besides, Fig. 11 shows the distribution of the above mentioned accuracy measures according to \(c_1\) parameter value while fixing \(c_2\).
Fig. 10
Total variation of the velocity and the reaction force
Full size image
Fig. 11
Parameter identification of \(c_1\) at \(c_2=0.9\)
Full size image
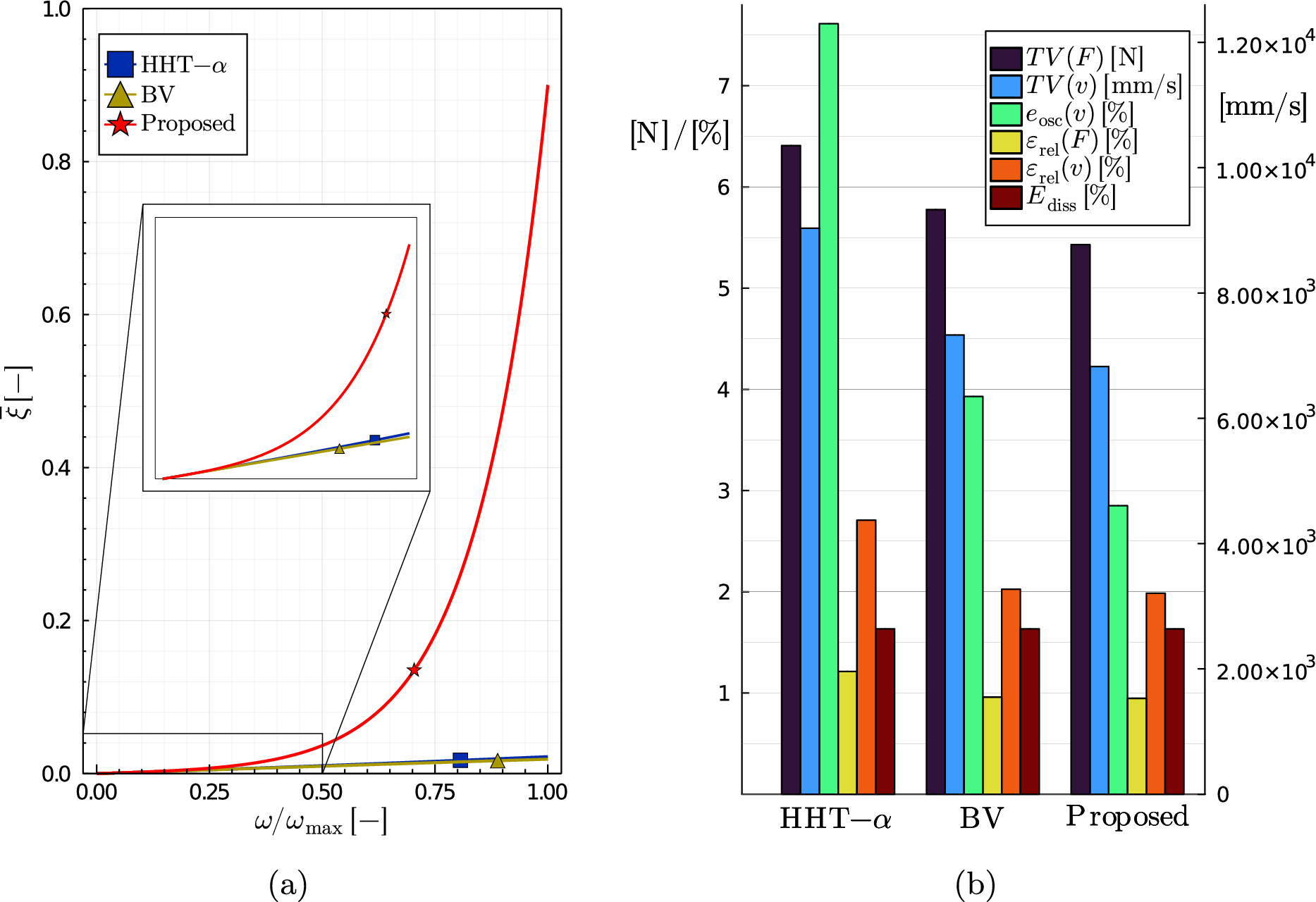
In order to prove that the proposed method is more effective than other widely applied schemes, it has been compared with the HHT-\(\alpha\) and the BV methods. In Fig. 12a the total variations and the relative errors are compared in the function of the energy dissipation, while (b) shows the corresponding parameter values.
Fig. 12
Comparison of methods by indicators
Full size image

3.4 Comparison with 1D model

As it has been examined through accuracy indicators in the previous section, the proposed method can provide a more beneficial solution than the HHT-\(\alpha\) or the BV method. However, for further evidence of efficacy, the time evolution of the velocity and the reaction force must be plotted for the test example that has been used in section 3.1. The wave propagation in the colliding rod shall be described using both 1D and 2D models.
In 1D the same type of model shall be used as it has been in Sect. 3.1.1. However, to prove the comparative effectiveness for varying element sizes, the number of elements will be increased to \(n=500\) which results a finer spatial approximation with \(l_e=0.04\,[\hbox {mm}]\). Based on Fig. 12b a, the ruling parameters of the proposed method has been set as \(c_1=6.4\) and \(c_2=0.9\). In order to compare the results at identical energy dissipation levels, the parameters for the HHT-\(\alpha\) and the BV methods have been set for \(\alpha =-0.079\) and \(c_{\textrm{b}}=0.0195\), respectively.
The damping characteristics belonging to this parameter setting are shown in Fig. 13a. The damping curve of the proposed method starts with an initial steepness similar to the HHT-\(\alpha\) and the BV methods, but overall it has a heavily progressive character. In Fig. 13b, the formerly established accuracy indicators have been compared. For the qualitative comparison, the time evolution of the velocity and reaction force have been considered in Figs. 14 and 15, respectively.
Fig. 13
Damping curves and accuracy measures of the considered methods
Full size image
Fig. 14
Time evolution of velocity at point \(\textbf{A}\)
Full size image
Fig. 15
Time evolution of reaction force at point \(\textbf{B}\)
Full size image

3.4.1 The effect of time step size and element number

For further analysis of the proposed method, the considered indicators have been determined for different temporal and spatial discretizations to examine the effect of the time step size and the element number. (In the 1D model, the DoF and the element numbers are equal.) The indicators have been displayed in the function of the time step size and DoF separately. In Fig. 16a the effect of element number is shown where the time step size is fixed as \(\Delta t=3.113\cdot 10^{-8}\,[{\hbox {s}}]\), while in Fig. 16b the effect of time step size is shown where \(n=200\) has been considered as the element number.
Fig. 16
Accuracy indicators for varying DoFs and time step sizes
Full size image

3.5 Comparison with 2D model

After the thorough analysis of the 1D FE model in the previous section, a more complex case shall be examined. For this purpose, a similar impact problem has been considered as it had been in Sect. 3.1.1. However, this time the collision between the elastic rod and the rigid wall is included in the mechanical model represented in Fig. 17. The FE model and the boundary conditions can be seen in Fig. 18. The contact condition has been defined according to the Lagrange multiplier method detailed in Sect. 2.1.2. This model is compiled using 2D quadrilateral elements with 2 DoF per node which are the longitudinal and the transversal displacement. It contains uniform elements with the same material parameters and initial velocity like in the 1D model. The parameters of the mesh are the following: \(l=100\,{\hbox {mm}}\), \(h=10\,{\hbox {mm}}\), \(n=320\), \(m=32\), \(\Delta h=0.3125\,{\hbox {mm}}\).
Fig. 17
Mechanical model of a colliding rod
Full size image
Fig. 18
FE model (2D)
Full size image

3.5.1 Identifying spurious oscillations

For the considered 2D impact problem, the HHT-\(\alpha\), the BV and the proposed methods have been compared, as they had been in Sect. 3.4. The ruling parameters for each method have been set to \(\alpha =-0.04\), \(c_b=0.186\), \(c_1=7.72\) and \(c_2=0.9\), respectively. Thus, the considered methods can be compared at an identical energy dissipation level of \(E_{\textrm{diss}}=2.984\;[\%]\). The applied time step size is \(\Delta t=0.5\, \Delta t_{\textrm{max}}\) for every method where \(\Delta t_{\textrm{max}}\) is calculated according to the CDM as Eq. (26).
The most problematic feature of the considered 2D problem is that it can not be solved analytically. Hence, there is no exact solution which would provide a reference for the assessment of numerical results. Thus, spurious oscillations must be identified in the resulting quantities to evaluate the considered numerical methods appropriately.
For this purpose, the time evolution of pressure and velocity both have been transformed into the frequency domain using Fast Fourier Transform (FFT). As spurious oscillations originate from the spatial discretization, their frequencies depend on the density of FE mesh [2]. Thus, different \(\Delta h\) element sizes result spurious oscillations with varying frequencies, but oscillations that have a real, physical origin are left intact, their frequencies are independent from the spatial discretization. Hence, by examining the FFT of velocity and pressure considering different uniform mesh sizes in Figs. 19 and 20, the frequency range, where spurious oscillations occur can be identified.
Fig. 19
FFT of velocity at point \(\textbf{A}\) for different element sizes
Full size image
Fig. 20
FFT of contact pressure for different element sizes
Full size image
In order to examine the amount of damping exerted in different frequency regions, the Power Spectral Density (PSD) has been applied with hanning window smoothing. In Figs. 21 and 22, the HHT-\(\alpha\), the BV and the proposed method have been compared through the PSD of velocity and contact pressure, respectively. For this purpose, a uniform \(\Delta h = 0.3125\,[\hbox {mm}]\) element size has been applied for every considered method.
Fig. 21
PSD of velocity at point \(\textbf{A}\) for different element sizes
Full size image
Fig. 22
PSD of contact pressure for different element sizes
Full size image

3.5.2 Comparison by indicators

In order to characterize the amount of oscillations present in the numerical solution, the total variation has been considered given as Eq. (37). However, relative error can not be computed for the 2D model, as no exact solution is available as reference. Hence, the error originated from the spatial and temporal discretization has been quantified using the Richardson extrapolation [43] for both the velocity and contact pressure. The errors must be calculated separately for each discretization according to the following formulae.
$$\begin{aligned} \varepsilon _{d_1 , i}(\phi ) = \phi _{\textrm{exact,i}} - \phi _{d_1,i} \cong \frac{\phi _{d_1,i}-\phi _{d_2,i}}{r^{\tilde{p}_{i}}} \end{aligned}$$
(42)
where
$$\begin{aligned} \tilde{p}_i=\log _{r} \left( \frac{\phi _{d_3, i}-\phi _{d_2, i}}{\phi _{d_2, i}-\phi _{d_1, i}}\right) \end{aligned}$$
(43)
and
$$\begin{aligned} r=\frac{d_3}{d_2}=\frac{d_2}{d_1} \end{aligned}$$
(44)
In Eq. (42), \(\phi\) means the quantity to be considered (velocity or contact pressure), \(\varepsilon _{d_1, i}\) is the error for \(d_1\) discretization step size (\(\Delta h_1\) or \(\Delta t_1\)) at the \(i^{\textrm{th}}\) time step, while \(\phi _{\textrm{exact,i}}\) denotes the exact solution for the examined quantity at the \(i^{\textrm{th}}\) time step. \(\phi _{d_1, i}\), \(\phi _{d_2, i}\) and \(\phi _{d_3, i}\) mean the numerical solution at the \(i^{\textrm{th}}\) time step for \(d_1\), \(d_2\) and \(d_3\) discretization step sizes, respectively. In Eq. (44), r denotes the ratio of discretization step sizes which has been chosen as \(r=2\) for both the spatial and temporal discretization. Thus, for the element size \(\Delta h_1=0.3125 \; [{\hbox {mm}}]\), \(\Delta h_2=0.625 \; [{\hbox {mm}}]\) and \(\Delta h_3=1.25 \; [{\hbox {mm}}]\) have been considered, while \(\Delta t_1=4 \cdot 10^{-7} \; [{\hbox {s}}]\), \(\Delta t_2=8 \cdot 10^{-7} \; [{\hbox {s}}]\) and \(\Delta t_3=1.6 \cdot 10^{-6} \; [{\hbox {s}}]\) have been given for the time step size.
$$\begin{aligned} \overline{\varepsilon }_{d}(\phi ) =\frac{1}{m} \sum _{i=1}^{m} \left|\frac{\varepsilon _{d_1 , i}(\phi )}{ \phi _{d_1,i}} \right| \end{aligned}$$
(45)
In the comparison, an averaged value of \(\varepsilon _{d_1, i}\) has been considered according to Eq. (45). Thus, the so resulting indicator is similar to the relative error that has been used in Sect. 3.4. In Fig. 23, the considered methods have been compared through the above mentioned indicators. Every measure has been calculated for both the time evolution of velocity at point \(\textbf{A}\) (see Fig. 24) and contact pressure (see Fig. 25).
Fig. 23
Quantitative comparison of the considered methods
Full size image

3.5.3 Qualitative comparison

The qualitative comparisons have been presented for the time evolution of the velocity, the contact pressure and the energy dissipation in Figs. 24, 25 and 26, respectively. The velocity has been considered at the centerpoint of the rod, while the contact pressure refers to the contact zone at point \(\textbf{B}\). As the contact pressure is distributed along a concrete edge of the model, an averaged value has been calculated for relevant comparison, considering every node of the contact. The spatial discretization has been realized with \(\Delta h = 0.3125\,[{\hbox {mm}}]\) element size, while \(\Delta t=0.5\, \Delta t_{\textrm{max}}\) time step size has been given for every considered method.
Fig. 24
Time evolution of velocity at point \(\textbf{A}\)
Full size image
Fig. 25
Time evolution of contact pressure
Full size image
Fig. 26
Time evolution of energy dissipation
Full size image

4 Discussion

4.1 Insights for calculations on the 1D model

First and foremost, the results of parameter identification shall be considered which had been detailed in Sect. 3.3. For both indicators, the least achievable values at any considered energy dissipation trajectory are placed at the right side of Figs. 9 and 10. Thus, the optimal \(c_2\) value can be determined obviously at \(c_2=1\). However, defining damping characters with maximal values close to 1 according to Sect. 2.3.1 is problematic. After the approximation, the resulting damping curve may easily exceed the maximal permissible ADR value (\(\overline{\xi }=1\)) thereby causing divergence in the solution. Thus, for practical reasons, \(c_2\) has been fixed slightly below the optimal value: \(c_2=0.9\). This fixation is recommended to be applied universally regardless of the examined problem.
Finding the optimal setting for \(c_1\) is more complicated, as minimal values for \(\varepsilon _{\textrm{rel}}\) and TV are at different places alongside \(c_2=0.9\). So, as it has been expectable, a compromising value must be found with a sufficient damping for the spurious oscillations and reasonable accuracy. In Fig. 11, \(\varepsilon _{\textrm{rel}}\) and TV are plotted for the reaction force and the velocity in the function of \(c_1\) as well as the energy dissipation. In comparison with other methods, Fig. 12b a confirms that the proposed method results more beneficial indicator values in the low dissipation area which is the most important range in practice. If \(E_{\textrm{diss}} \le 4\,[\%]\), then the proposed method shall be better in every considered indicator than the HHT-\(\alpha\) or the BV method.
The quantitative comparison in Fig. 13 also fulfils the expectations, as the proposed method overcomes both of the considered methods in every single indicator. The improvement in relative error is not so significant compared to the BV method, but the difference in total variation is remarkable. Inspecting Figs. 14 and 15, the solution of the proposed method contains significantly less oscillations than other methods without deteriorating the accuracy. The same can be noticed about the time evolution of reaction force which has been shown in Fig. 15. The oscillations are still present, as they cannot be fully eliminated by keeping the energy dissipation reasonably low. Nevertheless, the amplitude of the oscillations is significantly reduced and moreover, they are extinguished faster compared to the HHT-\(\alpha\) and the BV methods.
Considering the effect of element number in Fig. 16a, the relative errors and the energy dissipation diminish linearly with logarithmic scaling which is the standard expectation for an FE model. The total variations also decrease, although the gradient of decline is much more reduced. Besides, Fig. 16b shows that the effect of time step size is not so significant compared to the element number. Applying time steps close to the critical value, both the total variations and the relative errors can be improved slightly. However, this improvement goes along with an increased amount of energy dissipation.

4.2 Insights for calculations on the 2D model

After proving the efficacy of the proposed method for the 1D FE model in the previous section, a more complex case has been examined. As it can be concluded based on Figs. 19 and 20, below a certain frequency level the spectrum of the velocity and the contact pressure both show a perfect match for different element sizes. This frequency range is considered as an oscillation free zone and contains only vital components of the velocity and contact pressure signals. This critical frequency level is \(3948\;[{\hbox {Hz}}]\) for the velocity and \(4710\;[{\hbox {Hz}}]\) for the contact pressure, respectively. However, above this critical frequency level, the spectrum of the velocity and the contact pressure both starts to deviate. In this frequency range, both of the considered signals contain spurious oscillations, so it is called the spurious oscillation zone. Thus, damping effect must be mainly exerted in the latter zone for reducing spurious oscillations without deteriorating the accuracy.
Considering the PSD of velocity and contact pressure in Figs. 21 and 22, the curves are in a perfect match in the oscillation free zone. In the spurious oscillation zone, the lower PSD levels are desirable, as it means that the damping of these frequency components are more effective. Hence, in Fig. 21, the proposed method results clearly the most beneficial PSD characteristics. Besides, in Fig. 22 the BV and the proposed schemes provide matching PSD characters, while the HHT-\(\alpha\) method contains significantly more oscillations. These findings have been proven that the proposed method exerts damping more effectively in the problematic spurious oscillation zone.
Evaluating the quantitative results presented in Sect. 3.5.2, the proposed method provides clearly the most beneficial solution for the considered 2D impact problem at identical energy dissipation levels in both accuracy and oscillation measures. Considering the total variation for each scheme, the numerical results of the proposed method contain at least \(3.971\,[\%]\) less oscillation for the velocity and \(5.757\,[\%]\) for the contact pressure. Besides, comparing the estimated average relative errors, a favourable outcome can be obtained too, as the proposed scheme overcomes the HHT-\(\alpha\) and BV methods. The only exception is \(\overline{\varepsilon }_{\Delta t}(p)\), where BV offers the most beneficial result, but only with a minor difference.
Considering the resulting curves in Sect. 3.5.3, it can be concluded that the proposed method exerts damping for the spurious oscillations more effectively than the BV and the HHT-\(\alpha\) methods. Similarly to the 1D case, the oscillations cannot be fully eliminated by keeping the energy dissipation reasonable low. However, the amplitudes of the oscillations are smaller compared to the other considered methods and the oscillations are extinguished faster. Consequently, the proposed method proved to be effective for the considered 2D impact problem as well.
As it can be seen in Fig. 26, the proposed method dissipates the most energy during the contacting time interval and right after the departure too. This indicates that damping is mainly exerted in the most problematic zone, where spurious oscillations originate from. However, following the contact, energy dissipation increases with a modest rate compared to the HHT-\(\alpha\) and the BV. Thus, the proposed method does not affect vital parts of the resulting quantities as much as other schemes in the less problematic free wave propagation zone which is also favourable feature.

5 Conclusion

In this article, an effective method has been presented whose main function is to reduce the spurious oscillations in contact-impact problems. This novel approach is based on the central difference method and uses viscous damping given as Caughey damping. The damping character is defined according to the appropriate formulation of the \({\hbox {sh}}(x)\) function. This combination is unique and has not been applied in the literature before. In the next phases of research, the efficiency of other functions is planned to be examined as well. The efficacy of the method has been tested using 1D and 2D test examples, the numerical properties has been analyzed thoroughly. Considering the latter model, the proposed method contain at least \(3.971\,[\%]\) less oscillation for the velocity and \(5.757\,[\%]\) for the contact pressure at identical energy dissipation levels. Thus, the numerical results proved to be very advantageous for both test examples, as they were significantly better than many existing numerical methods in multiple aspects. The successful tests presented in this article suggests that the proposed method can be effective for more complex models as well.

Acknowledgements

The research was supported by the EKÖP-24-4-I-SZE-110 University Research Fellowship Program of the Ministry for Culture and Innovation from the source of the National Research, Development and Innovation Fund.

Declarations

Conflict of interest

The authors declare no Conflict of interest.
Open Access This article is licensed under a Creative Commons Attribution 4.0 International License, which permits use, sharing, adaptation, distribution and reproduction in any medium or format, as long as you give appropriate credit to the original author(s) and the source, provide a link to the Creative Commons licence, and indicate if changes were made. The images or other third party material in this article are included in the article's Creative Commons licence, unless indicated otherwise in a credit line to the material. If material is not included in the article's Creative Commons licence and your intended use is not permitted by statutory regulation or exceeds the permitted use, you will need to obtain permission directly from the copyright holder. To view a copy of this licence, visit http://creativecommons.org/licenses/by/4.0/.

Publisher's Note

Springer Nature remains neutral with regard to jurisdictional claims in published maps and institutional affiliations.
Download
Title
An effective reduction method with Caughey damping for spurious oscillations in dynamic problems
Authors
Dániel Serfözö
Balázs Pere
Publication date
12-08-2025
Publisher
Springer Netherlands
Published in
Meccanica / Issue 9/2025
Print ISSN: 0025-6455
Electronic ISSN: 1572-9648
DOI
https://doi.org/10.1007/s11012-025-02036-9
1.
go back to reference Bathe K-J (2006) Finite element procedures. Klaus-Jurgen Bathe
2.
go back to reference Jiang L, Rogers RJ (1990) Effects of spatial discretization on dispersion and spurious oscillations in elastic wave propagation. Int J Numer Meth Eng 29(6):1205–1218CrossRef
3.
go back to reference Hughes TJ, Taylor RL, Sackman JL, Curnier A, Kanoknukulchai W (1976) A finite element method for a class of contact-impact problems. Comput Methods Appl Mech Eng 8(3):249–276CrossRef
4.
go back to reference Carpenter NJ, Taylor RL, Katona MG (1991) Lagrange constraints for transient finite element surface contact. Int J Numer Meth Eng 32(1):103–128CrossRef
5.
go back to reference Serfőző D, Pere B (2022) Application analysis of time stepping methods for impact problems. Pollack Periodica 17(3):30–35CrossRef
6.
go back to reference Acary V (2013) Projected event-capturing time-stepping schemes for nonsmooth mechanical systems with unilateral contact and coulomb’s friction. Comput Methods Appl Mech Eng 256:224–250MathSciNetCrossRef
7.
go back to reference Tang T, Zhou W, Luo K, Tian Q, Hu H (2023) Dynamic modeling and analysis of discontinuous wave propagation in a rod. J Sound Vib 569:117991CrossRef
8.
go back to reference Mirbagheri Y, Nahvi H, Parvizian J, Düster A (2015) Reducing spurious oscillations in discontinuous wave propagation simulation using high-order finite elements. Comput Math Appl 70(7):1640–1658MathSciNetCrossRef
9.
go back to reference Neto AB, Mansur WJ, Ferreira WG (2022) Spurious oscillations reduction in transient diffusion and wave propagation problems discretized with the finite element method. Sci Rep 12(1):18887CrossRef
10.
go back to reference Lerat A, Peyret R (2005) The problem of spurious oscillations in the numerical solution of the equations of gas dynamics. In: Proceedings of the fourth international conference on numerical methods in fluid dynamics: June 24–28, 1974, University of Colorado, pp 251–256. Springer
11.
go back to reference Lee TK, Zhong X (1999) Spurious numerical oscillations in simulation of supersonic flows using shock-capturing schemes. AIAA J 37(3):313–319CrossRef
12.
go back to reference Noh G, Bathe K-J (2013) An explicit time integration scheme for the analysis of wave propagations. Comput Struct 129:178–193CrossRef
13.
go back to reference Chung J, Lee JM (1994) A new family of explicit time integration methods for linear and non-linear structural dynamics. Int J Numer Meth Eng 37(23):3961–3976MathSciNetCrossRef
14.
go back to reference Wilson E, Farhoomand I, Bathe K (1972) Nonlinear dynamic analysis of complex structures. Earthq Eng Struct Dyn 1(3):241–252CrossRef
15.
go back to reference Bathe K-J (2007) Conserving energy and momentum in nonlinear dynamics: a simple implicit time integration scheme. Comput Struct 85(7–8):437–445MathSciNetCrossRef
16.
go back to reference Chang S-Y (1997) Improved numerical dissipation for explicit methods in pseudodynamic tests. Earthq Eng Struct Dyn 26(9):917–929CrossRef
17.
go back to reference Chung J, Hulbert G (1993) A time integration algorithm for structural dynamics with improved numerical dissipation: the generalized-\(\alpha\) method
18.
go back to reference Kim W (2019) A new family of two-stage explicit time integration methods with dissipation control capability for structural dynamics. Eng Struct 195:358–372CrossRef
19.
go back to reference Hulbert GM, Chung J (1996) Explicit time integration algorithms for structural dynamics with optimal numerical dissipation. Comput Methods Appl Mech Eng 137(2):175–188MathSciNetCrossRef
20.
go back to reference Hilber HM, Hughes TJ, Taylor RL (1977) Improved numerical dissipation for time integration algorithms in structural dynamics. Earthq Eng Struct Dyn 5(3):283–292CrossRef
21.
go back to reference Sumithra B, Tamilselvan A (2015) Numerical solution of stiff system by backward Euler method. Appl Math Sci 9(67):3303–3311
22.
go back to reference Kolay C, Ricles JM (2014) Development of a family of unconditionally stable explicit direct integration algorithms with controllable numerical energy dissipation. Earthqu Eng Struct Dyn 43(9):1361–1380CrossRef
23.
go back to reference Noh G, Bathe K-J (2019) The bathe time integration method with controllable spectral radius: the \(\rho\)-bathe method. Comput Struct 212:299–310CrossRef
24.
go back to reference Newmark NM (1959) A method of computation for structural dynamics. J Eng Mech Div 85(3):67–94CrossRef
25.
go back to reference Benson DJ (1992) Computational methods in Lagrangian and Eulerian hydrocodes. Comput Methods Appl Mech Eng 99(2–3):235–394MathSciNetCrossRef
26.
go back to reference VonNeumann J, Richtmyer RD (1950) A method for the numerical calculation of hydrodynamic shocks. J Appl Phys 21(3):232–237MathSciNetCrossRef
27.
go back to reference Maheo L, Grolleau V, Rio G (2013) Numerical damping of spurious oscillations: a comparison between the bulk viscosity method and the explicit dissipative tchamwa-wielgosz scheme. Comput Mech 51(1):109–128MathSciNetCrossRef
28.
go back to reference Wu B, Bao H, Ou J, Tian S (2005) Stability and accuracy analysis of the central difference method for real-time substructure testing. Earthq Eng Struct Dyn 34(7):705–718CrossRef
29.
go back to reference Hallquist JO (1998) Ls-dyna theoretical manual (v960). Livermore Software Technology Corporation
30.
go back to reference Hibbitt S, Karlsson (2007) Abaqus theory manual (v6.7). Inc of Pawtucket, Rhode Island
31.
go back to reference Caughey T (1960) Classical normal modes in damped linear dynamic systems
32.
go back to reference Adhikari S (2006) Damping modelling using generalized proportional damping. J Sound Vib 293(1–2):156–170CrossRef
33.
go back to reference Semblat J-F, Gandomzadeh A, Lenti L (2010) A simple numerical absorbing layer method in elastodynamics. CR Mec 338(1):24–32CrossRef
34.
go back to reference Willner K, Gaul L (1970) A penalty approach for contact description by fem based on interface physics. WIT Trans Eng Sci 7
35.
go back to reference Papadopoulos P, Solberg J (1998) A Lagrange multiplier method for the finite element solution of frictionless contact problems. Math Comput Model 28(4–8):373–384CrossRef
36.
go back to reference Serfőző D, Pere B (2023) A method to accurately define arbitrary algorithmic damping character as viscous damping. Arch Appl Mech 93(9):3581–3595CrossRef
37.
go back to reference Wu SR (2006) Lumped mass matrix in explicit finite element method for transient dynamics of elasticity. Comput Methods Appl Mech Eng 195(44–47):5983–5994MathSciNetCrossRef
38.
go back to reference Mori H, Yuihara A (1999) Calculation of multiple power flow solutions with the krawczyk method. In: 1999 IEEE international symposium on circuits and systems (ISCAS), vol 5, pp 94–97. IEEE
39.
go back to reference Pere B, Serfőző D (2024) An improved bulk viscosity method for contact-impact problems
40.
go back to reference Sun J, Lee K, Lee H (2000) Comparison of implicit and explicit finite element methods for dynamic problems. J Mater Process Technol 105(1–2):110–118CrossRef
41.
go back to reference Shu C-W (1988) Total-variation-diminishing time discretizations. SIAM J Sci Stat Comput 9(6):1073–1084MathSciNetCrossRef
42.
go back to reference Idesman A, Samajder H, Aulisa E, Seshaiyer P (2009) Benchmark problems for wave propagation in elastic materials. Comput Mech 43(6):797–814MathSciNetCrossRef
43.
go back to reference Marchi CH, Silva A (2005) Multi-dimensional discretization error estimation for convergent apparent order. J Braz Soc Mech Sci Eng 27:432–439CrossRef
Image Credits
in-adhesives, MKVS, Ecoclean/© Ecoclean, Hellmich GmbH/© Hellmich GmbH, Krahn Ceramics/© Krahn Ceramics, Kisling AG/© Kisling AG, ECHTERHAGE HOLDING GMBH&CO.KG - VSE, Schenker Hydraulik AG/© Schenker Hydraulik AG