Skip to main content
Top

Carbochlorination of YOCl for Synthesis of YCl3

  • Open Access
  • 10-09-2024
  • Original Research Article
Published in:

Activate our intelligent search to find suitable subject content or patents.

search-config
loading …

Abstract

The article delves into the recycling of titanium scraps, particularly focusing on the deoxidation processes involved. It discusses the challenges and limitations of existing methods, such as the high energy input required for calcium-based processes. The authors introduce the magnesium deoxidation process assisted by rare earth oxychlorides, which shows promise in achieving low oxygen concentrations. The study specifically investigates the efficient synthesis and separation of YCl3 from YOCl through carbochlorination. Experimental procedures and results are detailed, highlighting the potential of this process for upgrading titanium scrap recycling technology. The article concludes with a discussion on the operational advantages and challenges of the chlorination reactor used in the study.

Publisher's Note

Springer Nature remains neutral with regard to jurisdictional claims in published maps and institutional affiliations.

Introduction

Recycling of Titanium

During the fabrication process of titanium (Ti) alloy parts, such as in the aerospace industry, large amounts of Ti scraps such as swarf (or cutting chips and turnings) contaminated by oils are generated.[13] High-quality scraps are cleaned and reutilized by mixing them into virgin materials during the remelting process of Ti alloys. During the reduction step in the smelting of Ti (the Kroll process), Ti scraps contaminated by iron and oxygen are generated.[13] Oxygen concentration significantly increases particularly during the fabrication process because many new surfaces are formed by machining under air and the surfaces are simultaneously oxidized. Low-quality scraps are recycled by producing a deoxidation agent and/or an alloying agent for ferrous metallurgy; this is termed cascade recycling.[13] This type of recycling indicates to use wastes repeatedly according to the quality level that has deteriorated after use. As the demand for Ti increases, the generation of low-quality Ti scraps increases and exceeds the demand for cascade recycling in ferrous metallurgy. Therefore, the development of an upgrading recycling technology, in which scraps are refined and reutilized, is required.
A few recycling processes, the deoxidation of Ti scrap by calcium metal[48] and the electrorefining of Ti sponge in molten salts[9] have been applied in a pilot scale. Recently, several recycling technologies have been investigated. The details are described elsewhere.[3] Okabe et al. developed Ca–halide flux deoxidation[1013] and the electrochemical deoxidation[14] processes. Subsequently, Chen et al. developed the FFC process.[15] These processes can establish a very low oxygen concentration, but the energy input such as cell voltage is large because the decomposition voltage of CaO is large. Ono and Suzuki developed the OS process[16] where TiO2 was reduced by the electrochemically formed calcium metal in molten CaCl2. This process also has challenges such as high cell voltage.
The authors are focusing on the magnesium (Mg) deoxidation process assisted by the formation of oxychlorides of rare earth metals[1726] as a promising candidate for upgrading the Ti scrap recycling technology. This process can establish a low oxygen concentration of 500 mass ppm[23] which is significantly lower than that specified in ASTM Grade 1 (1800 mass ppm). Above-mentioned Ca–halide flux deoxidation process can establish a very low oxygen concentration 50 to 70 mass ppm,[11] but the production of Ca reductant requires huge energy. The hydrogen-assisted magnesiothermic reduction (HAMR) process[27,28] has a competitive performance with the Mg deoxidation process. The HAMR process uses Mg as the reduction and deoxidation agents under hydrogen which thermodynamically destabilizes oxygen in Ti by hydride formation. The HAMR process can establish a low oxygen concentration of 790 mass ppm[28] which meets the specification in ASTM Grade 1 (1800 mass ppm). The HAMR process has challenges such as slow reduction rate derived from the formation of intermediates (MgTiO3 etc.) and from the low solubility of reductant Mg in the molten salt flux. Safe handling of hydrogen is also a challenge.
In the Mg deoxidation process assisted by the formation of oxychlorides of rare earth metals, rare earth chlorides, such as yttrium chloride (YCl3), are added as auxiliary reaction agents. As the Ti deoxidation progresses, yttrium oxychloride (YOCl) forms according to following reaction.[24]
$$ {\text{O }}\left( {\text{in Ti}} \right) \, + {\text{ Mg }}\left( l \right) \, + {\text{YCl}}_{{3}} \left( {\text{in molten salt}} \right) \to {\text{MgCl}}_{{2}} \left( {\text{in molten salt}} \right) \, + {\text{ YOCl }}\left( s \right) $$
(1)
Mg in MgCl2 doesn’t sufficiently decrease an oxygen potential, but the oxygen potential in the reaction system becomes significantly low by introducing YCl3. This is because YOCl is thermodynamically very stable.
This YOCl byproduct must be converted to YCl3 in order to establish the deoxidation process. In the present study, the authors investigated efficient synthesis and separation of YCl3 from YOCl by conducting synthesis and separation experiments under various conditions.

Principle

For the synthesis of YCl3, carbochlorination of Y2O3 has been extensively studied. Chlorination using CCl4[29,30] or Cl2 diluted with N2 or Ar[3134] has been studied with regards to kinetics. YOCl formed as an intermediate product in YCl3 formation from Y2O3. Therefore, the chlorination process from YOCl to YCl3 is expected to proceed.
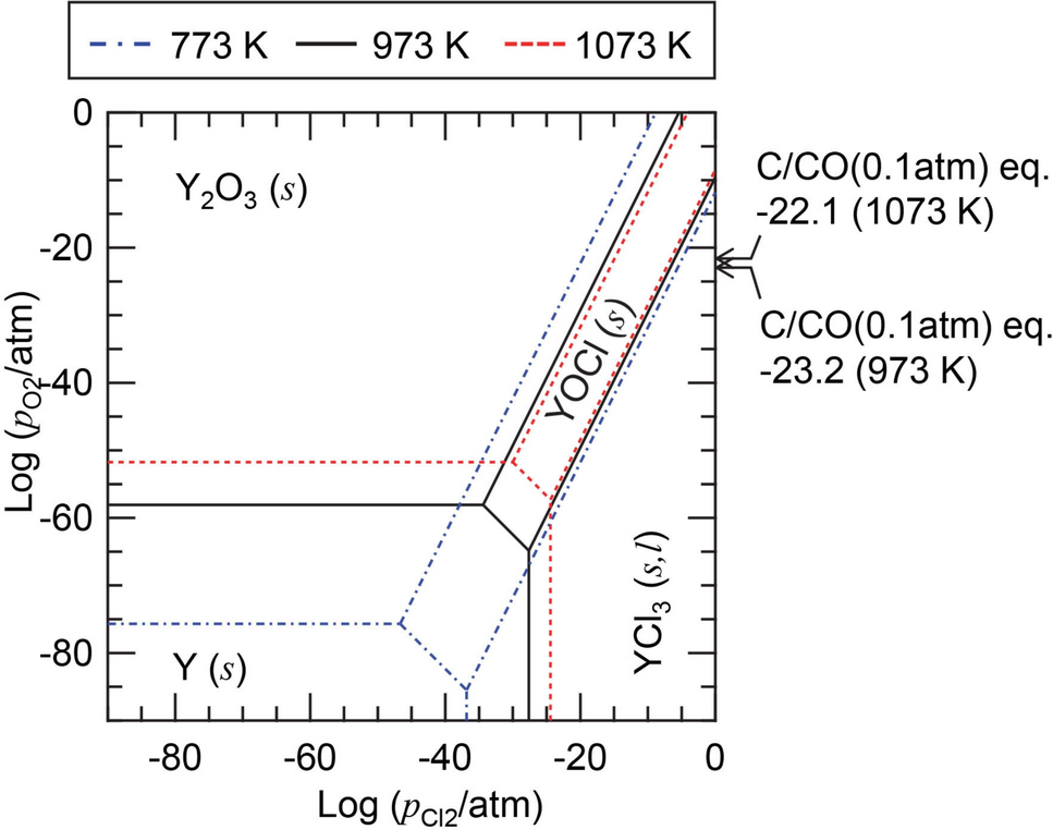
Carbochlorination, in which chlorine (Cl2) gas reacts with a matter under the presence of solid carbon (C), has been used to regenerate YCl3 from YOCl. A potential diagram for the Y-O-Cl system calculated at 773, 973, and 1073 K is shown in Figure 1.[35,36]
Fig. 1
Potential diagram for the Y-O-Cl system at 773, 873, and 973 K
Full size image
The potential diagram indicates that YOCl is thermodynamically stable even when Cl2 (chlorine partial pressure, pCl2 ~ 1 atm) is supplied to the reaction system under air (oxygen partial pressure, pO2 ~ 0.2 atm), and YCl3 does not form. By decreasing the pO2 in the presence of carbon, the following reaction proceeds, and YCl3 is formed:
$$ {\text{YOCl }}\left( s \right) \, + {\text{ C }}\left( s \right) \, + {\text{ Cl}}_{{2}} \left( g \right) \, = {\text{ YCl}}_{{3}} \left( l \right) \, + {\text{ CO }}\left( g \right) $$
(2)
Magnesium deoxidation assisted by the oxychloride formation of rare earth metals[1726] is conducted in molten magnesium chloride (MgCl2) as a reaction field, in which the byproduct YOCl is suspended in molten MgCl2. YOCl settles in the melt and is filtered for chlorination. If solid YOCl is completely separated from molten MgCl2, the volume of feed matter for the chlorination reactor decreases. However, solid–liquid separation at high temperatures is generally difficult. Therefore, YOCl with some amount of MgCl2 left will be fed into the chlorination reactor. In the present study, the chlorination processes of YOCl and a mixture of YOCl and MgCl2 were investigated. The YCl3-MgCl2 system[37] has a eutectic point at 39 mol pct MgCl2 (Figure 2).
Fig. 2
Target compositions of product by the chlorination of YOCl shown in a phase diagram of the YCl3-MgCl2 system
Full size image
If the composition of the product after chlorination is controlled at the eutectic point, the product can be easily recovered in a liquid form. This situation is favorable for the operation of the chlorination reactor because the YCl3 product can be separated from the YOCl raw material at a moderate temperature.
Chlorination reactors can be generally classified as follows, (a) fluidized bed (powder raw material is fed), (b) salt bath (powder raw material is introduced into a molten salt), and (c) fixed bed–pellet (pellet raw material is fed). The recovery of YCl3 by distillation is unsuitable because the vapor pressure of YCl3 is low.[35] In the present study, a fixed bed–pellet type reactor was selected, and YOCl pellets were fed into the chlorination reactor. The liquid product (YCl3 or YCl3-MgCl2 mixture) was drained and recovered.

Experimental

Preparation of YOCl and Mg3Y2Cl12

The experimental steps for the chlorination of YOCl are shown in Figure 3. YOCl was synthesized by roasting YCl3·6H2O (99.99 pct purity) under argon (Ar, 99.999 pct purity). The experimental setup is illustrated in Figure 4. YCl3·6H2O (5.0 to 5.5 g) granules in an alumina boat (Al2O3, 99.6 pct purity) were placed in a quartz tube (50 mm outer diameter, 44 mm inner diameter) inside an electric furnace. Ar was flowed into the quartz tube at a rate of 50 mL·min−1, and the sample was heated to 773 K at a rate of 10 K·min−1 and held at that temperature for 1 hour. Roasting is proposed to proceed according to the following reactions:
$$ {\text{YCl}}_{{3}} \cdot{\text{6H}}_{{2}} {\text{O }}\left( s \right) \, = {\text{ YCl}}_{{3}} \cdot{\text{H}}_{{2}} {\text{O }}\left( s \right) \, + {\text{ 5 H}}_{{2}} {\text{O }}\left( g \right) $$
(3)
$$ {\text{YCl}}_{{3}} \cdot{\text{H}}_{{2}} {\text{O }}\left( s \right) \, = {\text{ YOCl }}\left( s \right) \, + {\text{ 2 HCl }}\left( g \right) $$
(4)
Fig. 3
Experimental steps for the chlorination of YOCl
Full size image
Fig. 4
Experimental apparatus for roasting YCl3·6H2O to produce YOCl
Full size image
After roasting, the sample was slowly cooled in the furnace to 293 K, and the roasted matter was recovered from the alumina boat. The roasted matter was pulverized to an outer diameter of approximately 2 mm.
The compound Mg3Y2Cl12 is reported in the phase diagram of the YCl3-MgCl2 system (Figure 2),[23] but its X-ray diffraction (XRD) pattern has not been reported. The XRD pattern of the synthesized Mg3Y2Cl12 was measured (Ultima, Rigaku Co., Ltd.). Stoichiometric amounts of anhydrous YCl3 (99.99 pct, 0.402 g) and anhydrous MgCl2 (99.9 pct, 0.552 g) were mixed in a glove box (< 1 ppm H2O, < 1 ppm O2) and charged into a quartz tube (10 mm outer diameter, 8 mm inner diameter) with the end sealed under vacuum. The quartz tube was heated to 1073 K in an electric furnace at a rate of 10 K·min−1 and held at that temperature for 1 hour. The molten salt was then agitated in a quartz tube. After mixing, the quartz tube was removed from the furnace and quenched in water. The quartz tube was then heated to 723 K for 168 hours. After equilibration, the quartz tube was cooled slowly in the electric furnace. The mixed salt was recovered from the quartz tube in a glove box and pulverized for XRD analysis. The XRD pattern was obtained (Cu-Kα, 40 kV acceleration voltage, 40 mA emission current) by covering the mixed salt with a polyimide film to prevent the absorption of moisture from the air.

Chlorination of YOCl

The experimental conditions (sample mass and reaction temperature) for the chlorination of YOCl are summarized in Table I. The ideal mass of YCl3 for complete YOCl chlorination, we,YCl3, is also shown in the table. A stoichiometric amount of graphite powder (99.9 pct purity, 0.24 to 0.70 g) by assuming reaction formula (2) was added to the YOCl (2.6 to 8.2 g), and they were mixed by ball milling (alumina pot, alumna balls, 60 rpm, 10 hours).
Table I
Experimental Conditions for the Carbo-Chlorination of YOCl
Exp. No.
Mass of Starting Material, wi/g
Temp.,
Expected Mass of YCl3, we,YCl3/g
YOCl
C
MgCl2
T/K
A
2.792
0.239
0
973
3.885
B
2.620
0.224
1.185
973
3.644
C
2.759
0.235
0
1073
3.838
D
2.614
0.224
1.183
1073
3.637
E
8.197
0.698
0
1073
11.404
F
7.677
0.657
3.474
1073
10.680
For experiments involving MgCl2 (Exp. B, D, and F), anhydrous MgCl2 (99.9 pct purity, 1.2 to 3.5 g) was added to a mixture of YOCl and graphite to form a salt with a composition of YCl3-40 mol pct MgCl2 when all the YOCl was chlorinated. The salt was mixed via ball milling in the same manner. The target compositions and temperatures are shown in Figure 2. The powder obtained after ball milling was divided into 0.3 g portions and pressed using an oil hydraulic press (200 MPa, 60 seconds) to form a pellet (10 mm diameter, approximately 2 mm thickness).
The chlorination reactor composed of a quartz tube (15 mm outer diameter, 12.5 mm inner diameter for the main body) is shown in Figure 5. YOCl/C or YOCl/C/MgCl2 pellets were stacked on a quartz filter (40 to 50 μm maximum pore diameter) inside the reactor in a glove box. The reactor was placed in an electric furnace, and the sample was heated to 973 or 1073 K under upward Ar flow through the quartz filter at a rate of 50 mL·min−1. The Ar flow was then switched to Cl2 flow at the same rate and held for 1 hour. After chlorination, the Cl2 flow was switched to Ar flow for the removal of residual Cl2 and held for 1.5 hours. Upon terminating Ar flow, the liquid product held on the quartz filter drained downward under its own weight and was stored in a quartz tube with a closed end. The reactor was then cooled in the electric furnace.
Fig. 5
(a) Photograph of the experimental apparatus for the chlorination of YOCl. (b) Schematic illustration of the part for holding YOCl/C/MgCl2 pellets
Full size image
After the chlorination experiment, the product that drained downward through the quartz filter (termed “drained matter”) and residue over the quartz filter (termed “residue over filter”) were mechanically recovered in the glove box. The conversion rate of YCl3 to YOCl, R was evaluated using the mass of YCl3 in the drained product, wd,YCl3, and the mass of YCl3 in the residue over the filter, wr,YCl3, by the following equation:
$$R=\frac{{{w}_{{\text{d,YCl}}_{3}}+w}_{{\text{r,YCl}}_{3}}}{{w}_{\text{e, }{\text{YCl}}_{3}}}\times 100$$
(5)
where we,YCl3 is the ideal mass of YCl3 when all the YOCl is chlorinated, as described above. The mass of YCl3 in each sample was determined as described later.
Constituent phases in the sample were determined by XRD (Cu-Kα, 40 kV acceleration voltage, 40 mA emission current). An analytical sample was placed in a glass holder in the glove box to prevent the absorption of moisture from the air and covered with a polyimide film.
Matter sampled from the drained product (0.100 g) was dissolved in 1 mol·L−1 HNO3 aqueous solution, and the yttrium ion (Y3+) concentration was determined by inductively coupled-plasma atomic emission spectroscopy (ICP-AES, ICPS-8100, Shimadzu Co.). The YCl3 concentration of the samples was calculated using the Y3+ concentration. The wd,YCl3 was calculated by multiplying the YCl3 concentration by the total mass of drained matter.
Matter sampled from the residue over the filter (0.300 g) was placed in pure water (> 15 MΩ·cm, 100.0 g) in a Pyrex beaker. Ultrasonic vibration was applied to the beaker for 1 hour at 293 K, and the suspension was passed through filter paper (< 1 μm pore diameter) to separate the soluble and insoluble components. The insoluble component recovered on the filter paper was dried under vacuum at 293 K for 3 days, and the dry weight was measured. The soluble component was determined to be YCl3 because the solubility of YCl3 in water is 82 g·(100 g-H2O)−1 at 298 K, while that of YOCl in water is 0.04 g·(100 g-H2O)−1 at 298 K (preliminarily determined using ICP-AES). The YCl3 concentration in the sample was calculated by subtracting the mass of the insoluble component from the sample mass. The wr,YCl3 was calculated by multiplying the YCl3 concentration by the total mass of the residue over filter.
In some experiments, a portion of the recovered residue was fixed with cold-mounting resin in a glove box. The mounted sample was polished using emery paper (Nos. 220, 600, 1000, 2000, 3000, and 4000) without a lubricant, and the polished surface was covered with a colorless plastic film. The polished surface was observed by an optical microscope (OM; BM-3400TTRL, Wraymer Inc.).

Results and Discussion

Preparation of YOCl

The XRD pattern of the material obtained by roasting YCl3·6H2O is shown in Figure 6(b). The high peaks in the low-angle region of the XRD pattern correspond to diffraction waves from the polyimide film. Meanwhile, only YOCl was obtained. The mass of roasted material was 98.5 to 101.5 pct of the theoretical mass of YOCl if all the YCl3·6H2O was converted. The crystalline water and excess chlorine were completely removed.
Fig. 6
XRD patterns of (a) starting material for the preparation of YOCl and (b) material recovered after roasting (773 K, 1 hour)
Full size image

Chlorination of YOCl

The apparent densities of YOCl/C and YOCl/C/MgCl2 pellets obtained by the oil hydraulic press were 2.8 and 2.0 g·cm−2 on average, respectively. The true densities of YOCl and MgCl2 are 4.6 and 2.3 g cm−2, respectively. The pellets should have a certain number of internal voids (pores), and Cl2 gas can infiltrate the pellets.
A photograph and the XRD pattern of the residue obtained after the chlorination of YOCl/C pellets (Exp. A) are shown in Figures 7(b) and (c), respectively. The residue was left on the quartz filter and inner wall of the reactor, slightly separated from the filter. Any residue was determined to beYCl3. Therefore, we confirmed that YCl3 can be regenerated from YOCl via carbochlorination. The residue was estimated to be solid in Exp. A (the melting point of YCl3 is 994 K[34]). The conversion rate was 82.7 pct, indicating that the YOCl was efficiently chlorinated.
Fig. 7
(a) Photograph of YOCl/C pellets before chlorination, (b) photograph of the residue obtained after chlorination (Exp. A, 973 K, 1 hour), and (c) XRD patterns of the original YOCl and residue recovered after chlorination (Exp. A)
Full size image
A photographs of the reactor after the chlorination of YOCl/C/MgCl2 pellets (Exp. B) is shown in Figure 8(b). YCl3 residue (2.57 g) was left on the quartz filter, and a portion of the product (0.28 g) drained downward through the filter. The XRD pattern of the drained product agreed with that of the Mg3Y2Cl12 synthesized preliminarily [Figure 8(c)]. The YCl3 formed by the carbochlorination of YOCl is estimatedto have contacted MgCl2 to form a molten mixed salt, and the molten salt was drained. Meanwhile, Mg3Y2Cl12 precipitated via solidification during the cooling process after the experiment, and YCl3 could be regenerated from YOCl by carbochlorination even with the coexistence of MgCl2. The conversion rate was 49.8 pct; in other words, the formation efficiency was relatively low because of the presence of MgCl2. In practical applications, for efficient chlorination, increasing the YOCl concentration in the feed material of the chlorination reactor by separation from MgCl2 is preferred.
Fig. 8
(a) Photographs of YOCl/C/MgCl2 pellets before chlorination, (b) product obtained after chlorination (Exp. B, 973 K, 1 hour), and (c) XRD patterns of the drained product after the chlorination of YOCl/C/MgCl2 pellets (Exp. B) and synthesized Mg3Y2Cl12
Full size image
The XRD patterns and photographs of the residue and drained product obtained in Exp. C (without MgCl2) and Exp. D (with MgCl2) conducted at a temperature higher than the melting point of YCl3 are shown in Figure 9. In Exp. C, almost all the YOCl was converted to YCl3, and the molten YCl3 drained downward and was recovered. In Exp. D, YCl3 was converted from YOCl, and the unreacted YOCl remained on the quartz filter. A portion of YCl3 was mixed with MgCl2 and drained downward.
Fig. 9
XRD patterns of (a) the residue over the filter after chlorination of YOCl (Exp. C, 1073 K, 1 hour); (b) drained products recovered after chlorination (Exp. C); (c) residue over the filter after chlorination of YOCl (Exp. D, 1073 K, 1 hour); and (d) drained products recovered after chlorination (Exp. D)
Full size image
The constituent phases of the materials recovered after the experiment and results of the composition analysis are summarized in Tables II and III, respectively.
Table II
Phases in Recovered Matter Identified by XRD After the Carbo-Chlorination of YOCl
Exp. No.
Drained Product
Residue Over Filter
A
YCl3
B
Mg3Y2Cl12
YOCl, YCl3
C
YCl3
YCl3
D
Mg3Y2Cl12
YOCl, YCl3
E
YCl3
YOCl, YCl3
F
Mg3Y2Cl12
YOCl, YCl3
Table III
Experimental Results for the Carbo-Chlorination of YOCl
Exp. No.
Drained Product
Residue Over Filter
Total Mass of YCl3,
wt,YCl3/g
Conversion Rate,
R (Pct)
Mass,
wd/g
YCl3 Conc.,
Cd, YCl3 (Mass Pct)
Mass of YCl3
wd,YCl3/g
Mass,
wr/g
YCl3 Conc.
Cr, YCl3 (Mass Pct)
Mass of YCl3
wr,YCl3/g
A
3.238
99.2
3.213
3.213
82.7
B
0.282
57.3
0.162
2.572
64.3
1.654
1.816
49.8
C
2.440
99.9
2.438
0.334
92.2
0.308
2.746
71.5
D
1.418
71.6
1.015
1.664
53.4
0.889
1.904
52.3
E
2.788
90.2
2.516
5.641
64.6
3.646
6.162
54.0
F
4.344
61.4
2.666
6.253
48.4
3.024
5.690
53.3
In Exp. A, because chlorination was conducted below the melting point of YCl3, solid YCl3 was formed from YOCl and remained on the filter. The conversion rate was 82.7 pct, indicating that the chlorination proceeded efficiently.
In Exp. B, a mixed salt with a low liquidus was formed by the addition of MgCl2, and the molten mixture was drained. However, the amount of drained product was small. The molten mixture was assumed to only form locally because the experimental temperature was below the melting point of MgCl2 (987 K), and the conversion rate was low (49.8 pct). A significant amount of YOCl remained in the quartz filter, indicating that the chlorination did not proceed sufficiently. The liquid film formed on the surface of the pellets prevented the infiltration of Cl2 gas into the pellets.
In Exp. C, chlorination was conducted above the melting point of YCl3. YCl3 formed a liquid and flowed through the quartz filter. The sample mass was slightly underestimated because some of the sample could not be recovered owing to adhesion to the inner wall and absorption inside the filter. The mass loss in the sample recovery could not be accurately evaluated, but the adhered sample volume was relatively small in a visual observation and the influence on conversion rate was considered small. Therefore, the conversion rate (71.5 pct) was significantly lower than that in Exp. A. The liquid YCl3 film that formed on the surface of the pellets lowered the rate of infiltration of Cl2 gas into the pellets.
In Exp. D, the reaction temperature was higher than that in Exp. B to increase the fluidity of the molten mixture for efficient draining. Consequently, the mass of the drained product was greater than that in Exp. B. However, the mass of YCl3 in the residue over the filter was small; thus, the conversion rate was not high (52.3 pct) and was similar to that in Exp. B (49.8 pct). This indicates that the conversion from YOCl to YCl3 was insufficient, implying the existence of a reaction barrier formed by the liquid film on the pellets. At the same temperature (1073 K), the conversion rate was significantly lower than that in Exp. C. This difference may be due to an increase in the liquid volume or a change in the physical properties upon mixing YCl3 and MgCl2, which will be discussed later.
In Exp. E and F, three times greater pellet masses were fed compared to those in Exp. C and D, respectively. The mass of the residue over filter was large in both experiments. The molten matter was expected to flow downward as the chlorination reaction progressed, and the unreacted pellets would simultaneously move downward. However, this mechanism did not work in the present study. The edges of the pellet reacted, but the central part resembled a pillar, which interrupted the movement of the pellets. From the perspective of pellet charge, small ball pellets should be fed in small batches. In a series of investigations, the chlorination of YOCl proceeded even in the presence of MgCl2, but the conversion rate decreased.

Structure of the Pellet and Reaction Interface

A photograph and OM image of the cross-section of the YOCl/C/MgCl2 pellet before the chlorination reaction are shown in Figures 10(a) and (b), respectively. A photograph and OM image of the surface (top view) of the YOCl/C/MgCl2 pellet are shown in Figures 11(a) and (b), respectively. The white phase was YOCl with a flat morphology. The YOCl had significant scattering, and its long diameter ranged from 1 mm to several micrometers. YOCl was distributed spatially and randomly inside the pellet. The black part was either the area where fine graphite powder was dispersed or voids (pores).
Fig. 10
(a) Photograph of the cross-section and (b) optical micrograph of the of the original YOCl/C/MgCl2 pellet. (c) Photograph of the cross-section of the residue over the filter after the chlorination of YOCl (Exp. F, 1073 K, 1 hour) and (d) optical micrograph of the residue
Full size image
Fig. 11
(a) Photograph of the top view and (b) optical micrograph of the of the original YOCl/C/MgCl2 pellet. (c) Photograph of the top view and (d) optical micrograph of the residue over the filter after the chlorination of YOCl (Exp. F, 1073 K, 1 hour)
Full size image
A photograph and OM image of the cross-section of the residue from the YOCl/C/MgCl2 pellet after the chlorination reaction are shown in Figures 10(c) and (d), respectively. A photograph and OM image of the surface (top view) of the residue from the YOCl/C/MgCl2 pellet are shown in Figures 11(c) and (d), respectively. The edges of the pellet disappeared preferentially, indicating that the chlorination reaction proceeded from the outside of the pellet. A black-phase film with a smooth contour was observed on the surface of the pellet. This film was not present on the surface of the original pellets. The film was assumed to be a liquid during the chlorination reaction because the contour was smooth. As described in Section“III–B, the conversion rate was low when the reaction product became a liquid. This observation indicates that the infiltration of Cl2 gas into the pellet was prohibited by the liquid film on the surface of the pellet.
As described above, the conversion rate when the reaction product was molten YCl3-MgCl2 (Exp. D) was lower than that obtained when the product was molten YCl3 (Exp. C). The surface tension of molten YCl3 at 1073 K is 79.6 mN·m−1,[38] and that of molten MgCl2 at 1073 K is 71.8 mN·m−1,[39] indicating that the surface tension of the molten mixed salt decreased with increasing MgCl2 concentration. Generally, liquids with low surface tension form a small contact angle that spreads on a solid surface. In other words, the presence of MgCl2 enhanced the formation of a liquid film on the pellet surface instead of a droplet. On the other hand, the densities of molten YCl3 and molten MgCl2 at 1073 K are 2.49 g·cm−3[40] and 1.65 g·cm−3,[41] respectively. The density of the molten mixed salt decreased with increasing MgCl2 concentration. A low density decreases the downward force for flowing, causing retention of the liquid film on the pellet surface. The above results indicate that draining of the molten product was increasingly constrained when the MgCl2 concentration increased. For a more detailed discussion, a value of contact angle between molten product and solid YOCl is essential. The contact angle measurement of molten YCl3-MgCl2 on YOCl substrate is desired as a future task.
For efficient chlorination, the following improvements should be considered: (1) the formation of a small ball pellet, (2) increasing the voids (pores) inside the pellet, and (3) decreasing the MgCl2 concentration. Regarding operational management, in a procedure with temperature cycling, YCl3 is formed at a temperature of approximately 973 K, at which YCl3 is a solid, and then, the temperature is increased to 1073 K to drain the molten mixed salt (Figure 12). By making operational improvements, the recycling of YOCl in the Mg deoxidation process, assisted by the formation of yttrium oxychloride, is fully feasible.
Fig. 12
Schematic diagram of an estimated operation cycle for the carbochlorination of YOCl and separation of YCl3
Full size image

Conclusions

In this study, the synthesis and separation of YCl3 via carbochlorination was investigated. YCl3 can be regenerated from YOCl with a high conversion rate. YCl3 was also formed even in the presence of MgCl2; however, MgCl2 decreased the conversion rate. The conversion rate in the temperature region where YCl3 is a liquid was lower than that in the temperature region where YCl3 is a solid. A procedure with temperature cycling, in which YCl3 is formed at the temperature where YCl3 is solid and then the temperature is increased to the temperature where YCl3 is a liquid to drain the molten mixed salt, is efficient.

Acknowledgments

The authors are grateful to Mr. Masayoshi Hoshi for assistance with the experiments. The authors thank Professor Toru H. Okabe and Lecturer Takanari Ouchi of the University of Tokyo for their valuable comments and suggestions. This work was financially supported by Grants-in-Aid for (S) (KAKENHI Grant #26220910 and 19H05623) and (B) (KAKENHI Grant #21H01678) from the Ministry of Education, Culture, Sports, Science, and Technology, Japan (MEXT).

Conflict of interest

On behalf of all authors, the corresponding author states that there is no conflict of interest.
Open Access This article is licensed under a Creative Commons Attribution 4.0 International License, which permits use, sharing, adaptation, distribution and reproduction in any medium or format, as long as you give appropriate credit to the original author(s) and the source, provide a link to the Creative Commons licence, and indicate if changes were made. The images or other third party material in this article are included in the article's Creative Commons licence, unless indicated otherwise in a credit line to the material. If material is not included in the article's Creative Commons licence and your intended use is not permitted by statutory regulation or exceeds the permitted use, you will need to obtain permission directly from the copyright holder. To view a copy of this licence, visit http://creativecommons.org/licenses/by/4.0/.

Publisher's Note

Springer Nature remains neutral with regard to jurisdictional claims in published maps and institutional affiliations.
Download
Title
Carbochlorination of YOCl for Synthesis of YCl3
Authors
Osamu Takeda
Xin Lu
Hongmin Zhu
Publication date
10-09-2024
Publisher
Springer US
Published in
Metallurgical and Materials Transactions B / Issue 6/2024
Print ISSN: 1073-5615
Electronic ISSN: 1543-1916
DOI
https://doi.org/10.1007/s11663-024-03253-5
1.
go back to reference O. Takeda and T.H. Okabe: JOM, 2019, vol. 71, pp. 1981–90.CrossRef
2.
go back to reference O. Takeda and T.H. Okabe: in Extractive metallurgy of titanium. Z.Z. Fang, F.H. Froes, and Y. Zhang, eds., Elsevier, Amsterdam, 2020, pp. 363–87.CrossRef
3.
go back to reference O. Takeda, T. Ouchi, and T.H. Okabe: Metall. Mater. Trans. B, 2020, vol. 51B, pp. 1315–28.CrossRef
4.
go back to reference K. Ono and S. Miyazaki: J. Jpn. Inst. Met., 1985, vol. 49, pp. 871–75. (in Japanese).CrossRef
5.
go back to reference R.L. Fisher: US Patent, 1990, No. 4923531A.
6.
go back to reference R.L. Fisher: US Patent, 1991, No. 5022935.
7.
go back to reference R.L. Fisher and S. R. Seagle: US Patent, 1993, No. 5211775 A.
8.
go back to reference R.L. Fisher and S.R. Seagle: in Titanium Science and Technology (Proceedings of the 7th World Conference on Titanium (1992)), F.H. Froes and I. Caplan, eds.,. The Minerals, vol. 3 Metals & Materials Society, Pittsburgh, PA, USA, Pittsburgh, 1993, pp. 2265–72.
9.
go back to reference H. Miyazaki, Y. Yamakoshi, and Y. Shindo: Mater. Jpn., 1994, vol. 33, pp. 51–54. (in Japanese).CrossRef
10.
go back to reference T.H. Okabe, R.O. Suzuki, T. Oishi, and K. Ono: Mater. Trans. JIM, 1991, vol. 32, pp. 485–88.CrossRef
11.
go back to reference T.H. Okabe, R.O. Suzuki, T. Oishi, and K. Ono: Tetsu-to-Hagane, 1991, vol. 77, pp. 93–99. (in Japanese).CrossRef
12.
go back to reference T.H. Okabe, T. Oishi, and K. Ono: J. Alloys Compd., 1992, vol. 184, pp. 43–56.CrossRef
13.
go back to reference T.H. Okabe, T. Oishi, and K. Ono: Metall. Trans. B, 1992, vol. 23B, pp. 583–90.CrossRef
14.
go back to reference T.H. Okabe, M. Nakamura, T. Oishi, and K. Ono: Metall. Trans. B, 1993, vol. 24B, pp. 449–55.CrossRef
15.
go back to reference G.Z. Chen, D.J. Fray, and T.W. Farthing: Nature, 2000, vol. 407, pp. 361–64.CrossRefPubMed
16.
go back to reference K. Ono and R.O. Suzuki: JOM, 2002, vol. 54, pp. 59–61.CrossRef
17.
go back to reference T.H. Okabe, Y. Hamanaka, and Y.-k Taninouchi: Faraday Discuss., 2016, vol. 190, pp. 109–26.CrossRefPubMed
18.
go back to reference Y.-k Taninouchi, Y. Hamanaka, and T.H. Okabe: Mater. Trans., 2016, vol. 57, pp. 1309–18.CrossRef
19.
go back to reference Y.-k Taninouchi, Y. Hamanaka, and T.H. Okabe: Metall. Mater. Trans. B, 2016, vol. 47, pp. 3394–404.CrossRef
20.
go back to reference T.H. Okabe, C. Zheng, and Y. Taninouchi: Metall. Mater. Trans. B, 2018, vol. 49, pp. 1056–66.CrossRef
21.
go back to reference T.H. Okabe, Y. Taninouchi, and C. Zheng: Metall. Mater. Trans. B, 2018, vol. 49B, pp. 3107–17.CrossRef
22.
go back to reference C. Zheng, T. Ouchi, A. Iizuka, Y.-k Taninouchi, and T.H. Okabe: Metall. Mater. Trans. B, 2019, vol. 50B, pp. 622–31.CrossRef
23.
go back to reference C. Zheng, T. Ouchi, L. Kong, Y.-k Taninouchi, and T.H. Okabe: Metall. Mater. Trans. B, 2019, vol. 50B, pp. 1652–61.CrossRef
24.
go back to reference L. Kong, T. Ouchi, and T.H. Okabe: Mater. Trans., 2019, vol. 60, pp. 2059–68.CrossRef
25.
go back to reference L. Kong, T. Ouchi, C. Zheng, and T.H. Okabe: J. Electrochem. Soc., 2019, vol. 166, pp. E429–37.CrossRef
26.
go back to reference A. Iizuka, T. Ouchi, and T.H. Okabe: Metall. Mater. Trans. B, 2020, vol. 51B, pp. 433–42.CrossRef
27.
go back to reference Z.Z. Fang, S. Middlemas, J. Guo, and P. Fan: J. Am. Chem. Soc., 2013, vol. 135, pp. 18248–51.CrossRefPubMed
28.
go back to reference Y. Xia, Z.Z. Fang, Y. Zhang, H. Leer, T. Zhang, P. Sun, and Z. Huang: Mater. Trans., 2017, vol. 58, pp. 355–60.CrossRef
29.
go back to reference J.F. Miller, S.E. Miller, and R.C. Himes: J. Am. Chem. Soc., 1959, vol. 81, pp. 4449–451.CrossRef
30.
go back to reference E.B. Augusto and H.P. Oliveira: Metall. Mater. Trans. B, 2001, vol. 32B, pp. 783–91.
31.
go back to reference M.A. Gimenes and H.P. Oliveira: Metall. Mater. Trans. B, 2001, vol. 32B, pp. 1007–13.CrossRef
32.
go back to reference J.P. Gaviria and A.E. Bohe: Metall. Mater. Trans. B, 2009, vol. 40B, pp. 45–53.CrossRef
33.
go back to reference J.P. Gaviria and A.E. Bohe: Thermochim. Acta, 2010, vol. 509, pp. 100–10.CrossRef
34.
go back to reference J.P. Gaviria, G.G. Fouga, and A.E. Bohe: Thermochim. Acta, 2011, vol. 517, pp. 24–33.CrossRef
35.
go back to reference I. Barin: Thermochemical data of pure substance, 3rd ed. Wiley-VCH, Weinheim, 1995.CrossRef
36.
go back to reference Y.B. Patrikeev, G.I. Novikov, and V.V. Badovskii: Russ. J. Phys. Chem., 1973, vol. 47, p. 284.
37.
go back to reference I.S. Morozov, Z.N. Shevtsova, and C.F. Li: Zh. Neorg. Khim., 1964, vol. 9, pp. 2606–12.
38.
go back to reference K. Igarashi, J. Mochinaga, and S. Ueda: Bull. Chem. Soc. Jpn, 1978, vol. 51, pp. 1551–52.CrossRef
39.
go back to reference J.N. Reding: J. Chem. Eng. Data, 1966, vol. 11, pp. 239–42.CrossRef
40.
go back to reference G. Liu, N.M. Stubina, and J.M. Toguri: J. Less-common Met., 1987, vol. 136, pp. 111–19.CrossRef
41.
go back to reference G.J. Janz: Molten salts handbook, Academic Press, New York, 1967, p. 39.CrossRef

Premium Partners

IST - International Surface Technology (Link opens in a new window)

The leading magazine for all topics related to surface technology.
For decision-makers and users from all areas of industry.

    Image Credits
    Nordson Logo/© Nordson Deutschland GmbH, Ecoclean Logo/© SBS Ecoclean Group, Akzo Nobel Power Coatings GmbH/© Akzo Nobel Power Coatings GmbH, Sames GmbH/© Sames GmbH, Karl Bubenhofer AG/© Karl Bubenhofer AG, Munk GmbH/© Munk GmbH, Endress+Hauser Flow Deutschland/© Endress+Hauser Flow Deutschland, IST - International Surface Technology