Skip to main content
Top

DNS of the shear flows between two counter-rotating cylinders, radius ratio eta = 0.9

  • Open Access
  • 02-10-2025
  • Research
Published in:

Activate our intelligent search to find suitable subject content or patents.

search-config
loading …

Abstract

This article delves into the intricate dynamics of shear flows between two counter-rotating cylinders, focusing on a radius ratio of 0.9. It explores the transition from laminar to turbulent flows, highlighting the role of end-wall boundary conditions. The study employs direct numerical simulation (DNS) to investigate the flow structures and transition processes, comparing results with previous experimental and numerical studies. Key findings include the identification of critical bifurcation lines and the influence of end-wall attachment on flow stability. The article also examines the radial profiles of Reynolds stress tensor components and power spectral density distributions, providing a comprehensive understanding of the flow dynamics. The research concludes with a detailed analysis of the flow structures and their dependence on the Reynolds numbers and radius ratio, offering valuable insights into the behavior of shear flows in Taylor-Couette devices.

Publisher's Note

Springer Nature remains neutral with regard to jurisdictional claims in published maps and institutional affiliations.

1 Introduction

For over 100 years the Taylor-Couette flow (TCF), the flow between two independently rotating coaxial cylinders, has provided a paradigm to analyse shear fluid motions and centrifugal fluid motions, which commonly occur in the nature and technology. For example, the Taylor-Couette flows have allowed for the analysis of the geophysical and astrophysical flows, helped in interpretation of the transitional processes in such configurations as a circular pipe or a rotating channel. Currently, the emphasis is put on the study of turbulent rotating flows, and on the subsequent stages leading from the laminar to turbulent flows. Two main paths leading to turbulence can be distinguished: supercritical and subcritical, both occur in the Taylor-Couette (TC) device.
In the supercritical path the transition process begins with a gradual linear increase of disturbances, followed by a series of subsequent bifurcations. The subcritical transition is the result of the rapid, nonlinear process. In the Taylor-Couette flows this basic division has led to numerous studies performed for varying values of geometrical and physical parameters.
The Taylor-Couette flows are traditionally characterized by two physical parameters, i.e. Reynolds numbers of the inner and outer cylinders Re1 = Ω1R1(R2-R1)/ν, Re2 = Ω2R2(R2-R1)/ν, and by two geometrical parameters: aspect ratio Γ = H/(R2-R1) and radius ratio η = R1/R2, where Ω1, Ω2 are angular velocities of the inner and outer cylinders (α = Ω21, R1, R2 are radii of cylinders, H denotes the distance between the end-walls and ν is kinematic viscosity). The combination of these two Reynolds numbers and radius ratio η creates two new parameters which perfectly capture the features of the rotating fluids, i.e. shear Reynolds number (the ratio of inertial to viscous forces) Re = 2|ηRe2-Re1|/(1 + η) and the ratio of Coriolis to inertial forces (named rotational number) RΩ = (1-η)(Re1 + Re2)/(ηRe2-Re1). Based on the value of RΩ, the basic division of the vortex motion into cyclone (RΩ > 0) and anticyclone (RΩ < 0) has been made. Additionally, shear Reynolds number Re and rotation number RΩ are relevant to characterize the flow when the curvature is small, η → 1 (Brauckmann, Salewski, Eckhard [1], see Fig. 1).
Fig. 1
a Regimes observed in the counter-rotating Tylor-Couette flows, (Re2, Re1) plane. The present critical line of turb.-lam. transition is discussed in the light of the results published in [2, 3]. The black solid lines indicate the boundaries between different flow regimes, dashed black line indicates the neutral theoretical line, [2], η = 0.91. The blue and dark blue symbols (obtained experimentally by Crowley et al. [3]) indicate the critical parameters of the lam.-turb. and of turb.-lam. transitions, Γ = 5.26, η = 0.905. The red dashed line indicates the example line along which Re1 is increased (α = − 0.92, η = 0.9) and the red arrows show the lines along which Re1 is reduced at fixed Re2 (η = 0.9). The empty red symbols lay on the limit line where the interpenetrating spirals disappear in the process of reducing Re1 at fixed Re2—below this line the flow is 2D in the central part of the cavity, but the disturbances near the end-walls still are present (the present results, η = 0.9). With the further decrease of Re1 at fixed Re2 the transition to steady flow occurs. The full red symbols lay on the limit line below which the flow is fully steady—no oscillations occur in the time series (the present results, η = 0.9). The green symbols form a line below which the flow is steady—no oscillations occur in the time series (the present results, η = 0.8). b The time series obtained during the increase of Re1 along the Re1 = Re2 η/α line (α=–0.92, η = 0.9) for Re1 = 300, 343 and 378 (from left to right)
Full size image
The instability processes in the TC flows are analysed mostly in the (Re2, Re1) plane. If the TC flow is stable to infinitely small disturbances, the fluid elements follow circular paths (the so called circular Couette flow). The circular Couette flow is linearly (centrifugally) unstable above the neutral stability line—the example neutral line in the (Re2, Re1) plane is presented in Fig. 1a (the black dashed line). In the classic Taylor-Couette flow (with Ω2 = 0, Re2 = 0), when Ω1 exceeds a certain critical value, the flow undergoes the first bifurcation which breaks the flow axial-symmetry, and a system of axisymmetric, counter-rotating vortices appears in the meridian section (known as the Taylor-Couette vortices). With further increase of Ω1, the Taylor-Couette vortices become unstable themselves, leading to more complex states, and finally to turbulence, [410]. Below the neutral line the TC flow is linearly stable, however, in the linearly stable area two different regimes can occur. In cyclonic area (RΩ > 0) the subcritical transition to turbulence can occur. The stable flow cases with RΩ < 0 (the anti-cyclonic, named also the quasi-Keplerian flows) are discussed mostly due to the potential relevance of this regime to the accretion discs, [1114]. The numerical investigation of the subcritical flow in the counter-rotating Taylor-Couette configuration using DNS (direct numerical simulation) method is the main object of interest here.
The classic subcritical transition occurs in the cavity of the rotating outer cylinder Ω2 ≠ 0 and the steady inner cylinder Ω1 = 0. Burin, Czarnocki [15] observed in the cavity of Γ = 92, η = 0.97 the successive appearance of different flow structures with the increase of Re2, and the gradual disappearance of all these flow structures during the process of reducing Re2. The authors found a strong hysteresis which is an essential feature of the subcritical transition. In the Taylor-Couette flows the subcritical transition is also observed between the counter-rotating cylinders, if the distance between cylinders is small enough, and if the outer cylinder rotates faster than the inner one, [27, 9, 14, 1517]. For example, Meseguer et al. [16] performed numerical investigations in the counter-rotating cavity of Γ = 29.9, η = 0.883 with fixed Re2 = − 1200. Starting from the turbulent flow they gradually reduced Re1 and observed the following flow structures: spiral turbulence (SPT, near the inner cylinder), intermittency (INT, characterized by localized turbulent spots), interpenetrating spirals (ISP, transition to laminar flow) and 2D Couette structure (laminar flow). The turbulent spirals were observed, among others, by Andereck et al. [5] in the cavity of η = 0.883, Γ = 30. The authors found that turbulent spirals rotate at angular velocity of ΩS ≈ (Ω12)/2. Berghout et al. [2] investigated spiral turbulence in the TC configuration of η = 0.91, 42 >  Γ > 125, − 2000 < Re2 < − 1000 using DNS. Crowley et al. [3] studied experimentally (using particle image velocimetry, PIV) the subcritical transition in the short counter-rotating configuration of η = 0.905, Γ = 5.26. With the increase of Re1 they observed aperiodic flows with ISP, intermittency areas, and with the further increase of Re1 quick transition to turbulence. Crowley et al. [3] emphasized the similarity of phenomena observed in the counter-rotating TC flows to other shear flows, for example to the flows in rotating channel or in circular pipes, [1820]. The experimental study of such processes in the channels requires gigantic length scale in the main flow direction. In the Taylor-Couette flow such investigation seems to be more realistic due to the natural periodic boundary conditions, but the investigation must be carried out in a configuration of large aspect ratio Γ, and with η close to one (see Γ = 750, η = 0.9968, [17]). The influence of these main geometrical (Γ, η) and physical (Re1, Re2) parameters, and the end-wall boundary conditions on the Taylor-Couette fluid dynamics has been studied by many authors, [217, 2132]. The present research also falls within area of this issue.
The aim of research here is to characterize (using DNS) the shear flow occurring in the short (Γ = 4.7) counter-rotating Taylor-Couette configuration of η = 0.9 with the end-walls attached to the inner cylinder, and to compare the results with the data of [3] obtained in the short cavity (Γ = 5.26, η = 0.905), but with the end-walls attached to the outer cylinder. The present results obtained for η = 0.9 (Re2 from − 1000 to − 500) are also discussed in the light of the present data obtained for the wide gap cavity of η = 0.8 (Re2 from − 1500 to − 500). Such range of parameters makes it possible to show the general trends in the flow organization, in the profiles of statistical parameters and in the PSD distributions depending on α, η, Re1 and R2. The comparison of the present critical lines presented in the (Re2, Re1) plane, with those presented in [3] shows the great influence of the end-wall boundary conditions on the bifurcation processes. The obtained flow structures are discussed in the light of the results known from literature [2, 3, 8, 16, 21]. The presented results complement the existing literature.
The outline of the paper is as follows: the considered problem is defined and the 3D DNS algorithm, based on the spectral collocation method, is described shortly in Sect. 2. In Sect. 3.1 the general trends observed in the narrow gap flow cases are discussed. The critical bifurcation lines obtained for the flow cases of η = 0.9 and the figures illustrating the flow structures are presented in Sect. 3.2. The radial profiles of the averaged azimuthal velocity component and the PSD distributions are presented in Sect. 3.3. The radial profiles of Reynolds stress tensor components obtained for η = 0.9 are presented and discussed in the light of the data from literature in Sect. 3.4. The TC wide gap characteristics (η = 0.8) are compared with the results obtained for the narrow gap flow case (η = 0.9) in Sect. 3.5. The research is summarized in Sect. 4.

2 The numerical method

In the paper the Taylor-Couette flow is investigated by solving the incompressible Navier–Stokes equations using the 3D DNS method. The DNS code is based on a pseudo-spectral Chebyshev- Fourier approximation described in [2228]. The inner and outer cylinders rotate with the angular velocities Ω1 [rad.s−1] and Ω2 [rad.s−1], respectively. The end-walls are attached to the inner cylinder. The dimensionless axial and radial coordinates are denoted as follows z = Z/(H/2), z \(\in\)[-1, 1], r = [2R – (R2 + R1)]/(R2-R1), r \(\in\)[-1, 1]. The velocity components in the radial (U), azimuthal (V) and axial (W) directions are normalized by Ω1R2 (the dimensionless components are denoted by u, v, w). Time is normalized by Ω1−1.
The governing equations are approximated in time using the second-order semi-implicit scheme: an implicit scheme is used for the diffusive terms and an explicit Adams–Bashforth scheme is used for the non-linear convective terms. In the algorithm, the predictor/corrector method is used. The predicted velocity field (up, vp, wp, pp obtained by solving the Helmholtz equation with the appropriate boundary conditions) is corrected by taking into account the pressure gradient at the new time section t(i+1). The new correction parameter is introduced ϕ = 2 δt(pi+1-pp)/3, which is computed from the following equation and boundary condition:
$$\Delta \phi = div(V^{p} )\Gamma /[(\eta + 1)/(1 - \eta ) + 1],$$
(1a)
$$\nabla (\phi )\cdot \text{n}=0,$$
(1b)
where n is the normal vector. All flow variables Ψ = [up, vp, wp, pp, ϕ]T are obtained by solving the Helmholtz equation which can be written in the following form:
$$\Gamma ^{2} \frac{{\partial ^{2} \Psi }}{{\partial r^{2} }} + \frac{{\Gamma ^{2} }}{{\left[ {\frac{{1 + \eta }}{{1 - \eta }} + r} \right]}}\frac{{\partial \Psi }}{{\partial r}} + \frac{{\Gamma ^{2} }}{{[(1 + \eta)/(1 - \eta ) + r]^{2} }}\frac{{\partial ^{2} \Psi }}{{\partial \varphi ^{2} }} + \frac{{\partial ^{2} \Psi }}{{\partial z^{2} }} - q\Psi = S,$$
(2)
where q and S depend on Re1, Γ, η and δt (increment of time).
The spatial approximation of the flow variable Ψ = [up, vp, wp, pp, ϕ]T is given by a series:
$$\begin{gathered} \Psi (r_{i} ,\;z_{j} ,\;\zeta_{k} ,\;t) = \sum\limits_{{k = - K/2}}^{{K/2 - 1}} {\sum\limits_{{m = 0}}^{M} {{\mkern 1mu} \sum\limits_{{n = 0}}^{N} {\tilde{\Psi }(t) \cdot T_{n} (r_{i} )} } } \cdot T_{m} (z_{j} )e^{{ik\zeta _{l} }} , \hfill \\ r \in [ - 1,\;1],\;z \in [ - 1,\;1],\;\zeta \in [0,\;2\pi ], \hfill \\ \end{gathered}$$
(3a)
$$r_{i} = \cos (\pi i/N)\quad i \in [0,...N],\quad z_{j} = \cos (\pi j/M)\quad j \in [0,...M],\quad \zeta_{l} = 2\pi l/K\quad l \in [0,..,K - 1],$$
(3b)
where ri and zj are the Gauss–Lobatto collocation points, and Tn(ri) and Tm(zj) are the Chebyshev polynomials of degrees n and m, respectively. The numbers of collocation points in the radial, axial and azimuthal directions are depicted by N, M and K, respectively. The use Gauss–Lobatto collocation points guarantees the high accuracy of the computations. The numerical computations are performed using the following meshes: N = 100, M = 200, K = 50–300. The time increment is from the range: δt = 0.0005–0.001. The computations are carried out until the statistically steady conditions are attained—depending on the considered flow example, this requires between 100000–300000 iterations. Figure 1b contains exemplary time series illustrating the changes of the radial velocity component over the iteration process. In the iterative process the divergence of the velocity field is also monitored. In the considered ranges of Re1 (up to 1000) and Re2 (from -1000 to -500), the divergence error for η = 0.9 has been kept in the range between 10–7 and 10–6. For the example flow case of η = 0.9, Re1 = 978, R2 = -1000, δ t = 0.001, N = 100, M = 200, K = 300 at z = 0 the following values describing the computational precision are obtained: (ΔR+)1 = 0.018, (ΔR+)2 = 0.0217, (ΔZ+)1 = 0.7, (ΔZ+)2 = 0.001.
The λ2 criterion is used for visualization, Jeong, Hussain [33]. The bifurcation lines are identified by analyzing the averaged (in time and in meridian section) kinetic energy of perturbations as a function of Re1 and by analyzing the time series (rapid changes of amplitudes and frequencies).
Tables 1 and 2 contain basic information about the considered flow cases.
Table 1
The flow examples considered during increasing Re1 along Re1 = Re2 η/(Ω21) line
η
α
range of Re1
range of Re2
range of Re
range of ReΩ
0.9
− 0.92
from 0.0 to 978
from 0.0 down to − 1000
to 1977
0.0012    
0.8
− 0.8
from 0.0 to 1500
from 0.0 down to − 1500
to 3000
0
Table 2
The flow examples considered during decreasing Re1 at fixed Re2
η  = 0.9
      
Re2
− 500
− 600
− 700
− 800
− 900
− 1000
range of Re1
489–243
587–257
685–265
782–277
880–288
978–297
range of Re
988–729
1186–839
1384–942
1581–1049.4
1779–1156
1977–1260
Range of ReΩ
0.0012–0.03871
0.0012–0.044
0.0012–0.05
0.0012–0.054
0.0012–0.057
0.0012–0.059
η  = 0.8
      
Re2
− 500
− 750
− 1000
− 1250
− 1400
− 1500
range of Re1
500–160
750–184
1000–202
1250–219
1400–232
1500–248
range of Re
1000–622
1500–871
2000–1113
2500–1354
2800–1502
3000–1609
range of ReΩ
0–0.129
0–0.1515
0–0.166
0–0.175
0–0.179
0–0.1791

3 The results

Rayleigh [34] has found that the rotating inviscid shear flows are stable, when the modulus of the angular momentum increases with increasing radius ∂|R2Ω|/∂R > 0. In the counter-rotating Taylor-Couette flows the centrifugal instability occurs near the inner cylinder and in the central part of cavity, where the azimuthal velocity component decreases with the increase of radius; in this part of cavity the Taylor-Couette vortices occur. Near the outer cylinder the modulus of azimuthal velocity increases with radius, which excludes the occurrence of the centrifugal instability, but the shear instability may occur. These two flow areas, separated by the surface of zero averaged azimuthal velocity < V/R1Ω1(R*) > t, A( R) = 0 (see Sect. 3.3) interact with each other; the disturbances from the inner cylinder area slowly penetrate the centrifugally stable area near the outer cylinder, finally leading to turbulence in the whole cavity. The symbol < … > t, A( R) denotes averaging over time, and in the azimuthal and axial directions.
In the paper, only the short counter-rotating flow cases are considered. It comes from the Rayleigh [34] inviscid theory that the rotating outer cylinder stabilizes the flow, while the rotating inner cylinder destabilizes the flow. In the DNS method the viscous flows are considered, so that the Rayleigh criterion is not directly applicable, nevertheless this criterion is still helpful in interpretation of the results. In the present investigations, the flow is additionally destabilized by the end-walls attached to the inner cylinder. This situation is the opposite to this described in [3], where the short cavity with the end-walls attached to the outer cylinder is considered (Γ = 5.26, η = 0.905). In the present study, the successive increase of Re1 is performed along the Re1 = Re2 η/α line (at fixed α), which means that for each flow example (η, α) the rotational number RΩ has a constant value: RΩ  = (1-η)( η + α)/( η(α-η)). The example Re1 = Re2 η/α line is presented in the (Re2, Re1) plane—the red dashed line in Fig. 1a. It is a common practice in the counter-rotating Taylor-Couette flow investigations to increase Re1, while Re2 is fixed (practice introduced in [5]), however, the proposed here method of increasing Re1 along the Re1 = Re2 η/α line is optimal from the CPU point of view.
Following [3], the computations with the successive reduction of Re1 are performed at fixed Re2 = − 500, − 600, − 700, − 800, − 900, − 1000 for the cavity of η = 0.9 (starting from “featureless turbulence”, see Fig. 1a). For comparison purposes, such investigations are also performed for the wide gap flow case of η = 0.8 (Re2 from − 1500 up to -500). In the present paper, the increase of Re1 is carried out with a small increment ΔRe1 = 0.5–5, while the reduction of Re1 is performed more rapidly with ΔRe1 = 10–18.

3.2 Bifurcation lines in (Re2, Re1) plane and the flow structures, η = 0.9

In the investigations of the counter-rotating TC flow cases the bifurcation lines are analysed mainly in the (Re2, Re1) plane. Figure 1a, containing the bifurcation lines of regimes observed in the counter-rotating TC configuration of η = 0.91, is partly reconstructed from the diagram published by Berghout et al. [2]. The black dashed line indicates the neutral line obtained in [2] for η = 0.91, using the equation based on the idealized assumptions (see Eq. 8, Esser, Grossmann, [29]). The blue and dark blue symbols are obtained experimentally by Crowley et al. [3]. The symbols indicate the critical parameters of the transition from the laminar to turbulent flow (lam.-turb.), and from the turbulent flow to laminar flow (turb.-lam.), Γ = 5.26, η = 0.905. Figure 1a includes only part of the critical lines published by Crowley et al., see Fig. 2 in [3]. The red dashed line marks the exemplary line along which Re1 is increased in the present investigations (α = − 0.92, η = 0.9), and the red arrows show the lines along which Re1 is reduced. The red symbols with holes inside form a line on which the interpenetrating spirals disappear in the process of reducing Re1. Below this line the flow is 2D in the central part of the cavity, only small disturbances near the discs are visible (see Fig. 2g). The red symbols indicate the final transition to the steady flow (the transition to the state in which there are no oscillations in time series). For comparison, a similar analysis is performed for the wide gap flow case of η = 0.8; the green symbols in Fig. 1a indicate the transition to the steady flow. From Fig. 1a we can see, that both critical lines obtained in [3] for increasing and decreasing Re1, are located above the neutral theoretical line. Crowley et al. [3] explain this result by the strong stabilizing influence of the discs attached to the outer cylinder. The present critical line (the red symbols) obtained by decreasing Re1 is located below the theoretical line [4], which illustrates the destabilizing influence of the discs attached to the inner cylinder.
Fig. 2
The example flow structures obtained for different Re1. The results are obtained in the processes of increasing Re1 along the Re1 =  ηRe2/α line (a-d), and reducing Re1 (d-g) at fixed Re2 = − 1000. The radii of the inner and outer surfaces are r = − 0.95 and r = 0, respectively. The iso-surfaces of λ2 are presented. η= 0.9
Full size image
During the increase of Re1 two Taylor-Couette vortices occur between two Ekman vortices (η = 0.9, Γ = 4.7). The appearance of the 3D unsteady structures coincides with the theoretical neutral line. The example images of the flow structures obtained for increasing Re1 are presented in Fig. 2a, b, c and d (figures correspond to Re1 = 333, 568, 675 and 978). In the present paper the λ2-criterion proposed in [33] is used to visualize the flow structures. The λ2 criterion, representing the areas of minimum pressure on the plane perpendicular to the vortex axis, is commonly used to visualize turbulent flow. In Fig. 2 the outer surface corresponds to the radius of r = 0, while the inner one corresponds to r = -0.95 (very close to the inner cylinder). From Fig. 2a we can see 17 asymmetric non-stationary vortices in the azimuthal direction, which are located along the high-velocity bands (for comparison, 7 vortices occur in the wide gap flow case of η = 0.8, and three for η = 0.6). These bands are the outflow boundaries of the Taylor-Couette vortices—along them the high-velocity fluid located near the inner cylinder is transported towards higher radii (see [8]).The regular oscillations of high frequency (f/Ω1 = 2.5) associated with these structures are observed in the time series. The investigations show that the frequency f/Ω1 increases with the increase of η—in the cavity of η = 0.6 the oscillations associated with such regular structures are of frequency 0.6.
Figure 1b shows the example time series obtained for Re1 = 300, 343 and 378 during the increase of Re1 along the Re1 = Re2 η/α line (α=–0.92, η = 0.9). For Re1 = 300 we observe transition from the steady flow to the unsteady flow with regular oscillations (the oscillations are gently modulated). For Re1 = 343 the oscillations are slightly irregular and also modulated, and for Re1 = 378 the time series is chaotic. This process leads to the appearance of intermittency (the state at which laminar and turbulent areas coexist, Fig. 2c), see also [5]. For much higher Re1, the red dashed line in Fig. 1a passes through the areas called by Andereck et al. [5] “unexplained” and “featureless turbulence”. The turbulent flow obtained for Re1 = 978 is presented in Fig. 2d; Re1 = 978 on the Re1 = Re2 η/α2 line corresponds to Re2 = − 1000. For comparison: with the increase of Re1 at fixed Re2, Crowley et al. [3] observed the appearance and growth of the inter penetrating spirals (see Fig. 12a in [3]), the intermittency and finally the transition to turbulence.
The comparison of the present results obtained during the gradual reduction of Re1 (Re2 fixed) with those published in [3] is the main object of the author’s interest. Following [3], in the present paper Re1 is reduced rapidly. Figure 2d–g illustrate the flow structures obtained for Re1 = 978, 608, 441 and 360 (Re2 = -1000). The reduction process starts from Re1 = 978, at which we observe the turbulent flow (Fig. 2d). At about Re1 = 550, the aperiodic structures elongated in the azimuthal directions appear. Figure 2g shows the decay of ISP, the flow becomes 2D in the central core. Figure 2 shows that the flow structures obtained during the reduction of Re1 in the present paper are the same as in [3]. However, the location of the present turb.-lam. critical line in Fig. 1a differs from the critical line presented in [3]. This shows that the influence of the end-wall boundary conditions on bifurcation processes is large (destabilizing when the end-walls are attached to the inner cylinder and stabilizing when the end-walls are attached to the outer cylinder).

3.3 The azimuthal velocity profiles and the PSD distributions

Rayleigh [34] showed that in the counter-rotating Taylor-Couette configurations the flow can be centrifugally unstable only in the area between the inner cylinder and the surface of zero azimuthal velocity < V/R1Ω1(R*) > t,A( R) = 0. These characteristic points of < V/R1Ω1(R*) > t, A( R) = 0 are visible in the example azimuthal velocity profiles presented in Fig. 3a. Figure 3a shows the present < V/R1Ω1 > t, A (R) profiles (the black dashed lines) obtained during the reduction of Re1 from 900 (α = − 0.92) to 441 (α = − 2.04) at fixed Re2 = − 1000. The present profiles are compared with the experimental results published by Vaezi, Aldredge [30] (the red symbols) and with the DNS results published by Dong [8] (the red solid line). Vaezi, Aldredge [30] and Dong [8] studied the same flow case of η = 0.89 ((|Re1| +|Re2|)/2 = 1500, Re2/Re1 = − 1.4, α = -1.246). To minimize the end-walls effect Vaezi, Aldredge [30] performed the experimental investigations in the long cavity, and Dong [8] used the periodicity condition in axial direction. From Fig. 3a we can see that all profiles show the slope at central core, which increases with decreasing α. Such slope is a characteristic feature of the counter-rotating TC flows. From Fig. 3a we can also see a similarity of all profiles near the inner cylinder. Indeed, the velocity profiles shown in Fig. 3a are in great contrast to the radial profiles of < V/R1Ω1 > t, A (R) obtained for η = 0.5 and for α from − 0.5 to 0.25 (Tuliszka-Sznitko, [31]), where the azimuthal velocity values in the central core increase rapidly with the increase of α. However, the obtained intersection point of the < V/R1Ω1 > t, A (R) profile (Re1 = 978, Re2 = -1000, α = − 0.92, for example) with the abscissa axis is shifted towards the outer cylinder, in comparison to the intersection point obtained in [8] for the cavity of η = 0.89. This difference may be due to the fact that Dong [8] performed simulation for Re1 twice larger, than Re1 used in the present computation (Re1 = 978). Also α=–1.246, used by Dong [8] is significantly lower, than α=–0.92 used here. The difference in localization of the zero azimuthal velocity < V/R1Ω1(R*) > t, ( R) = 0 point may also result from the different boundary conditions used in the axial direction.
Fig. 3
a The example radial profiles of the averaged azimuthal velocity < V/R1Ω1 > t, A( R) obtained during the reduction of Re1 from 900 to 441 at fixed Re2 = -1000 (the black dashed lines depict the present results). The points obtained experimentally by Vaezi, Aldredge [30] (the red symbols), and the result obtained numerically by Dong [8] (the solid red line) in the cavity of η = 0.89, (|Re1| +|Re2|)/2 = 1500, Re2/Re1 = − 1.4, α = − 1.246. b The dimensionless parameter (R*- R1)/(R2- R1) as a function of α. The present results obtained during the reduction of Re1 are marked with the yellow symbols (η = 0.9) and with the green symbols (η = 0.8), the red symbols mark the results obtained by Dong [8] in the cavity of η = 0.89, the black symbols mark the results obtained experimentally by Von Hout, Katz [21] in the cavity of η = 0.55
Full size image
Figure 3b shows the dimensionless radial coordinates (R*- R1)/(R2-R1) of the zero azimuthal velocity points < V/R1Ω1(R*) > t, A( R) = 0 as a function of α obtained experimentally by Von Hout, Katz [21] for large Re1 (the black symbols, α between − 11.2 and -0.5, η = 0.55), numerically by Dong [8] (the red symbols, η = 0.89), and obtained in the present paper during the reduction of Re1 (the yellow symbols η = 0.9 and the green symbols η = 0.8). For very small α (i.e. α = − 11.2), there is no the inflectional point in the azimuthal velocity profile, see Fig. 5 in [21], consequently for such low α the dimensional parameter (R*- R1)/(R2- R1) is close to zero (there is no area of the centrifugally unstable flow). From Fig. 3b we can see that the value of (R*- R1)/(R2- R1) increases with increasing α.
The turbulent energy cascade which involves the transfer of energy from the large-scales of motion to the small-scales of motion can be understood with the help of power spectra. To show the spectral characteristics of velocity fluctuations the PSD (power spectrum density) distributions are presented in Fig. 4. The spectral analysis is performed based on the time series of the axial velocity averaged in the azimuthal direction—only the time series obtained in the central point of cavity are considered (r = 0, z = 0). In Fig. 4 the PSD distributions obtained for η = 0.9 and for five Reynolds numbers Re1 = 978, 702, 495, 441 and 387 are shown (the green, red, blue, yellow and black lines, respectively). The results are obtained during reduction process of Re1 (Re2 = − 1000). From Fig. 4 we can see that the spectra obtained for all considered Re1 show a broadband distribution which is typical of a turbulent spectrum. This shows that the considered flow cases are turbulent, however the PSD values determined for Re1 = 387 are many times smaller than those determined for Re1 = 978 and 702 (PSD obtained for Re1 = 978 and 702 are very similar). At low frequencies the spectra of Re1 = 978, 702 and 495 coincide with each other. This behavior indicates that at low frequencies the large scale vortices are not affected by Re1. But the spectrum obtained for very small Re1 = 387 does not coincide with the others for low frequencies. The PSD is normalized by Ω1R22.
Fig. 4
The PSD distributions of the axial velocity component obtained based on the time series determined at the middle point of cavity r = 0, z = 0. The results are obtained during the reduction of Re1 at fixed Re2 = − 1000, η = 0.9, f denotes frequency
Full size image

3.4 The flow structures and the radial Reynolds stress tensor components profiles, η = 0.9

A large amount of information about the influence of the governing parameters and the end-wall boundary conditions on the flow dynamics is provided from the analysis of the radial Reynolds stress tensor (RST) components profiles: (< (V’V’/Ω12R12) > t, A( R))0.5 and < (V’U’/Ω12R12) > t, A( R). Such analysis greatly facilitates the interpretation of the observed flow structures. Van Hout, Katz [21] studied the influence of the velocity scale used in normalization on the shape of the considered RST profiles. They found that scaling with respect to the friction velocity uσ results in overlapping the RST profiles, if the flow cases of similar α are considered, and if Re1 is large enough. Dong [8] used only the Ω1R1 velocity scale. In the present research, the use of the uσ scale for normalization does not result in full overlapping (the effect is not so strong), hence the Ω1R1 scale is used.
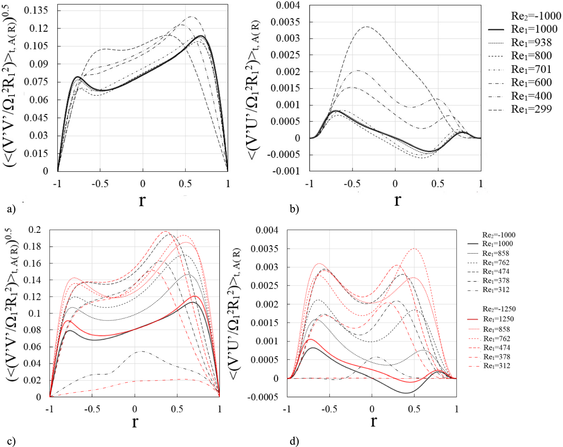
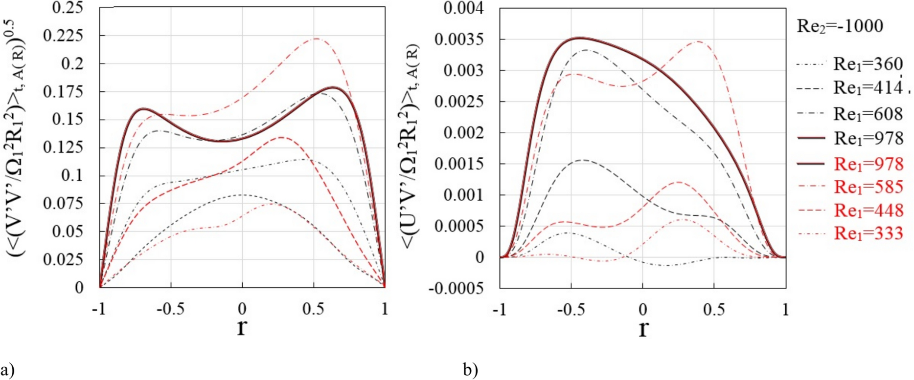
Figure 5a and 5b show the radial profiles of (< (V’V’/Ω12R12) > t, A( R))0.5 and < (V’U’/Ω12R12) > t, A( R), respectively. In Fig. 5a and 5b, the profiles obtained during the increase of Re1 along the Re1 =  ηRe2/α line (α = -0.92) are denoted by the black lines, and the profile obtained during the decrease of Re1 at Re2 = − 1000 by the red lines. From Fig. 5a we can see that with increasing Re1 the peak of the (< (V’V’/Ω12R12) > t, A( R))0.5 profile moves from the central part of the gap (Re1 = 360, single-peak profile) towards the outer cylinder. For Re1 = 608 and 978 double-peak profiles are observed. With the reduction of Re1 (the red lines, Fig. 5a) double-peak profile obtained for Re1 = 978 is transformed gradually into single-peak profile (Re1 = 585, 448 and 333) with the maximum near the outer cylinder. The highest peak value is obtained for Re1 = 581; see Fig. 6, where 15 profiles obtained during the gradual decrease of Re1 are presented. These high values of (< (V’V’/Ω12R12) > t, A( R))0.5 near the outer cylinder can be the result of the penetration of disturbances from the centrifugally unstable area near the inner cylinder towards larger radii, but also can be the result of the strong destabilizing influence of the end-walls attached to the inner cylinder.
Fig. 5
The radial profiles of a (< (V’V’/Ω12R12) > t, A( R))0.5 and b < (V’U’/Ω12R12) > t, A( R) obtained for different Reynolds numbers. The black and red lines depict the profiles obtained during the increase of Re1 along the Re1 =  ηRe2/α line, and during the decrease of Re1 at fixed Re2 = -1000, respectively. The decrease of Re1 starts from Re1 = 978, Re2 = -1000. η = 0.9
Full size image
Fig. 6
The radial profiles of (< (V’V’/Ω12R12) > t, A( R))0.5 obtained during the reduction of Re1 (Re2 = -1000) starting from Re1 = 978 (the bold red line). The blue lines depict laminar flow examples. η = 0.9
Full size image
The influence of Re1 on the flow structures near the discs is illustrated in Fig. 7a, b, c, and d where the upper part of the meridian velocity fields (2D) obtained for Re1 = 978, 553.5, 526.5 and 441 are presented (z from 0 to 1). The meridian velocity field obtained for Re1 = 978 (Fig. 7a) is characterized by the occurrence of the classic Ekman vortices which fill the entire width of the cavity. The central part of the cavity is filled with the chaotically arranged vortices. Figure 5b shows the meridian flow field obtained for Re1 = 553.5 with the large value of (< (V’V’/Ω12R12) > t, A( R))0.5 near the outer cylinder (see the red line). From Fig. 7b we can see that there are two vortices in the vicinity of the upper disc, rotating in the opposite directions. The vortex formed near the inner cylinder occupies the area between r = − 1 and r = 0.6 (approximately), but its extent in the z direction is small. This vortex transports the high velocity fluid from the area near the inner cylinder towards the higher radii. The vortex localized near the outer cylinder (transporting fluid towards the smaller radii) is stretched in the axial direction. Two vortices are also visible in Fig. 5c and d (Re1 = 526.5, 441), but for Re1 = 441 the vortex near the outer cylinder is strongly elongated in the axial direction, and is weak. According to the author, the high values observed in some (< (V’V’/Ω12R12) > t, A( R))0.5 profiles (Fig. 6) occur when both vortices at the disc (rotating in the opposite directions, Fig. 7b) are strong.
Fig. 7
The meridian flow structures occurring in the upper half of the cavity (z from 0 to 1, r from − 1 to 1). a Re1 = 978, b Re1 = 553.5, c Re1 = 526.5, d Re1 = 441. The results are obtained in the process of reducing Re1 at fixed Re2 = − 1000. The corresponding radial profiles of (< (V’V’/Ω12R12) > t, A( R))0.5 are added to figures—the red lines. η = 0.9
Full size image
Figure 5b shows the < (V’U’/Ω12R12) > t, A( R) radial profiles—the markings used in Fig. 5a and b are the same. With the increase of Re1 only single-peak profiles (the black lines) are obtained, with the peaks located at radius about r = -0.6. In the profile obtained by Dong [8] for Re1 = -Re2 = 500 pick is located at about r = − 0.56, and in the profile of Re1 = -Re2 = 1500 at about r = -0.76, η = 0.5. In the profile of Re1 = 360 (Fig. 5b) there is the short area of negative < (V’U’/Ω12R12) > t, A( R) values, but for the remaining flow cases the correlations between v’ and u’ are positive. During the reduction of Re1 single-peak profile obtained for Re1 = 978 is transformed gradually into double-peak profile (Re1 = 585, 448 and 333) with the maximum near the outer cylinder. For Re1 = 333 there is the large area of the negative < (V’U’/Ω12R12) > t, A( R) values.

3.5 The radial Reynolds stress tensor components profiles, η = 0.8

The similar analysis to the one presented in Sect. 3.4 (η = 0.9), is performed for the wide gap flow case of η = 0.8, (Re2 from -1500 to -500, end-walls attached to the inner cylinder). However, Litschke, Roesner [32], who performed experimental investigations in the long cavity of Γ = 68.5, η = 0.789 (radius ratio close to considered here η = 0.8) found that the flow dynamics obtained for η = 0.789 is significantly different from that obtained for η = 0.895 (close to η = 0.9). For example, they found that Re2 = − 8000 (Re1 = 1200) had to be reached in order to achieve the spiral turbulence in the hysteretic area in transition from the turbulent to laminar flows in the cavity of η = 0.789. Whereas, in the cavity of η = 0.895 they observed a hysteretic behavior at Re2  smaller than -2000. The present results show that the flow structures observed in the very short cavity of η = 0.8 (Re2 = -1000) during the decrease of Re1 are similar to those obtained for η = 0.9 (Re2 = -1000), and also to those observed in [3]. In the present paper the differences between these two flow cases of η = 0.9 and η = 0.8 are mostly visible in analyzing the radial profiles of the Reynolds stress tensor components.
In Fig. 8a the black lines represent the (< (V’V’/Ω12R12) > t, A( R))0.5 profiles obtained during the increase of Re1 along the line of Re1 = Re2η/α, α = -0.8, whereas in Fig. 8c the black lines represent the (< (V’V’/Ω12R12) > t, A( R))0.5 profiles obtained during the reduction of Re1 at fixed Re2 = − 1000. The black lines in Fig. 8b represent the < (U’V’/Ω12R12) > t, A( R) profiles obtained during the increase of Re1 along the line of Re1 = Re2η/α, α = -0.8, whereas in Fig. 8d the black lines represent the < (U’V’/Ω12R12) > t, A( R) profiles obtained during the reduction of Re1 at fixed Re2 = − 1000. The red lines in Fig. 8c and 8d represent the results obtained during the reduction of Re1 (Re2 = − 1250) starting from (Re2 = − 1250, Re1 = 1250).
Fig. 8
The black lines in a represent the (< (V’V’/Ω12R12) > t, A( R))0.5 profiles obtained during the increase of Re1 along the line of Re1 = Re2η/α, α = − 0.8, and in c during the reduction of Re1 at fixed Re2 = − 1000. The black lines in b represent the < (U’V’/Ω12R12) > t, A( R) profiles obtained during the increase of Re1 along the line of Re1 = Re2η/α, α = − 0.8, and in d during the reduction of Re1 at fixed Re2 = − 1000. The red lines represent the results obtained during the reduction of Re1 (Re2 = − 1250) starting from (Re2 = − 1250, Re1 = 1250). η = 0.8
Full size image
We can see that the (< (V’V’/Ω12R12) > t, A( R))0.5 profiles obtained during the increase of Re1 (Fig. 8a) are almost linear in the central part of the gap, with the small peaks near the outer and inner cylinders. The maximum value is obtained for the profile of Re1 = 600. Whereas, in the flow case of η = 0.9 we observe the gradual transformation of the single-peak profile obtained at low Re1 = 360, into double-peak profile obtained for higher Re1, Fig. 5a.
From Fig. 8b we can see that for very small Re1 = 299 in the < (V’U’/Ω12R12) > t, A( R) profile one peak occurs in the central part of the cavity (at about r = -0.4). With the increase of Re1 the peak value decreases, at the same time its position moves towards the inner cylinder. After reaching higher Re1, the < (V’U’/Ω12R12) > t, A( R) profile takes on a different shape. The profile of Re2 = − 1000, Re1 = 1000 is characterized by one peak near the inner cylinder and a large area with negative correlation between u’ and v’ (in contrast to the analogous profile obtained for η = 0.9). With reduction of Re1, starting from Re2 = -1000, Re1 = 1000, we observe the disappearance of the area of negative correlation between v’ and u’, and the formation of a double-peak profile.
In order to show, how the Reynolds stresses change with decreasing Re2, the profiles obtained for Re2 = − 1250 are added to Fig. 8c and d (the red lines). The computations are performed for the same Re1 values as in the flow case of Re2 = − 1000. The comparison shows that the basic features of the profiles observed during the reduction of Re1 at Re2 = − 1000 are also seen in the profiles obtained for Re2 = − 1250.

4 Conclusions

Studies of the turbulent Taylor-Couette flows in the very long counter-rotating configurations with narrow gap (i.e. η  less equal 0.9) between cylinders, and with sufficiently large |Re2| have been conducted intensively for two decades by many authors, in [211, 1517]. The main goal is to deepen our knowledge on the subcritical lam.-turb. transition using the simple TC configuration.
Unlike most researchers, Crowley et al. [3] conducted the experimental investigations in the short cavity of Γ = 5.26, η = 0.905 with the end-walls attached to the outer cylinder which resulted in a significant stabilization of the flow: the critical lam.-turb. and turb.-lam. lines (both obtained for fixed Re2) are located above the theoretical neutral line in the (Re2, Re1) plane. To show the influence of the end-walls on the transitional flow, in the present paper the DNS computations have been performed in the short counter-rotating Taylor-Couette configuration of Γ = 4.7, η = 0.9 with the end-walls attached to the inner cylinder. For comparison the computations are also performed for the wide gap configuration of Γ = 4.7, η = 0.8. In the investigations Re1 is increased along the Re1 =  ηRe2/α line (with α = − 0.92 for η = 0.9 and α = − 0.8 for η = 0.8) to reach “featureless turbulence” area. Then, starting from the results obtained along these lines, Re1 is reduced at fixed Re2 (with Re2 from -1000 to -500 in the flow case of η = 0.9, and Re2 from -1500 to -500 in the flow case of η = 0.8). The results show that the turb.-lam. critical line obtained for η = 0.9 is located bellow the critical line of the linear stability theory in the (Re2, Re1) plane, in contrast to the Crowley et al. [3] critical lines. This result shows the large destabilizing influence of the discs attached to the inner cylinder. However, there is full agreement with the results of Crowley et al. [3] regarding the flow structures.
The most characteristic radial (< (V’V’/Ω12R12) > t, A( R))0.5 profiles obtained for the flow case of η = 0.9 during the reduction of Re1 at Re2 = -1000 are presented in Fig. 6. Figure 6 shows that with decreasing Re1 the value at the peak near the outer cylinder increases, and only after reaching a certain maximum, with the further decrease of Re1, we observe the decrease of (< (V’V’/Ω12R12) > t, A( R))0.5. Figure 7a, b, c and d show that these changes of the (< (V’V’/Ω12R12) > t, A( R))0.5 values are related to the changes in the flow structures near the end-walls.
The study shows that the flow structures observed for η = 0.9 and 0.8 are similar, but the radial profiles of the Reynolds stress tensor components (< (V’V’/Ω12R12) > t, A( R))0.5 and < (V’U’/Ω12R12) > t, A( R) are different; the corresponding profiles differ in shape and in the peak values.

Acknowledgements

The DNS computations have been performed in Poznan Supercomputing and Networking Center, which is gratefully acknowledged. Acknowledgements for Poznań University of Technology.

Declarations

Conflict of interest

The authors declare no competing interests.
Open Access This article is licensed under a Creative Commons Attribution 4.0 International License, which permits use, sharing, adaptation, distribution and reproduction in any medium or format, as long as you give appropriate credit to the original author(s) and the source, provide a link to the Creative Commons licence, and indicate if changes were made. The images or other third party material in this article are included in the article's Creative Commons licence, unless indicated otherwise in a credit line to the material. If material is not included in the article's Creative Commons licence and your intended use is not permitted by statutory regulation or exceeds the permitted use, you will need to obtain permission directly from the copyright holder. To view a copy of this licence, visit http://creativecommons.org/licenses/by/4.0/.

Publisher's Note

Springer Nature remains neutral with regard to jurisdictional claims in published maps and institutional affiliations.
Download
Title
DNS of the shear flows between two counter-rotating cylinders, radius ratio eta = 0.9
Author
Ewa Tuliszka-Sznitko
Publication date
02-10-2025
Publisher
Springer Netherlands
Published in
Meccanica / Issue 12/2025
Print ISSN: 0025-6455
Electronic ISSN: 1572-9648
DOI
https://doi.org/10.1007/s11012-025-02047-6
1.
go back to reference Brauckmann HJ, Salewski M, Eckhardt B (2016) Momentum transport in Taylor-Couette flow with vanishing curvature. J Fluid Mech 790:419–452MathSciNetCrossRef
2.
go back to reference Berghout P, Dingemans RJ, Zhu X, Verzicco R, Stevens RJAM, van Saarloos W, Lohse D (2020) Direct numerical simulations of spiral Taylor-Couette turbulence. J Fluid Mech 887:A18MathSciNetCrossRef
3.
go back to reference Crowley CJ, Krygier MC, Borrero-Echeverry D, Grigoriev RO, Schatz MF (2020) A novel subcritical transition to turbulence in Taylor-Couette flow with counter-rotating cylinders. J Fluid Mech 892:A12MathSciNetCrossRef
4.
go back to reference Taylor GI (1923) Stability of a viscous liquid contained between two rotating cylinders. Philosophical Transactions of the Royal Society of London. Ser A, Contain Papers Math Phys Charact 223:289–343
5.
go back to reference Andereck CD, Liu SS, Swinney HL (1986) Flow regimes in a circular Couette system with independently rotating cylinders. J Fluid Mech 164:155–183CrossRef
6.
go back to reference Coles D (1965) Transition in circular Couette flow. J Fluid Mech 21:385–425CrossRef
7.
go back to reference Tagg R (1994) The Couette-Taylor problem. Nonlinear Sci Today 4:1–25MathSciNet
8.
go back to reference Dong S (2008) Turbulent flow between counter-rotating concentric cylinders: a direct numerical simulation study. J Fluid Mech 615:371–399MathSciNetCrossRef
9.
go back to reference Czarny O, Serre E, Bontoux P, Lueptow RM (2002) Spiral and wavy vortex flows in short counter rotating Taylor-Couette cells. Theor Comput Fluid Dyn 16:5–15CrossRef
10.
go back to reference Mullin T, Toya Y, Tavener SJ (2002) Symmetry-breaking and multiplicity of states in small aspect ratio Taylor-Couette flow. Phys Fluids 14:2778–2787MathSciNetCrossRef
11.
go back to reference Edlund EM, Ji H (2014) Nonlinear stability of laboratory quasi-Keplerian flows. Phys Rev E 89(021004):137
12.
go back to reference Lopez JM, Avila M (2017) Boundary-layer turbulence in experiments on quasi-Keplerian flows. J Fluid Mech 817:21–34. https://doi.org/10.1017/jfm.2017.109CrossRef
13.
go back to reference Paoletti MS, Lathrop DP (2011) Angular momentum transport in turbulent flow between independently rotating cylinders. Phys Rev Lett 106(2):024501CrossRef
14.
go back to reference Feldmann D, Borrero-Echeverry D, Burin MJ, Avila K, Avila M (2023) Routes to turbulence in Taylor-Couetteflow, Routes to turbulencein Taylor-Couette flow. Phylosophical Trans R Soc A 381:2246
15.
go back to reference Burin MJ, Czarnocki CJ (2012) Subcritical transition and spiral turbulence in circular Couette flow. J Fluid Mech 7019:106–122CrossRef
16.
go back to reference Meseguer A, Mellibovsky F, Avila M, Marques F (2009) Instability mechanisms and transition scenarios of spiral turbulence in Taylor-Couette flow. Phys Rev E 80:046315CrossRef
17.
go back to reference Klotz L, Lemoult G, Avila K, Hof B (2022) The phase transition to turbulence in spatially extended shear flows. Phys Rev Lett 128:014502CrossRef
18.
go back to reference Barkley D (2016) Theoretical perspective on the route to turbulence in a pipe. J Fluid Mech 803:P1MathSciNetCrossRef
19.
go back to reference Feldmann D, Morón D, Avila M (2021) Spatiotemporal intermittency in pulsatile pipe flow. Entropy 23(46):1–19
20.
go back to reference Peixinho J, Mullin T (2006) Decay of turbulence in pipe flow. Phys Rev Lett 96:094501CrossRef
21.
go back to reference Van Hout R, Katz J (2011) Measurements of mean flow and turbulence characteristics in high Reynolds number counter-rotating Taylor-Couette flow. Phys Fluids 23:105102CrossRef
22.
go back to reference Randriamampianina A, Bontoux P, Roux B (1987) Buoyancy driven flows in rotating cylindrical annulus. Int J Heat Mass Transfer 30:1275–1292CrossRef
23.
go back to reference Pulicani JP, Crespo del Arco E, Randriamampianina A, Bontoux P, Peyret R (1990) Spectral simulations of oscillatory convection at low Prandtl number. Int J Num Method in Fluids 10(5):481–517CrossRef
24.
go back to reference Peyret R (2002) Spectral Methods for Incompressible Viscous Flow. Applied Mathematical Sciences Springer 148.
25.
go back to reference Serre E, Pulicani JP (2001) A three-dimensional pseudospectral method for rotating flows in a cylinder. Comput Fluids 30(4):491MathSciNetCrossRef
26.
go back to reference Serre E, Tuliszka-Sznitko E, Bontoux P (2004) Coupled numerical and theoretical study of the flow transition between a rotating and a stationary disk. Phys Fluids 16:688–706MathSciNetCrossRef
27.
go back to reference Tuliszka-Sznitko E, Zielinski A, Majchrowski W (2009) Les of the non-isothermal transitional flow in rotating cavity. Int J Heat Fluid Flow 30:534–548CrossRef
28.
go back to reference Tuliszka-Sznitko E (2020) Flow dynamics in the short asymmetric Taylor-Couette cavities at low Reynolds numbers. Int J Heat Fluid Flow 86:108678CrossRef
29.
go back to reference Esser A, Grossmann S (1996) Analytic expression for Taylor-Couette stability boundary. Phys Fluids 8:1814CrossRef
30.
go back to reference Vaezi V, Aldredge RC (1997) High-intensity turbulence measurements in a Taylor– Couette flow reactor. Exp Thermal Fluid Sci 15:424–431CrossRef
31.
go back to reference Tuliszka-Sznitko E (2024) Influence of Reynolds number and rotational number on the features of a transitional flow in short Taylor-Couette cavity. Meccanica 59:107–125MathSciNetCrossRef
32.
go back to reference Litschke H, Roesner KG (1998) New experimental methods for turbulent spots and turbulent spirals in the Taylor-Couette flow. Exp Fluids 24:201–209CrossRef
33.
go back to reference Jeong J, Hussain F (1995) On the identification of a vortex. J Fluid Mech 285:69–94MathSciNetCrossRef
34.
go back to reference Rayleigh L (1917) On the dynamics of revolving fluids. Proceedings of the Royal Society of London. Series A, Containing Papers of a Mathematical and Physical Character 93:148–154

Premium Partners

    Image Credits
    in-adhesives, MKVS, Ecoclean/© Ecoclean, Hellmich GmbH/© Hellmich GmbH, Krahn Ceramics/© Krahn Ceramics, Kisling AG/© Kisling AG, ECHTERHAGE HOLDING GMBH&CO.KG - VSE, Schenker Hydraulik AG/© Schenker Hydraulik AG