Skip to main content
Top

Exogenous Application of Humic Acid Mitigates Salinity Stress on Pittosporum (Pittosporum tobira) Plant by Adjusting the Osmolytes and Nutrient Homeostasis

  • Open Access
  • 20-10-2023
  • Original Article / Originalbeitrag
Published in:

Activate our intelligent search to find suitable subject content or patents.

search-config
loading …

Abstract

The study focuses on the exogenous application of humic acid to mitigate salinity stress in Pittosporum tobira plants, a widely used ornamental species. Salinity is a significant abiotic stress that affects plant growth and productivity, particularly in arid and semiarid regions. The research hypothesizes that humic acid can adjust osmolytes and nutrient homeostasis, thereby reducing the negative impacts of salinity on Pittosporum tobira. The main objective is to assess the changes in plant physiology and nutrient contents under different salt stress levels following the application of humic acid. The study was conducted over two seasons, with detailed measurements of vegetative growth, mineral content, proteins, proline, and peroxidase activity. The results provide insights into the potential of humic acid as a natural mitigator of salinity stress in ornamental plants, contributing to the sustainable management of plant health and productivity.

Publisher’s Note

Springer Nature remains neutral with regard to jurisdictional claims in published maps and institutional affiliations.

Introduction

Pittosporum is an ornamental greenhouse plant widely used in landscaping and along roadsides, as well as in parks and gardens (Abou Kubaa et al. 2020). Pittosporum genus belongs to the family Pittosporaceae which includes about 200 species, the Pittosporum tobira plants typified by about 2–3 m high, the leaves are dark green (dark green with white zones in Pittosporum tobira var. variegate type) (Tian-Tain et al. 2011). The genus Pittosporum is considered a source of essential oils such as monoterpenes, aliphatic hydrocarbons, sesquiterpenes. Also, α‑pinene as major compound was obtained from the flowers of pittosporum plants (Nickavar et al. 2004). Furthermore, El-Dib et al. (2015) reported that the n-butanol fractions from pittosporum leaves possess antimicrobial activity and cytoprotective effects against breast carcinoma, hepatocellular carcinoma colon carcinoma cancer cell lines. Besides pittosporum is regarded as one of popular ornamental decorative shrubs in landscape purposes because of its beautiful shape and leave colors and white odor flowers.
Distinctive adverse effects on crop yield and quality are realized owing to eco-stresses occurrence (Saudy et al. 2020a; Mubarak et al. 2021; El-Metwally and Saudy 2021; El-Bially et al. 2022a; El-Metwally et al. 2022a; Saudy et al. 2023a). Under various environmental stresses, several changes in plant physiology expressed in nutrient uptake and osmolytes accumulation occur (Hadid et al. 2023), affecting crop growth and productivity (Saudy and El-Metwally 2019, 2023). Salinity is one of the most widespread abiotic stresses which results in significant losses in agricultural crop production, especially in arid and semiarid areas (Salem et al. 2021; Hernández 2019; Alsamadany et al. 2022; El-Bially et al. 2022b). Saline conditions (consists of Cl and or Na ions) results in retarding growth, chlorophyll damage with low crop quantity and quality (Abd El-Mageed et al. 2022; Salem et al. 2022; Shaaban et al. 2023a).
Humic acid is a natural soil organic matter compound resulted from either plant, animal or microbial residues decomposition as well as from metabolic activity of microbes (Du jardin 2015). Several studies showed that humic acid not only enhances root, leaf and shoot growth, but also, stimulates the germination of many plant species (Trevisan et al. 2010). Humic acids are the main fractions of humic substances and the most active components of soil and compost organic matter. Humic acids have been shown to stimulate plant growth and consequently yield by acting on mechanisms involved in cell respiration, photosynthesis, protein synthesis, water and nutrient uptake, enzyme activities (Chen et al. 2004a; Dinçsoy and Sönmez 2019; Ramadan et al. 2023). Because of their potential to stimulate nutrient content, phenols, flavonoids and antioxidant activity in plant leaves, humates compounds considered natural antioxidants (Bayat et al. 2021). It is well known that the increase in sodium and chloride ions accumulation in plant tissues associates salt stress, causing disruption ion homeostasis, with physiological disturbance, and reduction in potassium uptake (Ketehouli et al. 2019). Also, the accumulation of osmolytes such as proline and soluble proteins increased in salt-stressed plants (Rahman et al. 2016). Contrary, humic acid reduced the accumulation of sodium and salinity-induced increase in proline while increased the antioxidant enzymes, protecting the plant from hazards of salinity (Abbas et al. 2022; Abu-Ria et al. 2023). The optimal concentrations able to affect and stimulate plant growth have been generally found in the range of 50–300 mg L–1, but positive effects have been also exerted by lower concentrations Chen et al. (2004b). A distinction on the effects of humic acid should be made between indirect and direct effects on plants growth. Indirect effects are mainly exerted through properties such as enrichment in soil nutrients, increase of microbial population, higher cation exchange capacity, improvement of soil structure (Roudgarnejad et al. 2021). Whereas direct effects are various biochemical actions exerted at the cell wall, membrane or cytoplasm and mainly of hormonal nature (Varanini and Pinton 2001). The hormone like activities of humic acids is well documented in various papers, in particular auxin-, cytokinin- and gibberellins like effects (Nardi et al. 2016).
Based on the distinctive properties and mode of action of humic acid, the current study hypotheses that the negative impacts of salinity on pittosporum could be mitigated by exogenous supply of humic acid via adjusting the osmolytes and nutrient homeostasis. Therefore, the main objective of the research was to assess the change in physiology and nutrient contents f pittosporum plants owing to application of humic acid under different salt stress levels.

Material and Methods

Plant Material and Practical Procedures

This study was conducted at the Ornamental Farm, Department of Horticulture, Faculty of Agriculture, Ain Shams University, Cairo, Egypt during two seasons of 2020 and 2021. The basal physico-chemical analysis of the used experimental soil was determined by the standard methods of Page et al. (1982) and Klute (1986). The analysis showed that the soil classified as loamy sandy, comprising 86.0% sand, 12.0% silt, and 2.0% silt while having 0.44% organic matter, 1.48% calcium carbonate, pH of 7.44, 1.05 dS m−1 electric conductivity, 17.64 mg kg−1 total nitrogen, 13.60 mg kg−1 available phosphorus, and 254.78 mg kg−1 available potassium.
One month old, healthy and uniform in shape, pittosporum tobira var. variegata transplants (20 cm, length) were purchased from a private nursery, Giza, Egypt. Each single transplant was cultivated in the first week of April (in both seasons) in a plastic pot (35 cm diameter) filled with loam and sand (1:1). The irrigation was regularly done 2–3 times a week after calculating the decrease in water-holding capacity using the weight method. Fertilization was done by using a half-strength Hoagland’s nutrient solution (one time every 10 days). After 2 months of cultivation, all pots (72 pots) were divided into 2 groups, in the first week of June, to apply the foliar applications of humic acid treatments (distilled water as a control, without humic acid) and spraying of 150 mg L−1 with a rate of 50 ml solution per pot (technical grade, Sigma-Aldrich Chemical Co. Washington, USA). Pittosporum plants were subjected to three salinity levels (0, 4000, 8000 mg L−1 NaCl salt. The experiment layout in a randomized complete block design with 3 replicates.

Assessments

Vegetative Growth

On August 15 in each year, plant height, lateral branches number plant−1, leaves number plant−1, stem diameter, fallen leaves number plant−1, root fresh and dry weight plant−1 and shoots fresh and dry weight plant−1 were measured.

Plant Mineral Content

Representative pittosporum shoot samples were oven dried at 70 °C and milled into fine powder before determining the ions of chloride (Cl), potassium (K) and sodium (Na) on a dry weight basis. Cl ions were determined by Mohr method described by Sheen and Kahler (1938). K and Na ions were assessed by using Phillips Unicum Atomic absorption spectrometer as described by Chapman and Pratt (1982). Furthermore, K/Na Ratio was calculated.

Proteins, Proline and Peroxidase Activity

Total proteins, according to AOAC (2012), and proline based on the methods of Bates et al. (1973) were determined. The peroxidase enzyme (POD) activity was determined using 4‑methylcatechol as substrate. The increase in the absorption caused by oxidation of 4‑methylcatechol by H2O2, was measured at 420 nm spectrophotometrically. The reaction mixture contained 100 mM sodium phosphate buffer (pH 7.0), 5 mM 4‑methylcatechol, 5 mM H2O2 and 500 μl of crude extract in a total volume of 3.0 m. at room temperature. One unit of enzyme activity was defined as 0.001 change in absorbance per min, under assay conditions (Chance and Maehly 1955; Onsa et al. 2004).

Data Analysis

A 2–way analysis of variance (ANOVA) was performed for the obtained data according to Casella (2008), using Costat software program, Version 6.303 (2004). Salinity and humic acid treatments were considered fixed effects while replications (blocks) were considered random effects. Using to Duncan’s multiple range test, means were separated only when the F–test indicated significant (P < 0.05) differences among the treatments.

Results

Growth Response

Results data related to the growth of pittosporum clarified the adverse effect of salinity on plant height, lateral branches number plant−1, stem diameter, leaves number plant−1 (Table 1), as well as fresh and dry weights of roots and shoots (Table 2) in growing seasons of 2020 and 2021 Plant height and Leaves number plant−1 in both seasons, fresh and dry weights of plant roots in the second season as well as dry weight of plant shoots in the first season showed the maximum reduction with salinity level of 8000 mg L−1. Salinity level of 8000 along 4000 recorded reductions of lateral branches number plant−1 stem diameter and shoot weight plant−1 in both seasons as well as fresh and dry weights of plant roots in the first season and dry weight of plant shoots in the second season compared to the control treatment. On the other hand, the lowest fallen leaves number was obtained under non-saline conditions (Fig. 1). While, salinity levels of 4000 and 8000 mg L−1 increased the leaves fall than no salinity level by 2.13 and 3.45 in the first season and 1.92 and 3.32 times in the second one, respectively.
Table 1
Effect of humic acid as foliar application and salinity stress and their interaction on plant height, lateral branch number, stem diameter and leaves number of pittosporum plant during 2020 and 2021 seasons
Variable
 
Plant height (cm)
Lateral branches number plant−1
Stem diameter (cm)
Leaves number plant−1
  
2020
2021
2020
2021
2020
2021
2020
2021
Salinity (mg L−1), S
0
 
40.16a
41.16a
2.66a
2.16a
1.24a
1.24a
149.33a
163.33a
4000
 
32.33b
33.66b
1.66ab
1.58b
1.11ab
1.05b
115.83b
124.50b
8000
 
29.33c
29.50c
1.50b
1.33b
0.98b
0.98b
105.50c
107.50c
Humic acid (mg L−1), H
0
 
35.44a
32.55b
1.66a
1.66a
1.15a
1.04a
114.00b
126.88b
150
 
32.44b
37.00a
2.22a
2.00a
1.07a
1.14a
133.11a
136.66a
S x H
0
0
37.66b
40.00b
2.33ab
2.00ab
1.23a
1.18ab
139.33ab
161.66b
150
42.66a
42.33a
3.00a
2.66a
1.25a
1.30a
159.33a
165.00a
4000
0
31.33cd
31.66d
1.33b
1.50b
1.05ab
1.05b
110.00cd
119.00b
150
33.33c
35.66c
2.00ab
1.66b
1.18a
1.06b
121.66bc
130.00b
8000
0
28.33d
26.00e
1.33b
1.33b
0.93b
0.90c
92.66d
100.00c
150
30.33cd
33.00d
1.66ab
1.33b
1.03ab
1.06b
118.33bcd
115.00bc
Means sharing the same letter for each variable in each column are not significantly different by Duncan’s multiple range test at p0.05
Table 2
Effect of humic acid as foliar application and salinity stress and their interaction on root and shoot weights of pittosporum plant during 2020 and 2021 seasons
Variable
 
Root weight plant−1 (g)
Shoot weight plant−1 (g)
  
Fresh
 
Dry
 
Fresh
 
Dry
 
  
2020
2021
2020
2021
2020
2021
2020
2021
Salinity (mg L−1), S
0
 
54.83a
56.40a
32.86a
30.05a
127.53a
122.62a
47.23a
43.98a
4000
 
44.09b
39.60b
24.34b
22.50b
88.44b
89.01b
40.50b
35.21b
8000
 
41.58b
36.52c
23.69b
20.16c
69.35b
77.72b
34.59c
32.25b
Humic acid (mg L−1), H
0
 
47.28a
42.54b
26.17a
22.47b
88.81a
86.33b
40.41a
34.72b
150
 
46.39a
45.82a
27.76a
26.00a
101.40a
106.57a
41.13a
39.57a
S x H
0
0
54.66a
55.01a
31.66a
27.76b
122.97ab
119.85a
46.63a
42.90ab
150
55.00a
57.79a
34.06a
32.33a
132.09a
125.39a
47.82a
45.06a
4000
0
45.66b
37.54c
23.78b
20.66d
83.70cd
73.13c
40.60b
32.09de
150
42.52b
41.66b
24.90b
24.33c
93.19bc
104.89ab
40.40b
38.33bc
8000
0
41.51b
35.05c
23.06b
19.00d
59.78d
66.02c
34.00c
29.16e
150
41.66b
38.00c
24.33b
21.33d
78.93cd
89.42bc
35.18c
35.33cd
Means sharing the same letter for each variable in each column are not significantly different by Duncan’s multiple range test at p0.05
Fig. 1
Effect of humic acid as foliar application and salinity stress and their interaction on fallen leaves number of pittosporum plant during 2020 and 2021 seasons. Means sharing the same letter for each variable in each bar are not significantly different by Duncan’s multiple range test at p0.05
Full size image
The beneficial effect of humic acid on pittosporum growth was more pronounced in the second season. In this regard, the increases due to humic acid application in plant height, leaves number plant−1, root fresh weight plant−1, root dry weight plant−1, shoot fresh weight plant−1 and shoot dry weight plant−1 were 13.7, 7.7, 7.7, 15.7, 23.4 and 13.9%, respectively, compared to the humic acid-untreated plants. Humic acid application coped the leaves fall by 64.5 and 65.5% in the first and second seasons, respectively (Fig. 1).
From the interaction data, it is interesting to note that humic acid had favorable role act for alleviating the hazards of salinity stress on pittosporum plants especially in 2021 season. Compared to humic acid-untreated plants, application of humic acid under salinity level of 4000 mg L−1 enhanced plant height, root fresh weight plant−1, root dry weight plant−1, shoot fresh weight plant−1 and shoot dry weight plant−1 by 12.6, 10.9, 17.7, 43.4, 19.4%, respectively, in the second season. Moreover, plant height, stem diameter, and shoot dry weight plant−1 were showed increased values with humic acid application higher than no humic acid application under salinity level of 8000 mg L−1. Humic acid application under all salinity levels showed favorable effect for keeping leaves in both seasons, since fallen leaves number was reduced (Fig. 1).

Mineral Content

As shown in Table 3, increase in salinity level increased chloride (Cl) and sodium (Na) as well as decreased potassium (K) and K/Na ratio. Thus, the maximum Cl and Na values were recorded with salinity level of 8000 mg L−1. Unlike, without salinity effect K and K/Na ratio gave the highest values. On the other site, addition of humic acid-treated plants had lower Cl and Na content (31.9 and 29.1% decreases, respectively, and higher K (17.9% increase) compared to humic acid-untreated plants.
Table 3
Effect of humic acid as foliar application and salinity stress and their interaction on chloride (Cl), potassium (K), sodium (S) and K/Na ratio of pittosporum plant during 2020 and 2021 seasons
Variable
 
Nutrient (%)
K/Na ratio
  
Chloride
Potassium
Sodium
Salinity (mg L−1), S
0
 
0.23c
3.01a
0.20c
15.81a
4000
 
1.00b
2.57b
0.87b
3.45b
8000
 
2.23a
2.44c
1.93a
1.30c
Humic acid (mg L−1), H
0
 
1.41a
2.45b
1.17a
7.01a
150
 
0.96b
2.89a
0.83b
6.70a
S×H
0
0
0.17f
2.74b
0.15f
17.98a
150
0.29e
3.27a
0.24e
13.64b
4000
0
1.37c
2.42e
1.18c
2.05d
150
0.62d
2.71c
0.56d
4.84c
8000
0
2.68a
2.19f
2.18a
1.00d
150
1.96b
2.68d
1.68b
1.59d
Means sharing the same letter for each variable in each column are not significantly different by Duncan’s multiple range test at p0.05
Under saline conditions, humic acid caused reductions in Cl and Na amounted to 54.7 and 52.5% under 4000 mg L−1 and 26.9 and 22.9% under 8000 mg L−1, respectively (Table 3). Furthermore, the increases in K content reached about 12.0 and 22.4% under 4000 mg L−1 and 8000 mg L−1 owing to humic acid application compared to the counterpart control treatment (without humic acid).

Osmolytes and Antioxidant Activity

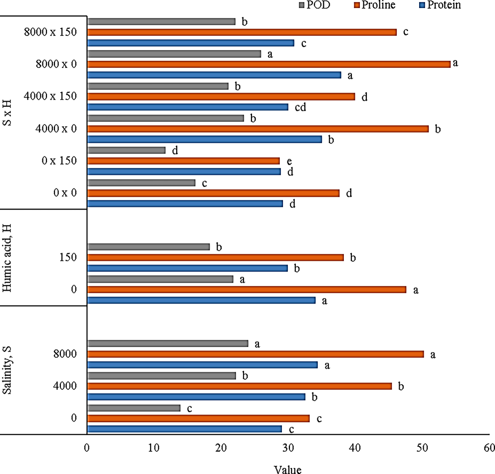
As depicted in Fig. 2, protein, proline and peroxidase activity significantly responded to salinity level and humic acid and their interaction. Salinity levels of 4000 mg L−1 and 8000 mg L−1 showed increases in protein (11.8 and 18.3%), proline (36.9 and 51.2%) and peroxidase activity (59.6 and 72.4%) higher than the control treatment. With application of humic acid, protein content, and proline content and peroxidase activity were decreased. With exception of the normal condition (no salinity), protein content, and proline content and peroxidase activity showed the minimal values under humic acid × salinity level of 4000 mg L−1.
Fig. 2
Effect of humic acid as foliar application and salinity stress and their interaction on total protein (mg g−1 fw), proline content (mg g−1 fw) and peroxidase (POD) enzyme activity (U g−1) in pittosporum plant. Means sharing the same letter for each variable in each bar are not significantly different by Duncan’s multiple range test at p0.05
Full size image

Discussion

Huge efforts have been exerted to overcome the issues and sustain the crop productivity and quality under harsh growth conditions (El-Bially et al. 2018; El-Metwally et al. 2021; Saudy et al. 2021; El-Metwally et al. 2022b; Abd–Elrahman et al. 2022; Shaaban et al. 2023b). Plants exposed to salinity stress exhibited a reduction in growth and yield potential (Liu et al. 2020; Shahid et al. 2020). However, applications of humic acid mitigated the negative effects of salinity, as evidenced by the increases in plant height, lateral branches number, stem diameter, leaves number as well as root and shoot weights of pittosporum (Table 1 and 2) and decrease in fallen leaves (Fig. 1). To explain the beneficial effect of humic acid-mediated salinity stress mitigation, the current study assessed several features that could be used to improve pittosporum response under salinity conditions. It has been observed that subjecting plants to salt stress led to significant decreases in all vegetative growth parameters (plant height, lateral branches number, leaves number, stem diameter, fresh and dry weights of plant parts (root and shoot), while fallen leaves and toxic ions increased. Salinity had serious unfavorable effects on plant growth, as evidenced by the significant reduction in growth and biomass of tomato (Alam et al. 2020) and faba bean (Abdel Latef et al. 2021). In the current study, salinity resulted in an ionic imbalance, since potassium was reduced while chloride and sodium were increased under salt stress.
Due to induction of osmotic stress with over-accumulation of Na+ and Cl ions in cells by salinity, ionic imbalance and toxicity were obtained (Khan et al. 2018). Salinity causes handicapping the absorption of needed nutrients (Khan et al. 2019). Owing to the ionic misbalance in plants, negative changes in different morpho-physiological and biochemical were reported (Makhlouf et al. 2022; Saudy et al. 2023b). Moreover, mung bean plants suffer from water deficiency with low nutrients absorption under saline conditions, hence photosynthesis disruption and oxidative stress occurred (Rahman et al. 2019). Owing to salinity, reactive oxygen species (ROS) generated in plant cells (Khan et al. 2018; Hadid et al. 2023), causing oxidative damage expressed in lipid membranes deterioration of the plant cells (Guimarães et al. 2011). Accordingly, salinity leads to reduction of plant leaf area, gas exchange through stomata, and plant pigments concentrations (Netondo et al. 2004; Shaaban et al. 2023a). Due to high accumulation of sodium as a toxic ion and decrease in potassium, calcium and magnesium as beneficial ions, the distinctive association between weak growth of salt-stressed plants and ionic toxicity was observed (Abdel Latef et al. 2021). This might be attributed to the injuries of the cell membrane and ion leakage (Abd El-Mageed et al. 2022), and turmoil in uptake of beneficial ions (Liu et al. 2019; Mubarak et al. 2021).
For adapting to salt stress, plants synthesize specific proteins to be more tolerant under salinity situations (Bavei et al. 2011). Various plants produced certain proteins under stress conditions (Parker et al. 2006; Younis et al. 2009; Hadid et al. 2023). This effect has been proved in the current study, since protein, proline and peroxidase activity increased with increasing salinity level (Fig. 2). Plants could combat the osmotic stress of salinity by accumulating a diverse osmolytes in their cells such as proline (Hayat et al. 2012; Zulfiqar et al. 2020), hence water balance and osmotic potential maintained (Mansour and Ali 2017; Hasanuzzaman et al. 2019). The physiological upregulation of the defensive actions for oxidative pressure has been recorded in different plants under abiotic stresses (Latif et al. 2016; Tahjib-Ul-Arif et al. 2018).
Several attempts have been adopted to mitigate the impact of salinity and increase the tolerance of plants to salt stress (Wang et al. 2019). It is well known that nutrients are readily absorbed by plant roots when the soil minerals are available (Ouni et al. 2014). Therefore, as obtained in the current study, soil addition of humic acid significantly increased the beneficial nutrient contents in the leaves of pittosporum plants. This useful finding may be because humic acid participates to an enhancement in organic acids (Liu et al. 2019), while plant phytohormones released by microorganisms (Cheng et al. 2020; Sun et al. 2021) to shrink the unwholesome impacts of salts in the soil. Additionally, the generated phytohormones motivate the proliferation of plant roots (Nunes et al. 2019), promoting the nutrient absorbing surfaces and organic acids production which increase the solubility for various mineral forms, hence enhance plant responses (Rady et al. 2016; Belal et al. 2019; Saudy et al. 2020b). Humic increases accumulation of leaf nutrients and chlorophyll biosynthesis (Kaya et al. 2018). Furthermore, humic substances can display gibberellin- and cytokinin-like activities (Nardi et al. 2016), with improvement in cell membrane permeability (Osman and Rady 2014). Therefore, the saline soil fertility and plants nutrients uptake were ameliorated in favor of plant growth and yield with humic acid application (Table 1, 2 and 3).
Generally, humic acid ameliorated the negative effects of salinity on pittosporum plant through adjusting the osmolytes and nutrient homeostasis. Thus, pittosporum growth and development were relatively improved under saline conditions by application of humic acid.

Conclusion

Humic acid is a good anti-stress for a salinity level of 4000 mg L−1 where most pittosporum traits of are improved. The beneficial effects of humic acid for coping the salinity injury are associated with its significant role in adjusting various physiological aspects expressed in nutritional status and osmo-protectant composition. Accordingly, it is advisable to introduce humic acid as a useful practice pittosporum plants cultivated under saline conditions.

Conflict of interest

F.F. Lasheen, M. Hewidy, A.N. Abdelhamid, R.S. Thabet, M.M.M. Abass, A.A. Fahmy, H.S. Saudy and K.M. Hassan declare that they have no competing interests concerning the current research publication.
Open Access This article is licensed under a Creative Commons Attribution 4.0 International License, which permits use, sharing, adaptation, distribution and reproduction in any medium or format, as long as you give appropriate credit to the original author(s) and the source, provide a link to the Creative Commons licence, and indicate if changes were made. The images or other third party material in this article are included in the article’s Creative Commons licence, unless indicated otherwise in a credit line to the material. If material is not included in the article’s Creative Commons licence and your intended use is not permitted by statutory regulation or exceeds the permitted use, you will need to obtain permission directly from the copyright holder. To view a copy of this licence, visit http://creativecommons.org/licenses/by/4.0/.

Publisher’s Note

Springer Nature remains neutral with regard to jurisdictional claims in published maps and institutional affiliations.

Hani Saber Saudy

Professor of Agronomy
Download
Title
Exogenous Application of Humic Acid Mitigates Salinity Stress on Pittosporum (Pittosporum tobira) Plant by Adjusting the Osmolytes and Nutrient Homeostasis
Authors
Fawzy F. Lasheen
Mohammed Hewidy
Ahmed N. Abdelhamid
Ramez S. Thabet
Mohamed M. M. Abass
Asmaa A. Fahmy
Hani S. Saudy
Karim M. Hassan
Publication date
20-10-2023
Publisher
Springer Berlin Heidelberg
Published in
Journal of Crop Health / Issue 1/2024
Print ISSN: 2948-264X
Electronic ISSN: 2948-2658
DOI
https://doi.org/10.1007/s10343-023-00939-9
go back to reference Abbas G, Rehman S, Siddiqui MH, Ali HM, Farooq MA, Chen Y (2022) Potassium and humic acid synergistically increase salt tolerance and nutrient uptake in contrasting wheat genotypes through ionic homeostasis and activation of antioxidant enzymes. Plants 11:263. https://doi.org/10.3390/plants11030263CrossRefPubMedPubMedCentral
go back to reference Abd El-Mageed TA, Mekdad AAA, Rady MOA, Abdelbaky AS, Saudy HS, Shaaban A (2022) Physio-biochemical and agronomic changes of two sugar beet cultivars grown in saline soil as influenced by potassium fertilizer. J Soil Sci Plant Nutr 22:3636–3654. https://doi.org/10.1007/s42729-022-00916-7CrossRef
go back to reference Abdel Latef AAH, Akter A, Tahjib-Ul-Arif M (2021) Foliar application of auxin or cytokinin can confer salinity stress tolerance in Vicia faba L. Agrononmy 11:790. https://doi.org/10.3390/agronomy11040790CrossRef
go back to reference Abd–Elrahman SH, Saudy HS, El–Fattah DA Abd, Hashem FA (2022) Effect of irrigation water and organic fertilizer on reducing nitrate accumulation and boosting lettuce productivity. J Soil Sci Plant Nutr 22:2144–2155. https://doi.org/10.1007/s42729-022-00799-8CrossRef
go back to reference Abou Kubaa R, Saldarelli P, Attar B, Jreijiri F, Choueiri E (2020) First report of Pittosporum cryptic virus 1 in Pittosporum tobira in Lebanon. J Plant Pathol 102:567. https://doi.org/10.1007/s42161-019-00455-8CrossRef
go back to reference Abu-Ria M, Shukry W, Abo-Hamed S, Albaqami M, Almuqadam L, Ibraheem F (2023) Humic acid modulates ionic homeostasis, osmolytes content, and antioxidant defense to improve salt tolerance in rice. Plants 12:1834. https://doi.org/10.3390/plants12091834CrossRefPubMedPubMedCentral
go back to reference Alam M, Khan MA, Imtiaz M, Khan MA, Naeem M, Shah SAS, Ahmad SH, Khan L (2020) Indole-3-acetic acid rescues plant growth and yield of salinity stressed tomato (Lycopersicon esculentum L.). Gesunde Pflanzen 72:87–95. https://doi.org/10.1007/s10343-019-00489-zCrossRef
go back to reference Alsamadany H, Mansour H, Elkelish A, Ibrahim MF (2022) Folic acid confers tolerance against salt stress-induced oxidative damages in snap beans through regulation growth, metabolites, antioxidant machinery and gene expression. Plants 11:1459. https://doi.org/10.3390/plants11111459CrossRefPubMedPubMedCentral
go back to reference Association of Official Agriculture Chemists (2012) Official method of analysis: Association of Analytical Chemists, 19th edn. AOAC, Washington
go back to reference Bates L, Waldren R, Teare I (1973) Rapid determination of free proline for water-stress studies. Plant Soil 39:205–207CrossRef
go back to reference Bavei V, Shiran B, Khodambashi M, Ranjbar A (2011) Protein electrophoretic profiles and physiochemical indicators of salinity tolerance in sorghum (Sorghum Bicolor L.). Afr J Biotechnol 10:2683–2697CrossRef
go back to reference Bayat H, Shafie F, Aminifard MH, Daghighi S (2021) Comparative effects of humic and fulvic acids as biostimulants on growth, antioxidant activity and nutrient content of yarrow (Achillea millefolium L.). Sci Hortic 279:109912. https://doi.org/10.1016/j.scienta.2021.109912CrossRef
go back to reference Belal EE, El Sowfy DM, Rady MM (2019) Integrative soil application of humic acid and sulfur improves saline calcareous soil properties and barley plant performance. Commun Soil Sci Plant Anal 50:1919–1930. https://doi.org/10.1080/00103624.2019.1648497CrossRef
go back to reference Casella G (2008) Statistical design, 1st edn. Springer, GainesvilleCrossRef
go back to reference Chance M, Maehly AC (1955) Assay of catalases and peroxidases. Methods Enzymol 2:764–817CrossRef
go back to reference Chapman HD, Pratt PF (1982) Methods of plant analysis, I. Methods of anaylsis for soil, plant and water. Chapman, Riverside, p 309
go back to reference Chen Y, Clapp CE, Magen H (2004a) Mechanisms of plant growth stimulation by humic substances: the role of organo–iron complex. Soil Sci Plant Nutr 50:1089–1095. https://doi.org/10.1080/00380768.2004.10408579CrossRef
go back to reference Chen Y, De Nobili M, Aviad T (2004b) Stimulatory effect of humic substances on plant growth. In: Magdoff F, Weil RR (eds) Soil organic matter in sustainable agriculture
go back to reference Cheng H, Zhang D, Huang B, Song Z, Ren L, Hao B, Liu J, Zhu J, Fang W, Yan D, Li Y, Wang Q, Cao A (2020) Organic fertilizer improves soil fertility and restores the bacterial community after 1,3-dichloropropene fumigation. Sci Total Environ 738:140345. https://doi.org/10.1016/j.scitotenv.2020.140345ADSCrossRefPubMed
go back to reference Dinçsoy M, Sönmez F (2019) The effect of potassium and humic acid applications on yield and nutrient contents of wheat (Triticum aestivumL. var. Delfii) with same soil properties. J Plant Nutr 42:2757–2772. https://doi.org/10.1080/01904167.2019.1658777CrossRef
go back to reference Du Jardin P (2015) Plant biostimulants: definition, concept, main categories and regulation. Sci Hort 196:3–14. https://doi.org/10.1016/j.scienta.2015.09.021CrossRef
go back to reference El Dib RA, Eskander J, Mohamed MA, Mohamed NM (2015) Two new triterpenoid estersaponins and biological activities of Pittosporum tobira Variegata (Thunb) WT Aiton leaves. Fitoterabia 106:272–279. https://doi.org/10.1016/j.fitote.2015.09.006CrossRef
go back to reference El-Bially MA, Saudy HS, El-Metwally IM, Shahin MG (2018) Efficacy of ascorbic acid as a cofactor for alleviating water deficit impacts and enhancing sunflower yield and irrigation water–use efficiency. Agric Water Manage 208:132–139. https://doi.org/10.1016/j.agwat.2018.06.016CrossRef
go back to reference El-Bially MA, Saudy HS, El-Metwally IM, Shahin MG (2022a) Sunflower response to application of L–ascorbate under thermal stress associated with different sowing dates. Gesunde Pflanzen 74:87–96. https://doi.org/10.1007/s10343-021-00590-2CrossRef
go back to reference El-Bially MA, Saudy HS, Hashem FA, El–Gabry YA, Shahin MG (2022b) Salicylic acid as a tolerance inducer of drought stress on sunflower grown in sandy soil. Gesunde Pflanzen 74:603–613. https://doi.org/10.1007/s10343-022-00635-0CrossRef
go back to reference El-Metwally IM, Saudy HS (2021) Interactional impacts of drought and weed stresses on nutritional status of seeds and water use efficiency of peanut plants grown in arid conditions. Gesunde Pflanzen 73:407–416. https://doi.org/10.1007/s10343-021-00557-3CrossRef
go back to reference El-Metwally IM, Saudy HS, Abdelhamid MT (2021) Efficacy of benzyladenine for compensating the reduction in soybean productivity under low water supply. Ital J Agrometeorol 2:81–90. https://doi.org/10.36253/ijam-872CrossRef
go back to reference El-Metwally IM, Geries L, Saudy HS (2022a) Interactive effect of soil mulching and irrigation regime on yield, irrigation water use efficiency and weeds of trickle–irrigated onion. Arch Agron Soil Sci 68:1103–1116. https://doi.org/10.1080/03650340.2020.1869723CrossRef
go back to reference El-Metwally IM, Sadak MS, Saudy HS (2022b) Stimulation effects of glutamic and 5‑Aminolevulinic acids on photosynthetic pigments, physio-biochemical constituents, antioxidant activity, and yield of peanut. Gesunde Pflanzen 74:915–924. https://doi.org/10.1007/s10343-022-00663-wCrossRef
go back to reference Guimarães FVA, De Lacerda CF, Marques EC, De Miranda MRA, De Abreu CEB, Prisco JT, Gomes-Filho E (2011) Calcium can moderate changes on membrane structure and lipid composition in cowpea plants under salt stress. Plant Growth Regul 65:55–63. https://doi.org/10.1007/s10725-011-9574-1CrossRef
go back to reference Hadid ML, Ramadan KM, El-Beltagi HS, Ramadan AA, El-Metwally IM, Shalaby TA, Bendary ESA, Saudy HS (2023) Modulating the antioxidant defense systems and nutrients content by proline for higher yielding of wheat under water deficit. Not Bot Horti Agrobo 51:13291. https://doi.org/10.15835/nbha51313291CrossRef
go back to reference Hasanuzzaman M, Anee TI, Bhuiyan T, Nahar K, Fujita M (2019) Emerging role of osmolytes in enhancing abiotic stress tolerance in rice. In: Advances in rice research for abiotic stress tolerance. Elsevier, Hoboken, pp 677–708CrossRef
go back to reference Hayat S, Yadav S, Wani DA, Irfan M, Alyemeni M, Ahmad A (2012) Impact of sodium nitroprusside on nitrate reductase, proline content, and antioxidant system in tomato under salinity stress. Hortic Environ Biotechnol 53:362–367. https://doi.org/10.1007/s13580-012-0481-9CrossRef
go back to reference Hernández JA (2019) Salinity tolerance in plants: trends and perspectives. Int J Mol Sci 20:2408. https://doi.org/10.3390/ijms20102408CrossRefPubMedPubMedCentral
go back to reference Kaya C, Akram NA, Ashraf M, Sonmez O (2018) Exogenous application of humic acid mitigates salinity stress in maize (Zea mays l.) plants by improving some key physico-biochemical attributes. Cereal Res Commun 46:67–78. https://doi.org/10.1556/0806.45.2017.064CrossRef
go back to reference Ketehouli T, Carther KFI, Noman M, Wang FW, Li XW, Li HY (2019) Adaptation of plants to salt stress: Characterization of Na+ and K+ transporters and role of CBL gene family in regulating salt stress response. Agronomy 9:687. https://doi.org/10.3390/agronomy9110687CrossRef
go back to reference Khan A, Khan AL, Muneer S, Kim Y, Al-Rawahi A, Al-Harrasi A (2019) Silicon and salinity: crosstalk in crop-mediated stress tolerance mechanisms. Front Plant Sci 10:1429. https://doi.org/10.3389/fpls.2019.01429CrossRefPubMedPubMedCentral
go back to reference Khan WUD, Aziz T, Maqsood MA, Farooq M, Abdullah Y, Ramzani PMA, Bilal HM (2018) Silicon nutrition mitigates salinity stress in maize by modulating ion accumulation, photosynthesis, and antioxidants. Photosynthetica 56:1047–1057. https://doi.org/10.1007/s11099-018-0812-xCrossRef
go back to reference Klute A (1986) Methods of soil analysis. Part 1. Physical and mineralogical methods, 2nd edn. Am soc Agron monograph, vol 9. American Society of Agronomy, Madison (https://agris.fao.org/agris-search/searchdo?recordID=XF20160310 60)CrossRef
go back to reference Latif M, Akram NA, Ashraf M (2016) Regulation of some biochemical attributes in drought-stressed cauliflower (Brassica Oleracea L.) by seed pre-treatment with ascorbic acid. J Hortic Sci Biotechnol 91:129–137. https://doi.org/10.1080/14620316.2015.1117226CrossRef
go back to reference Liu M, Wang C, Wang F, Xie Y (2019) Maize (Zea mays) growth and nutrient uptake following integrated improvement of vermicompost and humic acid fertilizer on coastal saline soil. Appl Soil Ecol 142:147–154. https://doi.org/10.1016/j.apsoil.2019.04.024ADSCrossRef
go back to reference Liu Y, Zhang M, Meng Z, Wang B, Chen M (2020) Research progress on the roles of cytokinin in plant response to stress. Int J Mol Sci 21:6574. https://doi.org/10.3390/ijms21186574CrossRefPubMedPubMedCentral
go back to reference Makhlouf BSI, Khalil SRA, Saudy HS (2022) Efficacy of humic acids and chitosan for enhancing yield and sugar quality of sugar beet under moderate and severe drought. J Soil Sci Plant Nutr 22:1676–1691. https://doi.org/10.1007/s42729-022-00762-7CrossRef
go back to reference Mansour MMF, Ali EF (2017) Evaluation of proline functions in saline conditions. Phytochemistry 140:52–68. https://doi.org/10.1016/j.phytochem.2017.04.016CrossRefPubMed
go back to reference Mubarak M, Salem EMM, Kenawey MKM, Saudy HS (2021) Changes in calcareous soil activity, nutrient availability, and corn productivity due to the integrated effect of straw mulch and irrigation regimes. J Soil Sci Plant Nutr 21:2020–2031. https://doi.org/10.1007/s42729-021-00498-wCrossRef
go back to reference Nardi S, Pizzeghello D, Schiavon M, Ertani A (2016) Plant biostimulants: physiological responses induced by protein hydrolyzed-basedproducts and humic substances in plant metabolism. Sci Agric 73:18–23. https://doi.org/10.1590/0103-9016-2015-0006CrossRef
go back to reference Netondo GW, Onyango JC, Beck E (2004) Sorghum and salinity: II. Gas exchange and chlorophyll fluorescence of sorghum under salt stress. Crop Sci 44:806–811. https://doi.org/10.2135/cropsci2004.8060CrossRef
go back to reference Nickavar B, Amin G, Yosefi M (2004) Volatile constituents of the flower and fruit oils of Pittosporum tobira (Thunb.) Ait. grown in Iran. Z Naturforsch C 59:174–176. https://doi.org/10.1515/znc-2004-3-406CrossRefPubMed
go back to reference Nunes RO, Domiciano GA, Alves WS, Melo ACA, Nogueira FCS, Canellas LP, Olivares FL, Zingali RB, Soares MR (2019) Evaluation of the effects of humic acids on maize root architecture by label-free proteomics analysis. Sci Rep 9:1–11. https://doi.org/10.1038/s41598-019-48509-2CrossRef
go back to reference Onsa GH, Bin Saari N, Selamat J, Bakar J (2004) Purification and characterization of membrane-bound peroxidases from Metroxylon sagu. Food Chem 85:365–376. https://doi.org/10.1016/j.foodchem.2003.07.013CrossRef
go back to reference Osman ASH, Rady MM (2014) Effect of humic acid as an additive to growing media to enhance the production of eggplant and tomato transplants. J Hortic Sci Biotechnol 89:237–244. https://doi.org/10.1080/14620316.2014.11513074CrossRef
go back to reference Ouni Y, Ghnaya T, Montemurro F, Abdelly C, Lakhdar A (2014) The role of humic substances in mitigating the harmful effects of soil salinity and improve plant productivity. Int J Plant Prod 8:353–374. https://doi.org/10.22069/ijpp.2014.1614CrossRef
go back to reference Page AL, Miller RH, Keeney DR (1982) Methods of soil analysis. Part II. Chemical and microbiological properties, 2nd edn. American Society of Agronomy, Madison https://doi.org/10.1002/jpln.1985148031CrossRef
go back to reference Parker R, Flowers TJ, Moore AL, Harpham NVJ (2006) An accurate and reproducible method for proteome profiling of the effects of salt stress in the rice leaf lamina. J Exp Bot 57:1109–1118. https://doi.org/10.1093/jxb/erj134CrossRefPubMed
go back to reference Rady MM, Abd El-Mageed TA, Abdurrahman HA, Mahdi AH (2016) Humic acid application improves field performance of cotton (Gossypium barbadense L.) under saline conditions. J Anim Plant Sci 26:487–493
go back to reference Rahman A, Nahar K, Hasanuzzaman M, Fujita M (2016) Calcium supplementation improves Na+/K+ ratio, antioxidant defense and glyoxalase systems in salt-stressed rice seedlings. Front Plant Sci 7:609. https://doi.org/10.3389/fpls.2016.00609CrossRefPubMedPubMedCentral
go back to reference Rahman MM, Mostofa MG, Rahman MA, Islam MR, Keya SS, Das AK, Miah MG, Kawser AQMR, Ahsan SM, Hashem A, Tabassum B, Abd Allah EF, Tran LP (2019) Acetic acid: A cost-effective agent for mitigation of seawater-induced salt toxicity in mung bean. Sci Rep 9:15186. https://doi.org/10.1038/s41598-019-51178-wADSCrossRefPubMedPubMedCentral
go back to reference Ramadan KMA, El-Beltagi HS, Abd El-Mageed TAA, Saudy HS, Al-Otaibi HH, Mahmoud MAA (2023) The changes in various physio-biochemical parameters and yield traits of faba bean due to humic acid plus 6‑benzylaminopurine application under deficit irrigation. Agronomy 13:1227. https://doi.org/10.3390/agronomy13051227CrossRef
go back to reference Roudgarnejad S, Samdeliri M, Mirkalaei AM, Moghaddam MN (2021) The role of humic acid application on quantitative and qualitative traits of faba bean (Vicia faba L.). Gesunde Pflanzen 73:603–611. https://doi.org/10.1007/s10343-021-00581-3CrossRef
go back to reference Salem EMM, Kenawey MKM, Saudy HS, Mubarak M (2021) Soil mulching and deficit irrigation effect on sustainability of nutrients availability and uptake, and productivity of maize grown in calcareous soils. Commun Soil Sci Plant Anal 52:1745–1761. https://doi.org/10.1080/00103624.2021.1892733CrossRef
go back to reference Salem EMM, Kenawey MKM, Saudy HS, Mubarak M (2022) Influence of silicon forms on nutrient accumulation and grain yield of wheat under water deficit conditions. Gesunde Pflanzen 74:539–548. https://doi.org/10.1007/s10343-022-00629-yCrossRef
go back to reference Saudy HS, El-Metwally IM (2019) Nutrient utilization indices of NPK and drought management in groundnut under sandy soil conditions. Commun Soil Sci Plant Anal 50:1821–1828. https://doi.org/10.1080/00103624.2019.1635147CrossRef
go back to reference Saudy HS, El-Metwally IM (2023) Effect of irrigation, nitrogen sources and metribuzin on performance of maize and its weeds. Commun Soil Sci Plant Anal 54:22–31. https://doi.org/10.1080/00103624.2022.2109659CrossRef
go back to reference Saudy HS, El-Metwally IM, Abd El-Samad GA (2020a) Physio–biochemical and nutrient constituents of peanut plants under bentazone herbicide for broad–leaved weed control and water regimes in dry land areas. J Arid Land 12:630–639. https://doi.org/10.1007/s40333-020-0020-yCrossRef
go back to reference Saudy HS, Hamed MF, Abd El–Momen WR, Hussein H (2020b) Nitrogen use rationalization and boosting wheat productivity by applying packages of humic, amino acids and microorganisms. Commun Soil Sci Plant Anal 51:1036–1047. https://doi.org/10.1080/00103624.2020.1744631CrossRef
go back to reference Saudy HS, El-Bially MA, El-Metwally IM, Shahin MG (2021) Physio–biochemical and agronomic response of ascorbic acid–treated sunflower (Helianthus annuus) grown at different sowing dates and under various irrigation regimes. Gesunde Pflanzen 73:169–179. https://doi.org/10.1007/s10343-020-00535-1CrossRef
go back to reference Saudy HS, El-Bially MA, Hashem FA, Shahin MG, El–Gabry YA (2023a) The changes in yield response factor, water use efficiency, and physiology of sunflower owing to ascorbic and citric acids application under mild deficit irrigation. Gesunde Pflanzen 75:899–909. https://doi.org/10.1007/s10343-022-00736-wCrossRef
go back to reference Saudy HS, Salem EMM, Abd El–Momen WR (2023b) Effect of potassium silicate and irrigation on grain nutrient uptake and water use efficiency of wheat under calcareous soils. Gesunde Pflanzen 75:647–654. https://doi.org/10.1007/s10343-022-00729-9CrossRef
go back to reference Shaaban A, Abd El-Mageed TA, Abd El-Momen WR, Saudy HS, Al-Elwany OAAI (2023a) The integrated application of phosphorous and zinc affects the physiological status, yield and quality of canola grown in phosphorus-suffered deficiency saline soil. Gesunde Pflanzen. https://doi.org/10.1007/s10343-023-00843-2CrossRef
go back to reference Shaaban A, Mahfouz H, Megawer EA, Saudy HS (2023b) Physiological changes and nutritional value of forage clitoria grown in arid agro-ecosystem as influenced by plant density and water deficit. J Soil Sci Plant Nutr 23:3735–3750. https://doi.org/10.1007/s42729-023-01294-4CrossRef
go back to reference Shahid MA, Sarkhosh A, Khan N, Balal RM, Ali S, Rossi L, Gómez C, Mattson N, Nasim W, Garcia-Sanchez F (2020) Insights into the physiological and biochemical impacts of salt stress on plant growth and development. Agronomy 10:938. https://doi.org/10.3390/agronomy10070938CrossRef
go back to reference Sheen HT, Kahler HL (1938) Effect of ions on Mohr method for chloride determination. Ind Eng Chem Anal Ed 10:628–629. https://doi.org/10.1021/ac50127a004CrossRef
go back to reference Sun X, Guo Y, Zeng L, Li X, Liu X, Li J, Cui D (2021) Combined urea humate and wood vinegar treatment enhances wheat–maize rotation system yields and nitrogen utilization efficiency through improving the quality of saline–alkali soils. J Soil Sci Plant Nutr. https://doi.org/10.1007/s42729-021-00477-1CrossRef
go back to reference Tahjib-Ul-Arif M, Siddiqui MN, Sohag AAM, Sakil MA, Rahman MM, Polash MAS, Mostofa MG, Tran LSP (2018) Salicylic acid-mediated enhancement of photosynthesis attributes and antioxidant capacity contributes to yield improvement of maize plants under salt stress. J Plant Growth Regul 37:1318–1330. https://doi.org/10.1007/s00344-018-9867-yCrossRef
go back to reference Tian-Tain NIE, Huan-Xin ZHAO, Hong BAI (2011) Chemical constituents of Pittosporum glabratum. Chin J Nat Med 9:180–184. https://doi.org/10.3724/SP.J.1009.2011.00180CrossRef
go back to reference Trevisan S, Francioso Q, Quaggiotti S, Nardi S (2010) Humic substances biological activity at the plant-soil interface. Plant Signal Behav 5:635–643. https://doi.org/10.4161/psb.5.6.11211CrossRefPubMedPubMedCentral
go back to reference Varanini Z, Pinton R (2001) Direct versus indirect effects of soil humic substances on plant growth and nutrition. In: Pinton R, Varanini Z, Nannipieri P (eds) The rhizosphere: biochemistry and organic substances at the soil-plant interface. Marcel Dekker, New York, pp 141–157
go back to reference Wang W, Xu Y, Chen T, Xing L, Xu K, Xu Y, Ji D, Chen C, Xie C (2019) Regulatory mechanisms underlying the maintenance of homeostasis in Pyropia Haitanensis under hypersaline stress conditions. Sci Total Environ 662:168–179. https://doi.org/10.1016/j.scitotenv.2019.01.214ADSCrossRefPubMed
go back to reference Younis ME, Hasaneen MN, Kazamel AM (2009) Plant growth, metabolism and adaptation in relation to stress conditions. XXVII. Can ascorbic acid modify the adverse effects of nacl and mannitol on amino acids, nucleic acids and protein patterns in Vicia faba seedlings? Protoplasma 235:37–47. https://doi.org/10.1007/s00709-008-0025-4CrossRefPubMed
go back to reference Zulfiqar F, Akram NA, Ashraf M (2020) Osmo protection in plants under abiotic stresses: new insights into a classical phenomenon. Planta 251:1–17. https://doi.org/10.1007/s00425-019-03293-1CrossRef

Premium Partner

    Image Credits
    Korero Solutions/© Korero Solutions