Skip to main content
Top

Experimental Assessment of Emission Factors from Fires in the Built Environment Including Scaling Effects

  • Open Access
  • 27-06-2023
Published in:

Activate our intelligent search to find suitable subject content or patents.

search-config
loading …

Abstract

The article delves into the experimental assessment of emission factors from fires in the built environment, highlighting the importance of considering fire events in sustainability efforts. It focuses on the multifaceted environmental impact of fires, including emissions to air, soil, and water, and the associated economic consequences. The study emphasizes the need to quantify the impact of fire on the environment to calculate the true cost of fire to society. The paper explores the use of small-scale tests, such as the Cone Calorimeter and Fire Propagation Apparatus, to model medium-scale tests, aiming to empirically investigate the potential for scaling between these tests. The results indicate varying levels of agreement in scaling between different time periods and materials, with better scaling capability observed for CO2 yields. The study also compares emission factors relative to CO2/CO ratios, showing a negative correlation between CO yields and CO2/CO ratios. Overall, the article provides valuable insights into the complex issue of fire emissions and their environmental impact, making it a must-read for specialists in the field.
The original article has been corrected to update funding note.

Publisher's Note

Springer Nature remains neutral with regard to jurisdictional claims in published maps and institutional affiliations.

1 Introduction

Concern for the health of the natural environment is growing as human population grows [13]. Current efforts to improve the sustainability of buildings focus on increasing energy efficiency and reducing the embodied carbon [4]. This overlooks the fact that a fire event could reduce the overall sustainability of a building through the release of pollutants and the subsequent re-build [57]. Most fires occurring in the built environment contribute to air contamination from the fire plume (whose deposition is likely to subsequently include land and water contamination), contamination from water runoff containing toxic products [8]. The environmental impact is, therefore, multifaceted including emissions to air, soil and water as illustrated in Figure 1.
Figure 1
Schematic representation of impact of fire on the environment, redrawn from [8]
Full size image
This impact also has economic consequences for communities and regions and while the direct and indirect costs of fire on a community can be devastating, they are not usually reported at a local scale beyond an account of the human deaths and injuries and the amount of property destroyed or damaged [9]. To calculate the true cost of fire to society we need to be able to quantify the impact fire has, not only on the people or structures involved, but also to the environment. Studies have been done to examine the environmental impact of fire [1015], but we cannot yet fully quantify this impact and its consequences. The estimation of source terms for fire emissions is key to understanding and quantifying the environmental impact of fires. Such information is also a key requirement for an informed emergency crisis management in the case of significant industrial fires (e.g. the Lubrizol warehouse fire, Sept. 2019 [16]). Information concerning the fire itself and its emissions can support crisis communication to the public and, perhaps most importantly, facilitate the study of potential contamination of the food chain by the fire [1618].
A recent review identified lack of data in this area as a key topic for future research and development [8]. While some data on emission factors has been developed for the built environment [19], or for wildfires [2022], much of the data relates to a specific experimental scale. This paper seeks to explore the concept of emission factors from fires and how they can be developed using small scale experiments, by investigating the connection between different scales with a focus on the Fire Propagation Apparatus (FPA) (ISO 12136), the Cone Calorimeter (CC) (ISO 5660) and an 80 m3 medium-scale (MS) testing room, which is part of the Ineris large-scale fire testing platform [23]. It is noted that scaling is a complex issue. This paper aims to empirically investigate the potential to use of these small scale, essentially one-dimensional, tests to model medium scale more three-dimensional tests. The comparison is confined to well-ventilated conditions at all scales in the present proof-of-concept.

2 Emissions from Fires

A significant amount of work has been done since the 1980s onwards to characterise the emissions of various chemical species from burning materials or from fires (see for example [2430]). The vast majority of studies found through the literature search are related to material emissions or forest fire emissions (see for example [3138]) with few being available for products that are relevant for the built environment (see e.g. [5, 10, 3953]). It appears that the only attempt to comprehensively estimate emissions from fires of a whole country is relatively out of date [50] and needs to be revisited, expanded to include additional country estimates and updated using modern estimates of residential and office fuel loads. Even recent collations of fire emissions, e.g. those developed by Amon et al. [12], refer to Persson and Simonson [50]. The US Environmental Protection Agency (US EPA) provides some guidance concerning generic methods to estimate global emissions from building fires [54] and vehicle fires [55], both of which refer to general compilations of emission factors from the 1990s [19].
More recently, Love et al. [56] produced a document concerning greenhouse gas emissions from building and vehicle fires in New Zealand. Love et al. [56] gives CO2-equivalents rather than emissions, however, making it difficult to compare to other methods or to validate against experimental data. Further, the impact of fires on the environment is far more complex than that which can be expressed using CO2-equivalents.Emissions from fires are typically divided into two main categories either based on geographic distance from the seat of the fire (i.e., local or global emissions), or based on their potential temporal impact (i.e., short-term effects or long-term effects). Table 1 gives a summary of common emissions which are relevant to consider when investigating the environmental impact of fires. It is important to keep in mind that the impact (and potential cost) of emissions is highly dependent on the sensitivity of the recipient.
Table 1
Summary of Main Emissions from Fires, Impact Categories and Main Recipients
Emission
Distance of greatest impact
Temporal window of greatest impact
CO, HCN, acid gases, NOx, SOx, aldehydes, isocyanates
Local
Short-term (acute toxicity)
Acidification
Local
Long-term
Firefighting agents (e.g. FF-foam additives, powder)
Local/Global
Long-term
Metals
Local/Global
Long-term
Particulates
Local/Global
Long-term
Dioxins, PAH, PCB, POPs, VOC
Global
Long-term
Greenhouse gases (e.g., CO2, CH4, N2O)
Global
Long-term
Ozone depletion (e.g. NOx, VOC)
Global
Long-term
Fire emissions can, however, be due both to direct emissions from the fire and from firefighting activities which take place as an intervention ostensibly to minimise the overall impact of the fire. Recently, a study of the impact of firefighter intervention on fire emissions and their environmental impact [14] addressed the question of how to assess the combined environmental impact in terms of local and global effects using the Fire Impact Tool. The work is based on division of the risk assessment into an Environmental Risk Assessment which considers local impacts and the use of an LCA-based methodology to assess the global impacts.
Key to developing an understanding of the environmental impact of emissions from fires, is an understanding of emissions themselves. The international standardisation committee for Fire Safety (ISO TC92) has a sub-committee (SC3) which focusses on developing a standardised methodology to assess the threat to people and the environmental of fires. Within SC3, Working Group 6 focusses on the environmental impact of fires. Their standards represent a series of documents compiling important definitions and instructions concerning assessing the environmental impact of fires and represent an important starting point for the development of a methodology to assess the cost of the environmental impact of fires. ISO TC92 SC3 has to date developed 6 documents:
  • ISO 26367 Guidelines for assessing the adverse environmental impact of fire effluents.
    • ISO 26367-1:2019 Part 1: General [57].
    • ISO 26367-2:2017 Part 2: Methodology for compiling data om environmentally significant emissions from fires [58].
    • ISO 26367-3:2022 Part 3: Sampling and analysis [59].
    • ISO/PWI 26367-4 Part 4: Incorporating Fires into Models of Environmental Impact (internal committee document).
  • ISO TR 26368:2012 Environmental damage limitation from fire-fighting water run-off [60].
  • ISO 19677:2019 Guidelines for assessing the adverse impact of wildland fires on the environment and to people through environmental exposure [61].
It is possible to estimate emissions from fires to assess the cost of their environmental impact using emission factors as proposed by the US EPA [54], data from the US EPA National Emissions Inventory (NEI) concerning “event” sources [62], or that developed by Persson and Simonson [50]. The methodology developed by Persson and Simonson [50], follows essentially the same as that outlined by Abraham et al. [54]. This methodology is based on the estimation of the emissions per object times the number of fires. For structural fires this can be described using the equations below:
$${M}_{structure}\left[kg\right]={m}_{structure}\left[\frac{kg}{{m}^{2}}\right]\times {A}_{structure}\left[{m}^{2}\right]$$
$${M}_{contents}\left[kg\right]={m}_{contents}\left[\frac{kg}{{m}^{2}}\right]\times {A}_{contents}\left[{m}^{2}\right]$$
$${M}_{c}\left[kg\right]=\left({M}_{structure}[kg]+{M}_{contents}[kg]\right)\times {\%}_{loss}$$
$$E_{structure} \left[ {kg} \right] = EF_{i} \times \nu_{fire} \times M_{c} ,$$
where \({M}_{structure}\) is the combustible mass of the structure in kg, \({m}_{structure}\) is the combustible mass of the structure per square meter, \({A}_{structure}\) is the area of the structure, \({M}_{contents}\) is the combustible mass of the contents in kg, \({m}_{contents}\) is the mass of the contents per square meter, \({A}_{contents}\) is the floor area of the contents, \({M}_{c}\) is the fuel load in the complete building in kg, \({E}_{structure}\) represents the emissions from burning structures in kg, \({EF}_{i}\) is the emission factor for species i, and \(\nu_{fire}\) is the frequency of fire events to be studied. Note that fuel loads in terms of mass per square meter are often inherently uncertain and will vary between occupancies [63].
Using this methodology, it is possible to estimate all emissions for which emission factors exist, over a specific temporal or geographic area. Using the same reasoning, emission factors can be used to estimate the total emissions from all types of fires.
An estimate of the emissions from a fire is a prerequisite to understand the environmental impact of fires. Table 1 shows the wide variety of species that could be of interest in this context depending on the type of fire. Given the broad use of various small-scale methods to estimate emissions [64, 65], it is desirable to investigate scaling between small-scale and large-scale tests.

3 Experimental Methodology

3.1 Materials

In this study five different building materials were tested in small and medium scale according to the definitions in ISO 29903 where a small scale test typically uses specimens of dimensions 0.1 × 0.1 m and a medium scale test typically uses specimens up to 0.5 × 1 m [66]. For this study, a small selection of combustible building materials was chosen as proof-of-concept concerning whether scaling between medium scale tests and dynamic laboratory scale tests is possible. The materials tested were Particle board, Pine, Oriented Strand Board (OSB), Plywood and high-density polyethylene (HDPE). The solid pine had a thickness of 19 ± 0.6 mm and an average density of 480 kg/m3with a small variation between specimens as it is a natural material, see Table 2.The other wood materials were of the category engineered wood. The OSB consists of wood strands of different sizes with an adhesive. Particle board is comprised of wood particles with an adhesive. Plywood is a mixture of wood veneer and adhesive. The thickness of these varied slightly but was approximately 20 mm, see Table 2. Finally, the HDPE is a thermoplastic comprised of carbon and hydrogen chains, the density of this product was 950 kg/m3 and the thickness of the tested materials was 8 mm. Figure 2 illustrates the physical appearance of the five different material types.
Table 2
Material Density and Thickness
Material
Density [kg/m3]
Thickness of source material [mm]
Particle board
665 ± 10
23
Pine
480 ± 10
19 ± 0.6
OSB
610 ± 10
22
Plywood
440 ± 10
21
HDPE
950 ± 5
8
Figure 2
Samples as tested in cone calorimeter. Particle board (A), Pine (B), OSB (C), Plywood (D) and HDPE (E). The samples for the FPA were similar. Both small scale samples were cut from the same sheets as the medium scale tests
Full size image
The sample size varied between the test methods. Therefore, samples were acquired in different sizes from the manufacturer. For the CC, samples were acquired as 100 × 100 mm2 pieces. These samples were conditioned at (23 ± 2)°C and (50 ± 5)% RH for a minimum of 24 h before testing. Prior to final conditioning the samples were stored in a similar environment in the laboratory for at least three weeks. Given the long period of time in a stable environment, the tests were not weighed to check their moisture stability prior to testing. Similarly, the samples tested in the FPA were acquired as pieces of 100 × 100 mm2 and conditioned at (23 ± 3)°C and (50 ± 5)% RH for 24 h before testing. For the medium scale tests the materials were acquired in two different length, 400 and 800 mm, the same width, 80 mm, and a thickness identical to the one described in previous table for small scale testing, i.e. approximately 20 mm. Before testing the samples were conditioned similar to the FPA samples.

3.2 Small Scale Test

The small-scale tests were conducted in two different apparatuses that are commonly used for material testing. The bench-scale apparatuses chosen were the cone calorimeter (CC), as described in ISO 5660-1 [67], and the fire propagation apparatus (FPA) as described in ISO 12136 [68]. The individual test methods are summarised below. The reader is referred to the standards for more information.

3.2.1 Cone Calorimeter (CC)

The CC tests were conducted at Lund University in Sweden, see Figure 3. The specific CC in Lund is equipped with a paramagnetic oxygen analyser, and infrared (IR) analyser for CO and CO2. Heat release rate is determined using the oxygen depletion method [69]. Further, the CC is equipped with a load cell for weight measurements with a resolution of 0.1 g. The cone heater of this CC can produce a heat flux of up to 70 kW/m2. To calibrate the heat flux a Schmidt–Boelter gauge is used. The test specimen in this study was exposed to a predetermined heat flux of 35 or 50 kW/m2. The samples were ignited by a spark igniter constructed according to ISO 5660-1. In all tests the retaining frame was used.
Figure 3
Schematic of Cone Calorimeter setup in Lund. Reprinted from [70], with permission from Elsevier Copyright (2022)
Full size image
In the CC two sets of tests were conducted. First, a test series at 50 kW/m2 of all the materials was performed as described in ISO 5660-1, i.e., total test time of 1800 s, with duplicate samples. The second test series was to complement the data by running the HDPE, Particle board and Pine at 35 kW/m2 as well as testing all four wood materials at 50 kW/m2 once more but allowing the material to smoulder for 30 min after flameout. For CC testing the samples were wrapped in a single layer of aluminium foil and placed on refractory fibre blanket in a sample holder, constructed according to ISO 5660-1.

3.2.2 Fire Propagation Apparatus (FPA)

The FPA used was located at Ineris and all FPA tests were conducted at their facility in Verneuil-en-Halatte, France, see Figure 4. The specific FPA has paramagnetic measurements for oxygen, NDIR for CO and CO2. Further, the FPA is equipped with a load cell that has a resolution of 0.1 g. The IR heating lamps of the FPA can produce incoming heat fluxes of at least 60 kW/m2 by the use of a tungsten filament tubular quartz lamps. To measure the incoming heat flux, a Gardon total heat flux gauge is used. For ignition of the sample the FPA makes use of a 10 mm long premixed ethylene/air flame.
Figure 4
Schematic picture of the Fire Propagation Apparatus (FPA), ISO 12136, adapted from [71]
Full size image
The samples tested in the FPA were particle board, pine, OSB and plywood. For the pine two sets of tests were run once with the black carbon (BC) additive as described in ISO 12136, and once without. The particle board, OSB and plywood was only tested without the BC additive using an incident heat flux of 50 kW/m2 with duplicate samples. Prior to testing in the FPA, the samples were placed in a square sample holder with two layers of aluminium foil in accordance with ISO 12136. The FPA is a polyvalent flow-through fire calorimeter, where the combustion is physically limited by design by a quartz tube transparent to radiation originating from the IR heaters and allowing the exploration of the full spectrum of fire ventilation conditions (from fuel lean to fuel rich). However, the inlet fluid used for the experiments in this work was air, introduced at the bottom of the combustion chamber at a flow rate of 200 Nl/min. Under these air supply conditions, well ventilated fire conditions were targeted, in consistence with type of combustion expected in the configuration of the cone calorimeter operated tests.

3.3 Medium-Scale (MS) Tests

The medium scale testing was conducted at INERIS in France, see Figure 5, the door that can be seen on this picture was closed during all tests. This test setup consists of an 80 m3 room (dimensions L × D × H = 5 m × 4 m × 4 m) in which fires of approximately 1 MW can be burned while allowing for smoke treatment. Inside the testing chamber devices for measuring flow speed, temperature and mass loss, are mounted, see Figure 6. As seen in the figure there is also the possibility to simulate sprinkler suppression. The ventilation of the room is controlled by two fans at the end of a 30 m smoke treatment duct to which a variety of gas analysis equipment can be connected. The room is ventilated thanks to an 800 mm in-diameter duct on the roof for exhaust flow, the air is provided by a 1 m × 0.2 m orifice located 1 m above the ground, which allows for well ventilated fires. The ventilation duct is fitted with both paramagnetic oxygen analyser and Non-Dispersive InfraRed (NDIR) for CO and CO2.
Figure 5
Medium scale testing room (left) with the smoke treatment system (right)
Full size image
Figure 6
Schematic overview of the probes and sprinkles inside the test chamber
Full size image
All five materials were tested in the medium scale setup. For testing the samples were stacked to form an elongated cubic assembly with a footprint of 400 × 800 mm2 (except for HDPE) see Figure 7. The wood crib was arranged to enable a well-ventilated fire with a certain period of constant HRR. To meet this objective, the opening ratio of wood crib sides was about 15%. The overall height of the obtained sample was some 660 mm resulting from stacking 33 layers of elemental blocks. Ignition was achieved using a 10 cm diameter heptane pool fire with 250 ml of heptane located on the ground, in the centre of the wood-crib. Concerning HDPE, it is known that combustion in fire conditions will rapidly turn the plastic plates used into a pool fire, as HDPE is a thermoplastic. The plastic plates were loosely distributed in a 0.5 m2 pan container and ignition was achieved using a 100 kW propane burner during 5 min leading to well defined pool fire configuration. Independent of the specific type of fuel, the fire load was placed in the centre of the room, just under the ventilation duct.
Figure 7
Picture of a typical wooden test sample before ignition
Full size image

4 Results and Discussion

4.1 Analysis Periods for Comparison Between Scales

One aim of this study was to find a method for deriving emission factors from bench scale test that could be scaled up to real fires. In this study, dynamic fire tests have been used and are compared to see whether emission factors derived in each scale are comparable, i.e. whether the emission factors determined using small scale tests can be scaled to estimate medium scale production. It should be noted that both small scale tests and the medium scale set-up were well-ventilated tests.
As part of this study, an investigation of whether it is reasonable to consider the tests as a single phase or to divide these into several phases has been made. In this comparison, four time periods were used to compare different parts of the dynamic fire tests as an investigation of comparability. The time periods studied were identified based on the presence (or absence) of flaming combustion, the presence of smouldering (in the absence of flaming) and the identification of a steady state period of species production. The final period related to the calculation of an emission factor for the entire test. An example of the time periods identified for the different scales can be seen in Figure 8. The longer ignition time observed with the FPA on this graph is due to the absence of BC on the surface of the sample. We also conducted an experiment with BC to investigate the difference, for which the ignition time was significantly reduced which is in line with work by Girods et al. [72].
Figure 8
Division of phases for the three test methods, CC top, MS bottom and FPA middle graph. The fuel used in this example is pine. Other fuels yielded similar curves and were treated in the same way
Full size image
The duration of each of these time periods varies between the different test methods due to the scale and time of test. An effort was made to determine the boundaries of these time periods with low operator dependency. For the steady state phase this was done using a script in MATLAB(R2020b) that calculates the emission factor and widens the timespan stepwise until a change of 10% in the species concentration is reached or the ignition/flame out time is reached. To determine the boundaries of the flaming period, time to ignition and flameout were used. In the current standards for the FPA and CC this is done visually by the technician. However, in the post processing, ignition can be identified as the peak of the first derivative of the HRR [73], removing the operator dependency. In this study the flame out for the bench scale methods was also determined using the derivative of the HRR. Figure 9 shows how this was done for one of the Particle board samples in the CC. The same procedure was possible for all test data.
Figure 9
Ignition and flame out determined using the first derivative of the HRR
Full size image
It should be noted that these time periods were only identified in this way for the wood-based samples. For the HDPE, the material melted and burned as a liquid with both CO and CO2 emissions following the HRR curve, which resulted in only one time period being identified and scaling comparisons are made based on total production of CO. Note that the time periods selected are not based on the definition of combustion phases for enclosure fires as described in ISO 19706. In terms of the combustion phases described in ISO 19706 all of tests were well ventilated (flaming) combustion (CO2/CO > 20) or in the transition between non-flaming (smouldering) combustion and well ventilated (flaming) combustion (20 > CO2/CO > 10).

4.2 Emission Factors (EF)

From these phases emission factors were calculated as yields [g/kg], in this study the focus was on CO and CO2. Emission factors were calculated as follows:
$$EF=\frac{\sum ({\dot{m}}_{x}*t)}{{m}_{1}-{m}_{2}}*1000$$
where \(EF\) is emission factor [g/kg], \({\dot{m}}_{x}\) is the mass produced of the emitted gas [g/s], \(t\) is the time under which the production occurs [s], \({m}_{1}\) is the sample mass at the phase start [g], and \({m}_{2}\) is the sample mass at the phase end [g].
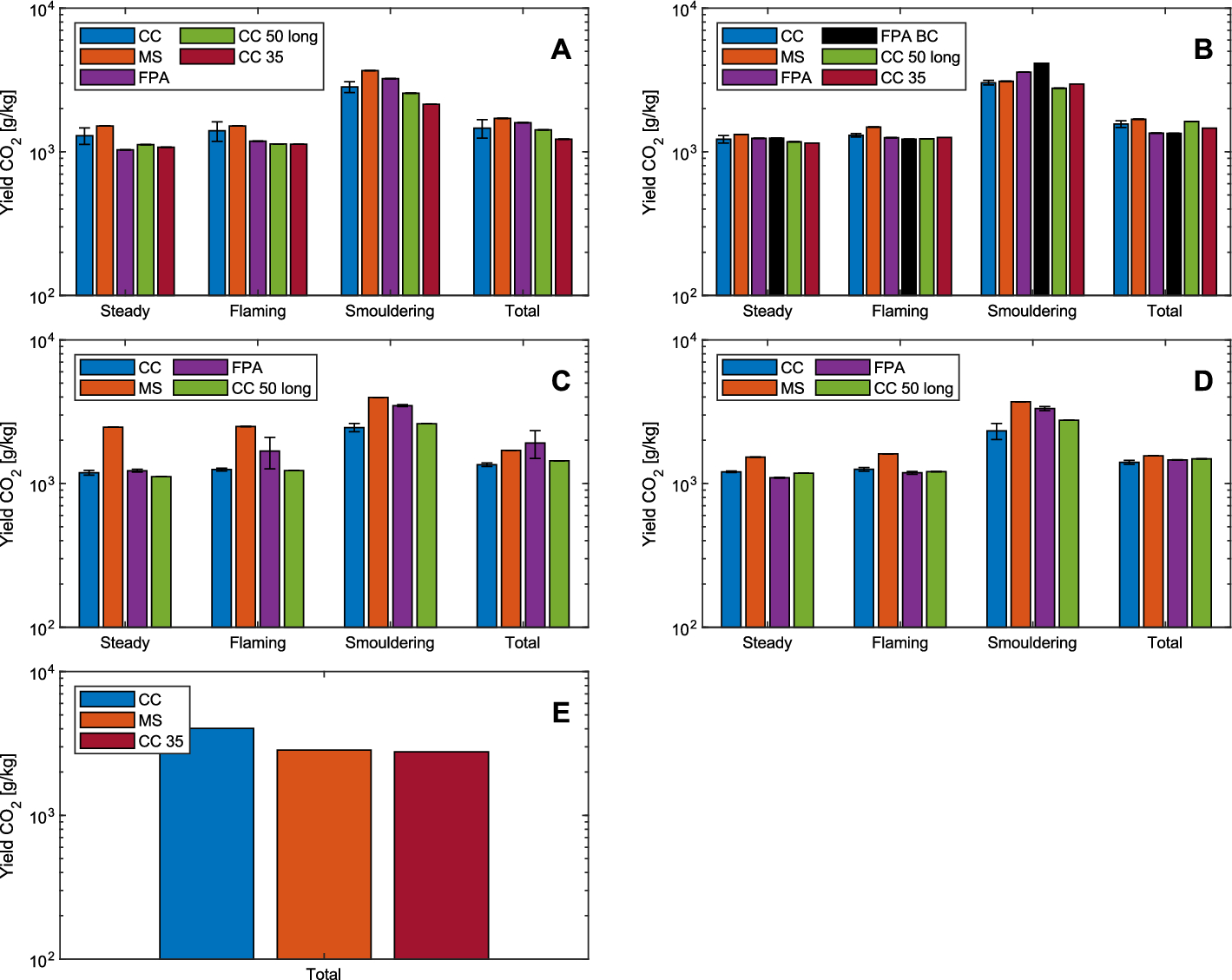
Using this equation, the EF for CO and CO2 was calculated for each of the phases that the materials could be divided into. Recall that the HDPE melted and burned as a liquid with both CO and CO2 emissions following the HRR curve, which resulted in only one phase being identified and calculations of emission factors based on total species production. The results were then plotted for each material, phase, and setup, see Figures 10 and 11. In the cases with multiple tests under the same conditions the average is plotted, and error bars show the higher and lower value. Note that the y-axis is presented using a logarithmic scale to make the lower yields in steady and flaming visible compared to the much higher yields in smouldering and total.
Figure 10
CO yields (EF) for particle board (A), pine (B), OSB (C), plywood (D) and HDPE (E). Note that the y-axis is logarithmic and scaled the same for all graphs. For the materials and scales with multiple tests the average is plotted with error bars to the higher and lower value
Full size image
Figure 11
CO2 yields (EF) for particle board (A), pine (B), OSB (C), plywood (D) and HDPE (E). Note that the y-axis is logarithmic and scaled the same for all graphs. For the materials and scales with multiple tests the average is plotted with error bars to the higher and lower value
Full size image
In terms of EF for CO and CO2, Figures 10 and 11 indicate a better scaling capability between the scales for each time period for CO2 yields. The emission factors of CO for wood materials are mainly dominated by the smouldering combustion at the end of each test. This period is characterized by a low mass loss rate and high production of CO, see Figure 8. Looking at the smouldering time period over the different wood samples there is some variation dependent on the homogeneity of the material. In the case of Particle board and Pine there is a good agreement for scaling between the CC and MS, but in the case of Pine we also see better agreement for the total test time. However, for OSB and Plywood the variation between test conditions. This variation is most likely due to the distribution of the strands and charring between the different strands. Even in the case of repeatability the largest variation between EF measured in the CC in two consecutive tests is seen in the OSB smouldering case. Regarding the steady and flaming time periods these represent the largest mass loss with a low production of CO. Looking at the scale comparison in these periods there is a better agreement between the MS and FPA for the steady state period. This changes for the entire flaming period where the CC and MS are somewhat more in agreement than the FPA and MS. Finally regarding the wood samples, looking at variation in test method in the CC there is generally a better scaling compatibility for the standardized 50 kW/m2 test than there is with an incident heat flux of 35 kW/m2. If the test is allowed to continue for a long period of time this is especially true for the smouldering and total period and less so for the steady and flaming.
For HDPE on the other hand there is a better agreement in scaling with the lower heat flux of 35 kW/m2. However, more work is needed using variable flows in the FPA and the controlled atmosphere cone to investigate different ventilation conditions. This would allow for more control in the ventilation and the scaling could most likely be improved further.

4.3 Emissions Relative to CO2/CO Ratios

Scaling of emission factors has been studied previously in pre-normative research during the development of ISO 29903 [66]. In this standard the procedure requires that the combustion in the various scales is well defined [66]. However, the calculation of emissions relative to CO2/CO ratios is difficult when looking at dynamic fire testing methods such as the CC, FPA or room fires. The ISO 29903 standard prescribes quantification of the combustion by the use of either equivalence ratio (ϕ) or the ratio between CO and CO2 (CO2/CO has been selected in this treatment of the data), calculated for stable values of ϕ or CO2/CO ratio. When using steady-state experimental methods, the definition of stable regions for calculations is generally clearer than for dynamic methods which is why the method presented in Sect. 4.1 was developed to investigate four different time periods for the calculation of emission factors.
As previously stated, the scales used in this work are all in the region of well-ventilated combustion in accordance too ISO 19706 [74]. However, in an attempt to further compare the dynamic fire models of the cone and FPA to previous work the data for each time period (i.e., Steady, Flaming, Smouldering and total), and test setup in Figures 10 and 11 has been plotted against calculated average CO2/CO ratio. The data has been plotted in this way to facilitate the comparison between the dynamic fire models and steady state models such as the steady state tube furnace [75]. Calculations of CO2 and CO values were based on concentrations of species measured during the test. As can be seen in Figure 12, there is a negative correlation between the yield of CO and CO2/CO ratio, which is expected based on previous research [76, 77]. One consequence of the well ventilated method is that there are no values of CO2/CO ratio < 10.
Figure 12
CO yields (EF) for Particle board (A), Pine (B), OSB (C), Plywood (D), HDPE (E) plotted against the CO2/CO ratio. Note that the y-axis is the same for all graphs and that the X-axis is log-based
Full size image
As expected for yields of CO there is generally a negative correlation with increasing CO2/CO ratio. It should be noted that the X-axis is log-based. Comparing these results to previous studies, such as the data presented in [66], similar patterns are seen. However, in this data it can also be seen that there is an increase in spread between the scales for the lower CO2/CO ratios for all materials. These points are mainly the time period identified as smouldering at the end of the test. As seen in Figures 10 and 11, the smouldering yields did show some agreement, but adding the dimension of CO2/CO ratio seems to indicate that the agreement for these yields is not as useful as originally indicated. A likely reason for these differences and increase in spread is the length of the period and the low mass loss. Together these factors contribute to a larger variation in comparison to the short periods of time analysed in previous work. In the case of the Particle Board, OSB and Plywood there is a better agreement between the different scales for the higher CO2/CO ratio.
Previous studies have indicated a positive development of CO2 yields with the CO2/CO ratio [76, 77]. This pattern could not be seen in this study. However, the CO2/CO ratios as presented here are averages over longer, less stable time periods while the studies such as the one by Stec et al. [76] and Blomqvist and Lönnermark [77] have used short time periods of stable ratios. The development of yield compared to CO2/CO ratio is expected to be dependent on the experimental method and experimental period chosen for analysis. In all the analysis presented, averaging was over a large portion of total experimental time to capture the variability and improve the robustness of the method. It is also seen that the CO2yields similarly to the CO yields in Figure 12 for the wood materials become more scattered for lower CO2/CO ratios with the exception of OSB. In the case of OSB scatter is seen throughout the range, the variation in OSB was also seen in Figures 10 and 11 and as discussed there it is likely due to the inhomogeneity of the material. Looking at HDPE only one distinct phase was identified since the material melted and burned as a liquid. The yields relative to CO2/CO ratio are presented in Figures 12 and 13. The yields of both CO and CO2 are similar in the MS and CC at 35 kW/m2, however, looking at the CO2/CO ratios the difference is quite large.
Figure 13
CO2 yields (EF) for Particle board (A), Pine (B), OSB (C), Plywood (D), HDPE (E) plotted against the CO2/CO ratio. Note that the y-axis is the same for all graphs and that the X-axis is log-based
Full size image
Finally, the result presented here is limited in materials and species analysis. However, the implication of finding a robust method for emission analysis from dynamic fire models such as the FPA and CC are of interest seeing as these methods are readily available at many fire labs. In order to further assess the possibility to utilize these dynamic models the ventilation should be further controlled in the FPA and in the CC by the use of the additional box as standardized in the ISO 5660-5.

5 Conclusions

In this study the scaling of emission factors from well-ventilated dynamic bench scale tests to a medium scale room test has been explored to investigate whether large scale emission factors can be determined with small scale test data using such apparatuses. The use of small-scale methods for EF development would improve the potential to develop a broad range of EFs to make these available for engineering applications. The comparison shows that a direct scaling with time periods offers some agreement between the scales. This indicates that the CC and FPA could be used to further broaden the EF data bases but further research should be conducted including a wider range of materials and species. However, the use of variable flows in the FPA and the CC (e.g. through the use of the controlled atmosphere cone) should be used to see if a better agreement can be found.

Acknowledgements

The research presented here has been funded by the Fire Protection Research Foundation (FPRF) of the National Fire Protection Association (NFPA) and the French Government funding to Ineris. The support of these organisations is greatly appreciated. Further, Brian Meacham is acknowledged for participation in discussions of the project.

Declarations

Competing Interests

The authors declare that they have no known competing financial interests or personal relationships that could have appeared to influence the work reported in this paper.
Open Access This article is licensed under a Creative Commons Attribution 4.0 International License, which permits use, sharing, adaptation, distribution and reproduction in any medium or format, as long as you give appropriate credit to the original author(s) and the source, provide a link to the Creative Commons licence, and indicate if changes were made. The images or other third party material in this article are included in the article's Creative Commons licence, unless indicated otherwise in a credit line to the material. If material is not included in the article's Creative Commons licence and your intended use is not permitted by statutory regulation or exceeds the permitted use, you will need to obtain permission directly from the copyright holder. To view a copy of this licence, visit http://creativecommons.org/licenses/by/4.0/.

Publisher's Note

Springer Nature remains neutral with regard to jurisdictional claims in published maps and institutional affiliations.
Title
Experimental Assessment of Emission Factors from Fires in the Built Environment Including Scaling Effects
Authors
Joakim Åström
Margaret McNamee
Benjamin Truchot
Guy Marlair
Patrick van Hees
Publication date
27-06-2023
Publisher
Springer US
Published in
Fire Technology / Issue 1/2025
Print ISSN: 0015-2684
Electronic ISSN: 1572-8099
DOI
https://doi.org/10.1007/s10694-023-01440-5
1.
go back to reference Rockström J, Steffen W, Noone K, Persson Å, Chapin FS III, Lambin E, Lenton TM, Scheffer M, Folke C, Schellnhuber HJ, Nykvist B, de Wit Cynthia A, Hughes T, van der Leeuw S, Rodhe H, Sörlin S, Snyder PK, Costanza R, Svedin U, Falkenmark M, Karlberg L, Corell RW, Fabry VJ, Hansen J, Walker B, Liverman D, Richardson K, Crutzen P, Foley J (2009) Planetary boundaries: exploring the safe operating space for humanity. Ecol Soc. https://doi.org/10.5751/ES-03180-140232CrossRef
2.
go back to reference Steffen W, Richardson K, Rockström J, Cornell SE, Fetzer I, Bennett EM, Biggs R, Carpenter SR, de Vries W, de Wit CA, Folke C, Gerten D, Heinke J, Mace GM, Persson LM, Ramanathan V, Reyers B, Sörlin S (2015) Planetary boundaries: guiding human development on a changing planet. Science (New York, NY). https://doi.org/10.1126/science.1259855CrossRef
3.
go back to reference McNamee M, Meacham B, van Hees P, Bisby L, Chow WK, Coppalle A, Dobashi R, Dlugogorski B, Fahy R, Fleischmann C, Floyd J, Galea ER, Gollner M, Hakkarainen T, Hamins A, Hu L, Johnson P, Karlsson B, Merci B, Ohmiya Y, Rein G, Trouvé A, Wang Y, Weckman B (2019) IAFSS agenda 2030 for a fire safe world. Fire Saf J. https://doi.org/10.1016/j.firesaf.2019.102889CrossRef
4.
go back to reference Green E, Hope T, Yates A (2015) Sustainable infrastructure: sustainable buildings. ICE Publishing, London, p 150. https://doi.org/10.1680/sisb.58064CrossRef
5.
go back to reference Wieczorek C, Ditch B, Bill R (2011) Environmental impact of automatic fire sprinklers: part 2. Experimental study. Fire Technol 47(3):765–779. https://doi.org/10.1007/s10694-010-0192-7CrossRefMATH
6.
go back to reference Gritzo LA, Bill RG Jr, Wieczorek CJ, Ditch B (2011) Environmental impact of automatic fire sprinklers: part 1. Residential sprinklers revisited in the age of sustainability. Fire Technol 47(3):13. https://doi.org/10.1007/s10694-010-0191-8CrossRef
7.
go back to reference Wieczorek CJ, Ditch B, Bill Jr. RG (2010) Environmental impact of automatic fire sprinklers. FM Global. https://www.fmglobal.com/~/media/Files/FMGlobal/Research%20Technical%20Reports/p10062.pdf. Accessed Oct 2022
8.
go back to reference McNamee M, Marlair G, Truchot B, Meacham B (2020) Environmental impact of fires—research roadmap. Fire Protection Research Foundation. https://www.nfpa.org/News-and-Research/Data-research-and-tools/US-Fire-Problem/The-environmental-impact-of-fire. Accessed Oct 2022
9.
go back to reference Evarts B (2018) Fire loss in the United States during 2017. NFPA National Fire Protection Association. https://the14thfloor.tistory.com/attachment/cfile27.uf@9999143F5C7BBD0B25D0B3.PDF. Accessed Oct 2022
10.
go back to reference Blomqvist P, Simonson McNamee M (2009) Estimation of CO2-emissions from fires in dwellings, schools and cars in the Nordic countries, vol 13. SP Report. https://doi.org/10.13140/RG.2.2.36346.59848
11.
go back to reference Simonson MM, Blomqvist P, Andersson P (2011) Evaluating the impact of fires on the environment. Fire Saf Sci 10:16. https://doi.org/10.3801/IAFSS.FSS.10-43CrossRefMATH
12.
go back to reference Amon F, McNamee MS, Blomqvist P (2014) Fire effluent contaminants, predictive models, and gap analysis vol 20. SP Fire Research, p 66. http://www.diva-portal.org/smash/record.jsf?pid=diva2%3A966053&dswid=-7322. Accessed Oct 2022
13.
go back to reference McNamee M, Andersson P (2015) Application of a cost–benefit analysis model to the use of flame retardants. Fire Technol 51(1):67–83. https://doi.org/10.1007/s10694-014-0402-9CrossRefMATH
14.
go back to reference Amon F, Gehandler J, McNamee R, McNamee M, Vilic A (2019) Measuring the impact of fire on the environment (Fire Impact Tool, version 1): project report and user manual, vol 60. RISE Research Institutes of Sweden, RISE Report 2019, p 77. http://www.diva-portal.org/smash/record.jsf?pid=diva2:1327502. Accessed Oct 2022
15.
go back to reference Hamzi R, Innal F (2011) A quantitative risk assessment approach for the dynamic environmental impact of fire. In: International conference on management and service science, MASS 2011. https://doi.org/10.1109/ICMSS.2011.5999345
16.
go back to reference Nesslany F (2021) L’incendie de l’usine Lubrizol. Bilan des actions Anses. Environ Risque Sante 20:9. https://doi.org/10.1684/ers.2021.1539CrossRef
17.
go back to reference ANSES (2020) The industrial fire at the Lubrizol plant: the ANSES opinions. https://www.anses.fr/en/content/industrial-fire-lubrizol-plant-anses-opinions-1. Accessed Apr 2022
18.
go back to reference Nossiter A (2019) A town ‘afraid to breathe’: a chemical fire in France deepens mistrust. The New York Times, New York
19.
go back to reference EPA (1996) Compilation of air pollutant emission factors—volume 1: stationary point and area sources. US Environmental Protection Agency, Research Triangle ParkMATH
20.
go back to reference Bela MM, Kille N, McKeen SA, Romero-Alvarez J, Ahmadov R, James E, Pereira G, Schmidt C, Pierce RB, O’Neill SM, Zhang X, Kondragunta S, Wiedinmyer C, Volkamer R (2022) Quantifying carbon monoxide emissions on the scale of large wildfires. Geophys Res Lett 49(3):11. https://doi.org/10.1029/2021GL095831CrossRef
21.
go back to reference Urbanski S (2014) Wildland fire emissions, carbon, and climate: emission factors. For Ecol Manag 317:51–60. https://doi.org/10.1016/j.foreco.2013.05.045CrossRefMATH
22.
go back to reference Guérette EA, Paton-Walsh C, Desservettaz M, Smith TEL, Volkova L, Weston CJ, Meyer CP (2018) Emissions of trace gases from Australian temperate forest fires: emission factors and dependence on modified combustion efficiency. Atmos Chem Phys 18(5):3717–3735. https://doi.org/10.5194/acp-18-3717-2018CrossRef
23.
go back to reference Truchot B (2015) News from L’Institut National de l’Environnement Industriel et des Risques (INERIS), vol 38. Fire Safety Science News. https://iafss.org/committees/fire-safety-science-news/
24.
go back to reference Braun E, Levin B (1987) Nylons: a review of the literature on products of combustion and toxicity. Fire Mater 11:71–88. https://doi.org/10.1002/fam.810110204CrossRefMATH
25.
go back to reference Gurman JL, Baier L, Levin B (1987) Polystyrenes: a review of the literature on the products of thermal decomposition and toxicity. Fire Mater 11:109–130. https://doi.org/10.1002/fam.810110302CrossRef
26.
go back to reference Huggett C, Levin BC (1987) Toxicity of the pyrolysis and combustion products of poly(vinyl chlorides): a literature assessment. Fire Mater 11(3):131–142. https://doi.org/10.1002/fam.810110303CrossRefMATH
27.
go back to reference Levin B (1987) A summary of the NBS literature reviews on the chemical nature and toxicity of the pyrolysis and combustion products from seven plastics: ABS, nylons, polyester, polyethylenes, PVC and rigid polyurethane foams. Fire Mater 11:143–157. https://doi.org/10.1002/fam.810110304CrossRef
28.
go back to reference Paabo M, Levin BC (1987) A literature review of the chemical nature and toxicity of the decomposition products of polyethylenes. Fire Mater 11(2):55–70. https://doi.org/10.1002/fam.810110203CrossRefMATH
29.
go back to reference Paabo M, Levin BC (1987) A review of the literature on the gaseous products and toxicity generated from the pyrolysis and combustion of rigid polyurethane foams. Fire Mater 11(1):1–29. https://doi.org/10.1002/fam.810110102CrossRef
30.
go back to reference McNamee M, Truchot B, Åström J, Marlair G, Meacham BJ (2022) Environmental impact of fires in the built environment: emission factors. Fire Protection Research Foundation, FPRF-2022-07, p 68. https://www.nfpa.org/News-and-Research/Data-research-and-tools/US-Fire-Problem/The-environmental-impact-of-fire. Accessed Sept 2022
31.
go back to reference Bombelli A, Henry M, Castaldi S, Adu-Bredu S, Arneth A, de Grandcourt A, Grieco E, Kutsch WL, Lehsten V, Rasile A, Reichstein M, Tansey K, Weber U, Valentini R (2009) An outlook on the Sub-Saharan Africa carbon balance. Biogeosciences 6(10):2193CrossRef
32.
go back to reference Hao WM, Petkov A, Nordgren BL, Corley RE, Silverstein RP, Urbanski SP, Evangeliou N, Balkanski Y, Kinder BL (2016) Daily black carbon emissions from fires in northern Eurasia for 2002–2015. Geosci Model Dev 12:4461. https://doi.org/10.5194/gmd-9-4461-2016CrossRef
33.
go back to reference Marlier ME, DeFries R, Pennington D, Nelson E, Ordway EM, Lewis J, Koplitz SN, Mickley LJ (2015) Future fire emissions associated with projected land use change in Sumatra. Glob Change Biol 21(1):345–362. https://doi.org/10.1111/gcb.12691CrossRef
34.
go back to reference Martins V, Miranda AI, Carvalho A, Schaap M, Borrego C, Sá E (2012) Impact of forest fires on particulate matter and ozone levels during the 2003, 2004 and 2005 fire seasons in Portugal. Sci Total Environ 414:53. https://doi.org/10.1016/j.scitotenv.2011.10.007CrossRef
35.
go back to reference Preisler HK, Schweizer D, Cisneros R, Procter T, Ruminski M, Tarnay L (2015) A statistical model for determining impact of wildland fires on particulate matter (PM.sub.2.5) in Central California aided by satellite imagery of smoke. Environ Pollut 205:340. https://doi.org/10.1016/j.envpol.2015.06.018CrossRef
36.
go back to reference Qu JJ, Gao W, Kafatos M, Murphy RE, Salomonson VV, Li Z, Jin J-Z, Gong P, Pu R (2006) Use of satellite remote sensing data for modeling carbon emissions from fires: a perspective in North America. Springer, Berlin, p 337. https://doi.org/10.1007/978-3-540-37293-6_18CrossRef
37.
go back to reference Samsonov YN, Koutsenogii KP, Makarov VI, Ivanov AV, Ivanov VA, McRae DJ, Conard SG, Baker SP, Ivanova GA (2005) Particulate emissions from fires in central Siberian Scots pine forests. Can J For Res 35(9):2207–2217. https://doi.org/10.1139/X05-199CrossRef
38.
go back to reference Wiedinmyer C, Neff JC (2007) Estimates of CO2 from fires in the United States: implications for carbon management. Carbon Balanc Manag 2:10–21. https://doi.org/10.1186/1750-0680-2-10CrossRefMATH
39.
go back to reference Blais M, Carpenter K (2015) Flexible polyurethane foams: a comparative measurement of toxic vapors and other toxic emissions in controlled combustion environments of foams with and without fire retardants. Fire Technol 51(1):3. https://doi.org/10.1007/s10694-013-0354-5CrossRefMATH
40.
go back to reference Blomqvist P (2005) Emissions from fires: consequences for human safety and the environment. PhD Thesis, Lund University, Fire Safety Engineering, Lund. https://www.lunduniversity.lu.se/lup/publication/3250c7b9-abce-4814-b827-1b40aaf3440d. Accessed Oct 2022
41.
go back to reference Blomqvist P, McNamee MS, Andersson P, Lönnermark A (2011) Polycyclic aromatic hydrocarbons (PAHs) quantified in large-scale fire experiments. Fire Technol 48(2):513–528. https://doi.org/10.1007/s10694-011-0242-9CrossRef
42.
go back to reference Blomqvist P, Rosell L, Simonson M (2004) Emissions from fires part II: simulated room fires. Fire Technol 40(1):59–73. https://doi.org/10.1023/B:FIRE.0000003316.63475.16CrossRefMATH
43.
go back to reference Blomqvist P, Rosell L, Simonson M (2004) Emissions from fires part i: fire retarded and non-fire retarded TV-sets. Fire Technol 40(1):39. https://doi.org/10.1023/B:FIRE.0000003315.47815.cbCrossRef
44.
go back to reference Krüger S, Hofmann A, Berger A, Gude N (2016) Investigation of smoke gases and temperatures during car fire—large-scale and small-scale tests and numerical investigations. Fire Mater 40(6):785–799. https://doi.org/10.1002/fam.2342CrossRef
45.
go back to reference Larsson F (2017) Lithium-ion battery safety—assessment by abuse testing, fluoride gas emissions and fire propagation. Doctoral Thesis, Chalmers Department of Physics, Göteborg, p 210. https://publications.lib.chalmers.se/records/fulltext/251352/251352.pdf. Accessed Oct 2022
46.
go back to reference Lecocq A, Eshetu GG, Grugeon S, Martin N, Laruelle S, Marlair G (2016) Scenario-based prediction of Li-ion batteries fire-induced toxicity. J Power Sources 316:197–206. https://doi.org/10.1016/j.jpowsour.2016.02.090CrossRef
47.
go back to reference Lönnermark A, Blomqvist P (2006) Emissions from an automobile fire. Chemosphere 62(7):1043–1056. https://doi.org/10.1016/j.chemosphere.2005.05.002CrossRefMATH
48.
go back to reference Lönnermark A, Blomqvist P (2005) Emissions from fires in electrical and electronics waste. SP SP Rapport 2005:42. http://ri.diva-portal.org/smash/get/diva2:962333/FULLTEXT01.pdf. Accessed Oct 2022
49.
go back to reference Lönnermark A, Stripple H, Rosén B, Haeger-Eugensson M, Axelsson J, Anderson-Sköld Y, Cousins AP, Simonson M (2007) Emissions from fire—methods, models and measurements. In: INTERFLAM. Royal Holloway College, University of London/Interscience Communications
50.
go back to reference Persson B, Simonson M (1998) Fire emissions into the atmosphere. Fire Technol 34(3):266–279. https://doi.org/10.1023/A:1015350024118CrossRefMATH
51.
go back to reference Truchot B, Fouillen F, Collet S (2018) An experimental evaluation of toxic gas emissions from vehicle fires. Fire Saf J 97:111–118. https://doi.org/10.1016/j.firesaf.2017.12.002CrossRefMATH
52.
go back to reference Calogine D, Marlair G, Bertrand JP, Duplantier S, Lopez-Cuesta JM, Sonnier R, Longuet C, Minisini B, Chivas-Joly C, Guillaume E, Parisse D (2011) Gaseous effluents from the combustion of nanocomposites in controlled-ventilation conditions. J Phys Conf Ser. https://doi.org/10.1088/1742-6596/304/1/012019CrossRef
53.
go back to reference Meacham BJ (2012) Fire safety challenges of green buildings. Springer, ISBN 978-1-4614-8141-6. https://doi.org/10.1007/978-1-4614-8142-3. Accessed Oct 2022
54.
go back to reference Abraham K, Agyei K, Bishop R, Brisko D, Cabrera-Rivera O, Delao A, Driver L, Eastburn M, Mann C, Otterson S, Santlal K, Simms W, Sipple J, Smith-Hardison K, Thompson K, Thompson A, Tooly L, Bell J (2001) Structure fires. US EPA, p 37, https://www.epa.gov/sites/production/files/2015-08/documents/iii18_apr2001.pdf. Accessed Aug 2019
55.
go back to reference EPA (2000) Vehicle fires. US Environmental Protection Agency. https://www.epa.gov/sites/default/files/2015-08/documents/vehclf13.pdf. Accessed Oct 2022
56.
go back to reference Love S, Robbins A, Page I, Jaques R (2010) Assessing the impact of vegetation and house fires on Greenhouse Gas emissions. Final report for New Zealand Fire Service Commission. BRANZ, ISBN 978-1-877539-19-0, p 81. https://fireandemergency.nz/assets/Documents/Research-and-reports/Report-104-Assessing-the-Impact-of-Vegetation-and-House-Fires-on-Greenhouse-Gas-Emissions.pdf. Accessed Oct 2022
57.
go back to reference ISO (2019) ISO 26367-1:2019 guidelines for assessing the adverse environmental impact of fire effluents—part 1: general. ISO. https://www.iso.org/standard/72536.html. Accessed Oct 2022
58.
go back to reference ISO (2017) ISO 26367-2:2017 guidelines for assessing the adverse environmental impact of fire effluents—part 2: methodology for compiling data on environmentally significant emissions from fires. ISO. https://www.iso.org/standard/50635.html. Accessed Oct 2022
59.
go back to reference ISO (2022) ISO 26367-3:2022 guidelines for assessing the adverse environmental impact of fire effluents—part 3: sampling and analysis. ISO. https://www.iso.org/standard/73555.html. Accessed Oct 2022
60.
go back to reference ISO (2012) ISO/TR 26368:2012 environmental damage limitation from fire-fighting water run-off. ISO International Standards Organisation. https://www.iso.org/standard/43530.html. Accessed May 2023
61.
go back to reference ISO (2019) ISO 19677:2019 guidelines for assessing the adverse impact of wildland fires on exposed environments and people—descriptions, recommendations and requirements for quantification and post-fire mitigation. ISO International Standardisation Organisation, 19677. https://www.iso.org/standard/74843.html. Accessed May 2023
62.
go back to reference EPA (2017) National Emissions Inventory (NEI). Air Emissions Inventories. https://www.epa.gov/air-emissions-inventories/national-emissions-inventory-nei. Accessed Aug 2019
63.
go back to reference McNamee M, Truchot B, Marlair G, Meacham BJ (2020) Research roadmap: environmental impact of fires in the built environment. Final report. Fire Protection Research Foundation, FPRF-2020-02, p 80. https://www.nfpa.org/News-and-Research/Data-research-and-tools/US-Fire-Problem/The-environmental-impact-of-fire. Accessed Oct 2022
64.
go back to reference Peeters K, Ursič M, Tavzes C, Knez F (2021) Review: the use of bench-scale tests to determine toxic organic compounds in fire effluents and to subsequently estimate their impact on the environment. Fire Technol 57(2):625–656. https://doi.org/10.1007/s10694-020-01065-yCrossRef
65.
go back to reference Blomqvist P, Sandinge A (2021) An experimental evaluation of the equivalence ratios in tests apparatus used for fire effluent toxicity studies. Fire Mater 45(8):11. https://doi.org/10.1002/fam.2995CrossRefMATH
66.
go back to reference ISO (2012) ISO29903:2012 guidance for comparison of toxic gas data between different physical fire models and scales. ISO. https://www.iso.org/standard/45734.html. Accessed May 2023
67.
go back to reference ISO (2015) ISO 5660-1:2015 reaction-to-fire tests—heat release, smoke production and mass loss rate—part 1: heat release rate (cone calorimeter method) and smoke production rate (dynamic measurement). ISO. https://www.iso.org/standard/57957.html. Accessed Oct 2022
68.
go back to reference ISO (2011) ISO 12136:2011 reaction to fire tests—measurement of material properties using a fire propagation apparatus. ISO. https://www.iso.org/standard/51237.html. Accessed Oct 2022
69.
go back to reference Beyler C, Croce P, Dubay C, Johnson P, McNamee M (2017) Oxygen consumption calorimetry, William Parker: 2016 DiNenno Prize. Fire Sci Rev. https://doi.org/10.1186/s40038-016-0016-zCrossRef
70.
go back to reference Dewaghe C, Lew CY, Claes M, Belgium SA, Dubois P (2011) 23—fire-retardant applications of polymer–carbon nanotubes composites: improved barrier effect and synergism. In: McNally T, Pötschke P (eds) Polymer–carbon nanotube composites. Woodhead Publishing, Cambridge, pp 718–745. https://doi.org/10.1533/9780857091390.3.718CrossRef
71.
go back to reference Brohez S, Delvosalle C, Marlair G (2006) Fire calorimetry relying on the use of the fire propagation apparatus. Part I: early learning from use in Europe. Fire Mater 30(2):131–149. https://doi.org/10.1002/fam.896CrossRef
72.
go back to reference Girods P, Bal H, Biteau H, Rein G, Torero JL (2011) Comparison of pyrolysis behavior results between the cone calorimeter and the fire propagation apparatus heat sources. Fire Saf Sci 10:12. https://doi.org/10.3801/IAFSS.FSS.10-889CrossRefMATH
73.
go back to reference Vermina PF, van Hees P (2019) Experimental assessment of bench-scale ignitability parameters. Fire Mater 43(2):8. https://doi.org/10.1002/fam.2675CrossRefMATH
74.
go back to reference ISO (2011) ISO 19706:2011 guidelines for assessing the fire threat to people. ISO. https://www.iso.org/standard/56864.html. Accessed May 2023
75.
go back to reference ISO (2016) ISO 19700:2016 controlled equivalence ratio method for the determination of hazardous components of fire effluents—steady-state tube furnace. ISO. https://www.iso.org/standard/70630.html. Accessed May 2023
76.
go back to reference Stec AA, Hull TR, Purser JA, Purser DA (2009) Comparison of toxic product yields from bench-scale to ISO room. Fire Saf J 44(1):8. https://doi.org/10.1016/j.firesaf.2008.03.005CrossRefMATH
77.
go back to reference Blomqvist P, Lönnermark A (2001) Characterization of the combustion products in large-scale fire tests: comparison of three experimental configurations. Fire Mater 25(2):71–81. https://doi.org/10.1002/fam.761CrossRefMATH