Skip to main content
Top

Frontier analysis of eco-efficiency gaps: Evidence from European countries

  • Open Access
  • 01-12-2025
  • Original Article
Published in:

Activate our intelligent search to find suitable subject content or patents.

search-config
loading …

Abstract

This article delves into the concept of eco-efficiency (EE), which measures the ratio of economic output to environmental impact, specifically greenhouse gas (GHG) emissions. The study evaluates EE for 22 European countries from 2000 to 2018, identifying factors that explain variations in EE. Key findings include significant differences in EE performance, with countries like Sweden, Denmark, Italy, Norway, and Luxembourg consistently achieving high EE scores, while Poland, Estonia, the Slovak Republic, and the Czech Republic lag behind. The analysis reveals that stricter environmental policies and higher GHG emission tax rates are associated with improved EE, although the benefits diminish at higher levels. The potential carbon savings from closing EE gaps are substantial, with Poland, Germany, and the Czech Republic showing the highest potential for emissions reductions. The article concludes by highlighting the importance of targeted policy measures and the need for further sectoral-level analysis, particularly for service-oriented economies like Luxembourg.

Publisher's Note

Springer Nature remains neutral with regard to jurisdictional claims in published maps and institutional affiliations.

Introduction

Gross domestic product (GDP) is the standard measure of economic performance, yet it ignores environmental externalities. By design GDP records only market transactions and omits negative externalities such as greenhouse gas (GHG) emissions. In response to these shortcomings, the concept of eco-efficiency (EE) has been developed to account for both economic output and its associated environmental burdens, integrating environmental costs into the measurement of economic performance. The European Environment Agency (EEA) emphasizes that monitoring EE at the macro level is “necessary in order to make sustainability accountable” (EEA, 1999). Despite this policy relevance, country-level EE studies are scarce, and most do not control for country-specific heterogeneity or analyse the sources of EE gaps. The benchmark effort by Robaina-Alves et al. (2015) ranks 26 European countries up to 2011 but does not analyse the factors that may contribute to EE gaps across countries. Orea and Wall (2017) explicitly called for further research to incorporate the determinants of EE directly into the inefficiency component of stochastic frontier (SF) models—a contribution that this paper addresses. Our paper fills this gap by evaluating EE for 22 European countries from 2000–2018 and identifies some factors that could explain country-level variations in EE.
Consistent with the World Business Council for Sustainable Development’s (WBCSD, 2006) call to “do more with less”—that is, to produce goods and services with minimal environmental impacts—we follow a strand of literature in the field in which EE is defined as the ratio of economic output (GDP) to environmental pressure (e.g., Kuosmanen & Kortelainen, 2005; Orea & Wall, 2017). In this paper, we measure environmental pressure by national-inventory GHG emissions consistent with the study by Robaina-Alves et al., 2015. The frontier country achieves the highest GDP per unit of GHG emissions, and deviations from this benchmark define EE gaps.
In this study, we address three questions. First, how large are Europe’s EE gaps, and how have they evolved between 2000 and 2018? Second, what explains these gaps? To what extent do three factors—green innovation (Relative Advantage in Environment-related Technologies (RAET)), the stringency of environmental regulation (EPS), and national GHG tax rates—explain the cross-country variation in EE gaps? Third, how many tonnes of GHG could be avoided if lagging countries matched the frontier level of EE?
We answer these questions with Greene’s (2005) “true” fixed-effects SF model, estimated on a balanced panel that merges OECD, Eurostat, Penn World Table, and International Energy Agency data covering 2000–2018. The model separates time-invariant heterogeneity from time-varying inefficiency and yields an inefficiency term that captures the gap between each country’s actual GDP-per-GHG ratio and the frontier ratio achievable with best practice. By lengthening the time span and controlling for heterogeneity, we extend Robaina-Alves et al. (2015) and provide the first assessment of how policy and technology factors mentioned above may explain variations in EE across the countries.1 We also provide a calculation of potential GHG emission reductions, based on our results, if EE gaps are eliminated.
Our findings reveal significant variations in EE gaps across Europe. We find that countries like Sweden, Denmark, Italy, Norway, and Luxembourg consistently operate near the frontier (high GDP per unit of GHG emissions), whereas Poland, Estonia, the Slovak Republic, and the Czech Republic typically lag. Countries with higher environmental policy stringency (EPS) and higher GHG emission tax rates tend to operate significantly closer to the EE frontier (i.e. they have smaller EE gaps), though with diminishing marginal effects at high levels, consistent with the Porter Hypothesis suggesting that stricter environmental regulation can improve resource productivity (Porter & van der Linde, 1995). Using our results, we find that closing the EE gap would yield substantial emissions savings. We calculate that if the inefficient countries were to reach the EE frontier defined by the best performers—that is, achieve comparable GDP per unit of GHG emissions—Europe could reduce GHG emissions by approximately 75 million metric tonnes over the sample period. This saving is equivalent to the annual carbon dioxide emissions of 9.7 million US households, or eight years of energy use for Parisian households. These magnitudes underscore the substantial climate gains that could be realized by closing cross-country EE gaps.
The remainder of this paper is organised as follows. Section "Theoretical Background" introduces the concept of EE and discusses its theoretical underpinnings. Section "Literature Review" reviews the methodological approaches used in previous studies, surveys the relevant literature, and highlights key findings. Section Our SFA Specification presents the model used for the analysis, followed by the description of the data in Section "Data". Section Results reports the empirical results. Finally, Section "Conclusions" concludes.

Theoretical background

Definition of eco-efficiency (EE)

Eco-efficiency (EE) generally refers to the production of goods and services with minimal environmental impacts (World Business Council for Sustainable Development, 2006).2 In the context of climate change, this is often operationalised as the ratio of economic output (typically GDP) to GHG emissions. This ratio – often termed “carbon productivity” – measures the goods and services (GDP) produced per unit of GHG emitted. A higher GDP-to-GHG emission ratio indicates more output per unit of emission, and thus greater EE. In practice, this ratio has been used both as a descriptive indicator (to track “green growth” or decarbonisation of economies) and as a dependent variable in frontier efficiency analyses to benchmark performance across countries. Below we review the theoretical foundations of this ratio and how studies have applied it in macro-level and micro-level settings.
A defining feature of EE is that it captures the trade-off between economic output and environmental impact. This trade-off arises because, in practice, reducing undesirable outputs like GHG emissions typically involves economic costs—either by lowering desirable outputs like GDP or increasing resource inputs. This reflects the assumption of weak disposability: emissions cannot be reduced independently of economic consequences. Therefore, EE is not about minimizing emissions at all costs or maximizing output in isolation, but about managing the trade-off between economic value and environmental damage as effectively as possible. The GDP-to-GHG ratio summarizes this balancing act: it reflects how much economic value is produced per unit of environmental damage.
Kuosmanen and Kortelainen (2005) formalised this concept through the notion of a pressure-generating technology, which models the joint production of economic outputs and environmental pressures by specifying the set of all feasible combinations of GDP and emissions. They defined EE as the ratio of economic performance (e.g., value added) to environmental damage. This theoretical framework underpins the interpretation of the GDP-to-GHG ratio: it serves as a meaningful indicator of how efficiently an economy transforms environmental pressure into economic value. The joint consideration of GHG emissions and output in such measures is thus justified by the underlying production trade-offs, ensuring that improvements in the ratio reflect real gains in EE (since emissions cannot drop independently of output without cost).

Frontier based representations of joint output technologies

Building on this, production economists have developed several frontier specifications that jointly handle good (“desirable”) and bad (“undesirable”) outputs, thereby providing a framework for estimating an EE indicator. One such approach is the use of directional distance functions (DDF), which allow for the simultaneous expansion of good outputs and contraction of bad outputs along a chosen direction vector. For instance, Picazo-Tadeo et al. (2012) applied this method to evaluate the EE of farms, explicitly capturing the potential for increased economic output alongside reduced environmental pressure. Their subsequent study (Picazo-Tadeo et al., 2014) extended this method intertemporally to assess environmental performance across EU countries.
An alternative specification is the by-production model, which separates clean and dirty production subprocesses in line with the materials balance principle. This model treats pollutants as by-products rather than inputs, preserving the joint nature of output generation.
A further development is the hedonic output index approach proposed by Bokusheva and Kumbhakar (2014), which aggregates desirable and undesirable outputs into a single composite output index. This framework treats pollutants as outputs with negative utility, avoiding the misspecification that emissions are productive inputs. The resulting index adjusts GDP by environmental damage, in line with weak disposability and the materials balance principle.
In all these models, weak disposability is embedded by design, ensuring that emissions reductions are not assumed to be costless. Consequently, the GDP-to-GHG ratio—or its logarithmic transformation—emerges as a valid dependent variable in both non-parametric and parametric frontier models. These theoretical foundations collectively support the interpretation of higher GDP per unit of GHG as a meaningful increase in EE, reflecting greater economic output per unit of environmental damage.

Ratio indicators vs. frontier benchmarks

It is crucial to distinguish between simple ratio indicators and frontier-based benchmarks when evaluating GDP per unit of GHG emissions. The GDP-to-GHG ratio—commonly known as carbon productivity or emissions intensity—is an absolute indicator: it can be calculated for any country and compared across countries or over time. However, it lacks a benchmark for relative performance and ignores cross-country differences in technology and factor endowments. By weighting output and emissions equally, it implicitly assumes proportional trade-offs between economic output and environmental harm.
Frontier methods (Data Envelopment Analysis (DEA) and Stochastic Frontier Analysis (SFA)) transform this absolute ratio into a relative efficiency score by comparing each observation with the best combination of practices observed in the sample. Kortelainen (2008) labels the raw ratio eco-performance, whereas EE in the strict sense is defined relative to a frontier or benchmark. The distinction is important: ratio-based rankings do not account for varying conditions (such as differences in input mix or technologies), while frontier-based scores control for scale, input mix and statistical noise, yielding a fair “apples-to-apples” benchmark. For example, service-oriented economies might naturally have higher GDP per unit of GHG emissions than heavy industrial economies. A frontier model can also account for other inputs such as capital and energy use. In a DEA or SFA context, a low GDP-to-GHG ratio will only be considered inefficiency if, given the same circumstances, another country (or a combination of countries) could achieve a higher ratio. This yields a more robust benchmark. Studies like Picazo-Tadeo et al. (2014) explicitly note that the absolute eco-performance value is “hardly interpretable” on its own, and thus focus on comparisons or indices relative to a frontier. The frontier analog of the GDP-to-GHG ratio can be thought of as the distance of an observation from the production possibility frontier defined in the (GDP, GHG) space. In summary, while the ratio itself is a helpful indicator, embedding it in a frontier framework gives it context and normative power: the researcher can identify who is efficient, who is wasting potential (emitting more GHG than necessary per unit of GDP), and by how much.
In summary, the application of parametric and non-parametric frontier approaches to measure EE is more appropriate than measuring it by using a simple ratio. This is because the weak disposability assumption in frontier approaches implies that emissions can be lowered only at an economic cost; frontier methods respect this trade-off, whereas simple productivity ratios do not. Patterson (1996) showed that energy-to-GDP ratios confound technical progress with efficiency change, and the same critique applies to the GDP-to-GHG ratio: although intuitive, it offers no indication of how far an economy lies from its optimal GDP–emissions mix.

Why SFA enhances EE measurement

Both non-parametric (DEA) and parametric (SFA) frontier models have been used to evaluate EE. DEA constructs a non-parametric frontier that captures the relationship between inputs and outputs with relatively few assumptions—mainly concerning the returns to scale of the underlying technology. It accommodates multiple inputs and outputs, including emissions, and yields relative EE scores—often incorporating slack-based measures. However, DEA does not account for statistical noise; any deviation from the frontier is interpreted as inefficiency, even when it may stem from measurement error or random shocks. DEA also requires large samples and is sensitive to outliers, making results in small samples potentially unstable. Finally, it typically involves a two-step approach, where efficiency scores are first estimated and then explained in a second-stage regression. This approach is criticized for yielding inconsistent inference (Simar & Wilson, 2007). These limitations motivate the use of SFA.
SFA improves on this approach in several ways. First, it introduces a statistical noise term in addition to inefficiency, acknowledging that deviations from the frontier may arise not only from inefficiency but also from random shocks, measurement error, or other noise. In the original formulations by Aigner et al. (1977) and Meeusen and van den Broeck (1977), a production frontier is specified with an error term composed of two parts: a one-sided inefficiency term (u) and a symmetric noise term (v). Applying this to EE, SFA allows us to distinguish a country’s true shortfall in GDP-per-emission from random fluctuations (e.g. an unusually warm winter reducing energy demand, a temporary economic downturn, or uncertainties in emission measurement). By contrast, DEA is a deterministic method – any deviation from the frontier is treated as inefficiency. In EE contexts, where data on emissions and output can be noisy or influenced by external factors (policy changes, economic cycles), SFA’s ability to handle statistical noise is a clear advantage.
Second, the parametric structure of SFA allows for richer modeling of the production technology and formal hypothesis testing. The researcher can impose theoretically consistent functional forms—such as translog or quadratic—to describe the relationship between inputs and output. Moreover, SFA enables statistical testing of hypotheses regarding the underlying technology (for example, the presence of returns to scale or technical change over time in the GDP–GHG relationship), as well as distinguishing between inefficiency and random noise. Such features are particularly valuable in an economics context, where validating model specification and confirming the existence of inefficiency are essential.
Third, SFA allows inclusion of heterogeneity and inefficiency determinants. For instance, the researcher can examine how policy variables affect the EE scores by incorporating them into the inefficiency term.
Moreover, dynamic and panel data structures are more naturally accommodated within the SFA framework. As demonstrated by Stetter and Sauer (2022), panel SFA allows EE to be decomposed into persistent and transient components. This distinction is particularly important in the context of EE, where long-run structural factors—such as infrastructure or climate—may systematically affect a country’s GDP–to–GHG relationship, while short-run deviations may reflect temporary inefficiencies due to economic shocks. Identifying whether low efficiency scores result from structural constraints or temporary disturbances can inform more targeted policy responses. Although DEA can be extended to panel settings, it does not inherently separate inefficiency from noise or distinguish between persistent and transitory performance.
Finally, SFA’s parametric nature can yield additional insights such as marginal effects. In an SFA model for EE, the researcher can derive how marginal changes in determinants of eco-inefficiencies affect EE scores. Such information is not available from a simple ratio or even a DEA score without additional analysis.
Overall, SFA offers a statistically robust and analytically flexible framework for EE analysis. It preserves the core concept of benchmarking GDP per unit of GHG emission—capturing the essence of EE as “more economic output with less environmental harm”—while addressing key limitations of DEA. When embedded in a frontier framework, the GDP-to-GHG ratio becomes a theoretically sound and empirically validated indicator. It enables more accurate identification of inefficiency, accounts for noise and structural heterogeneity, and provides valuable insights for policy design and performance improvement.

Literature review

This section surveys the EE literature from two complementary perspectives: methodology and evidence. Section "Frontier Methods for Measuring EE" outlines the frontier methods most used to measure EE—DEA and SFA. Section "Empirical Evidence on EE" reviews the empirical findings, drawing on early frontier applications, cross-country analyses, and firm and sector-level studies. Finally, it identifies remaining gaps that motivate the present research.

Frontier methods for measuring EE

Non-parametric method: DEA

DEA has played a central role in EE analysis, as it accommodates multiple inputs and outputs under relatively few assumptions—mainly concerning the returns to scale of the underlying technology. Kuosmanen and Kortelainen (2005) extend the method by aggregating multiple pollutants into a single environmental-pressure index, enabling multi-input, multi-output comparisons. Non-radial DEA paired with directional distance functions—see Picazo-Tadeo et al. (2012)—is particularly useful for benchmarking the potential increase in GDP alongside reductions in emissions.
Despite its flexibility, DEA is deterministic: every deviation from the frontier is labelled inefficiency, making results sensitive to outliers and weighting choices. It produces relative scores without accounting for statistical noise, limiting inference when data are noisy or when the drivers of efficiency are of interest.

Parametric method: SFA

SFA embeds an explicit inefficiency term alongside a statistical noise component. While the original formulation was designed for single-output settings (Aigner et al., 1977; Jondrow et al., 1982), subsequent research has extended the framework to account for “pollution-generating” technologies. Two main strategies are commonly employed. The first uses a distance-function specification that treats desirable and undesirable outputs symmetrically within a dual production–cost framework. The second incorporates pollutants either as penalising inputs or as explicit components of the output vector, thereby capturing the joint production of goods and environmental harm.
From a theoretical standpoint, defining EE as the GDP-to-GHG ratio provides a valid absolute measure of performance, whereas frontier analysis captures relative efficiency. Within the pressure-technology framework, a higher GDP per unit of GHG emissions indicates operation closer to the efficiency frontier. Specifying a SF over GDP with emissions included allows EE to be interpreted as the maximum feasible level of GDP attainable for a given level of emissions.

Empirical evidence on EE

Early frontier applications

The operationalisation of EE began with early frontier-based studies that applied production theory to environmental contexts. Kuosmanen and Kortelainen (2005) were among the first to employ DEA to compute EE scores by benchmarking GDP-to-GHG emissions ratio against a frontier of best-performing units. Following this seminal contribution, several studies at both micro and macro levels have adopted similar ratio-based efficiency measures.

Cross-country studies

At the macro level, Robaina-Alves et al. (2015) estimated EE using a SF model based on the GDP-to-GHG ratio. Analysing 26 European countries, they specified a production frontier where GDP per unit of emissions served as the dependent variable—effectively treating the GDP-to-GHG ratio as an output-oriented indicator. The model evaluated how close each country operated to the maximum attainable GDP per unit of GHG, given its inputs and structural characteristics. Their results revealed substantial cross-country variation in EE, with some countries performing much closer to the estimated frontier, indicating a higher capacity to decouple economic growth from emissions.
Directional-distance DEA studies report similar findings. Camarero et al. (2014) analyse convergence in EE across the European Union and find evidence of partial convergence alongside persistent gaps. Gómez-Calvet et al. (2016) examine the evolution of EE among member states, observing overall improvements yet continued heterogeneity. Broader cross-country comparisons within the OECD, including those by Arcelus and Arocena (2005), Zhou and Ang (2008), and Halkos and Tzeremes (2009), also apply DEA-based environmental efficiency measures.

Firm- and sector-level evidence

At the micro level, frontier-based EE studies include farms, firms, and industrial sectors. Orea and Wall (2017) applied SFA to Spanish dairy farms, modelling milk revenue against pollution and identified substantial inefficiencies. To test the robustness of their findings, they also implemented a non-parametric DEA model based on the directional distance function approach of Kuosmanen and Kortelainen (2005). The efficiency scores from both methods were closely aligned, indicating consistency across approaches in this context. However, methodological comparisons do not always produce comparable results. Reinhard et al. (2000) reported an average efficiency score of 80 percent under SFA versus 52 percent under DEA for Dutch dairy farms. Building on this, Reinhard et al. (2002) introduced the concept of “environmental efficiency,” assessing farms’ capacity to produce milk with minimal nitrogen surplus and illustrating how pollutants can be incorporated as undesirable outputs within frontier analysis.
Stetter et al. (2023) integrate the EE framework with latent-class SFA and a stochastic meta-frontier approach, showing that intensive dairy farms tend to convert emissions into economic output more efficiently than extensive farms. Stetter and Sauer (2022) analyse GHG mitigation at the farm level and introduce the concept of emission efficiency, distinguishing between persistent and time-varying inefficiency. Their model treats farm output (revenues) as a function of GHG emissions and other environmental pressures, analogous to specifying GDP as a function of emissions in macro-level analyses. Stetter and Sauer explicitly define emission efficiency as a farm’s ability to produce output with minimal GHG. Their results reveal substantial heterogeneity, with wide variation in GHG efficiency across farms and an overall improvement in emission performance over time.
Alem (2023a, 2023b) analyses both static and dynamic patterns of EE in Norwegian dairy farming. Pérez-Urdiales et al. (2016) find widespread inefficiency among Spanish farms and associate higher EE with greater farmer training a forward-looking management orientation. Malikov et al. (2018) apply a hedonic output-index SFA for Dutch dairy farms, highlighting the advantages of jointly modelling milk production and manure emissions.
Industrial and regional applications show similar patterns: Mandal (2010) analyses the Indian cement sector, Kuosmanen and Kortelainen (2005) examine Finnish road transport; Egilmez et al. (2013) assess EE in US manufacturing.
Overall, the literature shows that DEA remains predominant in micro-level and sectoral analyses, whereas SFA is increasingly employed in macro-level panel studies, where accounting for statistical noise and unobserved heterogeneity is essential. However, evidence on the policy determinants of cross-country EE gaps remains limited. This study contributes to filling this gap by applying an SFA-based EE model at the country level over an extended period, thereby providing new insights into the impact of policy and technological factors on EE gaps.

Our SFA specification

We employ a SFA framework to measure EE, defined as the ratio of economic output to environmental impact. Specifically, GDP per unit of GHG emissions —often referred to as carbon productivity— is used as the dependent variable. This specification follows Robaina-Alves et al. (2015), who interpret the GDP-to-GHG ratio as a direct indicator of EE within a SF framework. A higher GDP-to-GHG ratio implies that an economy generates more output per tonne of emissions, thereby balancing economic performance with environmental impact. Countries operating on the efficiency frontier achieve the maximum feasible output per unit of GHG, while any deviation from that frontier reflects eco-inefficiency, or an “EE gap”.
To model the frontier of GDP per unit of GHG emissions, we specify a log-linear Cobb–Douglas stochastic production frontier with multiple inputs and a composite error term capturing inefficiency. This formulation follows Robaina-Alves et al. (2015), who adopt a similar framework to model EE.3 Formally, let \({Y}_{it}\) denote the GDP-to-GHG ratio—our measure of EE— for country i in year t. The SF is then specified as:
$${ln}{\left(Y_{it}\right)}=\underset{Frontier}{\underbrace{\beta_0+{\textstyle\sum_{j=1}}\beta_j{ln}(X_{jit}) +\beta_ttimetrend}+\mu_i+v_{it}-u_{it}\left(z_{it}\right)}$$
(1)
where \({X}_{jit}\) represents production inputs, timetrend is a linear time trend, and the composite error term is decomposed into statistical noise \({(v}_{it})\) and inefficiency \({(u}_{it})\). The vector \({X}_{jit}\) includes traditional inputs—labour and capital—as well as disaggregated energy inputs – specifically energy consumption from brown, nuclear, and renewable sources. Disaggregating energy use in this way enables the model to capture how a country’s energy mix influences both output and emissions. In contrast to using broad indicators such as the fossil-fuel share or the manufacturing share of GDP, explicitly including brown, nuclear, and renewable energy inputs provides a more detailed representation of how energy composition affects EE. The country-specific effect \({\mu }_{i}\) captures time-invariant heterogeneity—such as climate, geography, or economic structure—that may influence emissions and output but are not directly modelled. Following Greene’s (2005) “true” fixed-effects panel SFA, this specification controls for unobserved country characteristics, ensuring that cross-country comparisons of EE are not confounded by persistent structural differences beyond national control.
Our SF specification follows standard SFA assumptions. The noise term \(\left({v}_{it}\right)\) is assumed to be independently and identically distributed as \(N\left(0,{\sigma }_{v}^{2}\right)\), capturing random shocks and measurement errors. The inefficiency term \(\left({u}_{it}\right)\) is non-negative—since any deviation from the frontier represents a shortfall in performance—and follows a half-normal distribution, \({N}^{+}\left(0, {\sigma }_{u}^{2}\left({{\varvec{z}}}_{it}\right)\right)\). When a country emits substantial GHG emissions without a proportionate increase in GDP, its \({u}_{it}\) value rises, indicating that it operates below the efficiency frontier. In essence, efficient countries lie on the frontier surface, where GDP is maximised for each combination of inputs and emissions. Less eco-efficient countries produce a lower level of GDP than is theoretically attainable given their input mix and emission levels. Equivalently, such countries could achieve the same level of GDP with fewer emissions if they were operating on the frontier. This interpretation aligns directly with the concept of eco-inefficiency as “waste” —where an inefficient observation either wastes inputs (including capital or labour) or generates avoidable excess emissions, or both.
Given the panel nature of our dataset (19 years across European countries), unobserved heterogeneity is a key concern. Countries differ structurally—in aspects such as institutional quality, climate, and industrial composition—which may shift their production possibilities independently of inefficiency. If not accounted for, these unobserved effects could be confounded with \({u}_{it}\) (inefficiency). To address this, we incorporate country-specific effects \(\left({\mu }_{i}\right)\) following Greene’s (2005) “true” fixed-effects SFA framework. In practice, this involves allowing for a country-specific intercept in the production function to capture time-invariant heterogeneity. For instance, a country that consistently achieve higher output—perhaps due to natural resource endowments or advanced technology not fully captured by input variables—will have a higher intercept but may still be fully efficient if it lies on its own frontier. Complementing this, we model the variance of \({u}_{it}\)—and consequently its mean under truncation—as a function of observed country-year characteristics \({z}_{it}.\) Specifically, we specify \({\sigma }_{u}^{2}\left({{\varvec{z}}}_{it}\right)={\sigma }_{u}^{2} exp\left({\theta }_{0}+{\theta}^{\prime}{{\varvec{z}}}_{it}\right)\), where \({{\varvec{z}}}_{it}\) includes factors such as the adoption of clean technologies, environmental policy stringency, or the presence of GHG emission taxes. This flexible variance specification allows changes in the determinants of eco-inefficiency (e.g. technology or policy) to shift the distribution of inefficiency term. Intuitively, stricter environmental policies or greater adoption of clean technologies should lower expected inefficiency—reducing the EE gap—by decreasing the variance of the half-normal \({u}_{it}\). Modeling \({u}_{it}\) in this way enables us to test how these factors contribute to narrowing the gap between actual performance and the eco-efficient frontier.
We estimate the frontier model in Eq. (1)4 using maximum likelihood estimation (MLE), which relies on nonlinear optimization to obtain parameter estimates and the sample’s average level of eco-inefficiency. The estimation uses panel data on inputs, GDP, and GHG emissions for each country-year in the sample. The inclusion of country-specific effects \(\left({\mu }_{i}\right)\) following Greene’s true fixed-effects approach ensures that the estimated parameters \(\left({\beta }_{j}\right)\) are not biased by omitted time-invariant heterogeneity, albeit at the cost of estimating many fixed-effect terms. The coefficients \(\left({\beta }_{j}\right)\) represent the elasticities of the GDP-to-GHG ratio with respect to each input, indicating how changes in labour, capital, or specific energy inputs affect EE. The coefficient of time trend \(\left({\beta }_{t}\right)\) captures common technological progress or other gradual shifts in the production frontier over time, such as general improvements in energy efficiency across countries.
After estimating the model, country-year specific inefficiency estimates \(\left({\widehat{u}}_{it}\right)\) are obtained using standard SFA decomposition techniques —specifically, the conditional expectation of \({u}_{it}\) given the composed error \({v}_{it}-{u}_{it}\). EE scores are then derived using the conditional mean estimator of Jondrow et al. (1982) as \({EE}_{it}\) =exp \(\left(-{\widehat{u}}_{it}\right)\), which ranges between 0 and 1 and represents the proportion of maximum feasible GDP (given each country’s inputs and frontier technology) that country i achieves in year t. An EE score of 1 indicates that the country lies on the efficiency frontier (fully eco-efficient), whereas a score of 0.9 implies that the country produces only 90% of the potential GDP attainable per unit of emissions.
To interpret the influence of specific factors (\({z}_{it}\) variables) on EE, we compute marginal effects following the approach of Kumbhakar et al. (2015). In the half-normal specification, the partial derivative of the expected inefficiency E (\({u}_{it}\)) with respect to a determinant \({z}_{k}\) represents the marginal effect of that factor on the eco-inefficiency gap. For instance, if \({z}_{it}\) includes an environmental policy index, the sign of the corresponding coefficient indicates whether increasing that variable tends to raise or reduce average inefficiency. A negative marginal effect suggests that improving that factor—such as adopting cleaner energy sources or implementing stricter environmental policies—reduces inefficiency, thereby moving a country closer to the frontier and improving its EE. The marginal effects are reported to quantify the impact of policy and technological determinants on countries’ EE.
In sum, our SFA model establishes a benchmark frontier of EE against which countries are evaluated, while rigorously accounting for input use, energy composition, and unobserved heterogeneity across countries. This framework enables the isolation of pure inefficiency in generating GDP from GHG emissions, net of country-specific effects and random shocks. Conceptually, the model builds on the literature on pollution-generating technologies, which emphasises incorporating undesirable outputs—such as emissions—directly into production efficiency analysis. By treating GDP as the desirable output and GHG emissions as an undesirable by-product, our approach aligns with the theoretical foundations developed by Färe et al. (2005), who formalise the joint production of “goods” and “bads” within efficiency measurement.

Data

Our dataset includes GDP, GHG emissions, and production inputs—namely labour, capital, and a disaggregated energy mix. It covers annual observations for 22 European countries5 over the period 2000–2018.
GDP is expressed in chain-linked volumes with base year 2017 and measured in million euros. GHG emissions are reported under the national inventory concept rather than the national accounts concept. Whereas the national accounts approach captures emissions associated only with residents’ consumption activities, the national inventory method also includes emissions generated from sales to non-residents (for example, fuel sales to foreign drivers). We adopt the national inventory concept because our objective is to measure EE and assess the impact of policies on GDP per unit of total emissions, not just those attributable to domestic consumption.
The emissions dataset covers carbon dioxide (CO2), methane (CH4), nitrous oxide (N2O), perfluorocarbons (PFCs), hydrofluorocarbons (HFCs), sulphur hexafluoride (SF6), and nitrogen trifluoride (NF3). To construct a single indicator, all gases are converted into CO₂-equivalent emissions.6 Data on GDP7 and GHG emissions are obtained from Eurostat.
The independent variables represent inputs to production: energy (E), capital (K), and labour (L). Energy data are sourced from the International Energy Agency (IEA) World Energy Balances8 and disaggregated into three categories according to the energy source: (i) nuclear energy, (ii) renewable energy, and (iii) brown energy. The latter category comprises coal, peat, oil shale, crude, oil products, natural gas, electricity,9 and heat. Data on capital and labour are taken from the Penn World Table, measuring capital stock at constant 2017 national prices (in million euros) and total labour force, respectively.
Data on the determinants of EE gaps are drawn from several sources. The Environmental Policy Stringency Index (EPS), developed by the OECD, provides a country-specific and internationally comparable measure of the strictness of environmental policies. The EPS quantifies the extent to which environmental policies impose explicit or implicit costs on environmentally harmful behaviours and pollution. It is constructed from the stringency levels of 13 policy instruments, primarily targeting climate change and air pollution. The index ranges from 0 (least stringency) to 6 (most stringent), offering a comprehensive indicator of environmental policy enforcement across countries.10
The Relative Advantage in Environment-Related Technologies (RAET) index, developed by the OECD, measures a country’s degree of specialization and competitiveness in environmental innovation relative to the global value. This index captures the extent to which a country leads or lags in the global development of environment-related technologies. It is computed as the ratio of a country’s share of environment-related inventions to its total inventions, relative to the corresponding global ratio. A value of 1 indicates that a country’s share of green innovation matches the global benchmark, whereas a value greater than 1 reflects a relative technological advantage in environment innovation. The RAET covers a wide range of technological domains, including environmental management and climate change mitigation technologies.
Finally, the GHG emissions tax rate is defined as the ratio of energy tax revenue to total GHG emissions. Data on energy tax revenue are obtained from Eurostat. The tax base includes: (i) energy products for transport purposes (e.g. unleaded and leaded petrol, diesel, and other transport fuels such as natural gas and fuel oil), (ii) energy products for stationary purposes (e.g. light and heavy fuel oil, natural gas, coal, coke, biofuel, electricity consumption and production, district heat consumption and production and other energy products for stationary use), and (iii) GHGs (e.g., the carbon content of fuels, emissions of GHGs including proceeds from emission permits recorded as taxes in the National Accounts (see Regulation (EUNo 691/2011 of the European Parliament and of the Council of July 2011 on European environmental economic accounts).
The GHG emissions tax rate serves as a key policy variable for promoting EE. A higher tax rate increases the cost of polluting activities, thereby encouraging the adoption of cleaner technologies and a shift towards less carbon-intensive energy sources. In turn, this can contribute to lower emissions and improved long-term EE performance. The correlation coefficients between EPS index, RAET index, and GHG emission tax rate are reported in Table 1 below. As shown, the correlations among these determinants are relatively low, indicating limited multicollinearity. Table 3 in the Appendix presents the annual average summary statistics for the sample over the period 2000–2018.
Table 1
Correlation coefficients between the determinants of time-varying EE
 
GHG emission tax rate
ESI
RAET
GHG emission tax rate
1.00
  
ESI
0.59
1.00
 
RAET
0.07
0.13
1.00
Note: Data source: OECD and Eurostat data

Results

This section presents the estimation results for EE scores. Recall that the SF model employed in this study is specified as follows:
$${ln}{\left(Y_{it}\right)}=\underset{Frontier}{\underbrace{\beta_0+{\textstyle\sum_{j=1}}\beta_j{ln}(X_{jit}) +\beta_ttimetrend}+\mu_i+v_{it}-u_{it}\left(z_{it}\right)}$$
In this section, we present results from multiple model specifications that incorporate individual and combined determinants of EE gaps into the eco-inefficiency component. This approach allows us to examine how each variable —on its own and jointly with others—affect variations in EE gaps.

Production frontier and determinants of EE gaps

Table 2 presents the parameter estimates from various model specifications. Models 1–3 each include one determinant of EE gap, while Model 4 jointly incorporates all of them. As Models 3 and 4 indicate that the RAET index has an insignificant effect on EE gaps,11 Model 5 is estimated including only the two statistically significant determinants —our preferred specification. The estimated elasticities of EE with respect to all production inputs are statistically different from zero, except for nuclear energy in Models 4 and 5. Among the inputs, labour has the largest positive effect on EE. In contrast, brown energy use has a negative effect on EE, indicating that it raises emissions more than it contributes to GDP. The estimated rate of technical change is statistically significant and averages about 1% per year.
Table 2
Production frontier and determinants of EE gaps
 
Model1
Model2
Model3
Model4
Model5
Dependent variable
EE
EE
EE
EE
EE
Frontier
     
ln Nuclear energy
0.046*
(0.026)
0.050*
(0.027)
0.083***
(0.028)
0.036
(0.026)
0.036
(0.026)
ln Renewable energy
0.071***
(0.014)
0.071***
(0.015)
0.084***
(0.016)
0.068***
(0.014)
0.068***
(0.014)
ln Brown energy
−0.410***
(0.033)
−0.414***
(0.034)
−0.359***
(0.038)
−0.431***
(0.033)
−0.432***
(0.033)
ln Labour
0.618***
(0.056)
0.590***
(0.058)
0.590***
(0.070)
0.641***
(0.055)
0.641***
(0.055)
ln Capital
0.036*
(0.019)
0.076***
(0.021)
0.046*
(0.027)
0.050**
(0.019)
0.049**
(0.019)
Time trend
0.013***
(0.001)
0.012***
(0.001)
0.016***
(0.001)
0.012***
(0.001)
0.012***
(0.001)
Intercept
−5.069***
(0.768)
−5.151***
(0.813)
−5.307***
(0.937)
−5.404***
(0.772)
−5.392***
(0.770)
Determinants for EE gaps
     
ln (GHG emission tax rate)
−3.612***
(0.557)
  
−3.181***
(0.550)
−3.176***
(0.550)
ln⁡ (EPS)
 
−3.382***
(0.596)
 
−2.024***
(0.645)
−1.984***
(0.626)
ln⁡ (RAET)
  
−0.097
(0.278)
0.127
(0.443)
 
Intercept
−19.847***
(2.398)
−3.181***
(0.360)
−5.553***
(0.424)
−17.055***
(2.321)
−17.040***
(2.324)
Number of observations
418
418
418
418
418
Number of countries
22
22
22
22
22
Mean of EE
0.978
0.963
0.953
0.980
0.980
Log likelihood
670.11
647.57
618.45
675.53
675.49
Note a: Standard errors are reported in parentheses. *p < 0.10, **p < 0.05, ***p < 0.01. b: The dependent variable is eco-efficiency (EE), expressed in natural log. The GHG emissions tax rate is defined as energy tax revenue per unit of emission. EPS is the environmental policy stringency index. RAET is the relative advantage in environment-related technologies index. c: Source: Results of the authors' analysis based on data from the OECD, Eurostat, the Penn World Table, and the International Energy Agency
Regarding the determinants of EE gaps, the regression results in Table 2 show that policy-related variables—namely, the EPS index and the GHG emission tax rate— have statistically significant effects on narrowing EE gaps. This suggests that stricter environmental policies and higher emission taxes are associated with improved EE. By contrast, the RAET index does not exhibit a statistically significant impact across model specifications, implying that it may not adequately capture the degree of adoption of environmentally friendly technologies, which could explain its inconclusive relationship with EE improvements.
Table 2 below summarizes the sample-average EE scores for the period 2000–2018 across the different model specifications. As noted earlier, EE scores range from 0 to 1, where a score of 1 represents an eco-efficient country operating on the frontier— achieving the maximum feasible GDP for its level of GHG emissions and thus minimising environmental impact.
Figure 1 presents the country-level averages of EE scores for the period 2000–2018, ranking countries from the most eco-efficient (highest scores) at the top to the least at the bottom. This ranking highlights that countries positioned lower in the distribution have greater potential to reduce their EE gap. Although few countries have achieved full EE, the overall pattern indicates a gradual convergence toward the efficiency frontier. Many countries are approaching this boundary, reflecting a general improvement in EE over the study period.
Fig. 1
Country ranking of EE scores (2000–2018). Note: a: Values present the average eco-efficiency (EE) scores by country from 2000–2018. b: Data source: Results of authors' analysis based on data from OECD, Eurostat, Penn World Table, and the International Energy Agency
Full size image
Figure 2 illustrates the evolution of EE scores over the period 2000–2018, displaying the first and third quartiles along with the median annual scores from Model 5 for all sample countries. The figure shows that the gap between the quartiles has progressively narrowed, suggesting a trend towards convergence in EE. Countries that were previously less efficient have made notable improvements, gradually approaching the performance level of the more efficient economies. This pattern indicates a collective advancement in EE across the sample over time.
Fig. 2
EE score trends from Model 5 (2000–2018). Note: a: The values represent the first and third quartiles, along with the median yearly eco-efficiency (EE) scores for each year from 2000–2018 across the sampled countries. b: Data source: Results of authors' analysis based on data from OECD, Eurostat, Penn World Table, and the International Energy Agency
Full size image
Figure 7 in the Appendix displays the historical evolution of EE scores for the countries that rank lowest in Fig. 1. Over time, countries such as Sweden, Denmark, Italy, Norway, and Luxembourg have consistently exhibited high levels of EE. Luxembourg's strong performance can be partly attributed to its service-oriented economic structure, where the service sector contributes substantially more to output than manufacturing (Amjadi et al., 2024). Since services generally generate lower emissions than industrial production, this result is plausible. Nevertheless, our econometric model accounts for such structural differences through country fixed effects and controls for the composition of energy sources used in production. In contrast, the Slovak Republic, Poland, and the Czech Republic remain among the least eco-efficient countries in the sample. These patterns broadly align with the findings of Robaina-Alves et al. (2015), who identified the Czech Republic, Poland, and Estonia as the least eco-efficient, while Sweden, Latvia, the United Kingdom, Hungary, and Portugal ranked among the most eco-efficient during 2005–2011.

Marginal effects of determinants of EE gaps

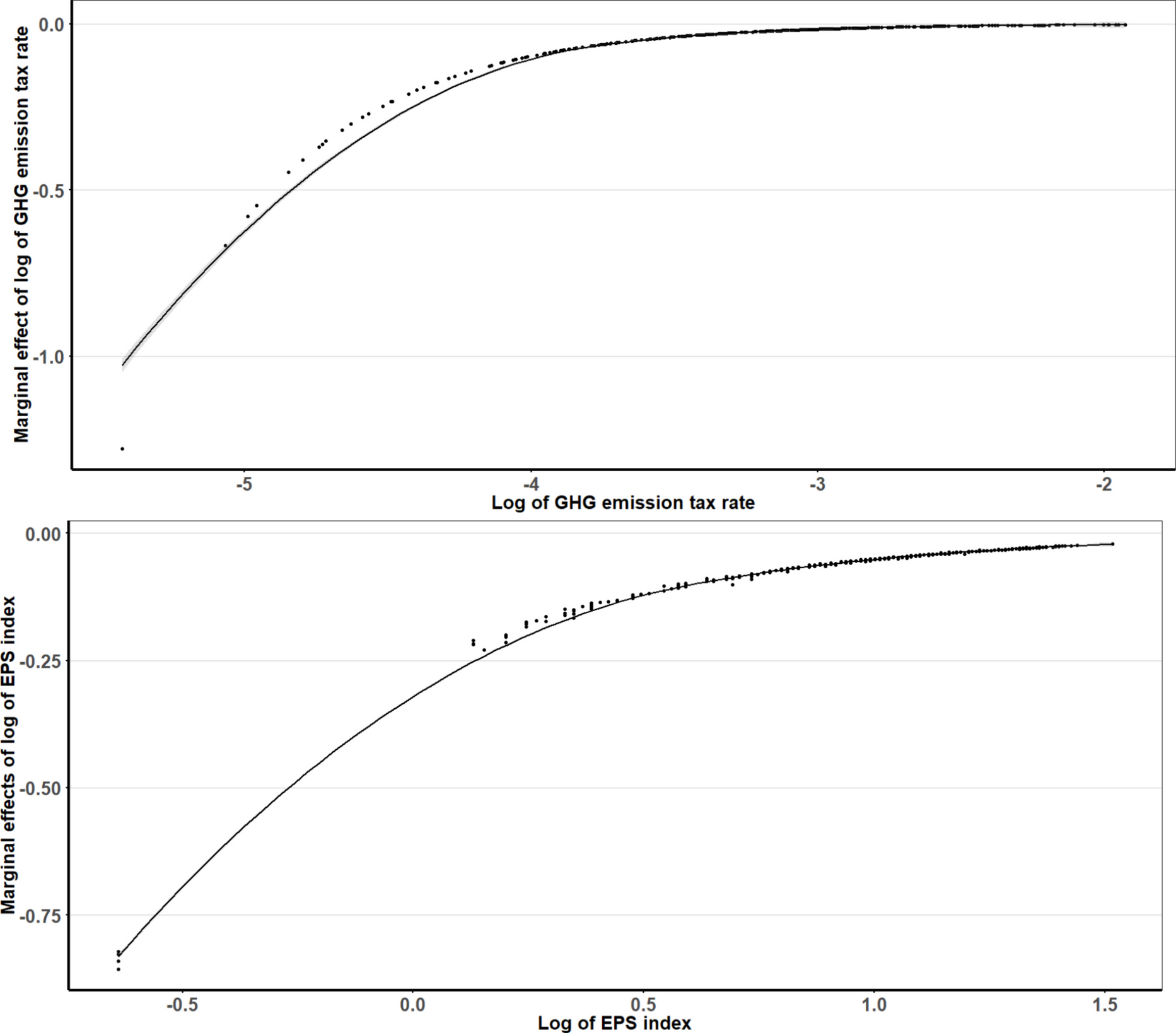
The findings presented in Table 2 show that EPS index and GHG emission tax rate have statistically significant effects in explaining EE gaps across countries. To further explore these relationships, we assess whether the marginal effects of these variables vary with their magnitude.12 Figure 3 illustrates that increases in both the GHG emissions tax rate and the EPS index initially lead to reductions in EE gaps. However, the efficiency gains diminish at higher levels of these variables, suggesting diminishing marginal returns to policy stringency and taxation.
Fig. 3
Marginal effects. Note: a: The plot shows, respectively, the marginal effects of the GHG emissions tax rate and the ESP index on EE gaps. The continuous line represents a trend smoothed by Locally estimated scatterplot smoothing (LOESS), highlighting the overall pattern. b: Data source: Results of authors’ analysis based on data from the OECD, Eurostat, the Penn World Table, and the International Energy Agency
Full size image

Quantifying potential for carbon saving

This section estimates the potential carbon savings, expressed as reductions in CO2-equivalent GHG emissions, that could be achieved by closing the EE gaps. We evaluate this potential using two measures: 1) savings per million euro of GDP, which indicates the efficiency of emission reductions for a unit of economic output, and 2) aggregate savings, representing the total reduction in emissions across countries, corresponding to total GDP.
Figure 4 presents the potential yearly average carbon savings per million euro of GDP across countries for the period 2000–2018. This potential is calculated using the average EE gap and the yearly average carbon intensity for each country, where carbon intensity is defined as CO2-equivalent GHG emissions per million euro of GDP. The calculation is expressed as:
Fig. 4
Average annual potential for carbon savings per GDP unit. Note: a: Values present the average annual potential carbon saving in terms of CO2-equivalent GHG emissions savings (in thousands of tonnes) per million Euro of GDP achievable through the elimination of EE gaps. These averages are calculated over the period from 2000–2018. Y-Axis presents carbon savings measured in Tonnes per Million of GDP. b: Data source: Results of authors' analysis based on data from OECD, Eurostat, Penn World Table, and the International Energy Agency
Full size image
$$\text{Yearly average potential carbon saving}=\text{Yearly average carbon intensity }\times \left(\text{Average EE gap}\right)$$
The data in Fig. 4 rank countries by their potential for carbon savings, from highest to lowest. Poland exhibits the greatest potential for yearly carbon savings per million euro of GDP, at approximately 0.08 thousand tonnes (i.e. 80 tonnes). It is followed by the Slovak Republic, Estonia, and the Czech Republic. In contrast, countries such as Sweden, Denmark, Norway, Luxembourg, and Italy display minimal potential for CO2-equivalent carbon savings. For Luxembourg in particular, the figure shows a very small potential saving—well below 0.01 thousand tonnes per million euro—which aligns with its service-oriented and already low-carbon economy.
Figures 5 and 6 illustrate the potential aggregate annual carbon savings that each country could achieve by fully eliminating its EE gap, presented in million tonnes and as percentages of their average annual emissions, respectively. To construct the data shown in Fig. 5, the potential carbon savings for each country are calculated based on the product of its EE gap and total annual GHG emissions. The calculation is expressed as:
Fig. 5
Average annual total potential for carbon saving. Note: a: Values present the average annual potential carbon saving in terms of CO2-equivalent GHG emissions savings (in thousands of tonnes) achievable through the elimination of EE gaps by country. These averages are calculated over the period from 2000–2018. Y-Axis presents carbon savings measured in Million Tonnes. b: Data source: Results of authors' analysis based on data from OECD, Eurostat, Penn World Table, and the International Energy Agency
Full size image
Fig. 6
Average annual GHG emissions savings potential by country. Note: a: Values represent the average annual potential carbon saving in terms of CO2-equivalent GHG emissions savings achievable by eliminating EE gaps by country, measured as a percentage of the country's total emissions. These averages are calculated over the period from 2000–2018. b: Data source: Results of authors' analysis based on data from OECD, Eurostat, Penn World Table, and the International Energy Agency
Full size image
$$\text{Yearly average potential carbon saving}=Average \left(\text{CO}2-\text{equivalent GHG emissions}\times \text{EE gap}\right)$$
Figure 5 reveals substantial variation in potential CO2-equivalent GHG savings across countries. Poland exhibits the highest potential for environmental improvements and emissions reductions through closing its EE gap, followed by Germany and the Czech Republic.13 On average, the potential annual savings in CO₂-equivalent emissions are estimated at around 75 million tonnes. To illustrate the magnitude of these savings, this amount corresponds to eliminating the annual CO₂ emissions from the energy consumption of approximately 9.7 million homes, or more than eight years of total household energy use in Paris in 2019—assuming one household per dwelling, based on data from Statista and the U.S. Environmental Protection Agency’s energy calculator.
It is important to note that while these calculations capture the potential for direct carbon savings, they do not account for indirect cost savings or the positive externalities associated with reduced air-pollution, lower mortality rates, and improvements in overall population well-being. A more comprehensive assessment of GHG emission reductions would encompass these broader socio-economic and health-related benefits; however, such an analysis is beyond the scope of the present study.
Finally, Fig. 6 presents the potential savings as a share of each country’s total emissions, assuming complete elimination of EE gaps. The Slovak Republic ranks highest in percentage terms of average annual emissions saved, followed by Poland and the Czech Republic. In contrast, Sweden, Denmark, Italy, Norway, and Luxembourg exhibit the lowest potential for savings relative to their average annual emissions. For Luxembourg, the estimated saving accounts for only a fraction of one percent of its current annual emissions—among the smallest in the sample. This limited potential reflects the country’s service-based economic structure and the fact that many EE gains have already been realised.

Conclusions

While Gross Domestic Product (GDP) remains the most widely used indicator of economic performance, it does not capture the environmental impacts of production, such as greenhouse gases (GHG) emissions. By focusing on eco-efficiency (EE)—a measure of economic performance that explicitly accounts for GHG emissions—this study assess how 22 European countries balance economic output and environmental costs. Countries that maximise their economic output per unit of GHG emitted are considered eco-efficient, while any deviation from this maximum output represents an EE gap, or eco-inefficiency, which we estimated using Greene's true fixed-effects stochastic frontier model (Greene, 2005).
The results reveal notable variation in EE across countries. Average EE scores over the 2000–2018 period range from 0.91 to 0.99 across the 22 countries analysed. Sweden, Denmark, Italy, Norway, and Luxembourg consistently emerge as the most eco-efficient, while the Slovak Republic, Poland, and the Czech Republic are among the least eco-efficient. Luxembourg’s strong performance likely reflects its service-oriented economic structure, which inherently generates lower emissions; however, this factor is explicitly controlled for in the model through country fixed effects and energy mix variables.
The analysis also explores the determinants of EE gaps. Specifically, countries with higher energy tax revenues or more stringent environmental policies, as captured by the Environmental Policy Stringency (EPS) index, exhibit smaller EE gaps. However, the positive effects of these policy variables diminish at higher levels, suggesting decreasing marginal returns to further tightening of policy measures.
Additionally, we estimate the potential carbon savings—measured in CO₂-equivalent GHG emissions—that could be achieved by closing EE gaps. The largest potential savings are observed in Poland, Germany, and the Czech Republic. Overall, eliminating EE gaps across all countries could reduce total carbon emissions by approximately 75 million metric tonnes.
Finally, in the case of Luxembourg—a predominantly service-based economy—our analysis currently aggregates all sectors. Conducting the analysis at the industry level, with particular attention to services, would provide more targeted insights into the effectiveness of policies aimed at improving EE. As the service sector relies less on emissions-intensive inputs and more on labour and digital infrastructure, the impact of policy measures on EE may differ from that observed in energy-intensive industries such as manufacturing. Future research could therefore focus on sectoral-level efficiency analysis to more accurately reflect Luxembourg’s economic structure and better inform policy design.

Acknowledgements

The authors thank seminar and conference participants for helpful comments. Special thanks to our anonymous reviewers for their feedback.

Declarations

Not applicable.

Human ethics

Not applicable.
Not applicable.

Conflict of interest

The authors declare that they have no known competing financial interests or personal relationships that could have appeared to influence the work reported in this paper.

Competing interests

The authors declare that they have no competing interests.
Open Access This article is licensed under a Creative Commons Attribution 4.0 International License, which permits use, sharing, adaptation, distribution and reproduction in any medium or format, as long as you give appropriate credit to the original author(s) and the source, provide a link to the Creative Commons licence, and indicate if changes were made. The images or other third party material in this article are included in the article's Creative Commons licence, unless indicated otherwise in a credit line to the material. If material is not included in the article's Creative Commons licence and your intended use is not permitted by statutory regulation or exceeds the permitted use, you will need to obtain permission directly from the copyright holder. To view a copy of this licence, visit http://creativecommons.org/licenses/by/4.0/.

Publisher's Note

Springer Nature remains neutral with regard to jurisdictional claims in published maps and institutional affiliations.
Title
Frontier analysis of eco-efficiency gaps: Evidence from European countries
Authors
Golnaz Amjadi
Charles-Henri DiMaria
Publication date
01-12-2025
Publisher
Springer Netherlands
Published in
Energy Efficiency / Issue 8/2025
Print ISSN: 1570-646X
Electronic ISSN: 1570-6478
DOI
https://doi.org/10.1007/s12053-025-10394-2

Appendix

Fig. 7.
Fig. 7
EE by country (2000- 2018). Data source: Results of authors' analysis based on data from OECD, Eurostat, Penn World Table, and the International Energy Agency
Full size image
Table 3.
Table 3
Descriptive statistics: Averages (2000–2018)
Country
GDP
GHG
GDP/GHG
Labour
Capital
Nuclear Energy
Renewable Energy
Brown Energy
ETax
ETax/GHG
RAET
EPS
Austria
333112
85767
3.9
4070900
2133086
.05
8974
23546
4600
.054
1.18
2.64
Belgium
398,215
137304
2.95
4454119
2516599
11315
2953
41924
5699
.0429
.903
2.51
Czech Republic
159862
141776
1.14
5097367
1893509
6695
3202
33765
2837
.0203
1.12
2.62
Denmark
26931
64826
4.21
2824363
1189636
.05
4009
14321
5637
.0898
1.58
3.34
Estonia
19537
19581
.996
622766
142943
.05
773
4667
337
.017
1.11
3.06
Finland
208377
70841
3.01
2483804
906125
5992
9355
19352
3479
.0511
1.08
3.17
France
2103,019
525284
4.04
2.69e + 07
1.33e + 07
111922
20582
126470
32063
.0622
1.05
3.31
Germany
2899863
984220
2.97
4.08e + 07
1.59e + 07
33781
30178
261608
47606
.0486
1.22
2.85
Greece
199697
120,165
1.67
4435887
2162222
.05
2111
24871
3776
.0334
1.14
2.24
Hungary
109633
68170
1.63
4158553
998,076
3846
2238
19862
1884
.0282
.946
2.75
Ireland
209005
66286
3.19
1935045
949355
.05
698
13280
2405
.0369
.618
2.3
Italy
1736583
521160
3.37
2.46e + 07
1.49e + 07
.05
20270
148184
38530
.0763
.897
3.06
Luxembourg
48085
12626
3.83
348725
185736
.05
163
3795
836
.0662
1.26
3.06
Netherlands
666916
216305
3.1
8706847
3537663
1011
3576
72261
11168
.0521
.869
2.79
Norway
315483
55967
5.64
2527719
1144347
.05
12766
15894
4135
.074
1.11
3.05
Poland
356209
405030
.879
1.50e + 07
1900835
.05
6851
88951
7348
.0181
1.2
2.35
Portugal
188479
76858
2.47
4916396
2289062
.05
4739
19004
3088
.0406
1.22
2.35
Slovak Republic
66542
46973
1.45
2203094
554747
4228
1214
12180
1194
.0264
1.23
2.18
Slovenia
37610
19247
1.97
955429
381536
1479
972
4567
969
.0514
.678
2.11
Spain
1060793
391396
2.74
1.88e + 07
8456963
15411
12887
99819
14481
.0377
1.06
2.25
Sweden
406530
63662
6.51
4571558
2086103
16898
16584
15932
7430
.118
.972
3.28
United Kingdom
2084791
643152
3.34
2.97e + 07
1.12e + 07
19017
8687
174470
37481
.0599
.939
2.69
Note: a: Units of measurement for variables are as follows: GDP in M€ (Million Euros), GHG in Kt (Kilotons), Labour in No. (Number), Capital in M€ (Million Euros), Nuclear Energy, Renewable Energy, and Brown Energy in Mtoe (Million Tons of Oil-Equivalent), ETax in M€ (Million Euros), ETax/GHG in M€/kt (Million Euros per Kiloton). RA_ERT and EPS are indices. b: Data source: OECD, Eurostat data, Penn World, and International Energy Agency
Table 4.
Table 4
Production frontier and determinants of EE gaps
 
Model6
Model7
Dependent variable
EE
EE
Frontier
   
ln Nuclear energy
0.046*
(0.026)
0.050*
(0.027)
ln Renewable energy
0.071***
(0.014)
0.071***
(0.015)
ln Brown energy
-0.410***
(0.033)
-0.416***
(0.034)
ln Labour
0.618***
(0.056)
0.590***
(0.058)
ln Capital
0.036*
(0.019)
0.077***
(0.021)
Time trend
0.013***
(0.001)
0.012***
(0.001)
Intercept
-5.069***
(0.770)
-5.142***
(0.813)
Determinants for EE gaps
   
ln (GHG emission tax rate)
-3.612***
(0.560)
 
ln (EPS)
 
-3.365***
(0.592)
ln (RAET)
-0.002
(0.456)
-0.151
(0.293)
Intercept
-19.845***
(2.424)
-3.167***
(0.359)
No. Observations
418
418
No. Countries
22
22
Mean of EE
0.978
0.963
Log likelihood
670.11
647.70
Note: a: Standard errors are reported in parentheses. *p < 0.10, **p < 0.05, ***p < 0.01. b: Dependent variable eco-efficiency (EE) is in natural log. GHG emission tax rate is defined as the energy tax revenue per unit of emission. EPS is the environmental policy stringency index. RAET is relative advantage in environment-related technologies index. c: Data source: Results of authors' analysis based on data from OECD, Eurostat, Penn World Table, and the International Energy Agency
1
While previous studies by Kumbhakar et al. (2022), Liang et al. (2015), Wang et al. (2011), and Lee and Park (2017) have explored the impact of factors such as innovation, stricter environmental regulation, and energy taxes on EE and emissions, they have done so individually, without considering their joint impact.
 
2
In other words, eco‐efficiency links economic output to environmental pressure, capturing the notion of “more value with less impact” (WBCSD, 2006). In practice, it is often measured as the ratio of desirable output (GDP or value added) to undesirable byproducts (such as GHG emissions). However, pure ratio measures ignore substitution possibilities and scale effects.
 
3
The Cobb–Douglas form lets us capture diminishing returns and substitution possibilities: e.g., whether increasing renewable energy while holding emissions constant might require more capital or whether labour and capital have complementary effects on output. It also does not impose a priori that GDP is proportional to emissions, which is important because some countries may be able to decouple growth from emissions via technology (reflected in the parameters).
 
4
Equation 1 captures three key components: 1) The unobserved country-specific effect \({\mu }_{i}\) accounts for fixed characteristics of each country; 2) The time-varying inefficiency \({u}_{it}\) reflects inefficiency levels of a country over time; 3) The statistical noise \({v}_{it}\) represents random variation. The estimation of our model relies on assumptions about the distribution of these components, as detailed in the works of Kumbhakar and Lovell (2000), Greene (2005), and Kumbhakar et al. (2015).
 
5
The countries covered are Austria, Belgium, Czech Republic, Denmark, Estonia, Finland, France, Germany, Greece, Hungary, Ireland, Italy, Luxembourg, Netherlands, Norway, Poland, Portugal, Slovak Republic, Slovenia, Spain, Sweden, and United Kingdom.
 
6
These GHG emissions arise from various sources: (i) Energy Production: GHGs from the combustion of fossil fuels and other energy generation processes. (ii) Industrial Processes: Emissions from manufacturing activities, such as cement production. (iii) Product use: GHGs released during the use of specific products, like aerosols. (iv) Agriculture: Emissions related to livestock, manure management, fertilizer application, and other agricultural practices. (v) Waste Management: GHGs generated through waste treatment processes, such as emissions from landfills.
 
7
GDP is obtained from section annual National Accounts (NAMA_10_GDP) and data on GHG emissions is downloaded from environment and energy section (ENV_AIR_GGE) retrieved April 2021.
 
9
International Energy Agency (IEA) World Energy Balances includes electricity as a source of energy supply, where electricity presents net of imported and exported electricity from various sources. It is included in the brown energy category since fossil fuels remain the most common source of electricity production.
 
10
A high EPS score may directly or indirectly encourage the adoption of more efficient, less polluting operations as they may put explicitly or implicitly price on polluting or environmentally harmful behaviour. However, it is crucial to note that the EPS is a measure of policy stringency and not a direct reflection of environmental efficiency or innovation.
 
11
These two regression models are reported in Table 4 in appendix.
 
12
It is important to acknowledge that the determinants of EE gaps exhibit non-linear relationships with the expected values of inefficiencies. Therefore, the slope coefficients of this variable does not directly correspond to its marginal effect.
 
13
This likely results from a combination of relatively higher EE gap GHG emissions.
 
go back to reference Aigner, D., Lovell, C. A. K., & Schmidt, P. (1977). Formulation and estimation of stochastic frontier production function models. Journal of Econometrics, 6(1), 21–37.MathSciNetCrossRef
go back to reference Alem, H. (2023a). A parametric analysis of eco efficiency and its determinants: Evidence from Norwegian dairy farms. Agricultural Economics (Zemědělská Ekonomika), 69(7), 284–290.CrossRef
go back to reference Alem, H. (2023b). Measuring dynamic and static eco efficiency in Norwegian dairy farms: A parametric approach. Frontiers in Environmental Economics, 2, 1–7.CrossRef
go back to reference Amjadi, G., DiMaria, C-H., & Peroni, C. (2024). LuxKLEMS revisited: productivity trends and drivers in Luxembourg. In: Rapport Annuel 2024–2025. Conseil National de la Productivité, Luxembourg.
go back to reference Arcelus, F. J., & Arocena, P. (2005). Productivity differences across OECD countries in the presence of environmental constraints. Journal of the Operational Research Society, 56(12), 1352–1362.CrossRef
go back to reference Bokusheva, R. & Kumbhakar, S. C. (2014). A distance function model with good and bad outputs. 2014 International Congress, August 26-29, 2014, Ljubljana, Slovenia 182765, European Association of Agricultural Economists.
go back to reference Camarero, M., Castillo-Giménez, J., Picazo-Tadeo, A. J., & Tamarit, C. (2014). Is eco-efficiency in greenhouse gas emissions converging among European Union countries?. Empirical Economics, 47(1), 143–168.CrossRef
go back to reference Egilmez, G., Kucukvar, M., & Tatari, O. (2013). Sustainability assessment of U.S. manufacturing sectors: An economic input–output-based frontier approach. Journal of Cleaner Production, 53, 91–102.CrossRef
go back to reference European Environment Agency (EEA), 1999. Eco-efficiency, resource productivity and innovation. EEA Topic Report, No. 11/1999.
go back to reference Färe, R., Grosskopf, S., Noh, D.-W., & Weber, W. (2005). Characteristics of a polluting technology: Theory and practice. Journal of Econometrics, 126(2), 469–492.MathSciNetCrossRef
go back to reference Gómez-Calvet, R., Conesa, D., Gómez-Calvet, A. R., & Tortosa-Ausina, E. (2016). On the dynamics of eco-efficiency performance in the European Union. Computers & Operations Research, 66, 336–350.MathSciNetCrossRef
go back to reference Greene, W. H. (2005). Fixed and random effects in stochastic frontier models. Journal of Productivity Analysis, 23, 7–32.CrossRef
go back to reference Halkos, G. E., & Tzeremes, N. G. (2009). Exploring the existence of a Kuznets curve in countries’ environmental efficiency using DEA window analysis. Ecological Economics, 68(7), 2168–2176.CrossRef
go back to reference Jondrow, J., Lovell, C. A. K., Materov, I. S., & Schmidt, P. (1982). On the estimation of technical inefficiency in the stochastic frontier production function model. Journal of Econometrics, 19, 233–238.MathSciNetCrossRef
go back to reference Kortelainen, M. (2008). Dynamic environmental performance analysis: A Malmquist index approach. Ecological Economics, 64(4), 701–715.CrossRef
go back to reference Kumbhakar, S.C. & Lovell, C.A.K. (2000). Stochastic frontier analysis. Cambridge: Cambridge University Press.
go back to reference Kumbhakar, S. C., Badunenko, O., & Willox, M. (2022). Do carbon taxes affect economic and environmental efficiency? The case of British Columbia’s manufacturing plants. Energy Economics, 115, Article Article 106359.CrossRef
go back to reference Kumbhakar, S. C., Wang, H. J., & Horncastle, A. (2015). A practitioner’s guide to stochastic frontier analysis using Stata. Cambridge University Press.CrossRef
go back to reference Kuosmanen, T., & Kortelainen, M. (2005). Measuring eco-efficiency of production with data envelopment analysis. Journal of Industrial Ecology, 9(4), 59–72.CrossRef
go back to reference Lee, P., & Park, Y. J. (2017). Eco-efficiency evaluation considering environmental stringency. Sustainability, 9(4), Article 661.CrossRef
go back to reference Liang, W., Luo, B., Li, T., Wang, S., & Liang, L. (2015). Effects of technological innovation on eco-efficiency of industrial enterprises in China. Nankai Business Review International, 6(3), 226–239.CrossRef
go back to reference Malikov, E., Bokusheva, R., & Kumbhakar, S. C. (2018). A hedonic-output-index-based approach to modeling polluting technologies. Empirical Economics, 54(1), 287–308.CrossRef
go back to reference Mandal, S. S. K. (2010). Environmental efficiency of the Indian cement industry: An interstate analysis. Energy Policy, 38(2), 1108–1118.CrossRef
go back to reference Meeusen, W., & van den Broeck, J. (1977). Efficiency estimation from Cobb-douglas production functions with composed error. International Economic Review, 18(2), 435–444.CrossRef
go back to reference Orea, L., & Wall, A. (2017). A parametric approach to estimating eco-efficiency. Journal of Agricultural Economics, 68(3), 901–907.CrossRef
go back to reference Patterson, M. G. (1996). What is energy efficiency? Concepts, indicators and methodological issues. Energy Policy, 24(5), 377–390.
go back to reference Pérez-Urdiales, M., Lansink, A. O., & Wall, A. (2016). Eco-efficiency among dairy farmers: The importance of socio-economic characteristics and farmer attitudes. Environmental and Resource Economics, 64, 559–574. https://doi.org/10.1007/s10640-015-9885-1CrossRef
go back to reference Picazo-Tadeo, A. J., Beltrán-Esteve, M., & Gómez-Limón, J. A. (2012). Assessing eco-efficiency with directional distance functions. European Journal of Operational Research, 220(3), 798–809.MathSciNetCrossRef
go back to reference Picazo-Tadeo, A. J., Castillo-Giménez, J., & Beltrán-Esteve, M. (2014). An intertemporal approach to measuring environmental performance with directional distance functions: Greenhouse gas emissions in the European Union. Ecological Economics, 100, 173–182.CrossRef
go back to reference Porter, M. E., & van der Linde, C. (1995). Toward a new conception of the environment-competitiveness relationship. Journal of Economic Perspectives, 9(4), 97–118.CrossRef
go back to reference Reinhard, S., Lovell, C. A. K., & Thijssen, G. J. (2000). Environmental efficiency with multiple environmentally detrimental variables: Estimated with SFA and DEA. European Journal of Operational Research, 121, 287–303.CrossRef
go back to reference Reinhard, S., Lovell, C. A. K., & Thijssen, G. J. (2002). Analysis of environmental efficiency variation. American Journal of Agricultural Economics, 84(4), 1054–1065.CrossRef
go back to reference Robaina-Alves, M., Moutinho, V., & Macedo, P. (2015). A new frontier approach to model the eco-efficiency in European countries. Journal of Cleaner Production, 103, 562–573.CrossRef
go back to reference Simar, L., & Wilson, P. W. (2007). Estimation and inference in two-stage, semi-parametric models of production processes. Journal of Econometrics, 136(1), 31–64.MathSciNetCrossRef
go back to reference Stetter, C., & Sauer, J. (2022). Greenhouse gas emissions and eco-performance at farm level: A parametric approach. Environmental and Resource Economics, 81(3), 617–647.CrossRef
go back to reference Stetter, C., Wimmer, S., & Sauer, J. (2023). Are intensive farms more emission-efficient? Evidence from German dairy farms. Journal of Agricultural and Resource Economics, 48(1), 136–157.
go back to reference Wang, Y., Liu, J., Hansson, L., Zhang, K., & Wang, R. (2011). Implementing stricter environmental regulation to enhance eco-efficiency and sustainability: A case study of Shandong Province’s pulp and paper industry China. Journal of Cleaner Production, 19(4), 303–310.CrossRef
go back to reference World Business Council for Sustainable Development, (2006). Eco-efficiency learning module [online]. Available at: https://docs.wbcsd.org/2006/08/EfficiencyLearningModule.pdf. Accessed 4 May 2021.
go back to reference Zhou, P., Ang, B. W., & Poh, K. L. (2008). Measuring environmental performance under different environmental DEA technologies. Energy Economics, 30(1), 1–14.CrossRef
Image Credits
Korero Solutions/© Korero Solutions