Skip to main content
Top

Global convergence of Newton’s method for the regularized p-Stokes equations

  • Open Access
  • 17-09-2024
  • Research
Published in:

Activate our intelligent search to find suitable subject content or patents.

search-config
loading …

Abstract

The article explores the application of Newton’s method with Armijo step sizes to solve the regularized p-Stokes equations, which are crucial for modeling ice-sheet dynamics. The authors introduce a convex functional to control step sizes, ensuring global convergence. They validate their method through numerical experiments, including the ISMIP-HOM B test case and a sliding block scenario. The results demonstrate the effectiveness of their approach, which outperforms traditional methods like the Picard iteration. The study also discusses the convergence of the regularized solution to the non-regularized problem under specific conditions.

Publisher's Note

Springer Nature remains neutral with regard to jurisdictional claims in published maps and institutional affiliations.

1 Introduction

Ice-sheet models spend most of the computation time solving the momentum equations, [1]. These equations are nonlinear partial differential equations named p-Stokes equations.
We prove that Newton’s method with Armijo step sizes converges to the solution of the p-Stokes equations if we add a small diffusion term. We control the step size with a convex functional, which is the anti-derivative of the p-Stokes equations. Evaluating this functional has nearly no computational cost. Moreover, the convexity of the functional allows us to approximate the exact step sizes. We slightly modify the numerical experiment ISMIP-HOM B to test Newton’s method with Armijo step sizes. Moreover, we test this algorithm with a sliding block. We test both experiments with the Picard iteration and Newton’s method with approximations of exact step sizes.
The small diffusion term is necessary to imply Gâteaux differentiability of the p-Stokes equations in the variational formulation. Furthermore, the shear-thinning viscosity term has a negative exponent. Thus, we need for differentiability a positive constant in this term. To conclude the theory, we show that the regularized solution converges to the solution of the p-Stokes equations under a slight regularity assumption.
Regarding the well-posedness of the equations, there are different types of literature results: nonlinear friction boundary conditions [2], an implicitly given viscosity [3] with a differentiable shear-thinning term, or a differentiable shear-thinning term with Dirichlet boundary conditions, [4]. One recent publication with more general boundary conditions than we consider in two dimensions uses Newton’s method in a finite-dimensional setting, see [5]. However, we need a combination of a differentiable, explicitly given shear-thinning viscosity, and nonlinear friction boundary conditions. Glaciologists use such a formulation to simulate glaciers, [6]. Gâteaux differentiability results are mainly devoted to optimal control and the necessary control-to-state mapping, see for example, [7] for the p-Laplace equations or [8] for the Navier-Stokes equations with a nonlinear p-Stokes term. In [8], the Gâteaux differentiability is shown for \(p\ge 2\). The idea of how to prove differentiability for \(1<p<2\) is briefly mentioned in [9, section 6]. That paper uses the additional diffusion term for optimal control. It proves convergence in Sobolev spaces for vanishing regularization of the diffusion term. However, that paper has different requirements: It considers optimal control in a slightly different formulation, has Dirichlet boundary conditions, and has a convective term. It has more restrictions on the exponent of the shear-thinning fluids than we have. In [3], local quadratic convergence of Newton’s method is shown for the finite-dimensional case. Glaciologists already consider Newton’s method, [10], but we consider a different approach by adding a small diffusive term and using a convex functional for step size control. There is also a multigrid approach with Newton’s method and a reformulation of the partial differential equation with first derivatives available, [11].
The paper is structured as follows: In Section 2, we derive the variational formulation, project to divergence-free spaces, introduce a minimization problem that is equivalent to solving the full-Stokes equations, and verify existence and uniqueness of a solution. In Section 3, we consider Gâteaux differentiability. In Section 4, we verify that Newton steps can be calculated. In Section 5, we use the functional to verify global convergence. Additionally, we prove that the solution of the regularized p-Stokes equations converges to the solution of the p-Stokes equations for vanishing regularization under some regularity assumptions. In Section 6, we consider one experiment without sliding and one with. We summarize our results in the final Section 7.

2 The p-Stokes equations

In this section, we formulate the p-Stokes equations in both the classical and the variational formulations. The p-Stokes equations can be used to, e.g., model the motion of glaciers. Their complexity results from nonlinear viscosity, also described as shear-thinning, [6]. Mass conservation and incompressibility lead to a divergence-free velocity \(\varvec{v}\). Let \(N \in \{2,3\}\), \(\Omega \subseteq \mathbb {R}^N\) be a Lipschitz domain. Let \(\sigma \) be the stress tensor, \(\varvec{v}\) the velocity, \(\rho \) the density, and \(\varvec{g}\) the gravitational acceleration. The p-Stokes equations are:
$$\begin{aligned} -\textrm{div}\sigma&=-\rho \varvec{g}\quad \text {on }\Omega ,\end{aligned}$$
(1)
$$\begin{aligned} \textrm{div}\varvec{v}&=0\quad \quad \text { on }\Omega \end{aligned}$$
(2)
To relate the stress tensor \(\sigma \), the velocity \(\varvec{v}\), and the pressure \(\pi \), we introduce the identity matrix \(I=(I_{ij})_{ij}\),
$$\begin{aligned} (D\varvec{v})_{ij}&=\frac{1}{2}\bigg (\frac{\partial v_i}{\partial x_j}+\frac{\partial v_j}{\partial x_i}\bigg )\text {, }\quad i,j\in \{1,...,N\}, \\ B&\in L^{\infty }(\Omega )\text {, }\quad B\ge c_0\in (0,\infty ), \end{aligned}$$
and the following definition:
Definition 2.1
Let \(p\in (1,2)\), \(\delta >0\). We define \(S^p:\mathbb {R}^{N \times N}\rightarrow \mathbb {R}^{N \times N}\),
$$\begin{aligned} S^p(P)=\big (|P|^2+\delta ^2\big )^{(p-2)/2}P. \end{aligned}$$
(3)
The norm \(|\cdot |\) is the Frobenius norm. For vectors \(\varvec{v}\in \mathbb {R}^n\), we interpret \(S^p\) as a mapping from \(\mathbb {R}^n\rightarrow \mathbb {R}^n\) with
$$\begin{aligned} S^p(\varvec{v})=\big (|\varvec{v}|^2+\delta ^2\big )^{(p-2)/2}\varvec{v} \end{aligned}$$
with the Euclidean norm \(|\cdot |\).
Let \(p\in (1,2)\). The stress tensor \(\sigma \) is given by
$$\begin{aligned} \sigma =-\pi I+BS^p(D\varvec{v}). \end{aligned}$$
The case \(p=2\) reduces to the Stokes problem. In glaciological applications \(p=4/3\), see [6, section 1.4.3], or in more recent approaches \(p=5/4\), see [12, Abstract], is used. The following result states information about the integrability of \(S^p\):
Lemma 2.2
Let \(p\in (1,2)\). For all \(P \in L^p(\Omega )^{N \times N}\) follows \(S^p(P)\in L^{p'}(\Omega )^{N \times N}\) with the dual exponent \(p'\).
Proof
With the dual exponent \(p'=p/(p-1)\) and \(p\in (1,2)\) follows
$$\begin{aligned} |S^p(P)|\le |P|^{p-1}\Rightarrow |S^p(P)|^{p'} \le |P|^p\in L^1(\Omega ). \end{aligned}$$
\(\square \)
Let \(\partial \Omega = \Gamma _d \cup \Gamma _a \cup \Gamma _b\). The Dirichlet boundary condition \(\varvec{v}=0\) is satisfied for those parts of the glacier frozen to the ground \(\Gamma _d\). The interaction of the glacier with the air is given by \(\sigma \cdot \varvec{n}=0\) on \(\Gamma _a\) with the matrix-vector multiplication of the matrix \(\sigma \) and the unit normal vector \(\varvec{n}\). We assume nonlinear sliding at parts of the bedrock \(\Gamma _b\) that are not frozen to the ground. This sliding is represented by tangential sliding. For these parts of the bedrock, we assume that the normal component of the velocity is 0 because we neglect the melting of ice or freezing of water at the bedrock. We remind of the definition of the tangential components
$$\begin{aligned} \varvec{v_t}=\varvec{v}-(\varvec{v}\cdot \varvec{n})\varvec{n}\quad \text { and }\quad \varvec{\sigma _t}=\sigma \cdot \varvec{n}-(\sigma \cdot \varvec{n}\cdot \varvec{n})\varvec{n}. \end{aligned}$$
(4)
Let \(\tau \in L^{\infty }(\Gamma _b)\), \(\tau \ge 0\), \(s\in (1,p]\). We formulate the boundary conditions as follows:
$$\begin{aligned} \varvec{v}&=0 \quad \quad \quad \quad \quad \text {on }\Gamma _d, \end{aligned}$$
(5)
$$\begin{aligned} \sigma \cdot \varvec{n}&= 0 \quad \quad \quad \quad \quad \text {on }\Gamma _a \end{aligned}$$
(6)
$$\begin{aligned} \varvec{\sigma }_t&=-\tau S^s(\varvec{v_t})\quad \text { on } \Gamma _b\text {,}\end{aligned}$$
(7)
$$\begin{aligned} \varvec{v}\cdot \varvec{n}&=0\quad \quad \quad \quad \quad \text {on }\Gamma _b. \end{aligned}$$
(8)
For the choice of the boundary conditions see also [2]. The boundary conditions imply as a natural choice of the space
Definition 2.3
(Function space) Let \(|\Gamma _d|>0\). We define for all \(p>1\)
$$\begin{aligned} W_p:=\{\varvec{v}\in W^{1,p}(\Omega )^N\text {; }\varvec{v}|_{\Gamma _d}=0\text {, }\varvec{v}|_{\Gamma _b}\cdot \varvec{n}|_{\Gamma _b}=0\} \end{aligned}$$
(9)
with norm
$$\begin{aligned} \Vert \varvec{v}\Vert _{W_p}^p=\int _{\Omega }\bigg (\sum _{i,j=1}^N\Big (\frac{\partial v_i}{\partial x_j}\Big )^2\bigg )^{p/2}\, dx. \end{aligned}$$
The restriction \(|\Gamma _d|>0\) is also fulfilled in common applications, see for example [12, Abstract] or [13, Abstract].
The Poincaré inequality implies that the \(W_p\)-norm is equivalent to the \(W^{1,p}(\Omega )^N\)-norm. For example, the Poincaré inequality was proved in [14, Theorem 1.5] for \(p=2\). But the proof is identical for \(p\in (1,2)\).

2.1 Variational formulation

We derive the variational formulation in the space \(W_p\). We define the double scalar product and obtain the following equation for \(\sigma ,\tau \in \mathbb {R}^{N \times N}\) immediately:
$$\begin{aligned} \sigma :\tau :=\sum _{i,j=1}^N \sigma _{ij}\tau _{ij}\text {, }\quad \sigma :\tau ^T=\sum _{i,j=1}^N\sigma _{ij}\tau _{ji}=\sigma ^T:\tau . \end{aligned}$$
(10)
Let \(p'\) be the dual exponent, \(\varvec{\phi }\in W_{p'}\), \(\sigma \in W^{1,p}(\Omega )^{N \times N}\). We conclude by multiplication with the test function \(\varvec{\phi }\) and partial integration for the left-hand side of (1)
$$\begin{aligned} -\int _{\Omega }\textrm{div}\sigma \cdot \varvec{\phi }\, dx= \int _{\Omega } \sigma :\nabla \varvec{\phi }\, dx-\int _{\partial \Omega }\sigma \cdot \varvec{n}\cdot \varvec{\phi }\, ds. \end{aligned}$$
(11)
Let \(\varvec{v}\in W_{p}\), \(\pi \in L^{p'}(\Omega )\). We use \(\sigma =-\pi I+BS^p(D\varvec{v})\) and \(I:\nabla \varvec{\phi }=\textrm{div}\varvec{\phi }\) to obtain for the first summand on the right-hand side of (11)
$$\begin{aligned} \int _{\Omega }\sigma :\nabla \varvec{\phi } \, dx =-\int _{\Omega }\pi \textrm{div}\varvec{\phi }\, dx +\int _{\Omega }BS^p(D\varvec{v}):\nabla \varvec{\phi } \, dx. \end{aligned}$$
The second summand on the right-hand side of (11) vanishes on \(\Gamma _d\) because the test function \(\varvec{\phi }\in W_{p'}\) vanishes on \(\Gamma _d\), see the definition of \(W_{p'}\) in Definition 2.3. Moreover, \(\sigma \cdot \varvec{n}=0\) is valid on \(\Gamma _a\), see (6). Thus, the integral over this domain disappears, too. It follows
$$\begin{aligned} -\int _{\partial \Omega }\sigma \cdot \varvec{n}\cdot \varvec{\phi }\, ds =-\int _{\Gamma _b}\sigma \cdot \varvec{n}\cdot \varvec{\phi }\, ds. \end{aligned}$$
The relation between tangential and normal components, see (4), implies
$$\begin{aligned} (\sigma \cdot \varvec{n})\cdot \varvec{\phi }=(\sigma \cdot \varvec{n}\cdot \varvec{n})(\varvec{\phi }\cdot \varvec{n})+\varvec{\sigma _t}\cdot \varvec{\phi _t}. \end{aligned}$$
We split the boundary integral on \(\Gamma _b\) into normal and tangential components and use the boundary conditions on \(\Gamma _b\), see (7), and the definition of \(\varvec{\phi }\in W_{p'}\), namely \(\varvec{\phi }\cdot \varvec{n}=0\) on \(\Gamma _b\), see Definition 2.3, to obtain
$$\begin{aligned} -\int _{\Gamma _b}\sigma \cdot \varvec{n} \cdot \varvec{\phi }\, ds&=-\int _{\Gamma _b}(\sigma \cdot \varvec{n} \cdot \varvec{n}) (\varvec{\phi } \cdot \varvec{n})\, ds-\int _{\Gamma _b}\varvec{\sigma }_t \cdot \varvec{\phi }_t \, ds\\&=\int _{\Gamma _b}\tau \big (|\varvec{v_t}|^2+\delta ^2\big )^{(s-2)/2}\varvec{v_t}\cdot \varvec{\phi }_t \, ds. \end{aligned}$$
Due to (4) and (8), we have \(\varvec{v}=\varvec{v_t}\) on \(\Gamma _b\), which yields
$$\begin{aligned} \int _{\Gamma _b}\tau \big (|\varvec{v_t}|^2+\delta ^2\big )^{(s-2)/2}\varvec{v_t}\cdot \varvec{\phi }_t \, ds&=\int _{\Gamma _b}\tau \big (|\varvec{v}|^2+\delta ^2\big )^{(s-2)/2}\varvec{v}\cdot \varvec{\phi }\, ds\\&=\int _{\Gamma _b}\tau S^s(\varvec{v})\cdot \varvec{\phi } \, ds. \end{aligned}$$
We set \(L^{p'}_0(\Omega ):=\{\pi \in L^{p'}(\Omega )\text {; } \int _{\Omega }\pi \, dx=0\}\). Then a weak solution of the problem is given by \((\varvec{v},\pi )\in (W_p,L^{p'}_0(\Omega ))\) with
$$\begin{aligned} {\begin{matrix} \langle A\varvec{v},\varvec{\phi }\rangle _{W_p^*,W_p}-(\pi ,\textrm{div}\varvec{\phi })& =(\rho \varvec{g},\varvec{\phi })\quad \text {for all }\varvec{\phi }\in W_p,\\ -(\textrm{div}\varvec{v},\psi )& =0\qquad \qquad \text { for all }\psi \in L^{p'}_0(\Omega ) \end{matrix}} \end{aligned}$$
(12)
with the operator \(A:W_p\rightarrow W_p^*\),
$$\begin{aligned} \langle A\varvec{v},\varvec{\phi }\rangle _{W_p^*,W_p} =\int _{\Omega }BS^p(D\varvec{v}):\nabla \varvec{\phi }\, dx+\int _{\Gamma _b}\tau S^s(\varvec{v})\cdot \varvec{\phi }\, ds\text {, }\quad \varvec{\phi }\in W_p. \end{aligned}$$
The operator A is well-defined due to Lemma 2.2.
Definition 2.4
(Divergence free space) Let \(|\Gamma _d|>0\). We define for all \(p>1\) the divergence-free velocity space
$$\begin{aligned} V_p:=\{\varvec{v}\in W_p\text {; }\textrm{div}\varvec{v}=0\} \end{aligned}$$
(13)
with \(W_p\) as in Definition 2.3.
Now, we examine surjectivity of the restricted operator \(A:V_p\rightarrow V_p^*\),
$$\begin{aligned} \langle A\varvec{v},\varvec{\phi }\rangle _{V_p^*,V_p}=\int _{\Omega }\rho \varvec{g}\cdot \varvec{\phi }\, dx \quad \text { for all }\phi \in V_p. \end{aligned}$$
(14)
By solving the divergence-free problem, we solve the original problem: The inf-sup condition is proved by [15, Corollary 3.2] for Dirichlet boundary conditions:
$$\begin{aligned} \inf _{\pi \in L^{p'}_0(\Omega )}\sup _{\varvec{v}\in W^{1,p}_0(\Omega )^N}\frac{(\pi ,\textrm{div}\varvec{v})}{\Vert \varvec{v}\Vert _{W^{1,p}_0(\Omega )^N}\Vert \pi \Vert _{L^{p'}(\Omega )}}\ge c>0. \end{aligned}$$
The inf-sup condition is also fulfilled for \(W_p\supseteq W^{1,p}_0(\Omega )^N\). Thus, we can apply [16, Theorem IV.1.4]. This yields for each solution in the divergence-free formulation a unique solution for the original problem. This theorem is stated in Hilbert spaces, but the proof is identical for operators on Banach spaces with an existing dual operator.

2.2 Regularization of the equation and the divergence-free space

In this subsection, we introduce a regularization and the divergence-free space. We add a small diffusion term that allows us to obtain a solution in \(V_2\). We need solutions in \(V_2\) and not only in \(V_p\) to obtain Gâteaux differentiability in Section 3. We define for \(\mu _0>0\) the operator \(A:V_2\rightarrow V_2^*\),
$$\begin{aligned} \langle A\varvec{v},\varvec{\phi }\rangle _{V_2^*,V_2}=\langle A\varvec{v},\varvec{\phi }\rangle _{V_p^*,V_p}+\mu _0(\nabla \varvec{v},\nabla \varvec{\phi }). \end{aligned}$$
(15)
We define a solution of the p-Stokes equations:
Definition 2.5
(Weak solution of the p-Stokes equations) Let \(p\in (1,2)\), \(|\Gamma _d|>0\), \(\delta >0\), and \(\mu _0>0\). A solution of
$$\begin{aligned} \langle A\varvec{v},\varvec{\phi }\rangle _{V_2^*,V_2}=\int _{\Omega }\rho \varvec{g}\cdot \varvec{\phi }\, dx\quad \text { for all }\varvec{\phi } \in V_2. \end{aligned}$$
(16)
is called weak solution of the p-Stokes equations.
For \(\mu _0=0\) and \(\delta =0\) existence and uniqueness of a solution to (14) is shown in [2]; for \(\mu =0\), \(\delta >0\), and \(\Gamma _d=\partial \Omega \), see [4]. We consider \(\mu _0>0\) and \(\delta >0\) because we want Gâteaux differentiability in the infinite-dimensional space. In finite dimensions, \(\mu _0>0\) is not necessary, see [4, section 3].
For vanishing \(\mu _0\) and \(\delta \), the weak solution of the p-Stokes equations converges to the solution of \(\mu _0=0\) and \(\delta =0\) under slight regularity assumptions, see Section 5.3.

2.3 Equivalent minimization problem

In this subsection, we introduce a minimization problem, which is equivalent to finding a solution to the regularized p-Stokes equations. In [4], the convex functional was introduced for \(\mu _0=0\) and Dirichlet boundary conditions. In [2], it was introduced for \(\mu _0=0\) and \(\delta =0\) for more general boundary conditions. We use those formulations for our convex functional with \(\mu _0,\delta \in [0,\infty )\).
Definition 2.6
(Convex functional) Let \(\mu _0,\delta \in [0,\infty )\), \(J_{\mu _0,\delta }:V_r\rightarrow \mathbb {R}\) with \(r=2\) for \(\mu _0>0\) and \(r=p\) for \(\mu _0=0\),
$$\begin{aligned} J_{\mu _0,\delta }(\varvec{v})&=\int _{\Omega }\frac{B}{p}\big (|D\varvec{v}|^2+\delta ^2\big )^{p/2}\, dx +\int _{\Gamma _b}\frac{\tau }{s}\big (|\varvec{v}|^2+\delta ^2\big )^{s/2}\, ds\nonumber \\&\quad +\mu _0(\nabla \varvec{v},\nabla \varvec{v})-(\rho \varvec{g},\varvec{v}). \end{aligned}$$
(17)
Lemma 2.7
Let \(\mu _0,\delta \in [0,\infty )\). The functional \(J_{\mu _0,\delta }\) is Fréchet differentiable with
$$\begin{aligned} J_{\mu _0,\delta }'(\varvec{v})\varvec{w}=\langle A\varvec{v},\varvec{w}\rangle _{V_2^*,V_2}-(\rho \varvec{g},\varvec{w}). \end{aligned}$$
Proof
For \(\delta >0\), the Gâteaux differentiability of the first and fourth summand are discussed in [4] on \(W^{1,p}_0(\Omega )^N\). Because the boundary conditions do not influence this integral, the Gâteaux differentiability is also clear on \(V_2\). The second summand can be handled identically to the first summand. Also the term \(\varvec{v}\mapsto \mu _0(\nabla \varvec{v},\nabla \varvec{v})\) is Gâteaux differentiable.
For \((\mu _0,\delta )=0\), differentiability is proved in [2]. Adding the summand \(\mu _0(\nabla \varvec{v},\nabla \varvec{v})\) does not change the differentiability result.
Thus, \(J_{\mu _0,\delta }\) is Gâteaux differentiable. Because A and \((\varvec{v},\varvec{w})\mapsto (\rho \varvec{g},\varvec{w})\) are continuous, \(J_{\mu _0,\delta }\) is Fréchet differentiable. \(\square \)

2.4 Existence and uniqueness of weak solutions in the divergence-free space

Differentiability and uniqueness were proven for \(\delta =0=\mu _0\) in [2] by using the strictly convex functionals as in Definition 2.6. For Dirichlet zero boundary conditions existence and uniqueness of solutions were stated without detailed proof via the Browder-Minty Theorem, e.g., in [17]. For completeness, we prove existence and uniqueness of a solution with the Browder-Minty Theorem as our boundary conditions, see equations (5) to (8) are more complicated than the standard Dirichlet boundary conditions and with \(\delta >0\) and \(\mu _0>0\) different to the problem in [2]. Thus, we prove a well-known result for a slightly different formulation.
Before we can state the existence and uniqueness result, we have to introduce the following definitions:
Definition 2.8
(Strict monotonicity, coercivity) Let X be a reflexive Banach space, \(A:X\rightarrow X^*\). The operator A is called strictly monotone, if we have for all \(\varvec{v},\varvec{w}\in X\)
$$\begin{aligned} \langle A\varvec{v}-A\varvec{w},\varvec{v}-\varvec{w}\rangle _{X^*,X}>0. \end{aligned}$$
The operator A is called coercive, if we have
$$\begin{aligned} \lim _{\Vert \varvec{v}\Vert _X\rightarrow \infty }\frac{\langle A\varvec{v},\varvec{v}\rangle _{X^*,X}}{\Vert \varvec{v}\Vert _X}=\infty . \end{aligned}$$
The conditions for existence and uniqueness are formulated in the following theorem.
Theorem 2.9
(Browder-Minty Theorem) Let X be a reflexive separable Banach space and \(A:X\rightarrow X^*\) a strictly monotone, coercive, and continuous operator. Let \(f\in X^*\). Then, there exists a unique solution \(u\in X\) for the equation
$$\begin{aligned} Au=f\quad \text { in }X^*. \end{aligned}$$
Proof
The existence of \(u\in X\) is proved in [18] Theorem 2 in a more general version. Uniqueness follows immediately with the strict monotonicity of A. \(\square \)
We analyze \(S^p\) and \(S^s\) to verify that A is strictly monotone, coercive, and continuous. For that purpose, we need the following result:
Lemma 2.10
Let \(r\in (1,2)\), \(S:\mathbb {R}^{N \times N}\rightarrow \mathbb {R}^{N \times N}\) with
$$\begin{aligned} \sum _{i,j,k,\ell =1}^N\frac{\partial S_{ij}(P)}{\partial P_{kl}}Q_{ij}Q_{k\ell }&\ge c_1(|P|+\delta )^{r-2}|Q|^2,\end{aligned}$$
(18)
$$\begin{aligned} \bigg |\frac{\partial S_{ij}(P)}{\partial P_{k\ell }}\bigg |&\le c_2(|P|+\delta )^{r-2}\quad \text { for all }i,j,k,\ell \in \{1,...,N\} \end{aligned}$$
(19)
for all \(P,Q\in \mathbb {R}^{N \times N}\), \(c_1,c_2\in (0,\infty )\), \(\delta \ge 0\). Then, there exist \(c,C\in \mathbb {R}\) independent of \(\delta \) for all \(P,Q\in \mathbb {R}^{N \times N}\) with
$$\begin{aligned} (S(P)-S(Q)):(P-Q)&\ge c (\delta +|P|+|Q|)^{r-2}|P-Q|^2,\\ |S(P)-S(Q)|&\le C (\delta +|P|+|Q|)^{r-2}|P-Q|. \end{aligned}$$
Proof
See [19, Lemma 6.3]. \(\square \)
We calculate the derivative of \(S^r\), \(r\in (1,2)\) and verify the properties stated above to apply the Browder-Minty Theorem 2.9:
Lemma 2.11
Let \(r\in (1,2)\). The function \(S^r_{kl}\) is continuously differentiable. Furthermore, the inequalities (18) and (19) are fulfilled for \(S^r\).
Proof
We verify the conditions in Lemma 2.10. Let \(P\in \mathbb {R}^{N \times N}\), \(i,j\in \{1,...,N\}\). We calculate
$$\begin{aligned} \frac{\partial }{\partial P_{ij}}\big (|P|^2+\delta ^2\big )^{(r-2)/2}=(r-2)\Bigg (\bigg (\sum _{k,\ell =1}^NP_{k\ell }^2\bigg )+\delta ^2\Bigg )^{(r-4)/2}P_{ij}. \end{aligned}$$
Let \(k,\ell \in \{1,..,N\}\). We infer
$$\begin{aligned} \begin{aligned} \frac{\partial S^r_{k\ell }}{\partial P_{ij}}(P)&=\frac{\partial }{\partial P_{ij}}\Big (\big (|P|^2+\delta ^2\big )^{(r-2)/2}P_{k\ell }\Big ) \\&=(r-2)\big (|P|^2+\delta ^2\big )^{(r-4)/2}P_{ij}P_{k\ell }+\big (|P|^2+\delta ^2\big )^{(r-2)/2}I_{ik}I_{j\ell }. \end{aligned} \end{aligned}$$
(20)
We can verify inequality (19) with \(\tilde{c}_1\in \mathbb {R}\) now:
$$\begin{aligned} \bigg |\frac{\partial S^r_{k\ell }(P)}{\partial P_{ij}}\bigg |&\le N^2\Big ((2-r)\big (|P|^2+\delta ^2\big )^{(r-4)/2}|P|^2+\big (|P|^2+\delta ^2\big )^{(r-2)/2}\Big )\\&= N^2\Big ((2-r)\big (|P|^2+\delta ^2\big )^{(r-2)/2}\frac{|P| \, |P|}{|P|^2+\delta ^2}+\big (|P|^2+\delta ^2\big )^{(r-2)/2}\Big )\\&\le \tilde{c}_1N^2(3-r)(|P|+\delta )^{r-2}. \end{aligned}$$
We verify inequality (18) next. Let \(Q\in \mathbb {R}^{N \times N}\). We conclude
$$\begin{aligned}&\quad \sum _{i,j,k,\ell =1}^N\frac{\partial }{\partial P_{ij}}\big (S^r_{k\ell }(P)\big )Q_{k\ell }Q_{ij}\\&=\big (|P|^2+\delta ^2\big )^{(r-2)/2}\bigg (\sum _{i,j,k,\ell =1}^N(r-2)\frac{P_{ij}P_{k\ell }}{|P|^2+\delta ^2}Q_{k\ell }Q_{ij} +\sum _{i,j,k,\ell =1}^NI_{ik}I_{jl}Q_{k\ell }Q_{ij}\bigg )\\&=\big (|P|^2+\delta ^2\big )^{(r-2)/2}\bigg ((r-2)\frac{1}{|P|^2+\delta ^2}\sum _{k,\ell =1}^NP_{k\ell }Q_{k\ell }\sum _{i,j=1}^NP_{ij}Q_{ij}+\sum _{i,j=1}^NQ_{ij}^2\bigg )\\&=\big (|P|^2+\delta ^2\big )^{(r-2)/2}\bigg ((r-2)\frac{(P:Q)^2}{|P|^2+\delta ^2}+|Q|^2\bigg ). \end{aligned}$$
We conclude with \(r-2\le 0\), \((P:Q)^2\le |P|^2|Q|^2\), and \(\tilde{c}_2\in \mathbb {R}\)
$$\begin{aligned} \big (|P|^2+\delta ^2\big )^{(r-2)/2}\bigg ((r-2)\frac{(P:Q)^2}{|P|^2+\delta ^2}+|Q|^2\bigg )&\ge \big (|P|^2+\delta ^2\big )^{(r-2)/2}(r-1)|Q|^2\\&\ge \tilde{c}_2(r-1)(|P|+\delta )^{r-2}|Q|^2. \end{aligned}$$
We set \(P:=I_{ij}p\) and \(Q:=I_{ij}q\) with \(p,q\in \mathbb {R}^N\) for the vector-valued situation. \(\square \)
We verify the three properties for the Browder-Minty Theorem, see Theorem 2.9 in the three following lemmata. We verify Lipschitz continuity of A instead of continuity:
Lemma 2.12
Let \(|\Gamma _d|>0\), \(\delta >0\), \(\mu _0>0\), and \(p\in (1,2)\). The operator \(A:V_2\rightarrow V_2^*\), see (15) is Lipschitz continuous.
Proof
Let \(\varvec{v},\varvec{w},\varvec{\phi }\in V_2\). We obtain for the second summand of the operator A with Lemma 2.11 and \(C\in \mathbb {R}\)
$$\begin{aligned} \bigg |\int _{\Gamma _b}\tau S^s(\varvec{v}-\varvec{w})\cdot \varvec{\phi }\, ds\bigg |&\le C\int _{\Gamma _b}(\delta +|\varvec{v}|+|\varvec{w}|)^{s-2}\, |\varvec{v}-\varvec{w}|\, |\varvec{\phi }|\, ds\\&\le C\int _{\Gamma _b}\qquad \delta ^{s-2}\qquad \qquad |\varvec{v}-\varvec{w}|\, |\varvec{\phi }|\, ds\\&\le C\delta ^{s-2}\Vert \varvec{v}-\varvec{w}\Vert _{L^2(\Gamma _b)}\Vert \varvec{\phi }\Vert _{L^2(\Gamma _b)}. \end{aligned}$$
We infer with the trace operator, [20, Theorem 1.12], and \(C_1\in \mathbb {R}\)
$$\begin{aligned} \Vert \varvec{v}-\varvec{w}\Vert _{L^2(\Gamma _b)}\Vert \varvec{\phi }\Vert _{L^2(\Gamma _b)}\le C_1 \Vert \varvec{v}-\varvec{w}\Vert _{V_2}\Vert \varvec{\phi }\Vert _{V_2}. \end{aligned}$$
The same arguments are valid for the first summand of the operator A with \(\Omega \) instead of \(\Gamma _b\), B instead of \(\tau \), and \(s=p\). Thus, we obtain Lipschitz continuity with \(C_2\in \mathbb {R}\) and
$$\begin{aligned} \sup _{\varvec{\phi }\in V_2}|\langle A\varvec{v}-A\varvec{w},\varvec{\phi }\rangle _{V_2^*,V_2}|\le C_2 \Vert \varvec{v}-\varvec{w}\Vert _{V_2}\Vert \varvec{\phi }\Vert _{V_2}. \end{aligned}$$
\(\square \)
Lemma 2.13
Let \(|\Gamma _d|>0\), \(\delta >0\), \(\mu _0>0\), and \(p\in (1,2)\). The operator A is coercive.
Proof
We know
$$\begin{aligned} \int _{\Omega }B(|D\varvec{v}|^2+\delta ^2)^{(p-2)/2}|D\varvec{v}|^2\, dx+\int _{\Gamma _b}\tau (|\varvec{v}|^2+\delta ^2)^{(s-2)/2}\varvec{v}\cdot \varvec{v}\, ds \ge 0. \end{aligned}$$
Trivially, we have
$$\begin{aligned} \frac{\mu _0 \Vert \varvec{v}\Vert _{V_2}^2}{\Vert \varvec{v}\Vert _{V_2}}=\mu _0\Vert \varvec{v}\Vert _{V_2}\rightarrow \infty \text { for }\Vert \varvec{v}\Vert _{V_2}\rightarrow \infty . \end{aligned}$$
\(\square \)
Lemma 2.14
Let \(|\Gamma _d|>0\), \(\delta >0\), \(\mu _0>0\), and \(p\in (1,2)\). The operator A is strictly monotone.
Proof
The strict monotonicity of \(S^p\) and \(S^s\), proved in Lemma 2.11, yield monotonicity of A: Let \(\varvec{v},\varvec{w}\in V_2\). We have
$$\begin{aligned}&\langle A\varvec{v}-A\varvec{w},\varvec{v}-\varvec{w}\rangle _{V_2^*,V_2}\\ =&\int _{\Omega }B\big (S^p(D\varvec{v})-S^p(D\varvec{w})\big ):(\nabla \varvec{v}-\nabla \varvec{w})\, dx+\int _{\Gamma _b}\tau \big (S^s(\varvec{v})-S^s(\varvec{w})\big )\cdot (\varvec{v}-\varvec{w})\, ds\\ \ge&\int _{\Omega }Bc(\delta +|D\varvec{v}|+|D\varvec{w}|)^{p-2}|D\varvec{v}-D\varvec{w}|^2\, dx+\int _{\Gamma _b}\tau c (\delta +|\varvec{v}|+|\varvec{w}|)^{p-2}|\varvec{v}-\varvec{w}|^{2}\, ds\ge 0. \end{aligned}$$
The operator A is strict monotone because
$$\begin{aligned} \mu _0 (\varvec{v}-\varvec{w},\varvec{v}-\varvec{w})=\mu _0\Vert \varvec{v}-\varvec{w}\Vert _{V_2}^2. \end{aligned}$$
\(\square \)
Hence, we can prove our existence result:
Theorem 2.15
Let \(|\Gamma _d|>0\), \(\delta >0\), \(\mu _0>0\), and \(p\in (1,2)\). There exists exactly one weak solution of the divergence-free regularized p-Stokes equations, see Definition 2.5.
Proof
(In [4] the case \(\Gamma _d=\partial \Omega \) is analyzed.) Lemma 2.12 yields Lipschitz continuity of the operator A and thus continuity. We verified the coercivity of A in Lemma 2.13. The operator A is also strictly monotone, see Lemma 2.14. We conclude the existence and uniqueness of a solution with the Browder-Minty Theorem, see Theorem 2.9. \(\square \)

3 Differentiability

We calculate the Gâteaux derivative of the operator A to apply Newton’s method. At first, we only consider the first summand of the operator A.
Definition 3.1
(Root problem) Let \(\delta >0\), \(\mu _0>0\), \(B\in L^{\infty }(\Omega )\), and \(\tau \in L^{\infty }(\Gamma _b)\). We define the operator \(G:V_2\rightarrow V_2^*\) for all \(\varvec{\phi } \in V_2\) by
$$\begin{aligned} \langle G(\varvec{v}),\varvec{\phi })\rangle _{V_2^*,V_2}&= \langle A\varvec{v},\varvec{\phi }\rangle _{V_2^*,V_2}-(\rho \varvec{g},\varvec{\phi }) \nonumber \\&\!=\!\int _{\Omega }BS^p(D\varvec{v}):\nabla \varvec{\phi }\, dx\!+\!\int _{\Gamma _b}\tau S^s(\varvec{v})\cdot \varvec{\phi }\, ds\!+\!\mu _0(\nabla \varvec{v},\nabla \varvec{\phi })\!-\!(\rho \varvec{g},\varvec{\phi }) \end{aligned}$$
(21)
The operator G is Gâteaux differentiable:
Theorem 3.2
Let \(\delta >0\), \(\mu _0>0\), \(B\in L^{\infty }(\Omega )\), \(\tau \in L^{\infty }(\Gamma _b)\), and \(\varvec{v},\varvec{w}\in V_2\). The directional derivative has the form
$$\begin{aligned} {\begin{matrix} & \quad \langle G'(\varvec{v})\varvec{w},\varvec{\phi } \rangle _{V_2^*,V_2} \\ & =\int _{\Omega }(p-2)B\big (|D\varvec{v}|^2 +\delta ^2\big )^{(p-4)/2}(D\varvec{v}:D\varvec{w})\, (D\varvec{v}:\nabla \varvec{\phi }) \, dx \\ & \quad +\int _{\Omega }B\big (|D\varvec{v}|^2+\delta ^2\big )^{(p-2)/2}D\varvec{w}:\nabla \varvec{\phi } \, dx \\ & \quad +\int _{\Gamma _b}(s-2)\tau \big (|\varvec{v}|^2+\delta ^2\big )^{(s-4)/2}(\varvec{v}\cdot \varvec{w})\, (\varvec{v}\cdot \varvec{\phi })\, ds \\ & \quad +\int _{\Gamma _b}\tau \big (|\varvec{v}|^2+\delta ^2\big )^{(s-2)/2}\varvec{w}\cdot \varvec{\phi } \, ds +\mu _0\int _{\Omega }\nabla \varvec{w}:\nabla \varvec{\phi } \, dx\text {, }\quad \varvec{\phi } \in V_2. \end{matrix}} \end{aligned}$$
(22)
Furthermore, the operator \(G:V_2\rightarrow V_2^*\) is Gâteaux differentiable.
Proof
First, we consider the first summand on the right-hand side of (21).
The o-notation is the limit to zero in the following calculations. We prove pointwise convergence. For all \(i,j \in \{1,...,N\}\), we calculate the Taylor expansion of \(S^p\) in \(D\varvec{v}\) with the continuous derivative, see (20). This yields almost everywhere
$$\begin{aligned} S^p_{ij}(D\varvec{v}+tD\varvec{w})&\!=\!S^p_{ij}(D\varvec{v})\!+\!\sum _{k,\ell =1}^N(p\!-\!2)\big (|D\varvec{v}|^2+\delta ^2\big )^{(p-4)/2}(D\varvec{v})_{ij}(D\varvec{v})_{k\ell }t(D\varvec{w})_{k\ell } \\&\quad +\sum _{k,\ell =1}^N\big (|D\varvec{v}|^2+\delta ^2\big )^{(p-2)/2}I_{ik}I_{j\ell }t(D\varvec{w})_{k\ell } +o(|tD\varvec{w}|) \\&=S^p_{ij}(D\varvec{v})+t(p-2)\big (|D\varvec{v}|^2+\delta ^2\big )^{(p-4)/2}(D\varvec{v})_{ij}D\varvec{v}:D\varvec{w} \\&\quad +(|D\varvec{v}|^2+\delta ^2)^{(p-2)/2}t(D\varvec{w})_{ij}+o(|tD\varvec{w}|). \end{aligned}$$
This implies
$$\begin{aligned}&\quad \lim _{t \rightarrow 0}\frac{B}{t}\big (S^p_{ij}(D\varvec{v}+tD\varvec{w})-S^p_{ij}(D\varvec{v})\big ) \\&=(p-2)B(|D\varvec{v}|^2+\delta ^2)^{(p-4)/2}(D\varvec{v})_{ij}D\varvec{v}:D\varvec{w}+B(|D\varvec{v}|^2+\delta ^2)^{(p-2)/2}(D\varvec{w})_{ij} \end{aligned}$$
for all \(i,j\in \{1,...,N\}\) almost everywhere. We obtained the pointwise convergence. To apply the dominated convergence theorem, we calculate a majorant. Using the Lipschitz continuity of \(S^p\), see Lemma 2.11, and \(C\in \mathbb {R}\), we conclude
$$\begin{aligned}&\quad \bigg |\frac{B}{t}\Big (S^p(D(\varvec{v}+t\varvec{w}))-S^p(D\varvec{v})\Big ):\nabla \varvec{\phi }\bigg | \nonumber \\&\le C \frac{|B|}{t}(\delta +|D(\varvec{v}+t\varvec{w})|+|D\varvec{v}|)^{p-2}|D(\varvec{v}+t\varvec{w})-D\varvec{v}|\,|\nabla \varvec{\phi }| \nonumber \\&\le C\delta ^{p-2}\Vert B\Vert _{L^{\infty }(\Omega )}|D\varvec{w}|\, |\nabla \varvec{\phi }|. \end{aligned}$$
(23)
The majorant is integrable as
$$\begin{aligned} \int _{\Omega } C\delta ^{p-2}\Vert B\Vert _{L^{\infty }(\Omega )}|D\varvec{w}|\, |\nabla \varvec{\phi }|\, dx \le C\delta ^{p-2}\Vert B\Vert _{L^{\infty }(\Omega )}\Vert \varvec{w}\Vert _{V_2}\Vert \varvec{\phi }\Vert _{V_2}. \end{aligned}$$
The directional derivative for the second summand on the right-hand side of (21) and the boundedness follow in the same ways if we use as the integration area \(\Gamma _b\) instead of \(\Omega \) and \(V,\Phi \) with \(V_{ij}:=I_{ij}v_j\) and \(\Phi _{ij}:=I_{ij}\phi _j\) instead of \(D\varvec{v}\) and \(D\varvec{\phi }\). With this notation, we relate the vector-valued expressions to the matrix-valued expressions. The last summand in (22) follows trivially due to the linearity of \(\varvec{v}\mapsto \mu _0(\nabla \varvec{v},\nabla \varvec{\phi })\), \(\varvec{\phi }\in V_2\).
Thus, \(\varvec{w}\mapsto G'(\varvec{v};\varvec{w})\) is a bounded linear operator. Hence, G is Gâteaux differentiable. \(\square \)
The operator G has only a directional derivative on \(V_2\) not on \(V_p\):
Remark 3.3
Let \(\delta >0\). The second summand of \(G'(\varvec{v};\varvec{w})\) in Theorem 3.2 is not well-defined for all \(\varvec{w},\varvec{\phi }\in V_p\): Set \(B\equiv 1\), \(\varvec{v}\equiv 0\). Then we have for all \(\varvec{w},\varvec{\phi }\in V_2\)
$$\begin{aligned} \int _{\Omega }B\big (|D\varvec{v}|^2+\delta ^2\big )^{(p-2)/2}D\varvec{w}:\nabla \varvec{\phi } \, dx =\int _{\Omega }\delta ^{p-2}D\varvec{w}:\nabla \varvec{\phi }\, dx. \end{aligned}$$
Thus, the integral is not defined for suitable \(\varvec{w},\varvec{\phi }\in V_p\).

4 Infinite-dimensional Newton’s method

In this section, we state Newton’s method in infinite dimensions and prove that we can calculate the Newton iterations. To our knowledge, this result is new as the Gâteaux derivative exists only in all directions for \(\mu _0>0\) and the combination of Newton’s method and \(\mu _0>0\) was not considered before. Newton’s method is:
Choose \(\varvec{v_0}\in V_2\) sufficiently close to the solution \(\varvec{\overline{v}}\in V_2\) of \(G(\varvec{\overline{v}})=0\). For \(k=0,1,2,...:\) Obtain \(\varvec{w_k}\) by solving
$$\begin{aligned} G'(\varvec{v_k})\varvec{w_k}=-G(\varvec{v_k}), \end{aligned}$$
(24)
and set \(\varvec{v_{k+1}}:=\varvec{v_k}+\varvec{w_k}\).
The problem to calculate a Newton step, see (24), is linear because we handle the linear problem \((\varvec{w},\varvec{\phi })\mapsto \langle G'(\varvec{v})\varvec{w},\varvec{\phi }\rangle _{V_2^*,V_2}\) for all \(\varvec{w},\varvec{\phi } \in V_2\). Hence, we can apply Lax-Milgram’s Lemma.
Lemma 4.1
Let \(\mu _0>0\), \(\delta >0\), and \(\varvec{v}\in V_2\). There exists exactly one solution \(\varvec{w}=\varvec{w}(\varvec{v})\in V_2\) such that (24) is fulfilled. Moreover, we have
$$\begin{aligned} \Vert G'(\varvec{v})^{-1}\Vert _{\mathcal {L}(V_2,V_2^*)}\le 1/\mu _0. \end{aligned}$$
(25)
Proof
Let \(\varvec{v}\in V_2\). We show the continuity of \((\varvec{w},\varvec{\phi })\mapsto \langle G'(\varvec{v})\varvec{w},\varvec{\phi }\rangle _{V_2^*,V_2}\) for all \(\varvec{w},\varvec{\phi }\in V_2\). Since the arguments in the calculation of relation (23) are also valid for the boundary term, we find \(\tilde{C}\in \mathbb {R}\) with the trace operator, see [20, Theorem 1.12], such that
$$\begin{aligned} |\langle G'(\varvec{v})\varvec{w},\varvec{\phi }\rangle _{V_2^*,V_2}| \le \tilde{C}(\delta ^{s-2}\Vert \tau \Vert _{L^{\infty }(\Gamma _b)}+\delta ^{p-2}\Vert B\Vert _{L^{\infty }(\Omega )}+\mu _0) \Vert \varvec{w}\Vert _{V_2} \Vert \varvec{\phi }\Vert _{V_2}. \end{aligned}$$
We show the coercivity next. Let \(\varvec{w}\in V_2\). The last summand of the directional derivative of \(G'\), see (22), is just
$$\begin{aligned} \mu _0(\nabla \varvec{w},\nabla \varvec{w})= \mu _0\Vert \varvec{w}\Vert _{V_2}. \end{aligned}$$
We use \(D\varvec{w}:\nabla \varvec{v}=D\varvec{w}:D\varvec{v}\) for arbitrary \(\varvec{v},\varvec{w}\in V_2\), see (10), to conclude
$$\begin{aligned}&\quad \int _{\Omega }B\big (|D\varvec{v}|^2+\delta ^2\big )^{(p-2)/2}D\varvec{w}:\nabla \varvec{w}\, dx \\&\quad +\int _{\Omega }(p-2)B\big (|D\varvec{v}|^2+\delta ^2\big )^{(p-4)/2}(D\varvec{v}:D\varvec{w})\, (D\varvec{v}:\nabla \varvec{w)}\, dx \\&= \int _{\Omega }B\big (|D\varvec{v}|^2+\delta ^2\big )^{(p-2)/2}\bigg (|D\varvec{w}|^2+(p-2)\frac{(D\varvec{v}:D\varvec{w})^2}{|D\varvec{v}|^2+\delta ^2}\bigg )\, dx \\&\ge \int _{\Omega }B\big (|D\varvec{v}|^2+\delta ^2\big )^{(p-2)/2}\bigg (|D\varvec{w}|^2+(p-2)\frac{|D\varvec{v}|^2\, |D\varvec{w}|^2}{|D\varvec{v}|^2}\bigg )\, dx \\&= \int _{\Omega }B\big (|D\varvec{v}|^2+\delta ^2\big )^{(p-2)/2}(p-1)|D\varvec{w}|^2\, dx\ge 0. \end{aligned}$$
The same arguments for the boundary term yield
$$\begin{aligned} \int _{\Gamma _b}\tau \big (|\varvec{v}|^2+\delta ^2\big )^{(s-2)/2}|\varvec{w}|^2+(s-2)\tau \big (|\varvec{v}|^2+\delta ^2\big )^{(s-4)/2}(\varvec{v}\cdot \varvec{w})\, (\varvec{v}\cdot \varvec{w}) \, ds \ge 0. \end{aligned}$$
Hence, the conditions for applying Lax-Milgram’s Lemma are validated, and a unique solution for each Newton step, see (24), exists. The coercivity constant is \(\mu _0\). This implies the uniform bound
$$\begin{aligned} \Vert (G'(\varvec{v}))^{-1}\Vert _{\mathcal {L}(V_2,V_2^*)}\le 1/\mu _0. \end{aligned}$$
\(\square \)

5 Globalized Newton method

In this section, we prove global convergence of Newton’s method with a step size control. To our knowledge, an analysis of Newton’s method with a step size control was only performed in finite dimensions; for details of this analysis, see, e.g., [4]. Note that our minimization functional \(J_{\mu _0,\delta }\) is not two times continuously differentiable as the second derivative is only a Gâteaux derivative. From the applied perspective, the usage of approximations of exact step sizes, see Definition 5.3, could be interesting as they perform well in our numerical examples, see chapter 6.
To prove the convergence, we use the convex functional \(J_{\mu _0,\delta }\) introduced in Section 2.3 for a step size control. We verify the equivalence of minimizing the convex functional and finding a weak solution of the p-Stokes equations:
Lemma 5.1
Let \(\mu _0,\delta \in [0,\infty )\). Then, we have
$$\begin{aligned} J_{\mu _0,\delta }'(\varvec{v})=0\Leftrightarrow J_{\mu _0,\delta }(\varvec{v})=\min _{\varvec{u}\in V_r}J_{\mu _0,\delta }(\varvec{u}). \end{aligned}$$
with \(r=2\) for \(\mu _0>0\) and \(r=p\) for \(\mu _0=0\).
Proof
The strict convexity for \((\mu _0,\delta )=(0,0)\) was proved in [2] on \(V_p\). Thus, the strict convexity follows for \(\mu _0>0\) on the smaller space \(V_2\). Thus, the case \(\delta >0\) remains. We verified in Lemma 4.1 positive definitness of \(J''_{\mu _0,\delta }=G'\) for \((\mu _0,\delta )\in (0,\infty )^2\). This implies strict convexity. The case \(\mu _0=0\) and \(\delta >0\) is considered in [4].
Because the necessary first-order optimality condition is sufficient for strict convex functions, the claim follows. \(\square \)

5.1 Step size controls

In this subsection, we remind of step size controls. Step size controls guarantee convergence under certain conditions by setting \(\varvec{v_{k+1}}:=\varvec{v_k}+\alpha _k \varvec{w_k}\) with \(\alpha _k\in (0,\infty )\) instead of \(\varvec{v_{k+1}}:=\varvec{v_k}+\varvec{w_k}\), see the begin of chapter 4. The choice of \(\alpha _k\) should be such that the new functional value \(J_{\mu _0,\delta }(\varvec{v_k}+\alpha _k\varvec{w_k})\) reduces compared to the old functional value \(J_{\mu _0,\delta }(\varvec{v_k})\) and a small reduction already implies convergence, see Lemma 5.4 condition c) for the mathematical details. A commonly used step size control that guarantees these properties under some conditions on \(J_{\mu _0,\delta }\) is the Armijo step size, see for example [20, section 2.2.1.1]:
Definition 5.2
(Armijo step sizes) Let \(J_{\mu _0,\delta }:V_2\rightarrow \mathbb {R}\) be continuously differentiable, \(\gamma \in (0,1)\), \(\varvec{v_k}\in V_2\) the point, and \(\varvec{w_k}\in V_2\) the direction. Determine the biggest \(\alpha _k\in \{1,1/2,1/2^2,...\}\) such that
$$\begin{aligned} J_{\mu _0,\delta }(\varvec{v_k}+\alpha _k\varvec{w_k})-J_{\mu _0,\delta }(\varvec{v_k})\le \alpha _k \gamma J'_{\mu _0,\delta }(\varvec{v_k})\varvec{w_k}. \end{aligned}$$
(26)
For convex functions, we can try to find \(\alpha _k\) that minimizes \(J_{\mu _0,\delta }(\varvec{v_k}+\alpha _k\varvec{w_k})\):
Definition 5.3
(Exact step sizes) Let \(J_{\mu _0,\delta }:V_2\rightarrow \mathbb {R}\) be continuously differentiable, \(\varvec{v_k}\in V_2\) the point, and \(\varvec{w_k}\in V_2\) the direction. Determine \(\alpha _k\) with
$$\begin{aligned} J_{\mu _0,\delta }(\varvec{v_k}+\alpha _k \varvec{w_k})=\min _{\alpha \in [0,\infty )}J_{\mu _0,\delta }(\varvec{v_k}+\alpha \varvec{w_k}). \end{aligned}$$
In our case, we can only approximately solve this problem, which we discuss in the numerical experiment.

5.2 Global convergence

In this subsection, we verify global convergence. We obtain global convergence by employing a step size control. The step sizes are calculated by reducing the functional \(J_{\mu _0,\delta }\), see Definition 2.6, in each iteration. We verify the conditions for the following convergence result:
Lemma 5.4
Let \(J_{\mu _0,\delta }:V_2\rightarrow \mathbb {R}\) be continuously Fréchet differentiable, bounded from below, \(\varvec{v_0}\in V_2\), \(\varvec{v_{k+1}}:=\varvec{v_k}+\alpha _k\varvec{w_k}\) with the direction \(\varvec{w_k}\in V_2\), and the step sizes \(\alpha _k \in (0,\infty )\). We additionally assume that we have
a)
descent directions: \(J'_{\mu _0,\delta }(\varvec{v_k})\varvec{w_k}<0\),
 
b)
the angle condition: \(\eta \Vert J'_{\mu _0,\delta }(\varvec{v_k})\Vert _{V_2^*}\Vert \varvec{w_k}\Vert _{V_2}\le - J_{\mu _0,\delta }'(\varvec{v_k})\varvec{w_k}\quad \) independently of k for fixed \(\eta \in (0,1)\),
 
c)
large enough step sizes: \( \left\{ \begin{array}{c} J_{\mu _0,\delta }(\varvec{v_k}+\alpha _k\varvec{w_k})<J_{\mu _0,\delta }(\varvec{v_k})\quad \text {for all }k\\ \text {and }J_{\mu _0,\delta }(\varvec{v_k}+\alpha _k\varvec{w_k})-J_{\mu _0,\delta }(\varvec{v_k})\rightarrow 0\quad \text {for }k \rightarrow \infty \end{array}\right\} \text {imply } \frac{J_{\mu _0,\delta }'(\varvec{v_k})\varvec{w_k}}{\Vert \varvec{w_k}\Vert _{V_2}}\rightarrow 0 \text { for }k\rightarrow \infty .\)
 
Then, we have
$$\begin{aligned} J_{\mu _0,\delta }'(\varvec{v_k})\rightarrow 0\quad \text {for }k\rightarrow \infty . \end{aligned}$$
Proof
See [20]. \(\square \)
The first two statements are easy to verify:
Lemma 5.5
Let \(\mu _0>0\), \(\delta >0\). Newton steps fulfill the angle condition for the functional \(J_{\mu _0,\delta }\), see Definition 2.6, and are descent directions.
Proof
We calculated in Lemma 4.1 the coercivity constant \(\mu _0\) and the continuity constant C independent of k such that
$$\begin{aligned} \mu _0\le \Vert J_{\mu _0,\delta }''(\varvec{v_k})\Vert _{\mathcal {L}(V_2,V_2^*)}\le C. \end{aligned}$$
(27)
In [21, Theorem 1.2], the proof of the angle condition is done with \(\eta \ge \mu _0/C\) for the finite-dimensional case. The proof for the infinite-dimensional case is identical. The angle condition implies that the Newton steps are descent directions.\(\square \)
To verify large enough step sizes, we need the following lemma:
Lemma 5.6
Let \(J_{\mu _0,\delta }'\) be uniformly continuous. Let the step sizes \((\alpha _k)_k\) be Armijo step sizes and let the direction \(\varvec{w_k}\) fulfill
$$\begin{aligned} \Vert \varvec{w_k}\Vert _{V_2}\ge \varphi \bigg (\frac{-J_{\mu _0,\delta }'(\varvec{v_k})\varvec{w_k}}{\Vert \varvec{w_k}\Vert _{V_2}}\bigg ) \end{aligned}$$
with some \(\varphi :[0,\infty )\rightarrow [0,\infty )\) monotonically increasing and satisfying \(\varphi (t)>0\) for all \(t>0\). Then the step sizes \((\alpha _k)_k\) are admissible.
Proof
See [20] Lemma 2.3. \(\square \)
Lemma 5.7
Let \(\mu _0>0\), \(\delta >0\), and \(|\Gamma _d|>0\). For Newton’s method, the Armijo step sizes, see Definition 5.2, are admissible.
Proof
We want to apply Lemma 5.6. We verify the conditions. The function \(J'_{\mu _0,\delta }\) is Lipschitz continuous, because the operator A is Lipschitz continuous, see Lemma 2.12, and \((\varvec{v},\varvec{w})\mapsto \mu _0(\varvec{v},\varvec{w})\) is trivially Lipschitz continuous. Therefore, \(J_{\mu _0,\delta }'\) is uniformly continuous. We already proved that the directions \(\varvec{w_k}\) are descent directions. It remains to show that the descent directions are not too short. We know with the Newton steps and the right inequality in relation (27)
$$\begin{aligned}&\quad C\Vert \varvec{w_k}\Vert _{V_2}^2\ge \langle J_{\mu _0,\delta }''(\varvec{v_k})\varvec{w_k},\varvec{w_k}\rangle _{V_2^*,V_2}=-\langle J_{\mu _0,\delta }'(\varvec{v_k}),\varvec{w_k}\rangle _{V_2^*,V_2}\\&\Leftrightarrow \Vert \varvec{w_k}\Vert _{V_2}\ge \frac{1}{C}\frac{-\langle J_{\mu _0,\delta }'(\varvec{v_k}),\varvec{w_k}\rangle _{V_2^*,V_2}}{\Vert \varvec{w_k}\Vert _{V_2}}. \end{aligned}$$
Therefore, the step size is bounded from below by the monotonically increasing function \(\varphi :[0,\infty )\rightarrow [0,\infty )\), \(\varphi (t)=t/C\) with \(\varphi (t)>0\) for \(t>0\). Hence, the step sizes are large enough, and we can apply Lemma 5.6. \(\square \)
Corollary 5.8
Let \(\mu _0>0\), \(\delta >0\), and \(|\Gamma _d|>0\). Newton’s method with Armijo step sizes is globally convergent.
Proof
We already explained why the step sizes are admissible, see Lemma 5.7. Moreover, the directions \(\varvec{w_k}\) are descent directions. Furthermore, we validated the angle condition. Trivially, the functional \(J_{\mu _0,\delta }\) is bounded from below. Thus, all conditions for Lemma 5.4 are fulfilled. Hence, we conclude \(G(\varvec{v_k})=J_{\mu _0,\delta }'(\varvec{v_k})\rightarrow 0\in V_2^*\).
Let \(\varvec{v^*}\in V_2\) be the solution of \(G(\varvec{v^*})=0\). For \(\varvec{v_k}=\varvec{v^*}\) the claim is clear. For \(\varvec{v_k}\ne \varvec{v^*}\), the strict monotonicity of A, see Lemma 2.14, implies
$$\begin{aligned} \mu _0 \Vert \varvec{v_k}-\varvec{v^*}\Vert _{V_2}^2&\le \langle A(\varvec{v_k})-A(\varvec{v}^*),\varvec{v_k}-\varvec{v^*}\rangle _{V_2^*,V_2} \\&= \langle G(\varvec{v_k})-G(\varvec{v^*}),\varvec{v_k}-\varvec{v^*}\rangle _{V_2^*,V_2} \\&\le \Vert G(\varvec{v_k})-G(\varvec{v^*})\Vert _{\mathcal {L}(V_2,V_2^*)}\Vert \varvec{v_k}-\varvec{v^*}\Vert _{V_2} \\ \Leftrightarrow \mu _0\Vert \varvec{v_k}-\varvec{v^*}\Vert _{V_2}&\le \Vert G(\varvec{v_k})-G(\varvec{v^*})\Vert _{\mathcal {L}(V_2,V_2^*)}. \end{aligned}$$
Due to \(G(\varvec{v_k})=J'_{\mu _0,\delta }(\varvec{v_k})\rightarrow 0\) for \(k\rightarrow \infty \) and \(G(\varvec{v^*})=0\) follows \(\varvec{v_k}\rightarrow \varvec{v^*}\in V_2\). \(\square \)

5.3 Convergence to the non regularized problem

In this subsection, we argue that the solution \(\varvec{v}=\varvec{v_{\mu _0,\delta }}\in V_2\) converges to \(\varvec{v_{0,0}}\in V_2\). We only have to assume \(\varvec{v_{0,0}}\in V_2\). From [2], we only know \(\varvec{v_{0,0}}\in V_p\).
Theorem 5.9
(Convergence for smooth solutions) Let \(|\Gamma _d|>0\) and \(\varvec{v_{\mu _0,\delta }}\) be the solution of \(G_{\mu _0,\delta }(\varvec{v})=0\) with the variables \(\mu _0,\delta \in (0,\infty )\) or \((\mu _0,\delta )=(0,0)\) as in the definition of the operator G. Assume \(\varvec{v_{0,0}}\in V_2\). Then there exists \(\tilde{c}\in \mathbb {R}\) with
$$\begin{aligned} \Vert \varvec{v_{0,0}}-\varvec{v_{\mu _0,\delta }}\Vert _{V_2}^2\le \tilde{c}(|\Omega |\delta ^p+|\Gamma _b|\delta ^s+\mu _0). \end{aligned}$$
Proof
We follow the idea in [4, Theorem 4.1]. We set \(\varvec{\tilde{v}}:=\varvec{v_{0,0}}-\varvec{v_{\mu _0,\delta }}\) to shorten the notation. We use in the upcoming calculation the monotonicity of \(S^p\) and \(S^s\), \(J_{\mu _0,\delta }'(\varvec{v_{\mu _0,\delta }})=0\), and the main theorem of calculus:
$$\begin{aligned}&\quad \frac{1}{2}\Vert \varvec{\tilde{v}}\Vert _{V_2}^2 \\&= \int _0^1\int _{\Omega }\frac{1}{r}|r\nabla \varvec{\tilde{v}}|^2\, dx\, dr \\&\le \int _0^1\int _{\Omega }\frac{1}{r}\big (S^p(D\varvec{v_{\mu _0,\delta }}+rD\varvec{\tilde{v}})-S^p(D\varvec{v_{\mu _0,\delta }})\big ) :(D\varvec{v_{\mu _0,\delta }}+rD\varvec{\tilde{v}}-D\varvec{v_{\mu _0,\delta }})\, dx\, dr \\&\quad +\int _0^1\int _{\Gamma _b}\frac{1}{r}\big (S^s(\varvec{v_{\mu _0,\delta }}+r\varvec{\tilde{v}})-S^s(\varvec{v_{\mu _0,\delta }})\big )\cdot (\varvec{v_{\mu _0,\delta }}+r\varvec{\tilde{v}}-\varvec{v_{\mu _0,\delta }})\, ds\, dr \\&\quad +\int _0^1\int _{\Omega }\frac{1}{r}|r\nabla \varvec{\tilde{v}}|^2\, dx\, dr \\&=\int _0^1\frac{1}{r}\big (J'_{\mu _0,\delta }(\varvec{v_{\mu _0,\delta }}+r\varvec{\tilde{v}})-J_{\mu _0,\delta }'(\varvec{v_{\mu _0,\delta }})\big )(\varvec{v_{\mu _0,\delta }}+r\varvec{\tilde{v}}-\varvec{v_{\mu _0,\delta }})\, dr \\&=\int _0^1J'_{\mu _0,\delta }(\varvec{v_{\mu _0,\delta }}+r\varvec{\tilde{v}}) \varvec{\tilde{v}}\, dr=J_{\mu _0,\delta }(\varvec{v_{0,0}})-J_{\mu _0,\delta }(\varvec{v_{\mu _0,\delta }}). \end{aligned}$$
In the last step, we inserted \(\varvec{\tilde{v}}\). We use
$$\begin{aligned} (|D\varvec{v}|^2+\delta ^2)^{r/2}=\Vert (D\varvec{v},\delta )\Vert _2^r\le \Vert (D\varvec{v},\delta )\Vert _r^r=|D\varvec{v}|^r+\delta ^r\quad \text { for }r\in \{s,p\} \end{aligned}$$
to bound the functional \(J_{\mu _0,\delta }\) by \(J_{\mu _0,0}\) for all \(\varvec{v}\in V_2\) with
$$\begin{aligned} J_{\mu _0,\delta }(\varvec{v})&=\int _{\Omega }\frac{1}{p}(|D\varvec{v}|^2+\delta ^2)^{p/2}\, dx+\int _{\Gamma _b}\frac{1}{s}(|\varvec{v}|^2+\delta ^2)^{s/2}\, ds+\mu _0 \Vert \varvec{v}\Vert _{V_2}^2 \\&\le \frac{1}{p}\int _{\Omega }|D\varvec{v}|^p+\delta ^p\, dx +\frac{1}{s}\int _{\Gamma _b}|\varvec{v}|^s+\delta ^s\, ds+\mu _0 \Vert \varvec{v}\Vert _{V_2}^2 \\&= J_{0,0}(\varvec{v})+|\Omega |\delta ^p+|\Gamma _b|\delta ^s+\mu _0\Vert \varvec{v}\Vert _{V_2}^2. \end{aligned}$$
Hence, we obtain with the minimizer \(\varvec{v_{0,0}}\) of \(J_{0,0}\) and the definitions of \(J_{0,0}\) and \(J_{\mu _0,\delta }\)
$$\begin{aligned}&\quad J_{\mu _0,\delta }(\varvec{v_{0,0}})-J_{\mu _0,\delta }(\varvec{v_{\mu _0,\delta }}) \\&\le J_{0,0}(\varvec{v_{0,0}})+|\Omega |\delta ^p+|\Gamma _b|\delta ^s+\mu _0\Vert \varvec{v_{0,0}}\Vert _{V_2}^2-J_{\mu _0,\delta }(\varvec{v_{\mu _0,\delta }}) \\&\le J_{0,0}(\varvec{v_{\mu _0,\delta }})+|\Omega |\delta ^p+|\Gamma _b|\delta ^s+\mu _0 \Vert \varvec{v_{0,0}}\Vert _{V_2}^2-J_{\mu _0,\delta }(\varvec{v_{\mu _0,\delta }}) \\&\!=\!\frac{1}{p}\int _{\Omega }|D\varvec{v_{\mu _0,\delta }}|^p\!-\!(\delta ^2+|D\varvec{v_{\mu _0,\delta }}|^2)^{p/2}\, dx\!+\! \frac{1}{s}\int _{\Gamma _b}|\varvec{v_{\mu _0,\delta }}|^s-(\delta ^2+|\varvec{v_{\mu _0,\delta }}|^2)^{s/2}\, ds \\&\quad +|\Omega |\delta ^p+|\Gamma _b|\delta ^s+\mu _0\big (\Vert \varvec{v_{0,0}}\Vert _{V_2}^2-\Vert \varvec{v_{\mu _0,\delta }}\Vert _{V_2}^2\big ) \\&\le |\Omega |\delta ^p+|\Gamma _b|\delta ^s+\mu _0\Vert \varvec{v_{0,0}}\Vert _{V_2}^2. \end{aligned}$$
Thereby, we obtain with \(\tilde{c}\in \mathbb {R}\)
$$\begin{aligned} \Vert \varvec{v_{0,0}}-\varvec{v_{\mu _0,\delta }}\Vert _{V_2}^2\le \tilde{c}(|\Omega |\delta ^p+|\Gamma _b|\delta ^s+\mu _0). \end{aligned}$$
\(\square \)

6 Numerical experiment

In this section, we describe two numerical experiments: ISMIP-HOM B formulated in [22] and a sliding block. We test these experiments with Newton’s method with Armijo step sizes and compare them with approximately exact step sizes that we describe in the next subsection. We also use the approximately exact step sizes to modify the Picard iteration. We implemented the experiments in FEniCS, [23], version 2019.1.0. FEniCS is a tool that solves partial differential equations with finite elements. We use the Taylor-Hood element \(P_2-P_1\) for the velocity \(\varvec{v}\) and the pressure \(\pi \). In all experiments, we calculate the initial guess by replacing \(\big (|D\varvec{v}|^2+\delta ^2\big )^{(p-2)/2}\) with \(10^6\) and solving the resulting Stokes problem.
Let \(\varvec{v}\in V_2\). Then \(G(\varvec{v})\in V_2^*\) with the norm
$$\begin{aligned} \Vert G(\varvec{v})\Vert _{V_2^*}=\sup _{\varvec{\phi }\in V_2, \Vert \varvec{\phi }\Vert _{V_2}=1}\langle G(\varvec{v}),\varvec{\phi }\rangle _{V_2^*,V_2}. \end{aligned}$$
To evaluate this norm, we use the Riesz isomorphism:
Definition 6.1
(Norm of the Riesz isomorphism) Let \(|\Gamma _d|>0\), \(\mu _0>0\), \(\delta >0\), and \(\varvec{v}\in V_2\). Let \(\varvec{\tilde{v}}\in V_2\) be the solution of
$$\begin{aligned} \int _{\Omega }\nabla \varvec{\tilde{v}}:\nabla \varvec{\phi }\, dx = \langle G(\varvec{v}),\varvec{\phi }\rangle _{V_2^*,V_2}\quad \text {for all }\varvec{\phi }\in V_2. \end{aligned}$$
Then the norm of the Riesz isomorphism is \(ries\in [0,\infty )\) is
$$\begin{aligned} ries^2:=\int _{\Omega }|\nabla \varvec{\tilde{v}}|^2\, dx +\int _{\Gamma _b}|\varvec{\tilde{v}}|^2\, ds \end{aligned}$$
with \(\varvec{\tilde{v}}\cong G(\varvec{v})\in V_2^*\).
If the norm of the Riesz isomorphism is small for \(\varvec{v}\in V_2\), it follows \(G(\varvec{v})\approx 0\).

6.1 Numerical solvers and computational effort

The Picard iteration was suggested for modeling glaciers in [24] and is used in ice models like ISSM, see [25]. The Picard iteration is: For given \(\varvec{v_k}\in V_2\) find \(\varvec{v_{k+1}}\in V_2\) with
$$\begin{aligned} (B(|D\varvec{v_k}|^2+\delta ^2)^{(p-2)/2}D\varvec{v_{k+1}},\nabla \varvec{\phi })&+(\tau (|\varvec{v_k}|^2+\delta ^2)^{(s-2)/2}\varvec{v_{k+1}},\varvec{\phi }) \\&+\mu _0(\nabla \varvec{v_{k+1}},\nabla \varvec{\phi })=(\rho \varvec{g},\varvec{\phi }) \end{aligned}$$
for all \(\varvec{\phi } \in V_2\). This algorithm is said to be often globally convergent in practice but slow, [10]. It is, for example, used for the Navier-Stokes equations with proved convergence theory, [16]. We will compare the following algorithms:
  • The Picard iteration.
  • The Picard iteration with approximations of exact step sizes, see Definition 5.3, with \(\varvec{w_k}:=\varvec{v_{k+1}}-\varvec{v_k}\).
  • Newton’s method with approximations of exact step sizes, see Definition 5.3.
  • Newton’s method with Armijo step sizes, see Definition 5.2.
We can calculate the exact step size arbitrarily precise because we have a convex functional. Let \(0\le a<b<\infty \). For the actual velocity \(\varvec{v_k}\) and the direction \(\varvec{w_k}\), we can calculate
$$\begin{aligned} \min _{t \in [a,b]}J_{help}(t):=\min _{t \in [a,b]}J_{\mu _0,\delta }(\varvec{v_k}+t\varvec{w_k}). \end{aligned}$$
We use a simple bisection and set \(b:=(a+b)/2\) for \(J_{help}'((a+b)/2)\ge 0\) and \(a:=(a+b)/2\) for \(J_{help}'((a+b)/2)<0\) until we obtain the wanted accuracy. Finally, we set \(t:=(a+b)/2\). The chain rule yields for \(t\in (a,b)\)
$$\begin{aligned} J_{help}'(t)=\langle G(\varvec{v_k}+t\varvec{w_k}),\varvec{w_k}\rangle _{V_2^*,V_2}. \end{aligned}$$
(28)
Furthermore, we can do these calculations with mixed elements:
Remark 6.2
The step-size control is identical with mixed elements. Only the calculation of the direction changes.
Proof
We calculate the initial guess \((\varvec{v_0},\pi _0)\in (W_2,L^2_0(\Omega ))\) by replacing \(\big (|D\varvec{v}|^2+\delta ^2\big )^{(p-2)/2}\) with \(10^6\) and solving the resulting Stokes problem. This initial guess is divergence-free. Then, we calculate a divergence-free direction \(\varvec{w_0}\) for the velocity and a direction \(\psi _0\) for the pressure. Hence, we have for the convex functional
$$\begin{aligned} J_{\mu _0,\delta }'(\varvec{v_0})\varvec{w_0}=\langle G(\varvec{v_0}),\varvec{w_0}\rangle _{V_2^*,V_2} =\langle G(\varvec{v_0}),\varvec{w_0}\rangle _{V_2^*,V_2}-(\pi _0,\textrm{div}\varvec{w_0})-(\textrm{div}\varvec{v_0},\psi _0). \end{aligned}$$
Additionally, our iteratives \(\varvec{v_k}\) are divergence-free as a linear combination of the divergence-free \(\varvec{v_{k-1}}\) and \(\varvec{w_{k-1}}\).
Thus, the step size control is identical with mixed elements. \(\square \)
Now, we consider the computational effort. The computation consists of three parts: Assembling the matrices, solving the linear system of equations, and calculating the step size.
In [26], multigrid methods are used to solve the p-Stokes equations, even on real-world examples like the Antarctic ice sheet. In [27], the computational effort of multigrid method is discussed. They measured that evaluating the residual takes less computation time than, e.g., assembling the Jacobi matrix or necessary matrix-vector multiplications. For their results, they used a simplified version of the p-Stokes equations. As calculating the residual is not the computationally expensive part also calculating the step size control is computationally affordable compared to the other parts.

6.2 Computational domain

A unit square is too simple to represent real-world glaciers. Instead, in the ISMIP-HOM experiments, see [22], a sinusoidal bedrock, see Fig. 1, is suggested, and Dirichlet boundary conditions are imposed at the bedrock. We set \(\alpha :=0.5\) \(^{\circ }\), \(L:=5000\) m, and define the upper and lower boundary of the domain by \(z_s:[0,L]\rightarrow \mathbb {R}\), \(z_b:[0,L]\rightarrow \mathbb {R}\),
$$\begin{aligned} z_s(x)=-\tan (\alpha )x\text {, }\quad \text {and } z_b(x)=z_s(x)-1000+500\sin (\omega x) \end{aligned}$$
with \(\omega =2\pi /L\). The experiment needs periodic boundary conditions on the left and the right side of the domain and \(\sigma \cdot \varvec{n}=0\) at the surface.

6.3 Parameters

In this subsection, we discuss setting constants and forcing boundary conditions. We set the constants for the experiment corresponding to the ISMIP-HOM experiments, see [22]: The ice parameter \(B:=0.5\cdot (10^{-16})^{-1/3}\) Pa\(^{-3}\)a\(^{-1}\), the density \(\rho :=910\) kg m\(^{-3}\), the gravitational acceleration \(\textbf{g}:=(0,-9.81)\) m s\(^{-2}\), and the seconds per year \(31\, 556\, 926\). The nonlinear viscosity is \((0.5|D\varvec{v}|^2+\delta ^2)^{(p-2)/2}\) with \(p:=4/3\). The factor 0.5 within the nonlinear term is given by [22]. However, we could modify B and \(\delta \) to formulate the equations as in our convergence analysis before.
Periodic boundary conditions have some difficulties in implementation for unstructured grids. Moreover, they are not necessary for real-world applications. Thus, we extend our domain by three copies to the left and the right. We apply Dirichlet boundary conditions at these boundaries. This approach is suggested in the Supplement of [22]. The resulting domain is shown in Fig. 1.
Fig. 1
Considered domain in our experiment
Full size image
We rotate the gravity to obtain a horizontal upper surface. Formally, we should rotate the left and right boundaries, too. However, this only changes the position in x-direction by a maximum of \(1500 m \cdot \sin (0.5\) \(^{\circ })\)\(\approx 13 m \). This is neglectable compared to the horizontal extent of \(35\, 000 m \). Thus, we simplify the domain with vertical left and right boundaries and a horizontal surface boundary. Moreover, this approach is more flexible because we can simply change the angle \(\alpha \) without changing the domain to generate different experiments. Furthermore, changes between using periodic boundary conditions and the variant with copies of the glacier are easier.
The value \(\delta ^2\) should be small compared to typical values of \(0.5|D\varvec{v}|^2\). The range of \(|D\varvec{v}|\) is typically between \(10^{-7}\) /s and \(10^{-11}\) /s. The calculations are done in years. Hence, we obtain as a necessary condition
$$\begin{aligned} \delta ^2 \le 0.5(3.16\cdot 10^{-4}/a )^2\cdot \textrm{eps} \end{aligned}$$
with the machine precision \(\textrm{eps}:= 10^{-16}\). By rounding down to a factor of 10, we obtain \(\delta :=10^{-12}/a \). We should choose \(\mu _0\) such that
$$\begin{aligned} \mu _0 \le (0.5|D\varvec{v}|^2+\delta ^2)^{(p-2)/2}\cdot \textrm{eps} \end{aligned}$$
is fulfilled. We obtain an upper bound by inserting the maximum typical value of \(|D\varvec{v}|\) for \(|D\varvec{v}|\) and \(\delta \). We conclude
$$\begin{aligned} \mu _0 \le (2\cdot (10^{-7}\cdot 31\, 556\, 926 /a )^2)^{(4/3-2)/2}\cdot 10^{-16}\approx 3.69\cdot 10^{-17}a ^{2/3}. \end{aligned}$$
Consequently, we choose \(\mu _0:=10^{-17}\) \(kg a/ (m s ^2)\). The unit for \(\mu _0\) follows from \([\mu _0 |\nabla \varvec{v}|^2]=[-\rho \varvec{g}\cdot \varvec{v}]\).

6.4 Results and interpretation

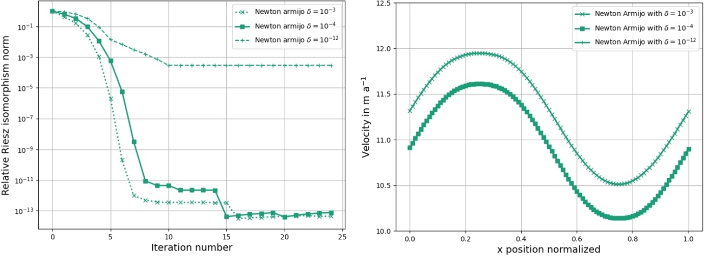
The ISMIP-HOM B experiment measures the norms of the surface velocity \(v_r\):
$$\begin{aligned} v_r:=\sqrt{(v_1\cdot \cos (\alpha ))^2-(v_2\cdot \sin (\alpha ))^2}. \end{aligned}$$
On the Fig. 2 are the surface velocities for all used algorithms restricted to the original glacier \(x\in [0,5000]\). The surface velocities are approximately the same for all our methods. Moreover, the velocities are similar to [22, Figure 6].
Fig. 2
The velocity norms at the surface are shown in the left figure. All methods produce nearly the same surface velocity as the result
Full size image
All step size controls use the convex functional, see Definition 2.6, as the minimization term. In Fig. 3, we see the relative norm of the Riesz isomorphism, which compares the actual norm of the Riesz isomorphism of the iteration with the first calculated norm of the Riesz isomorphism, see Definition 6.1. Newton’s method with Armijo step sizes reduces the norm of the Riesz isomorphism compared to the initial norm of the Riesz isomorphism by approximately \(5\cdot 10^3\). Newton’s method with Armijo step sizes starts with a quadratic convergence. After a few iterations, this tends to a linear convergence. Then, the norm of the Riesz isomorphism is constant. The norm of the Riesz isomorphism of the Picard iteration decreases linearly but at a slower rate than Newton’s method with Armijo step sizes. Newton’s method and the Picard iteration with approximately exact step sizes converge similarly fast as Newton’s method with Armijo step sizes.
Fig. 3
The relative norms of the Riesz isomorphism are visualized with 701 grid points in x-direction and 20 in y-direction
Full size image
In [4], it was discussed that a higher value of \(\delta \) leads to higher accuracy and a lower number of necessary iterations. We reproduce this result in Fig. 4. Additionally, we see that the velocity field at the surface is nearly identical for \(\delta :=10^{-4}\). With \(\delta :=10^{-4}\), Newton’s method is much better than the Picard iteration for both step size controls, see Fig. 5.
Fig. 4
Left: the relative norms of the Riesz isomorphism are visualized for different values of \(\delta \). Right: the velocity norms at the surface are shown in the right figure
Full size image
Fig. 5
The relative norms of the Riesz isomorphism are visualized for \(\delta :=10^{-4}\)
Full size image
To verify our claim regarding the computation time, see Section 6.1, we calculated the mean and the standard deviation for 100 iterations for each method, see Table 1. In our experiment, the computation time with a step size control is within the standard deviation of the computation time for the Picard iteration. Moreover, the step size control needs only 1 % of the whole computation time for each iteration. Another important result is that the Picard iteration and Newton’s method need comparable computation times.
Table 1
Computation time in seconds
 
Computation time each iteration
Computation time step size
 
Mean
Standard deviation
Mean
Standard deviation
Picard
98.39
2.39
Picard with exact step sizes
99.47
2.16
1.00
0.01
Newton with Armijo step sizes
98.89
2.40
0.41
0.12
Newton with Armijo step sizes
98.55
2.29
0.08
0.01
and minimum step size=0.5
    
Newton with exact step sizes
99.71
2.23
1.01
0.01
We fixed the number of integral evaluations for the Armijo step size to a maximum of 20 integral evaluations for each iteration and for the exact step sizes to 25. Newton’s method with a minimum step size of 0.5 needs one or two iterations. Thus, Table 1 implies that both step size controls need a similar computation time for each iteration. We did not try to reduce the number of iterations for the step size because they are not important compared to solving the linear system of equations.

6.5 Numerical experiment with friction

In this subsection, we describe an experiment with friction. The experiment has a similar structure to the experiment ISMIP-HOM B. We set \(\Omega :=(0,5000)\times (0,1000)\), \(\Gamma _d:=\{(0,y);\, y\in [0,1000]\}\cup \{(5000,y);\, y\in [0,1000]\}\), \(\Gamma _a:=\{(x,1000);\, x\in (0,5000)\}\), and \(\Gamma _b:=\{(x,0);\, x\in (0,5000)\}\). We set B, \(\rho \), g, and p as in the experiment ISMIP-HOM B. We set \(s:=p\). Again, we rotate the gravity instead of the domain.
We test our experiment with \(\tau \in \{10^3,10^7\}\) Pa a\(^{p-1}\)m\(^{1-p}\). As prescribed by the problem, we have zero velocities at the left and right boundary. In Fig. 6, we see the norms of the Riesz isomorphism for the high friction coefficient with two different initial guesses. On the left, we have the same initial guess as in the ISMIP-HOM experiments. On the right, we added the term \(\int _{\Gamma _b} \tau \varvec{v_0}\cdot \varvec{\phi }\, ds\) to the variational formulation of the initial Stokes problem.
Fig. 6
The friction coefficient is \(\tau :=10^7\). Left: the initial guess is the same as in experiment ISMIP-HOM B. Right: the initial guess has the additional term \(\int _{\Gamma _b}\tau \varvec{v_0}\cdot \varvec{\phi }\, ds\)
Full size image
Interestingly, Newton’s method with Armijo step sizes performs worse than all other algorithms for a high friction coefficient. It converges linearly and needs many iterations until it reaches quadratic convergence. The other initial guess does not resolve this issue. Newton’s method with approximately exact step sizes reaches quadratic convergence much earlier. Also, the Picard iteration with approximately exact step sizes is good.
Fig. 7
The friction coefficient is \(\tau :=10^3\). Left: the initial guess is the same as in experiment ISMIP-HOM B. Right: the initial guess has the additional term \(\int _{\Gamma _b}\tau \varvec{v_0}\cdot \varvec{\phi }\, ds\)
Full size image
For a low friction coefficient, all algorithms behave similarly regarding convergence to experiment ISMIP-HOM B, see Fig. 7, independent of the initial guess.

7 Conclusion

In conclusion, it is possible to obtain a global convergent Newton method with step size control with a convex functional. Moreover, the approximation of exact step sizes is also good. For a nonlinear sliding boundary, the convergence rate of Newton’s method depends on the friction coefficient. Overall, the approximately exact step sizes seem slightly better because the convergence rate was in all experiments good. However, the convergence rate depends on the size of \(\delta \). More experiments should be done in three dimensions, with physically motivated sliding coefficients, and with different values of \(\delta \). Furthermore, an implementation in ice sheet models could be interesting.

Acknowledgements

I thank my supervisor Prof. Thomas Slawig from Kiel University, for many helpful discussions about mathematical and glaciological problems. Moreover, I thank Prof. Angelika Humbert and Dr. Thomas Kleiner from Alfred-Wegener-Institut in Bremerhaven, Dr. Martin Rückamp from the Bavarian Academy of Sciences and Humanities, and Prof. Andreas Rademacher from the University of Bremen for helpful discussions. Finally, I thank the reviewers for their helpful feedback.

Declarations

Competing Interests

The authors declare no competing interests.
The author consents to publish the article.
Open Access This article is licensed under a Creative Commons Attribution 4.0 International License, which permits use, sharing, adaptation, distribution and reproduction in any medium or format, as long as you give appropriate credit to the original author(s) and the source, provide a link to the Creative Commons licence, and indicate if changes were made. The images or other third party material in this article are included in the article’s Creative Commons licence, unless indicated otherwise in a credit line to the material. If material is not included in the article’s Creative Commons licence and your intended use is not permitted by statutory regulation or exceeds the permitted use, you will need to obtain permission directly from the copyright holder. To view a copy of this licence, visit http://creativecommons.org/licenses/by/4.0/.

Publisher's Note

Springer Nature remains neutral with regard to jurisdictional claims in published maps and institutional affiliations.
Title
Global convergence of Newton’s method for the regularized p-Stokes equations
Author
Niko Schmidt
Publication date
17-09-2024
Publisher
Springer US
Published in
Numerical Algorithms / Issue 4/2025
Print ISSN: 1017-1398
Electronic ISSN: 1572-9265
DOI
https://doi.org/10.1007/s11075-024-01941-6
1.
go back to reference Fischler, Y., Rückamp, M., Bischof, C., Aizinger, V., Morlighem, M., Humbert, A.: A scalability study of the ice-sheet and sea-level system model (issm, version 4.18). Geosci. Model Dev. 15(9), 3753–3771 (2022). https://doi.org/10.5194/gmd-15-3753-2022CrossRef
2.
go back to reference Chen, Q., Gunzburger, M., Perego, M.: Well-Posedness Results for a Nonlinear Stokes Problem Arising in Glaciology. SIAM J. Math. Anal. 45(5), 2710–2733 (2013). https://doi.org/10.1137/110848694MathSciNetCrossRef
3.
go back to reference Jouvet, G., Rappaz, J.: Analysis and finite element approximation of a nonlinear stationary stokes problem arising in glaciology. Adv. Numer. Anal. 2011, 1–24 (2011). https://doi.org/10.1155/2011/164581MathSciNetCrossRef
4.
go back to reference Hirn, A.: Finite element approximation of singular power-law systems. Math. Comput. 82(283), 1247–1268 (2013)MathSciNetCrossRef
5.
go back to reference Diego, G.G., Farrell, P.E., Hewitt, I.J.: On the finite element approximation of a semicoercive stokes variational inequality arising in glaciology. SIAM J. Numer. Anal. 61(1), 1–25 (2023). https://doi.org/10.1137/21m1437640MathSciNetCrossRef
6.
go back to reference Fowler, A., Ng, F. (eds.): Glaciers and Ice Sheets in the Climate System. Springer, Cham (2021). https://doi.org/10.1007/978-3-030-42584-5
7.
go back to reference Casas, E., Fernandez, L.A.: Distributed control of systems governed by a general class of quasilinear elliptic equations. J. Differ. Equ. 104, 20–47 (1993)MathSciNetCrossRef
8.
go back to reference Arada, N.: Distributed control for multistate modified navier-stokes equations. ESAIM: Control Optim. Calc. Var. 19(1), 219–238 (2012). https://doi.org/10.1051/cocv/2012007MathSciNetCrossRef
9.
go back to reference Arada, N.: Optimal control of shear-thinning fluids. SIAM J. Control Optim. 50(4), 2515–2542 (2012). https://doi.org/10.1137/110842612MathSciNetCrossRef
10.
go back to reference Fraters, M.R.T., Bangerth, W., Thieulot, C., Glerum, A.C., Spakman, W.: Efficient and practical Newton solvers for non-linear Stokes systems in geodynamic problems. Geophys. J. Int. 218(2), 873–894 (2019). https://doi.org/10.1093/gji/ggz183CrossRef
11.
go back to reference Allen, J., Leibs, C., Manteuffel, T., Rajaram, H.: A fluidity-based first-order system least-squares method for ice sheets. SIAM J. Sci. Comput. 39(2), 352–374 (2017). https://doi.org/10.1137/140974973MathSciNetCrossRef
12.
go back to reference Bons, P.D., Kleiner, T., Llorens, M.-G., Prior, D.J., Sachau, T., Weikusat, I., Jansen, D.: Greenland ice sheet: higher nonlinearity of ice flow significantly reduces estimated basal motion. Geophys. Res. Lett. 45(13), 6542–6548 (2018). https://doi.org/10.1029/2018gl078356CrossRef
13.
go back to reference MacGregor, J.A., Fahnestock, M.A., Catania, G.A., Aschwanden, A., Clow, G.D., Colgan, W.T., Gogineni, S.P., Morlighem, M., Nowicki, S.M.J., Paden, J.D., Price, S.F., Seroussi, H.: A synthesis of the basal thermal state of the greenland ice sheet. J. Geophys. Res. Earth Surf. 121(7), 1328–1350 (2016). https://doi.org/10.1002/2015jf003803CrossRef
14.
go back to reference Chipot, M.: \(\ell \) Goes to Plus Infinity. Birkhäuser Basel, Basel (2002). https://doi.org/10.1007/978-3-0348-8173-9
15.
go back to reference Amrouche, C.S., Girault, V.: Decomposition of vector spaces and application to the stokes problem in arbitrary dimension. Czechoslovak Math. J. 44, 109–140 (1994)MathSciNetCrossRef
16.
go back to reference Girault, V., Raviart, P.-A.: Finite Element Methods for Navier-Stokes Equations. Springer, New York (1986)CrossRef
17.
go back to reference Berselli, L.C., Růžička, M.: Global regularity properties of steady shear thinning flows. J. Math. Anal. Appl. 450(2), 839–871 (2017). https://doi.org/10.1016/j.jmaa.2017.01.016MathSciNetCrossRef
18.
go back to reference Browder, F.E.: Nonlinear elliptic boundary value problems. Bull. Am. Math. Soc. 69(6), 862–874 (1963). https://doi.org/bams/1183525712
19.
go back to reference Diening, L., Ebmeyer, C., Růžička, M.: Optimal convergence for the implicit space-time discretization of parabolic systems with p-structure. SIAM J. Numer. Anal. 45(2), 457–472 (2007)MathSciNetCrossRef
20.
go back to reference Hinze, M., Pinnau, R., Ulbrich, M., Ulbrich, S.: Optimization with PDE Constraints. Springer, Dordrecht (2009). https://doi.org/10.1007/978-1-4020-8839-1
21.
go back to reference Polyak, R.A.: Regularized newton method for unconstrained convex optimization. Math. Program. 120(1), 125–145 (2007). https://doi.org/10.1007/s10107-007-0143-3MathSciNetCrossRef
22.
go back to reference Pattyn, F., Perichon, L., Aschwanden, A., Breuer, B., Smedt, B., Gagliardini, O., Gudmundsson, G.H., Hindmarsh, R.C.A., Hubbard, A., Johnson, J.V., Kleiner, T., Konovalov, Y., Martin, C., Payne, A.J., Pollard, D., Price, S., Rückamp, M., Saito, F., Souček, O., Sugiyama, S., Zwinger, T.: Benchmark experiments for higher-order and full-Stokes ice sheet models (ISMIP–HOM). Cryosphere 2(2), 95–108 (2008). https://doi.org/10.5194/tc-2-95-2008CrossRef
23.
go back to reference Logg, A., Mardal, K.-A., Wells, G. (eds.): Automated Solution of Differential Equations by the Finite Element Method. Springer, Berlin (2012). https://doi.org/10.1007/978-3-642-23099-8
24.
go back to reference Colinge, J., Rappaz, J.: A strongly nonlinear problem arising in glaciology. ESAIM: Math. Model. Numer. Anal. 33(2), 395–406 (1999). https://doi.org/10.1051/m2an:1999122MathSciNetCrossRef
25.
go back to reference Larour, E., Seroussi, H., Morlighem, M., Rignot, E.: Continental scale, high order, high spatial resolution, ice sheet modeling using the ice sheet system model (ISSM). J. Geophys. Res. Earth Surf. 117(F1) (2012). https://doi.org/10.1029/2011jf002140
26.
go back to reference Isaac, T., Stadler, G., Ghattas, O.: Solution of nonlinear stokes equations discretized by high-order finite elements on nonconforming and anisotropic meshes, with application to ice sheet dynamics. SIAM J. Sci. Comput. 37(6), 804–833 (2015). https://doi.org/10.1137/140974407MathSciNetCrossRef
27.
go back to reference Brown, J., Smith, B., Ahmadia, A.: Achieving textbook multigrid efficiency for hydrostatic ice sheet flow. SIAM J. Sci. Comput. 35(2), 359–375 (2013). https://doi.org/10.1137/110834512MathSciNetCrossRef
Image Credits
Neuer Inhalt/© ITandMEDIA, Nagarro GmbH/© Nagarro GmbH, AvePoint Deutschland GmbH/© AvePoint Deutschland GmbH, AFB Gemeinnützige GmbH/© AFB Gemeinnützige GmbH, USU GmbH/© USU GmbH, Ferrari electronic AG/© Ferrari electronic AG