Skip to main content
Top

Guldborgsund Arson House Fire Experiment and Numerical Investigation

  • Open Access
  • 14-08-2024
Published in:

Activate our intelligent search to find suitable subject content or patents.

search-config
loading …

Abstract

The Guldborgsund Arson House Fire Experiment and Numerical Investigation focuses on learning from fire incidents to improve fire safety control methods. The study involves a full-scale arson house fire experiment and numerical simulations using CFD techniques to replicate the fire scene. The experimental setup included a house with various materials and furniture, where an ignited chair served as the initial fire source. The experiment aimed to understand the strength and limitations of using numerical modeling for fire investigation scenes, considering the uncertainties of real fire conditions. The main challenges encountered were the characterization of the fuel and its burning behavior. The study highlights the use of 3D scans to create the numerical model geometry efficiently and the comparison of smoke temperature development during the fire growth period. The results show that while numerical simulations can provide valuable insights, they may underestimate or overestimate temperatures depending on the fire stage. The study also emphasizes the importance of including material properties in simulations and the sensitivity of models to input assumptions. Overall, the research contributes to the understanding of fire dynamics and the application of numerical tools in fire investigation and safety.

Publisher's Note

Springer Nature remains neutral with regard to jurisdictional claims in published maps and institutional affiliations.

1 Introduction

Learning from fire incidents is important since it helps identify issues associated with the fire safety control work and helps develop mitigation methods. Identifying the cause and building’s response to fire would positively benefit society as follows: (a) the accumulated data could contribute to fire statistics, which would help identify fire risks [13] and provide assistance in the design of targeted mitigation solutions, (b) it can be used in training fire services, by helping adjust the firefighting plans, or identifying the needs for new equipment and new tactics, (c) it can be used to educate the building occupants and enhance their fire safety awareness, (d) it can identify research topics and offer fire information and data for fire authorities. Fire incident investigation is challenging because of the complex nature of fires and because each fire incident is unique with respect to circumstances, nevertheless the fundamental principles of physics and chemistry are the same, regardless the circumstances.
There are various documents which offer guidance on how to perform investigations of fire and explosion, e.g., NFPA 921—Guide for Fire and Explosions Investigations [4], ENFSI—Best Practice Manual for the Investigation of Fires and Explosions [5], A collaboration of Nordic countries—Nordic Fire Manual; A practical guide for fire investigations [6]. For example, NFPA 921 describes the methodology and standards for conducting accurate investigations of fire and explosions. A systematic approach, such as the use of the scientific method can ensure a thorough physical evaluation of the scene, careful collection of evidence, and complete documentation of the scene and physical evidence. The scientific method is involving the following steps: recognizing the need and identifying the problem; definition of the problem; collection of data through observation and experiments; analysis of data, development of hypotheses, testing them and select the appropriate final hypothesis(es).
Collection of data through experiments can give valuable understanding of the incident. The scene experiments would represent an ideal mean to do so; nevertheless, full-scale scene experiments are rare due to the costs. Reduced-scale experiments cannot satisfy the requirements regarding the similarities of all dimensionless quantities and thus cannot guarantee the reliability of outcomes, nevertheless, the reduced scale experiments can still be applied to some limited circumstances. New methods to assist fire investigations are welcomed. Fire simulation using the Computational Fluid Dynamic (CFD) techniques is developed to predict gas temperatures and smoke transport and can be used to assess the effectiveness of firefighting systems. Several studies are presented in the literature where the fire simulation techniques are used within this purpose.
A method based on the computer-aided fire scene reconstruction technique is described in [7]. It was used to investigate a fire in a multistorey residential building in Suzhou, China. No fire experiments were performed or used in the study. Taoyuan, Taiwan 2013 arson fire in a ten-story hotel [8] that led to five deaths and ten injuries was numerically modelled, capturing the smoke propagation to various rooms. Nevertheless, a full-scale mock-up fire test was never performed for validating purposes. The Station Nightclub Fire occurred in 2003 in Rhode Island, United States [9]. The fire scene was reconstructed by fire modelling and validated by full-scale fire experiments [10, 11]. Recommendations such as installing automatic water sprinklers in nightclubs were an outcome of the work. The fire incident in Quakers Hill, Sydney, in 2011 resulted in three fatalities. Numerical studies and a mock-up experiment were conducted to gain insights into the fire development [12]. The measured thermocouple readings were compared with the predicted gas temperatures. The 2010 fire that killed 81 inmates in Chile was numerically modelled using the CFD, and the results were compared with the video recording, showing that the fire became uncontrollable before the guards could intervene [13]. Full-scale experiments and numerical simulations were carried out for a storehouse fire [14] to study the ignition and the fire spread. It was shown that the numerical results were comparable with the experimental results. Arguably the most extensive study for application of the numerical tools on a staged fire incident was the round robin study of Dalmarnock fire test One [15]. Dalmarnock test One was a staged fire incident in a two-bedroom family flat, with a two-seat sofa as the first item to ignite. The a priori simulations were done using zone model CFAST and CFD model FDS and showed a great scatter of results. It was also concluded that good predictions of general quantities do not necessarily correlate with good predictions of local quantities. The round robin studies resulted in open predictions of the hot gas temperatures 20 to 500% during the fire growth phase, and the error was reduced to 10–50% in posteriori simulations [16]. Jahn et al. performed a sensitivity study of parameters governing the fire spread to nearby objects. It was shown that the surface temperatures are sensitive to fire area and location, material thermal properties and assigned radiative fraction in FDS [17]. These parameters should be considered when estimating the time to flashover. The Grenfell Tower fire incident in London 2017 was numerically modelled to investigate the vertical fire spread behaviour over the entire height of the façade from the initial apartment. The results were validated against the photographic and video observations of the fire [18].
The main objectives of the presented research are (i) to understand the strength and the limitations of using numerical modelling to replicate fire investigation scenes, considering the uncertainties of the conditions in real fire scenes, but not in laboratory tests, (ii) to link the fire investigation evidence with the numerical model (e.g., measurement of the smoke layer height that can indicate the validity of the model) and (iii) to use the 3D scans in creating the numerical model geometry in a fast and efficient manner. A full-scale arson house fire experiment involving a crime scene was performed in Guldborgsund, Denmark, in 2021 to train the local fire brigades, fire investigators and police. Fire alarms and thermocouples were installed in several locations of the fire scene, and numerical modelling was used to replicate this scenario. The experimental site was 3D scanned before and after the fire. This study focuses on the smoke temperature development during the growth period of the fire.
The main challenges encountered during this work were the characterization of the fuel and its burning behaviour. The previous works either have a well characterized fuel (in dedicated experimental studies), or limited information about it (post-incident simulations). In the presented study there was general knowledge about the fuel, but without details of its specific material composition. The main achievement of this work is the use of the numerical model fitting procedure through two step process (zone model followed up by CFD model).

2 Description of the Case Study

2.1 Description of the Experimental Site

The experimental test took place in a house with a gable roof, with sleeping areas in the upper floor (referred to as the first floor in the remaining text), shown in Figure 1. The floor plan of the house is illustrated in Figure 2.
Figure 1
The experimental site: (a) view from outside; (b) view of the living room (fire origin room) and dining room
Full size image
Figure 2
The floor plan of the house, the instrumentation layout and the fire origin (H: height of the compartment, H_top: distance from the ceiling to the top of the window) (dimensions in cm)
Full size image
The bearing brick walls of the building are 30 cm thick and made of two layers of 10 cm bricks with an air gap in the middle. The gypsum walls are 10 cm thick, made of one layer of 12.5 mm gypsum panels on each side and steel studs, with an air gap (no insulation). The floor is made of concrete with a carpet in the living room, vinyl in the extra room, and tiles in the dining room and kitchen. The ceiling is made of timber beams, covered with one layer of gypsum, net plaster and straw, and timber battens, with 20 cm mineral insulation in between the beams. The ceiling in the extra room differs from the rest, i.e., there is no layer of net plaster and straw, and glass wool insulation is used instead.

2.2 Description of the Measurement System and Experimental Errors

The instrumentation layout is presented in Figure 2. The vertical distribution of the gas temperature in the compartments is measured using four thermocouple (TC) trees. They are placed in the living room (LR)—near and far field (LRN and LRF), dining room (DR) and extra room (ER). Figure 3 and Table 1 present the configuration of the TC trees and the distance of each TC measured from the floor. The TCs placed in the LRN are made of type 92–30208015-LL Guenther Polska TCs, cable type K, size of 2 × 0.80 mm, core insulation made of silica, resistant to temperature ranges 0–1000°C. All the other TCs are made of type 92–30205015-GG.V3 Guenther Polska TCs, cable type K, size of 2 × 0.50 mm, core insulation made of fibreglass, resistant to temperature ranges 0–400°C. The measurement range of all TCs is from − 40°C to 1000°C. No temperature correction for radiation is performed, which is mostly influencing the TCs near the fire origin and below the smoke layer (the measured temperatures in this configuration are thus overestimated). The temperatures in the simulation are measured with thermocouple devices, which incorporate the radiation effect.
Figure 3
Configuration of the TC tree
Full size image
Table 1
Distance from the Floor to TCs, for Each TC Tree (Dimensions in cm)
TC
LRN
LRF
DR
ER
(cm)
(cm)
(cm)
(cm)
9
238
233
239
227
8
212
213
213
213
7
189
188
188
188
6
164
163
163
163
5
139
139
139
139
4
113
113
113
113
3
89
88
88
88
2
64
63
63
63
1
38
38
38
38
0
13
13
13
13
The evaluation of the experimental errors regarding the temperature measurements was done according to Taylor and Kuyatt [19]. The uncertainties are assumed to be symmetrical and were identified as Type A (evaluated using statistical methods) or Type B (based on the manufacturer’s specifications, past experience or engineering judgment). The main identified individual uncertainties are calibration, installation, and random uncertainties. The calibration uncertainty derives from the instrument specifications (Type B) and is ± 0.55%. The random uncertainty is due to random, unpredictable variations in the measurement process during a typical steady state period and is derived using the standard deviation of the residuals from the mean value of the measurements (Type A), giving a value of ± 1.10%. The installation error was computed assuming the tip of the thermocouple moved 3 cm on the vertical direction and is estimated based on engineering judgment (Type B), resulting in ± 4.32% error. The combined standard uncertainty is estimated by combining the individual uncertainties using “root-sum-of-squares”. The expanded uncertainty is computed by multiplying the combined uncertainty by a coverage factor of 2 corresponding to an approximately 95% confidence interval, giving a value of ± 9%.
Esylux, Protector K 9 V optical smoke detectors are installed in the living room (LR), dining room (DR), extra room (ER), kitchen (K), hallway (H) and first floor. The activation of smoke detectors is logged with an error of ± 1.5 s.
Measurements from the test are acquired using two Agilent data acquisition apparatuses (34970A & 34972A), populated with modules (Agilent 34902A 16 & 34901A 20-Channel Multiplexer), and the data acquisition is made using Agilent Benchlink software. The sampling of the data is done every 1.5 s.

2.3 Description of the Item First Ignited

The item first ignited was a cushioned cantilever chair. The chair type was not tested separately prior the experiment and therefore the energy content of the item is unknown. Nevertheless, the chair was similar to a typical "Poang" and "Pello" chair from IKEA, with a wooden frame and different cushions. The total energy content of the above-mentioned chairs was estimated based on the mass of individual materials and resulted in values between 124 to 136 MJ. Comparing this with the calorimetry data from Särdqvist [20] shows that this value is representative of a 2-cushion mockup or a 4-cushion mockup chair, as shown later in Figure 11.

2.4 Use of 3D Scans in Creating the FDS Model

The experimental site is scanned before and after the fire with Leica BLK360 scanners. The Leica scans have a fine resolution and can be saved locally in a binary format (12 GB for this setup). The scans are done by measuring the reflection time of a laser beam and have become popular in many applications [21]. The 3D point cloud is obtained from the scanning process and consists of a set of unordered points lying on the object’s surface, with each point cloud encoding its special x, y, z coordinates and potentially other features. The 3D point cloud is converted to 3D objects (IFC file) that can be read by Pyrosim [22], thus leading to the FDS simulation file. The working process is presented in Figure 4. The given procedure allows faster and more efficient creation of the FDS simulation file. Some adjustments of the opening’s width were made since comparison with the manual onsite measurements revealed errors during the transformation.
Figure 4
The working process of utilizing 3D scans in FDS
Full size image

3 Experimental Results

The house was furnished with second-hand furniture, and the fire scene was prepared (see Figure 1b). The living room (LR) was the room of origin, as shown in Figure 2. Approximately 300 ml of combustible liquid was poured on and beneath the chair and ignited. Some key moments in the fire development were captured by a GoPro camera placed in a water tank, as shown in Figure 5. The item first ignited is shown in Figure 5a, right before the start of the fire. The initial burning of the chair and pillow, shortly after the ignition, is shown in Figure 5b. Next, as shown in Figure 5c, the fire intensified, leading the space between the bookshelves and cabinet next to the chair to be involved in the fire. Soon after, the fire reached the ceiling, as shown in Figure 5d and e. The peak measured upper layer gas temperatures by the top thermocouples (TC9) in the LRN were above 550°C. The upper layer temperatures indicate that the fire was transitioning to flashover at around 6 min after the ignition. No window breakage was observed until this point. Next, the firefighters extinguished the fire due to safety reasons and for conserving the fire scene in relatively good condition for training purposes of the fire investigators and police. The firefighting’s actions did not have a big influence on the soot pattern in this experiment, since they only extinguished the origin of the fire. We could conclude that by observing that the soot pattern was very similar everywhere in the room of origin.
Figure 5
View of the item first ignited (chair) at the time: (a) 0′00″; (b) 1′00″; (c) 3′30″; (d) 4′00″; (e) 4′30″
Full size image
Only the growing phase of the fire was modelled in this study since the firefighter's actions were hard to monitor and incorporate into this research.
Figure  6 shows the gas temperatures measured in LRN, LRF, DN and ER. The maximum upper layer gas temperature in the LRN was over 800°C, while in the LRF was over 500°C. The upper layer gas temperatures measured in the DR and ER were under 400°C. A drop in temperature measurements can be observed at around 5th minute and is the most visible in the ER measurements. The author’s hypothesis is that this temperature drop was due to the firefighter's opening wider the door between the ER and hallway, as they were preparing to extinguish the fire. Unfortunately, this hypothesis cannot be irrefutably confirmed due to nature of this test, where the firefighter’s operations were adopted based on immediate observations on site and were not recorded. The main limitation of the experimental work is that the mass loss rate of burning items was not measured.
Figure 6
Gas temperatures measured by the tree thermocouples: (a) LRN; (b) LRF; (c) DR; (d) ER
Full size image

4 Fire Simulations

4.1 Methodology

The item first ignited was not separately tested. Thus, the heat release rate (HRR) that must be used in the numerical simulations is unknown. A stepwise approach was applied to run the simulation study. In the first step, the HRR curve is fitted in the two-zone model Argos [23] until the LR temperatures matched with test measurements. Next, the fitted HRR curve is used in the Computational Fluid Dynamic (CFD) model Fire Dynamic Simulator (FDS) 24, and the temperatures in the DR and ER are predicted. The advantage of the stepwise method is the simple, robust and fast simulation in Argos that can easily and rapidly provide the input for resource intensive simulations with FDS. The methodology is presented in Figure 7.
Figure 7
Diagram of the method used in this study
Full size image

4.2 Two-Zone Model (Argos)

4.2.1 Two-Zone Model Description

The two-zone model in Argos (version 6.1.106) was applied to estimate the heat release from the fire in an easy manner for later use in the CFD simulation. The temperature measurements of the living room were used as the input to obtain the HRR estimates. Furthermore, Argos was used to evaluate the capability for predicting smoke layer temperature and detection activation times in other rooms (extra room and dining room). Zone models, e.g., Argos, divide the fire compartment into two zones, i.e., a hot smoke zone and a cold "ambient" zone and rely on the empirical correlation of the fire plume temperatures and energy production rates to predict the hot smoke zone temperature as a function of time. Zone models are fast, robust and rely on relatively few assumptions, although they do not provide a spatially detailed description of the gas temperatures and flow fields.
Argos is developed and maintained by the Danish Institute of Fire and Security Technology (DBI), and uses Heskestad's plume model for mass flow rate and Alpert correlation for ceiling jet temperatures [23]. The validation of Argos have been presented in [25] and have shown to provide similar results in comparison with other zone models [26]. A review of validation work for other zone models is done by Bong [27]. For the study presented in this paper, it was assumed that the model’s ability to predict the fire room conditions based on the input HRR, indicate that the back-calculations of HRR from fire room temperatures would generate meaningful results.
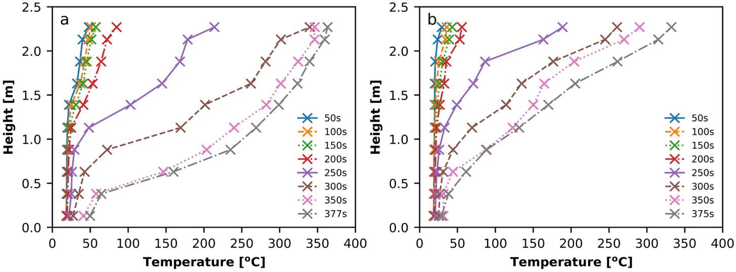
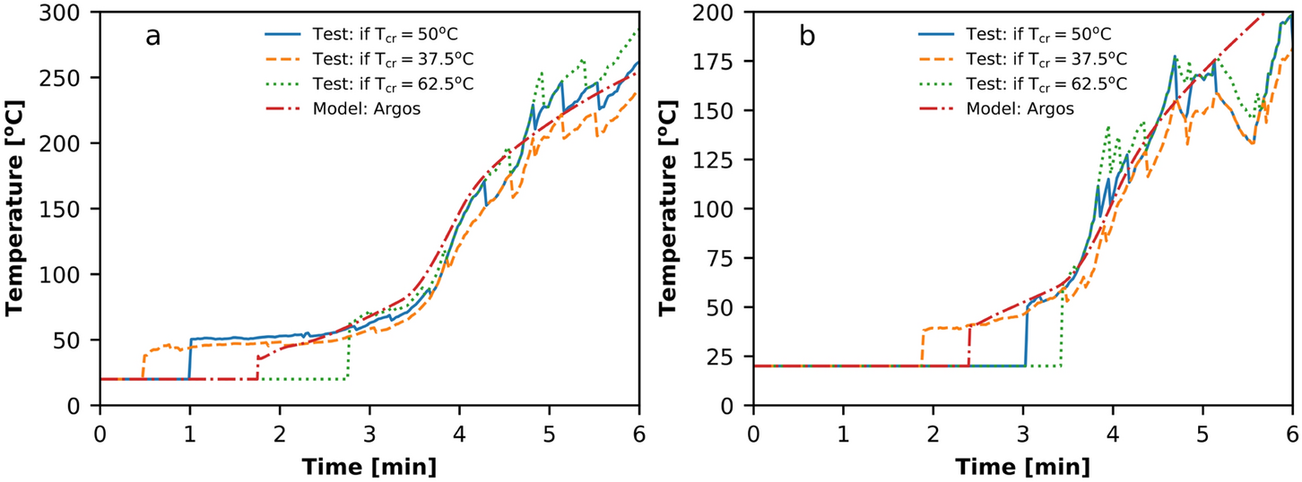
Zone models calculate the average temperature of the hot smoke layer. The test measurements, on the other hand, provided the temperature readings at different heights. Comparing the zone model simulations with the experiment requires defining the hot smoke layer depth based on the measurements in the tests. Two considerations were taken into the account when assessing the hot smoke layer depth in the test. Firstly, the smoke deposition on the walls in the living room was measured at 0.60 to 0.65 m above the floor. Therefore, considering the height of the thermocouples (see Table 1), TC2 at 0.63 to 0.64 m was in the transition zone between the hot smoke layer and the colder gas layer. The transition zone in this context is characterized by a sharp spatial temperature gradient and it can be identified in the measurements presented in Figure 8 (e.g., see measurement in LRN at 375 s, where the transition happens between the TCs that are placed at 64 cm and 89 cm). The maximum temperature of TC2 in the living room was 138°C and 231°C in the far and near fields, respectively. Secondly, the temperature gradients are considered at different time steps, as provided in Figure 8. On the other hand, a sharp temperature gradient can be observed at various times, generally around 100°C (e.g., temperature after 300 s). Based on these observations, the hot smoke layer criterion inside LR was set to be 100°C. The average hot smoke layer temperature was calculated from all thermocouple readings above the critical temperature, and ± 25% uncertainty of the estimated critical temperature was investigated, showing only a minor influence on the average hot zone temperature. The average temperature of all thermocouples above the critical temperature was used to calculate the hot smoke layer temperature, and the results are presented in Figure 10.
Figure 8
Test measurements of temperatures at selected time moments: (a) LRN; (b) LRF
Full size image
The HRR estimate in Argos was done with a trial-and-error approach. During the first 60 s the HRR was assumed to be 45 kW, which represents the pool fire on the floor and chair seat and was estimated by the flame heights observed in video recordings. In the latter stages of fire, for simplification purposes the HRR growth was following the αt2 growth and divided into several growth stages. Three growth stages were established by observing the temperature rise in the living room. Several guess values of α were tested for each fire growth period one by one, starting from the initial phases of the fire. The comparison was done with the test measurements of the living room until an acceptable fit was observed. The resulting HRR curve was also assessed in the context of the visual recordings. In the first stage, up to 1 min and 15 s a constant HRR of 45 kW was assigned, based on estimations of fire created by the combustible liquid on the floor and chair. In the second stage, up to 3 min and 20 s, the fire growth rate was set 0.009 kW/s2 (slightly lower than medium fire growth rate α = 0.01172 kW/s2). This stage represents the early fire development of the cushioned chair. In the third stage, the fire growth rate increases to 0.048 kW/s2 (slightly higher than the fast fire growth rate). The third stage represents the side of the shelves' involvement and lasts until the 4th minute. In the fourth stage, the fire growth rate is 0.022 kW/s2. The simulation was performed only until the 6th minute because the fire reached near flashover conditions and the test was terminated for safety reasons. The HRR curve is presented in Figure 9. The hot smoke layer temperature predicted by Argos is compared with the living room test measurements in Figure 10.
Figure 9
HRR fitted in Argos simulations
Full size image
Figure 10
Comparison between hot gas layer temperatures in the LR from tests and Argos
Full size image
Since the HRR was fitted only based on the living room temperatures, the fitted HRR was used to evaluate Argos’ ability to determine the temperatures, the soot deposition layers and the smoke alarm detection times in other rooms, i.e., DR and ER.
Integrating the HRR curve presented in Figure 9 gives a total energy release of 290 MJ during the simulation/experiment time. Figure  11 presents a comparison of the estimated energy content in the experiment with those of chairs similar to one used in the experiment. The estimated energy content is higher than for the chairs, but it also has to be considered that parts of other furniture surrounding the chair burned during the test. It seems reasonable that half of the energy released in the fire originated from the chair and the remaining from the other items in the room, e.g., bookshelves, window curtains.
Figure 11
Comparing energy released in the model with Ikea chairs and Särdqvist's chair data [20]
Full size image

4.2.2 Two-Zone Model Results

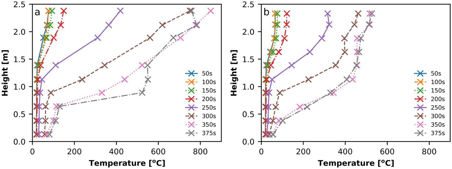
Next, the hot gas layer temperatures in the DR and ER were compared with the Argos predictions using the previously established HRR curve. The soot deposition layer height in the ER was 65–80 cm above the floor (80 cm in the vicinity of the thermocouple tree), so the ER TC3 was the lowermost thermocouple inside the smoke layer. The maximum temperature of ER TC3 was 106°C. The thermocouple measurements showed the temperature gradients at 35–50°C in the ER and 40–65°C in the DR, as presented in Figure 12. Therefore, 50°C is set as the temperature criteria for the hot smoke layer in both rooms. The predicted and measured hot smoke layer temperatures in the DR and ER are presented in Figure 13.
Figure 12
Temperature measurements at selected time moments: (a) DR; (b) ER
Full size image
Figure 13
Comparison of hot smoke layer temperatures predicted by Argos and measured in the test: (a) DR; (b) ER
Full size image
The smoke layer height, provided by the Argos simulations, was compared with the test measurements, i.e., the soot deposition on walls and the smoke layer height based on temperature criteria (see Table 2). The measured soot deposition height at the walls is slightly higher than the measured smoke layer height based on temperature criteria. In most cases, Argos underpredicted the smoke layer height (with the exception of the hallway and extra room) in comparison with the test observations.
Table 2
Comparison of Predicted Distance from the Floor to the Hot Gas Layer in Argos and Tests
Room
Tests
Argos model
Soot deposition on walls [m]
Smoke layer height based on temperature criteria [m]a
Smoke layer height [m]
LRN
0.60–0.65
0.60–0.70
0.12
LRF
0.60–0.65
0.40–0.50
0.12
ER
0.65–0.80
0.50–0.60
0.99
DR
0.50–0.80
0.10–0.40
0.12
K
0.80
No data
0.27
H
1.30–1.45
No data
1.62
aBased on established hot gas temperature criteria and the temperature gradient at the time step when peak temperatures are measured

4.3 CFD Simulations (Fire Dynamic Simulator)

4.3.1 CFD Model Description

The CFD model Fire Dynamics Simulator (FDS) version 6.8.0 was used to numerically reproduce the experimental test results. In the base-case simulation (the changes in the sensitivity study cases are described later in the text) the fuel source (representing the chair in the tests) was assigned as a horizontal burner vent with area of 1 × 1 m2, elevated 0.4 m from the floor. The HRRPUA was assigned to the burner vent with the fire growth ramp-up function to represent the HRR from Argos. The simulation did not include the movable contents of the house, except the bookshelf and a small cabinet near the burner vent. The bookshelf and the cabinet were represented as obstacles, but without any ignition or burning capabilities. The two-step simple chemistry model was used, soot yield of 0.06 and a CO yield of 0.005 was assigned. Auto ignition temperature (AIT) was set to 300°C, considering that the main fuels are cushion and wood from the chair, as well as surrounding wood furniture and curtains, and the auto ignition exclusion zone was prescribed to the volume directly above the burner. The surfaces in the base-case simulation were modelled as INERT and materials properties for the walls, ceilings and windows were applied only for the sensitivity study as reported later in this manuscript. Two mesh cell sizes were investigated: 5 cm and 10 cm. In both mesh cell sizes temperature readings were relatively similar. Nevertheless, it was decided to use 5 cm mesh cell size, considering the good practice of having several cells along the width of the openings (doors in this case). Results only of 5 cm mesh cell size simulations are presented in this paper. Open boundary conditions were used on the mesh boundaries, except for ground. The simulation parameters are presented in Table 3. The visualizations of the geometry are presented in Figure 14. Only the part of the first floor that is connected with the ground floor is included in the computational domain (doors to the other rooms of the first floor were closed during the experiment).
Table 3
Parameters in the Base-Case Simulation
Simulation type
Very large eddy
Number of solid angles
300
Radiation ANGLE_INCREMENT
6
Radiation time step increment
6
N_SIMPLE_CHEMISTRY_REACTIONS
2
FUEL_C_TO_CO_FRACTION
0.6667
Fuel chemical composition
1 carbon atom, 1.7 hydrogen atoms and 0.83 oxygen atoms
CO yield (–)
0.005
Soot yield (–)
0.06
Energy release per unit mass oxygen (kJ/kg)
13,100
Auto ignition temperature (°C)
300
Mesh cell size (m)
0.05
Total number of cells in model
4,020,000
Number of meshes
8
Figure 14
Visualization of the FDS geometry of base-case simulation (a) full geometry (b) with horizontal cut at z = 2.2 m above floor
Full size image
In addition to the simulation with the very simplified burner geometry in the base-case simulation, a simulation with more detailed geometry of the chair and spreading fire over the surfaces was done (referred to as “fire-spread” simulation in this paper). The geometry of the chair included horizontal seat, vertical orientation backrest as well as burning surfaces of bookshelves and pool fire, used for the ignition. The simulation was set in a way to maintain the same HRR as in the base-case. All of the burning surfaces were subdivided into smaller areas (11 in total), which were “ignited” at certain time moments. The flame spread was based on video recordings, starting with the pool fire on the floor, ignition and fire spread on the backrest and later spreading to the seat and the sides of the bookshelves. The geometry and visualization of the fire spread for this case are presented in Figure 16. It is not realistic to consider that the fire investigators would have a detailed knowledge of the flame spread. Nevertheless, the purpose of including this case simulation was to demonstrate how the increasing fire area, and fuel orientation changes the fire dynamics.

4.3.2 CFD Model Results

The HRR used as an input for Argos and FDS models is presented alongside the HRR output from models in Figure 15. The output HRR curve from both FDS simulations (base-case and fire-spread) show the fire is close to being ventilation controlled at the end of the test, as the predicted HRR was slightly lower compared to the input starting from approximately 5th minute. Moreover, the fire-spread simulation shows lower HRR compared to base-case at the late stages of fire, despite the fact that the mass loss rate of the reactants are the same (see Figure 15). This difference can be explained by the fact that in fire -spread simulation some of the burning surfaces (backrest, parts of shelves) were higher up in the smoke layer in limited oxygen environment.
Figure 15
Heat release rate in Argos and FDS models and the fuel mass loss rate in FDS models
Full size image
A qualitative comparison between the test, the base-case FDS and fire-spread simulations is provided in Figure 16. As shown in Figure 16, the shape of the fuel bed and the flames are much more complex in the tests in comparison with the base-case simulations. In the test the burning is taking place on the seat, backrest, and floor, whereas the base-case simulation simplifies the burning on a horizontal surface. Therefore, qualitative differences can be observed in the early stages of the fire. At the later stages of the fire (i.e., 4th and 5th minute) the flaming shape in simulation is visually representative to the observations in the test. The fire-spread simulation provides a more representative visual description of the fire. The flame heights at the early stages of fire are taller compared to the base-case and more similar to what was observed at the fire scene.
Figure 16
A qualitative comparison between the test and CFD observation of the burning area
Full size image
The experimental and base-case simulation temperature graphs for selected thermocouples are presented in Figure 17. In the early stages of fire, up to about 2nd minute, the test measurements in general show higher temperatures compared to the simulations. The simulations result in higher temperatures between minutes 2 and 4, depending on the room. At the end of the test, after the 5th minute, the simulation again results in lower temperatures, possibly due to slight reduction of output HRR compared to calibrated input. In FDS the HRR output is controlled by the extinction model, defining if the flame is viable based on temperature and oxygen concentration criteria.
Figure 17
Temperature measurements versus the FDS predictions (a) LRN; (b) LRF; (c) DR; (d) ER
Full size image
Simulated versus test temperature measurements at selected time moments are presented in Figure 18. For the base-case, the simulations in general underestimate the temperatures at very early stages of the fire (1st minute). The figures show that the simulations overestimate the temperatures at 2nd and 3rd minute. Later at 4th and 5th minute, the simulations underestimate those temperature measurements that are roughly above 120°C (e.g., closer to the ceiling level and closer to the fire) but overestimate the lower range temperatures. This means that generally more uniform temperature distribution is observed in at the late stages of simulation. This observation potentially indicates more mixing, hence more heat transfer between hot smoke layer and the colder zone below the smoke layer. A similar conclusion was reached in the work by Husted [28]. At the end of the test, the simulations underestimate the temperatures, indicating the challenge of simulating the under-ventilated fires. Most of the simulation results are within the 50% error range. At the early stages of simulation, the fire-spread model mostly predicts higher temperatures compared to the base-case. At the late stages the fire-spread simulation in general predicts lower temperatures compared to base-case simulation. No improvement of temperature predictions can be claimed by the fire-spread model in this study.
Figure 18
Comparison between the test measurements and simulated temperatures at selected time for all measurement points. Blue dots are the base case, and red crosses are the fire spread case. Data point aligning on the blue line indicate a perfect match between the simulation and the test
Full size image
Integration was performed to calculate the area under the time–temperature curves in the test and the FDS simulations. The difference between the test and simulation integrated values in LR was estimated to be − 4% (FDS underestimates the temperatures), − 9% in DR (FDS underestimates the temperatures) and 12% in ER (FDS overestimates the temperatures). These results show that the overall heat balance inside the entire house is similar in the test compared to the simulations, however it differs if individual rooms are evaluated separately. In base-case simulation FDS underestimations of LR and DR temperatures are compensated by the overestimations in ER. In fire spread simulation the difference between the test and simulation integrated temperature–time values in LR was estimated to be -4% (FDS underestimates the temperatures), − 17% in DR (FDS underestimates the temperatures) and 2% in ER (FDS overestimates the temperatures). The method (integral of temperature over time) is very simplified and does not take into the account the non-uniformity of temperatures in rooms, differences of room sizes or temperature dependence on the specific heat capacities of combustion products and air.

4.3.3 CFD Model Sensitivity Studies

The sensitivity of the test outcomes to the input assumptions was investigated by changing the following parameters with uncertainties of ± 25%: (i) HRR, (ii) the height of the fuel bed and (iii) the area of the fire (HRRPUA was adjusted so that the HRR is the same between the simulations) and (iv) auto ignition temperature (AIT). The model sensitivity to the inclusion of air leakages through window perimeter and surface thermal properties, wind effect and setting the simulations to Large Eddy Simulation (LES) (rather than Very Large Eddy Simulation which is used as default).
In the base simulation case, only two door openings are connected to the surroundings. During the experiment, it was also observed that some smoke was leaking through windows. The windows in Guldborgsund are casement windows made of wood, with a mean tightness range of 0.000403 m3/s per linear crack meter, according to [29]. The total crack length of the windows facing the road is approximately 8.1 m per window, equivalent to a flow rate of 0.00325 m3/s at 75 Pa. That gives a leakage area of approximately 3 cm2 per window. Simulations were performed with this leakage area (referred to as “L small” in Figure 20) and double of it (i.e., 6 cm2, referred to as “L large” in Figure 20) for all windows in the LR, ER and the small opening at the window on the first floor. The influence of wind is also investigated, by applying wind pressures of 0.5 (referred to as “W small” in Figure 20) and 1.0 Pa (referred to as “W large” in Figure 20), respectively. A positive pressure is applied on y + boundary and it creates simulated “wind” flow in a negative y direction (refer to coordinates in Figure 14). Furthermore, generic temperature dependent material properties were assigned to walls, ceilings and windows as presented in Table 4 and Figure 19. The thermal conductivity (K) of gypsum used at the construction site was measured by the authors, in the range of 15°C to 85°C, with the heat flow meter HFM 446 from Netzsch. In order to predict the performance above the measured values, the relative thermal conductivity presented by Janssens et al. [30] was used in combination with the measured values at 85°C as a base value, leading to the curve presented in Figure 19. The heat capacity (CP) of gypsum used in this case study is extracted from [31].
Table 4
Thermal Properties Assigned to Wall Materials for the Sensitivity Studies
Material
Specific heat capacity J/(kg K)
Thermal conductivity W/(m K)
Density kg/m3
Brick
835
0.72
1925
Glass
840
0.76
2700
Gypsum
Figure  19
Figure  19
765
Figure 19
Thermal properties of gypsum plasterboard used in the sensitivity studies
Full size image
The model sensitivity to the changed input parameters is presented for the thermocouple TC8 (212–213 cm above the floor level) in Figure 20. More specifically, Figure 20 presents 10 s time averaged temperature predictions relative to base-case simulations. Thermocouple TC8 is one below the uppermost thermocouple, and this position is chosen as a representative hot smoke layer temperature, that is less influenced by the ceiling material properties compared to the uppermost thermocouples.
Figure 20
Modelled TC8 sensitivity to the model input of HRR, burning area (A), fuel bed elevation (E), auto ignition temperature (AIT), leakage through windows (L), LES (large eddy simulation settings), wind (W), assigned material properties (mat), and fire spread (fire_spread)
Full size image
In general, the model temperatures are most sensitive to the changed HRR, and the sensitivity establishes already at relative early stages of the fire (from around the 2nd minute) and persist until the end of simulation creating 10–20% difference in simulation results in most cases. This result is also consistent with argumentation on HRR being the most important variable in fire hazard provided by Babrauskas and Peacock [32].
Including the material thermal properties in the simulation create the result difference up to almost 30% at the late stages of fire (6th minute). Using LES settings (rather than Very Large Eddy Simulation setting), creates a significant temperature difference of roughly 25% in the Extra Room on 6th minute, whereas the influence of this parameter is relatively small in other instances. Most of the investigated parameters had less than 10% influence to the temperature measurements in °C. The fire-spread model increases the temperatures up to 20% in the LR, but in general decrease the temperatures in the other rooms.

4.3.4 Smoke Detection Times

Since the data collection during the experiment is made every 1.5 s, the smoke detectors in the LRN and LRF got logged in as if activated simultaneously. For FDS, 16 scenarios were simulated with two different smoke detectors, i.e., Cleary photoelectric P1 and P2 [33]. Detector P2 predicted slightly earlier activation times, with an average difference of 2% and a maximum difference of 10% in the extra room (ER). The smoke detector P1 activation times are presented with the experimental data in Figure 21, where an even circle for a room indicates minor differences between simulation results and experiments. The standard deviation between the simulated cases is below 3 s for all rooms, except the hallway and first floor, where it is about 6 s.
Figure 21
Comparison of detection time of FDS with experimental results (logarithmic scale)
Full size image
In general, the activation time of the smoke detectors in FDS is shorter than in the experiment. The only two exceptions for FDS are the living room far field (LRF) and the dining room (DR), where the activation of the smoke detector took longer in the simulation than in the test, as seen as the two small dips for the experiment in Figure 21. The difference in detection times between the simulated base case and the experiment, excluding the first floor, varies between -31% to + 33%. In absolute time, the maximum difference is 31 s on the ground floor (in the hallway).
The first floor has a larger deviation, where the detection time in the test was about 119 s slower than in the simulation (a difference of 55%). That indicates the smoke spread to the first floor in the experiment was slower than anticipated in the simulation. The simulation with fire spread was closer to the experimental results for the first floor but further apart from some of the other simulations, so there was no clear indication that one simulation setup was better at predicting the activation times than the other simulations as also shown by the small standard deviation.

5 Discussion and Conclusions

This study presents an arson fire experiment and evaluates methods for fire investigation analysis. One of the variables often collected at a fire scene is measuring the smoke layer height. The soot markings on the walls were compared to the temperature measurements at different heights during the fire test. It was observed that soot markings deposited on the walls were higher than the sharp temperature gradients (arguably indicating a "hot smoke layer"). It was concluded that, in this case, the soot deposition height was a less reliable indicator of the thermal environment inside the room.
A stepwise numerical modelling for estimating the HRR of the fire in the reconstruction of a fire scene was performed. According to the stepwise approach, a simpler zone model (Argos) was used to estimate the HRR, and a more complex CFD-based model, FDS, was used to reconstruct the temperatures in the house's rooms. LIDAR (laser imaging, detection, and ranging) scans supported the creation of the geometry in FDS. The 2-zone model Argos was shown to be a relatively efficient tool for estimating the HRR based on the measured temperatures in the living room. The estimated HRR from Argos was used in FDS to get a more detailed view of the temperature distribution in the house. FDS showed the overestimation of the temperatures early in the fire and for measured temperatures in the lower range (below approx. 120°C). On the other hand, an underestimation was observed for higher-range temperatures. Significant underestimations were noticed at the end of the test when the amount of available air limited the simulated fire. Particular attention should therefore be taken when simulating the transition from fuel-controlled to ventilation-controlled fires. The study also shows that the model is most sensitive to uncertainties in the HRR. It is recommended to consider including the material properties in simulations, as it showed a significant difference at the later stages of fire in the presented case.
The simulation with base-case FDS model provided only a very simplified quantitative representation of the fire. In simulations the fuel was placed on a horizontal surface, whereas in the test the fire took place on a horizontal surface (seat), vertical surfaces (chair backrest, shelves) and at different heights (floor and seat). This was improved by defining a detailed geometry of the chair and fire spread on the surfaces. However the more detailed description of the chair geometry did not provide a better agreement compared to the base-case simulations.
Different sources of errors and uncertainties are present in any model. These errors and uncertainties are associated with simplification of modelled physics, the numerical method, discretization, truncation and round-off, uncertainties in the model input values and user error. Second order accurate scheme in space and time is applied in FDS for hydrodynamic model and the discretization errors are reduced as the mesh cell size is reduced. The mesh cell size used in the presented simulations was 50 mm. The model input uncertainties were dealt within the sensitivity studies as presented in the paper. The other sources of error can somewhat be estimated by comparing the presented results with model validation reference cases [34]. A similar example is UL/NIJ house experiments of 2 floor typical colonial type house, with using a burner of 500 kW with the burner located roughly 3 m in a horizontal distance from the thermocouple tree. In these tests FDS overpredicts the hot gas layer temperature roughly 25–40% at the peak temperature (below 150°C). In the presented study, the errors for temperatures for most of the fire duration was up to about 50%, indicating the importance of good description of the HRR (mostly unavailable for real fire investigation cases).
It is also recognized that the fire investigators would not have access to the temperature measurements for replicating the fire scenes numerically. Therefore, future studies should attempt to decrease the amount of input and assess the minimum information required for adequately reconstructing the fire scenes in CFD and focus on using the evidence in fire scenes to get more input data (e.g., additional temperature input could be based on the melting points of materials from the fire scene). In the base-case simulation of this study, the building materials were defined as “INERT”, as this is the default boundary condition in FDS. Nevertheless, the sensitivity analysis shown that the material properties have a significant influence on the temperature results, especially at the late stage of the studied fire scenarios (see the 6th minute results in Figure 20). Therefore, it is advised to define the thermal properties of the compartment boundaries.

Acknowledgements

The following Udgård project partners are acknowledged: Guldborgsund Municipality, Lolland-Falster Fire Service, Danish Police (National Forensic Services, Special crime unit), The Danish Emergency Management Agency, University of Dundee (Leverhulme Research Centre for Forensic Science, Scotland), Consilium and Leica. The help from the Danish Institute of Fire and Security Technology (DBI) colleagues is highly appreciated (Friedrich Grone, Henrik Sværke, Jesper Rasmussen, Lennart Schou Jensen, Alexandru Radulescu, Mads Hohlmann, Elena Funk, Dan Lauridsen).
Open Access This article is licensed under a Creative Commons Attribution 4.0 International License, which permits use, sharing, adaptation, distribution and reproduction in any medium or format, as long as you give appropriate credit to the original author(s) and the source, provide a link to the Creative Commons licence, and indicate if changes were made. The images or other third party material in this article are included in the article's Creative Commons licence, unless indicated otherwise in a credit line to the material. If material is not included in the article's Creative Commons licence and your intended use is not permitted by statutory regulation or exceeds the permitted use, you will need to obtain permission directly from the copyright holder. To view a copy of this licence, visit http://creativecommons.org/licenses/by/4.0/.

Publisher's Note

Springer Nature remains neutral with regard to jurisdictional claims in published maps and institutional affiliations.
Title
Guldborgsund Arson House Fire Experiment and Numerical Investigation
Authors
Bjarne Paulsen Husted
Karlis Livkiss
Ana Sauca
Publication date
14-08-2024
Publisher
Springer US
Published in
Fire Technology / Issue 2/2025
Print ISSN: 0015-2684
Electronic ISSN: 1572-8099
DOI
https://doi.org/10.1007/s10694-024-01584-y
1.
go back to reference European Commission, Directorate General for Internal Market, Industry, Entrepreneurship and SMEs et al. (2022) EU Firestat project: closing data gaps and paving the way for pan European fire safety efforts : final report. Publications Office
2.
go back to reference Manes M et al (2023) Closing data gaps and paving the way for pan-european fire safety efforts: part I—overview of current practices for fire statistics. Fire Technol. https://doi.org/10.1007/s10694-023-01415-6CrossRefMATH
3.
go back to reference Manes M et al (2023) Closing data gaps and paving the way for pan-european fire safety efforts: part ii—terminology of fire statistical variables. Fire Technol. https://doi.org/10.1007/s10694-023-01408-5CrossRefMATH
4.
go back to reference NFPA 921, Guide for fire and explosion investigations (2021) NFPA National Fire Codes
5.
go back to reference Best Practice Manual for the Investigation of Fires and Explosions (2021) ENFSI-BPM-FEI-01. https://enfsi.eu/wp-content/uploads/2021/03/ENFSI-BPM-FEI-01-004.pdf
6.
go back to reference Nordic Fire Manual. A practical guide for fire investigations. A collaboration project between the Nordic countries. https://brandogsikring.dk/files/Pdf/Brandunders%C3%B8gelser/Nordic%20Fire%20Manual%20v.2.0%20-%20First%20Edition.pdf
7.
go back to reference Zhang G, Zhou X, Zhu G, Yan S (2019) A new accident analysis and investigation model for the complex building fire using numerical reconstruction. Case Stud Therm Eng 14:100426. https://doi.org/10.1016/j.csite.2019.100426CrossRefMATH
8.
go back to reference Shen T-S, Huang Y-H, Chien S-W (2008) Using fire dynamic simulation (FDS) to reconstruct an arson fire scene. Build Environ 43(6):1036–1045. https://doi.org/10.1016/j.buildenv.2006.11.001CrossRefMATH
9.
go back to reference Madrzykowski D, Bryner N, Grosshandler W, Stroup D (2004) Fire spread through a room with polyurethane foam covered walls. Interflam 2004, Edinburgh
10.
go back to reference Bryner N, Madrzykowski D, Grosshandler W (2007) Reconstructing the station nightclub fire–computer modeling of the fire growth and spread. In International interflam conference, 11th proceedings. London, pp 3–5
11.
go back to reference Galea E, Wang Z, Veeraswamy A, Jia F, Lawrence P, Ewer J (2008) Coupled fire/evacuation analysis of the station nightclub fire. Fire Saf Sci 9:465–476. https://doi.org/10.3801/IAFSS.FSS.9-465CrossRefMATH
12.
go back to reference Yuen ACY, Yeoh GH, Alexander B, Cook M (2014) Fire scene investigation of an arson fire incident using computational fluid dynamics based fire simulation. Build Simul 7(5):477–487. https://doi.org/10.1007/s12273-014-0164-9CrossRefMATH
13.
go back to reference Jahn W, Gonzalez O, de Dios Rivera J, Torero JL (2015) Using computational fluid dynamics in the forensic analysis of a prison fire. Forensic Sci Int 253:e33–e42. https://doi.org/10.1016/j.forsciint.2015.06.003CrossRef
14.
go back to reference Yang P, Tan X, Xin W (2011) Experimental study and numerical simulation for a storehouse fire accident. Build Environ 46(7):1445–1459. https://doi.org/10.1016/j.buildenv.2011.01.012CrossRefMATH
15.
go back to reference Rein G et al (2009) Round-robin study of a priori modelling predictions of the Dalmarnock Fire Test One. Fire Saf J 44(4):590–602. https://doi.org/10.1016/j.firesaf.2008.12.008CrossRefMATH
16.
go back to reference Rein G, Jahn W, Torero J (2011) Modelling of the growth phase of Dalmarnock fire test one. In: 12th International Fire and Materials Conference, San Francisco.
17.
go back to reference Jahn W, Rein G, Torero J (2008) The effect of model parameters on the simulation of fire dynamics. Fire Saf Sci 9:1341–1352. https://doi.org/10.3801/IAFSS.FSS.9-1341CrossRefMATH
18.
go back to reference Guillaume E, Dréan V, Girardin B, Benameur F, Koohkan M, Fateh T (2020) Reconstruction of Grenfell Tower fire. Part 3—Numerical simulation of the Grenfell Tower disaster: contribution to the understanding of the fire propagation and behaviour during the vertical fire spread. Fire Mater 44(1):35–57. https://doi.org/10.1002/fam.2763CrossRef
19.
go back to reference Taylor BN, Kuyatt CE (1994) Guidelines for evaluating and expressing the uncertainty of NIST measurement results. National Institute of Standards and Technology, Gaithersburg, MD 20899-0001. NIST Technical Note 1297. https://emtoolbox.nist.gov/Publications/NISTTechnicalNote1297s.pdf. Accessed 07 July 2021
20.
go back to reference Särdqvist S (1993) Initial fires. RHR, smoke production and CO generation from single items and room fire tests. Department of Fire Safety Engineering and Systems Safety, Lund University. https://www.lunduniversity.lu.se/lup/publication/c80cd76d-dd99-499f-8634-bd1712c56596. Accessed 06 Feb 2023
21.
go back to reference Di Stefano F, Chiappini S, Gorreja A, Balestra M, Pierdicca R (2021) Mobile 3D scan LiDAR: a literature review. Geomat Nat Hazards Risk 12(1):2387–2429. https://doi.org/10.1080/19475705.2021.1964617CrossRef
23.
go back to reference Husted BP, Westerman D (2009) ARGOS, Theory Manual (version 8.02). Danish Institute of Fire and Security Technology. https://brandogsikring.dk/files/Argos/Argos_theory_manual_ver8_02.pdf. Accessed 24 Jan 2023
24.
go back to reference McGrattan KB, Hostikka S, Floyd J, McDermott R, Vanella M, Mueller E (2023) Fire Dynamics Simulator Technical Reference Guide Volume 1: Mathematical Model (FDS-6.8.0-0-g886e009), National Institute of Standards and Technology, Gaithersburg, MD, NIST SP 1018. https://doi.org/10.6028/NIST.SP.1018
25.
go back to reference Scherfig S, Baden N (2023) Argos validation report—comparison of ARGOS simulations with full scale multi-room fire tests. https://brandogsikring.dk/files/Argos/Argos_Validation_report.pdf. Accessed 19 Sep 2023
26.
go back to reference Hägglund B, Comparing fire models with experimental data,” Sundbyberg Sweden, FOA report C 20864-2.4
27.
go back to reference Bong WJ (2011) Limitations of zone models and CFD models for natural smoke filling in large spaces. University of Canterbury
28.
go back to reference Husted B (2017) Turbulent mixing in the lower part of the smoke layer using the Fire Dynamic Simulator. In: 1st International symposium K-force 2017 knowledge for resilient society, Novi Sad
29.
go back to reference Weidt J, Weidt J (1980) Air leakage of newly instaled residential windows,” LBL-11111, 6814665. https://doi.org/10.2172/6814665
30.
go back to reference Janssens ML, Huczek JP, Schluneker AM, Icove DJ (2023) Estimating effective material thermal properties for use in CFAST. In: Obtaining data for fire growth models, MC Bruns (Ed). 100 Barr Harbor Drive, PO Box C700, West Conshohocken, PA 19428-2959: ASTM International. pp. 30–50. https://doi.org/10.1520/STP164220220005
31.
go back to reference Thomas G (2002) Thermal properties of gypsum plasterboard at high temperatures. Fire Mater 26(1):37–45. https://doi.org/10.1002/fam.786CrossRefMATH
32.
go back to reference Babrauskas V, Peacock RD (1992) Heat release rate: the single most important variable in fire hazard. Fire Saf J 18(3):255–272. https://doi.org/10.1016/0379-7112(92)90019-9CrossRefMATH
33.
go back to reference McGrattan KB, Hostikka S, Floyd J, McDermott R, Vanella M, Mueller E (2023) Fire dynamics simulator. User’s guide (FDS-6.8.0-0-g886e009), National Institute of Standards and Technology, Gaithersburg, MD, NIST SP 1019. https://doi.org/10.6028/NIST.SP.1019
34.
go back to reference McGrattan KB, Hostikka S, Floyd J, McDermott R, Vanella M, Mueller E (2023) Fire dynamics simulator technical reference guide volume 3: validation (FDS-6.8.0-0-g886e009). National Institute of Standards and Technology, Gaithersburg, MD, NIST SP 1018. https://doi.org/10.6028/NIST.SP.1018