Skip to main content
Top

In Memory of Steffen Hölldobler: From Logic to Formal and Cognitive Reasoning

  • Open Access
  • 12-03-2024
  • Obituary
Published in:

Activate our intelligent search to find suitable subject content or patents.

search-config
loading …

Abstract

This article celebrates the life and work of Steffen Hölldobler, a distinguished figure in the realms of logic, cognitive reasoning, and AI. Hölldobler's journey began with his PhD work on equational logic programming, which laid the foundation for his groundbreaking contributions to the field. His collaboration with Alan Robinson's Logic Programming Research Group at Syracuse University introduced him to the fusion of logic and functional programming. This led to the development of the Functional and Horn Clause Logic language (FHCL), showcasing his innovative approach to combining different paradigms. Hölldobler's exploration of connectionist models and their application in computing unifiers further expanded his influence. His postdoctoral thesis on Automated Inferencing and Connectionist Models marked a significant milestone in his career. Hölldobler's later work in cognitive science, particularly the development of the Weak Completion Semantics, aimed to bridge the gap between formal logic and human reasoning. This framework has been successfully applied to various human reasoning tasks, outperforming numerous cognitive theories. The article also delves into Hölldobler's contributions to the International Master’s Program in Computational Logic and his dedication to fostering international academic collaborations. His visionary work and personal qualities have left an indelible mark on the scientific community. This comprehensive overview of Hölldobler's life and accomplishments offers a fascinating glimpse into the evolution of AI and cognitive science, making it a must-read for those interested in the intersection of these fields.

1 The PhD Student

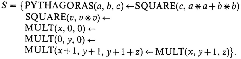
After pursuing a Diploma in Computer Science, Steffen happened to quit the Army and start as a research and teaching assistant at the University of the Bundeswehr Munich with Prof. Niegel, where UF was working as a postdoc. During his time as a PhD student Steffen started as a visiting research associate at Alan Robinson’s Logic Programming Research Group at the Syracuse University, USA in 1983. During this visit he became interested in the combination of logic and functional programming—a topic that paved the way for a very fruitful collaboration between Steffen and UF (e.g. [8]). Figure 1 shows an example: there is a logic program PYTHAGORAS which uses a function \(*\) for multiplication. During execution of the program it might happen that the arguments of the function are not yet instantiated, such that the function cannot be evaluated; in such a case the unification algorithm uses an equivalent logic program, in our example the clauses for MULT, to further evaluate the function call.
Fig. 1
Functional and Horn clause logic language (FHCL) for the combination of Horn clauses with functions. Example taken from [8]
Full size image
Steffen and UF published together on this topic and because they were reasonably successful, both were able to take a lot of liberties—they were kind of enfants terrible and enjoyed rebelling against the rigidity of academic administration.
For his PhD-Thesis Steffen concentrated on Equational Logic Programming and his Dissertation was published in the prestigious Springer series Lecture Notes in AI [12]. Figure 2 shows an example from his thesis. It depicts a logic program which contains Horn clauses together with Horn equality theories, and which has to be evaluated by EP-resolution based on EP-unification.
Fig. 2
Equational logic programming. Example taken from [12]
Full size image

2 The Postdoc

In 1988 Steffen joined Wolfgang Bibel’s Intellectics Group at TU Darmstadt in Germany and shortly thereafter, in 1989, he was offered a one-year fellowship as a postdoc at the International Computer Science Institute (ICSI) at Berkeley, USA. During this period he still remained true to his theme of equational logic programming. There he was introduced to connectionism by Jerry Feldman and he immediately realised that this method could be used excellently for calculating unifiers. Steffen managed to find a clever representation of terms and the unification problem in order to efficiently use networks for computation. Figure 3 shows an example of the representation of two terms from [13].
Fig. 3
Computing a unifier by a neural network. Example taken from [13]. The figure depicts the representation of \(\langle f(x, x, y) = f(g(y), g(g(z)), g(a))\rangle\); a initially, b after 1 step, and c after 2 steps, where the most recently activated units are half-filled
Full size image
UF very well remembers the discussion about whether this approach could be regarded as cognitively motivated or whether it was just a clever “hardware trick”. Anyhow, this research at the ICSI finally led to a postdoctoral thesis (Habilitation) on Automated Inferencing and Connectionist Models in 1993. Steffen worked on his thesis at TU Darmstadt with Wolfgang Bibel and Larry Feldman as supervisors. Later on in a series of papers beginning in 2000 he started discussing the problem of combining connectionist-based approaches with symbolic reasoning. In [1] he discussed questions like “how can first-order rules be extracted from a connectionist network?” or “how can established learning algorithms such as backpropagation be combined with symbolic knowledge representation?”—and yes, these are exactly the topics which are nowadays discussed in order to find a way towards explainable AI! All of this can certainly be viewed as Steffen’s first turn towards the field of cognitive science. In later years this aspect becomes much clearer and even more prominent in his work.
Another continuation of Steffen’s earlier work on unification theory can be traced in his work on planning—shortly after joining Wolfgang Bibel’s Intellectics group in 1988 Steffen came across various planning approaches. Together with Josef Schneeberger, he developed a new calculus for deductive planning [17]. The basis for this approach are equational logic programs [12], where situations, which depict states of the world, and plans, which are sequences of actions that transform one situation to another, are represented by terms. Reasoning about situations and plans are performed at the object level and a generated plan precisely corresponds to the well-known concept of a computed answer substitution via SLDE-resolution [9, 12].
As a small example let us consider a situation, where a robot is holding a block v, denoted by h(v), and it is required to perform the action of putting v down on a table surface t, denoted by \(putdown(v)\). Figure 4 shows the definition of the \(putdown\)-operator.
Fig. 4
A Definition of \(putdown\) from [17]
Full size image
If there is a plan or a sequence of actions whose execution leads to a situation where the robot is holding a block v, then we execute a plan involving the action \(putdown\), which results in the block v being on the table with its top clear and the robot’s hands empty. Analogously, \(z \circ t(v) \circ c(v) \circ e\) is a term representing a situation where t(v) denotes that the block v is on the table t, c(v) denotes that the top of v is clear, and e denotes that the robot’s hands are empty. And \(p: putdown (v)\) is a term denoting a plan p with the additional action of putting v down.
This approach was further developed by Steffen and other members of the Darmstadt Intellectics Group [10, 11, 14, 18]. In particular, Steffen’s cooperation with Michael Thielscher was most successful. The work addresses fundamental AI problems like the frame and the ramification problem. It also considers different types of logic, e.g. linear logic, and alternative proof procedures. Today the approach is known as the fluent calculus [29, 30] and is considered to be one of the most important approaches in the field of reasoning about situations, actions, and causality.
During his time with Wolfgang Bibel’s Intellectics group Steffen was extremely productive. He published in several different areas of AI, e.g. [2, 3], and certainly contributed significantly to the high international reputation of the field of Intellectics at TU Darmstadt.

3 The European Master’s Program in Computational Logic

Steffen became a Professor for Knowledge Representation and Reasoning at the Computer Science Department of Technische Universität Dresden in 1993. In 1997 he established the “International Master’s programme in Computational Logic (MCL)", which was one of the first English-language Master’s programmes at a computer science faculty in Germany and thus garnered a lot of attention for computer science at TU Dresden.
The “European Master’s Program in Computational Logic”, established under his leadership in 2004, expanded the previous programme concept [31]. Besides Dresden as a coordinating university the following partners participated: Free University of Bozen-Bolzano in Italy, Universidade Nova de Lisboa in Portugal, Technische Universität Wien in Austria and NICTA in Australia. In 2003, Steffen founded the International Center for Computational Logic (ICCL) as an international competence centre for research and teaching in the field of computational logic. He was also committed to the faculty as Dean of Studies for international degree programmes. He was the coordinator of both programmes until 2019 and raised a large number of Erasmus scholarships. In the period between 2010 and 2014, the two programmes were supplemented by the DAAD-funded “International PhD Program in Computational Logic” through his initiative.
Steffen organised numerous international summer schools for students both at TU Dresden and in Vietnam, Indonesia, Thailand and Mongolia, among others. These Asian summer schools lasted 2 weeks each, during which a group of German colleagues taught students. During this time Steffen’s many talents became apparent. Organisation in an Asian country was certainly not always easy but Steffen managed to organise everything with remarkable ease. Not only did he enjoy organising the course, but he was also enthusiastic to teach and got the participants excited about Computational Logic. Whenever possible, the lecturers also attended the courses of their colleagues and this helped develop a special relationship among them during the time spent at the summer schools. The many weeks UF was able to spend during these occasions are certainly among his fondest memories.
During the Mongolian summer school MB accompanied the team as a student assistant. At that time she was pursuing a master’s degree in Computational Logic at TU Dresden and met Steffen through his formidable logic lectures. The trip to Mongolia left a lasting impression in MB’s mind and she looks back at them with immense fondness and gratitude to this day. Steffen had been her friend, philosopher and guide ever since and played a very important role in her life.

4 Cognitive Science and Logic

As mentioned earlier, Steffen already had points of contact with Cognitive Science through his involvement with Connectionism. Also the discussions in the Darmstadt Intellectics group about Johnson Laird’s work on deduction, after the publication of [20], made him familiar with the subject area.
However, he finally stumbled into the field of Cognitive Science in the year 2007, when he presented an idea of computing semantic operators associated with logic programs by feed-forward connectionist networks at a lecture in the summer school of the International Center of Computational Logic at TU Dresden. He put forward the proposal of recursively propagating (logical) interpretations with respect to the logic programs through the connectionist networks until they converged to stable states—which were also the least models of the programs. After his talk Steffen apprehensively asked the audience whether these aforementioned stable states have something in common with mental models. Researcher Michiel van Lambalgen who was in the audience raised his arm and answered: these are mental models.
How humans reason has been a long standing question in psychology and cognitive science, with many paradigms attempting to explain and put together pieces of the extraordinary puzzle. Following psychologist Philip Johnson Laird in [19] Steffen too began considering the question “are there general ways of thinking that humans follow when they make deductions?”. Given his background in mathematics and computational logic, Steffen’s preliminary attempt was to consider classical two-valued logic—what was once considered a normative theory for many accounts of human reasoning. However, many studies over the past years have continuously challenged this view [24]. In similar vein, Steffen and his colleagues started exploring the three-valued non-monotonic logic paradigm to model human reasoning and thus began the development of the Weak Completion Semantics.
Steffen’s broad long term research goal was to develop a computational and comprehensive (cognitive) theory for adequately modelling human reasoning tasks. He envisioned the theory to be computational such that human responses to a reasoning task may be computed, and comprehensive such that the theory may be able to encompass a wide variety of tasks. The Weak Completion Semantics is based on ideas initially proposed by Keith Stenning and Michiel van Lambalgen in [28]. It is mathematically sound [16], has been applied to various human reasoning tasks such as the suppression task [6], the selection task [7], the belief-bias effect [25], ethical decision-making [15] etc. It has outperformed the twelve cognitive theories considered by Philip Johnson-Laird and Sangeet Khemlani [21] in syllogistic reasoning [5] and is implementable in a connectionist setting [27].

4.1 The Weak Completion Semantics: an Example

As a brief illustrative example of how the Weak Completion Semantics can be used to model human reasoning scenarios, let us consider an excerpt from an experiment, dubbed as the suppression task, which was conducted by psychologist Ruth Byrne [4] following [22, 23, 26]. The purpose of the experiment was to study if and under what circumstances humans suppress classically valid responses such as modus ponens and modus tollens.
Let us begin with the given premises, if she has an essay to write, then she will study late in the library and she has an essay to write. For any reasoning episode the first step within the WCS framework is to construct a representative logic program. In line with the above premises we thus construct the following program, \({{\mathcal {P}}}\):
$$\begin{aligned} \{l \leftarrow e \wedge \lnot ab _e,\ ab _e \leftarrow \bot , \ e \leftarrow \top \}, \end{aligned}$$
where e and l represent that she has an essay to write and that she will study late in the library, respectively. The abnormality predicate \(ab _e\) is assumed to be false. The abnormality predicate serves the purpose of the (default) assumption that nothing is abnormal with regards to a given context—something humans seem to assume when reasoning with limited information, as was suggested in [28]. Weakly completing \({{\mathcal {P}}}\) results in \(wc({{\mathcal {P}}})\):
$$\begin{aligned} \{l \leftrightarrow e \wedge \lnot ab _e,\ ab _e \leftrightarrow \bot , \ e \leftrightarrow \top \}, \end{aligned}$$
whose least model (the step by step computation of which is excluded from the current discussion for simplification purposes) is \(\langle \{e, l\}, \{ ab _e\} \rangle .\) Here, the atoms e and l are true while \(ab _e\) is false. Anything outside the scope of this model is unknown in this context. In other words, the reasoner concludes that she will study late in the library, which forms the majority consensus in the experiments reported by Byrne.
Now, if the above premises were to be supplemented with an additional premise: if the library stays open, then she will study late in the library, the set would be represented by the following program \({{\mathcal {P}}}^\prime\):
$$\begin{aligned} \begin{gathered} \{l \leftarrow e \wedge \lnot ab _e,\ ab _e \leftarrow \bot ,\\ l \leftarrow o \wedge \lnot ab _o,\ ab _o \leftarrow \bot ,\\ ab _e \leftarrow \lnot o,\ ab _o \leftarrow \lnot e,\\ e \leftarrow \top \}, \end{gathered} \end{aligned}$$
where the meanings of the previously mentioned atoms remain the same, o denotes the library stays open and \(ab _o\) denotes any abnormality with respect to the library staying open. The two definitions of \(ab _e\) semantically mean that either there is nothing abnormal with respect to having an essay to write (the default assumption) or as suggested by the addition of the above premise, there may be something abnormal namely that the library might be closed. Similarly the definitions of \(ab _o\) semantically mean that either there is no abnormality with regards to the library staying open or there is no essay to write.
Now, weakly completing \({{\mathcal {P}}}^\prime\) results in \(wc({{\mathcal {P}}}^\prime )\):
$$\begin{aligned} \begin{gathered} \{l \leftrightarrow (e \wedge \lnot ab _e) \vee (o \wedge \lnot ab _o),\\ ab _e \leftrightarrow \bot \vee \lnot o,\\ ab _o \leftrightarrow \bot \vee \lnot e,\\ e \leftrightarrow \top \}, \end{gathered} \end{aligned}$$
whose least model is \(\langle \{e\}, \{ ab _o\} \rangle ,\) where e is true and \(ab _o\) is false. As l is unknown with respect to this model, the previously drawn conclusion, she will study late in the library, is now suppressed and the reasoner concludes that she may or may not study late in the library. This phenomenon is the so-called suppression effect reflected in the experiments reported by Byrne. In the demonstrated case, even when the antecedent is affirmed i.e. a person has an essay to write, reasoners may not automatically conclude that the person will study late in the library (i.e. draw an MP conclusion) because there is a possibility of the library being closed which may disable the person from doing so. Analogously in the context of the least model of \(wc({{\mathcal {P}}}^\prime )\), it is unknown whether the library stays open (o) or not hence the atom \(ab _e\) is unknown. And this means l is (also) unknown in the least model.
Steffen was not only a Computer Scientist or a Logician but he also took a keen interest in the inner workings of human rationality. It was this combination which led him to spearhead the development of the Weak Completion Semantics framework. And while in this paper we have used the above example to illustrate the Weak Completion Semantics, it is really Steffen’s vision of bridging the gap between (formal) logic and psychology or cognitive science which we seek to exemplify.

5 Closing

Until his untimely demise in 2023, Steffen had authored four monographs, more than 100 scientific articles and edited more than 30 publications. Besides his own research, Steffen had also been very active in his academic community, organising workshops and conferences and serving for many years on the selection committee for the GI Doctoral Award. He held a honorary professorship from Stavropol university, but at the same time was horrified by the recent Russian war of aggression in Ukraine. One of his last activities before he fell ill was an attempt to organise a scientific event in parallel to the 17th annual G20 summit in November 2022 in Bali in order to demonstrate peaceful and friendly coexistence among scientists across all borders.
In this article the authors have tried to focus on the various aspects of Steffen’s work. However, the limited scope of this article does not and cannot reflect the essence of the man Steffen was. And this commemoration would indeed be incomplete without emphasising that while a good scientist, Steffen was also a people person—his presence in a room could hardly go unnoticed. He was a family man and a loving father. As MB fondly recollects, he would often advise her to not stress about “small" things and reminded her time and again that happiness is the most important thing in life. As he would often say, das Leben ist schön—life is beautiful.
Indeed, the authors will terribly miss their dear friend and bid him a very fond farewell.
Open Access This article is licensed under a Creative Commons Attribution 4.0 International License, which permits use, sharing, adaptation, distribution and reproduction in any medium or format, as long as you give appropriate credit to the original author(s) and the source, provide a link to the Creative Commons licence, and indicate if changes were made. The images or other third party material in this article are included in the article's Creative Commons licence, unless indicated otherwise in a credit line to the material. If material is not included in the article's Creative Commons licence and your intended use is not permitted by statutory regulation or exceeds the permitted use, you will need to obtain permission directly from the copyright holder. To view a copy of this licence, visit http://​creativecommons.​org/​licenses/​by/​4.​0/​.

Our product recommendations

KI - Künstliche Intelligenz

The Scientific journal "KI – Künstliche Intelligenz" is the official journal of the division for artificial intelligence within the "Gesellschaft für Informatik e.V." (GI) – the German Informatics Society - with constributions from troughout the field of artificial intelligence.

Title
In Memory of Steffen Hölldobler: From Logic to Formal and Cognitive Reasoning
Authors
Meghna Bhadra
Ulrich Furbach
Publication date
12-03-2024
Publisher
Springer Berlin Heidelberg
Published in
KI - Künstliche Intelligenz / Issue 2-4/2023
Print ISSN: 0933-1875
Electronic ISSN: 1610-1987
DOI
https://doi.org/10.1007/s13218-024-00837-w
1.
go back to reference Bader S, Hitzler P, Hölldobler S (2004) The integration of connectionism and first-order knowledge representation and reasoning as a challenge for artificial intelligence. arXiv preprint cs/0408069
2.
go back to reference Bibel W, Hölldobler S, Schaub T (1993) Wissensrepräsentation und Inferenz. Vieweg Verlag, BraunschweigCrossRef
3.
go back to reference Bibel W, Hölldobler S, Würtz J (1992) Cycle unification. In: Kapur D (ed) CADE-92. Lecture notes in artificial intelligence. Springer, Berlin, pp 94–108
4.
go back to reference Byrne RM (1989) Suppressing valid inferences with conditionals. Cognition 31(1):61–83CrossRef
5.
go back to reference da Costa AO, Saldanha EAD, Hölldobler S, Ragni M (2017) A computational logic approach to human syllogistic reasoning. In: CogSci
6.
go back to reference Dietz EA, Holldobler S, Ragni M (2012) A computational logic approach to the suppression task. In: Proceedings of the annual meeting of the cognitive science society, vol 34
7.
go back to reference Dietz EA, Hölldobler S, Ragni M (2013) A computational logic approach to the abstract and the social case of the selection task. In: Proceedings eleventh international symposium on logical formalizations of commonsense reasoning
8.
go back to reference Furbach U, Hölldobler S (1986) Modelling the combination of functional and logic programming languages. J Symb Comput 2(2):123–138. https://​doi.​org/​10.​1016/​S0747-7171(86)80018-9MathSciNetCrossRef
9.
go back to reference Gallier JH, Raatz S (1989) Extending SLD resolution to equational horn clauses using e-unification. J Log Progr 6(1–2):3–43MathSciNetCrossRef
10.
go back to reference Große G, Hölldobler S, Schneeberger J (1996) Linear deductive planning. J Log Comput 6(2):233–262. https://​doi.​org/​10.​1093/​logcom/​6.​2.​233MathSciNetCrossRef
11.
go back to reference Große G, Hölldobler S, Schneeberger J, Sigmund UC, Thielscher M (1992) Equational logic programming actions, and change. In: Apt KR (ed) Logic programming, proceedings of the joint international conference and symposium on logic programming, JICSLP 1992. MIT Press, pp 177–191
12.
go back to reference Hölldobler S (1989) Foundations of equational logic programming. LNAI. Springer, BrrlinCrossRef
13.
go back to reference Hölldobler S (1990) A structured connectionist unification algorithm. In: Proceedings of the national conference of the American Association on artificial intelligence, vol 90, pp 587–593
14.
go back to reference Hölldobler S (1992) On deductive planning and the frame problem. In: Voronkov A (ed) Logic programming and automated reasoning,international conference LPAR’92, July 15-20, 1992, proceedings, vol 624. Lecture notes in computer science. Springer, pp 13–29. https://​doi.​org/​10.​1007/​BFb0013045
15.
go back to reference Hölldobler S (2018) Ethical decision making under the weak completion semantics. In: Bridging@ IJCAI/ECAI, p 1
16.
go back to reference Hölldobler S, Kencana Ramli CDP (2009) Logic programs under three-valued łukasiewicz semantics. In: Logic programming: 25th international conference, ICLP 2009, Pasadena, CA, USA, July 14–17, 2009. Proceedings 25. Springer, pp 464–478
17.
go back to reference Hölldobler S, Schneeberger J (1990) A new deductive approach to planning. New Gener Comput 8:225–244CrossRef
18.
go back to reference Hölldobler S, Thielscher M (1995) Computing change and specificity with equational logic programs. Ann Math Artif Intell 14(1):99–133. https://​doi.​org/​10.​1007/​BF01530895MathSciNetCrossRef
19.
go back to reference Johnson-Laird PN (2015) Models of deduction. Reasoning: representation and process. Psychology Press, London, pp 7–54
20.
go back to reference Johnson-Laird PN, Byrne RMJ (1991) Deduction. Lawrence Erlbaum Associates, Hove and London
21.
go back to reference Khemlani S, Johnson-Laird PN (2012) Theories of the syllogism: a meta-analysis. Psychol Bull 138(3):427CrossRef
22.
go back to reference Markovits H (1984) Awareness of the ‘possible’ as a mediator of formal thinking in conditional reasoning problems. Br J Psychol 75(3):367–376CrossRef
23.
go back to reference Markovits H (1985) Incorrect conditional reasoning among adults: competence or performance? Br J Psychol 76(2):241–247CrossRef
24.
go back to reference Oaksford M, Chater N (2020) New paradigms in the psychology of reasoning. Annu Rev Psychol 71:305–330CrossRef
25.
go back to reference Pereira LM, Dietz EA, Hölldobler S (2014) An abductive reasoning approach to the belief bias effect. In: Fourteenth international conference on the principles of knowledge representation and reasoning
26.
go back to reference Rumain B, Connell J, Braine MD (1983) Conversational comprehension processes are responsible for reasoning fallacies in children as well as adults: if is not the biconditional. Dev Psychol 19(4):471CrossRef
27.
go back to reference Saldanha EAD, Hölldobler S, Ramli CDPK, Medinacelli LP (2018) A core method for the weak completion semantics with skeptical abduction. J Artif Intell Res 63:51–86MathSciNetCrossRef
28.
go back to reference Stenning K, van Lambalgen M (2005) Semantic interpretation as computation in nonmonotonic logic: the real meaning of the suppression task. Cognit Sci 29(6):919–960CrossRef
29.
go back to reference Thielscher M (1997) Ramification and causality. Artif Intell 89(1–2):317–364. https://​doi.​org/​10.​1016/​S0004-3702(96)00033-1MathSciNetCrossRef
30.
go back to reference Thielscher M (1998) Introduction to the fluent calculus. Electron Trans Artif Intell 2:179–192MathSciNet
31.
go back to reference Wikipedia Contributors. European master program in computational logic—Wikipedia, the free encyclopedia (2022). https://​en.​wikipedia.​org/​w/​index.​php?​title=​European_​Master_​Program_​in_​Computational_​Logic &​oldid=​1084963861. Accessed 18 Jul 2023

Premium Partner

    Image Credits
    Neuer Inhalt/© ITandMEDIA, Nagarro GmbH/© Nagarro GmbH, AvePoint Deutschland GmbH/© AvePoint Deutschland GmbH, AFB Gemeinnützige GmbH/© AFB Gemeinnützige GmbH, USU GmbH/© USU GmbH, Ferrari electronic AG/© Ferrari electronic AG