Skip to main content
Top

Magnetohydrodynamic effects on radio signal propagation in a plasma flow

  • Open Access
  • 01-11-2025
  • Research Article
Published in:

Activate our intelligent search to find suitable subject content or patents.

search-config
loading …

Abstract

This article examines the impact of magnetohydrodynamic (MHD) effects on radio signal propagation in plasma flows, focusing on the challenges of communication blackout during spacecraft reentry. The study explores various mitigation techniques, including the application of magnetic fields to alter the plasma's properties and reduce signal attenuation. Key topics include the theoretical framework of MHD, experimental setups for measuring signal propagation and plasma characteristics, and the analysis of results from these experiments. The article concludes that while the application of magnetic fields shows promise in mitigating communication blackout, further research and testing are needed to fully understand and optimize these effects. Additionally, the text discusses the potential of high-temperature superconducting magnets in future space missions, highlighting their advantages in generating strong magnetic fields onboard reentry vehicles. The detailed experimental data and theoretical insights provided offer valuable information for professionals seeking to advance their understanding of MHD effects in plasma flows and their applications in aerospace engineering.
Alan Viladegut, Sonja I. Schlachter, Matthieu Dalban-Canassy, Johannes W. Oswald, Georg Herdrich, Adriano Camps and Olivier Chazot have contributed equally to this work.

Publisher's Note

Springer Nature remains neutral with regard to jurisdictional claims in published maps and institutional affiliations.

1 Introduction

Spacecraft enter planetary atmospheres at hypersonic velocities generating a shock wave ahead of the vehicle and consequent extreme aerodynamic heating. The high post-shock temperatures dissociate and ionize the atmospheric gases, creating a plasma layer that surrounds the spacecraft. High ionization degrees affect the propagation of the electromagnetic waves emitted by the on-board communication antennas, causing impairment mechanisms as attenuation, reflection, ray bending, scattering (Ho et al. 2002), and polarization rotation of the radio waves. Extreme ionization levels lead, ultimately, to communications blackout. From the beginning of space exploration, different methodologies to actively reduce the plasma layer effects on radio communication attenuation and blackout have been researched. During the 1960s, NASA’s radio attenuation measurement program (Rybak and Churchill 1971) was conducted to characterize the reentry plasma parameters and to begin in-flight testing of some mitigation methods. Those studies highlighted the most feasible methods to be electrophilic injection and magnetic windows opening (Jones 2006). A detailed literature review on the blackout mitigation techniques has been presented by Luís et al. (2023).
Particularly, the magnetic field alleviation technique consists of superimposing a magnetic field onto the flow. The magnetic field converts the plasma into an anisotropic medium with different propagation constants in different directions (Rawhouser 1970), altering the refractive index of the medium (Mahaffey 1963).
Several experimental campaigns have been performed in ground facilities, for studying the effect of a magnetic field on the communication blackout. Russo and Hughes (1964) measured the effects of a static magnetic field on VHF transmission, using a 0.75 T electromagnet mounted behind the antenna, in a ground experiment employing a plasma from a solid rocket motor. The results indicated signal attenuation reduction from 45 to 28 dB when applying the magnetic field in a direction normal to the slot antenna, and parallel to the transmission propagation direction. Lemmer et al. (2009) evaluated the use of crossed electric and magnetic fields to lower the plasma density in a region surrounding the antenna. Their experiments were conducted in a 150-mm diameter helicon plasma source operating with argon. The attenuation levels improved from 10 to 2 dB for frequencies at L-band, and the plasma number density decreased up to 70%, finding this approach to be a feasible method for communication blackout amelioration. Schlachter et al. (2017) used a high-temperature superconducting (HTS) magnet and two electrodes, to create the magnetic and electric fields, respectively, relying on the \(\textbf{E}\times \textbf{B}\) communication blackout scheme. The experiments were conducted at the DLR L2K arc heated wind tunnel, in an argon plasma. The experimental setup consisted of a flat plate model with a transmitter antenna, and a superconducting magnet reaching 2 T on the surface of the flat plate, positioned in a region with lower plasma number density, avoiding radio waves attenuation and reflections. The receiving antenna was aligned with the transmitting one, placed outside of the flow, inside of the chamber. The transmitting antenna operated between 2 and 10 GHz, and they tested at plasma frequencies of 3.6 GHz, 4.7 GHz and 7.0 GHz. For the two lowest plasma frequencies, they saw an attenuation improvements between 0 and 6 dB. For the highest plasma frequency, the signal magnitude change varied between − 4.8 and 8 dB for signal frequencies between 2.6 and 4.1 GHz, decreasing to 0 dB up to 8 GHz and stabilizing for higher frequencies.
The magnetic field alleviation technique also alters the properties of the flow, due to the interaction of the electromagnetic forces with the electrically charged plasma. When the charged particles cross a magnetic field line, each particle experiences a Lorentz force. The Lorentz force has a flow-facing component which acts on the induced current (Gildfind et al. 2018), and in hypersonic flight, it causes a deceleration of the flow behind the shock, pushing the bow shock away from the blunt body Zhou et al. (2022). Theoretical (Ziemer and Bush 1958) and experimental (Martinez Schramm and Hannemann 2017) studies have shown that the shock stand-off distance increases with increasing magnetic field strengths, leading to lower velocity gradients, which reduce instantaneously the convective heat flux to the wall surface (Lefevre 2022). While the induced current due to the magnetic field causes Joule heating in the shock layer, the net effect on the vehicle surface is predicted to be a reduction of the heat flux (Gildfind et al. 2018). Nowak and Yuen (1973) experimentally measured the heat flux in a conducting hemispherical model in a Mach 4.6, low density argon plasma. The heat flux has been found to increase up to 1.6 times in the stagnation region, and to reduce up to 0.65 times in the aft section of the blunt body, for a magnetic field strength of 0.5 T. For these strengths, the Hall effects become important, and a Hall current flows away from the stagnation region of the conducting model. The net flux of electrons to the surface caused the large increase in heat flux to the stagnation region of the conducting model. Otsu et al. (2005) have observed that the magnetohydrodynamic (MHD) effect on the flowfield when the surface is a conducting wall is significantly weakened for increasing Hall effects, while no alternations are visible in the case with an insulating wall. The heat flux was also found to be dependent on the type of surface, decreasing by about 30% for an insulating wall regardless of the Hall parameter, and losing efficiency for the conducting wall, even increasing up to 6% for the highest Hall parameter tested (\(\beta _H=10\)). Therefore, the Hall effect and the conductivity of the surface of the body are found to be correlated. In the case of a conducting wall, the heat flux mitigation is significantly weakened when the Hall effect becomes significant, while for insulating walls, the electromagnetic forces are not affected by the presence of a strong Hall effect and reduction of the heat flux by MHD effects remains possible.
Overall, literature suggests that applying a magnetic field offers a viable solution for mitigating communication blackout during atmospheric reentry flights. In addition, this alleviation technique can also induce favorable modifications to the flowfield and reductions in heat flux, highlighting its promise as a multifunctional solution. Considering the recent advances in high-temperature superconducting magnet technology, the generation of strong magnetic fields on board of reentry vehicles have becoming increasingly practical, overcoming previous mass and power constraints, and paving the way for future hypersonic and planetary entry missions.
The Horizon 2020 Magnetohydrodynamic Enhanced Entry System for Space Transportation (MEESST) project (Lani et al. 2023) aims at providing a solution for radio communication blackout and an alternative to conventional thermal protection systems based on high-temperature superconducting (HTS) technology. As part of the project, this work presents the results of freestream characterization, stagnation point heat flux and radio signal propagation measurements, under the influence of an applied magnetic field in a subsonic air plasma flow. The experimental measurements are conducted at the inductively coupled plasma (ICP) wind tunnel facility, the VKI Plasmatron. The novelty of this work lies on the experimental coupling between flow characterization and radio signal propagation, complemented with analysis of relevant MHD flow parameters, for understanding the effect of an applied magnetic field in an impinging air plasma flow.

2 Magnetohydrodynamics theory

Magnetohydrodynamics (MHD) concerns the mutual interaction of an electrically charged fluid flow and a magnetic field, by coupling the Navier–Stokes and the Maxwell equations. Its application in hypersonic flights foresees to reduce the incoming surface heat flux on reentry vehicles, to increase the drag, and to mitigate the communication blackout, by modifying the fluid-dynamic field with an applied magnetic field.

2.1 MHD flow parameters

There are key MHD flow parameters to assess the effect of an applied magnetic field in a plasma flow, derived from the MHD governing equations, including the magnetic Reynolds, Hartmann and Stuart numbers, the Hall parameter, and electrical conductivity. For the presented formulations, a purely electropositive plasma is considered, following the assumption of local thermochemical equilibrium (LTE). The physicochemical and thermochemical properties for air mixtures are obtained using the VKI-developed Mutation++ library (Scoggins et al. 2020).

2.1.1 Magnetic Reynolds number

One of the major parameters relevant for MHD problems is the ratio of convection to diffusion of a magnetic field, described by the magnetic Reynolds number \(\text{Re}_m\), as
$$\begin{aligned} \text{Re}_m=\frac{U_0B}{L}\frac{L^2}{\eta _m B}=\frac{LU_0}{\eta _m}=\mu \sigma U_0 L, \end{aligned}$$
(1)
such that \(\eta _m=(\mu \sigma )^{-1}\) is the magnetic diffusivity (m\(^2\)/s), being \(\sigma\) the electrical conductivity (S/m) and \(\mu\) the magnetic permeability (N/A\(^2\)), for a plasma with a typical velocity \(U_0\) (m/s) and length scale L (m), and a magnetic flux density B (T).
When the medium is highly conductive (\(\text{Re}_m \gg 1\)), according to Faraday’s law, the flux through any closed material loop is conserved. When the material loop contracts or expands, the current changes to keep the flux constant. These currents lead to a Lorentz force which tends to oppose the contraction or expansion in the loop (Davidson 2001). On the other hand, when the medium is a poor conductor (\(\text{Re}_m \ll 1\)), the convective term can be neglected with respect to the diffusive term, implying that the field variations on a length scale L are destroyed over a diffusion time scale \(\tau _d\)
$$\begin{aligned} \tau _d=\frac{L^2}{\eta _m}, \end{aligned}$$
(2)
and the smaller the length scale, the faster the magnetic field diffuses away. In this case, the magnetic field induced by the motion \(\textbf{U}\) is negligible by comparison with the imposed field B, meaning that the plasma flow is not modifying the imposed magnetic field (Herdrich et al. 2006).

2.1.2 Stuart number

The Stuart number \(\text{St}\), also known as interaction parameter, provides the ratio of Lorentz to inertial forces, at low magnetic Reynolds numbers, as
$$\begin{aligned} \text{St} = \frac{\sigma B^2 L}{\rho U_0}. \end{aligned}$$
(3)
A high Stuart number indicates that the Lorentz forces dominate and strongly suppress fluid motion, while a low Stuart number means inertial forces dominate and magnetic effects are weak.

2.1.3 Hartmann number

The square of Hartmann number describes the ratio of the magnetic to viscous forces for the case of \(\text{Re}_m\ll 1\) (Oswald et al. 2023), as
$$\begin{aligned} \text{Ha} =BL\sqrt{\frac{\sigma }{\nu }}, \end{aligned}$$
(4)
where \(\nu\) is the dynamic viscosity (Pa s). A high Hartmann number indicates that the Lorentz forces strongly dominates the flow, suppressing velocity gradients and turbulence, while a low Hartmann number means viscous effects are more significant.

2.1.4 Hall parameter

The Hall effect is associated with the presence of transverse currents in the conducting medium subjected to a magnetic field. If an electric current flows in a conductor and a magnetic field is applied, the latter exerts a transverse force on the moving charged particles, which tends to separate charges of opposite sign. As a result, an electric field arises from this potential difference due to charge separation (Lefevre 2022). A first order correction for Ohm’s law appears in the form of the addition of the Hall term (Witalis 1987) as
$$\begin{aligned} \textbf{J}=\sigma (\textbf{E}+\textbf{U}\times \textbf{B})\underbrace{-\mu _eB\left( \textbf{J}\times \frac{\textbf{B}}{B}\right) }_\text{Hall term}, \end{aligned}$$
(5)
where \(\textbf{J}\) is the current density (A/m\(^2\)), \(\textbf{E}\) the electric field (V/m) and \(\mu _e\) the electronic mobility (m\(^2\) V\(^{-1}\) s\(^{-1}\)). The Hall parameter \(\mu _e B=\beta _H\) can be rewritten as
$$\begin{aligned} \beta _H=\frac{q_eB}{m_ef_c}=\frac{2\pi f_b}{f_c}, \end{aligned}$$
(6)
where \(q_e\) and \(m_e\) are the electron charge (C) and mass (kg), \(f_b\) is the gyroscopic frequency (Hz) and \(f_c\) is the collision frequency (Hz). With the electrons free to perform magnetic gyrations, as they do in plasmas not too dense and magnetized (Witalis 1987), the Hall current term becomes significant. For Hall parameters such that \(\beta _H=\mathcal{O}(10^1)\), Hall effects such as ion slip are important.

2.1.5 Electrical conductivity

The interaction of a magnetic field \(\textbf{B}\) and a velocity field \(\textbf{U}\) arises partially as a result of Faraday and Ampère laws, and partially because of the Lorentz force experienced by a current carrying body. This interaction depends on the conductivity of the fluid (Davidson 2001), influencing the magnetic Reynolds, Stuart and Hartmann numbers. The electrical conductivity \(\sigma\) in a partially ionized plasma (Brunner 1962) is carried by the electrons and restrained by electron-ion and electron-neutral collision as
$$\begin{aligned} \sigma = \frac{n_e q_e^2}{m_e f_c}\hspace{3pt}, \end{aligned}$$
(7)
where \(n_e\) is the electron number density (m\(^{-3}\)). In the presence of a magnetic field, for small Hall parameters, the current is parallel and directly proportional to the electric field, i.e., \(\textbf{J}=\sigma \textbf{E}\). As the Hall parameter increases, the motion of the ions suffers a larger retardation than the electrons due to collisions, affecting the conductivity of the gas. Thus, there is a Hall current perpendicular to both electric and magnetic fields, which flows in the opposite direction to the drift velocity of both ions and electrons . In this case, the plasma possesses an anisotropic conductivity (Frank-Kamenetskii 1972) and the simplified Ohm’s law is redefined as
$$\begin{aligned} \textbf{J}=\textbf{S}\cdot \textbf{E}, \end{aligned}$$
(8)
where \(\textbf{S}\) is the conductivity tensor, given as
$$\begin{aligned} \textbf{S}= \begin{pmatrix} \sigma _\perp & -\sigma _X & 0 \\ \sigma _X & \sigma _\perp & 0 \\ 0 & 0 & \sigma _\parallel \end{pmatrix} = \sigma \begin{pmatrix} \frac{1}{1+\beta _H^2} & -\frac{\beta _H}{1+\beta _H^2} & 0 \\ \frac{\beta _H}{1+\beta _H^2} & \frac{1}{1+\beta _H^2} & 0 \\ 0 & 0 & 1 \end{pmatrix}, \end{aligned}$$
(9)
and the subscripts \(\perp\), \(\parallel\) and X correspond to the conductivity perpendicular, parallel and transverse to the magnetic field, respectively. The more neutral particles there are in the plasma, the stronger is the anisotropy in the conductivity. As the collisions between electron and neutral particles weakly depend on the velocity, the anisotropy in collisions is very small in weakly ionized plasmas. The magnetic field has a much stronger effect on transversely moving particles, which carry the current. As the Hall parameter increases, the electrical conductivity perpendicular to the magnetic field decreases.

2.2 Signal propagation in magnetized medium

The propagation properties in an ionized medium are characterized by the complex index of refraction \(n = \sqrt{\varepsilon _r \mu _r}\), with \(\varepsilon _r\) and \(\mu _r\) being the dielectric constant and the relative permeability, which can be estimated using the Appleton-Hartree equation (Davies 1965) based on Maxwell’s equations and the momentum conservation of electrons as
$$\begin{aligned} n^2= & (\zeta -i\chi )^2 \nonumber \\= & 1 - \frac{\left( \frac{f_p}{f}\right) ^2}{1-i\frac{f_c}{f}-\frac{\left( \frac{f_b}{f}\right) ^2\sin ^2 \theta }{2 \left[ 1 - \left( \frac{f_p}{f}\right) ^2-i\frac{f_c}{f} \right] } \pm \sqrt{\frac{\left( \frac{f_b}{f}\right) ^4 \sin ^4 \theta }{4 \left[ 1 - \left( \frac{f_p}{f}\right) ^2-i\frac{f_c}{f} \right] ^2} + \left( \frac{f_b}{f}\right) ^2\cos ^2 \theta }}, \end{aligned}$$
(10)
where \(\zeta\) represents the effect of plasma in a wave propagation bending and \(\chi\) is the absorptivity responsible of attenuation effects on traveling waves; \(i=\sqrt{-1}\) is the imaginary unit, f is the frequency of the signal (Hz), \(f_p\) is the plasma frequency (Hz), and \(\theta\) is the angle between the magnetic field vector and the wave vector. The refractive index is dependent on the total electron number density \(n_e\) through the plasma natural frequency \(f_p\), as
$$\begin{aligned} f_p=\frac{1}{2\pi }\sqrt{\frac{q_e^2n_e}{m_e\varepsilon _0}}\approx 9 \sqrt{n_e}, \end{aligned}$$
(11)
being \(\varepsilon _0\) the free space permittivity (F/m) and the units of 9 m\(^{3/2}\)s\(^{-1}\). The magnetic field strength in the refractive index equation arises from the gyroscopic frequency \(f_b\) defined as
$$\begin{aligned} f_b=\frac{1}{2\pi }\frac{q_e}{m_e}B. \end{aligned}$$
(12)
In the presence of an applied magnetic field, the refractive index depends on the polarization direction (birefringence), and on the propagation direction (anisotropy). Typically, the refractive index has two solutions corresponding to the ordinary O and extraordinary E waves, due to the birefringence phenomenon.
In the absence of collisions, \(f_c\approx 0\) and the refractive index is real. When the collision frequency is not zero, the two values of the refractive index are complex, and \(n=\zeta -i\chi\), where \(\zeta\) and \(\chi\) are real. Ordinary and extraordinary waves behave differently depending on the characteristics of the plasma layer. The effect of collisions is expressed by the absorption coefficient \(\kappa\) (dB/m) (Davies 1965) as
$$\begin{aligned} \kappa = 8.69\times \frac{2\pi f}{c}\chi , \end{aligned}$$
(13)
being c the speed of light in vacuum (m/s) and 8.69 dB \(=1\) neper.
Furthermore, the waves undergo Faraday rotation due to the ionized medium and the magnetic field. The polarization vector is rotated as the wave passes through the medium (Le Vine 2002), according to
$$\begin{aligned} \Omega _F= & \frac{\pi }{cf^2}\int f_p^2(s)f_b(s)\cos \left( \theta _B(s)\right) ds \nonumber \\= & \frac{q_e^3}{8\pi ^2\varepsilon _0m_e^2c}\frac{1}{f^2}\int _S n_e(s) B(s) \cos \left( \theta _B(s)\right) ds, \end{aligned}$$
(14)
where \(\theta _B\) is the angle between the direction of propagation and the magnetic field (rad).

3 Experimental facility and setup

3.1 VKI Plasmatron facility

The Plasmatron at the von Karman Institute for Fluid Dynamics (VKI) is an ICP wind tunnel facility (Bottin et al. 2000; Bottin 1999), that creates a high enthalpy, highly dissociated subsonic or supersonic gas flow, for reproduction of the aerothermochemical environment found in hypersonic flight regimes. Its basic concept consists of a quartz tube with an internal diameter of 200 mm and 5 mm thickness surrounded by a coil, which is connected to a 1.2 MW generator that provides high voltage and high frequency current (2 kV, 400 kHz). The desired test gas (air, N\(_2\), CO\(_2\)) is injected through an annular inlet upstream to the coil. The discharge is generated inside of the quartz tube and the plasma jet flows into a vacuum test chamber through a 16 cm diameter exit. Pressure is maintained constant and measured by an absolute pressure transducer (Memberanovac DM 12, Leybold Vacuum). The gas mass flow rate supplied to the torch is monitored through a calibrated gas rotameter (Bronkhorst EL-Flow F-203AV), mounted after a gas heater (Watlow Fluent FLC-14). The electric power supplied to the induction coil is recorded by the Plasmatron control system.

3.2 Optical emission spectroscopy

The freestream plasma flow is characterized with a high-resolution emission spectrometer. The system consists of a 750 mm focal length spectrograph (Acton Series SP-2750 Czerny-Turner), a 150-mm focal length spherical mirror and a planar mirror in a Z-configuration, a 17 mm diameter (f/9.35) optical iris, long-pass wavelength filters (Schott N-WG280 and OG515), and an intensified CCD detector (Princeton Instruments PI-MAX3) connected to the exit slit of the spectrograph. The spectrograph is equipped with a triple grating turret, which combined with the CCD camera, allows to record spatially resolved spectra, by dispersing the light from the entrance slit into its wavelength components along one axis of the CCD, while preserving the spatial information along the slit on the perpendicular axis. The central wavelength of the dispersion can be changed by a software-controlled rotation mechanism, allowing for medium to high-resolution spectral scans in a wide range. In the context of this work, the 150 grooves/mm grating is used to measure the complete spectrum between 280 and 940 nm. Before performing the plasma characterization, the line of sight intensity \(L(\lambda ,y)\) is Abel inverted at each spectral position to rebuild local optically thin emission values \(\varepsilon (\lambda ,r)\). A detailed description of the optical experimental setup, calibration methods and processing methodology is provided by Fagnani (2023).
The local emission intensity of an atomic spectral line occurs when a bound electron undergoes a transition from an upper level (u) of energy \(E_u\) to a lower level (l). Assuming LTE conditions and Boltzmann distribution, \(n_{u,i}\) can be related to the gas temperature (\(T_{LTE}\)) (Fagnani 2023) as
$$\begin{aligned} n_{u,i}=n_i\left( T_{LTE},p\right) \frac{g_{u,i}\exp {\left( -\frac{E_{u,i}}{k_BT_{LTE}}\right) }}{Q_{int,i}\left( T_{LTE}\right) }, \end{aligned}$$
(15)
where \(n_i\) is the number density of species i in the mixture, \(g_{u,i}\) is the degeneracy of the energy level \(E_{u,i}\), \(k_B\) is the Boltzmann’s constant, and \(Q_{int,i}\) is the internal partition function of the atomic species i. The Einstein’s coefficients, degeneracies and energy levels for the considered atomic transitions are obtained using the NIST database (Kramida et al. 2014), while the partition function is computed from Chauveau et al. (2003). Under the assumption of LTE, once the pressure p is fixed, \(n_i\) depends only on temperature, being computed with the Mutation++ library (Scoggins et al. 2020). Thus, a comparison between the analytically computed emission intensity with the experimentally measured one retrieves the plasma LTE temperature (Fagnani et al. 2020).

3.3 Magnetic probe

The effect of an applied magnetic field on the signal propagation and stagnation heat flux is studied resorting to a testing probe (Fig. 1a), hereafter denominated as MHD probe, which has been purposely designed within the MEESST project by Absolut System, accommodating a high-temperature superconducting (HTS) magnet developed by the Karlsruhe Institute of Technology (KIT) and THEVA Dünnschichttechnik GmbH. For the MEESST project, the magnetic field strength in the plasma (outside the magnet and cryostat) determines the strength of the MHD effects (Smara et al. 2022). For testing with varying magnetic fields, the MHD probe includes an electromagnet wound with superconducting tapes. A key advantage of using an HTS electromagnet over permanent magnets is the significantly reduced current and cooling power requirements, enabling scalable large B-fields and achieving higher magnetic flux densities. The final design of the magnet incorporates a coil consisting of five pancakes wound with a total length of approximately 700 m rare-Earth barium copper oxide (REBCO) HTS tape. Four Cernox temperature sensors have been mounted at the magnet to monitor its temperature. Voltage taps have been soldered at different positions of the magnet to monitor the voltage drops at the different pancakes, and to assess the magnet behavior in operation.
Fig. 1
Setup of the magnetic probe in the VKI Plasmatron facility
Full size image
The cryogenic circulation loop (Dalban-Canassy 2023; Schlachter et al. 2024), designed by Absolut System, consists of a cold head compressor driving a Gifford-MacMahon cold head located in a cold box cryostat (Fig. 1b). A cryofan forces gaseous high purity helium (grade 6.0, purity > 99.9999%) to circulate from the cold box to the probe through a cryoline. This line consists of a 5 m flexible DN50 outer hose encapsulating two 6.5 m DN6 flexible lines. In normal operation with the magnet off, the system is maintained at a vacuum below \(10^{-6}\) mbar, using a turbo pump. The system has been equipped with eleven temperature sensors. Once it is stable, the final temperatures of the magnet on the plasma and cooler sides, and on the current leads are approximately 19.2 K, 19.2 K, 32.2 K and 25.3 K, respectively.
As the magnet is required to operate at low temperatures, it has to be thermally isolated and installed in the vacuum of a cryostat. As such, the magnet, wrapped with multi-layer insulation, is installed inside of the probe cryostat, which is itself housed in a water-cooled copper shell (the probe) with an inner bore where the modular part with the antenna fits. The inner bore, cryostat, and water-cooled shell have outer diameters of 31 mm, 182 mm, and 230 mm, respectively. The magnet has a donut shape with inner and outer diameters of 66 mm and 143 mm, respectively, and it is placed 26 mm from the probe front surface. Being the area most exposed to plasma heating, the copper head shell incorporates a cooling loop with a single water inlet (at 25 bar) at the bottom of the jacket. To protect the back part of the probe from any recirculation, the cryoline, current leads and data cabling are protected by two half cylindrical and two side water-cooled copper plates. For extra thermal protection, the probe is wrapped in a 25 mm thickness silicon carbide blanket (Dalfratherm 1430 ZR).
The system data acquisition and power supply for the magnet have been assembled at KIT. Temperature data is acquired by a temperature monitor (Lake Shore LS218), current lead and magnet voltages are measured by a Ohmmeter (Keysight 34420A nV/\(\upmu\)m \(\Omega\)meter), and the shunt voltage to determine the current is measured by a multiplexer (Agilent 34970A). The magnet is driven by a current source (Agilent 6671A, 0–8 V, 0–220 A). The main power supply rack is 400 V, 16 A, while the other electronic devices are powered with 230 V AC. The coil current had to be limited to 50 A due to high resistance observed by KIT in solder joints within and/or between the windings of two out of five pancakes. This current is well below the estimated critical current of \(I_c=135\) A. As a consequence, the maximum field of the coil is limited to 53% of the design value at a nominal current of \(0.7~I_c\).
For each of the constant currents, the magnetic field is measured with a Hall probe (HIRST GM07). The numerical magnetic field has been calculated with the finite element software COMSOL by KIT. Figure 2a represents the computed magnetic field distribution around the magnet (overlap with a schematic of the skeleton of the probe) for the maximum current of 50 A, whereas Fig. 2b summarizes the numerical evolution of the magnetic field at the tip of the quartz as a function of the radial distance (being B proportional to the coil current I), as well as the measured magnetic field strengths, for different values of coil currents. The maximum magnetic field at the superconductor is approximately 2 T, whereas at the coil axis at the center of the magnet is 1.3 T. At the front of the quartz tip on the symmetry axis, the magnetic field strength reduces to 0.41 T. The measurements and the calculated field values are in good agreement, demonstrating the correct functioning of the magnet.
Fig. 2
Magnitude of the magnetic flux density
Full size image

3.4 Communication system and methodology

A preliminary numerical analysis by Luís et al. (2023) has shown that the K\(_\text{a}\)-band is the most appropriate for blackout experiments in an air plasma, in the Plasmatron facility. The communication system is composed of three sets, each comprising a conical horn antenna with a circular waveguide, linear polarization and 15 dBi gain (MI-wave 262A-15/0.250), a mode transition (MI-wave 284\(-\)0.250), and a waveguide to coax adapter (MI-wave 411A). Each of these sets is connected to a flexible microwave cable (Huber-Suhner SUCOFLEX 102), and a DC block (MI-wave 8141A). The combination of these instruments allows to sweep frequencies between 33 and 38.5 GHz. The transmission and reception of the signal are accomplished with a vector network analyzer (VNA, Rohde and Schwarz ZNB40). The VNA measures the parameters of a scattering matrix, relating the incident and scattered (reflected and transmitted) traveling waves. The S-matrix for a N-port network contains \(N^2\) complex coefficients (S-parameters), each one representing the magnitude and phase of a possible input–output path. Physically, \(S_{nn}\) is the reflection coefficient at port n and \(S_{nm}\) is the transmission from port m to port n. The S-matrix is symmetric, which means that interchanging the input and output ports does not change the transmission properties, and therefore \(S_{nm}=S_{mn}^{*}\) (\(^{*}\) representing the complex conjugate).
The experimental campaign is conducted with one antenna inside the MHD probe facing an impinging flow, 445 mm from the torch exit, as illustrated in Fig. 3. For the communication system to withstand very high temperatures, the antenna is encapsulated in a quartz radome. The design of the radome, and the characterization of the antenna radiation patterns and gain has been presented by Luís et al. (2025). The antenna and the radome are mounted on a copper cylindrical module, that fits in the inner bore of the probe.
Fig. 3
Experimental setup
Full size image
To study the signal propagation, fifty measurements without plasma are taken. Once the required plasma conditions are reached, fifty consecutive samples are taken. For each condition tested, an average and standard deviation are computed in linear units. Additionally, the conditions are repeated with the transmitting antenna (inside of the probe) aligned both horizontally (\(\psi _0=0^{\circ }\)) and vertically (\(\psi _1=90^{\circ }\)), to compute the total magnitude \(\overline{|S_T|}\) neglecting the linear polarization characteristic of the antennas and to estimate the Faraday rotation, respectively, as
$$\begin{aligned} |\overline{S}_{T}(f)| = \sqrt{|\overline{S}(\psi _0,f)|^2+|\overline{S}(\psi _1,f)|^2}, \end{aligned}$$
(16)
$$\begin{aligned} \cos \overline{\Omega }(f)=\frac{|\overline{S} (\psi _0,f)|}{|\overline{S}_{T}(f)|}, \hspace{20pt} \text{or} \hspace{20pt} \sin \overline{\Omega }(f)=\frac{|\overline{S} (\psi _1,f)|}{|\overline{S}_{T}(f)|}. \end{aligned}$$
(17)
The total attenuation \(\overline{A}\), in linear units, and Faraday rotation \(\Omega _F\) are finally computed as
$$\begin{aligned} \overline{A}_{(l.u.)}(f)=\frac{|\overline{S}_{T_{\text{off}}}(f)|}{|\overline{S}_{T_{\text{on}}}(f)|} \end{aligned}$$
(18)
and
$$\begin{aligned} \overline{\Omega _F}(f) = \overline{\Omega }_{\text{on}}(f)-\overline{\Omega }_\text{off}(f). \end{aligned}$$
(19)
To study the effect of the magnetic field, the signal magnitude is measured without and with plasma, and without and with applied magnetic field, during the same day. This ensures that the same alignment and calibration are used when comparing data for the same testing condition.
The two main sources of uncertainties considered are the random standard uncertainty \(s_{|\overline{S}|}(f)\) and the systematic standard uncertainty \(b_{|\overline{S}|}(f)\). The former depends on the number of samples acquired during a certain experiment and their standard deviation, and it is defined considering a normally distributed population, for a 95% confidence interval, decreasing with more number of samples. The systematic uncertainty \(b_{|\overline{S}|}\) depends on the instrument employed during the experiments and its accuracy. The VNA datasheet provides the measurement accuracy for calibrations using the ZN-Z229 calibration kit, for ambient temperatures between 18 and 28\(^{\circ }\)C, and considering that the temperature does not vary more than 1\(^{\circ }\)C since calibration (Rohde & Schwarz 2023). For frequencies between 30 and 40 GHz, the magnitude (dB) uncertainty of the transmission and reflection coefficients are summarized in Fig. 4. Considering \(r_{\mp }(f)=1\mp s_{|\overline{S}(f)|}(f)/|\overline{S}(f)|\) (l.u.) and \(b_{\mp }=10^{\mp b_{|\overline{S}|}\text{(dB)}/20}\) (l.u.), the total magnitude uncertainty of the S-parameters as a function of the frequency, in linear units, is computed as
$$\begin{aligned} \sigma _{|\overline{S}|,k}(f) = k |\overline{S}(f)|\left( r_{k}(f)b_{k}-1\right) , \hspace{20pt} k\in \{-,+\}. \end{aligned}$$
(20)
A total mean and standard deviation is also computed with respect to the mean value of the S-parameters (\(|\overline{S}|\)).
Fig. 4
VNA magnitude uncertainty, for frequencies between 30 and 40 GHz, according to Rohde & Schwarz (2023)
Full size image

3.5 Heat flux and dynamic pressure measurements

The effect of the magnetic field on the stagnation point heat flux in a supersonic plasma flow is addressed within the MEESST project, by the parters at the Institute of Space Systems (IRS), University of Stuttgart. Using their insert in the MHD probe (instead of the cylindrical module holding the antenna) for a subsonic flow in the Plasmatron facility, the heat flux and dynamic pressure are measured. The heat flux probe consists of a 29 mm diameter copper water-cooled calorimeter with a CuO surface thermally isolated by a PEEK part, and two PT100 class A thermocouples with twisted wires, while the pressure measurements are taken with a 3 mm diameter Pitot probe (Oswald et al. 2025). The cold wall (\(\approx 350\) K) heat flux is determined by the water mass flow \(\dot{m}\) (kg/s) and the temperature difference \(\Delta T=T_{\text{out}}-T_{\text{in}}\) (\(^{\circ }\)C) in the cooling water supply as
$$\begin{aligned} \dot{q}_{cw}=\frac{\dot{m} c_p\Delta T}{A}, \end{aligned}$$
(21)
where \(c_p\) is the water specific heat (J kg\(^{-1}\) \(^{\circ }\)C\(^{-1}\)), and A is the surface area of the probe (m\(^2\)). The measurements of the water mass flow rate rely on a closed loop system, equipped with a 100 L demineralized water tank, feeding two independent liquid dosing units (Bronkhorst M14-RGD-33-0-S) (Fagnani 2023). The heat flux measurement uncertainty is considered to be \(\pm 10\)% (Fagnani 2023).
In practice, instead of measuring independently the stagnation (subscript stag) and static (subscript s) pressures, the dynamic pressure \(p_d\) is measured directly as
$$\begin{aligned} p_d=p_{stag}-p_s . \end{aligned}$$
(22)
For this purpose, a differential pressure transducer (Validyne Engineering Corp. DP45) is connected to the stagnation pressure tap of the cooled Pitot probe and to a reference pressure tap positioned in the Plasmatron chamber. A DP45-20 membrane is used. The output voltage is amplified by a demodulator (Validyne Engineering Corp. CD15) and recorded by the DAQ through the main Plasmatron acquisition program. Uncertainties in the measured \(p_d\) are estimated to be \(\pm 5\) Pa, related to the considerable oscillations experienced during measurements (Fagnani 2023).

4 Experimental results and discussion

For the experimental campaigns for radio signal propagation and plasma flow characterization, several conditions covering the operational envelope of the Plasmatron are tested. The test gas is air at 16 g/s, and the testing conditions are summarized in Table 1. The ± for the current corresponds to opposite polarizations of the current imposed to the magnet. This is achieved by inverting the current lead plugs at the flange of the facility. Emission spectroscopy (OES) and heat flux (HF) measurements are conducted for the conditions marked with the star \(^*\). All the conditions are tested with the antennas for signal propagation, except if marked with the marker \(^\rtimes\). To note that at the tested pressures, the air plasma flow is in thermochemical equilibrium, as lengthy studied by Fagnani (2023) for un-magnetized plasmas, being the LTE assumption valid.
Table 1
Summary of testing conditions (\(^*\): OES and HF measurements)
I, A
\(p_s\), mbar
\(P_{el}\), kW
0, 30\(^\rtimes\)
50
100, 150\(^*\), 200\(^*\), 240, 300\(^*\)
0, (\(+\)) 50
50
100, 120, 140, 150\(^*\), 160, 170, 180, 190, 200\(^*\), 210, 220, 240, 260, 280, 300\(^*\)
0, (−) 50
50
100, 120, 140, 150, 160, 170, 180, 190, 200, 210, 220, 240, 260, 280, 300
0, 30, 50
100
      120, 140, 150, 160, 170, 180, 190, 200, 210, 220, 240, 260, 280, 300

4.1 Plasma flow characterization

The plasma flow characterization is conducted resorting to high-resolution optical emission spectroscopy, and heat flux measurements at the stagnation point. To study the effects of the applied magnetic field, the probe is always injected when taking the measurements. For these tests, the modular part with the antenna and quartz radome is removed, and replaced with a heat flux calorimeter. Five different axial positions from the torch exit z are analyzed with OES at 442 mm, 437 mm, 427 mm, 397 mm, and 300 mm, with the probe at \(z=457\) mm (corresponding to \(z=445\) mm for the radome stagnation point location). The analyzed axial positions correspond to 15 mm, 20 mm, 30 mm and 60 mm from the stagnation point of the probe without quartz. The numerical magnetic flux density at each axial position is summarized in Table 2.
Table 2
Numerical magnitude of the magnetic flux density, at the centerline of the jet (\(r=0\) mm), for 30 A and 50 A
z, mm; \(r=0\) mm
457
445
442
437
427
397
300
B, T
30 A
0.350
0.250
0.229
9.199
0.152
0.073
0.013
 
50 A
0.584
0.410
0.382
0.332
0.253
0.121
0.022

4.1.1 Plasma temperature and frequency

For the spectrum between 300 and 800 nm, its integral, or radiance (W m\(^{-3}\) sr\(^{-1}\)) is computed, representing the radiant flux received by a surface per unit volume limited to the wavelength range considered. Figure 5 shows an example of the radiance at 50 mbar, 200 kW, 437 mm from the torch exit, for the cases without and with the maximum magnetic current of 50 A. The very small magnetic flux density at 300 mm yields a very small difference at the radiance profile. When getting closer to the probe, the stronger magnetic field causes the radiance to substantially increase. The largest increase is due to the increase of the radiation emitted by the CN violet molecular system up to 430 nm. From 777 nm, there is also a slight increase of the intensity of the atomic lines, as seen in Fig. 5 (top), indicating an increase of the flow temperature, under the LTE assumption. For these pressure and temperature ranges, even a small increase of temperature leads to a sharp increase of the CN concentration and, therefore, of its emitted radiation.
Fig. 5
Spatially resolved spectrum and corresponding radiance at \(r=0\) mm (top) and resolved radiance (bottom), for air plasma at 50 mbar, 200 kW, 20 mm from the probe, for currents of 0 A and 50 A
Full size image
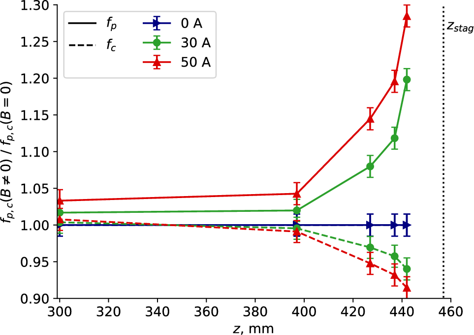
The axial variation of the flow temperature at the centerline of the jet is illustrated in Fig. 6. At 442 mm (15 mm from the probe stagnation point \(z_{stag}\)), the temperature increases 5% and 8% due to the magnetic field, for 30 A (0.229 T) and 50 A (0.382 T), respectively. The increase of temperature gradually reduces for increasing distances from the probe, as the magnetic flux density decreases, lying inside of the measurement uncertainties at distances below 397 mm. Per consequence, the increase of temperature leads to an increase of the plasma frequency, as illustrated in Fig. 7 by the normalized plasma frequency with respect to the case without magnetic field at each position. For the analyzed testing condition, at the vicinity of the probe, the plasma frequency increases up to 20% and 28%, which corresponds to an increase of electron number densities of 44% and 65%, for applied magnetic currents of 30 A and 50 A, respectively. At the freestream, increases up to 3% in plasma frequency and 7% in electron number density are measured. Figure 7 summarizes the axial distribution of the normalized collision frequency. For this particular condition at 200 kW, due to the plasma temperature range, the collision frequency in the plasma decreases with the applied magnetic field. Differences up to 9% are estimated for the closest position with respect to the probe, for a current of 50 A.
Fig. 6
Axial distributions of the temperature, for air plasma at 50 mbar, 200 kW
Full size image
Fig. 7
Axial distributions of the normalized plasma and collision frequencies, for air plasma at 50 mbar, 200 kW
Full size image
Overall, for the different testing conditions analyzed, the temperature profiles present very similar trends, increasing due to the magnetic field at similar rates, for each position. Instead, the plasma frequency shows a slight dependency with the electric power, because for increasing powers, the temperatures are higher and the plasma frequency increases exponentially. For 300 kW, the plasma frequency increases up to 37% and the electron densities up to 88%, due to the 0.382 T acting at \(z=442\) mm. For the lowest powers, the increase of temperature due to the magnetic field leads to a decrease of the collision frequency (for temperatures up to around 6300 K, for 50 mbar), while at 300 kW, the collision frequency increases due to the higher temperatures. An increase of the radiance in the radial direction (indicating an increase of temperature and plasma frequency) is also observed at the presence of an applied magnetic field. At \(z=437\) mm, the MHD effects are significant up to \(r=70\) mm, where the magnetic density is halved with respect to that at the center (0.171 T).

4.1.2 Heat flux and dynamic pressure

The results of the stagnation heat flux are summarized in Fig. 8. For the 50 mbar, 200 kW condition, the stagnation heat flux increases around 6% and 20%, for 30 A and 50 A, respectively. Overall, increases up to 17% and 30% are measured. The augmentation of the heat flux is consistent with the increase of the flow temperature at the vicinity of the stagnation point, previously observed.
Fig. 8
Variation of the stagnation heat flux with electric power and magnetic field strength, for air plasma at 50 mbar
Full size image
No significant differences are observed in the dynamic pressure (Fig. 9), caused by the applied magnetic field. The lack of change in dynamic pressure suggests that the magnetic field does not significantly influence the kinetic energy (\(E_k\propto p_d\)). Instead, the increase of flow temperature causes the internal energy to increase. Therefore, considering the plasma total energy, the magnetic energy is mainly converted into internal (thermal) energy.
Fig. 9
Variation of the dynamic pressure with electric power and magnetic field strength, for air plasma at 50 mbar
Full size image
For the MHD probe in a supersonic plasma flow, an increase of the heat flux of the same order of magnitude has been reported by Oswald et al. (2025). Unlike in the subsonic tests of this study, their stagnation pressure showed a nearly linear increase with the strength of the magnetic field. Their increase of heat flux and pressure at the stagnation point has been associated with the formation of a funnel-like structure in the flow, that emerges between the elevated shock layer and the stagnation point and that becomes more pronounced as the magnet current increases. No funnel structures are observed in the Plasmatron subsonic testing, where the Lorentz forces are much lower for the same magnetic flux density.

4.1.3 MHD flow parameters

For this setup, at the closest position to the probe, the magnetic Reynolds number is \(\text{Re}_m=\mathcal{O}(10^{-3})\), being reasonably low to assume that the induced magnetic fields in the plasma flow are negligible (the magnetic field is not significantly altered by the fluid motion), with diffusive time scales of \(\tau _d=\mathcal{O}(10^{-1})\) \(\mu\)s. Being the Stuart number (or interaction parameter) \(\text{St}=\mathcal{O}(10^0)\), the Lorentz force density is comparable to the inertial forces, and the flow is influenced by the magnetic field as well as by the pressure forces. The Hartmann number of \(\text{Ha}=\mathcal{O}(10^1)\) indicates that the Lorentz forces are slightly stronger than the viscous forces, but viscous effects are still significant. Overall, these indicate that at the vicinity of the probe, the flow is laminar (\(\text{Re}=\mathcal{O}(10^2)\)) and moderately influenced by the external magnetic field, suppressing fluctuations in the direction of the magnetic field (\(\text{Ha}=\mathcal{O}(10^1)\)), but the magnetic field does not significantly alter the dynamics of the fluid, due to weak convective effects and dominant diffusion (\(\text{Re}_m\ll 1\)).
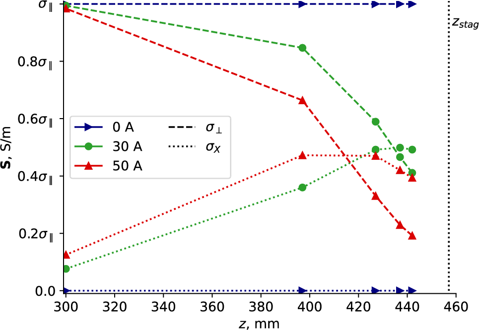
The presence of an applied magnetic field introduces anisotropy, such that the nature of the plasma electrical conductivity becomes tensorial, correlated with the Hall effect. Figures 10 and 11 summarize the evolution of the Hall parameter and electrical conductivity components, for an example of air plasma at 50 mbar, 200 kW. Hall parameters up to 7.5 and 12.9 are estimated, for both 30 A and 50 A, highlighting the plasma anisotropy (since \(\beta _H>1\)), due to collisions and of transverse currents (Lefevre 2022). For 50 A, at \(z=442\) mm, the perpendicular (Hall current) and transverse conductivity components reach \(\sigma _\perp =0.19\sigma _\parallel\) and \(\sigma _X=0.39\sigma _\parallel\), respectively, indicating that the current does not only flow parallel to the applied magnetic field, but also in perpendicular to it (Hall effect) (Frank-Kamenetskii 1972).
Fig. 10
Axial distributions of the Hall parameter, for air plasma at 50 mbar, 200 kW
Full size image
Fig. 11
Axial distributions of the conductivity components, for air plasma at 50 mbar, 200 kW
Full size image
The negative impact of the MHD system (associated to the increase of the plasma frequency) can be caused by (1) the induced Lorentz force, and (2) the Hall effect. Regarding (1), the interaction between the induced current density and the magnetic field generates a perpendicular Lorentz force, with one component pointing upstream of the probe, and the other toward the stagnation line. If the radial component is much larger than its axial counterpart, more electrons concentrate close to the stagnation point. Regarding (2), the probe conducting wall creates a Hall current flowing away from the surface and a contradictory flux of electrons entering the surface and confining them in the vicinity of the stagnation point (Nowak and Yuen 1973). Either of these effects can promote an increase of the flow temperature and electron density, and consequent increase of the stagnation region heat flux. Overall, the higher plasma frequency is a particularly important observation for the radio signal propagation through a magnetized plasma flow, since it highlights that the signal propagates in a more ionized flow, for the same testing condition, the higher the applied magnetic filed strength. A summary of the measured and estimated MHD parameters, for air plasma at 50 mbar, 442 mm from the torch exit (15 mm from the probe stagnation point), for the different testing conditions, is presented in Table 3.
Table 3
Measured and estimated MHD parameters, for air plasma at 50 mbar, 442 mm from the torch exit
\(P_{el}\), kW
150
 
200
 
300
I, A
0
30
50
 
0
30
50
 
0
30
50
T, K
4695
4928
4993
 
5257
5532
5648
 
6667
6912
7048
\(f_p\), GHz
17.0
21.0
22.2
 
27.2
32.6
35.0
 
70.3
86.2
96.3
\(f_c\), GHz
6.3
6.1
6.0
 
5.7
5.4
5.2
 
4.9
5.3
5.7
\(f_b\), GHz
0
6.4
10.7
 
0
6.4
10.7
 
0
6.4
10.7
\(\beta _H\)
0
6.6
11.2
 
0
7.5
12.9
 
0
7.5
11.9
\(\sigma _\parallel\), S/m
16.0
25.4
28.7
 
45.4
69.3
81.9
 
350.0
485.4
571.4
\(\sigma _\perp\), S/m
16.0 (\(1\sigma _\parallel\))
12.0 (\(0.47\sigma _\parallel\))
6.9 (\(0.24\sigma _\parallel\))
 
45.4 (\(1\sigma _\parallel\))
28.5 (\(0.41\sigma _\parallel\))
15.7 (\(0.19\sigma _\parallel\))
 
350.0 (\(1\sigma _\parallel\))
198.9 (\(0.41\sigma _\parallel\))
125.4 (\(0.22\sigma _\parallel\))
\(\sigma _X\), S/m
0 (0\(\sigma _\parallel\))
12.7 (0.5\(\sigma _\parallel\))
12.3 (\(0.43\sigma _\parallel\))
 
0 (0\(\sigma _\parallel\))
34.1 (\(0.49\sigma _\parallel\))
32.3 (\(0.39\sigma _\parallel\))
 
0 (0\(\sigma _\parallel\))
238.7 (\(0.49\sigma _\parallel\))
236.5 (\(0.41\sigma _\parallel\))

4.2 Signal propagation through a stagnant flow

Plasma flows affect the propagation of radio frequency signals, leading to high levels of attenuation and refraction depending on the electron densities. In this section, the signal propagation in a magnetized plasma is analyzed. Hereafter, the magnetic flux density measured at the tip of the quartz is indicated, instead of the current imposed for the magnet, since that is the strength close to the transmitting antenna. To recall, at the tip of the quartz, magnetic fluxes of 0.250 T and 0.410 T are measured when imposing currents of 30 A and 50 A, respectively.

4.2.1 Signal transmission and attenuation

Without plasma, the magnetic field does not influence the signal propagation as there are no ionized particles to interact with the magnetic field. As the total magnitude intensities are noisy, due to a standing wave in the radome and to the reflections on the chamber walls, and considering that the background is always constant since the position of the antenna does not change, the following analysis considers the effect of the applied magnetic field as the signal total magnitude difference between the cases with and without magnetic field. To note that this is only valid for the transmission coefficients, as the transmitting antenna is rotated between the experiments, slightly changing its position with respect to the probe and the chamber, and consequently its reflection coefficient. The differences in the \(S_{11}\) can also be associated with the degradation of the radome and of the antenna, due to plasma heating, between two consecutive tests. To analyze the effects of an applied magnetic field on the signal propagation, and anticipating that its effects are not significant, the following data is filtered with a low-pass filter. The error bands correspond to those for a 95% confidence interval without filtering.
Figure 12 presents the filtered total magnitude of the transmission parameters, for the case with air plasma at 50 mbar, 100 kW, without and with the maximum magnetic field strength applied. For this testing condition, there are no significant differences on the total magnitude of the \(S_{21}\) parameter without magnetic field with respect to the case without plasma (Fig. 12a ), as the signal can propagate undisturbed inside of the plasma flow. For the case with plasma and with magnetic field, the total magnitude is lower than that measured without magnetic field. As seen in Section 4.1.1, the plasma frequency in the vicinity of the probe increases due to the applied magnetic field, and the signal is more attenuated in the magnetized plasma. The \(S_{31}\) parameter (Fig. 12b ), on another hand, shows a decrease of the signal total magnitude when there is plasma and no applied magnetic field. Since antennas 2 and 3 are located at similar symmetric positions, and assuming that the MHD probe is well aligned with the torch exit, the difference between the two S-parameters suggests plasma asymmetry, a phenomenon studied by Cipullo et al. (2014), which can be caused by the swirl introduced in the flow at the level of the gas injector and asymmetric recirculation patterns. For the 50 mbar, 120 kW case (Fig. 13a ), the \(S_{21}\) parameter with magnetic field is up to 1.5 dB higher than without magnetic field at 33 GHz. The difference between both is seen mainly up to 34 GHz. For higher frequencies, the magnitude of the signal propagating with an applied magnetic field is always lower than without magnetic field. For the 140 kW, the total magnitude of the \(S_{21}\) parameter with magnetic field is also slightly higher than without magnetic field, however, the curve lies on the uncertainties of the measurements. For higher electric powers, as exemplified in Fig. 13b for 50 mbar, 200 kW, the cases without plasma, and with plasma and without magnetic field start drifting apart, more significantly for lower signal frequencies, showing the attenuation of the signal and its dependency with radio frequency. No significant differences are observed without and with applied magnetic field. As seen for the first example, the \(S_{31}\) parameter is always more attenuated than the corresponding \(S_{21}\) parameter, and no significant differences are observed with the magnetic field.
Fig. 12
Mean magnitude of the transmission parameters, without and with (0.41 T) magnetic field, for air plasma at 50 mbar, 100 kW
Full size image
Fig. 13
Mean magnitude of the \(S_{21}\) parameters, without and with (0.41 T) magnetic field, for air plasma at 50 mbar, 120 kW and 200 kW
Full size image
For air plasma at 100 mbar, the same trends are observed. For the lowest electric power tested (120 kW), the total magnitude with an applied magnetic field is slightly higher than that without magnetic field up to around 34.4 GHz, while for 140 kW and 150 kW is up to around 33.9 GHz and 33.5 GHz, respectively, showing a slight dependency with signal frequency. Nonetheless, these differences occur mostly inside of the uncertainty of the measurements and, therefore, the applied magnetic field does not show an improvement of the signal attenuation.
In the presence of an applied magnetic field, the extraordinary wave should be able to propagate for plasma frequencies higher than the signal frequency. However, based on the temperature estimations obtained from OES, collisions are non-negligible, and even for a propagating wave, the extraordinary wave is more attenuated than the ordinary wave (Davies 1965). This conclusion is illustrated in Fig. 14, considering the numerical plasma (Laur and Thoemel 2024) and gyroscopic frequencies flowfields given, respectively, by COMET (Sharma et al. 2024) and COMSOL (Schlachter et al. 2023) simulations for 50 A, and a radio frequency of 33 GHz. The line of sight (LOS) is considered as a straight line connecting the position of antenna 1 to antenna 2. The analysis assumes several simplifications, as (1) no consideration of the radiation pattern or antenna gain, (2) neglect of the Hall parameter in the COMET numerical simulations, that do not retrieve the increased plasma frequency experimentally observed, (3) lack of radome in the COMET simulations leading to a lower plasma frequency due to the increased distance of the probe with respect to the radome from the torch exit, (4) applied magnetic field considered in the COMET simulations given by underlying (semi-analytical) solutions from Magpylib library (Laur and Thoemel 2024), instead of magnetic field simulations from COMSOL for the tested HTS magnet, (5) magnetic flux density at the stagnation point of the probe (without radome) in the COMET simulations matching the measured magnetic flux density at the tip of the radome, resulting in a lower gyroscopic frequency flowfield, and (6) neglect of the Earth and coil magnetic fields. The angle between the magnetic field vector and the wave vector is obtained from the simulations. Figure 14 presents the real and imaginary parts of the numerical refractive index for un-magnetized and magnetized plasmas, considering collisions between electrons and heavy particles, along the LOS between the two antennas. Without an applied magnetic field, both components lie between the curves of the positive and negative solutions of the refractive index of the magnetized plasma. This implies that the ordinary wave (O) is less refracted and less attenuated than the propagating wave without magnetic field, and than the extraordinary wave (E). Thus, as mentioned before, despite the extraordinary wave being able to propagate in higher plasma frequencies, this wave suffers more refraction and more attenuation than that transmitted without magnetic field. Note also that there is a shift of the position of the minimum \(\zeta\) and maximum \(\chi\) for each curve, highlighting another different behavior of each wave due to the different refractive index, which influences the ray path. For this case, the maximum attenuation rate in a straight line of the extraordinary wave is more than twice that of the ordinary wave without applied magnetic field. However, the actual predicted value cannot be directly compared with those measured as (1) the antenna does not radiate only in one direction, and (2) the waves suffer refraction due to the changed refractive index, altering its path and the encountered flow properties. When increasing the signal frequency, then \(\zeta\), \(\chi\) and \(\kappa\) decrease as the signal is less affected due to the lower \(f_p/f\), \(f_b/f\) and \(f_c/f\) ratios.
Fig. 14
Real and imaginary components of the numerical refractive index, without and with applied magnetic field, for a collisional air plasma at 50 mbar, 150 kW, for a radio frequency of 33 GHz, and a current to the magnet of 50 A, along the LOS between antennas 1 and 2
Full size image
Furthermore, due to the plasma oscillations, the uncertainties of the experimental measurements are high (around 15%), increasing for lower signal magnitudes. These three factors, combined with the low magnetic flux density generated and the observed plasma frequency increase, can explain the lack of clarity on the effect of the magnetic field for signal attenuation mitigation. Ways to circumvent these problems include (1) testing with a stronger magnetic field, (2) modifying the experimental setup such that the antenna is not placed at the stagnation point, where an increase of the temperature and consequently electron number densities occurs, (3) coating the probe with an insulator, to avoid the Hall current effect and the consequent increase of plasma temperature, and, less efficiently, (4) acquiring more samples for each testing conditions to decrease the standard deviation of the measurements.
The same experimental conditions are also tested for the opposite magnet polarization and, experimentally, no significant differences are observed on the mean signal attenuation. In fact, an inverted magnet polarization corresponds to \(\theta _B^- = 180-\theta _B^+\) (\(^\circ\)) and, for this setup, the real and imaginary parts of the refractive index are independent on the orientation of the magnet polarization.

4.2.2 Signal reflection

The reflection coefficient \(S_{11}\) is also dependent on the flow properties, and it can indicate if the signal is being reflected back on the jet. As the \(S_{11}\) parameter does not depend on frequency (except for oscillations), its mean difference is averaged throughout the full frequency sweep range for each of the testing conditions. Figure 15 presents the variation of the averaged difference of the \(S_{11}\) parameter total magnitude (\(\Delta |\overline{S_{11}}|=|\overline{S_{11}}|_{\text{on}}-|\overline{S_{11}}|_{\text{off}}\)) as a function of the electric power, for different magnetic flux densities. The error bars correspond to the mean uncertainty for each frequency instead for the full frequency range. For 50 mbar and electric powers up to 160 kW, the mean difference is almost independent on the presence of a magnetic field and very close to 0 dB, indicating that the signal can propagate as without plasma, regardless of the experimental condition. Between 160 kW and 240 kW, the mean difference with an applied magnetic field is lower than without the applied magnetic field, indicating that the signal is less reflected back on the flow, thus suggesting the opening of a magnetic window for communications. Despite the higher plasma frequency at the vicinity of the probe in the magnetized plasma, the collisions actually decrease. This also suggests that the signals are more attenuated in the flow along the path until reaching the receiver, since no differences are observed in the \(S_{21}\) parameter. For higher electric powers, the \(S_{11}\) mean difference at the presence of a magnetic field is higher because, for these cases, the number of collisions are higher in the magnetized plasma (see Fig. 7) and, thus, the signal at the vicinity of the radome is more attenuated.
For 100 mbar (Fig. 15b ), an intermediate magnetic current (30 A, equivalent at 0.25 T at the tip of the quartz) is also measured. At 120 kW, the mean difference is the same for the three different conditions indicating that the signal can propagate away from the transmitting antenna undisturbed. For 140 kW, the mean difference of \(S_{11}\) without magnetic field increases, indicating a signal reflection on the flow. Instead, in the magnetized plasma, the mean difference is almost 0 dB, indicating that the signal can propagate as in free space due to the magnetic field. For higher electric powers, the mean difference without applied magnetic filed is always higher than with an applied magnetic field, being also higher for the lower magnetic flux density (0.25 T) than for the highest one (0.41 T). An inversion of this trend could happen above 300 kW. Overall, the mean difference of the \(S_{11}\) parameter is higher for 100 mbar than for 50 mbar up to 240 kW, with an stabilization for higher powers at a lower value than for 50 mbar. In fact, the plasma frequency at 50 mbar is lower than at 100 mbar, up to between 200 kW and 250 kW. The lower plasma frequencies can explain why the mean difference of the reflection parameter is lower, as the radio signals are less reflected back into the probe.
Fig. 15
Difference between total magnitude of the \(S_{11}\) parameter, without and with magnetic field, for air plasma
Full size image

4.2.3 Faraday rotation

According to the theoretical formulation of the Faraday rotation (Eq. 14), the presence of a magnetic field changes the rotation of the electric field of the antennas. The direction of the changes depends on the angle between the direction of propagation and the magnetic field, being in this case related with the direction of the polarization of the applied magnetic field. As the transmitting antenna is placed horizontally and vertically in two consecutive tests (same alignment and same calibration), the rotation of the electric field orientation can be estimated. Due to the very low values measured on the cross-polar component (when the electric fields are not aligned), the estimation of the mean polarization angle are very noisy, particularly without plasma (geometric rotation). As such, the following results are fitted with a linear regression (for the data without plasma) and a quadratic regression (for the data with plasma), to analyze the trends of the evolution of the Faraday rotation.
Fig. 16
Mean Faraday rotation of the \(S_{21}\) parameter, without and with (0.41 T) magnetic field, for air plasma at 50 mbar, 100 kW, for both magnet polarizations
Full size image
Figure 16 shows the fitted mean angle between the polarization planes of antennas 1 and 2, for the cases without plasma (geometric rotation), with plasma and without magnetic field, and with plasma and with magnetic field, for both magnet polarizations (indicated by \(+\) and − on the legend), for air at 50 mbar, 100 kW. As there are no significant differences between the angle measured with no plasma, and with and without magnetic field, due to the absence of charged particles, only one of the cases without plasma is shown (“0 kW, 0 T"). For the case without plasma (black lines), it is observed that the planes are not aligned and that there is an initial dependency with frequency. For the un-magnetized plasma at 50 mbar, 100 kW, the angle for the case without plasma remains almost unaltered (except for the oscillations), as seen as well for the mean attenuation in Fig. 12a . At the presence of an applied magnetic field, for, respectively, 33 GHz and 38.5 GHz, the mean Faraday rotation varies between around \(10^{\circ }\) and \(5^{\circ }\) for the positive polarization, and between \(-5^{\circ }\) and \(-13^{\circ }\) for the negative polarization, showing the dependency of the Faraday rotation with the angle \(\theta _B\) between the direction of propagation and the magnetic field. This opposite behavior of the Faraday rotation for opposite angles \(\theta _B\) (with respect to the case without plasma) is coherent with the theoretical estimations given by Eq. 14, as the rotation depends on \(\cos \theta _B\) and \(\theta _B^- = 180-\theta _B^+\) (\(^\circ\)). A dependency with the signal frequency is also observed, as theoretically expected.

5 Conclusions

The MHD effects on the signal propagation have been studied by using the MHD probe, which has been designed within the MEESST project, accommodating a HTS electromagnet. The plasma flow characterization has been conducted by means of high-resolution optical emission spectroscopy and stagnation heat flux measurements. The radiance has increased with the presence of the applied magnetic field, mainly due the slight increase of radiation emitted by the CN violet molecular system up to 430 nm, but also due to the oxygen line at 777 nm. The increase of the intensity of the oxygen line indicates an increase of the flow temperature, caused by the presence of the applied magnetic field. Flow temperature increases up to 8% have been measured, 15 mm from the probe stagnation point, for the maximum magnetic flux density. Correspondingly, the electron density and the plasma frequency have increased up to 88% and 37%, respectively. The behavior of the collision frequency has depended on the plasma temperature range. The stagnation heat flux has also increased up to 30%.
The negative effects of the MHD system have been associated with the induced Lorentz force and Hall effect. Hall parameters up to around 13 have been estimated for 50 A (15 mm from the probe), highlighting the plasma anisotropy. For a conducting probe wall, a Hall current flowing away from the surface is created, and the electrons are confined in the vicinity of the stagnation point. This promotes the increase of the flow temperature and stagnation heat flux.
For the radio signal propagation, the conical horn antenna inside of the MHD probe has transmitted to conical horn antennas placed inside of the facility. Despite being in symmetric positions, the transmission coefficients \(S_{21}\) and \(S_{31}\) have not shown the same measured magnitudes, highlighting the plasma asymmetry. At the presence of plasma and the applied magnetic field, no significant differences (outside the uncertainty of the measurements) have been measured on the transmission coefficients. Theoretically, at the presence of an applied magnetic field, the extraordinary wave should be able to propagate for plasma frequencies higher than the signal frequency. The real part (related with ray bending) and imaginary part (related with absorption by collisions) of the refractive index of an un-magnetized plasma have lied between the curves of the positive and negative solution of the refractive index of the magnetized plasma, indicating that, despite the extraordinary wave being able to propagate in higher plasma frequencies, this wave suffers more refraction and more attenuation than that transmitted without magnetic field. Furthermore, the minimum \(\zeta\) and maximum \(\chi\) for each curve have shifted, highlighting another different behavior of each wave due to the different refractive index, which influences the ray path. These factors, combined with the increase of plasma temperature and consequent plasma frequency at the front of the probe, explain the lack of clarity on the effect of the magnetic field for signal attenuation mitigation.
The variation of the mean difference of the \(S_{11}\) parameter has also been analyzed. For low electric powers, the mean difference has been almost independent on the applied magnetic field and almost zero, indicating that the signal can propagate like with no plasma. For higher electric powers, the \(S_{11}\) difference has been seen to be lower for increasing magnetic field strengths, indicating that the signal is less reflected back on the plasma, and thus the extraordinary wave can propagate, suggesting the opening of a magnetic window for communications. This fact, not being visible on the transmission coefficients, suggests that the signal, at the presence of the applied magnetic field, is more attenuated or more refracted on the flow, as predicted numerically.
According to the theoretical formulation of the Faraday rotation, the presence of a magnetic field changes the rotation of the electric field of the antennas. The direction of the changes depends on the angle between the direction of propagation and the magnetic field, being related with the direction of the current on the magnet coils. With the applied magnetic field, the Faraday rotation has indeed increased or decreased depending on the polarization of the magnet, highlighting the relation of the Faraday rotation with the angle between the direction of propagation and the magnetic field.
While a clear demonstration of the improvement of the signal transmission magnitude could not be conclusively confirmed, the behavior of the \(S_{11}\) parameter suggests that the radio blackout mitigation is feasible at optimal combinations of flow ionization. Overall, this work is a demonstration of the complexity of the problem and a roadmap for future experimental and numerical work required to better understand and ultimately overcome the limitations associated with plasma induced signal attenuation in reentry flight conditions.
The improvement of the signal transmission and attenuation results requires further testing with stronger magnetic fields and at different magnet orientations. The conductivity of the probe surface should also be assessed, to verify if, in the case of a insulating wall, the transmitting signal magnitude is improved (correlated with the lower heat flux reported in literature). A full wave numerical analysis is also recommended, to properly analyze the behavior of the signal inside of the plasma chamber. This analysis will allow a deeper understanding of the signal behavior, depending on the radiation pattern and antenna gain, including signal attenuation, scintillation, reflection, refraction, Faraday rotation, and phase oscillations.

Acknowledgements

Diana Luís research is funded by a doctoral fellowship (2021.04930.BD) Granted by Fundação para a Ciência e Tecnologia (FCT Portugal). The MEESST project is funded by the European Union’s Horizon 2020 research and innovation programme under Grant Agreement No. 899298. Prof. Adriano Camps research is funded by Project GENESIS (PID 2021-126436OB-C21) sponsored by MCIN/AEI/10.13039/5011000H033/ and EU ERDF "A way to do Europe!". The authors would like to thank Pascal Collin, from VKI, for his valuable help as Plasmatron operator, and Nicolas Lefevre, from Absolut System, for helping installing and debugging the MHD probe in the Plasmatron facility. Dr. Andrea Fagnani is acknowledged for sharing the codes for the preliminary processing of the spectroscopy measurements. Dr. Vatsalya Sharma and Dr. Vincent Giangaspero, from KU Leuven, are acknowledged for running the COMET solver for simulation of the magnetized plasma flowfield.

Declarations

Conflict of interest

D.L. reports financial support was provided by Fundação para a Ciência e Tecnologia (2021.04930.BD). A.C. reports financial support was provided by European Regional Development Fund 9MCIN/AEI/10.13039/5011000H033/) and by State Agency of Research (EU ERDF "A way to do Europe!"). The research leading to these results received funding from the European Union’s Horizon 2020 research and innovation programme under grant agreement No 899298.
Open Access This article is licensed under a Creative Commons Attribution 4.0 International License, which permits use, sharing, adaptation, distribution and reproduction in any medium or format, as long as you give appropriate credit to the original author(s) and the source, provide a link to the Creative Commons licence, and indicate if changes were made. The images or other third party material in this article are included in the article's Creative Commons licence, unless indicated otherwise in a credit line to the material. If material is not included in the article's Creative Commons licence and your intended use is not permitted by statutory regulation or exceeds the permitted use, you will need to obtain permission directly from the copyright holder. To view a copy of this licence, visit http://creativecommons.org/licenses/by/4.0/.

Publisher's Note

Springer Nature remains neutral with regard to jurisdictional claims in published maps and institutional affiliations.
Title
Magnetohydrodynamic effects on radio signal propagation in a plasma flow
Authors
Diana Felgueiras Luís
Alan Viladegut
Sonja I. Schlachter
Matthieu Dalban-Canassy
Johannes W. Oswald
Georg Herdrich
Adriano Camps
Olivier Chazot
Publication date
01-11-2025
Publisher
Springer Berlin Heidelberg
Published in
Experiments in Fluids / Issue 11/2025
Print ISSN: 0723-4864
Electronic ISSN: 1432-1114
DOI
https://doi.org/10.1007/s00348-025-04136-4
go back to reference B. Bottin, O. Chazot, M. Carbonaro, V. Van Der Haegen and S. Paris. The VKI Plasmatron characteristics and performance. In "Measurement techniques for high enthalpy and plasma flows". RTO-EN-8. October 1999.
go back to reference Bottin B, Chazot O, Carbonaro M et al (2000) The VKI plasmatron characteristics and performance. Measurement techniques for high enthalpy and plasma flows
go back to reference Brunner MJ (1962) Effects of Hall and ion slip on the electrical conductivity of partially ionized gases for magnetohydrodynamic re-entry vehicle application. J Heat Transf 84(2):177–184. https://doi.org/10.1115/1.3684327CrossRef
go back to reference Chauveau S, Deron C, Perrin M et al (2003) Radiative transfer in LTE air plasmas for temperatures up to 15,000 K. J Quant Spectrosc Radiat Transf 46(7):113–130. https://doi.org/10.1016/S0022-4073(02)00080-8CrossRef
go back to reference A. Cipullo, B. Helber, F. Panerai, L. Zeni and O. Chazot (2014). Investigation of Freestream Plasma Flow Produced by Inductively Coupled Plasma Wind Tunnel. Journal of Thermophysics and Heat Transfer. 28. 381-393. 10.2514/1.T4199.
go back to reference Dalban-Canassy M (2023) WP5: cryostat test report and manual. Deliverable D5.4.: Cryostat test report and manual, Absolute System, internal report
go back to reference Davidson PA (2001) An introduction to magnetohydrodynamics. Cambridge University Press, CambridgeCrossRef
go back to reference Davies K (1965) Ionospheric radio propagation, vol 80. National Bureau of Standards, US Department of Commerce
go back to reference Fagnani A (2023) Development of measurement techniques and study of the aerothermal response of space debris materials to atmospheric entry plasmas. PhD thesis, von Karman Institute for Fluid Dynamics and Vrije Universiteit Brussel
go back to reference Fagnani A, Le Quang Huy D, Helber B et al (2020) Investigation of a free-stream air plasma flow by optical emission spectroscopy and comparison to magnetohydrodynamics simulations. In: AIAA SciTech Forum
go back to reference Frank-Kamenetskii DA (1972) Plasma: the fourth state of matter. Springer. https://doi.org/10.1007/978-1-4684-1896-5_18CrossRef
go back to reference Gildfind DE, Smit D, Lefevre A et al (2018) Magnetohydrodynamic aerobraking shock stand-off measurements with flight representative electrodynamic boundary conditions. In: AIAA Aviation Forum,https://doi.org/10.2514/1.J060466
go back to reference Herdrich G, Auweter-Kurtz M, Fertig M et al (2006) MHD flow control for plasma technology applications. Vacuum 80:1167–1173. https://doi.org/10.1016/j.vacuum.2006.01.043CrossRef
go back to reference Ho C, Golshan N, Kliore A (2002) Radio wave propagation handbook for communication on and around Mars. Jpl publication 02-5, NASA JPL
go back to reference Jones C (2006) Report from the workshop on communications through plasma during hypersonic flight. AIAA Meeting Paper p 25. https://doi.org/10.2514/6.2009-1718
go back to reference Kramida A, Ralchenki Y, Reader J (2014) NIST atomic spectra database. http://physics.nist.gov/PhysRefData/ASD/index.html
go back to reference Lani A, Sharma V, Giangaspero VF et al (2023) A magnetohydrodynamic enhanced entry system for space transportation: MEESST. J Space Saf Eng. https://doi.org/10.1016/j.jsse.2022.11.004CrossRef
go back to reference Laur J, Thoemel J (2024) WP3: validation of modeling tools. Deliverable D3.4.: Validation results for radio blackout w/ magnet, Universit du Luxembourg, internal report
go back to reference Le Vine DM (2002) The effect of the ionosphere on remote sensing of sea surface salinity from space: absorption and emission at L band. IEEE Trans Geosci Remote Sens. https://doi.org/10.1109/TGRS.2002.1006342CrossRef
go back to reference Lefevre A (2022) Magnetohydrodynamic aerobraking for Earth re-entry from Deep Space. PhD thesis, The University of Queensland
go back to reference Lemmer K, Gallimore A, Smith T (2009) Experimental results for communications blackout amelioration using crossed electric and magnetic fields. J Spacecr Rockets. https://doi.org/10.2514/1.45490CrossRef
go back to reference Luís D, Giangaspero V, Viladegut A et al (2023) Effect of electron number densities on the radio signal propagation in an inductively coupled plasma facility. Acta Astronaut 212:408–423. https://doi.org/10.1016/j.actaastro.2023.07.028CrossRef
go back to reference Luís D, Viladegut A, Chazot O et al (2025) Radio wave propagation through a characterized CO\(_2\) plasma flow. Under review at Aerospace Science and Technology
go back to reference Mahaffey DW (1963) Microwave propagation through a plasma in a magnetic field. Phys Rev 129(4):1481–1488. https://doi.org/10.1103/physrev.129.1481CrossRef
go back to reference Martinez Schramm J, Hannemann K (2017) Study of MHD effects in the high-enthalpy shock tunnel Gottingen (HEG) using a 30T pulsed magnet system. In: 31st international symposium on shock waves
go back to reference Nowak RJ, Yuen MC (1973) Heat transfer to a hemispherical body in a supersonic argon plasma. AIAA J. https://doi.org/10.2514/3.50611CrossRef
go back to reference Oswald JW, Behnke A, Herdrich G et al (2023) Assessment of MHD-relevant parameters in high enthalpy air plasma for flow manipulation experiments. Vacuum 217:112504. https://doi.org/10.1016/j.vacuum.2023.112504CrossRef
go back to reference Oswald JW, Herdrich G, Lani A (2025) Experimental investigation on MHD flow manipulation in high enthalpy air plasma. Vacuum 240:114565. https://doi.org/10.1016/j.vacuum.2025.114565CrossRef
go back to reference Otsu H, Abe T, Konigorski D (2005) Influence of the Hall effect on the electrodynamic heat shield system for reentry vehicles. In: 36th AIAA plasmadynamics and lasers conference, AIAA 2005-5049, https://doi.org/10.2514/1.40372
go back to reference Rawhouser R (1970) Overview of the AF avionics laboratory reentry electromagnetics program. In: NASA Langley Research Center—The entry plasma sheath and its effects on space vehicles—electromagnetic systems
go back to reference Rohde & Schwarz (2023) R &S ZNB vector network analyzer. Specifications. Version 07.00. https://scdn.rohde-schwarz.com/ur/pws/dl_downloads/pdm/cl_brochures_and_datasheets/specifications/3608_3278_22/ZNB_specs_en_3608-3278-22_v0700.pdf, last accessed 20 Jun 2024
go back to reference Russo FP, Hughes JK (1964) Measurements of the effects of static magnetic fields on VHF transmission ionized flow fields. Tech. Rep. TMX-907, NASA
go back to reference Rybak JP, Churchill RJ (1971) Progress in reentry communications. IEEE Trans Aerosp Electron Syst 7(5):879–894. https://doi.org/10.1109/TAES.1971.310328CrossRef
go back to reference Schlachter SI, Brand J, Fillinger H et al (2017) Performance of conduction-cooled HTS Magnet in radio blackout mitigation experiment. IWC-HTS
go back to reference Schlachter S, Gehring R, Drechsler A (2023) WP5: design and manufacturing of magnet. Deliverable D5.3.: Magnet manufactured, Karlsruhe Institute of Technology, internal report
go back to reference Schlachter SI, Drechsler A, Gehring R et al (2024) Design, fabrication and test of high temperature superconducting magnet for heat flux and radio blackout mitigation experiments in plasma wind tunnels. IOP Conf Ser Mater Sci Eng 1302:012021. https://doi.org/10.1088/1757-899X/1302/1/012021CrossRef
go back to reference Scoggins JB, Leroy V, Bellas-Chatzigeorgis G et al (2020) Mutation++: MUlticomponent Thermodynamic And Transport properties for IONized gases in C++. SoftwareX. https://doi.org/10.1016/j.softx.2020.100575CrossRef
go back to reference Sharma V, Giangaspero VF, Poedts S et al (2024) Influence of magnetohydrodynamics configuration on aerothermodynamics during Martian reentry. Phys Fluids 36:036103. https://doi.org/10.1063/5.0191101CrossRef
go back to reference Smara A, Schlachter S, Dalban-Canassy M (2022) WP5: design report of the HTS magnet. Deliverable D5.2.: Design report of the hts magnet, THEVA Dünnschichttechnik GmbH, internal report
go back to reference Witalis EA (1987) Hall effect, or hyperbolic magnetohydrodynamics, HMHD. Z Naturforsch 42a:917–921. https://doi.org/10.1515/zna-1987-0902CrossRef
go back to reference Zhou Z, Zhang Z, Gao Z et al (2022) Numerical investigation on mechanisms of MHD heat flux mitigation in hypersonic flows. Aerospace. https://doi.org/10.3390/aerospace9100548CrossRef
go back to reference Ziemer RW, Bush WB (1958) Magnetic field effects on bow shock stand-off distance. Phys Rev Lett 1:58–59. https://doi.org/10.1103/PhysRevLett.1.58CrossRef

Premium Partners

    Image Credits
    in-adhesives, MKVS, Ecoclean/© Ecoclean, Hellmich GmbH/© Hellmich GmbH, Krahn Ceramics/© Krahn Ceramics, Kisling AG/© Kisling AG, ECHTERHAGE HOLDING GMBH&CO.KG - VSE, Schenker Hydraulik AG/© Schenker Hydraulik AG