Skip to main content
Top

Near-wall flow measurements using frequency-modulating filtered Rayleigh scattering (FM-FRS)

  • Open Access
  • 01-02-2025
  • Research Article
Published in:

Activate our intelligent search to find suitable subject content or patents.

search-config
loading …

Abstract

The article presents the development and application of the frequency-modulating filtered Rayleigh scattering (FM-FRS) technique for accurate near-wall flow measurements. Traditional seeded particle-based diagnostics face limitations in large-scale wind tunnels, prompting the need for non-intrusive seedless measurements. FM-FRS leverages the convolution of iodine vapor cell transmission and Rayleigh scattering spectra to filter out background noise and glare. The technique is validated through free jet and boundary layer velocity measurements, demonstrating its superiority over conventional methods in extracting Doppler shift from noisy signals. The study also includes a Cramér–Rao lower bound analysis, showing the feasibility of FM-FRS for low-SNR near-wall measurements. This work paves the way for more accurate and practical seedless boundary layer measurements in various fluid dynamics applications.

Publisher's Note

Springer Nature remains neutral with regard to jurisdictional claims in published maps and institutional affiliations.

1 Introduction

Accurately measuring boundary layer velocity profiles on test models is critical for understanding fundamental flow behaviors and associated complex phenomena near the model surface. It is also required for CFD model validations and further development, one of the significant test campaigns at large-scale wind tunnel facilities. Since some large-scale closed-circuit flow facilities do not permit the addition of seeded particles due to potential facility contamination, sensor damage, and safety concerns, the applications of seeded particle-based laser diagnostics are very limited to these circumstances. Therefore, non-intrusive seedless measurements are desirable and required for optical diagnostics to overcome those issues caused by seeding particles into the fluid. One of them is Rayleigh scattering measurement, which has matured much with the development of light sources, sensors and detectors. It is the interaction of light and matter on the scale of, or smaller than, the wavelength of the laser light. The probability of scattering increases with the number of molecules per volume, and molecules undergoing bulk motion in a flow impart a strong directional Doppler frequency shift. As described by the kinetic theory of gases, even stagnant gas molecules constantly move and impart a weaker, yet still measurable, Doppler shift that correlates to temperature. These are the key features of Rayleigh scattering signals that measure density and temperature, while the mean Doppler-shifted signal yields flow velocity. Therefore, Rayleigh scattering is very attractive due to its ability to determine Doppler-based velocity where seeding particles is not possible or undesirable. In addition to flow velocity, these key features make Rayleigh scattering-based diagnostics ideal for in situ multi-property measurements. During the last decade, the frequency scanning filtered Rayleigh scattering (FS-FRS) technique has been developed and utilized for seedless velocimetry and scalar measurements for much more practical flow fields of scientific and engineering interest (Doll et al. 2017; 2018; Saltzman et al. 2019; Boyda et al. 2019, 2020a; Powers et al. 2022).
However, we have to overcome other scattering issues from the surface and particles for successful Rayleigh scattering measurements, which contaminate FRS signals and cause bias in the results. Residual particles in the facility flow stream will generate Mie scattering. The glare on the model surface will produce high-intensity background noise, making near-wall flow measurements more challenging than bulk flow measurements. Although one method of background mitigation we used effectively for planar measurements is structured light illumination (Boyda et al. 2020b), it is hard to keep the Rayleigh scattering signals near the wall region after filtering out the wall glare. Therefore, the near-wall boundary layer measurement will leverage an optical frequency modulation (FM) technique. The FM-FRS is a well-known technique (Mach and Varghese 1999) that has been adapted from wavelength modulation spectroscopy. The key methodology of FM-FRS is presented in Fig. 1 compared with the FS-FRS. The FS-FRS has been applied for planar measurements by imaging flow field at 20\(\sim\)30 discrete laser frequencies by ramping up the laser frequency. Depending on the exposure time of the imaging system, it can take 5\(\sim 10\)min per scan. Then, the Doppler shift is obtained by cross-correlation or least square fitting between the measured and modeled spectrum. The FM-FRS is similar, but it scans a range of the laser frequency by a sinusoidal modulation (\({f}_{m}\): modulation frequency), which allows harmonic analysis of the measured signals to acquire the Doppler shift. It leverages a highly sensitive detector for time-resolved point-wise measurements with faster modulation frequency. The key differences between FS-FRS and FM-FRS are its laser scanning method and post-processing to calculate the Doppler shift.
Fig. 1
Methodology of FS-FRS and FM-FRS as velocimetry
Full size image
The FM-FRS technique better detects the convolution spectrum containing the Rayleigh scattering information from very noisy signals. Instead of directly using detected signals, the measured spectra’s first and second harmonics can be utilized to obtain velocity and scalar properties (temperature and density). Since the convolution spectrum is carried with the modulation frequency, measuring its harmonic signals will delineate the Rayleigh signal from noise sources, such as glare on the wall or surface. Furthermore, due to the convolution of iodine (I2) vapor cell transmission and the broadband Rayleigh scattering spectra, Mie scattering by residual particles in flow will be filtered out. In contrast, the light by Rayleigh scattering will be transmitted and acquired at the trough of a scanning frequency band. The glare on the wall will be significantly reduced by scanning through the trough region. Therefore, this FM technique’s advantages are expected to be (1) effective background removal, (2) improved spectral feature detectability using harmonic signals of the modulation frequency, (3) improved measurement accuracy of velocity and scalar properties, and (4) feedback control of laser frequency to avoid any spectral shape changes due to laser frequency drift during the measurements. The FM-FRS technique has been developed and applied in the present paper, especially for the boundary layer velocity measurements.

2 Experimental setup

A small jet (ID = 17.5 mm) has been built to perform a measurement using the FM-FRS technique, as shown in Fig. 2. It has a 3-axis traverse, co-flow generator, air filter, honeycomb, and screen to generate a uniform jet exhaust of Mach number 0.37. Kiel probes (United Sensor, Type KT, 3.2 mm probe diameter) measure total pressure and total temperature at the plenum and jet exhaust. The measured Mach number profile along the centerline is presented in Fig. 2 using \({P}_{static}\approx {P}_{atm}\) and isentropic relation.
Fig. 2
Laboratory jet rig and Mach number profile of exhaust jet (30 mm above the nozzle)
Full size image
The optical setup with the jet rig has been designed and integrated for the measurements. For the light source, a laser frequency scanning Verdi6 laser (Coherent, 532 nm) is leveraged with a function generator (Berkeley Nucleonics Corp, Model 645) and a high voltage amplifier (Trek, model 2205), which are required for Verdi laser piezo-electric (PZT) actuator to scan laser frequency. The PZT actuator has an input voltage of 0\(\sim\)100 V and up to 20 kHz bandwidth. The wavelength tuning range is approximately 8 GHz. The laser linewidth stability is within 5 MHz over 50 ms at nominal operation without frequency modulation. The laser is steered to cross the jet centerline and blocked by a beam dump. A total of three iodine vapor cells (8.9 cm diameter and 12.7 cm long, Innovative Scientific Solutions Inc.) have been used to measure reference laser transmission and FRS spectra. The reference laser transmission is measured using amplified photodetectors (Thorlabs, PDA100A). A photomultiplier tube (Hamamatsu, H10721-01) is attached to the iodine cell to measure the convolved signals between the Rayleigh scattering spectrum and the iodine cell transmission spectrum. Those key components are presented in Fig. 3. Two identical achromat lenses (50 mm diameter and 100 mm focal length) are used for light collection, and an iris is located in front of the PMT to generate an approximate 100 μm measurement volume size for point-wise measurements. The National Instrument (NI) PXIe system is used for data acquisition. The voltage outputs of PDAs and two PMTs are recorded by NI 9232 module. The total temperature at the plenum and jet exhaust are measured using a K-type thermocouple and recorded by NI 9213 module. A pressure scanner (Scanivalve, DSA3217) is used to measure total pressure at the plenum and jet exhaust.
Fig. 3
FRS measurement setup (PMT: photomultiplier tube, LIA: Lock-in amplifier)
Full size image
As mentioned earlier, two PMTs are used to measure the convolved RS signal (FRS signal) at jet exhaust (PMT1) and no-flow (PMT2), as presented in Fig. 4. The measurement of the no-flow FRS signal allows us to directly compare with the measured spectrum at jet exhaust for velocity determinations for conventional least-square fitting technique instead of generating a no-flow convolved spectrum using modeled Rayleigh scattering spectrum (Tenti et al. 1974; Pan et al. 2004) and iodine transmission spectrum (Forkey et al 1997). The difference in temperature at the two measurement locations can affect the RS spectrum. However, the static temperature at two places would be less than 3%, and its effect is negligible for the velocity determinations using the frequency-modulating technique. Lock-in amplifiers (Stanford Research SR810 and SR830) are leveraged to measure the amplitude of the first and second harmonics of the low-SNR signals directly to extract useful quantitative information from these FM-FRS signals from PMTs.
Fig. 4
Closed view of the measurement setup: PMT1 for jet detector and PMT2 for a no-flow detector
Full size image

3 Results and discussion

3.1 Free jet measurements

The designed and integrated measurement system has been validated by measuring a free jet velocity using the proposed FM-FRS technique and compared with the result of the Kiel probe measurement. Figure 5 shows the measured signals with the voltage output of the function generator. Note that the function generator output voltage is amplified by the high voltage amplifier (50 gain) and then supplied to a PZT actuator inside the Verdi laser head for laser frequency scanning. The reference transmission is leveraged to determine the scanned optical frequency range by comparing it with the modeled iodine transmission spectrum (Forkey et al. 1997). The FRS signal is measured at the jet exhaust, and Doppler shift is observed caused by the jet compared with the reference transmission. Note that there are no ingested particles for the jet velocity measurements.
Fig. 5
Example of measured raw signals for free jet measurements. Arrows indicate Doppler shift
Full size image
Since we use the iodine transmission spectrum of the reference beam to determine the wavenumber (laser frequency), we convert the scanning voltage to the wavenumber by fitting the measured transmission spectrum to the modeled transmission spectrum. Compared with a transmission model (Forkey et al. 1997), its result is presented in Fig. 6. It shows that the iodine cell has a vapor pressure of 266.6 Pa, which has a low transmission at a trough (less than \({10}^{-5}\)) and is favorable to filtering out glare near the wall.
Fig. 6
Iodine cell transmission spectrum, measured (symbol), and theoretical model (solid line, Forkey et al. 1997)
Full size image
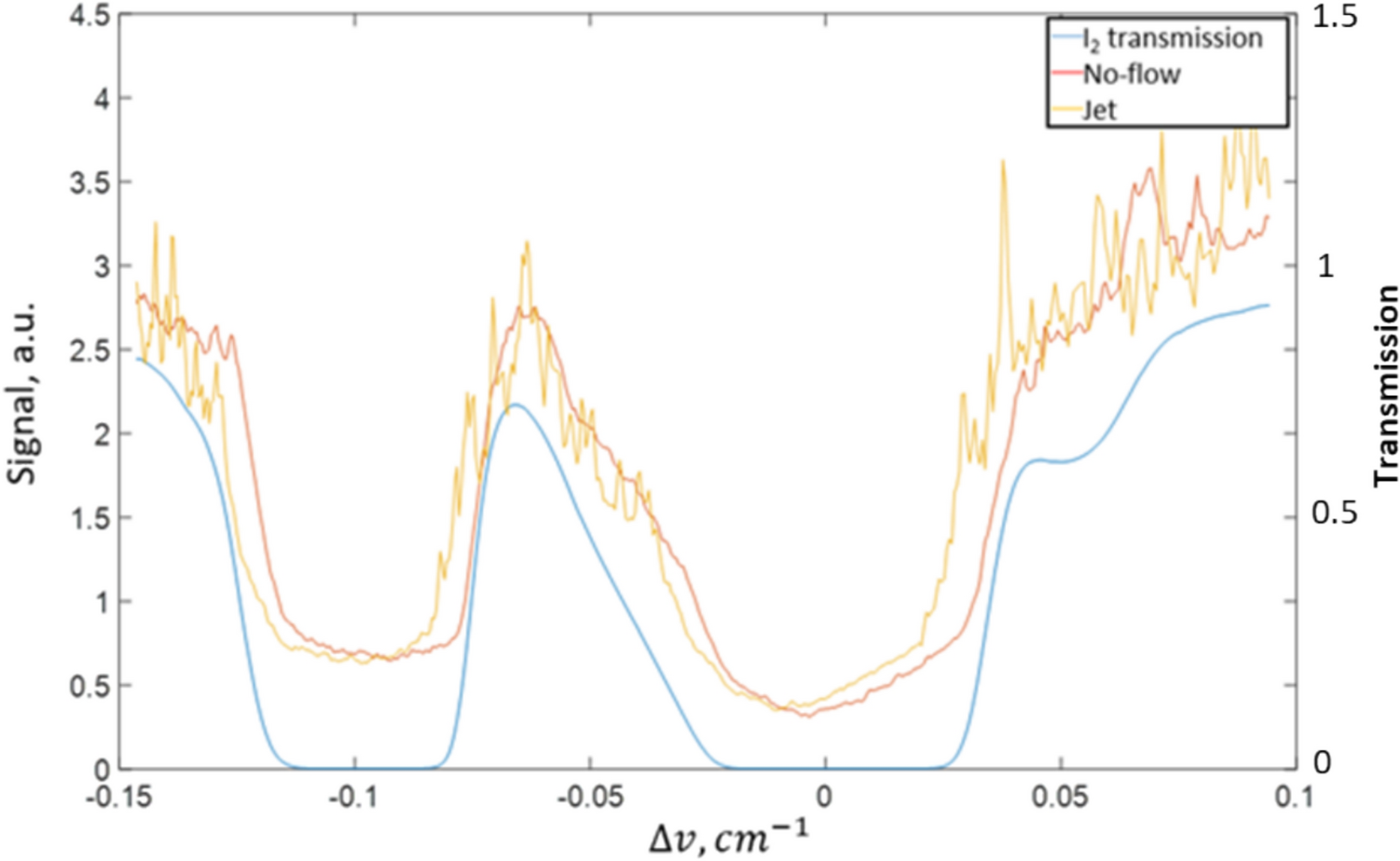
The laser was scanned for the jet velocity measurements between 18,788.27 \({\text{cm}}^{-1}\) and 18,788.51 \({\text{cm}}^{-1}\) as shown in Fig. 6. A triangle wave was generated at 50 Hz and fed to the laser PZT actuator to scan the laser frequency. Note that a triangle wave is selected to show that the FM-FRS method is compatible with the conventional FS-FRS and is applicable for time-resolved measurements by increasing the scanning frequency. The signals of PDAs and PMTs were sampled at 50 kHz. The room temperature and pressure were 295 K and 94,458 Pa, respectively. Figure 6 shows the centered wavenumber versus the measured signals of PDAs (\({I}_{2}\) cell transmission of reference beam), PMT1 (jet) and PMT2 (no-flow), respectively. The detected signal becomes noisier in the high-transmission region (> 50%), which is caused by dust in the jet. The light scattered by dust is significantly filtered out at the trough by the iodine molecular filter due to its much narrower bandwidth than Rayleigh scattering. In contrast, some Rayleigh scattering is still transmitted and detected due to its much wider scattering bandwidth, as presented in Fig. 1. This results in the detected spectrum with low noise. As the scanning wavenumber becomes out of the trough region and the transmission becomes higher, the noise (scattered photons from dust and background) is not filtered out as much as at the trough region. Hence, it becomes a dominant component of the measured spectrum due to its greater magnitude than Rayleigh scattering. Although an air filter was used to remove dust in the jet, there was still intermittent scattering caused by dust, generating noisy signals. As expected, the jet signal is shifted from the no-flow signal. Therefore, the mean velocity is calculated based on the Doppler shift obtained by least-square fitting of the jet signal to the no-flow signal for approximately 3,000 scanning cycles, which provides 6,000 velocity samples as this scanning region includes two troughs (− 0.12 \({\text{cm}}^{-1}\le \Delta \nu \le -0.07\text{ c}{\text{m}}^{-1}\) and \(-0.03\text{ c}{\text{m}}^{-1}\le \Delta \nu \le 0.03\text{ c}{\text{m}}^{-1})\) in Fig. 7. The resulting mean velocity is 127 m/s, which shows a good agreement with the result of the Kiel probe measurement, 126 m/s. The lock-in detection technique was not required for the free jet measurements due to its high SNR. However, the near-wall region shows a much lower SNR, so the conventional least-square fitting is not applicable to achieve flow velocity (Table 1).
Fig. 7
Measured signal versus wavenumber. Note the center wavenumber is 18,788.4321 cm−1
Full size image
Table 1
Comparison of jet velocity measured by Kiel probe and FRS
Kiel Probe
FRS
126 ± 1.2 m/s
127 ± 1.5* m/s
*RMS error of mean velocity from repeated measurements

3.2 Near-wall flow measurement using FM-FRS lock-in detection

The jet was modified to measure boundary layer velocity profiles. Figure 8 presents a schematic and photograph of the boundary layer measurement setup. A transparent acrylic plate (2 mm thick) is attached to one side of the jet nozzle to generate the wall-bounded shear layer and free-jet shear layer on the other side. It will produce wall glare near the plate caused by a laser beam, which is the main obstacle we need to resolve for successful near-wall measurements, as presented in the photograph in Fig. 8. For the comparison, an independent velocity measurement using a homemade pressure probe (1.7 mm outer diameter and 0.25 mm wall thickness) has been performed to validate the capability of the given FM-FRS technique for the near-wall boundary layer and free-jet shear layer measurements, especially mean velocities.
Fig. 8
Schematic of wall-bounded jet measurements. Note that the measurement location is 20.6 mm downstream of the nozzle exit
Full size image
Figure 9 shows the laser glare on the plate and PMT signal at the near wall without jet flow. Note that the plate is 2 mm thick clear acrylic with an anti-reflection coating, and the beam power passing through the plate is 500 mW. The PMT signal is saturated except near the I2 transmission trough region due to the glare on the plate. A 500-mW beam power at the measurement location was set to simulate the achievable laser power out of fiber applications. The laser polarization was set parallel to the plane of incidence to minimize glare and maximize Rayleigh scattering using a half-wavelength plate. The glazing angle was not considered for the current measurement setup as it is not practically achievable when collection optics need to be located inside a test article. To filter out the glaring light and detect Rayleigh scattering, the scanning range of laser frequency was reduced significantly at the low transmission (\(<{10}^{-4}\sim {10}^{-3}\)) of an iodine cell, and the measured signals without saturation are presented in Fig. 10. As expected, the SNR is much lower than the free jet without the acrylic plate (as presented in Fig. 7) to process the conventional least-square fitting to measure the Doppler shift, causing a significant error. Therefore, more investigations have been performed to leverage the FM-FRS technique by measuring first and second harmonics using a lock-in amplifier to overcome noisy low-SNR signals at the near-wall region.
Fig. 9
PMT signal without (top) and with (bottom) the acrylic plate
Full size image
Fig. 10
PMT signals with the plate without saturation
Full size image
The principle of the FM-FRS technique is identical to FM Doppler global velocimetry (DGV) (Fischer et al. 2007; Fischer et al. 2008; Fischer 2017). Instead of using vapor cell transmission for FM-DGV, FM-FRS needs to use the convolution of vapor cell transmission and Rayleigh scattering spectrum as FM-FRS measures filtered Rayleigh scattering instead of Mie scattering. Therefore, this convolved Rayleigh scattering spectrum can acquire the amplitude ratio of first and second harmonics versus wavenumber shift. Then, the wavenumber shift caused by flow velocity (Doppler shift) is obtained by direct measurements of first and second harmonics of detected signals. The first step is to set the center frequency and scanning range. The laser frequency range modulated for FM-FRS is presented, confirmed by the transmission measurement in Fig. 11. The minimum transmission of the trough is approximately \({10}^{-6}\), and the center frequency is 18,789.9835 \({\text{cm}}^{-1}\) for the presented results.
Fig. 11
Iodine cell (Reference beam) transmission; theory (Forkey et al. 1997) (top) and measured (bottom). Dashed lines denote the entire peak-to-peak scan range with 0.000146 \({\text{cm}}^{-1}/\text{mV}\). Note that the measured transmission (bottom) shows the repeated transmission by two sinusoidal modulation cycles
Full size image
After defining the center frequency and scanning range, the amplitude ratio of first and second harmonics is calculated for the shifted frequency. The model of the Rayleigh scattering spectrum (Tenti et al. 1974; Pan et al. 2004) has been used to obtain the convolved Rayleigh scattering signal with iodine transmission. Figure 12 shows the convolved Rayleigh scattering signal, an expected signal spectrum during the laser frequency modulation, and the simulated signals out of 6 sinusoidal cycles. These repeated signals are used to calculate first and second harmonics and the ratio by using (Fischer 2017)
$$\frac{A1}{{A2}} = \frac{{\mathop \sum \nolimits_{n = 1}^{N} S\left( n \right)\cos \left[ {\frac{{2\pi f_{m} }}{{f_{s} }}\left( {n - 1} \right)} \right]}}{{\mathop \sum \nolimits_{n = 1}^{N} S\left( n \right)\cos \left[ {\frac{{4\pi f_{m} }}{{f_{s} }}\left( {n - 1} \right)} \right]}}$$
(1)
where A1 and A2 are the amplitude of first and second harmonics, respectively, S is the simulated signal, \({f}_{m}\) is the sinusoidal modulation frequency of 20 Hz, and \({f}_{s}\) is the sampling frequency of 10 kHz. As a reference input, the lock-in amplifier (LIA) requires the sinusoidal waveform. One of the potential advantages of FM-FRS is time-resolved measurements, which require at least an order of magnitude higher modulation frequency. The detected number of Rayleigh scattering photons becomes less and less with higher modulation frequencies, and the detected photons are purely from the glare on the wall, not Rayleigh scattering, which contains Doppler shift information. Therefore, the 20 Hz modulation frequency was selected based on the given laser power and collection efficiency. The A1/A2 versus the Doppler shifted wavenumber is presented in Fig. 13. Therefore, the Doppler shift can be obtained by direct measurements of A1 and A2, and the corresponding velocity is calculated by \(V=\lambda \Delta \nu\), where \(\lambda\) is the incident laser wavelength in meters and \(\Delta \nu\) is Doppler shift frequency in Hz. Note that, like FM-DGV, the slope of the calibration curve in Fig. 13 becomes steeper, which provides a higher sensitivity to Doppler shift, if a higher transmission region, where the transmission slope is higher, is selected instead of the trough region. However, the wall glare becomes dominant in the measured signal as well. Therefore, it cannot be applied to near-wall measurements.
Fig. 12
Convolved Rayleigh spectrum of iodine transmission and Rayleigh spectrum of the scanning range of \(\pm 0.02\text{ c}{\text{m}}^{-1}\) from the center frequency, 18,789.9835 \({\text{cm}}^{-1}\) (top) and simulated FM-FRS signal by sinusoidal modulation (bottom)
Full size image
Fig. 13
The first and second harmonic amplitude ratio vs. wavenumber shift (Doppler shift)
Full size image
As mentioned earlier in Section B, a transparent acrylic plate is attached to the jet nozzle to generate the wall-bounded jet. Therefore, it is expected to measure the boundary layer, jet core, and jet shear layer across the current jet nozzle configuration. For FM-FRS, the laser frequency is modulated by a sinusoidal wave (\({f}_{m}=20 \text{Hz})\). Figure 14 shows the modulating wave and corresponding reference beam transmission. This reference beam transmission signal is being monitored for the scanning range of laser frequency for reference during the measurements. The sinusoidal wave offset has been adjusted to keep the scanning range consistent during the measurements.
Fig. 14
Reference beam transmission vs. laser frequency-modulating sine wave
Full size image
One of the measured signals is presented in Fig. 15. The signal is weak and noisy, and the glare is so intense that it contaminates the signal significantly at high transmission near the wall (top figure) compared with the signal away from the wall (bottom figure). As introduced earlier, the LIA is leveraged to directly measure the amplitude of first and second harmonics from these noisy and low-SNR signals. Two LIAs are used: one for no-flow PMT signals and the other for jet-flow PMT signals. Its time constant is set to 0.3 s to capture enough cycles for harmonic calculations. The laser frequency-modulating sinusoidal wave is fed to LIAs to lock in at the modulation frequency. The amplitude and ratio of harmonics are saved and processed to calculate the shifted wavenumber and corresponding velocity. Note that the A1/A2 of no-flow signals provide essential information for laser frequency drifting despite monitoring the reference transmission and adjusting the offset of the sinusoidal wave. Since there is no source to change the A1/A2 of no-flow signals, it gives the bound of laser frequency instability and choice for the A1/A2 of jet-flow signals within that bound (± 10%) for post-processing and is also used to estimate the measured velocity uncertainty. It could also be one of the most effective laser frequency PID control indicators, critical for the FM-FRS and any laser spectroscopic techniques. Note that the significant source of velocity uncertainty is caused by laser frequency drifting.
Fig. 15
Example of measured signals: near the wall (1 mm, top) and away from the wall (10 mm, bottom)
Full size image
The multiple jet velocity profiles across the jet nozzle are presented in Figs. 16 and 17. The colored symbols represent FM-FRS results, while the black symbols represent the probe measurement results for comparison. First, the FM-FRS results agree with the probe results for the jet core and shear layer region within the uncertainty bounds. Note that the width of the jet core in Fig. 16 is smaller than that in Fig. 1, as it is measured along the off-center line. The probe result shows higher than that of FM-FRS for y \(\le 2 \text{mm}\), which is most likely caused by the probe's initial location on the wall. It shows that the FM-FRS lock-in detection technique is much more efficient in extracting Doppler shift from very noisy low-SNR signals than the conventional least-square fitting technique. For example, the conventional least-square fitting technique using the detected signals estimates the jet core velocity approximately 25% higher than the probe results. It is worth noting that an optical rake using the FS-FRS technique was recently performed on boundary layer flows to replace a conventional probe rake (Powers et al. 2024). It allowed the first measurement to be approximately 4 mm above the wall due to the window glare where a laser beam passes. Second, the FM-FRS results for the wall-bounded boundary layer are presented in Fig. 17. Directly comparing FM-FRS with the reference probe data is impossible as the probe data are unavailable below 1 mm from the wall. Instead, the measured boundary layer profile is compared with the law of the wall (Spalding 1961).
$${y}^{+}={u}^{+}+0.1108\left[{e}^{0.4{u}^{+}}-1-0.4{u}^{+}-\frac{{\left(0.4{u}^{+}\right)}^{2}}{2!}-\frac{{\left(0.4{u}^{+}\right)}^{3}}{3!}\right]$$
(2)
where \({y}^{+}=y{u}_{\tau }/\nu\) and \({u}^{+}=U/{u}_{\tau }\), and \({u}_{\tau }=\sqrt{\tau /\rho }\) is the skin friction velocity, which is estimated using the Schultz-Grunow formula (Schetz 1993)
Fig. 16
The measured jet velocity profile. Colored symbols: FM-FRS, black symbols: pressure probe measurements
Full size image
Fig. 17
The measured wall jet profile normalized by wall variables. Solid lines: the law of the wall, symbols: FM-FRS
Full size image
$${C}_{f}=0.0456{\left(R{e}_{\delta }\right)}^{-1/4}$$
(3)
For the law of the wall, the skin friction velocity, \({u}_{\tau }=5.2\)m/s is used in Eq. (2). Compared with the law of the wall, the FM-FRS technique can measure the log-layer as low as \({y}^{+}\approx 30\) (\(y \approx 100 \mu m\) for the current jet conditions). Although the velocity uncertainty in the presented measurements is high near the wall, it is a successful boundary layer measurement using the FM-FRS technique without seeding particles up to the author’s knowledge. Therefore, we are confident that the proposed FM-FRS technique is promising for the seedless boundary layer measurements, including the near-wall region.

3.3 Velocity uncertainty

The primary uncertainty source during the measurements is laser frequency instability (wavelength jittering and drifting). Since the FM-FRS technique is based on the amplitude of first and second harmonics, it is susceptible to the modulating range of laser frequency. The laser frequency is modulated by sinusoidal voltage input for the laser PZT actuator for the presented measurements. As mentioned earlier, the drifting of the laser frequency has been observed by monitoring the A1/A2 of the no-flow signal, which results in the variation of the harmonic ratio, not caused by velocity fluctuations during the measurements. Since the harmonic ratios of no-flow and jet flow are measured simultaneously, the measured jet flow A1/A2 data corresponding to those within \(\pm 10\%\) variation of the no-flow A1/A2 data were selected for post-processing. It is estimated to be within \(\pm 7\) MHz wavelength instability and \(\pm 6.5 \text{ m}/\text{s}\) velocity uncertainty, respectively. Therefore, improving the laser frequency stability is critical to reducing the measurement uncertainty and increasing the accuracy of temporal measurements. A PID control by the feedback of no-flow A1/A2 would be one of the methods for improvement. We can reduce the velocity uncertainty to 0.5 m/s if the laser frequency is controlled within sub-MHz.
Since the jet velocity measured by the pressure probe is obtained by \(U=Ma=M\sqrt{\gamma RT}, t\) he uncertainty of the probe data is estimated by \(\delta U=\sqrt{{\left(\frac{\delta U}{\delta M}\delta M\right)}^{2}+{\left(\frac{\delta U}{\delta T}\delta T\right)}^{2}}\), where \(M=\sqrt{\left({\left(\frac{P}{{P}_{t}}\right)}^{\frac{\gamma }{\gamma -1}}-1\right)\frac{2}{\gamma -1}}\), using the specification of the pressure transducer, \(\delta P= \pm 172.4 Pa\) and thermocouple, \(\delta T= \pm 2.2^\circ{\rm C}\).

3.4 Cramér–Rao lower bound (CRLB)

The CRLB analysis, which yields the lowest possible velocity variance, previously presented by Fischer and Czarske (2010), has been adapted for the current FM-FRS application. The signal model, \(S\left(f\right)={QE n}_{s}\tau \left(f\right) G\), is a function of the number of scattered photons (\({n}_{s}\)), the quantum efficiency of the sensor (\(QE\)), the convolution of the iodine transmission spectrum and Rayleigh scattering spectrum, \(\tau (f)\) as a function of laser frequency (f), and the gain (G). Two noise sources are considered for the CRLB: shot noise with Poisson distribution and electronic detector noise with Gaussian distribution. Therefore, the total \(CRLB\left(U\right)={CRLB\left(U\right)}_{Poisson}+{CRLB\left(U\right)}_{Gaussian}\) is acquired using Eqs. (4) and (5).
$$CRLB\left( U \right)_{{Poisson}} = \frac{{\sum\limits_{{k = 0}}^{{N - 1}} \tau (f_{k} )}}{{\sum\limits_{{k = 0}}^{{N - 1}} {\frac{{\tau ^{{\prime }} (f_{k} )^{2} }}{{\tau (f_{k} )}}} \sum\limits_{{k = 0}}^{{N - 1}} \tau (f_{k} ) - \left( {\sum\limits_{{k = 0}}^{{N - 1}} \tau ^{\prime } (f_{k} )} \right)^{2} }}\frac{{\lambda ^{2} }}{2}\frac{1}{{QEn_{s} }}$$
(4)
$${CRLB\left(U\right)}_{Gaussian}=\frac{\sum_{k=0}^{N-1}\tau \left({f}_{k}\right)}{\left(\sum_{k=0}^{N-1}{\tau \left({f}_{k}\right)}^{2}\right) \left(\sum_{k=0}^{N-1}{{\tau }^{\prime}\left({f}_{k}\right)}^{2}\right)-{\left(\sum_{k=0}^{N-1}\tau \left({f}_{k}\right){\tau }^{\prime}\left({f}_{k}\right)\right)}^{2}}\frac{{\lambda }^{2}}{2}\frac{{NEP}^{2}}{{{2P}_{s}}^{2}T}$$
(5)
where \(\tau ^{\prime}(f)\) is \(\frac{d\tau }{df}\), and N is the number of frequency scanning samples (100 samples were used for the current simulation), T is the duration of one velocity measurement (time constant of LIA), \({P}_{s}\) is the light power of scattered photons, NEP and λ are the minimum noise equivalent power of photodetectors and the laser wavelength, respectively. The NEP was estimated using the photodetector noise variance caused by dark current, \({\sigma }_{n}^{2}\)
$$NEP^{2} = \frac{{\sigma_{n}^{2} }}{{\frac{{f_{a} }}{2}}}\left( {\frac{{f_{a} hc}}{QE \lambda }} \right)^{2}$$
(6)
where \({f}_{a}\) is the sampling frequency, h is the Planck constant, and c is the speed of light. The number of scattered photons (\({n}_{s}\)) ranges \({10}^{2.3}\sim { 10}^{4}\) was considered for the signal simulations. Since the CRLB directly depends on \(\tau \left(f\right),\) three different regions near the trough for the optical frequency scanning were selected, as shown in Fig. 18. The authors have used these three regions before due to their low transmission, which is required to filter out any noises, such as geometric scattering, wall glare, and background light for Rayleigh scattering measurements. Therefore, the frequency range considered for CRLB is only \(\pm 0.02 {\text{cm}}^{-1}\) at the trough, as shown in Fig. 19. Note that region (c) was used for the presented FM-FRS experiments due to the laser’s tunable limit. The signal-to-noise ratio (SNR) is defined as \(SNR=10{\text{log}}_{10}\frac{{\sigma }_{S}^{2}}{{\sigma }_{P}^{2}+{\sigma }_{G}^{2}}\), \({\sigma }_{S}^{2}\) is the variance of the noise-free signal, \({\sigma }_{P}^{2}\) is the signal-dependent Poisson-distributed shot noise, and \({\sigma }_{G}^{2}\) is the detector-dependent Gaussian-distributed noise, including constant random, dark, and readout noise. The simulated signals within the scanning wavenumber are presented in Fig. 19 for the 4 ~ 29 dB SNR range, and the CRLB of the velocity estimator is shown in Fig. 20. It is less than 1.2 m/s (0.8% of jet core velocity) for all considered cases. Given the detector’s specifications, the CRLB reduces with higher SNRs, which results from the increase in the number of detected photons (and \({P}_{s}\)). Although there is no significant difference between the three regions, region (b) is recommended for the lowest CRLB. Also, filtering out the geometric scattering (wall glare) would be more efficient due to the lowest transmission in region (b).
Fig. 18
Three regions of the iodine cell transmission spectrum for CRLB analysis. Linear scale (top) and log scale (bottom) of transmission
Full size image
Fig. 19
The simulated signals for the region a in Fig. 18, its center at 18,787.7945 \({\text{cm}}^{-1}\)
Full size image
Fig. 20
The CRLB of velocity estimator vs. SNR for three scanning regions. Regions a, b, and c from Fig. 18
Full size image
It is interesting to see the effect of the scanning range on the near-wall FM-FRS applications in region (b). Fischer et al. (2008) investigated the optimum conditions of frequency modulation parameters for FM-DGV, such as the scanning range, center frequency, and the transmission curve. They concluded (1) the scanning range of FWHM of the transmission profile, (2) the center frequency around the minimum transmission, and (3) the parabolic shape of the transmission curve for the lowest velocity uncertainty measurements. FM-FRS’s center frequency must be near the minimum transmission to block the wall glare. This lower transmission region has a flat transmission curve at the trough, which is not ideal for leveraging the first and second harmonics to determine flow velocity. However, FM-FRS uses the convolution of molecular filter transmission and Rayleigh scattering for harmonic detection, and this convolved FRS spectrum has a parabolic curve for the scanning range, as shown in Fig. 12. As mentioned earlier, however, the FM-FRS for near-wall measurements cannot use a wider scanning range like the FWHM of the transmission profile because the transmission is too high to filter out the wall glare light, so the detected signals will no longer contain the flow information correctly. The effect of the wall glare on the FRS spectrum is simulated for region (b) and presented in Fig. 21. The intensity ratio (IR) is defined as \(\frac{\int {S}_{glare}dv}{\int {S}_{Rayleigh}dv}\), so ‘IR = 0’ represents the pure FRS spectrum without the wall glare. It shows how wall glare affects the FRS spectrum, and its difference from pure FRS becomes significant with the increase in wall glare and transmission. This spectrum change will mislead the first and second harmonics, which will cause an error in the velocity determination. Therefore, the scanning range for FM-FRS near-wall measurements is mainly determined by a molecular filter transmission and the wall glare intensity. It is recommended within the flat region (transmission < \({10}^{-4}\)), where the FRS spectrum can be conserved without contamination by the wall glare.
Fig. 21
The effect of the wall glare on the FRS spectrum for the region (b), its center at 18,788.4355 \({\text{cm}}^{-1}.\)
Full size image

4 Conclusion

This paper describes the development and application of the FM-FRS technique to the measurements of boundary layer velocity profiles by detecting Rayleigh scattering, in which interest has been rising these days. As there is a common issue or limit to the applications of Rayleigh scattering to a wall-bounded or closed region of interest, the main challenge is to mitigate the glare on the wall and separate the Rayleigh scattering signals from the wall glare and background. The proposed FM-FRS method shows successful experimental results and validation of flow velocity measured within a boundary layer, a free jet, and a free shear layer. The successful implementation of PMTs and LIAs makes the presented FM-FRS technique applicable for boundary layer measurement, including the near-wall region as close as approximately 100 μm to the wall within the measurement uncertainty of ± 6.5 m/s. It would be the first application of FRS to resolve a log-layer and low SNR. The CRLB analysis for the velocity estimator using FM-FRS has been performed to investigate its lowest possible variance and the sensitivity of scanning ranges. It shows the feasibility of the FM-FRS technique for the near-wall region where the SNR is usually much lower due to the glare. Based on the results and observations presented, the FM-FRS is a promising technique for seedless boundary layer measurements. Its hardware and software framework development, including high-power laser and PID laser stability control and RMS amplitude and harmonics measurements using LIA, can allow simultaneous velocity and scalar measurements with temporal and spatial resolutions and open more FRS application space.

Acknowledgements

This work was supported by NASA SBIR Phase I (Contract No. 80NSSC21C0389) with Paul M. Danehy as a technical monitor.

Declarations

Conflict of interests

The authors declare no competing interests.
Open Access This article is licensed under a Creative Commons Attribution 4.0 International License, which permits use, sharing, adaptation, distribution and reproduction in any medium or format, as long as you give appropriate credit to the original author(s) and the source, provide a link to the Creative Commons licence, and indicate if changes were made. The images or other third party material in this article are included in the article's Creative Commons licence, unless indicated otherwise in a credit line to the material. If material is not included in the article's Creative Commons licence and your intended use is not permitted by statutory regulation or exceeds the permitted use, you will need to obtain permission directly from the copyright holder. To view a copy of this licence, visit http://​creativecommons.​org/​licenses/​by/​4.​0/​.

Publisher's Note

Springer Nature remains neutral with regard to jurisdictional claims in published maps and institutional affiliations.
Title
Near-wall flow measurements using frequency-modulating filtered Rayleigh scattering (FM-FRS)
Authors
Gwibo Byun
K. Todd Lowe
Michael Ellery
Joshua Sole
Publication date
01-02-2025
Publisher
Springer Berlin Heidelberg
Published in
Experiments in Fluids / Issue 2/2025
Print ISSN: 0723-4864
Electronic ISSN: 1432-1114
DOI
https://doi.org/10.1007/s00348-025-03974-6
go back to reference Boyda MT, Byun GB, Lowe KT (2019) Investigation of velocity and temperature measurement sensitivities in cross-correlation filtered Rayleigh scattering (CCFRS). Meas Sci Technol 30:044004. https://​doi.​org/​10.​1088/​1361-6501/​ab0350CrossRef
go back to reference Boyda MT, Byun G, Saltzman A, Lowe KT (2020b) Geometric scattering removal in cross-correlation Doppler global velocimetry by structured illumination. Meas Sci Technol 31:064004. https://​doi.​org/​10.​1088/​1361-6501/​ab6b4fCrossRef
go back to reference Boyda MT, Byun G, Saltzman A, Lowe KT (2020a) Influence of Mie and geometric scattering on temperature and density measurements using filtered Rayleigh scattering, AIAA SciTech Forum 2020, Orlando, FL, AIAA-. https://​doi.​org/​10.​2514/​6.​2020-1516
go back to reference Doll U, Stockhausen G, Willert C (2017) Pressure, temperature and three-component-velocity fields by filtered Rayleigh scattering velocimetry. Optics Lett 42(19):3773–3776. https://​doi.​org/​10.​1364/​OL.​42.​003773CrossRefMATH
go back to reference Doll U, Dues M, Tommaso B, Picchi A, Stockhausen G, Willert C (2018) Aero-thermal flow characterization downstream of an NVG cascade by five-hole probe and filtered Rayleigh scattering measurements. Exp Fluids 59:150. https://​doi.​org/​10.​1007/​s00348-018-2607-zCrossRef
go back to reference Fischer A (2017) Model-based review of Doppler global velocimetry techniques with laser frequency modulation. Optics Lasers Eng 93:19–35. https://​doi.​org/​10.​1016/​j.​optlaseng.​2017.​01.​004CrossRefMATH
go back to reference Fischer A, Czarske J (2010) Signal processing efficiency of Doppler global velocimetry with laser frequency modulation. Optik 121(20):1891–1899. https://​doi.​org/​10.​1016/​j.​ijleo.​2009.​05.​014CrossRefMATH
go back to reference Fischer A, Büttner L, Czarske J, Eggert M, Grosche G, Müller H (2007) Investigation of time-resolved single detector Doppler global velocimetry using sinusoidal laser frequency modulation. Meas Sci Technol 18:2529–2545. https://​doi.​org/​10.​1088/​0957-0233/​18/​8/​029CrossRef
go back to reference Fischer A, Büttner L, Czarske J, Eggert M, Müller H (2008) Measurement uncertainty and temporal resolution of Doppler global velocimetry using laser frequency modulation. Appl Opt 47:21. https://​doi.​org/​10.​1364/​AO.​47.​003941CrossRefMATH
go back to reference Forkey JN, Lempert WR, Miles RB (1997) Corrected and calibrated I2 absorption model at frequency-doubled Nd:YAG laser wavelengths. Appl Optics 36(27):6729–6738. https://​doi.​org/​10.​1364/​AO.​36.​006729CrossRef
go back to reference Mach J, Varghese PL (1999) Velocity measurements by modulated filtered rayleigh scattering using diode lasers. AIAA J 37(6):695–699. https://​doi.​org/​10.​2514/​2.​797CrossRefMATH
go back to reference Pan X, Shneider MN, Miles RB (2004) Coherent rayleigh-brillouin scattering in molecular gases. Phys Rev A 69:033814. https://​doi.​org/​10.​1103/​PhysRevA.​69.​033814CrossRefMATH
go back to reference Powers S, Byun G, Lowe KT (2024) Validation of filtered rayleigh scattering optical rake measurement techniques in turbomachinery applications and boundary layers. J Turbomach. https://​doi.​org/​10.​1115/​1.​4063562CrossRefMATH
go back to reference Powers S, Warner EP, Byun G, Lowe KT (2022) Auto-processing of filtered rayleigh scattering images including mie and background scattering contributions, In: 20th international symposium on application of laser and imaging techniques to fluid mechanics, lisbon, portugal
go back to reference Saltzman A, Boyda M, Lowe KT, Ng WF (2019) Filtered rayleigh scattering for velocity and temperature measurements of a heated supersonic jet with thermal non-uniformity, In: 25th AIAA/CEAS aeroacoustics conference, Delft, The Netherlands, AIAA-2019–2677. https://​doi.​org/​10.​2514/​6.​2019-2677
go back to reference Schetz JA (1993) Boundary layer analysis. Prentice Hall, New JerseyMATH
go back to reference Spalding DB (1961) A single formula for the law of wall. J Appl Mech 28(3):455–458. https://​doi.​org/​10.​1115/​1.​3641728CrossRefMATH
go back to reference Tenti G, Boley CD, Desai RC (1974) On the kinetic model description of Rayleigh-Brillouin scattering from molecular gases. Can J Phys 52:285–290. https://​doi.​org/​10.​1139/​p74-041CrossRefMATH
Image Credits
in-adhesives, MKVS, Ecoclean/© Ecoclean, Hellmich GmbH/© Hellmich GmbH, Krahn Ceramics/© Krahn Ceramics, Kisling AG/© Kisling AG, ECHTERHAGE HOLDING GMBH&CO.KG - VSE