Skip to main content
Top

Online Abuse of Politicians: Experimental Evidence on Politicians’ Own Perceptions

  • Open Access
  • 17-06-2024
  • Original Paper
Published in:

Activate our intelligent search to find suitable subject content or patents.

search-config
loading …

Abstract

The article delves into the prevalent issue of online abuse targeting politicians, focusing on how politicians themselves perceive various types of negative messages. Using a pre-registered survey experiment involving over 700 Danish politicians, the study examines reactions to insults, threats, sexism, and policy criticism. Notably, it finds that while simple policy criticism is generally accepted, personal insults, sexist remarks, and threats are widely considered abusive. Surprisingly, politicians do not exhibit an in-party bias, but there are marked differences in perceptions across the political spectrum and between genders. Left-leaning politicians are more averse to sexist remarks, and female politicians are more sensitive to both criticism and abuse. The findings have implications for understanding the prevalence of online abuse, regulating social media content, and addressing gender inequalities in politics.

Supplementary Information

The online version contains supplementary material available at https://​doi.​org/​10.​1007/​s11109-024-09944-8.

Publisher's Note

Springer Nature remains neutral with regard to jurisdictional claims in published maps and institutional affiliations.

Introduction

Online abuse of politicians presents a serious challenge to representative democracy. Recent research has demonstrated how slurs, insults, sexism, and threats directed at politicians are ubiquitous on social media (Theocharis et al., 2020; Ward & McLoughlin, 2020; Rheault et al., 2019; Håkansson, 2021). Such social media comments may affect, e.g., the well-being of politicians, as politicians targeted by abuse report symptoms such as stress, insomnia, and anxiousness (James et al., 2016). These finding therefore also add to rising concerns over poor working conditions for elected officials (Flinders et al., 2020). At the same time, politicians are people in positions of power, and citizens’ right to criticize their elected leaders is at the core of liberal democracy itself (Dahl, 2005). The distinction between valid criticism and online abuse is therefore important, yet far from obvious. This article sheds light on this issue by focusing on how politicians themselves perceive potentially abusive messages from citizens. While the growing literature on online abuse, hostility and incivility directed at politicians has provided key insights about the prevalence of abuse and patterns in abuse directed at different groups of politicians—e.g., women—surprisingly little is known about how politicians in general perceive various types of negative messages (Bjarnegård et al., 2022; Collignon & Rüdig, 2020; Håkansson, 2021; Rheault et al., 2019; Theocharis et al., 2016; Unkel & Kümpel, 2022; Ward & McLoughlin, 2020).
Using a pre-registered survey experiment with more than 700 Danish politicians from the national, regional, and local levels of government, we investigate the degree to which, and under what conditions, politicians consider different types of negative messages on social media to be abusive. We focus our investigation on insults, sexism, threats, and—as a comparison—criticism of policy. Building on social identity theory, research on partisanship, conflict aversion, and women in politics, we theorize that politicians’ perceptions of potentially abusive messages are affected not just by the content of the messages, but also by the politicians’ own partisanship, ideology, and gender—as well as the gender of the politician being attacked.
Our results show that politicians react very differently to different types of negative messages. While simple criticism of policies is generally accepted, politicians are much more averse to personal insults and sexist remarks, and consider threats to be highly abusive. Somewhat surprisingly, the politicians do not exhibit an in-party bias, as we find similar levels of aversion towards negative messages directed at co-partisans and out-partisans. However, this does not mean that politics is irrelevant for perceptions of abuse, as politicians differ markedly in their perceptions across the left–right ideological spectrum. Left-leaning politicians are substantially more averse to negative comments, particularly sexist remarks, than their right-leaning counterparts. Furthermore, gender plays an important role in two ways. First, female politicians are more averse to both criticism and abuse on social media than male politicians. Second, politicians in general are more averse to attacks on politicians who are women.
These findings have a number of important implications, and our study therefore contributes in several ways to different fields. First, the considerable variation in politicians’ perceptions of abuse suggests the need for some caution when investigating and discussing the prevalence of online abuse. This is clearly relevant for surveys-based studies on politicians’ (self-reported) exposure to online abuse. One politician’s criticism may be another politician’s abuse, and ostensible differences in exposure to abuse between, for example, left-wing and right-wing politicians may result not just from varying exposure but also varying personal thresholds for when something counts as abuse.
Second, our findings also contribute to current debates about regulation of social media content, and discussions on how to weigh concerns about citizens’ free speech against the personal well-being politicians (Citron & Norton, 2011). While a long list of detrimental consequences is often linked to the abuse endured by politicians on social media, for example that politicians abstain from discussing controversial topics or outright reconsider their political career (Theocharis et al., 2016; Tromble, 2018), our findings suggest that politicians clearly differentiate between different kinds of abuse. Discussions about the proper balance between citizens’ and politicians’ rights ought to take differences between different types of abuse into account.
Finally, our study may help explain how online abuse potentially exacerbates already existing inequalities in politics, and it may particularly contribute to research on abuse and violence against women in politics (Krook & Sanín, 2020). Previous studies have already shown that exposure to online abuse tend to be gendered, with women being subjected more to certain types of abuse (Gorrell et al., 2020; Rheault et al., 2019). However, gender not only influences the amount and type of abuse that politicians receive; it also affects how politicians perceive these messages. Thus, even in cases where men and women in politics receive the same levels and types of online abuse, differences in reactions to such abuse may still exacerbate gender inequalities in politics.

The Prevalence of Online Abuse

Surveys of politicians and political candidates across multiple countries indicates that a large share of these groups are being harassed, threatened, and otherwise abused on social media (Collignon & Rüdig, 2020; Frenzel, 2019; James et al., 2016; Kaati & Akrami, 2018; Operate, 2018). These surveys also suggest that online abuse of politicians may have serious detrimental consequences for the politicians’ personal well-being as well as their use of democratic rights. Thus, politicians report that abuse—both online and offline—affects their mental health negatively, causing them to experience symptoms such as stress, insomnia, and anxiousness. For many politicians, the experiences with online abuse have also made them reconsider their political career (Collignon & Rüdig, 2020; James et al., 2016; Operate, 2018).
While these survey-based studies with politicians shed light on the prevalence of different types of abuse—and to some extent the consequences of such abuse—this literature generally does not examine the specific nature of the abuse that the politicians receive. Understandably, these survey-based investigations of online abuse tend to ask politicians relatively broad questions about, for instance, “inappropriate behaviour, harassment, or threats to their security in their position as parliamentary candidates during the campaign” (Collignon & Rüdig, 2020). While a few qualitative studies have elaborated on the specificities of degrading talk and threats (Bjarnegård, 2023; Bjarnegård et al., 2022), the existing survey research generally does not inform us about how politicians differentiate between abuse and other types of comments in an online context, nor do they tell us whether politicians consider some types of abuse to be more egregious than others.
Unlike survey-based research in which politicians self-report their experiences with abuse, studies based on content analyses have provided very detailed data on the specific types and character of online abuse directed at politicians. Content analyses have thus mapped the degree to which comments directed at politicians contain slurs, sexist or racist remarks, insults, threats, and so on (Farrell et al., 2020; Unkel & Kümpel, 2022; Gorrell et al., 2020; Rheault et al., 2019; Theocharis et al., 2016, 2020).1 However, these studies do not in themselves tell us how politicians actually perceive such types of abuse, nor can we be sure that politicians have conceptions of abuse that are commensurable with the literature. Studies based on content analyses may for example reliably identify micro-aggressions directed at women in online spaces (Harmer & Southern, 2021), but content analyses alone cannot tell us how politicians perceive such micro-aggressions. Similarly, while content analyses may sometimes define abuse as messages “directed at a specific person with the intent to cause harm or distress” (Ward & McLoughlin, 2020), they cannot tell us whether the politicians receiving messages coded as such are indeed harmed or distressed. If we want to know how politicians react to online abuse, an outside perspective on the extent of abuse is not enough. We need to focus on politicians’ perceptions of abuse. Before turning our attention to these perceptions, however, a discussion of the types of negative messages that our study considers is in order.

Types of Online Abuse

There is virtually an unlimited number of ways in which politicians can be criticized, attacked and abused on social media, and no single study can possible include all types of negative messages sent to politicians. In this study, we focus on four types of negative messages.
The first type of negative messages is insults. Insults directed at politicians are relatively common on social media, and while the exact content may vary substantially, they are generally characterized by derogatory language, often in the form of slurs, directed towards the recipient (Ward & McLoughlin, 2020; Rheault et al., 2019).
The second type of negative messages is threats. Such threats may for example come in the form of death threats, threats of bodily harm or threats of sexual violence (Ward & McLoughlin, 2020). Threats are arguably among the most severe types of online abuse, and citizens across different countries such as Denmark and the US are accordingly much more supportive of legal bans on threats than insults (Rasmussen, 2022).
Third, we look at sexist messages to politicians. Sexism may sometimes be in the form of insults, for example the use of gendered slurs, but sexism may also be in the form of messages containing gender-stereotypes, objectifications or unsolicited sexual propositions (Gorrell et al., 2020; Raver & Nishii, 2010). Compared to other types of abuse, sexist abuse stands out as being particular directed at women. Looking across the different types of online abuse, studies are not in agreement about whether women are generally subjected to more online abuse than men, but studies consistently find that women in politics receive far more sexist abuse than their male colleagues (Collignon & Rüdig, 2020; Rheault et al., 2019; Ward & McLoughlin, 2020; Gorrell et al., 2020).2
Fourth, we look at simple criticism of a politician’s policies. Unlike insults, threats and sexist remarks, such criticism is generally not regarded by the literature as abuse. However, we include criticism in our study for two reasons. First, politicians’ reactions to criticism may serve as a useful baseline category, putting differences between reactions to other types of negative comments into perspective. Second, while developing our survey and the embedded experiment, we conducted in-depth qualitative interviews with a small number of Danish politicians (three politicians from the national level and three politicians from the local level). These interviews suggested that at least some politicians may be quick to categorize simple policy-related criticism as abuse.

Theory: Politicians’ Perceptions of Abuse

How do politicians distinguish between legitimate political criticism and abusive messages? The next sections theorize how political and ostensibly personal factors may affect politicians’ perceptions of abuse.

Politics and Perceptions of Abuse

Starting with politics, we argue that perceptions of online abuse are affected by politicians’ own political position in two ways. First, politicians may exhibit a general partisan bias, being more averse to negative comments when such comments are directed at their co-partisans. According to social identity theory, human beings are prone to in-group favoritism, and a key aspect of such in-group bias is that people are particularly sensitive to attacks against other in-group members (Molenberghs & Louis, 2018; Tajfel, 1974; Turner et al., 1979). For many people, political partisanship is an important social identity, and in-group favoritism towards co-partisans is, accordingly, prevalent (Kirkland & Coppock, 2018). For example, people have greater sympathy and attach more positive traits to co-partisans than to out-partisans (Iyengar et al., 2012); they are generally more accepting of critical messages if a political opponent is the target (Lelkes & Westwood, 2017); and they are more inclined to punish out-partisans for transgressions (Claassen & Ensley, 2016).
While these studies have been conducted among voters, there are good reasons to believe that politicians exhibit such partisan biases to the same degree as voters. Politicians obviously have a very clear attachment to one particular party, and studies of other types of biases generally find politicians to be at least as bias prone as the general public (Sheffer et al., 2018; Baekgaard et al., 2019; N. Lee et al., 2021). Thus, it is reasonable to expect that politicians will be more accepting of negative messages directed at political opponents, whereas they will be relatively quick to label attacks on their political allies as abuse. Specifically, we test the following hypothesis:
Hypothesis 1
Politicians are more averse to negative messages directed at a politician from their own party than negative messages directed at a politician from another party.
Second, politics may also play a role for politicians’ judgments of abuse through differences in ideology and values. In particular, the politicians’ placement on the political spectrum may play a role for how they interpret sexist remarks directed at other politicians. Recent studies have found that, at least in a US context, conservatives and liberals differ markedly in perceptions and judgments of sexism and sexual harassment. Conservative men and women are less likely than liberals to perceive and label both ambiguous and non-ambiguous situations as sexual harassment (Gothreau et al., 2022). More generally, liberals consider sexual harassment as a significantly larger problem than conservatives do (Craig & Cossette, 2022; van der Linden & Panagopoulos, 2019). Notably, these studies have been conducted in the context of American politics, and the results could potentially be explained by partisan reactions to a specific context, such as the many accusations of sexual misconduct perpetrated by then Republican President Trump (Klar & McCoy, 2022). Thus, the relationship between ideology and attitudes towards sexist abuse might not generalize beyond the American case. However, the relationship between ideology and attitudes on sexist abuse may also be rooted in more fundamental differences between the political left and right. Across national and cultural contexts, conservatives tend to have higher levels of social dominance orientation than liberals (Jost et al., 2003), and individuals high on this trait are less likely to label specific behaviors as sexual harassment (Gothreau et al., 2022). We therefore test the following hypothesis:
Hypothesis 2
Aversion to sexist messages is stronger among politicians on the political left than among politicians on the political right.
Political differences may also play a role for perceptions of other types of negative messages directed at politicians. Among political actors themselves, it seems that political opponents are often regarded as particularly thin-skinned, with conservatives and liberals regularly accusing each other of being “crybabies” and “snowflakes” (Brammer, 2017; Mcintosh, 2020). However, unlike with sexist remarks, we see no clear theoretical basis for making directional predictions regarding how aversion to other types of negative messages may be higher at one particular side of the political spectrum. We therefore propose and test a more general, non-directional hypothesis:
Hypothesis 2b
Aversion to negative messages differs between politicians on the left and politicians on the right.

The Role of Gender

Studies on abuse and harassment of politicians have repeatedly found gendered patterns in abuse and reactions to abuse (Maier & Renner, 2018; e.g. Collignon & Rüdig, 2020). Within the context of our study, gender may play an important role in two ways.
First, reactions to negative comments directed at politicians may differ depending on whether the target of these negative comments is a man or a woman. Specifically, people may, on average, be more averse to criticism and abuse when it is directed at a woman rather than a man. For example, studies on negative campaigns have found that male candidates are reluctant to use negative campaigns or uncivil attacks against female opponents out of fear of being perceived as “beating up on a woman” (Kahn, 1993, 491; see also Maier & Renner, 2018). Similarly, ordinary citizens in Sweden and the US seem to find uncivil attacks on politicians to be less understandable and more deserving of sanctions when the attacked politician is a women (Håkansson, 2024). One explanation for this general aversion to attacks on women may be benevolent sexism, that is, the notion that women are pure, yet powerless creatures in need of protection and support from men (Glick & Fiske, 2001). However, a particularly strong aversion to attacks on women in politics is not necessarily rooted in the patronizing and paternalistic view of women found among benevolent sexists. Observers could also react more strongly to attacks on women in politics due to a recognition that women are indeed marginalized and underrepresented in many political domains (for a similar line of reasoning, see Beauregard & Sheppard [2021], showing that support for gender quotas in politics may both be driven by benevolent sexism and support for gender equality). Regardless of how we interpret the gendered reactions to attacks on women versus men, the current literature leads us to the following hypothesis:
Hypothesis 3
Politicians are more averse to negative comments directed at women than negative comments directed at men.
Second, an observer’s reaction to an attack may depend not only on the gender of the person being attacked, but also on the gender of the observer. Thus, male and female politicians may, on average, have very different reactions to negative comments directed at other politicians. Such differences could potentially be caused by different personal experiences with online abuse. If women are targeted more than men in online abuse, the effect of previous experiences may make women more attentive to abusiveness in social media messages, thereby making them more likely to classify something as abusive. However, while some studies have found female politicians to be subjected to more online abuse than male politicians (Collignon & Rüdig, 2020; Rheault et al., 2019), other studies have found that female politicians are less likely to be targeted compared to their male counterparts (Ward & McLoughlin, 2020) or that gender interacts with types of abuse, such that men receive more general and political abuse, while women receive more sexist abuse (Gorrell et al., 2020). In addition, previous personal experiences with online abuse may not necessarily lead to more aversion towards such messages. There could potentially also be a habituation effect at play (Raver & Nishii, 2010), meaning that people who are used to receiving abusive messages are less shocked by them and thereby rate them as less abusive.
Regardless of the gendered patterns of personal experiences with abuse, male and female politicians may still have different perceptions of what constitutes online abuse. Psychological research points to a general tendency for different levels of conflict avoidance among men and women. Men are generally socialized in ways that emphasize assertiveness and argumentation. As a consequence of this, men are, on average, less averse to conflicts, while women are more likely to find arguments unpleasant (Wolak, 2022). Notably, the two genders differ markedly on aversion to public conflicts, with women being substantially more averse to public, rather than private, conflicts (Mutz & Reeves, 2005, 144). Because of these gender differences in conflict avoidance and aversion, male and female politicians may also exhibit different levels of aversion toward negative messages. Specifically, we propose the following hypothesis:
Hypothesis 4
Female politicians are more averse than male politicians to negative comments.

Methods and Data

Our study is conducted within the context of Danish politics. It includes politicians from national, regional, and municipal politics. At all of these three levels, the politicians are elected through proportional electoral systems, with turnouts typically around 85% in national elections and 70% in municipal and regional elections (for further details on the population of Danish politicians, see the appendix). Previous surveys among Danish politicians indicate that online abuse of this group is prevalent. Among Danish mayors, 56% reported that they had received social media abuse and threats within a year (Bhatti et al., 2016). Similarly, 32% of municipal and regional politicians reported that they had been the target of abuse. Among those, 70% had been abused on social media (Operate, 2018). Comparable levels of self-reported online abuse have also been found in the neighboring country, Sweden (Frenzel, 2019; Kaati & Akrami, 2018).

Survey

Prior to our data collection, all hypotheses were preregistered along with a pre-analysis plan at Open Science Framework.3 An email with an invitation and a personalized link to an online survey questionnaire was sent directly to all 2,451 politicians eligible to participate in the study.4 A total of 727 politicians completed the survey questionnaire, yielding a response rate of 30% (Additionally, 3% answered parts of the survey). This response rate is slightly above the average response rate in survey experiments with political elites (Kertzer & Renshon, 2022).5 Importantly, most of the attrition in the survey occurred early, and the completion rate among respondents exposed to any experimental conditions was 98%.6 Among the respondents who completed the survey, 38.7% were women, which closely reflects the share of women in the population of Danish politicians (37.1%). The final sample was also fairly representative on partisanship, albeit with a slight overrepresentation of politicians from center-left parties (52.3% in the final sample versus 47.6% in the population). For details, see Table A1 in the Online appendix.

Pre-treatment Covariates

Prior to the experiment, respondents were asked background questions regarding gender, age, political experience, left–right ideology, social media use, and personal experiences with and reactions to online abuse (the entire survey questionnaire is included in the Online appendix).
The responses to questions regarding their own experiences confirmed that the politicians do experience the types of comments that we focus on in this study. Unsurprisingly, most politicians experience criticism of their politics, with 90% of the respondents stating that they had received online criticism. Furthermore, a clear majority of 72% of the politicians reported that they had received insults through digital media. Receiving sexist comments in the form of inappropriate messages regarding their gender or physical appearance was somewhat rarer. Here, 20% and 29% respectively, answered that they had received such comments. Sexist comments were the only types of comments with significant gender differences. While 37% of the women stated that they had received unwanted comments about their gender and 38% that they had received unwanted comments about their physical appearance, the corresponding shares among men were just nine and 23%, respectively. Finally, a sizable minority of 30% had received threats.7 For details, see Table A2 in the Online appendix.
Responses also confirmed that many politicians consider themselves to be negatively affected by online abuse. For example, 11% of the politicians stated that the abusive messages on digital media affected their motivation to run in the next election to a high or very high degree. Notably, women were significantly more likely than men to state that abusive messages affected their motivation to run for office and also significantly more likely to state that abusive messages on digital media affected (1) their personal well-being, (2) what they write on social media, (3) what they say in political discussions, and (4) what topics they write about on social media (for details, see Table A3 in the Online appendix).

Experiment

Following the measurements of pretreatment variables, the participants were told that they would be shown several fictitious social media messages inspired by real messages from citizens to politicians. Participants were then shown an example of a politician receiving a negative message, and asked about their agreement with three statements regarding the message: (1) “The comment is abusive,” (2) “Politicians should be able to tolerate comments like this” [reversed], and (3) “I would report this message to [Twitter/Facebook]”. This was repeated such that all participants were shown and asked about their reaction to four different social media comments, one from each category (criticism, insults, threats, and sexist remarks). To avoid any order effects, the order in which the different types of comments were presented to each participant was randomized.8 In accordance with the pre-analysis plan, the replies to these three items were merged into a single index of aversion to the message (Cronbach’s alpha = 0.86).
The messages shown to the participants were constructed for the purpose of this study. Here, our study is similar to most studies on, e.g., voter reactions to incivility, which has generally relied on fictitious messages (Kluck & Krämer, 2022; Mutz & Reeves, 2005; Otto et al., 2020). However, the messages were inspired by real examples of messages sent to Danish politicians. Further, to ensure the realism of the constructed messages, some of them were discussed with politicians in preceding qualitative interviews. Finally, to minimize the risk that reactions to different types of comments were driven by a particular characteristic of one specific comment, the messages shown to the participants were sampled from a larger pool of 20 different comments, five within each of the four different types of comments (all messages are in the appendix). These 20 messages are obviously not exhaustive of the many negative messages that politicians receive on social media. However, by sampling experimental stimuli from a larger poll of comments, our experimental design helps ensure construct validity (Wells & Windschitl, 1999).
In order to be able to test our hypotheses, we also randomized the fictitious politician’s gender and party. Gender was manipulated by changing the name and associated pronoun of the politician. We used actual names rather than generic terms such as “Woman A” in order to increase ecological validity, as real politicians invariably present themselves by name on social media. Further, people respond differently to named versus anonymous victims, c.f. the “identified victim effect” (Kogut & Ritov, 2005; S. Lee & Feeley, 2016). However, real names may also signal, for instance, social class, thereby potentially confounding our gender manipulation. To minimize the risk of such confounding, we randomly sampled names from the 20 most common male names and 20 most common female names in Denmark (shown in the appendix). Party of the fictitious politicians was randomized between the ten national political parties in Denmark. To ensure sufficient statistical power to test the importance of in-party versus out-party effects, we stratified the likelihood of the respondents’ own party, meaning that the participant had a 50% chance of being exposed to a fictitious politician from their own party in each comment (Exposure to the nine other parties had equal likelihoods). Finally, we also randomized whether the comment occurred on Facebook or Twitter (we did not expect any differences between the two social media sites, and an exploratory analysis confirmed that there were no significant differences in the participants’ aversion towards negative comments on these two social media platforms).
In the experiment, the social media posts were presented as plain text rather than mock pictures of posts. This was done both for practical reasons (pictures of social media posts can work poorly when participants answer the survey on a cell phone) and because pictures of social media posts necessarily contain “filler information,” which may decrease treatment effects and increase the likelihood of introducing confounders (Brutger et al., 2023).

Results

Before the test of our hypotheses, it is worth noting that the politicians clearly differentiate between different types of negative messages. The politicians’ aversion to messages with criticism are—on average—rather low. Mean aversion to these critical messages is 0.27 (95% CI 0.25–0.28; SD = 0.17) on the scale ranging from 0 to 1. The politicians’ aversion is substantially higher with an average of 0.57 when the messages contain insults (95% CI: 0.55–0.59; SD = 0.22), and aversion to sexist remarks has a similar mean aversion of 0.60 (95% CI 0.58–0.62; SD = 0.25). Finally, aversion to threats is very high with a mean aversion of 0.86 (95% CI 0.85–0.87; SD = 0.15). This pattern generally also holds when we look at the individual comments (mean aversions to the individual 20 comments are shown in the Online appendix, Figure A1). As indicated by the standard deviations, there is, however, still substantial heterogeneity in the replies within the four types of messages. In particular, aversion to the sexist remarks shows a relatively large variance (the distributions are illustrated in the Online appendix, Figures A2 and A3).
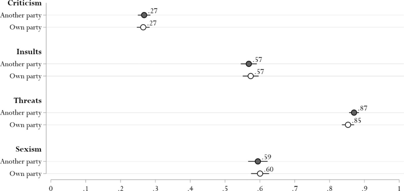
According to Hypothesis 1, we should expect that politicians are more averse to negative messages directed at a politician from their own party than negative messages directed at a politician from another party. As illustrated in Fig. 1, we find no support for this hypothesis.9 Measured across all comment types, aversion to negative messages is not substantially or significantly higher when directed at a co-partisan rather than a politician from another party (p = 0.752). This lack of a partisan effect is consistent across all four types of negative comments. The substantive differences in aversion between remarks directed at an in-party versus out-party politician are substantially miniscule for all types of comments, and they are all statistically insignificant. Finally, the combined index for aversion could potentially mask heterogeneous effects on the three response items. However, an exploratory analysis on the three individual items also reveals no significant differences (see Figure A5 in the Online appendix).
Fig. 1
Partisanship and aversion to negative messages. Estimates with 95% confidence intervals (based on model 1, table A4 in appendix)
Full size image
This null-finding may be interpreted in two ways. First, one can argue that the treatment employed in the experiment is relatively weak. The politicians are exposed to fictitious co-partisans and out-partisans, and their reactions might very well have differed if they had been exposed to real co-partisans and out-partisans that they knew personally. However, multiple previous studies have shown large effects of simply adding partisan cues to fictitious individuals (Lelkes & Westwood, 2017). Furthermore, as we show later in the analysis, the other experimental treatments—which also alter minor features about the fictitious politicians—do indeed produce clear effects.
Second, this leads us to an alternative explanation that concerns the theoretical mechanism at play when politicians are confronted with negative messages from citizens. The results may well reflect that politicians tend to consider all politicians as part of their in-group when dealing with shared tribulations such as abuse. Related to this, one could argue that politicians in a multiparty system such as the Danish might only extend in-group sympathies to politically close out-partisans, that is, parties with similar positions on the ideological left–right scale. Therefore, in an exploratory model, we also test whether aversion to negative comments are moderated by the ideological distance between the respondent and the fictitious politicians. As shown in Online Figure A6 in the appendix, this is not the case. The respondents exhibit the same degree of aversion towards negative comments directed at ideologically distant politicians as they do towards negative comments directed at politicians who are ideologically close.
We now turn our attention to Hypothesis 2, which states that aversion to sexist messages is stronger among politicians on the political left than politicians on the political right. Looking at the estimates in Fig. 2, we find strong support for this hypothesis. Thus, Fig. 2 displays how politicians on the left are significantly more averse to sexist remarks than politicians on the right side of the political spectrum (p < 0.001). For example, while a politician at the very left of the political spectrum has an expected aversion of 0.70 (95% CI 0.66–0.74) towards a sexist remark, a politician on the very right of the political spectrum has a statistically significantly and substantially lower aversion of 0.50 (95% CI 0.45–0.54) towards a sexist remark.
Fig. 2
Political left–right position and aversion to negative messages. Estimates with 95% confidence intervals (based on model 2, table A4 in online appendix)
Full size image
In line with our preregistration plan, these results are based on a model in which the left–right position is modelled as a continuous variable (Table A4, model 2 in the Online appendix). To check for a non-linear pattern of aversion across the political spectrum, we also ran an exploratory model in which the left–right placement was trichotomized into indicator variables for left, center, and right. The results from this model, which are illustrated in Figure A7, confirms that aversion to sexist messages is indeed lowest among the right-leaning and highest among the left-leaning, although the difference between right-leaning and centrist politicians is statistically insignificant (p = 0.13) in this model.
The more general Hypothesis 2b, stating that aversion to negative messages differs between politicians on the left and politicians on the right, is also confirmed. Taken across all types of messages together, left–right positions are significantly associated with aversion to negative messages (p < 0.001), and this association is not just driven by reactions to the sexist remarks, but also by the significant and substantial differences related to insults (p > 0.001) and, to a lesser degree, threats (p > 0.001). Aversion to criticism is thus the only type of comment that is not significantly different across the political spectrum (p = 0.149).
Of course, the left–right positions of politicians are not an exogenous variable in our experiment. Thus, the effect modification of the politicians’ left–right positions does not necessarily imply a direct causal effect (Keele & Stevenson, 2021). The patterns shown in Fig. 2 could, for instance, reflect gender differences, as gender and left–right positions are correlated in our sample (female politicians are significantly more left-leaning than male politicians). However, in our supplementary model, where we add covariates for the politicians’ gender and age, the differences between left- and right-leaning politicians are essentially the same as in our primary model. The left–right differences in aversion to insults, threats, and sexist remarks remain statistically significant, and the substantive differences between left and right are almost unchanged (shown in the appendix, Figure A8). For example, based on this supplementary model, a politician at the very left of the political spectrum has an expected aversion of 0.69 (95% CI 0.65–0.73) towards a sexist remark, and a politician on the very right of the political spectrum has an expected aversion of 0.50 (95% CI 0.46–0.55) towards such a remark. These estimates are substantively identical to the estimates from our primary model.
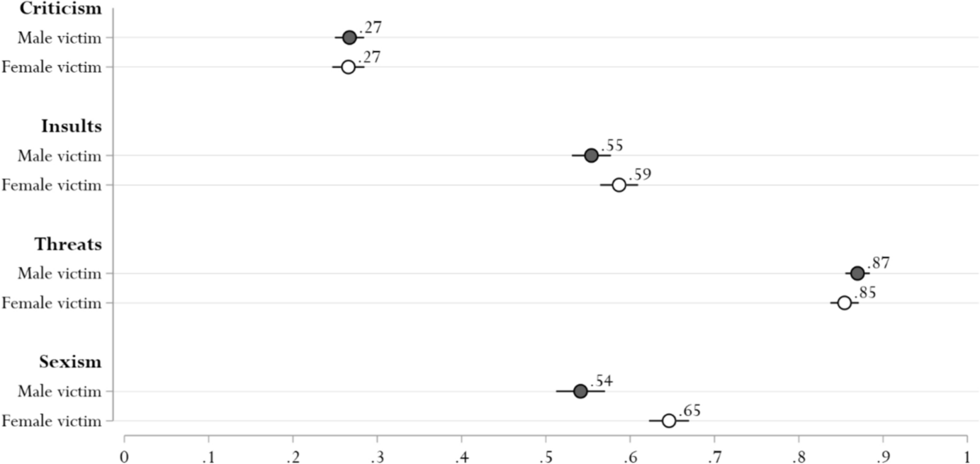
Turning to the importance of gender, Hypothesis 3 states that politicians are more averse to negative comments directed at women than negative comments directed at men. Looking at Fig. 3, we do find some support for Hypothesis 3, although not for all types of negative comments. Across all types of negative comments, the aversion is significantly higher (p < 0.001) when the message is directed at a female politician. However, as illustrated in Fig. 3, there are nuances to this finding, as we observe no significant differences when it comes to simple criticism (p = 0.918) and threats (p = 0.174). Insults are just significant (p = 0.047), but the substantive difference of 0.03 is relatively small. Thus, as Fig. 3 illustrates, the effect is almost entirely driven by the much larger difference in aversion to sexist remarks (p < 0.001).
Fig. 3
Gender of target and aversion to negative messages. Estimates with 95% confidence intervals (based on model 3, table A4 in online appendix)
Full size image
Finally, as suggested by Hypothesis 4, gender may also play a role in another way. According to this hypothesis, we should expect that female politicians are more averse than male politicians to negative comments. This is also what we observe when testing the hypothesis across all types of negative comments. Here, female politicians are significantly more averse (p = 0.001) to negative comments compared to male politicians. Furthermore, Fig. 4 illustrates how this difference between male and female politicians can be identified for several of the different types of comments. For simple criticism, the difference between male and female politicians is clearly significant (p < 0.001), and so is the difference for insults (p = 0.001) and sexism (p = 0.001). It is only when examining the differences in how threats are perceived that we find a substantively small and statistically insignificant difference (p = 0.063).
Fig. 4
Gender of respondent and aversion to negative messages. Estimates with 95% confidence intervals (based on model 4, table A4 in online appendix)
Full size image
Again, as with left–right positions, the gender of our respondents is—obviously—not an exogenous variable in our experiment. When we also control for age and left–right position of the respondents, the differences between the male and female politicians become smaller, but the statistically significant differences remain significant (see Figure A12 in the Online appendix).

Conclusions and Discussion

While recent research has clearly established that criticism, insults, sexism, and threats directed at politicians are widespread on social media, the democratic consequences of these attacks to a large degree depend on how the politicians themselves perceive them. Our study therefore contributes to the growing literature on online abuse of politicians by examining to which degree, and under what conditions, politicians themselves consider different types of negative messages on social media to be abusive.
The results of our study show that, overall, politicians clearly differentiate between different types of negative comments. While simple criticism is largely accepted by the politicians, insults, sexist remarks, and—particularly—threats are perceived to be abusive. Somewhat surprisingly, we did not find any evidence of partisan bias. This finding seems to us to be normatively reassuring. Politicians in Denmark may disagree with their political opponents, but the level of animosity does not seem to reach a level where abuse of political opponents is viewed more favorable than abuse directed at political allies.
However, politics clearly still matter for perceptions of online abuse, as left-leaning politicians tend to find negative comments more abusive than right-leaning politicians do. This is particularly the case for sexist remarks, but the political left and right also differ in their perceptions of other types of negative comments, with the left being more averse. Gender also plays a key role in perceptions of negative comments. First, politicians are more averse to negative comments targeting women than negative comments targeting men. Second, the gender of the observer also matters, as women are generally more averse to negative comments than men are.
Before laying out the implications of these findings, it is important to discuss what the characteristics of our study mean for the conclusions that can be drawn. First, the negative comments presented to the politicians in our experiment are obviously not exhaustive of all the negative comments that politicians have received in the past or will receive going forward. Our aim was to capture several prevalent types potentially abusive comments (i.e., insults, sexist remarks, and threats) and contrast them with criticism. However, other comments are clearly also important. In particular, future studies may want to focus more on attacks targeting other markers of social identity than gender, for example racist or homophobic abuse. Such attacks are clearly in need of investigation (Chen et al., 2020; Håkansson, 2024; Ward & McLoughlin, 2020).
Second, our results are inevitably bound to the case and sample. Danish society is socially homogenous with high levels of trust, and political polarization is moderate. This is particularly true at the subnational levels of government, where politics is characterized by a relatively high degree of consensus. Hence, while our findings are likely to generalize to similar countries, e.g., other Scandinavian countries, we cannot necessarily draw conclusions about politicians’ perceptions of abuse in countries that are markedly different. For example, the very high levels of affective polarization in the US may lead to other patterns in politicians’ perceptions of negative comments. This caveat seems especially important in regard to the lack of partisan bias in our study, while our findings about gender differences, or the ranking of different types of abuse, are probably more likely to apply to politicians in general. Regarding our sample of politicians, we should also note that while the final sample is representative of Danish politicians on key characteristics (e.g., on gender and party affiliation), there could still be consequential differences between participants and non-participants. For example, politicians who have personally experienced online abuse are possibly more likely to find this topic relevant and thus participate in the survey.
Third, we want to acknowledge the issue of social desirability bias. While this issue applies to all survey research, politicians might be extraordinarily mindful of managing their image, even in an anonymous setting such as a survey. This poses a potential problem if some politicians provide more socially desirable answers than others, or some types of abuse elicit more biased answers than other. While the former seems unlikely, it is difficult to preclude the latter. For example, responses to criticism or insults, where the abusiveness is debatable, might be less genuine than responses to threats, which are condemned by the public at large.
Finally, although an experimental design with fictitious comments allowed us to causally test our hypotheses without introducing confounders that occur when using real-life negative comments, we recognize that this could both reduce and enhance the size of treatment effects compared to real-world effects.
These limitations notwithstanding, our study provides important contributions to the study of online abuse in politics. Notably, our results highlight the challenges of measuring online abuse with one general measure. First, reactions to abuse vary considerably across different types of abuse, and this has usually been unappreciated in prior research, where anything from the use of profanities to death threats are often subsumed in the same categorization as incivility or abuse (Rossini, 2022). The different reactions to different types of messages suggest that some kinds of abuse, particularly threats, are likely much more damaging than other types of comments. Thus, when measuring online abuse, one suggestion for future research would be to parse out results by categories (e.g., insults, sexism, threats) and account for the relative weight of these content types in the conclusions drawn about the severity of abuse.
Second, the considerable individual-level variation in perceptions of abuse presents another, more fundamental challenge in identifying content considered to actually be abusive by the people exposed to them. For example, while most politicians in our study viewed simple criticism as non-abusive, almost one in five of them agreed, to some extent, that critical comments, such as “Your policy on this issue is deeply harmful,” were abusive. In other words, one politician’s criticism may be another politician’s abuse. This presents a methodological challenge insofar as studies are aiming to identify harmful comments. While there is no simple solution to this measurement issue, we believe it is important to be aware of this caveat to content analyses and surveys that attempt to quantify the extent of abusive behavior against politicians.
Our findings are also relevant to normative discussions about where to draw the line between legitimate criticism and abuse. As suggested by our results, some politicians may be quick to call abuse when faced with criticism, and there are several reasons as to why one should be careful of accepting that all comments with a hint of rudeness, disrespect, or incivility is abusive. First, incivility in political discussions is not unequivocally detrimental from a democratic perspective. Indeed, a certain level of incivility can induce interest and excitement in politics (Kosmidis & Theocharis, 2020; Mutz, 2015; Mutz & Reeves, 2005; Valentino et al., 2011). Second, accepting broad views of what constitutes abuse might entail a risk of further marginalizing some groups from public debate and policy discussions. The criteria for civil discourse are, to a large extent, set by the already powerful, and less privileged groups may not be comfortable with or abide by these criteria. Requiring that all political discussions are carried out in a language that does not contain any hint of incivility or coarse language may therefore exclude citizens already underrepresented in politics and public discourse (Maisel, 2012; Chen et al., 2019).
On the other hand, simply accepting all types of online comments as legitimate contributions to political discourse may be problematic in a democratic perspective. The fact that perceptions of abuse contain a subjective component does not imply that the potentially severe consequences of abuse can be disregarded. Notably, our results suggest that unbridled online abuse may contribute to the marginalization of an already underrepresented group in politics, namely women. As prior research shows, women tend to receive more sexist abuse than men, and our results also indicate a very high aversion to this type of abuse. In addition, women are—in general—more likely to perceive negative messages as abusive. These factors could mean that women are disproportionally affected by online negative messages and help explain the underrepresentation of women in politics. In fact, because our sample of current politicians consists of people who have already self-selected into politics, the aversion to negative comments and abuse may be even more pronounced among the many women who chose to forego a political career. Future studies may therefore also want to investigate the degree to which online abuse scare away potential political candidates.

Declarations

Conflict of interest

The authors declare they have no financial or other conflicts of interest.

Ethical Approval

This study was performed in line with the principles of the Declaration of Helsinki. Approval was granted by the Research Ethics Committee of The Danish Center for Social Science Research (Date: 22-11-2022. Approval no 2022/11).
Informed consent was obtained from all individual participants included in the study.
Open Access This article is licensed under a Creative Commons Attribution 4.0 International License, which permits use, sharing, adaptation, distribution and reproduction in any medium or format, as long as you give appropriate credit to the original author(s) and the source, provide a link to the Creative Commons licence, and indicate if changes were made. The images or other third party material in this article are included in the article's Creative Commons licence, unless indicated otherwise in a credit line to the material. If material is not included in the article's Creative Commons licence and your intended use is not permitted by statutory regulation or exceeds the permitted use, you will need to obtain permission directly from the copyright holder. To view a copy of this licence, visit http://​creativecommons.​org/​licenses/​by/​4.​0/​.

Publisher's Note

Springer Nature remains neutral with regard to jurisdictional claims in published maps and institutional affiliations.
Title
Online Abuse of Politicians: Experimental Evidence on Politicians’ Own Perceptions
Authors
Rasmus T. Pedersen
Niels Bjørn Grund Petersen
Mads Thau
Publication date
17-06-2024
Publisher
Springer US
Published in
Political Behavior / Issue 1/2025
Print ISSN: 0190-9320
Electronic ISSN: 1573-6687
DOI
https://doi.org/10.1007/s11109-024-09944-8

Supplementary Information

Below is the link to the electronic supplementary material.
1
While some studies within the field employ the term abuse (Bjarnegård 2023), other studies focus on related terms, e.g., incivility (Rheault et al., 2019), harassment (Collignon and Rüdig 2020), and micro-aggressions (Harmer and Southern 2021).
 
2
More generally, a substantial literature on violence against women in politics investigates the nature of violence and harassment against women (Håkansson 2024; Krook and Sanín 2020).
 
3
The preregistration is available at: https://​osf.​io/​r3bnx. The wording of hypotheses 2 and 4 has been edited for grammar.
 
4
Among this group, 134 politicians were members of small, local parties or unaffiliated with a political party. These politicians did not participate in the experiment, as we deemed it meaningless to present them with fictional co-partisans.
 
5
In surveys among elites, a potential concern can be, that the survey is completed by support staff, rather than the intended participant (Naurin and Öhberg 2021). However, at the local and regional levels, politicians in Denmark generally do not have any personal staff. In addition, open ended comments provided by 71 participants upon completion of the survey all indicate that the survey was completed by the politicians themselves (most of these comments were personal experiences of abuse and harassment, both online and offline).
 
6
Post-treatment attrition is not only small (2%), it is also not significantly correlated with respondent gender and political left–right placement. We therefore assume that any attrition bias in our experimental estimates caused by non-random attrition is miniscule (Montgomery, Nyhan, and Torres 2018).
 
7
Among those receiving threats, 57% had received violent threats (directed at themselves or family and friends), 22% had received threats of sexual assault, while 7% had received death threats. It should be noted that asking the politicians about their own experiences with online abuse could perhaps affect their reactions to the examples of abuse presented to them in our experiment. Future studies on reactions to online abuse may want to randomize whether participants are asked such questions prior to their assessment of abuse directed at others.
 
8
Exploratory follow-up analyses revealed no order effects: response means did not differ statistically significantly between the first, second, third and fourth round.
 
9
All figures made with coefplot (Jann 2014) and plotplain (Bischof 2017).
 
go back to reference Baekgaard, M., Christensen, J., Dahlmann, C. M., Mathiasen, A., & Petersen, N. B. G. (2019). The role of evidence in politics: Motivated reasoning and persuasion among politicians. British Journal of Political Science, 49(3), 1117–1140.CrossRef
go back to reference Beauregard, K., & Sheppard, J. (2021). Antiwomen But Proquota: Disaggregating sexism and support for gender quota policies. Political Psychology, 42(2), 219–237.CrossRef
go back to reference Bhatti, Y., Hjelmar, U., & Pedersen, L. H. (2016). Arbejdsvilkår for Fuldtidspolitikere [Working Conditions for Full-Time Politicians]. KORA.
go back to reference Bischof, D. (2017). New graphic schemes for Stata: Plotplain and Plottig. Stata Journal, 17(3), 748–759.CrossRef
go back to reference Bjarnegård, E. (2023). The continuum of election violence: Gendered candidate experiences in the Maldives. International Political Science Review, 44(1), 107–121.CrossRef
go back to reference Bjarnegård, E., Håkansson, S., & Zetterberg, P. (2022). Gender and violence against political candidates: Lessons from Sri Lanka. Politics & Gender, 18(1), 33–61.CrossRef
go back to reference Brammer, J. P. 2017. “America: Behold, Your Snowflake-in-Chief.” The Guardian, 2017. https://​www.​theguardian.​com/​commentisfree/​2017/​jan/​16/​snowflake-in-chief-donald-trump.
go back to reference Brutger, R., Kertzer, J. D., Renshon, J., Tingley, D., & Weiss, C. M. (2023). Abstraction and detail in Experimental Design. American Journal of Political Science, 67, 979–995.CrossRef
go back to reference Chen, G. M., Ashley, M., Tamar, W., Eli, P., & Natalie, J. S. (2019). We should not get rid of incivility online. Social Media Society, 5(3), 1–5.
go back to reference Chen, G. M., Pain, P., Chen, V. Y., Mekelburg, M., Springer, N., & Troger, F. (2020). ‘You really have to have a thick skin’: A cross-cultural perspective on how online harassment influences female journalists. Journalism, 21(7), 877–895.CrossRef
go back to reference Citron, D. K., & Norton, H. (2011). Intermediaries and hate speech: Fostering digital citizenship for our information age. Boston University Law Review, 91(4), 1435–1484.
go back to reference Claassen, R. L., & Ensley, M. J. (2016). Motivated reasoning and yard-sign-stealing partisans: Mine is a likable rogue, yours is a degenerate criminal. Political Behavior, 38(2), 317–335.CrossRef
go back to reference Collignon, S., & Rüdig, W. (2020). Harassment and intimidation of parliamentary candidates in the United Kingdom. Political Quarterly, 91(2), 422–429.CrossRef
go back to reference Craig, S. C., & Cossette, P. S. (2022). Eye of the beholder: Partisanship, identity, and the politics of sexual harassment. Political Behavior, 44(2), 749–777.CrossRef
go back to reference Dahl, R. A. (2005). Democracy and its critics. Yale University Press.
go back to reference Farrell, T., Gorrell, G., & Bontcheva, K. (2020). Vindication, virtue, and vitriol. Journal of Computational Social Science. https://​doi.​org/​10.​1007/​s42001-020-00090-9CrossRef
go back to reference Flinders, M., Weinberg, A., Weinberg, J., Geddes, M., & Kwiatkowski, R. (2020). Governing under pressure? The mental wellbeing of politicians. Parliamentary Affairs, 73(2), 253–273.
go back to reference Frenzel, A G. 2019. “Politikernas Trygghets Undersökning 2019.” Stockholm: Brottsförebyggande rådet.
go back to reference Glick, P., & Fiske, S. T. (2001). An ambivalent alliance - hostile and benevolent sexism as complementary justifications for gender inequality. American Psychologist, 56(2), 109–118.CrossRef
go back to reference Gorrell, G., Bakir, M. E., Roberts, I., Greenwood, M. A., & Bontcheva, K. (2020). Which politicians receive abuse? Four factors illuminated in the UK General Election 2019. EPJ Data Science, 9(18), 1–20.
go back to reference Gothreau, C., Warren, C., & Schneider, S. (2022). Looking the other way: How ideology influences perceptions of sexual harassment. European Journal of Politics and Gender, 5(2), 211–231.CrossRef
go back to reference Håkansson, S. (2021). Do women pay a higher Price for power? Gender bias in political violence in Sweden. Journal of Politics, 83(2), 515–531.CrossRef
go back to reference Håkansson, S. (2024). Explaining citizen hostility against women political leaders: A survey experiment in the United States and Sweden. Politics & Gender, 20(1), 1–28.CrossRef
go back to reference Harmer, E., & Southern, R. (2021). Digital microaggressions and everyday othering: An analysis of tweets sent to women members of parliament in the UK. Information, Communication & Society, 24(14), 1998–2015.CrossRef
go back to reference Iyengar, S., Sood, G., & Lelkes, Y. (2012). Affect, not ideology: A social identity perspective on polarization. Public Opinion Quarterly, 76(3), 405–431.CrossRef
go back to reference James, D. V., Sukhwal, S., Farnham, F. R., Evans, J., Barrie, C., Taylor, A., & Wilson, S. P. (2016). Harassment and stalking of members of the United Kingdom parliament: Associations and consequences. Journal of Forensic Psychiatry and Psychology, 27(3), 309–330.CrossRef
go back to reference Jann, B. (2014). Plotting regression coefficients and other estimates. The Stata Journal, 14(4), 708–737.CrossRef
go back to reference Jost, J. T., Glaser, J., Kruglanski, A. W., & Sulloway, F. J. (2003). Political conservatism as motivated social cognition. Psychological Bulletin, 129(3), 339–375.CrossRef
go back to reference Kaati, L., & Akrami, N. (2018). Digitalt hat - Hat och hot mot kommunalpolitiker. Sveriges Kommuner och Landsting.
go back to reference Kahn, K. F. (1993). Gender differences in campaign Messages: The political advertisements of men and women candidates for U.S. Senate. Political Research Quarterly, 46(3), 481–502.
go back to reference Keele, L., & Stevenson, R. T. (2021). Causal interaction and effect modification: Same model, different concepts. Political Science Research and Methods, 9(3), 641–649.CrossRef
go back to reference Kertzer, J. D., & Renshon, J. (2022). Experiments and surveys on political elites. Annual Review of Political Science, 25, 529–550.CrossRef
go back to reference Kirkland, P. A., & Coppock, A. (2018). Candidate choice without party labels: New insights from conjoint survey experiments. Political Behavior, 40(3), 571–591.CrossRef
go back to reference Klar, S., & McCoy, A. (2022). The #MeToo movement and attitudes toward president trump in the wake of a sexual misconduct allegation. Politics, Groups, and Identities, 10(5), 837–846.CrossRef
go back to reference Kluck, J. P., & Krämer, N. C. (2022). ‘What an Idiot!’ – How the appraisal of the writer of an uncivil comment impacts discussion behavior. New Media and Society, 24(12), 2743–2762.CrossRef
go back to reference Kogut, T., & Ritov, I. (2005). The ‘identified victim’ effect: An identified group, or just a single individual? Journal of Behavioral Decision Making, 18(3), 157–167.CrossRef
go back to reference Kosmidis, S., & Theocharis, Y. (2020). Can social media incivility induce enthusiasm? Public Opinion Quarterly, 84(S1), 284–308.CrossRef
go back to reference Krook, M. L., & Sanín, J. R. (2020). The cost of doing politics? Analyzing violence and harassment against female Politicians. Perspectives on Politics, 18(3), 740–755.CrossRef
go back to reference Lee, N., Nyhan, B., Reifler, J., & Flynn, D. J. (2021). More accurate, but no less polarized: Comparing the factual beliefs of government officials and the public. British Journal of Political Science, 51(3), 1315–1322.CrossRef
go back to reference Lee, S., & Feeley, T. H. (2016). The identifiable victim effect: A meta-analytic review. Social Influence, 11(3), 199–215.CrossRef
go back to reference Lelkes, Y., & Westwood, S. J. (2017). The limits of partisan prejudice. Journal of Politics, 79(2), 485–501.CrossRef
go back to reference Maier, J., & Renner, A. M. (2018). When a man meets a woman: Comparing the use of negativity of male candidates in single- and mixed-gender televised debates. Political Communication, 35(3), 433–449.CrossRef
go back to reference Maisel, L. S. (2012). The negative consequences of uncivil political discourse. PS - Political Science and Politics, 45(3), 405–411.CrossRef
go back to reference Mcintosh, J. (2020). Crybabies and snowflakes. In J. McIntosh & N. Mendoza-Denton (Eds.), Language in the trump era (pp. 74–87). Cambridge University Press.CrossRef
go back to reference Molenberghs, P., & Louis, W. R. (2018). Insights from FMRI Studies into Ingroup Bias. Frontiers in Psychology, 9, 1–12.CrossRef
go back to reference Montgomery, J. M., Nyhan, B., & Torres, M. (2018). How conditioning on posttreatment variables can ruin your experiment and what to do about it. American Journal of Political Science, 62(3), 760–775.CrossRef
go back to reference Mutz, D. C. (2015). In-your-face politics: The consequences of uncivil media. Princeton University Press.CrossRef
go back to reference Mutz, D. C., & Byron, R. (2005). The new videomalaise: Effects of televised incivility on political trust. Source: The American Political Science Review, 99(1), 1–15.
go back to reference Naurin, E., & Öhberg, P. (2021). Ethics in elite experiments: A perspective of officials and voters. British Journal of Political Science, 51(2), 890–898.CrossRef
go back to reference Operate. (2018). Chikane, Trusler, Hærværk Og Vold Mod Kommunalbestyrelses- Og Regionrådsmedlemmer [Harassment, Threats, Vandalism and Violence against Municipal and Regional Council Members]. Operate.
go back to reference Otto, L. P., Lecheler, S., & Schuck, A. R. T. (2020). Is context the key ? The ( Non- ) differential effects of mediated incivility in three European Countries. Political Communication, 37(1), 88–107.CrossRef
go back to reference Rasmussen, J. 2022. “When Do the Public Support Hate Speech Restrictions? Symmetries and Asymmetries across Partisans in Denmark and the United States.” PsyArXiv Preprints.
go back to reference Raver, J. L., & Nishii, L. H. (2010). Once, twice, or three times as harmful? Ethnic harassment, gender harassment, and generalized workplace harassment. Journal of Applied Psychology, 95(2), 236–254.CrossRef
go back to reference Rheault, L., Rayment, E., & Musulan, A. (2019). Politicians in the line of fire: Incivility and the treatment of women on social media. Research and Politics. https://​doi.​org/​10.​1177/​2053168018816228​CrossRef
go back to reference Rossini, P. (2022). Beyond incivility: Understanding patterns of uncivil and intolerant discourse in online political talk. Communication Research, 49(3), 399–425.CrossRef
go back to reference Sheffer, L., Loewen, P. J., Soroka, S., Walgrave, S., & Sheafer, T. (2018). Nonrepresentative representatives: An experimental study of the decision making of elected politicians. American Political Science Review, 112(2), 302–321.CrossRef
go back to reference Tajfel, H. (1974). Social identity and intergroup behaviour. Social Science Information, 13(2), 65–93.CrossRef
go back to reference Theocharis, Y., Barberá, P., Fazekas, Z., & Popa, S. A. (2020). The dynamics of political incivility on twitter. SAGE Open, 10(2), 1–15.CrossRef
go back to reference Theocharis, Y., Barberá, P., Fazekas, Z., Popa, S. A., & Parnet, O. (2016). A bad workman blames his tweets: The consequences of Citizens’ Uncivil Twitter use when interacting with party candidates. Journal of Communication, 66(6), 1007–1031.CrossRef
go back to reference Tromble, R. (2018). Thanks for (Actually) responding! How Citizen demand shapes politicians’ interactive practices on Twitter. New Media and Society, 20(2), 676–697.CrossRef
go back to reference Turner, J. C., Brown, R. J., & Tajfel, H. (1979). Social comparison and group interest in Ingroup Favouritism. European Journal of Social Psychology, 9(2), 187–204.CrossRef
go back to reference Unkel, J., & Kümpel, A. S. (2022). Patterns of incivility on U. S. Congress members ’ social media accounts: A comprehensive analysis of the influence of platform, post, and person characteristics. Frontier in Political Science, 4(February), 1–11.
go back to reference Valentino, N. A., Brader, T., Groenendyk, E. W., Gregorowicz, K., & Hutchings, V. L. (2011). Election night’s alright for fighting: The Role of emotions in political participation. Journal of Politics, 73(1), 156–170.CrossRef
go back to reference van der Linden, S., & Panagopoulos, C. (2019). The o’reilly factor: An ideological bias in judgments about sexual harassment. Personality and Individual Differences, 139(2018), 198–201.CrossRef
go back to reference Ward, S., & McLoughlin, L. (2020). Turds, traitors and tossers: The abuse of UK MPs via Twitter. Journal of Legislative Studies, 26(1), 47–73.CrossRef
go back to reference Wells, G. L., & Windschitl, P. D. (1999). Stimulus sampling and social psychological experimentation. Personality and Social Psychology Bulletin, 25(9), 1115–1125.CrossRef
go back to reference Wolak, J. (2022). Conflict avoidance and gender gaps in political engagement. Political Behavior, 44(1), 133–156.CrossRef
    Image Credits
    Schmalkalden/© Schmalkalden, NTT Data/© NTT Data, Verlagsgruppe Beltz/© Verlagsgruppe Beltz, EGYM Wellpass GmbH/© EGYM Wellpass GmbH, rku.it GmbH/© rku.it GmbH, zfm/© zfm, ibo Software GmbH/© ibo Software GmbH, Lorenz GmbH/© Lorenz GmbH, Axians Infoma GmbH/© Axians Infoma GmbH, OEDIV KG/© OEDIV KG, Rundstedt & Partner GmbH/© Rundstedt & Partner GmbH