Skip to main content
Top

The effects of flooding on a bank filtration site: lessons learned from the Breslau (Wrocław) manganese calamities of 1906

  • Open Access
  • 17-01-2026
  • Paper

Activate our intelligent search to find suitable subject content or patents.

search-config
loading …

Abstract

The article delves into the effects of flooding on riverbank filtration (RBF) sites, using the historic Breslau manganese calamities of 1906 as a case study. It explores the hydrochemical changes caused by flooding, including the oxidation of pyrite and the mobilization of manganese, and discusses the lessons learned for modern water supply management. The text also highlights the importance of understanding the geochemical settings of RBF sites to predict and mitigate the impacts of flooding. Additionally, it provides insights into the microbial and temperature effects of flooding on groundwater quality. The article concludes with practical recommendations for RBF operators to prepare for and respond to flood events, emphasizing the need for proactive measures and the use of modern modeling techniques.

Publisher’s Note

Springer Nature remains neutral with regard to jurisdictional claims in published maps and institutional affiliations.

Introduction

Riverbank filtration (RBF) is an old but still commonly used technique for water supply in many countries around the globe (e.g., Kuehn and Mueller 2000; Bouwer 2002; Eckert and Irmscher 2006; Głowacka and Hotloś 2012; Hu et al. 2016; Ronghang et al. 2019; Kruć et al. 2020; Gorski et al 2021; Matusiak et al. 2021; Noh et al. 2022; Stenvik et al. 2022). It relies on the exfiltration of river water into an adjacent aquifer, from where it is extracted by wells. RBF has some distinct advantages. Owing to the commonly high permeability of fluvial aquifers, well yield is usually high, especially when radial collector wells are used (Houben et al. 2022). RBF water usually features low mineralization and hardness relative to regular groundwater. During the underground passage, particulate matter, microorganisms and many chemical pollutants are mostly removed or at least partially degraded (Hiscock and Grischek 2002; Massmann et al. 2006, 2008ab); Heberer et al. 2008; Huntscha et al. 2013; Derx et al. 2013; Hamann et al. 2016; Kondor et al. 2020). Redox and sorption processes are among the most important reactions occurring during the underground passage (Kedziorek et al. 2008; Farnsworth and Hering 2011; Musche et al. 2018). The redox zonation at an RBF site can be quite variable in time and space, depending, e.g., on seasonality, the distribution of permeability, the position of surface- and groundwater table, the pumping rate, and the chemical composition of both river water and groundwater (e.g., Greskowiak et al. 2006; Henzler et al. 2016). Groundwater quality of all RBF sites requires detailed monitoring (Kowal 1998).
A disadvantage of RBF is its strong reliance on a surface water body, which may suffer from low baseflow during periods of droughts, which in turn may restrict pumping rates. In some cases, the surface water body may consist of a large and complex catchment or even a number of them interconnected with each other (Nalberczyński and Izbiańska 1998). The clogging of the riverbed by particulate matter or biomass may also diminish yield over long timescales (Ulrich et al. 2015; Przybyłek et al. 2017; Wang et al. 2020). Floods, on the other hand, can inundate RBF well fields and their immediate surroundings. If the aquifer is not overlain by a protective low permeability layer or if the wells are inappropriately sealed, this may compromise water quality (Ascott et al. 2016; Musche et al. 2018; Sandhu et al. 2018). In addition, it may also cause electrical short-circuiting of electrical equipment. Redox processes during the subsurface passage of groundwater to an RBF well can induce the mobilization of geogenic contaminants such as arsenic (Fakhreddine et al. 2021). A common problem of RBF wells is the occurrence of elevated concentrations of dissolved manganese (Kedziorek and Bourg 2009; Paufler et al. 2018ab; Stenvik et al. 2022; Yang et al. 2023; Bai et al. 2024), which may result in subsequent well clogging (Houben 2003; Przybyłek et al. 2017) and necessitates extensive and costly processing in water treatment plants (Kowal 1998). Chemical spills into the river, e.g., the famous Sandoz accident 1986 on the Rhine River, also pose a severe problem (e.g., Schubert 1994; Giger 2009).
There are relatively few studies which examine the effects of flooding on the water quality of RBF schemes in detail (e.g., Ascott et al. 2016). Since such inundations often occur without much warning and in a short window of time, they lead to a lot of urgent problems, leaving little time for thorough analysis in such a hectic emergency. Additionally, there are often not enough observation wells and measurement equipment available. With ongoing climate change, flood events are likely to happen more often and to be more intense in Central Europe (Szewrański et al. 2015). With an increase of the global temperature of 2 °C, the likelihood of rainfall events of several days duration is expected to increase by 50% and the intensity by ca. 5%, with Wrocław (German: Breslau) specifically mentioned as a vulnerable region (Kimutai et al. 2024). Thoroughly studied examples are thus needed to assess and predict their effects and extent.
Here, the effects of a historic flood event on an RBF scheme in the Oder Valley are studied, especially the hydrochemistry. This event, known as the “Breslau manganese calamities” of 1906, brought down the brand-new water supply of a major city within days. It was widely discussed at the time and several very detailed studies were published, containing a wealth of data, both from field and laboratory observations (Luedecke 1907; Lührig 1907ab; Debusmann 1908; Oettinger 1908; Martell 1914). Unfortunately, the event has been largely forgotten. It is, however, interesting from both a historical and a hydrochemical perspective. The comprehensive data sets from the individual publications have never been interpreted as a whole. Therefore, the data sets are brought together here for the first time and modern methods are applied, including hydrochemical modeling, to better understand and quantify the processes involved. This, in turn, allows us to assess not only the effects of the 1906 event but to also draw conclusions on the potential effects of such floods for RBF sites in general. From the historical perspective, it is interesting to see how this event spurred scientific research of its causes but, more importantly, of countermeasures, which were then widely adopted in Germany and abroad.

Hydrogeology and water supply of the study area

Historic and geographic context of study area

The city of Wrocław (German: Breslau), Poland, is the capital of the region of Silesia. Its complex history dates back over 1000 years. Simplifying, at various times, it was a part of different countries. Therefore, the city’s name has changed throughout history. Between 1741–1945 the city was a part of Prussia, later Germany and was called Breslau. In 1945, it became a part of Poland as Wrocław (Davies and Moorhouse 2002). In this paper, the formal German and Polish geographic names will be used with their order depending on the historic context. In this way, readers can more easily follow the geographic locations referred to. The major river of the study area will be referred to using its present English name, i.e., the Oder River. The city itself is situated in the Silesian Lowlands along the Oder River (Fig. 1a). Several tributaries, including the Oława (German: Ohle), join the Oder River within the city borders (Solon et al. 2018), which makes the city prone to floods.
Fig. 1.
(a) Map of study region, (b) detail map view of the bank filtration site in its current state, including infrastructure added after 1906
Full size image Full size image

Development of the water supply system until the end of the 19th century

The city installed its first central water supply system as early as 1386, taking water directly from the Oder River, using a water wheel. Two more wheels were built in the 16th century. Drinking water was also provided by a number of dug wells (Głowacka and Hotloś 2012). Between 1596 and 1825, the three wheels delivered on average 3000 m3/d of water, while the city at that time was inhabited by about 60,000 people. Breslau (Polish: Wrocław) was the first city in Germany where, in 1827, a steam engine was installed to distribute drinking water extracted from the river through the municipal grid (DVGW 2009), by which the productivity of the water supply system increased up to 7000 m3/d (Głowacka and Hotloś 2012). The steadily growing population caused a constantly increasing demand for domestic and drinking water and the extraction from the Oder River became insufficient.
The hygienic quality of the untreated river water was doubtful. On the occasion of a cholera epidemic outbreak in the city in 1853, Ferdinand Julius Cohn (1828 Breslau – 1898 ibid), professor and director of the botanical museum at the University of Breslau and a founding father of microbiology, examined water samples for their (micro-)biological content, another first time in Germany. The resulting publication “Über lebendige Organismen im Trinkwasser” (On living organisms in drinking water) is considered a milestone in microbiology and drinking water hygiene (Cohn 1853).
Therefore, the city authorities decided to construct new waterworks east of the city, along the Oder and Ohle (Polish: Oława) Rivers (Figs. 1b, 2). Construction of the facility started in 1867 and was completed in 1871. Again, surface water of the Oder River was used, however, this time being infiltrated through artificial sand beds to remove fine particles and microorganisms (Grahn 1883, 1898; Martell 1914). This plant produced up to 12,000 m3/d, which, however, was insufficient soon again (Kowal 1993). Additionally, the river water quality gradually declined due to increased wastewater inputs, development of shipping and industrial activities upstream, especially in the highly industrialized region of Upper Silesia.
Fig. 2
Hydrogeological cross-section A-B through the Oder Valley and the bank filtration site. Location see Fig. 1b
Full size image

The RBF site

The city authorities therefore decided to switch to groundwater, which lead to the construction of the Schwentnig (Polish: Świątniki) facility, which is still in operation today (Fig. 1b). The system uses groundwater from the Quaternary alluvial sediments in the valley of the Oder River and its tributary the Ohle (Polish: Oława) River (Fig. 1). The general concept was developed by Adolf Thiem, one of the founding fathers of hydrogeology, and became operational in mid-1905 (Houben and Batelaan 2022). Carl Flügge (1847–1923), an important early medical microbiologist and at that time professor for hygiene at the University of Breslau, was a vocal supporter of replacing surface water by groundwater.
The targeted aquifer comprises quaternary gravelly to sandy deposits of the Oder and Ohle (Polish: Oława) Rivers of 8–12 m thickness (Fig. 2). It is partially overlain by up to 2 m of floodplain loams and underlain by low-permeability ground moraine deposits at a depth of 10–14 m below ground level (b.g.l.). In some parts, the aquifer contains clay lenses (Przybylski et al. 2004). The initial water levels were at 1–2 m b.g.l. and closely followed the fluctuations of the water level in the rivers (Luedecke 1907). The saturated aquifer thickness was thus relatively small at around 8–10 m.
In this phase of development, 313 siphon wells of 150 mm diameter were drilled at a distance of 21 m between them. The screens had a length of 3 m and were installed slightly above the underlying aquitard. The wells were installed in three groups (I–III, Fig. 1b), with 26, 155 and 132 wells, respectively. They stretched from west to east over a distance of 6.6 km between Schwenting (Polish: Świątniki) and Tschechnitz (Polish: Siechnice) (Fig. 1b). Water abstracted from well groups I and III was pumped to collector shaft 1 and water from group II was pumped to collector shaft 2. From there, the water was pumped to the major pumping and treatment plant in Weidendamm (Polish: Na Grobli). This new system was able to supply up to 60,000 m3/d of water; however, during the first 2 years, it produced around 40,000 m3/d on average (Oettinger 1908). Calculations by Luedecke (1907) demonstrated that the amount of groundwater recharge from precipitation in the catchment of the wells would not be sufficient to maintain the intended extraction. Large parts of the water thus had to come from the surrounding Oder and Ohle (Polish: Oława) Rivers as bank filtrate.
Unsurprisingly, the pumped water had a strong chemical resemblance to that of the surface water. However, during its underground passage the water came into contact with carbonate phases present in the aquifer matrix, increasing the concentrations of calcium and magnesium ions as well as total carbonate hardness. The water quality was considered to be good due to low counts of bacteria and a constant temperature of around 9–10°C. Only the dissolved iron concentrations of initially around 6 mg/l, later rising up to 18–20 mg/l (Fig. 3a), required the installation of an iron removal plant, which had already become a standard technique at that time (Martell 1914).
Fig. 3
Box-whisker plots of (a) the iron concentrations of well groups 1, 2, and 3 prior to the 1906 flood, (b) the iron concentrations of the wells of group III before, immediately after and some time after the flood, (c) the iron, sulfate and manganese concentration in wells of groups II and III more than 1 year after the flood. After data by Lührig (1907ab, 1908) and Oettinger (1908)
Full size image
Pumping from the RBF wells at Schwentnig (Polish: Świątniki) caused significant drawdowns of up to several meters. The drawdown at the wells was as high as 7.5 m, so that the top parts of the well screens were barely covered by 0.5 m of groundwater and significant parts of the thin aquifer became dewatered and aerated (Luedecke 1907; Oettinger 1908). It should be noted that the wells built at this time generally had a poor hydraulic performance, due to small diameters, corrosion, clogging, and the use of fine diameter metal mesh wrapped around the screen to prevent the intake of fine particles from the aquifer (Houben and Batelaan 2022). Some parts of the high drawdown can thus be attributed to losses caused by the wells themselves.
The winter 1905–1906 was unusually dry in Silesia. The high drawdowns were thus amplified by low groundwater recharge. In addition to this combination of high drawdown and drought, a flood occurred in the Oder River catchment. Starting during the night from 28 to 29 March 1906, large parts of the alluvial plain, where the wells had been installed, were inundated (Fig. 1b). The majority of wells of group III (wells 217–313) were inundated beneath up to 1.0–1.5.0.5 m of water (Debusmann 1908). Of group II, the western part (wells 27–54) was flooded. The wells of the smaller group I were more lightly affected. The flood itself reached a maximum level of 3.77 m above reference (Oder gauge). It was actually not one of the highest flood events recorded. In a graph of important floods, compiled by the Breslau water engineering directorate, it is not even mentioned (Wasserbauinspektion Breslau 1909). Previous and later floods reached much higher levels, e.g., 5.59 m in 1813, 5.57 m in 1854, and 5.50 m in 1903. The register of historic floods of the Oder by the Bundesanstalt für Gewässerkunde BfG (German Federal Institute for Hydrology) also does not mention the 1906 flood (BfG 2024). Beyschlag and Michael (1908) even called it a “minor inundation” (in German “geringfügige Überschwemmung”). The effect of this flood on the RBF water quality will be the focus here.

Methods

The hydrochemical input data used in this study were taken from several papers published soon after the flood event (Luedecke 1907; Lührig 1907ab; Debusmann 1908; Oettinger 1908; Martell 1914). Data were retrieved from tables or digitized from diagrams using the online tool WebPlotDigitizer. Owing to the sometimes poor quality of the original graphs and the age of the paper, some inaccuracies are unavoidable. In some cases, chemical concentrations had to be converted from the given oxide or acid form, e.g., calcium as CaO and sulfate as SO3. In some cases, iron concentrations were given as the sum of iron and aluminum oxides (Fe2O3 + Al2O3). Since the pH of the water was mostly neutral, dissolved concentrations of aluminum must have been very small, thus they were set to zero.
Reporting the analytical methods was not a standard at that time, thus no such information is available. Typical analytical procedures of that time, relying mostly on titrations and gravimetric analysis, are reported, e.g., by Klut (1908, 1911). With these, if performed properly, accuracies of 5% and better were possible.
Sodium and potassium were not analyzed at that time, thus no ionic balance can be obtained for the analyses. Since both elements play a minor role in the redox and acid/base reactions considered here, this is not a relevant problem. Sodium concentrations were thus used to close the charge balance for the input water analyses. Since concentrations of potassium in river and groundwater are very commonly much smaller than those of sodium, the potassium concentration was set to zero.
The parameter pH was introduced only after the calamities by Sørensen (1909), thus no measured pH values are available for these studies. The acidity of the water was instead tested against the indicator rosolic acid (aurin), which changes color to yellow when exposed to water with a pH of 5.0 and to carmine red above pH 6.8. Additionally, some analyses contain qualitative descriptions of acidity, measured by litmus indicator paper, which allowed a rough classification into neutral, slightly acidic, acidic, slightly basic, and basic. The initial river and groundwater prior to the manganese calamities was described as “neutral,” for which a pH of 7.0 was assumed here, a reasonable value for the water types encountered. The water pumped after the flood was described as acidic, which is expected for water that experienced pyrite oxidation. Its pH was obtained from modeling.
The thermodynamic reaction software PHREEQC was used for the modeling of hydrogeochemical processes (Parkhurst and Appelo 1999).

Results: effects of the 1906 flood

Hydrochemical changes

The first sign of an ongoing catastrophe was the sudden appearance of air in the pipeline network on the evening of 28 March 1906, which led to problems with the vacuum-driven siphon system. It took over 12 h of intensive efforts to remove the air. Apparently, the massive piston of infiltrating floodwater had entrapped the air in the dewatered aquifer and pushed it downward, from where it escaped, at least in part, through the wells. The water quality of Collector shaft 1, into which well groups I and III dewatered, was affected first. Iron concentrations suddenly rose to around 100 mg/l on 29 March (Figs. 3 and 4). Collector shaft 2, into which the wells of group II dewatered, followed 1 day later with values of up to 80 mg/l (Debusmann 1908). The iron removal system, although designed for maximum concentrations of around 20 mg/l, was surprisingly able to cope with these high concentrations. However, a few days later elevated concentrations of manganese suddenly appeared, on average around 30 mg/l, sometimes even more in individual wells (Figs. 3c and 4b). Manganese had not been taken into account while designing the Breslau (Polish: Wrocław) water supply and was hardly considered or analyzed at all in Germany at that time (von Raumer 1903). The treatment plant was not able to cope and manganese-containing water broke through the filters. The first indicators of this were a discoloration of the drinking water, followed by turbidity, a metallic taste and flocs of manganese oxides, which stained the laundry, rendering it unusable for the customers. This so-called Breslau manganese calamity led to the total breakdown of the brand-new water supply of one of the major cities of Germany. This, of course, caused a huge stir in the contemporary news but also a lot of scientific interest, reflected in a large number of publications (e.g., Woy 1906; Lührig 1907ab, 1908; Lührig and Blasky 1907; Luedecke 1907; Beyschlag and Michael 1907; Debusmann 1908; Oettinger 1908; Klut 1911; Prinz 1919). The case was even reviewed in US literature (Weston 1910).
Fig. 4
Temporal development of (a) iron concentrations in collector shaft 2 (Well group II), (b) manganese concentrations in drinking water (combined shafts). The blue arrows indicate flood events, the green arrows indicate interruption of pumping
Full size image
The iron concentrations recorded after the event did not go back to the pre-flood levels of around 20 mg/l (Fig. 4a). Instead, they actually showed a rising trend. More than 1 year after the flood, the average iron concentrations (≈ 125 mg/l) were higher than the flood peak. Several iron peaks occurred after the March 1906 event. The one from September 1906 can be related to another flood that occurred at that time. The other two, visible in Fig. 4, were related to operational procedures, when pumping was shut down for a few days. During this time, groundwater levels probably recovered and the rising water washed out remainders of the pyrite oxidation products. It is interesting to note that there was a temporal delay between the peaks of iron and manganese (Fig. 4a, b). The iron peak occured on 30 March, the manganese peak on 04 April, thus 5 days later. This is a first indication that the two were not released at the same time and via the same process.
Flood water can bring high loads of organic matter. In 1906, the content of dissolved organic matter was measured as the consumption of the strong oxidant potassium permanganate (KMnO4). Its values initially rose after the flood event, but then quickly decreased to values even below the initial groundwater concentrations (Fig. 5a). This shows that the infiltrating water did not bring a high load of organic matter with it.
Fig. 5
Temporal development of concentrations in groundwater around the flood event (after data by Lührig 1907ab)
Full size image
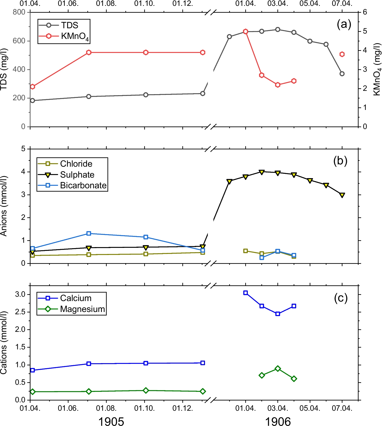
Similar to iron, the concentrations of sulfate rose dramatically after the flood event, from 0.5 mmol/l (≈ 48 mg/l) to around 4 mmol/l (≈ 385 mg/l) (Fig. 5b). More than 1 year after the flood, maximum concentrations of up to 12 mmol/l (≈ 1150 mg/l) sulfate still prevailed, with an average of around 6 mmol/l (≈ 575 mg/l) (Fig. 3c). On the other hand, the conservative tracer chloride showed almost no change (Fig. 5b).
Parallel to iron and manganese, the concentrations of calcium and magnesium rose significantly (Fig. 5c), also reflected in the jump in total dissolved solids (Fig. 5a). This indicates a dissolution of carbonate phases from the aquifer matrix. Bicarbonate concentrations, on the other hand, decreased significantly (Fig. 5b). This was most probably an effect of a low pH of the water. It must have been below pH 5.0, as measurements using the indicator rosolic acid showed. It probably was not lower than pH 4.3, as indicated by the low, but noticeable concentrations of bicarbonate (Lührig 1907ab). Since these low pH values were observed after the buffering dissolution of carbonates, even lower pH must have prevailed further above.
Nitrogen species cannot have contributed to the changes in hydrochemistry since the concentrations of all species (nitrate, nitrite, ammonium) in river and groundwater both before and after the event were at the detection limit (Lührig 1907ab; Oettinger 1908).

Microbial effects

A major threat of the flooding of shallow wells by surface water is the influx of potentially harmful microorganisms. Oettinger (1908) cited a bacterial count of 10,000 colony forming units per cm3 (CFU/cm3) for water of the Oder River, while Lührig (1907ab) gave a lower value of 560 CFU/cm3. Water from collector shaft 2 was daily monitored for total bacterial counts before and after the flood event (Fig. 6). The water had never been fully free of microorganism before the event, as the measurements in Fig. 6a from 1905 show.
Fig. 6
Temporal development of total bacteria counts in groundwater (a) before the flood, April–June 1905, (b) around the March 1906 flood event (red line). Red dashed line indicates the flood event. After data by Oettinger (1908)
Full size image
Bacterial counts after the March flood showed a surprisingly small and short-lived (few weeks) increase (Fig. 6b). Higher, although shorter peaks had already been recorded before (Fig. 6a). The pumped groundwater became finally bacteria-free in December 1906 (Oettinger 1908).

Temperature

Figure 7a and b show that the groundwater temperatures in the alluvial aquifer usually ranged between 8.8 and 10.2°C over the course of a year, which are typical values for central Europe. The lowest groundwater temperatures occurred between April and August 1906, followed by the highest between August and February 1907. This pattern trails behind the seasonal air temperatures of the region, indicating a time lag of several months between air and groundwater temperature. The flood event of the March 1906 occurred during a cold spell with air temperatures around the freezing point and river water temperatures slightly above (Lührig 1907ab, Fig. 7c). The infiltrating floodwater was significantly colder than the groundwater, which at that time was at around 2 °C, thus a difference of up to 7.5°C compared to groundwater (Fig. 7c).
Fig. 7
Development of temperature over time: (a) groundwater (collector shaft 2) over 15 months, (b) groundwater (collector shaft 2) around the flooding event, zoom in from (a), blue dashed line indicates flood event, green arrow depicts time lag between flood and minimum temperature, (c) the Oder River. After data by Lührig (1907ab)
Full size image

Theories on the causes of the hydrochemical changes

Several theories were proposed to explain the manganese–iron calamities. An early one, claiming an upconing of artesian groundwater from the underlying Neogene formations, due to the diminished water pressure in the overlying Quaternary aquifer, was quickly discarded since both the chloride concentrations and the temperature of the Neogene water did not fit the observations at all (Lührig 1907ab). The initial argument was that the fluvial loam at the ground surface was assumed to be completely impermeable and the problematic water thus had to come from below. Salt and heat tracer experiments by Lührig (1907ab) quickly disproved this assumption of an impermeable soil cover. Finally, the renewed rise of iron after the September 1906 flood clearly showed that the floods were the culprit (Fig. 4).
The elevated concentrations of iron and sulfate, combined with the loss of carbonate hardness (due to acid release), quickly convinced several investigators that pyrite oxidation must have played a decisive role (Lührig 1907ab; Oettinger 1908; Debusmann 1908). Indeed, Luedecke (1907) had identified finely dispersed iron sulfide (FeS2) in both the top soil and oxbow sediments. He also quotes the results of a well drilled in the Oder Valley, where a 15 cm layer, chiefly comprising iron sulfides was found. Sediment analyses confirming the quantity of pyrite in sediment or soils were not done. Elevated contents of total iron in soils, sediments, and surface waters within the Oder River valley were later confirmed by geochemical studies by Tamassi-Morawiec et al. (1998) and Konieczyńska (1998). These contents could be, to a large extent, atrtributed to iron sulfides. Formation of pyrite, often as framboids, in sediments under anoxic conditions was reported for geologically similar locations by Postma (1982). Several authors erroneously attributed the elevated manganese concentrations to the simultaneous oxidation of manganese sulfides (Luedecke 1907; Oettinger 1908). Manganese sulfides do occur in nature, but only in a narrow stability field, i.e., at strongly reducing redox potentials (Eh < 0.0 mV) and at a strongly basic pH (> 8; e.g., Hem 1972). These conditions are rarely met in aquifers of central Europe, including the Oder River valley aquifers.
The oxidation of pyrite via oxygen proceeds in two steps (1a,b,c), of which the second (1b) often remains incomplete due to an insufficient supply of electron acceptors. If no ferrous iron is oxidized via reaction (1b), the molar ratio of sulfate to iron in water should be 2:1. Higher ratios indicate that some ferrous iron has been removed, either by reaction (1b) or secondary reactions such as cation sorption and redox reactions with other species, e.g., manganese (IV).
$$2 \;{\text{FeS}}_{2}+7 \;{\text{O}}_{2}+2\; {\text{H}}_{2}\text{O}\Leftrightarrow 2 \;{\text{Fe}}^{2+}+4 \;{\text{SO}}_{4}^{2-}+4\;{\text{H}}^{+}$$
(1a)
$$4 \;{\text{Fe}}^{2+}+{\text{O}}_{2}+10 \;{\text{H}}_{2}\text{O}\Leftrightarrow 4\; {\text{Fe}\left(\text{OH}\right)}_{3} + 8 \;{\text{H}}^{+}$$
(1b)
combined (1c)
$$2\; {\text{FeS}}_{2}+ 7{~}^{1}\!\left/ \!{~}_{2}\right. {\text{O}}_{2}+7 \;{\text{H}}_{2}\text{O}\Leftrightarrow 2\; {\text{Fe}\left(\text{OH}\right)}_{3} +4\; {\text{SO}}_{4}^{2-}+8\; {\text{H}}^{+}$$
(1c)
The observed sulfate concentrations after the flood were relatively stable around 4 mmol/l (≈ 385 mg/l), of which almost all had to come from reaction (1a), since the infiltrating river water brought only a few tens of milligrams of sulfate with it (Fig. 5b). Figure 8 shows that the molar sulfate to ferrous iron ratio in groundwater is close to 2:1, i.e., very close to the molar ratio of pyrite. This indicates that almost no oxidation of ferrous iron to ferric iron according to reaction 1b took place. The concentrations of dissolved oxygen in infiltrating flood water are far too small to explain the oxidation of two millimoles of pyrite per liter of water (= 240 mg FeS2). As stated, other dissolved oxidants such as nitrate were absent. Therefore, only atmospheric oxygen remained. This shows that pyrite present originally in soil, subsoil and shallow aquifer matrix had been exposed to air due to pumping-induced dewatering, exacerbated by drought effects. The flood water had then washed out the resulting acidic iron sulfate solution and its byproducts (calcium, magnesium, manganese). The good correlations visible in Fig. 8 also suggest that the analytical techniques applied in 1906 were quite precise.
Fig. 8
Correlation between sulfate, iron, and manganese in groundwater of well groups II and III in May to June 1907. The red dashed line indicates the molar ratio in pyrite (after data by Lührig 1907ab, 1908). The white symbols show measured iron plus iron consumed for manganese release according to reaction (5)
Full size image
The acid released during pyrite oxidation can be buffered by reactions with carbonates, leading to release of calcium and magnesium and an increase of pH (2).
$${\text{CaCO}}_{3}+2 {\text{H}}^{+}\to {\text{Ca}}^{2+}+{\text{CO}}_{2}+{\text{H}}_{2}\text{O}$$
(2)
Theoretically, the released acid can also lead to the dissolution of iron and manganese oxides according to reactions (3) and (4), but the solubilities at the observed pH range of 4–5 are generally small.
$$\text{FeOOH}+3\;{\text{H}}^{+}\to {\text{Mn}}^{4+}+2 \;{\text{H}}_{2}\text{O}$$
(3)
$${\text{MnO}}_{2}+4 \;{\text{H}}^{+}\to {\text{Mn}}^{4+}+2 \;{\text{H}}_{2}\text{O}$$
(4)
As Fig. 4b shows, the manganese peak occurred several days later than the iron peak. This rules out a simultaneous release with iron based on reaction (4). The mobilization of manganese is thus more likely to be facilitated by the reduction of solid manganese oxides by ferrous iron (reaction 5), a process already noted in previous studies (Postma and Appelo 2000).
$$2\; {\text{Fe}}^{2+}+{\text{MnO}}_{2}+4 \;{\text{H}}_{2}\text{O}\to 2\; {\text{Fe}\left(\text{OH}\right)}_{3}+{\text{Mn}}^{2+}+ 2\; {\text{H}}^{+}$$
(5)
Therefore, Fig. 8 also contains the initial iron concentrations (Fig. 8, white symbols), calculated from reconverting the manganese concentrations into ferrous iron, using the reverse of reaction (5). This brings the molar ratio even closer to 2:1. The correlation between iron and sulfate on one side and manganese on the other is quite poor. An interesting observation is that higher manganese concentrations tend to occur only at sulfate concentrations of 4.5 mmol/l and higher (or 2.25 mmol/l of iron).
Manganese could potentially also be mobilized by interactions of manganese oxides with organic matter. The fact that manganese concentrations in groundwater before the flood were negligible, shows, however, that this process was not at work in the aquifer itself. Figure 5 also shows that the—rather low—concentrations of dissolved organic matter (as KMnO4 consumption) did not increase with the flood event, but rather decreased slightly. This pathway is thus unlikely.

Locating the source

The exact location of the oxidized pyrite deposits remained unclear at first. Luedecke (1907) had found iron sulfides (FeS2) in both the topsoil and the aquifer. Therefore, Lührig (1907ab) analyzed depth-specific groundwater samples (Fig. 9). He found that the uppermost two water samples were very acidic, the third slightly acidic and the deepest one around neutral. Mineralization and concentrations related to pyrite oxidation decreased with depth. He thus concluded that the source had to be close to the surface.
Fig. 9
Depth-specific concentrations of selected chemical parameters in groundwater. After data by Lührig (1907ab)
Full size image

Hydrogeochemical modeling

Thermodynamic and kinetic reaction modeling with PHREEQC was done to quantify the hydrochemical processes discussed above and to reconstruct some parameters which could not be measured in 1906, e.g., pH. Modeling was undertaken in several steps, where the output of each step is taken as the input of the next, namely: (1) oxidation of pyrite in the unsaturated zone, thus with an exposure to atmospheric oxygen concentrations, (2) outwash of oxidation products by flood water (a high ratio of flood water to soil water was assumed (20% soil water, 80% flood water), since the soil water in the unsaturated zone is mostly present in the capillary-bound porosity, which is small in sandy sediments), (3) equilibration with calcite (buffering) after mixing (an equilibration already in the unsaturated zone was also tried but the resulting pH did not fit the observations), (4) kinetic reaction of ferrous iron with manganese oxides (taken the output from step 3 as input).
The composition of the river water and the native groundwater were taken from Luedecke (1907). Their pH were set to 5.5 and 5.0, respectively. Owing to the extensive interactions of river water and groundwater, both were of the calcium bicarbonate type and their initial concentrations quite similar. They can thus not be used as distinguishable end members for a mixing calculation. The model input, however, could be constrained by the analyses presented in Figs. 3, 4, and 5. For the flood event of March/April 1906, the model had to emulate an increase of sulfate from 0.5 mmol/l, as an initial concentration in groundwater, to 4.0 mmol/l afterward (Fig. 5b). Additionally, a pH below 5 was aspired, combined with a shift from bicarbonate as the predominant inorganic carbon species to CO2. Through calcite buffering, the calcium concentration should rise from 1 to 3 mmol/l, as measured (Fig. 5b). The available calcite content was thus restricted to 2 mmol/l. For the sake of simplicity, the slight increase in magnesium was not considered. Potential buffering effects of aluminum phases were not considered, as aluminum concentrations were not measured and pH was likely not lower than pH 4.3.
As discussed above, the iron to sulfate ratios shown in Fig. 9 indicate that very little ferrous iron released from pyrite oxidation is oxidized and precipitated as iron oxides. Therefore, reaction 1b was disabled in the PHREEQC solution species.
Table 1 shows selected results obtained from the thermodynamical modeling. For the flood event of March/April 1906, a good fit was found when oxidizing 8.7 mmol/l (1044 mg/l) of pyrite. Only the resulting electrical conductivity did not fit the observed TDS of around 700 mg/l well (Fig. 5a), maybe because some nonreactive constituents had been ignored in the model, e.g., potassium, ammonia, and organic matter. For the average sulfate concentrations of 6 mmol/l, observed in May–June 1907 (Lührig 1907ab, 1908, Fig. 3c), a pyrite consumption of 13.5 mmol/l (1620 mg/l) was modeled. This model had the closest fit to the field data in general. For the extreme case of 12 mmol/l sulfate (Lührig 1907ab, 1908, Fig. 3c), 28.8 mmol/l of pyrite (3456 mg/l) had to be used. The first two scenarios are probably the most representative of the general processes at play. The oxidation of pyrite in the unsaturated zone of the drawdown cone via atmospheric oxygen led to a very acidic soil solution (pH ≈ 2). The resulting mixing with flood water diluted the acidity (pH ≈ 3) and calcite buffering finally brought it up to pH ≈ 5, close to what the acidity indicators used at the time suggested.
Table 1
pH obtained from PHREEQC modeling
Input pyrite (mmol/l)
pH after pyrite oxidation
pH after mixing with flood water
pH after calcite buffering
Molar ratio bicarbonate to CO2
EC after all steps (μS/cm) a
8.7
2.03
2.93
5.37
0.08
577
13.5
1.84
2.59
4.72
0.02
691
28.8
1.58
2.19
2.44
≈ 0
2128
aEC electrical conductivity of groundwater
The reaction of manganese oxides with ferrous iron (reaction 5) is not implemented in the PHREEQC thermodynamic database. Instead, a kinetic rate law modified from Postma and Appelo (2000), adapted for the mineral Hausmannite (Mn3O4) was used (reaction 6). The lag time between the iron and manganese peaks visible in Fig. 4 of 5 days was used as total reaction time (time step = 1 hour). The Fe2+/Fe3+ pair was recoupled in the PHREEQC solution species to allow the consumption of ferrous iron according to reaction 5.
$${\text{Rate}}_{\text{Hausmannite}}=k^{\prime}\bullet [{\text{Fe}}^{2+}]\bullet {\left(m/{m}_{0}\right)}^{n}\bullet \left(1-{\text{SR}}_{\text{Hausmannite}}\right)$$
(6)
where
RateHausmannite
reaction rate of hausmannite consumption (mol/l/s)
k´
apparent rate constant (mol/l/s), here set to k´= 25∙10−5 (mol/l/s)
[Fe2+]
activity of dissolved ferrous iron
SRHausmannite
saturation rate of Hausmannite
m
remaining mass of mineral (mol/l of pore volume)
m0
initial mass of mineral (mol/l of pore volume), here set to m0 = 0.1 (mol/l)
n
exponent, here set n = 0.67, a value typical for spherical or cubic crystals (Postma and Appelo 2000).
The kinetic model predicts a maximum release of 0.51 mmol/l (28.0 mg/l) manganese after 5 days. This is very close to the observed peak value of 28.4 mg/l on 04 April 1906. This maximum concentration corresponds to a consumption of 1.02 mmol/l of ferrous iron (57 mg/l). The shape of the manganese release curve is practically linear. Unfortunately, the number of measured manganese concentrations is very small, there are just four values for the rising part of the peak (Fig. 4b). Additionally, the first value is from 2 days after the flood and only days and no hours are given for the analyses. Furthermore, the data shown in Fig. 4a and b come from different sampling points. Therefore, no comparison of the kinetic release curve to the actual breakthrough curve is merited here. It is sufficient that the kinetic model is able to emulate the maximum concentration and the steep, almost linear rise of the manganese breakthrough curve fairly well.

Discussion

Hydrochemistry

After discarding the initially discussed hypothesis of ascending groundwater from the underlying Tertiary (Neogene) formation being the source of the calamities, all contemporary authors studying the Breslau (Polish: Wrocław) calamities identified pyrite oxidation close to the surface as the fundamental reaction. They attributed the oxidation of the pyrite to its aeration, caused by excessive drawdowns, amplified by the previous drought. Only Lührig (1907ab) and Debusmann (1908), however, identified the reduction of manganese oxides by dissolved ferrous iron as the underlying process for the release of manganese.
Here, for the first time, the data sets by the different authors were combined and modern interpretation techniques such as hydrochemical modeling were applied. This allowed us not only to test the old hypotheses but also to quantify the reactions involved. The hydrochemical hypotheses proposed by the early investigators of the 1906 calamities were confirmed by this study to be correct in principle. The molar correlations between iron and sulfate confirmed the central role of pyrite oxidation by oxygen (Fig. 8). The PHREEQC model was generally able to recreate the hydrochemical interplay between the hydrochemical species and mineral phases. Its utility, however, went beyond identifying the main reactions. It also allowed a quantitative assessment, something the original researchers could not do. This included the quantification of the masses of pyrite involved (Table 1). It also confirmed and quantified the role of the carbonates in buffering the released acidity and yielded the pH values, which could only be measured in a rather crude way in 1906. Finally, the model was also able to confirm and emulate the kinetic release of manganese by the reduction of manganese oxides by ferrous iron. By adapting the input concentrations of, e.g., pyrite and calcite, the model could be used for other RBF sites as well. It could also easily be expanded for further hydrochemical scenarios, e.g., when not only dissolved oxygen but also nitrate is available as oxidant.
Figure 10 summarizes the conceptual model of the events of the Breslau (Polish: Wrocław) 1906 calamities. Figure 10a shows the initial situation with high groundwater levels, reducing conditions in soil and aquifer, which lead to the formation of pyrite. Figure 10b shows the drawdown caused by pumping, aggravated by drought conditions and the resulting exposure of pyrite to atmospheric oxygen, followed by the inundation of the wellfield and the outwash of the pyrite oxidation products (Fig. 10c). Figure 10d shows the remediation chosen for the system (see below), the installation of infiltration ponds close to the wells, which maintain high groundwater levels and prevent pyrite oxidation.
Fig. 10
Schematic depiction of the processes at the flooded RBF site (a) initial, natural situation, (b) strongly lowered groundwater table due to combined effect of pumping and drought, oxidation of pyrite in the top soil and aeration zone, (c) flooding and outwash of sulfuric acid, reduction of manganese oxides, (d) current situation with infiltration ponds next to wells. Legend: blue = water or water-saturated aquifer, light brown = unsaturated zone, darker brown = top soil, reddish (with arrow) = pyrite oxidation, green with dash hatching = aquitard
Full size image

Microbiology

One of the greatest fears for RBF operators is the breakthrough of microorganisms into their well water, since surface waters are basically open recipients for any fecal contamination in their catchment. Therefore, a flood infiltrating huge volumes of surface water from above is a nightmare scenario, since the distance from the ground surface to the top of the well screen is commonly small, usually much smaller than the passage from the riverbed to the well. Surprisingly, the 1906 calamities show a rather mild and short-lived microbial contamination.
The reason for this positive development is probably twofold. Since the screens were installed close to the bottom of the aquifer, the infiltrating floodwater had to pass through several meters of soil and sediment, likely leading to a removal of microorganisms by sorption and decay. On the other hand, the infiltrating water was, as indicated above, likely quite acidic, a condition many freshwater bacteria do not tolerate well. This was already confirmed by both Lührig (1907ab) and Oettinger (1908) who experimentally exposed water from the Oder River, having high counts of bacteria, to (acidic) iron sulfate solutions and recorded a significant reduction in numbers over time.

Temperature

The 1906 flooding event provides an interesting large-scale natural heat tracer experiment. Figure 7b shows that the flood caused a sudden drop of groundwater temperatures of around 1°C. From there, however, temperatures rose again quickly and after around 10 days, the original temperatures had been re-established. Furthermore, the negative peak occurred around a week later than the flood and several days after the dramatic changes in hydrochemistry. The phenomena nicely show the delayed transport of the temperature signal and the fast attenuation of the input of cold water into the system.
The 1906 data compare favorably with other heat tracer experiments, both natural and artificial. For, example, Watson et al. (2018) studied the temperature effects of a large natural flood event on the temperature of adjacent groundwater and also found a return to the initial temperature distribution within a few days.

Aftermath and lessons learned

Immediate measures taken after the catastrophe included disconnecting the wells of the most affected group III. Over a period of 40 days, these wells were pumped to waste at a rate of 20,000 m3/d and the water disposed to the river Oder, after some lime treatment. Lührig (1907ab) estimated that with an average concentration of 14.4 mg/l Mn, a total of 11.5 tons of manganese were removed this way. Pumping, however, did not decrease the concentrations, as had been hoped. More than 1 year after the flood, manganese concentrations were still at the same high level (Fig. 3c). On April 5, 1906, artificial sand bed filtration of river water was reactivated to compensate for the lacking volume of drinking water; the old plant had luckily not been dismantled yet.
The full reconstruction of the waterworks and the stabilization of groundwater quality took about 15 years (Kowal 1993). To provide sufficient water quantities and quality, it was decided to develop a system of filtration ponds, located about 50 m from the siphon wells, fed by surface water taken from the Ohle (Polish: Oława) River (Lührig 1908; Kirchner 1931ab). This approach was tested first with a full-scale prototype running for several months. After the successful proof of concept, that is, the water becoming chemically and bacteriologically safe, more filtration ponds were constructed. In spite of droughts in 1922–1923, water production increased up to 77,000 and 90,000 m3/d in 1925 and 1936, respectively. In 1922–1928, water production gradually decreased due to the precipitation of iron oxides within the collectors and siphon pipes, blocking up to 40% of the diameter of the latter. In 1929, a zone of sanitary protection around the well field was established, while in 1933 a system of new rapid filters was installed (Kowal 1993).
For many years, the infiltration ponds were kept free of vegetation as much as possible, especially of aquatic plants. Since the 1990 s, the Municipal Water and Sewage Company of Wrocław changed its attitude to vegetation, especially in the infiltration ponds which is now perceived as a significant factor in phytoremediation processes.

Similar study cases in the region and elsewhere

Other major flood events affecting Wrocław occured in 1975, 1985, 1997, 2010, and 2024 (Łoniewski 1998; Ligenza et al. 2021), of which the most catastrophic was the flood of July 1997 (Dębicki 1998; Przewłocki et al. 1998). The entire RBF site was flooded, as well as several water and sewage pumping stations and other facilities. The waterworks were out of order for more than 2 weeks and drinking water quality suffered for an extended period of time. The full restoration after the 1997 flood took about 6 months. Taking into account the experience of the 1906 calamities, prognostic modeling to predict the chemical composition of filtrate water was performed. Calculations showed that no excessive concentrations of iron and manganese were to be expected, which was confirmed afterward by hydrochemical analyses. Similarly, no increased concentrations of nitrogen species were observed. Liming, however, was used as a countermeasure against possible mobilization of heavy metals (Łomotowski 1998).
Interestingly, a case very similar to the 1906 events was observed about 90 years later in a wellfield at Racibórz (German: Ratibor), a city 140 km away from Wrocław (Fig. 1a), upstream the Oder River (Miotlinski et al. 2012). There, an extensive groundwater extraction from the Pleistocene aquifer had caused a significant decrease of groundwater levels, of up to 20 m. The situation was alleviated to some degree after 1994, when extraction decreased and some rainy years occurred. In July 1997, heavy rainfalls of 540 mm over the course of a few days caused a massive flooding of the Oder River valley. Parts of the floodwater infiltrated into the subsurface, leading to an increase of groundwater levels. Similar to the 1906 case, concentrations of sulfate started to rise from around 50–100 mg/l to up to 300 mg/l. Iron and manganese also showed significant increases, from 1–2 mg/l to up to 16 mg/l and from 0.2 mg/l to up to 0.9 mg/l, respectively. In some wells, the concentrations of bicarbonate decreased from around 300 mg/l to around 100 mg/l and the pH dropped by 0.5 pH units, although always remaining above pH 6.5. Again, the oxidation of pyrite and the dissolution of manganese oxides was invoked to explain these changes. The effects persisted for several years, Miotlinski et al. (2012) show data up to the year 2005. There are, however, some differences to the 1906 case. In Racibórz, the wells themselves were not flooded directly. This explains, why the high concentrations described above occurred significantly later than the 1997 flood. Sulfate started to rise as early as 1998 but the other parameters followed later on, in 1999 and 2000. Unlike the Breslau (Polish: Wrocław) case, the flood actually increased the chloride concentrations from around 25 mg/l to 40 mg/l. Owing to agricultural activities in the region, pyrite oxidation by nitrate must have played at least some role (e.g., Kölle 1985). The Racibórz example clearly shows that such events may recur, especially after drought–flood cycles, which may become more common in Central Europe due to climate change.
The city of Poznań (Fig. 1a) is supplied with water from two RBF sites. Both facilities are set within the unconfined sandy-gravely aquifer of the Warta River valley, which is a tributary of the Oder River (Chomicki et al. 2008; Górski et al. 2021; Matusiak et al. 2021). Flooding of the Warta River luckily never caused flooding of these RBF systems, nevertheless, some changes in physiochemical and microbiological parameters of filtration water caused by seasonal flooding have been detected (Kołaska et al. 2018; Matusiak et al. 2021).
Compared to the flood event investigated by Ascott et al. (2016) for an RBF site on the Thames River, England, the 1906 flood in Breslau (Polish: Wrocław) shows some remarkable differences. In the English case, the infiltrating floodwater induced an increase in dissolved organic carbon but a sharp decrease in electrical conductivity (EC) in the well water. The latter indicates that the dilute floodwater did not induce secondary reactions, e.g., pyrite oxidation, which could have added to TDS and EC. This is insofar surprising as the groundwater before the flood was generally suboxic to reducing (< 1 mg/l dissolved oxygen). The concentrations of dissolved oxygen markedly increased with the flooding (≈ 4 mg/l). An oxidant would thus have been available, but the sediment apparently contained no reactive minerals. There are, however, also some similarities. The high microbial load of the River Thames water at the time of the flood (Escherichia Coli >5000 cfu/100 ml) was strongly attenuated to around 4 cfu/100 ml in the well water. In addition, the microbial contamination disappeared after a few days. The comparison shows that the effects of an RBF flooding depend a lot on the site-specific geochemical settings, i.e., the reactive inventory of the aquifer, which, if present, can induce secondary reactions.

Epilogue: The Wrocław waterworks after 1945

Between 1945 and the early 1950 s, the waterworks had to recover from the damages of the Second World War. Water production slowly but steadily, increased. Between 1953–1958, due to growing demand, water was again abstracted directly from the Oława (German: Ohle) River. Several problems regarding surface water quality were encountered, including high concentrations of phenols and the influence of wastewater. In the 1960 s, because of constantly growing water demand, the treatment facility “Na Grobli” (German: Weidendamm) was enlarged and upgraded. More wells, including radial collector wells, were installed in new well groups IV–IX (Fig. 1b). In 1982, construction of a new facility called “Mokry Dwór” near a small village of the same name, consisting of a pumping station and a treatment plant, was completed (Fig. 1b). This facility, with a planned water production capacity as high as 200,000 m3/d relied on two catchments, i.e., the Nysa Kłodzka (German: Glatzer Neiße) River and the Oława (German: Ohle) River, connected by a channel (Nalberczyński and Izbiańska 1998).
Meanwhile, water quality in the catchments of the Oława (German: Ohle) and Nysa Kłodzka (German: Glatzer Neiße) Rivers deteriorated owing to intensive agricultural and industrial activities, as well as insufficient municipal sewage treatment (Roszak 1987, 1988, 1989; Wasilewski and Szymańska 1989; Dubicki at al. 1998; Rejman 1999; Kolanek et al. 2007). In addition, several pollution point-sources were located in the vicinity of the RBF system. Since the end of the 1990 s and beginning of the 2000 s the situation started to improve, e.g., by improved water treatment (Urbanowska and Kabsch-Korbutowicz 2016). The issue of water quality at the RBF site became urgent again after the disastrous flood of 1997, which proved the high vulnerability of the system (Kryza et al. 1989; Łomotowski 1998; Łoniewski 1998).
After 1990, the waterworks became property of the city as the Miejskie Przedsiębiorstwo Wodociągów i Kanalizacji (MPWiK, English: Municipal Water and Sewage Company). Water use started to be measured, which together with the reduction of water losses, caused a drastic decrease of water demand, especially between 1990 and 2000 (Kowal 1993; Zięba 1998; Głowacka and Hotloś 2012; Hotloś et al. 2012). In 2010, domestic water production dropped to about 61,000 m3/d. The water sources started to change as well, i.e., between the 1980 s and 1999, about 60–64% of total abstraction came from surface water, the rest from the RBF. Since 2000, the share of surface water decreased to 50% (Hotloś et al. 2012). At present, water from the Oława (German: Ohle) River is connected by a channel with the Nysa Kłodzka (German: Glatzer Neiße) River and infiltrated via 59 ponds, having a total area of 48.4 hectares (Łoniewski 1998), finally extracted by more than 570 wells.

Conclusions

With ongoing climate change, weather extremes in Central Europe, as well as in other parts of the world, are predicted to become more frequent, increasing the risk of extended drought periods, followed by sudden floods. This vicious cycle endangers water supply infrastructure located in floodplains, especially RBF sites. This is exactly what happened in 1906 during the Breslau (Polish: Wrocław) manganese and iron calamities. Despite their old age, the data sets provide an excellent case study of what might happen during the flooding of an RBF site, e.g., which concentration levels can be reached, how long the effects prevail, and what countermeasures should be taken.
The hydrochemical processes behind the 1906 calamities are not unique for the Oder River Valley and could repeat themselves elsewhere. They include the exposure and oxidation of pyrite present in soil and aquifer to and by atmospheric oxygen, caused by a combination of pumping-induced drawdowns and climatic drought. Another lesson learned is that the problematic flood of March 1906 itself was actually relatively minor. However, it was the first to hit the RBF system after the extended aeration phase, thus being able to wash out massive amounts of pyrite oxidation products in a relatively short period of time. Induced reactions also need to be considered, especially the buffering of the acidity, which can lead to increased concentrations of calcium and magnesium and a strong decrease of carbonate hardness. High manganese concentrations are another side effect, related to secondary reactions, i.e., the reduction of manganese oxides by dissolved ferrous iron.
There are also some positive key messages: (1) the effects of the sudden temperature change induced by the floodwater infiltration were rather small and short-lived, (2) although the river water must have carried a significant load of microorganisms, the post-flood bacterial peak in groundwater was rather small and short-lived, probably a result of the passage through soil and aquifer, possibly supported by the anti-microbial effects of the acidic iron sulfate solution.
The historical impacts of the calamities should also not be neglected. It was the first time that manganese, an element hardly considered and analyzed before, made a dramatic appearance by shutting down the brand-new water supply of a major city. This, however, inspired the development of preventive measures; in this case, the installation of infiltration ponds near the wells, which take in water from the nearby river. They stabilize the groundwater table at a higher level and thus limit further pyrite oxidation. This system proved quite successful; it is in principle still in operation more than 100 years later and was applied to several other RBF sites outside Silesia. Furthermore, the 1906 events inspired the development of a water treatment technology for demanganization, which was introduced only a few years later and was widely adapted in Germany and abroad (Lührig 1907ab; Lührig and Blasky 1907; Debusmann 1908; Gans 1910; Weiss 1910).
Bringing the historic lessons from the 1906 Breslau (Polish: Wrocław) calamities and the modern interpretation of their old data together is a useful endeavor. RBF operators can learn from this example what to expect during and after such an event and what countermeasures might be useful. The PHREEQC model is a useful tool for this and can be expanded for parameters not relevant or not considered in the early 20th century, e.g., including agricultural nitrate as an additional oxidant for pyrite oxidation or considering the release of trace elements contained in the pyrite crystal lattice, e.g., arsenic, nickel, and cobalt.

Acknowledgements

The authors thank Marcel Bartsch for the design of Fig. 1a and are very grateful to Tony Appelo for useful advice on the PHREEQC modeling.

Declarations

Competing interests

The authors declare no competing interests nor any commercial or other associations that might pose a conflict of interest in connection with the submitted material.
Open Access This article is licensed under a Creative Commons Attribution 4.0 International License, which permits use, sharing, adaptation, distribution and reproduction in any medium or format, as long as you give appropriate credit to the original author(s) and the source, provide a link to the Creative Commons licence, and indicate if changes were made. The images or other third party material in this article are included in the article's Creative Commons licence, unless indicated otherwise in a credit line to the material. If material is not included in the article's Creative Commons licence and your intended use is not permitted by statutory regulation or exceeds the permitted use, you will need to obtain permission directly from the copyright holder. To view a copy of this licence, visit http://creativecommons.org/licenses/by/4.0/.

Publisher’s Note

Springer Nature remains neutral with regard to jurisdictional claims in published maps and institutional affiliations.
Download
Title
The effects of flooding on a bank filtration site: lessons learned from the Breslau (Wrocław) manganese calamities of 1906
Authors
Georg J. Houben
Maciej R. Kłonowski
Karol Zawistowski
Publication date
17-01-2026
Publisher
Springer Berlin Heidelberg
Published in
Hydrogeology Journal
Print ISSN: 1431-2174
Electronic ISSN: 1435-0157
DOI
https://doi.org/10.1007/s10040-025-03007-w
go back to reference Ascott MJ, Lapworth DJ, Gooddy DC, Sage RC, Karapanos I (2016) Impacts of extreme flooding on riverbank filtration water quality. Sci Total Environ 554–555:89–101. https://doi.org/10.1016/j.scitotenv.2016.02.169CrossRef
go back to reference Bai J, Yuan Z, Su X (2024) Spatiotemporal distribution patterns of iron, manganese, and arsenic within the river infiltration zone and the potential geochemical activity at key interfaces. Appl Geochem 172:106123. https://doi.org/10.1016/j.apgeochem.2024.106123CrossRef
go back to reference Beyschlag F, Michael R (1907) Über die Grundwasserverhältnisse der Stadt Breslau. Z Prakt Geol 15:153–164
go back to reference Beyschlag F, Michael R (1908) Über die Grundwasserverhältnisse der Stadt Breslau. Journal für Gasbeleuchtung und Wasserversorgung 51(6):84–91
go back to reference Bouwer H (2002) Artificial recharge of groundwater: hydrogeology and engineering. Hydrogeol J 10:121–142. https://doi.org/10.1007/s10040-001-0182-4CrossRef
go back to reference BfG (2024) Informationsplattform Undine. Bundesanstalt für Gewässerkunde (BfG): https://undine.bafg.de/oder/extremereignisse/oder_extremereignisse.html (accessed October 02, 2024)
go back to reference Chomicki I, Graczyk A, Kijko D (2008) Konflikt największego ujęcia wody dla aglomeracji poznańskiej z obszarem Natura 2000 (Conflict of the biggest water intake for the Poznań agglomeration with nature 2000 area). [In:] Proceedings of XX Jubileuszowa-Krajowa, VIII Międzynarodowa Konferencja Naukowo - Techniczna „Zaopatrzenie w Wodę, Jakość i Ochrona Wód”/20th Jubilee-National, 8th International Scientific and Technical Conference „Water Supply and Water Quality” 161-176, AQUANET S.A., Poznań. (In Polish with English abstract and captions)
go back to reference Cohn F (1853) Über lebendige Organismen im Trinkwasser. Ztschr Klin Med 4:229–237
go back to reference Davies N, Moorhouse R (2002) Microcosm: portrait of a central European city, vol 384. Jonathan Cape, London
go back to reference Debusmann (1908) Die Ursachen der Wasserkalamität in Breslau und die bisherigen Maßnahmen zu ihrer Beseitigung. J Gasbel Wasservers 51:963-969, 990-998
go back to reference Derx J, Blaschke AP, Farnleitner AH, Pang L, Blöschl G, Schijven JF (2013) Effects of fluctuations in river water level on virus removal by bank filtration and aquifer passage - a scenario analysis. J Contam Hydrol 147:34–44. https://doi.org/10.1016/j.jconhyd.2013.01.001CrossRef
go back to reference Dębicki R (1998) Natural and anthropogenic causes and effects of floods and other disastrous events in Poland. Int Agrophys 12:285–293
go back to reference Dubicki A, Korol R, Burak J (1998) Stan zanieczyszczenia wód Nysy Kłodzkiej, Oławy i Widawy ze szczególnym uwzględnieniem okresów niskich przepływów (The state of pollution of waters of the Nysa Kłodzka, Oława and Widawa Rivers with particular focus on periods of low flows). Górnictwo Odkrywkowe XL 4:102–128 (In Polish with English summary)
go back to reference DVGW (2009) Elemente die bewegen. Mensch und Technik im Gas- und Wasserfach. Die Geschichte des DVGW von 1859 bis 2009 [Elements that move. Man and technic in the gas and water business. The history of the DVGW 1859 to 2009], vol 199+203. DVGW, Bonn
go back to reference Eckert P, Irmscher R (2006) Over 130 years of experience with Riverbank filtration in Düsseldorf, Germany. Journal of Water Supply: Research and Technology - AQUA 55(4):283–291. https://doi.org/10.2166/aqua.2006.0012CrossRef
go back to reference Fakhreddine S, Prommer H, Scanlon BR, Ying SC, Nicot J-P (2021) Mobilization of arsenic and other naturally occurring contaminants during managed aquifer recharge: a critical review. Environ Sci Technol 55(4):2208–2223. https://doi.org/10.1021/acs.est.0c07492CrossRef
go back to reference Farnsworth CE, Hering JG (2011) Inorganic geochemistry and redox dynamics in bank filtration settings. Environ Sci Technol 45:5079–5087. https://doi.org/10.1021/es2001612CrossRef
go back to reference Gans R (1910) Die Mangangefahr bei Benutzung von Grundwasser zur Trinkwasserversorgung und deren Beseitigung. Sonderdruck Die chemische Industrie 2/3, 1-23, Berlin
go back to reference Giger W (2009) The rhine red, the fish dead - the 1986 Schweizerhalle disaster, a retrospect and long-term impact assessment. Environ Sci Pollut Res Int 16(SUPPL1):S98–S111. https://doi.org/10.1007/s11356-009-0156-yCrossRef
go back to reference Głowacka J, Hotloś H (2012) Zasilanie Wrocławia w wodę – historia i współczesność (Water supply in Wrocław – history and present day). [In:] Traczewska T.M. (red.) Interdyscyplinarne zagadnienia w inżynierii i ochronie środowiska. 2:189–195. Oficyna Wydawnicza Politechniki Wrocławskiej, Wrocław (In Polish with English summary).
go back to reference Gorski J, Dragon K, Kruc-Fijalkowska R, Matusiak M (2021) Assessment of river water infiltration conditions based on both chloride mass-balance and hydrogeological setting: the Krajkowo riverbank filtration site (Poland). Geologos 27(1):35–41. https://doi.org/10.2478/logos-2021-0003CrossRef
go back to reference Grahn E (1883) Die Art der Wasserversorgung der Städte des Deutschen Reiches mit mehr als 5000 Einwohnern, vol 339. Oldenbourg, MünchenCrossRef
go back to reference Grahn E (1898) Die Städtische Wasserversorgung im Deutschen Reiche sowie in einigen Nachbarländern. Erster Band, Königreich Preußen, vol 547. Oldenbourg, München
go back to reference Greskowiak J, Prommer H, Massmann G, Nützmann G (2006) Modeling seasonal redox dynamics and the corresponding fate of the pharmaceutical residue phenazone during artificial recharge of groundwater. Environ Sci Technol 40:6615–6621. https://doi.org/10.1021/es052506tCrossRef
go back to reference Hamann E, Stuyfzand PJ, Greskowiak J, Timmer H, Massmann G (2016) The fate of organic micropollutants during long-term/long-distance river bank filtration. Sci Total Environ 545–546:629–640. https://doi.org/10.1016/j.scitotenv.2015.12.057CrossRef
go back to reference Heberer T, Massmann G, Fanck B, Taute T, Dünnbier U (2008) Behaviour and redox sensitivity of antimicrobial residues during bank filtration. Chemosphere 73:451–460. https://doi.org/10.1016/j.chemosphere.2008.06.056CrossRef
go back to reference Hem JD (1972) Chemical factors that influence the availability of iron and manganese in aqueous systems. Geol Soc Am Bull 83:443–450CrossRef
go back to reference Henzler AF, Greskowiak J, Massmann G (2016) Seasonality of temperatures and redox zonations during bank filtration – a modeling approach. J Hydrol 535:282–292CrossRef
go back to reference Hiscock KM, Grischek T (2002) Attenuation of groundwater pollution by bank filtration. J Hydrol 266:139–144CrossRef
go back to reference Hotloś H, Głowacka J, Kołodziej A (2012) Zmienność poboru wody w systemie wodociągowym Wrocławia. (Variability of water intake in the Wroclaw water supply system). Ochr Srodow 34(4):23–28
go back to reference Houben GJ (2003) Iron oxide incrustations in wells - Part 1: genesis, mineralogy and geochemistry. Appl Geochem 18(6):927–939. https://doi.org/10.1016/S0883-2927(02)00242-1CrossRef
go back to reference Houben GJ, Collins S, Bakker M, Daffner T, Triller F, Kacimov A (2022) Review: horizontal, directionally drilled and radial collector wells. Hydrogeol J 30:329–357. https://doi.org/10.1007/s10040-021-02425-wCrossRef
go back to reference Houben GJ, Batelaan O (2022) The Thiem team – Adolf and Günther Thiem, two forefathers of hydrogeology. Hydrol Earth Syst Sci 26:4055–4091. https://doi.org/10.5194/hess-26-4055-2022CrossRef
go back to reference Hu B, Teng Y, Zhai Y, Zuo R, Li J, Chen H (2016) Riverbank filtration in China: a review and perspective. J Hydrol 541:914–927. https://doi.org/10.1016/j.jhydrol.2016.08.004CrossRef
go back to reference Huntscha S, Rodriguez Velosa DM, Schroth MH, Hollender J (2013) Degradation of polar organic micropollutants during riverbank filtration: complementary results from spatiotemporal sampling and push-pull tests. Environ Sci Technol 47:11512–11521CrossRef
go back to reference Kedziorek MAM, Geoffriau S, Bourg ACM (2008) Organic matter and modeling redox reactions during river bank filtration in an alluvial aquifer of the Lot River, France. Environ Sci Technol 42:2793–2798. https://doi.org/10.1021/es702411tCrossRef
go back to reference Kedziorek MAM, Bourg ACM (2009) Electron trapping capacity of dissolved oxygen and nitrate to evaluate Mn and Fe reductive dissolution in alluvial aquifers during riverbank filtration. J Hydrol 365:74–78. https://doi.org/10.1016/j.jhydrol.2008.11.020CrossRef
go back to reference Kimutai J, Vautard R, Zachariah M, Tolasz R, Šustková V, Cassou C, Skalák P, Clark, B, Haslinger K, Vahlberg, M, Singh, R, Stephens E, Cloke H, Raju E, Baumgart N, Thalheimer L, Chojnicki B, Otto, F., Koren G, Philip S et al (2024) Climate change and high exposure increased costs and disruption to lives and livelihoods from flooding associated with exceptionally heavy rainfall in Central Europe. Report World Weather Attribution p 36. https://www.worldweatherattribution.org/climate-change-and-high-exposure-increased-costs-and-disruption-to-lives-and-livelihoods-from-flooding-associated-with-exceptionally-heavy-rainfall-in-central-europe/ (accessed August 06, 2025)
go back to reference Kirchner E (1931) Die Entwicklung der Wasserwerke der Stadt Breslau. Gas- Wasserfach 74(23):522–527
go back to reference Kirchner E (1931) Niederschlesische Wasserversorgungsprobleme und die Wasserversorgung der Hauptstadt Breslau. Gas- und Wasserfach 74(42):966–970
go back to reference Klut H (1908) Untersuchung des Wassers an Ort und Stelle. 159 p., Springer, Berlin
go back to reference Klut H (1911) Untersuchung des Wassers an Ort und Stelle. 2nd edn. Springer, Berlin, p 150
go back to reference Kolanek A, Korol R, Strońska M, Szyjkowska U (2007) Assessment of water pollution by nitrates in the Middle Odra Basin. J Water Land Dev 11:91–102. https://doi.org/10.2478/v10025-008-0008-zCrossRef
go back to reference Kołaska S, Jeż – Walkowiak J, Dymaczewski Z (2018) Changes of physicochemical and microbiological parameters of infiltration water at Debina intake in Poznan, unique conditions – a flood. Water, Wastewater and Energy in Smart Cities, E3S Web of Conferences 30:01004. https://doi.org/10.1051/e3sconf/20183001004CrossRef
go back to reference Kölle W (1985) Formation of sulfate by microbial denitrification in a reducing aquifer. Water Supply 3:35–40
go back to reference Kondor AC, Jakab G, Vancsik A, Filep T, Szeberényi J, Szabó L, Maász G, Ferincz Á, Dobosy P, Szalai Z (2020) Occurrence of pharmaceuticals in the Danube and drinking water wells: efficiency of riverbank filtration. Environ Pollut 265:114893CrossRef
go back to reference Konieczyńska M (1998) Atlas geochemiczny Wrocławia i okolic. Część II (Geochemical atlas of Wrocław and environs. Part II). Polish Geological Institute, Warsaw (In Polish with English summary and explanations).
go back to reference Kowal AL (1993) Wrocławskie wodociągi: początki i stan obecny (in Polish with English abstract). Ochrona Środowiska, 3:3–4
go back to reference Kowal AL (1998) Oczyszczanie wód powierzchniowych, podziemnych i infiltracyjnych (Purification of surface waters, groundwaters and filtration waters). Górnictwo odkrywkowe 4:60–71
go back to reference Kuehn W, Mueller U (2000) Riverbank filtration. J Am Water Works Assoc 92(12):60–69CrossRef
go back to reference Kruć R, Dragon K, Górski J, Nagy-Kovács Zsuzsanna, Grischek T (2020) Geohydraulic conditions and post-treatment at riverbank filtration sites in Eastern Europe. Baltica 33(1):97–108. https://doi.org/10.5200/baltica.2020.1.9CrossRef
go back to reference Kryza J, Poprawski L, Staśko S (1989) Główne zbiorniki wód podziemnych w rejonie wrocławskim – koncepcja optymalnego zagospodarowania i aktywnej ochrony (Main groundwater bodies in the Wroclaw region – concept of optimal management and active protection). [In:] Proceedings of the conference Alternatywne Źródła Zaopatrzenia Wrocławia w Wodę, Wrocław, 12.12.1989, pp 33–38 (In Polish)
go back to reference Ligenza P, Tokarczyk T, Adynkiewicz-Piragas M (red.) (2021) Przebieg i skutki wybranych powodzi w dorzeczu Odry od XIX wieku do czasów współczesnych (The course and effects of selected floods in the Oder River basin from the XIX century to modern times). Instytut Meteorologii i Gospodarki Wodnej Państwowy Instytut Badawczy. p 132, Warszawa (In Polish)
go back to reference Luedecke K (1907) Das Wasser des Odertales und die Wasserkalamität der Stadt Breslau, vol 36. Leineweber, Leipzig
go back to reference Lührig H (1907) Über die Ursachen der Grundwasserverschlechterung in Breslau. Z Unters Nahrungs-u Genussm 13(8):441–483CrossRef
go back to reference Lührig H (1907) Über die Ursachen der Breslauer Grundwasserverschlechterung und die Mittel zu ihrer Behebung. Z Unters Nahrungs Genussm 14:40–63CrossRef
go back to reference Lührig H (1908) Gedanken über die Sanierung der Breslauer Grundwassergewinnungsanlagen. Gesundheits-Ing 31(40):629–652
go back to reference Lührig H, Blasky A (1907) Mangan im Grundwasser der Breslauer Wasserleitung und die Frage der Abscheidung des Mangansulfates aus demselben. Chem Ztg 31:255–257
go back to reference Łomotowski J (1998) Prognozowanie składu wody infiltracyjnej po zalaniu terenów ujęć wodami powodziowymi (Forecasting the infiltration water composition after flooding the well fields by flood waters). Górnictwo Odkrywkowe XL 4:102–127 (In Polish with English summary)
go back to reference Łoniewski J (1998) Zarys poszukiwań wód podziemnych dla potrzeb miasta Wrocławia oraz ocena możliwości ich wykorzystania (Outline of the search for groundwater for the needs of the city of Wroclaw and the assessment of the possibility of their use). Górnictwo Odkrywkowe, XL, pp 38-59 (In Polish)
go back to reference Martell P (1914) Die Wasserwerke der Stadt Breslau. Ostdt Bauztg 12(30):177–180
go back to reference Massmann G, Greskowiak J, Dünnbier U, Zuehlke S, Knappe A, Pekdeger A (2006) The impact of variable temperatures on the redox conditions and the behaviour of pharmaceutical residues during artificial recharge. J Hydrol 328:141–156. https://doi.org/10.1016/j.jhydrol.2005.12.009CrossRef
go back to reference Massmann G, Nogeitzig A, Taute T, Pekdeger A (2008) Seasonal and spatial distribution of redox zones during lake bank filtration in Berlin, Germany. Environ Geol 54:53–65CrossRef
go back to reference Massmann G, Dünnbier U, Heberer T, Taute T (2008) Behaviour and redox sensitivity of pharmaceutical residues during bank filtration: investigation of residues of phenazone-type analgesics. Chemosphere 71:1476–1485CrossRef
go back to reference Matusiak M, Dragon K, Gorski J, Kruc-Fijałkowska R, Przybylek J (2021) Surface water and groundwater interaction at long-term exploited riverbank filtration site based on groundwater flow modelling (Mosina-Krajkowo, Poland). J Hydrol Reg Stud 37:100882. https://doi.org/10.1016/j.ejrh.2021.100882CrossRef
go back to reference Miotlinski K, Postma D, Kowalczyk A (2012) Variable infiltration and river flooding resulting in changing groundwater quality – a case study from Central Europe. J Hydrol 414–415:211–219CrossRef
go back to reference Musche F, Sandhu C, Grischek T, Patwalb PS, Kimothi PC, Heisler A (2018) A field study on the construction of a flood-proof riverbank filtration well in India – challenges and opportunities. Int J Disaster Risk Reduct 31:489–497CrossRef
go back to reference Nalberczyński A, Izbiańska D (1998) Ocena zasobów wodnych i zarządzanie gospodarką wodną w zlewniach rzek Nysy Kłodzkiej i Oławy z uwzględnieniem potrzeb Wrocławia (Assessment of water resources and management of water management in the catchments of the Nysa Kłodzka and Oława rivers, taking into account the needs of Wroclaw). Górnictwo Odkrywkowe XL 4:128–144
go back to reference Noh JH, So SH, Park JW, Kim SY, Song KG, Choi J, Kim GB, Son H, Kim H, Maeng SK (2022) An assessment of the effectiveness of riverbank filtration in a sewage plant effluent-impacted river using a full-scale horizontal well. Water 14:1873. https://doi.org/10.3390/w14121873CrossRef
go back to reference Oettinger W (1908) Die Ursachen des Einbruchs von Eisen- und Mangansalzen in das Breslauer Grundwasser, mit besonderer Berücksichtigung der Bodendurchlässigkeit in der Ohle-OderNiederung. 117 p., Jena, Gustav Fischer
go back to reference Parkhurst D, Appelo CAJ (1999) User’s Guide to PHREEQC (Version 2)—A Computer Program for Speciation, Reaction Path, 1D-transport and Inverse Geochemical Calculations. USGS Water Resour Invest Rep 99-4259, Lakewood
go back to reference Paufler S, Grischek T, Benso MR, Seidel N, Fischer T (2018) The impact of river discharge and water temperature on manganese release from the riverbed during riverbank filtration: a case study from Dresden, Germany. Water 10:1476. https://doi.org/10.3390/w10101476CrossRef
go back to reference Paufler S, Grischek T, Bartak R, Ghodeif K, Wahaab R, Boernick H (2018) Riverbank filtration in Cairo, Egypt: part II—detailed investigation of a new riverbank filtration site with a focus on manganese. Environ Earth Sci 77:318CrossRef
go back to reference Postma D (1982) Pyrite and siderite formation in brackish and freshwater swamp sediments. Am J Sci 282:1151–1183CrossRef
go back to reference Postma D, Appelo CAJ (2000) Reduction of Mn-oxides by ferrous iron in a flow system: column experiment and reactivetransport modeling. Geochim Cosmochim Acta 64(7):1237–1247CrossRef
go back to reference Prinz E (1919) Handbuch der Hydrologie. Springer, Berlin, p 445CrossRef
go back to reference Przewłocki J, Nalberczyński A Łojewska, C (1998) Wpływ wielkiej powodzi lipcowej 1997 roku na infrastrukturę zaopatrzenia w wodę i ochronę wód (Effect of the July 1997 great flood on water supply and wastewater treatment infrastructure within the draingae basin of upper and middle Odra River). [In:] Proceedings of the Odra Conference, Polskie Zrzeszenie Inżynierów i Techników Sanitarnych, 39–52 (In Polish)
go back to reference Przybylski B, Badura J, Krąpiec M (2004) Budowa geologiczna doliny Odry między Oławą a Lubiążem (Geological structure oft he the Odra River valley between Oława and Lubiąż). [In:] Szymańska, H., Cwojdziński, S., Poprawski, L., Proceedings of Geologiczne i środowiskowe problemy gospodarowania i ochrony doliny górnej i środkowej Odry. 18-19.11.2004, 9–24, Wrocław (In Polish with English summary)
go back to reference Przybyłek J, Dragon K, Kaczmarek PMJ (2017) Hydrogeological investigations of river bed clogging at a river bank filtration site along the River Warta, Poland. Geologos 23(3):201–214. https://doi.org/10.1515/logos-2017-0021CrossRef
go back to reference Rejman W (1999) Potencjalne zagrożenia jakości środowiska gruntowo-wodnego wrocławskich terenów wodonośnych (ujęcie infiltracyjne) (Potental ground / water envirinment quality hazards for Wrocław water-bearng areas (infiltration intakes)). [In:] Proceedings of the Odra Conference, Polskie Zrzeszenie Inżynierów I Techników Sanitarnych, pp 245–255 (In Polish)
go back to reference Roszak W (1987) Pollution of underground water in the Odra Valley in the region of Wrocław. Environ Prot Eng 13(2):59–74
go back to reference Roszak W (1988) Effect of agriculture on chemical composition of shallow underground water. Environ Prot Eng 14(3–4):57–68
go back to reference Roszak W (1989) Procesy chemiczne w wodach podziemnych na ujęciu infiltracyjnym (Chemical processes in groundwater at the river bank filtration system). [In:] Proceedings of the conference Alternatywne Źródła Zaopatrzenia Wrocławia w Wodę, Wrocław, 12.12.1989, 83-93 (In Polish)
go back to reference Ronghang M, Gupta A, Mehrotra I, Kumar P, Patwal P, Kumar S, Grischek T, Sandhu C (2019) Riverbank filtration: a case study of four sites in the hilly regions of Uttarakhand. India. Sustain Water Resour Manag 5(2):831–845. https://doi.org/10.1007/s40899-018-0255-3CrossRef
go back to reference Sandhu C, Grischek T, Musche F, Macheleidt W, Heisler A, Handschak J, Patwal PS, Kimothi PC (2018) Measures to mitigate direct flood risks at riverbank filtration sites with a focus on India. Sustain Water Resour Manag 4:237–249CrossRef
go back to reference Schubert J (1994) Safeguarding the potable water supply in the case of accidents on rivers - experience gained from the Sandoz accident on the Rhine (1994). Water Supply 12(1–2):3
go back to reference Solon J, Borzyszkowski J, Bidłasik M, Richling A, Badora K, Balon J, Brzezińska-Wojcik T, Chabudziński Ł, Dobrowolski R, Grzegorczyk I et al (2018) Physicogeographical mesoregions of Poland—verification and adjustment of boundaries on the basis of contemporary spatial data. Geogr Pol 2:143–170CrossRef
go back to reference Sørensen SPL (1909) Über die Messung und die Bedeutung der Wasserstoffionenkonzentration bei enzymatischen Prozessen. Biochem Z 21:131–304
go back to reference Stenvik LA, Hilmo BO, Frengstad BS (2022) Elevated manganese concentrations in groundwater wells after longtime abstraction with bank filtration: developing and testing of a sorption model for Ringerike waterworks, Norway. Hydrogeol J 30:20259–2071CrossRef
go back to reference Szewrański S, Kazak J, Szkaradkiewicz M, Sasik J (2015) Flood risk factors in suburban area in the context of climate change adaptation policies – case study of Wroclaw. Poland. J Ecol Eng 16(2):13–18. https://doi.org/10.12911/22998993/1854CrossRef
go back to reference Tamassi-Morawiec H, Lis J, Pasieczna A (1998) Atlas geochemiczny Wrocławia i okolic. Część I (Geochemical atlas of Wrocław and environs. Part I). Polish Geological Institute, Warsaw. (In Polish with English summary and explanations). https://mapgeochem.pgi.gov.pl/atlasy-regionalne/wroclaw/
go back to reference Ulrich C, Hubbard SS, Florsheim J, Rosenberry D, Borglin S, Trotta M, Seymour D (2015) Riverbed clogging associated with a California riverbank filtration system: an assessment of mechanisms and monitoring approaches. J Hydrol 529:1740–1753. https://doi.org/10.1016/j.jhydrol.2015.08.012CrossRef
go back to reference Urbanowska A, Kabsch-Korbutowicz M (2016) Characteristics of natural organic matter removed from water along with its treatment. Environ Prot Eng 42:2. https://doi.org/10.5277/epe160213CrossRef
go back to reference von Raumer E (1903) Über das Auftreten von Eisen und Mangan in Wasserleitungswasser. Z Anal Chem 42:590–602CrossRef
go back to reference Wang J, Yan Y, Bai J (2020) Influences of riverbed siltation on redox zonation during bank filtration: a case study of Liao River, Northeast China. Hydrol Res 51(6):1478–1489. https://doi.org/10.2166/nh.2020.107CrossRef
go back to reference Wasilewski M, Szymańska H (1989) Stan aktualny oraz zmiany stopnia zanieczyszczenia wód rzeki Nysy Kłodzkiej w okresie lat 1974-1989 (Current status and changes in the degree of pollution of the waters of the Nysa Kłodzka River in the period 1974-1989).[In:] Proceedings of the conference Alternatywne Źródła Zaopatrzenia Wrocławia w Wodę, Wrocław, 12.12.1989, 53-61 (In Polish)
go back to reference Wasserbauinspektion Breslau (1909) Zeichnerische Darstellung der seit 1813 beobachteten hoeheren Hochwasserwellen am Unterpegel Breslau (Graphical rendering of the higher floods observed at the subgauge Breslau since 1813). Signature 82/170/0/2.2/II.46. https://www.szukajwarchiwach.gov.pl/jednostka/-/jednostka/30706036. Accessed 07 Jan 2026
go back to reference Watson JA, Bayani Cardenas M, Ferencz SB, Knappett PSK, Neilson BT (2018) The effects of floods on the temperature of riparian groundwater. Hydrol Process 32:1267–1281CrossRef
go back to reference Weiss R (1910) Das Mangan im Grundwasser und seine Beseitigung. Dissertation University of Darmstadt, Schäfer, Hannover
go back to reference Weston RS (1910) Sanitary engineering notes. Breslau water calamity. Am J Public Health 20(2):417–421
go back to reference Woy R (1906) Störung der Breslauer Wasserversorgung durch Mangansulfat. Z offentl Chem 12:121–125
go back to reference Yang F, Yue S, Wu X, Zhang C, Li D, Zhu R (2023) Effects of flood inundation on biogeochemical processes in groundwater during riverbank filtration. J Hydrol 617:129101CrossRef
go back to reference Zięba L (1998) System zaopatrzenia Wrocławia w wodę: stan obecny i perspektywy rozwoju (Wrocław water supply system: current state and development prospects). Ochr Srodowiska 3(70):3–12

Premium Partner

    Image Credits
    Korero Solutions/© Korero Solutions