Skip to main content
Top

Thermo-Mechanical Analysis of Masonry Brick Walls with Embedded Test Specimen Under Fire Exposure

  • Open Access
  • 24-09-2024
Published in:

Activate our intelligent search to find suitable subject content or patents.

search-config
loading …
insite
CONTENT
download
DOWNLOAD
print
PRINT
insite
SEARCH

Abstract

The article discusses the importance of understanding the behavior of masonry brick walls under fire exposure, focusing on the standardized fire resistance tests (FRTs) used to evaluate building materials. It highlights the need for accurate modeling of the thermal and mechanical interactions between the wall and embedded test specimens, such as fire safety doors. The study presents an experimental campaign and a detailed numerical model to predict the deformation and gap formation between the wall and the test specimen, considering various boundary conditions and pressure levels inside the steel door. The findings show that the mechanical interactions and boundary conditions significantly affect the deformation and structural response of both the wall and the test specimen, making this research crucial for improving fire safety measures in civil engineering.

Publisher's Note

Springer Nature remains neutral with regard to jurisdictional claims in published maps and institutional affiliations.

1 Introduction

Although intensive measures to avoid fire incidents in buildings and other infrastructural constructions were done in the past, fire events regularly occur with damage to the construction and/or living beings. Therefore, the question about how building material, construction elements and the entire building/facility will react to a fire source is still important in civil engineering. Answering this question addresses the (i) the structural integrity and (ii) the thermal resistance of the solid elements as well as (iii) the flue gas leakage between solid components inside a building (fire spread). Since every fire incident is unique with regard to the type of material which is burnt, the location of the fire, the ventilation condition etc., the fire response of materials and constructions can be very different. This means that testing of building materials, such as doors, windows etc. should be done for each possible fire case (fire source), which is not possible. Therefore, a standardized procedure was introduced for this purpose, which should represent a real fire scenario as good as possible. The standardized procedure is called standardized fire resistance test (FRT), where a test object (wall, door, window or a combination of these components) is exposed to hot flue gases inside a furnace with a pre-defined time-dependent temperature trend, simulating the fire source. The pre-defined temperature trend is based on fire tests carried out in the 1900s (see [7]) and was implemented in the standard according to [6], where also the detailed information about a FRT is presented. A description of the FRTs carried out in the present study can be found in “Experimental Setup and Material Properties” section. So, to test and certify building materials (e.g. fire safety products) for a certain fire resistance level, they have to undergo a FRT. It has to be mentioned that a test specimen is always embedded within a surrounding construction (commonly a wall). Thus, the heating and deformation of the wall as well as the mechanical interaction with the test specimen is crucial for the overall assessment of the fire response (mainly flue gas leakage due to gap formation between the solid parts wall, door and door frame).

1.1 Brick Walls Under Fire Exposure

Besides the fire resistance of the test specimen also the wall construction has to withstand the fire source as mentioned above. Different wall types are used in modern civil engineering. For example, brick masonries are an important wall in buildings in many countries [11]. Brick walls simply are an assembly of bricks, where mortar is used as connection between the bricks. Due to the low costs, thermal and acoustic insulation properties, a reduced thermal bridging and coating thickness, masonry brick walls are a popular solution in civil engineering [16]. In the past many studies were already published experimentally and numerically investigating masonry brick walls under fire exposure. However, also basic investigations on the materials properties (thermal and mechanical) were reported in the scientific community. For example, Andreini et al. [1] focused their research on the mechanical properties of mortar and masonry bricks. In their study the Young modulus, compressive strength etc. were examined by experiments. Furthermore, the fire resistance of masonry bricks can be increased by insulation materials like lightweight plaster. As a consequence, Kiran et al. [8] investigated the fire performance of plaster insulated bricks with the main conclusion that the mechanical behaviour of the bricks depends on the type of plastering, the intensity and duration of the fire exposure.
Besides the basic understanding of single bricks and their insulation when they are exposed to fire, their fire response as an assembly (wall) is of practical interest and crucial in civil engineering. A detailed investigation was published by Nguyen and Meftah [15] for masonry brick walls. During their experimental campaign, the temperatures and deformation were observed for non-load bearing and load bearing brick walls. It was found that the load bearing cases changed the deformation pattern. Whereas the maximum deformation was located at the wall’s centre, the position of the maximum deformation was shifted downwards due to the load. Thus, it can be concluded that the boundary conditions as well as the presence of fixtures within the wall can affect the deformation behaviour. A similar study was done by Oliveira et al. [18], in which dry-stacked masonry walls were tested at ambient and elevated temperatures. All tests were carried out under different loading conditions. At higher temperatures, and a mechanical load of 10 MPa the wall collapsed caused by the thermal bowing (out-of-plane displacement). In contrast to observing the deformation of masonry brick walls over time, in the study of Byrne [5] the masonry brick walls were exposed to a fire source and the time when the structure collapsed was determined. The effect of the wall size, slenderness etc. on the collapse time was investigated.
In addition to the experimental studies, also numerical approaches were tested to predict the thermo-mechanical behaviour of brick walls. For example, based on the experimental data from Nguyen and Meftah [15] the same authors carried out finite element modelling of the wall’s deformation as well as the spalling of the bricks/wall (see Nguyen and Meftah [16]). Furthermore, an earlier numerical study by Nguyen et al. for the brick wall’s deformation can be found in [17]. Finite element modelling of an entire brick wall was also done by Prakash et al. [19], where the temperatures and deformation of the wall were predicted by a 2-dimensional modelling approach. The MasSET (masonry subject to elevated temperatures) model was used by Nadjai et al. [12, 13] for the numerical analysis of masonry brick walls. The predicted wall deformation was in close accordance to the measured data. Also in the work of Oliveira et al. [18] a numerical model was developed to predict the structural response of the dry-stacked masonry walls on the mechanical and thermal load.
It has to be mentioned that the aforementioned studies considered masonry brick walls without any fixtures within the wall by experiments and numerical simulations. However, in the study of Nguyen and Meftah [15] it was found that the boundary condition (load bearing and non-load bearing) is affecting the deformation of the wall. But also fixtures/test specimen embedded within the masonry brick wall are crucial for the wall’s deformation behaviour, which was found by Prieler et al. [26, 29]. It was observed that the deformation of the brick wall was dependent on the type and size of the test specimen as well as the location within the wall. Although these studies suggested to consider the mechanical interactions between the wall and the fixtures, experimental studies about the wall deformation with embedded fixtures are sparse. There is also a limited number of numerical studies, taking the mechanical interaction between the brick wall and the fixture or other building components into account. For example, Nadjai et al. [14] extended the MasSET model to consider interface elements and mechanical interaction between the masonry brick wall and adjacent supporting concrete slabs. Another study presented by Prieler et al. [28] showed a numerical methodology to predict the temperature and deformation of the brick wall when a fire safety steel door is embedded in the wall. As a consequence, the mechanical interaction between the wall and the door was considered as well as the gap formation leading to a flue gas leakage from the fire resistance testing furnace. The studies mentioned above showed that in case of a fire the brick wall’s deformation is depending on many issue (e.g. size of fixture, external load, placement of fixtures), which clearly affect the structural response of the wall as well as their fixtures. Since for civil engineers or fire researchers the knowledge of the brick wall when it is exposed to a fire source is essential to avoid damage, the present study has a practical use. Furthermore, the numerical model proposed is the first of its kind considering the brick wall’s deformation with an embedded fixture. The main focus of the numerical model is to provide an additional tool to predict the thermal and structural response of the brick wall and the fixture (steel door), and, additionally calculate the gap formation between the wall and the fixture. This allows the prediction of the flue gas leakage (fire spread) from one compartment to the next.

1.2 Objectives of the Present Study

Since it was shown in “Brick Walls Under Fire Exposure” section that the presence of an external load or fixture within the wall is affecting the deformation of the masonry brick wall, and, subsequently, the deformation of the test specimen, the mechanical interaction have to be taken into account. However, only a few studies investigated masonry brick walls and its interaction with the test specimen when they are exposed to a fire source. Thus, the present study is focused on the numerical modelling of the heating, the deformation as well as the interaction between the masonry brick wall and the test specimen (fire safety steel door in this study) during FRTs. Since it was shown in Prieler et al. [28] that the placement of the door has a significant effect on the brick wall’s deformation, the numerical model in the present study was tested for different cases (door positions in the wall) to enhance the credibility of the model. The objectives of the present study can be summarized:
  • An experimental campaign of masonry brick walls with an embedded fire safety steel door as test specimen under fire exposure is presented. The steel door was placed at different positions within the brick wall.
  • Heat transfer modelling through the steel door and the brick wall (including radiative heat transfer within the voids) was done.
  • The deformation of the wall and the test specimen was numerically examined and compared to the experimental data.
  • The effect of the boundary conditions, such as stiffness of the concrete frame and pressure inside the steel shell of the door, on the predicted deformation will be examined. It has to be mentioned that the defined pressure value and time-dependent trend of the pressure inside the steel shell were assumed based on [28].
  • The gap formation between the wall and the door as well as possible flue gas leakage was determined during the FRTs for different placements of the door.
Thus, the present study represents the first study, which numerically considers the fire induced deformation of masonry brick walls and a test specimen placed at different positions within the wall construction. It has to be mentioned that the proposed model is mainly focused on standardized fire resistance tests. Nevertheless, it is possible to use the model for the simulation of compartment fires as well.

2 Experimental Setup and Material Properties

In this section the fire resistance test furnace and the testing procedure will be explained in “Fire Resistance Test Furnace and Testing Procedure” section. In addition, the setup of the masonry brick wall and the fire safety steel door will be shown in “Masonry BrickWall and Test Specimen (Fire Safety Steel Door)” section. Eventually, the material properties (thermal and mechanical) will be examined in “Material Properties” section.

2.1 Fire Resistance Test Furnace and Testing Procedure

For the experimental campaign in this study a fire resistance testing furnace was used, which is shown in Figure 1. The furnace dimension was \(4\times 4.5 \times 1.25\) m and it was operated by four natural gas fired burners at the side walls of the furnace. The walls of the furnace were made of bricks and fibre insulation panels with an overall thickness of 0.345 m (back and side walls) and 0.23 m (ceiling) as described in Prieler et al. [22]. Each burner was equipped with baffle sheets to deflect the flame and optimize the temperature distribution in the furnace (see [21]). The temperature in the furnace was observed by 12 plate thermocouples, which were arranged in a distance of 10 cm from the fire exposed side of the brick wall/test specimen. The exact position of the plate thermocouples is shown in Prieler et al. [21]. The average temperature from all 12 thermocouples has to be in close accordance to the pre-defined temperature trend from the standard [6]. The measured average temperature in the furnace for each FRT as well as the pre-defined temperature trend can be seen in “Temperature Inside the Furnace and at the Test Specimen” section. The testing time of all FRTs was 40 min. At the front of the furnace the masonry brick wall with the embedded fire safety steel door was placed.
Figure 1
Fire resistance testing furnace used in the present study
Full size image

2.2 Masonry Brick Wall and Test Specimen (Fire Safety Steel Door)

The masonry brick wall was made of hollow-bricks (thickness: 17 cm; height: 0.249 cm; length: 0.308 cm) and was placed inside a concrete frame. The length of the bricks was adapted slightly at the edges of the wall to fit into the concrete frame. The frame was then fixed at the front of the fire resistance testing furnace. Embedded into the wall was a fire safety steel door, however, at different position for each FRT as it can be seen in Figure 2. When the door was in the left and right position (denoted as DL and DR), it was placed in a distance of 20 cm from the edge of the masonry brick wall. In the third FRT, the door was arranged in the centre of the wall (denoted as DC). Between the row of bricks mortar was used for a better connection. In contrast, no mortar was used between the bricks within the same row. The voids of the hollow-bricks were not filled with mortar in general, however, a partially filling of the voids with mortar in the course of the construction cannot be avoided but was not considered in simulations.
Figure 2
Experimental setup of the masonry brick wall with the test specimen at three different positions: door in left position (denoted as DL), door in central position (denoted as DC) and door in right position (denoted as DR)
Full size image
To determine the wall’s deformation, several marker points were placed at the fire unexposed side of the wall (see Figure 3 blue dots). Additionally, some markers were fixed on the fire unexposed side of the door, which are shown by the red dots in Figure 3. The deformation was observed optically at these positions. It has to be mentioned that no strain gauges to determine the strain/stress was used in the experiments.
Figure 3
Measurement positions for the deformation of the masonry brick wall (blue dots) and the steel door (red dots) (Color figure online)
Full size image
At the fire unexposed side of the steel door 31 thermocouples were placed (in accordance to [6]) to observe the temperature increase and determine the thermal resistance of the door. The placement of the thermocouples can be subdivided into three regions, which are the centre of the door, 100 mm from the door’s edge and 25 mm from the door’s edge. In Figure 4 the measurement positions, which will be used for the comparison between the thermal analysis and the experimental data, are shown. The red dots represent the measured temperature in a distance of 25 mm from the door’s edge (P1 and P6). The measurement positions marked by the blue dots were arranged in a distance of 100 mm from the door’s edge (P2, P4 and P5). Furthermore, the position P3 represents the temperature of the door at the centre, which can be seen as average door temperature according to [6]. Since the thermal resistance at the door’s edge is lower caused by the thermal bridge of the steel shell, more thermocouples were fixed in the vicinity of the edges and corners (red and blue dots) to observe the most critical regions for the heat transfer.
Figure 4
Measurement positions for the temperature at the fire unexposed side of the door (Color figure online)
Full size image
In Figure 5 the cross-sectional construction of the steel door is presented. The steel door used as a test specimen in the FRTs was made of a steel shell with a thickness of 1 mm. The shell was filled with mineral wool and a gypsum plasterboard with a thickness of 6 mm to increase the thermal resistance of the door caused by the water content of the gypsum board. The gypsum board was arranged in the middle of the cross-section. Overall, the thickness of the door was 64 mm and the building dimension width was 1375 mm and the height was 2500 mm.
Figure 5
Inner construction of the test specimen (fire safety steel door)
Full size image
The door’s frame was fixed with the wall at 11 positions. For example, three fixing positions at the fire unexposed side and the fire exposed side are shown in Figure 6 marked by the black boxes. Two fixed connections were placed in a distance of 0.06 and 0.355 m from the bottom of the door at both sides. At the side of the door lock three fixed connections were placed in a distance of 0.068, 1.204 and 1.639 m from the top of the door. At the opposite edge the three connections were placed in a distance of 0.068, 0.639 and 1.158 m from the top of the door. One additional fixed connection was placed at the centre of the door’s upper edge. After the construction the frame as well as the fixed connections were covered by mortar as it can be seen in Figure 6 (right). In addition to the frame/wall connection, the door leaf was also fixed with the frame at different positions. On one side of the door three security bolts as well as two hinges were arranged for a fixed connection between the door leaf and the frame (see Figure 7 (left) and (centre)). The hinges were placed in a distance of 0.2 m from the top and the bottom edge of the door. Furthermore, the security bolts were arranged in a distance of 0.719, 1.238 and 1.756 m from the top edge of the door. At the right hand side of the door, the leaf was only fixed with the frame by the door lock (see Figure 7 (right)).
Figure 6
Connections between the door’s frame and the wall (left and centre) and the mortar coverage of the connections (right)
Full size image
Figure 7
Connections between the door leaf and the frame: (left) security bolts; (centre) hinges; (right) door lock
Full size image

2.3 Material Properties

For the thermal and structural analysis temperature-dependent material properties are crucial. The door was made of steel, mineral wool and gypsum. In the wall masonry bricks and mortar were used. Since the material properties have a significant effect on the accuracy of the simulation results, special attention was paid to the selected material data. For steel the data was derived from a model, which was extensively validated (see “Steel” section) and the data for gypsum/mineral wool were determined by the authors in a previous study (see “Gypsum and Mineral Wool” section). Thus, it can be concluded that these data are accurate. The highest uncertainty with regard to the material properties can be assumed for brick and mortar because the data were published by Nguyen and Meftah [16] without detailed knowledge about the brick/mortar composition which was tested (see “Brick and Mortar” section). Therefore, there might be a discrepancy on the composition of the brick and mortar compared to the used materials in the present study. Since there is a lack of data in the literature for bricks and mortar, the data from Nguyen and Meftah [16] were applied in the numerical model.

2.3.1 Steel

The steel shell of the test specimen (door) was made of low-alloy steel. The thermal and mechanical properties, which will be used in the present study, were already presented in Prieler et al. [22, 23]. Therefore, the material properties are described briefly in this section. For the density of steel a constant value of 7850 kg/m3 was chosen. The specific heat capacity and the thermal conductivity were defined as temperature-dependent according to Prieler et al. [20]. The mechanical properties of the steel are summarized in Table 1 and Figure 8. In the table, the temperature-dependent thermal expansion coefficient and Poisson ratio of the steel were used from reference [32] and the elastic modulus as well as the stress–strain curve were derived from [9, 35].
Table 1
Temperature-Dependent Thermal Expansion Coefficient [32], Poisson Ratio [32] and Elastic Modulus [9, 35] of Steel
Temperature [°C]
Thermal expansion coeff. [\(\times 10^{-6}\) K\(^{-1}\)]
Poisson ratio [–]
Elastic modulus [\(\times 10^{6}\) Pa]
20
11.9
0.285
215,000
50
12.1
0.286
213,053
100
12.5
0.287
209,809
150
12.8
0.288
206,439
200
13.0
0.290
202,729
250
13.3
0.291
198,404
300
13.6
0.293
193,150
350
13.8
0.295
186,640
400
14.1
0.297
178,563
450
14.3
0.299
168,699
500
14.5
0.302
156,814
550
14.7
0.306
143,009
600
14.9
0.311
127,459
Figure 8
Temperature-dependent stress–strain curves for steel based on [9, 35]
Full size image

2.3.2 Gypsum and Mineral Wool

Mineral wool and gypsum were used in the steel door. In this study it was assumed that the effect of both components on the structural analysis is negligible. Thus, only the thermal properties were used and will be presented in this section.
For the density of mineral wool a constant value of 50 kg/m3 was chosen. The temperature-dependent specific heat capacity and thermal conductivity are presented in Figures 9 and 10.
Figure 9
Temperature-dependent specific heat capacity of mineral wool [28]
Full size image
Figure 10
Temperature-dependent thermal conductivity of mineral wool [28]
Full size image
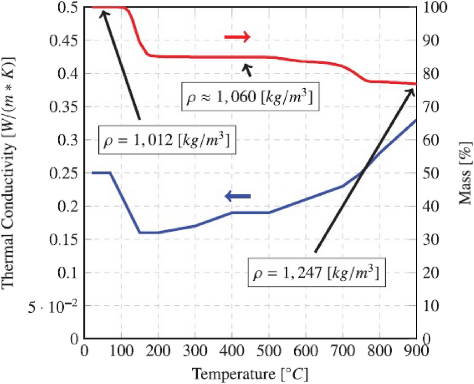
For the gypsum, which mainly consists of \(\text {CaSO}_{4} \cdot 2 \text {H}_{2}\text {O}\), a constant density of 1012 kg/m\(^3\) was defined. Furthermore, the temperature-dependent specific heat capacity was defined as published by Prieler et al. [24] (see Figure 11). In Figure 11 a de-hydration process caused by two chemical reactions can be identified at approx. 150\(^{\circ }\)C. These reactions are endothermic and the reaction enthalpy is considered by the increase of the specific heat. During the heating process some minor components of the gypsum are participating in chemical reactions too. However, the effect on the specific heat capacity is limited. It can be seen from Figure 11 that water vapour is released from the solid gypsum leading to a mass loss. This mass loss can be seen in Figure 12. The highest mass loss occurs due to the release of water vapour. Above 500°C the other components of gypsum release \(\text{CO}_{2},\) but the reduction of the mass is minor. Furthermore, the density of gypsum seems to increase during the heating process (see density values in Figure 12). This fact can be explained by the shrinkage of the gypsum during the de-hydration process. Here, it has to be mentioned that the specific heat capacity is related to the initial density. Thus, a fixed value for the density in the simulation is justified. In addition, the thermal conductivity of gypsum is shown in Figure 12. During the de-hydration process the thermal conductivity is reduced. However, during further heating the thermal conductivity increases due to the better connection between the gypsum crystals when they partially melt together [24].
Figure 11
Temperature-dependent specific heat capacity of gypsum [24]
Full size image
Figure12
Temperature-dependent thermal conductivity and mass loss of gypsum [24]
Full size image
In the thermal analysis of the door, especially the gypsum inside the door, only the heat conduction was considered, which is a simplification of the overall transport processes inside the gypsum and mineral wool. Prieler et al. [27] carried out a detailed study on numerical modelling of the heat transfer within gypsum exposed to fire. It was concluded that the water vapour mass transfer, the condensation/evaporation effects of water as well as the radiative heat transfer should be taken into account for an accurate prediction of the temperatures. The release of water vapour inside the steel shell of the door is increasing the pressure in the simulation. This pressure increase always led to numerical instabilities in the enclosure and no solution were obtained. Therefore, the simulation was limited to the heat conduction using the temperature-dependent material properties.

2.3.3 Brick and Mortar

In the wall only brick and mortar were used as building material. Thus, temperature-dependent material properties for brick and mortar are necessary. In the work from Nguyen and Meftah [16], the material properties for both building materials were summarized. In Table 2 the material properties for brick and mortar at ambient temperature are presented.
Table 2
Material Properties of Brick and Mortar at Ambient Temperature According to [16]
Property
Brick
Mortar
Density [kg/m\(^3\)]
2100
1500
Thermal conductivity [W/(m K)]
0.7
1.5
Specific heat capacity [J/(kg K)]
870
1000
Elastic modulus [\(\times 10^6\) Pa]
11,000
3000
Poisson ratio [–]
0.22
0.25
Thermal expansion coefficient [\(\times 10^{-6}\) K\(^{-1}\)]
5.25
10
Referred to the material properties at ambient temperature, the temperature-dependent material properties are presented in Figures 13, 14 and 15. Figure 13 shows the specific heat capacity for brick and mortar. Similar to gypsum, an increase of the specific heat can be detected right above 100\(^{\circ }\)C, where a de-hydration process in the material occurs. Also the thermal conductivity of brick and mortar decreases at higher temperatures due to the de-hydration process (see Figure 14). In contrast to gypsum, an increase of the thermal conductivity at higher temperature was not observed for brick and mortar. In addition, the temperature-dependent thermal expansion as well as the elastic modulus of brick and mortar are presented in Figure 15. The thermal expansion coefficient for brick and mortar starts to increase at the beginning of the heating process, with its maximum at approx. 500\(^{\circ }\)C (mortar) and 600\(^{\circ }\)C (brick). After the peak value the thermal expansion coefficient decreases to the initial value. The elastic modulus of mortar shows a steadily decreasing value at higher temperature levels. In contrast, the value of the elastic modulus for brick increases during the heating process until the elastic modulus is approx. 1.75 times higher compared to ambient temperature. When the temperature is above 800\(^{\circ }\)C the value of the elastic modulus drops significantly.
Figure 13
Normalized temperature-dependent specific heat capacity of brick and mortar based on ambient temperature [16]
Full size image
Figure 14
Normalized temperature-dependent thermal conductivity of brick and mortar based on ambient temperature [16]
Full size image
Figure 15
Normalized temperature-dependent thermal expansion and elastic modulus of brick and mortar based on ambient temperature [16]
Full size image

3 Numerical Methodology

As mentioned in “Brick Walls Under Fire Exposure” section, numerical approaches to consider the thermal and structural analysis were limited to the masonry brick wall (e.g. [17]) or the test specimen (e.g. [23]) alone. However, the mechanical interaction between the wall and the test specimen (door in the present case) has to be considered for an accurate prediction of the fire response (see [26, 29]). Thus, the focus of the numerical methodology was on the mechanical interaction between the masonry brick wall and the test specimen as highlighted in Figure 16. The gas phase combustion inside the fire resistance test furnace was not considered. Instead, a thermal boundary condition at the fire exposed side was defined in accordance to the measured temperature in the furnace. In the present study the thermal analysis was carried out before the structural analysis. As a consequence, there are two different simulations also using different numerical grids (see “Numerical Grid and Boundary Conditions” and “Radiative Heat Transfer in the Brick Voids” sections). The following issues will be addressed by the numerical methodology:
  • Prediction of the heat transfer in the steel door (gypsum, mineral wool and steel) and the wall (heat conduction and thermal radiation in the voids of the bricks)
  • Mechanical interaction between the solid parts (bricks, mortar, steel door)
  • Deformation of the wall and the door as well as the gap formation between the solid parts
Figure 16
Numerical methodology of the present study
Full size image
For the thermal and structural analysis the finite element method (FEM) with the commercial software package ANSYS Mechanical [4] was used. Furthermore, the porous materials gypsum and mineral wool were treated as continuum in the simulation. The solid material of the brick is also porous, but was treated as continuum in the thermal and structural analysis. However, the large voids in the brick (air in the vertical hollows) were considered in both simulations, thus, the thermal radiative heat transfer in the brick’s voids had to be taken into account (see “Radiative Heat Transfer in the Brick Voids” section).

3.1 Heat Transfer in the Wall and the Test Specimen

In the wall (bricks and mortar) the heat transfer occurs by simple heat conduction in accordance to Equation 1, where \(\rho\) is the density of the brick/mortar, t is the time, T is the temperature and \(\lambda\) is the thermal conductivity. The variable h denotes the enthalpy, which is presented in Equation 2. In Equation 2, \(c_p\) is the specific heat capacity. The thermal properties for brick and mortar are already described in “Brick and Mortar” section. Furthermore, thermal radiative heat transfer inside the voids is contributing to the overall heat transfer in the bricks. The radiation modelling will be discussed later in “Radiative Heat Transfer in the Brick Voids” section.
$$\begin{aligned} \frac{\partial (\rho \cdot h)}{\partial t}= & \nabla \cdot (\lambda \cdot \nabla T) \end{aligned}$$
(1)
$$\begin{aligned} h= & \int _{T_{ref}}^{T} c_{p}\cdot dT \end{aligned}$$
(2)
The heat transfer through the steel door is considered as heat conduction using the Equations 1 and 2 with the material properties for steel (see “Steel” section) and mineral wool/gypsum (see “Gypsum and Mineral Wool” section). It has to be mentioned that the heat transfer through the porous structures of mineral wool and gypsum is not limited to the heat conduction, which was determined in [24, 27]. In addition to the heat conduction also the chemical reactions, water vapour transport, condensation/evaporation effects and the thermal radiative heat transfer has to be taken into account, which was not done in the present study due to convergence problems (see “Gypsum and Mineral Wool” section). It was found in the aforementioned studies that the water vapour transport and condensation effects increases the heat transfer to the fire unexposed side at the beginning of the FRT. Since these effects were neglected, it can be estimated that the predicted temperature at the centre of the door’s fire unexposed side will be under-predicted compared to the measured temperature.

3.1.1 Numerical Grid and Boundary Conditions

For the thermal analysis of the brick wall a single brick with the voids was considered (see Figure 17). In addition, the geometry, which was used for the simulation, also considers a small part of the neighbouring bricks (see green and brown zone in Figure 17). The numerical grid for the thermal analysis of the brick wall consists of approx. 19,000 cells (mainly hexahedrons and a minor number of tetrahedrons). For the tetrahedrons SOLID87 elements were used in ANSYS, which are 3-dimensional elements with 10 nodes. In contrast, the hexahedrons were 3-dimensional elements with 20 nodes (SOLID90). The same element types were used for the thermal analysis of the steel door. A detailed description of the element types can be found in [3]. In the solid cells the energy equation (see Equation 1) with the corresponding material properties was solved. Furthermore, the radiative heat transfer in the voids was predicted (see “Radiative Heat Transfer in the Brick Voids” section). Although the voids of the bricks are irregularly shaped, the heat transfer through the brick can be seen as 1-dimensional. This can be seen in Figure 27, in which the temperature front temperature front develops homogeneously over the length of the brick (not x-direction). Therefore, the calculated temperatures in the brick were used to derive a polynomial function depending on the time and the position (x-direction; \(x = 0\) stands for the fire exposed side) in the brick. This polynomial function was later applied for the structural analysis. The advantage of using a polynomial function is that in the structural analysis the local temperature at each node can be easily calculated for each time step, and no data transfer from the thermal to the structural analysis is necessary. As a consequence, the memory usage and the calculation time can be decreased. Furthermore, for the thermal analysis of the wall only the thermal analysis of one brick is needed, which allows a fine grid to be used in the thermal analysis avoiding a high calculation time.
Figure 17
Numerical grid for the simulation of the heat transfer through the brick (shown without mortar)
Full size image
The heat transfer through the test specimen (steel door) was simulated separately. The numerical grid for the steel door was made of tetrahedrons with an overall number of approx. 92,000 cells. Similar to the brick wall, the energy equation from Equation 1 was used with the corresponding material properties. At the door’s centre the heat transfer through the steel shell, the gypsum board and the mineral wool can be assumed as 1-dimensional. However, the heat transfer at the door’s edges and corners is 3-dimensional. This is caused by the geometry of the door’s debate. Furthermore, the heat transfer at the edges and corners of the door is faster compared to the door’s centre because of the higher thermal conductivity of the steel shell (thermal bridge). This can be seen in Figure 24. In a distance of 25 mm from the door’s edges and corners (see P1 and P6) the temperature is significantly higher compared to the centre of the door or in a distance of 100 mm from the edges (see P2, P4 and P5). The measured temperatures in all cases (DC, DL and DR) showed the same trend, which clearly indicates that the heat transfer cannot be approximated as 1-dimensional. Since the heat transfer through the door is 3-dimensional, an adequate polynomial function of the temperature in the door cannot be derived for the structural analysis. Therefore, another method was used to transfer the calculated temperatures from the thermal to the structural analysis. For this purpose, the temperature data for each time step at each position in the door were stored in data files. In the structural analysis the thermal expansion of the door will be calculated based on the temperature data stored in the files. It has to be mentioned that the numerical grid for the thermal and structural analysis are different. Therefore, the temperature data have to be mapped on the numerical grid for the structural analysis using a profile preserved methodology. More detailed information about the data transfer from the thermal to the structural analysis using data files can be found in Prieler et al. [22, 23]. It has to be mentioned that this methodology is more demanding in terms of memory usage and calculation time compared to the application of the polynomial function used for the brick wall.
For both simulations (brick wall and test specimen) the same boundary conditions were applied. At the fire exposed side (e.g. position \(x = 0\) in Figure 17) the measured temperature at the plate thermocouples inside the furnace were used in conjunction with a convective heat transfer coefficient of 25 W/(m\(^{2}\) K). In addition to the convective boundary condition, a radiative boundary condition was defined, where the measured temperature inside the furnace as well as an emissivity of the surface with a value of 0.9 were used. At the fire unexposed side a constant temperature of 20\(^{\circ }\)C was defined and the heat transfer coefficient as well as the surface emissivity were 4 W/(m\(^{2}\) K) and 0.9, respectively. The values for the heat transfer coefficient are highly dependent on the local flow situation. At the fire exposed side the value of 25 W/(m\(^{2}\) K) should represent the forced convection caused by the burnt gases inside the furnace. It is an average value considered as constant for the entire fire exposed surface. The value at the fire unexposed side represents the heat transfer caused by natural convection. For the emissivity the same constant value at both sides was assumed. At the fire unexposed side, the emissivity has a low effect, since the surface temperature there is at a moderate level until the end of the FRT. At the fire side the surface temperature is significantly changing over time, and, as a consequence, also the emissivity. A detailed knowledge about the temperature-dependent emissivity of the bricks is not available. Thus, a constant value of 0.9 was chosen.

3.1.2 Radiative Heat Transfer in the Brick Voids

For the radiative heat transfer in the voids of the brick the surface-to-surface (S2S) model was applied, which considers radiation exchange within an enclosure. The surfaces of the enclosure are assumed to be grey-diffuse surfaces, similar to the voids in the brick. The radiation exchange depends on the size of the surfaces (\(dA_{i}\) and \(dA_{j}\)), the distance between the surfaces (r) and their orientation (\(\theta _{i}\) and \(\theta _{j}\)) (see Figure 18). Based on these parameters the so-called view factor between the surfaces can be calculated (see Equation 3). The S2S model is valid only for non-participating media (optical thickness is 0), which is the case in the present study. More detailed information about the S2S model can be found in [2].
Figure 18
Calculating the view factor between two surfaces \(dA_{i}\) and \(dA_{j}\) in a distance of r [10]
Full size image
$$\begin{aligned} F_{ij} = \frac{1}{A_{i}} \int _{A_{i}} \int _{A_{j}} \frac{\cos {\theta _{i}} \cdot \cos {\theta _{j}}}{\pi \cdot r^{2}} \cdot dA_{i} \cdot dA_{i} \end{aligned}$$
(3)
Based on the view factor between the surfaces, the radiative heat transfer \(\dot{Q}_{ij}\) can be calculated in accordance with Equation 4. In Equation 4 the emissivity of the surfaces in the voids \(\epsilon _{i}\)/\(\epsilon _{j}\) were fixed with a value of 0.9. Furthermore, the variable \(\sigma\) in Equation 4 stands for the Stefan-Boltzmann constant. Although the number of voids per brick is quite high, the complexity of the void’s geometry is simple, which do not increase the calculation time significantly compared to the simple heat conduction through the brick without radiation.
$$\begin{aligned} \dot{Q}_{ij} = \frac{\sigma \cdot \left( T^{4}_{i} - T^{4}_{j}\right) }{\frac{1-\epsilon _{i}}{\epsilon _{i} \cdot A_{i}} + \frac{1}{A_{i} \cdot F_{ij}} + \frac{1-\epsilon _{j}}{\epsilon _{j} \cdot A_{j}}} \end{aligned}$$
(4)

3.2 Structural Analysis

In contrast to the thermal analysis, where the heat transfer through the brick and the door was simulated separately, the structural analysis considers the mechanical response of both simultaneously. Thus, the mechanical interaction between the brick wall and the test specimen can be predicted.

3.2.1 Numerical Grid, Boundary Conditions and Other Numerical Settings

The geometry for the structural analysis consists of the concrete frame, where the wall construction was embedded. The frame in the model was separated into four parts as shown in Figure 19 (left). Furthermore, the rows of brick as well as the mortar layers between the rows were considered in the model. In Figure 19 the case DC with the door in the central position is shown with its corresponding numerical grid on the right hand side. The overall number of cells for the numerical grid was approx. 180,000, with a coarse mesh for the concrete frame, since these parts were considered as rigid bodies in the simulation. In contrast, a fine mesh was used for the steel door with approx. 110,000 cells (tetrahedrons). For the wall (bricks and mortar) the numerical grid was made of approx. 55,000 hexahedrons/wedges. The bricks in the structural analysis were modelled in the same way as in the thermal analysis including the voids. In contrast, the mortar layers were treated as continuum. However, the numerical grid in the wall region around the lintel was made of tetrahedrons. For the tetrahedrons in the structural analysis the element type was a 3-dimensional element with 10 nodes (SOLID187 in ANSYS). The hexahedrons were a 20-node homogeneous structural solid element (SOLID 186) (see [3]).
Figure 19
Geometry and numerical grid of the brick wall and test specimen (steel door) for the structural analysis of the case DC
Full size image
As mentioned above, the concrete blocks were treated as rigid bodies in the simulation. The block at the bottom was defined with a fixed support (no movement possible). Although the concrete blocks were treated as rigid bodies, they can also be displaced during the heating process and due to the expansion of the brick wall. Thus, an elastic support at the concrete blocks at left and right hand side of the wall was defined with a value of 1010 N/m3. This setting allows a small movement of the concrete frame. The thermal load for the wall and the steel door (time-dependent local temperatures) were used from the thermal analysis. For the brick wall a polynomial function was applied, whereas data files for each time step were used. In each data file the local temperatures in the steel were stored. In addition, a gravitational force was applied in vertical direction to take the body forces into account. Since water vapour is released from the gypsum board inside the steel shell of the door, the pressure inside the shell will increase. This effect was investigated in a previous study from Prieler et al. [25] and an over-pressure inside the steel shell of 0.15 bar was suggested. Therefore, an over-pressure inside the steel shell of 0.15 bar was fixed, which linearly increase from 0 to 0.15 bar within the first 800 s followed by a constant value of 0.15 bar. For the simulation an adaptive time-stepping method was applied with a minimum and maximum time step size of 0.066 and 60 s, respectively.
The material model for steel was defined by a linear elastic region, where the elastic modulus is temperature-dependent according to Table 1. Furthermore, in Table 1 the temperature-dependent Poisson ratio and thermal expansion coefficient are presented. The plasticity of the steel was defined as rate-independent with a multi-linear isotropic hardening as shown in Figure 8. The mineral wool inside the steel door was not considered in the structural analysis. This is caused by the low contribution of the mineral wool to the deformation process and the lack of mechanical data for mineral wool at higher temperature levels in literature. Also the gypsum inside the steel door was not taken into account. The main contribution to the deformation of the door is based on the high thermal expansion of the steel. In comparison the expansion of gypsum is low and only occurs until the de-hydration process starts. After the de-hydration occurs, the gypsum is shrinking, which can be seen by the increasing density during the mass loss from water vapour (see [24]). As a consequence, gypsum was not included in the structural model, which was also successfully done by Prieler et al. [22, 30]. For brick and mortar a linear-elastic material behaviour was defined, with the temperature-dependent values for the thermal expansion and elastic modulus (see Table 2). The Poisson ratio and density were constant as shown in “Brick and Mortar” section.

3.2.2 Contact Treatment Between the Solids

For an accurate prediction of the deformation of the wall and test specimen, the treatment of the contact faces between the wall and the door is crucial. Bonded contact faces were defined between the mortar layer and the masonry bricks. The door’s frame was fixed in the brick wall at several positions as shown in Figure 6 (left and centre). The fixed connections between the wall and the frame were covered by mortar as presented in Figure 6 (right). The mortar coverage was considered in the numerical model and the numerical grid for the mortar was made of tetrahedrons as highlighted in Figure 20. As a consequence, the contact faces between the wall, the mortar coverage and the connection of the door frame with the wall were defined as bonded contact. In Figure 7 the fixed connections between the door and the frame (hinges, bolts and door lock) are shown. In the numerical model, these connections were also considered as presented in Figure 21. Each bolt, hinge and the door lock was modelled and the contact face to the door frame was defined as bonded contact. In the simulation, the bonded contacts (fixed connections) were treated by the multi-point constraint (MPC) formulation (see [4]), which does not allow a sliding or separation (gap formation) during the structural analysis.
Figure 20
Numerical grid for the mortar coverage of the door frame for the structural analysis of the case DC
Full size image
Figure 21
Modelling of the hinges, security bolts and the door lock
Full size image
The concrete blocks (concrete frame) are in contact with the masonry bricks and the mortar layers at the beginning of the FRT. These contact faces were defined as frictional contacts. Besides the bolts, hinges and the door lock, other faces can get in contact or can be separated due to the thermal expansion (deformation) of the door and the wall during the FRT. Therefore, the contact faces between the door and the frame were defined as frictional contacts, which allows a the contact face to collide or separate from each other. As a consequence, gap formation can occur and flue gas can exit the testing furnace. For the separation and collision of the contact faces between the door and the frame a detection method was applied to avoid (or limit) the possible penetration of the solid bodies or define them as completely separated. For this purpose, the augmented Lagrange method proposed by Simo and Laursen [33] was used for all frictional contact definitions. This approach is a penalty-based methodology introducing normal and perpendicular forces. These forces are leading to an additional virtual work (penalty) in the numerical model, which increases with a higher penetration of the solid bodies. Thus, penetration between the frictional contacts is allowed but was kept to a minimum due to the contact stiffness with a value of 0.1. Increasing the contact stiffness would lead to a lower penetration between the solid bodies by increasing the virtual work, however, the numerical stability would suffer from this setting. Nevertheless, the maximum penetration between the solid bodies in all simulations was approx. 0.03 mm, which was assumed to be sufficient for the present study. With the definition of the contact faces between the door leaf and the frame as frictional, the possible gap formation during the FRT can be predicted.
It has to be mentioned that the contact faces between the bricks within a row were defined as bonded (fixed) contact, although there is no mortar between the bricks and a relative movement between the bricks would be possible. In the study of Prieler et al. [28] the deformation of a row made of bricks was investigated numerically. Two simulations were carried out with (i) a fixed contact and (ii) frictional contact between the bricks. It was found that the deformation of the row of bricks was not affected by the contact treatment between the bricks. Since the calculation time significantly increase with the number of frictional (sliding) faces, the contact between the bricks was defined as bonded (fixed) contact using the MPC formulation.
For a better overview, in Table 3 all contact treatments used in the numerical model were summarized. It can be seen that many of the contacts were treated as bonded, especially fixed connections between the door and its frame as well as the frame and the brick wall. This is caused by the way the experimental setup was built as shown in Figures 6 and 7. The mortar layer between the rows of bricks was also treated. Based on the work of Prieler et al. [28] also the connections between the bricks were treated as bonded. Contacts with sliding or separating faces were defined between the door and its frame, where no fixed connections (bolts etc.) were arranged. At these faces gap formation can occur (also observed in the experiment), therefore, the frictional contact with possible face separation was appropriate. Furthermore, the frictional contact between the door’s frame and the bricks, where no fixed connections were placed, was defined.
Table 3
Overview About Contact Treatments in the Structural Analyses
Contact faces
Type of contact
Contact formulation
Other properties
Concrete blocks/bricks
Frictional contact
Augmented Lagrange
Friction coeff. 0.2/separation allowed
Brick/brick
Bonded
MPC
No separation allowed
Bricks/mortar layers
Bonded
MPC
No separation allowed
Fixed connections door frame/brick (see Figure 6)
Bonded
MPC
No separation allowed
Other contacts door frame/brick
Frictional contact
Augmented Lagrange
Friction coeff. 0.2/separation allowed
Mortar coverage/brick (see Figures 6, 20)
Bonded
MPC
No separation allowed
Hinges or bolts/door frame (see Figures 7, 21)
Bonded
MPC
No separation allowed
Door lock/door frame (see Figures 7, 21)
Bonded
MPC
No separation allowed
Contacts door frame/door leaf
Frictional contact
Augmented Lagrange
Friction coeff. 0.2/separation allowed

3.3 Shortcomings of the Proposed Methodology

Despite the complexity of the proposed methodology for the thermal and structural analysis of the masonry brick wall and the steel door, there are still some simplifications and shortcomings:
  • Within the steel shell of the door the gypsum boards release water vapour during the heating process, which will be transported through the porous structure of gypsum and mineral wool. Furthermore, water vapour can get in contact with the cooler steel shell at the fire unexposed side leading to condensation. Caused by the faster transport of water vapour and release of the latent heat from the condensation the heating rate at the steel shell will be improved. For the thermal analysis only the heat conduction was considered as mentioned in “Heat Transfer in the Wall and the Test Specimen” section, which will lead to a lower temperature at the door’s centre in the simulation.
  • The fixed connections between the door leaf and the frame (bolts, hinges and lock) cannot separate in the simulation. However, in the real FRT a failure of these components cannot be excluded, but was not observed during the FRT.
  • Although the gap formation will be predicted by the numerical methodology, no direct flue gas leakage can be calculated, since the gas phase combustion was not part of the study (compare Figure 16).
  • In the numerical model the intumescent material between the door leaf and the frame was neglected.
  • Due to the water vapour release of the gypsum board, the pressure inside the steel shell of the door increases. Thus, an over-pressure of 0.15 bar was set in the structural analysis, which was based on [25]. However, the value for the over-pressure depends on the capability of the door construction to keep the released water vapour and the expanding air inside the steel shell. The determination of the accurate over-pressure in the steel shell of the door would be possible when also considering the water vapour inside the door in the numerical model or conducting additional experiments with pressure measurement inside the door.
  • Although the concrete frame, where the brick wall is embedded, is not exposed to the fire in the furnace, it is heated up by heat conduction. Furthermore, a steel construction is fixed around the concrete frame. Both issues makes it difficult to determine the stiffness of the frame and its value for the elastic support, which was defined with 1010 N/m3 (see “Numerical Grid, Boundary Conditions and Other Numerical Settings” section).
Considering the last two points above, a parameter study in “Deformation of the Steel Door (Case DC)”, “Effect of the Stiffness of the Concrete Frame (Case DL and DR)” and Effect of the Pressure Inside the Steel Shell (Case DL and DR)” sections is presented to reveal the effect of the pressure inside the steel door and the stiffness of the elastic support of the concrete frame.

4 Results and Discussion

In this section the numerical results will be discussed and compared to the experimental data. In “Temperature Inside the Furnace and at the Test Specimen” section the measured temperature inside the furnace (gas temperature) and the temperature at the fire unexposed side of the door are presented. The thermal analysis of the brick wall will be discussed in “Temperature in the Masonry Brick Wall” section including the validation of the thermal model (see “Validation of the Heat Transfer Model for the Wall” section) using data from literature. The predicted and measured deformation of the test specimen (steel door) are shown in “Structural Analysis When the Door is in Central Position (Case DC)” section, where also the effect of the pressure increase inside the steel shell will be discussed. It has to be mentioned that the presented results (deformation) comprise the effects of the mechanical (gravitational forces) and thermal load. Furthermore, in “Structural Analysis for the Case DL and DR” section the wall deformation and the effect of the elastic support of the concrete frame around the wall is highlighted. Due to the treatment of the contact faces between the wall and the door, the gap formation between these parts were determined in “Adapted Boundary Conditions and Gap Modelling” section.

4.1 Temperature Inside the Furnace and at the Test Specimen

As mentioned in “Numerical Grid and Boundary Conditions” section, the temperature at the fire exposed side of the wall and the door was used as boundary condition for the thermal analysis. The time-dependent temperature trend was defined as measured during the FRTs. For this purpose, the average value of all 12 plate thermocouples were used. In Figure 22 the measured average temperatures for the FRTs are presented and will be used as boundary condition in the thermal analysis.
Figure 22
Measured average gas temperature inside the furnace for all FRTs
Full size image
In Figure 23 the measured and predicted temperatures at door’s fire unexposed side are presented for the FRT DC. As mentioned above, for the thermal analysis the measured average gas temperature in the furnace (see Figure 22) was used. Since the measured temperature was similar in all FRTs, the results of the thermal analysis showed negligible differences. Furthermore, the observed temperatures at the fire unexposed side of the door were in close accordance between the three FRTs. As a consequence, in Figure 23 only the FRT DC is presented. Highest differences were observed in a distance of 25 mm from the edge/corner (P1 and P6).
At the door’s edge/corner (P1 and P6) the predicted temperatures (dashed lines) were significantly higher than in the measurement. This means that the heat conduction in the steel shell of the door was over-predicted in the simulation. In contrast to the numerical model, in the experimental setup an intumescent material was placed at the steel shell of the door. This material consumes energy caused by chemical reactions followed by an expansion of the material. Subsequently, the expanding material is sealing the gap between the door and the wall until a certain level of gap formation. Due to the neglected intumescent material in the numerical model the heat transfer at the edges/corners (thermal bridge) was higher. Furthermore, water vapour from gypsum can also get in contact with theses faces of the steel shell, leading to an additional cooling not considered in the simulation. Considering the measurement positions in a distance of 100 mm from the edges/corners (P2, P4 and P5), the predicted temperatures showed a close agreement with the measured data during the entire testing time of 40 min. At the centre of the door, the heat transfer can be seen as 1-dimensional through the steel, gypsum and mineral wool (P3). Here, the simulation showed a temperature after 40 min testing time of 52°C, which is clearly below the measured value of 90°C. The heat transfer at the door’s centre is highly affected by the presence of water vapour in the porous structure of gypsum and mineral wool. The water vapour, which is released from the gypsum during the heating process, is transported to the fire unexposed side. This transport process is faster than the heat conduction through the door. At the fire unexposed side the water vapour condenses, releasing a high amount of heat locally. Since this effect was neglected in the simulation, although a methodology to consider this effect in the numerical model is available [27] (see “Gypsum and Mineral Wool” section), the heat transfer in the thermal analysis was under-predicted.
In Figure 24 the measured temperatures at the end of the testing time (40 min) for all cases (DC, DR and DL) are summarized and compared to the simulation of case DC. The simulations for the other cases showed the same results caused by the very similar temperature boundary condition. At the door centre (P3) it can be seen that the predicted temperature in the simulation is too low. In a distance of 100 mm from the edges/corners (P2, P4 and P5) the simulation results showed a good agreement with all measured data. Additionally, the observed temperatures between the different FRTs (DC, DR and DL) at the door’s centre and in a distance of 100 mm from the edges/corners are similar confirming the reproducibility of the standardized FRTs. In the vicinity of the edges/corners (P1 and P6) a significantly higher temperature was observed due to the thermal bridge from the steel shell. Despite the fact that near the edges the simulation slightly over-predicted the heat transfer through the steel shell (see P1 for DC and DL) the deviation between the simulation and measurement is more dominant at the corners (see P6).
Although there are some clear shortcomings of the numerical model for the thermal analysis of the steel door, the predicted temperatures can be used for the following structural analysis of the overall construction.
Figure 23
Measured and simulated temperatures at the door’s fire unexposed side for the case DC
Full size image
Figure 24
Measured and simulated temperatures at the door’s fire unexposed side after 40 min testing time
Full size image

4.2 Temperature in the Masonry Brick Wall

In addition to the thermal analysis of the steel door, the temperatures in the brick wall are crucial for the following structural analysis. However, no temperature measurement at certain depths in the brick wall or the fire unexposed side were carried out. Thus, the numerical model for the thermal analysis was validated using data from literature. The validation process will be presented in “Validation of the Heat Transfer Model for the Wall” section and the thermal model was further applied for the masonry brick wall used in the present study (see “Predicted Temperatures in the Masonry Brick Wall Used in the Present Study” section).

4.2.1 Validation of the Heat Transfer Model for the Wall

Since no temperature measurement was carried out in the brick wall during the FRTs, the data from the study of Nguyen et al. [17] were used to validate the numerical model for the thermal analysis. For this purpose, the reference brick type shown in Figure 25 was considered. From the fire exposed side (\(x=0\)) to the fire unexposed side the distance in x-direction was 200 mm. In x-direction the brick has four cavities with a cross-section of \(40 \times 40\) mm. Each cavity was separated from each other by 8 mm thick brick material. Nguyen et al. [17] presented numerical and experimental results for the heat transfer through this brick type, where a close accordance between predicted and measured values was determined. Therefore, the data from Nguyen et al. can be used for the validation of the thermal model in the present study.
Figure 25
Brick type for the validation of the thermal model for the wall based on the work of Nguyen et al. [17]
Full size image
In Figure 26 the numerical results from Nguyen et al. (solid lines) and from the present model (dashed lines) were compared and presented for three different testing times. After 10 min the fire exposed side of the brick has a temperature of approx. 700°C and in a distance of 75 mm from the fire the brick’s temperature was at ambient level. With increasing testing time (30 min) the heat is transported closer to the ambient side (approx. 160 mm). Up to 30 min testing time it can be seen that the thermal model predicted similar results compared the data from Nguyen et al., although it seems that the temperature decrease from the fire side to ambient level is slightly faster in the present simulation. Furthermore, a close accordance between the work of Nguyen et al. and the numerical can be determined after 180 min. The results showed that the numerical model is capable to predict the heat transfer through bricks including the radiative heat transfer within the voids with high accuracy and it can be used for the simulation of the FRTs in “Predicted Temperatures in the Masonry Brick Wall Used in the Present Study” section.
Figure 26
Predicted temperatures in the reference brick (see Figure 25) from Nguyen et al. [17] and the present thermal model when the brick is exposed to standard fire conditions in a FRT
Full size image

4.2.2 Predicted Temperatures in the Masonry Brick Wall Used in the Present Study

The thermal model was subsequently used for the heat transfer in the brick wall. Figure 27 shows the temperatures within one brick as an example after 16, 30 and 40 min testing time. It can be seen that the temperature increase within the brick is limited to approx. 1/3 of the thickness after 16 min. With increasing testing the front, where the temperature starts to increase above ambient temperature (> 20°C), is shifted to the middle of the brick (see Figure 27 after 30 min). At the end of the FRT (40 min) the heating front (temperature above ambient temperature) did not reach the fire unexposed side and the brick wall is not entirely heated. Furthermore, it can be observed in Figure 27 that the heating front is at the same position along the width of the brick, which confirms the hypothesis of a nearly 1-dimensional heat transfer through the brick wall, which was made in “Numerical Grid and Boundary Conditions” section. Thus, a polynomial function can be derived, depending on the position x in the brick and the testing time, for the structural analysis of the wall. The surface plot for the predicted temperature in the brick based on the position x and the time is shown in Figure 28. This plot is the basis for the polynomial function applied in the structural analysis in the following sections.
Figure 27
Temperature in the brick during the fire exposure after 16, 30 and 40 min
Full size image
Figure 28
Predicted temperatures in the brick wall depending on the testing time and the position in x-direction
Full size image

4.3 Structural Analysis When the Door is in Central Position (Case DC)

For all structural analysis carried out in this studies the deformation of the wall and the steel door will be presented and compared to the measured data. At this point it has to be mentioned that negative deformation values represent a deformation to the fire exposed side (to the furnace side). In contrast, a positive value means that the deformation is to the fire unexposed side (ambient side).
In the present section the deformation of the steel door (see “Deformation of the Steel Door (Case DC)” section) and the brick wall (see “Deformation of the Brick Wall (Case DC)” section) will be presented for the case when the door is in central position DC. Furthermore, the effect of the pressure increase inside the steel door, caused by the release of water vapour from gypsum, will be analysed in “Effect of the Pressure Inside the Steel Casing of the Door (Case DC)” section.

4.3.1 Deformation of the Steel Door (Case DC)

The deformation of the door at the upper edge (D_A, D_B and D_C) is shown in Figure 29 (left). On the door’s left hand side (D_A) and central position (D_B) it can be seen that the deformation was about − 7 to − 15 mm to the fire exposed side in the FRT. Despite the fact that the deformation was also predicted to the fire exposed side the magnitude of the deformation in the simulation was about twice as large as in the experiment. Here, the numerical method over-predicts the magnitude of the deformation clearly. In contrast, the deformation at D_C is at a lower level (between ± 5 mm). Also at this position the deformation is calculated by the simulation with a higher magnitude to the fire exposed side (negative value).
At the door’s half height (D_D, D_E and D_F) the magnitude of the predicted deformation is in a better agreement to the measured data (see Figure 29 (right)). The measured data at the left and right hand side of the door showed a deformation to the fire exposed side between − 10 mm and − 22 mm (D_D and D_F). It was observed that the final magnitude of the deformation is already reached after approx. 15 min. This was not seen in the simulation. In the simulation the deformation increases nearly linear with progressive duration. However, the magnitude of the deformation is in good agreement to the measured data with values of − 11 (D_D) and − 15 mm (D_F). At the door’s centre a slight deformation to the fire exposed side was observed at the beginning of the FRT. After 15 min the door started to deform in the other direction, which can be explained by the beginning of the water vapour release from gypsum inside the steel shell. As a consequence, the pressure inside the shell increased and a deformation to the fire unexposed side was observed at D_E. In the simulation a linear pressure increase from the beginning to 800 s was defined, reaching the final pressure of 0.15 bar. Due to defined pressure increase inside the steel shell in the simulation, the deformation of the door’s centre was to the fire unexposed side from the beginning. After the phase of constant pressure in the simulation (0.15 bar in the shell) the deformation started to decrease linearly leading to a lower deformation at the end of the testing time (40 min). It can be seen that the pressure inside the steel shell is essential for the accurate prediction of the deformation at the door’s half height. First, it seems that the release of water vapour starts at a later time step than defined in the simulation leading to a slight deformation to the fire exposed side first. Furthermore, it can be seen from the simulation that the assumption of a constant pressure of 0.15 bar is not correct because the deformation gradually decreases, which was not the case in the experiment. This means that the pressure inside the steel shell is still increasing until the end of the FRT. Nevertheless, the structural analysis is also capable to consider the pressure inside the steel door, but for a more accurate prediction further investigations about the correct pressure level and time-dependent trend of the pressure have to be done in the future.
At the lower part of the door the deformation at the centre (D_H) was to the fire exposed side with approx. −9 mm after 40 min (see Figure 30). Here, the simulation predicted a higher deformation of about − 18 mm. In contrast, a deformation to the fire unexposed side was determined in the FRT at D_G and D_I, whereas hardly any deformation was calculated by the simulation.
Figure 29
Measured and calculated deformation of the door when the door is in the central position (DC)
Full size image
Figure 30
Measured and calculated deformation of the door when the door is in the central position (DC) after 40 min testing time
Full size image

4.3.2 Deformation of the Brick Wall (Case DC)

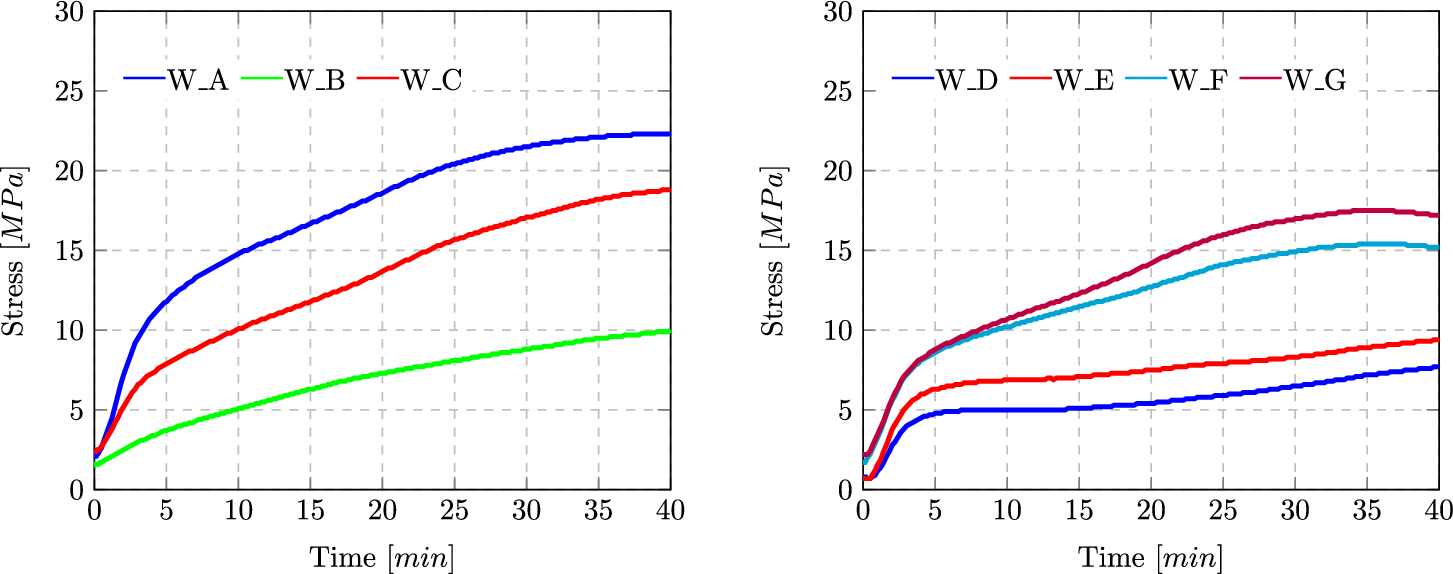
Similar to the deformation of the steel door, the deformation of the wall at the door’s upper edge was over-predicted by the simulation as it can be seen in Figure 31 (left). After starting the fire test the deformation of the wall at the upper edge was to the fire exposed side with a slow increase of the magnitude up to approx. 5 mm (at 15 min). Until approx. 15 min testing time a close accordance between the measured and calculated deformation can be observed. After 15 min the deformation in the experiment shows a slight reverse bowing caused by the mechanical load of the expanding door until the end of the FRT. However, the simulation showed a still increasing deformation to the fire unexposed side leading to a higher deformation of approx. 10 mm compared to the measurement. The reverse bowing is not predicted by the simulation. It was stated in “Deformation of the Steel Door (Case DC)” section that the door’s deformation at the upper part is higher with about 7 to 15 mm. Compensating the deformation error between measurement and simulation of the wall with 10 mm would lead to better results even for the door’s deformation. The results at the door’s half height, presented in Figure 31 (right), showed a good agreement between the FRT and the simulation for the entire testing time of 40 min. At the beginning of the FRT a deformation to the fire exposed side can be observed. Furthermore, simulation and measurement determined a higher deformation rate compared to the door’s upper edge, leading to a deformation of approx. − 15 mm after 15 min. Although the simulation is in good agreement with the measurement, the predicted deformation rate at the beginning was slightly higher compared to the simulation. After 15 min the deformation is still increasing but at a lower rate, which is in contrast to the door’s upper edge at which the deformation was decreasing (reverse bowing). At the bottom of the wall hardly any deformation was observed and calculated (see W_G and W_H in Figure 34). In Figure 32 the calculated stresses at the brick wall are shown. The stresses at the beginning are caused by the gravitational forces. After the start of the FRT the stresses at all points increases. The lowest rate is observed at W_B, which is located at the centre of the door’s upper edge. Until the end of the FRT the increase there is quite linear with a final value of approx. 10 MPa. For the other observation points, the time-dependent stress pattern is slightly different. For these positions the increase on the stresses is faster until 5 min testing time. At position W_A, W_C, W_F and W_G the stress increase after 5 min is quite linear reaching its maximum after approx. 35 min. From 35 min until the end of the FRT the stresses are constant or are even decreasing a little bit. The maximum stress was detected at W_A, which is located at the door’s upper edge, with a value of 22 MPa. At W_D and W_E the increase of the stresses is at a much lower rate after 5 min compared to the other positions. In addition to the time-dependent plots of the stresses, Figure 33 shows the stresses at the end of the FRT for the fire unexposed (left) and fire exposed side (right). At the fire unexposed side it is confirmed by the contour plot that the highest stresses occur at the upper corners of the door. This is also the case for the fire exposed side. In the wall region above the door level the stresses are higher compared to the door’s half height. In contrast, when considering the fire unexposed side, the stresses in the wall region above the door are lower compared to the door’s half height.
Overall, a better prediction of the deformation of the wall at the upper edge of the door would lead to more accurate prediction of the door’s deformation as well. In contrast, the predicted deformation of the wall at W_D and W_E represented the real FRT in close accordance.
Figure 31
Measured and calculated deformation of the brick wall when the door is in the central position (DC)
Full size image
Figure 32
Calculated stresses at the wall’s deformation measurement positions for the case DC
Full size image
Figure 33
Contour plots of the calculated stresses of the brick wall and steel door for case DC after 40 min with view from the fire unexposed side (left) and the fire exposed side (right)
Full size image

4.3.3 Effect of the Pressure Inside the Steel Casing of the Door (Case DC)

It was mentioned that the over-pressure inside the steel shell is caused by the release of water vapour from the gypsum. In this section the simulation results with an over-pressure of 0.15 bar are compared to the simulation without pressure inside the steel shell. In Figure 34 the deformation at the wall is shown. Considering the simulation results hardly any difference can be found. Thus, it can be concluded that the pressure inside the door has no effect on the deformation of the brick wall, which can also be seen in Figure 35. The contour plot of the wall deformation is very similar in both cases. In contrast, the steel door’s deformation is different at the door’s centre. Whereas the deformation was to the fire unexposed side with an over-pressure inside the door, the simulation predicted a high deformation in the wrong direction (fire exposed side) without pressure.
Figure 34
Measured deformation of the brick wall and simulation results with and without pressure inside the steel door when the door is in the central position (DC) after 40 min testing time
Full size image
Figure 35
Contour plot of the deformation of the brick wall and steel door after 40 min
Full size image

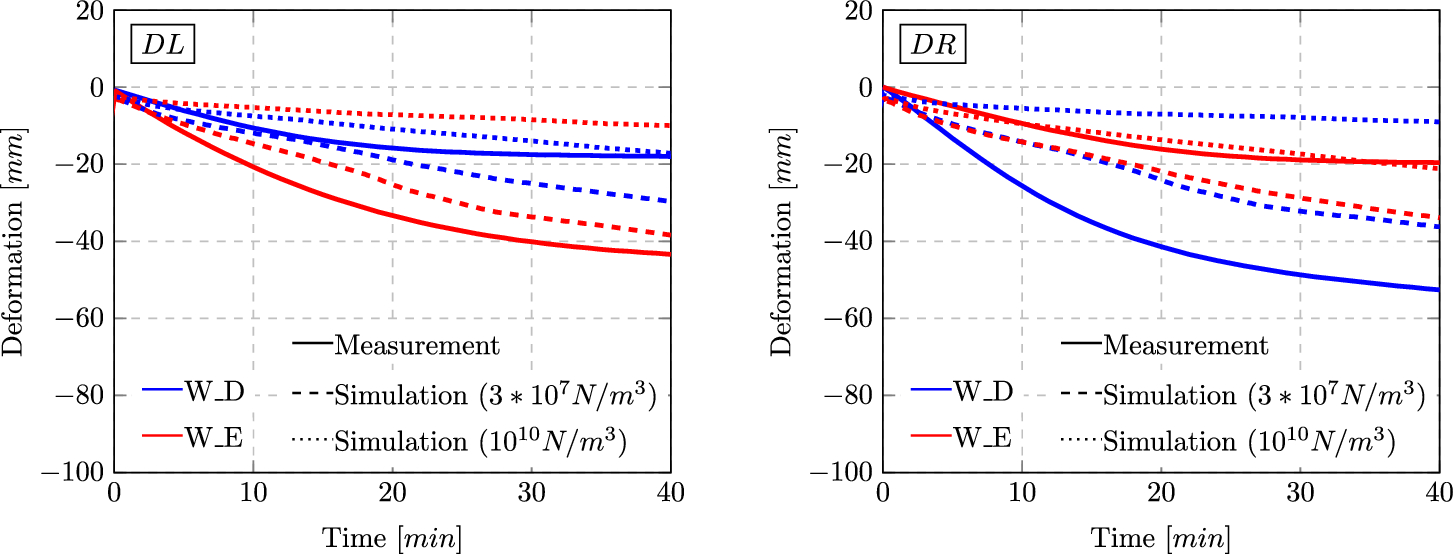
4.4 Structural Analysis for the Case DL and DR

Now, the cases DL and DR will be investigated (wall deformation in “Deformation of the Brick Wall (Case DL and DR)” section and door deformation in “Deformation of the Steel Door (Case DL and DR)” section) and compared to DC. Furthermore, the effect of the elastic support of the concrete frame as well as the pressure inside the steel shell of the door will be shown in “Effect of the Pressure Inside the Steel Casing of the Door (Case DC)” and “Effect of the Pressure Inside the Steel Shell (Case DL and DR)” sections.

4.4.1 Deformation of the Brick Wall (Case DL and DR)

In this section the deformation of the brick wall for the cases DL and DR will be analysed. The experimental and numerical results are presented in Figures 36 and 37. Considering the previous case DC it was found that the deformation of the wall was quite symmetric with similar deformation on both sides of the door with values of approx. −5 mm (door’s upper edge) and − 20 mm (door’s half height) after 40 min. However, when the door is placed in an asymmetric position a different deformation pattern was observed during the FRT. Now, at the upper edge the wall deformation was significantly higher in both cases (see Figure 36—Measurement). Furthermore, an asymmetric deformation pattern can be observed. For example, when the door was placed in the left position (case DL) the deformation near the wall at W_A is low compared to the measurement positions in the vicinity of the wall’s centre at W_B and W_C with a maximum deformation of about −40 mm after 40 min. For the case DR the maximum deformation is even higher with approx. − 50 mm at W_A. A similar behaviour can be determined at the door’s half height in Figure 37. In the experiment the deformation on both sides of the door corresponds quite well with the deformation of the associated measurement points at the door’s upper edge (e.g. W_E with W_C and W_D with W_A). From these results it can be seen that the deformation of the wall is higher when the test specimen is placed in an asymmetric position. Furthermore, the displacement is lower when the door is in the left position in case DL compared to DR. This difference between DL and DR can be explained by the number of fixed connections between the door and the frame/wall. For the case DL all bolts and hinges were placed near the concrete frame, where the construction is quite stiff. Thus, the mechanical interaction from the door to the wall has a lower effect, since this is compensated by the concrete frame. In contrast, there is only the door lock as fixed connection between the door and the wall, where the mechanical interaction can take place. Considering the case DR the bolts and hinges are near the centre of the wall construction, where the wall was already deformed by the thermal expansion itself. Due to the additional forces from the door via the fixed connections a higher deformation in DR was observed compared to the case DL. Considering the deformation history in the experiments, both cases DL and DR showed the same trend. The measurement positions near the concrete frame (W_A and W_D for the case DL as well as W_C and W_E for the case DR) are steadily increasing up to 20–30 min. After that time the deformation remains constant with values of about − 20 mm. The deformation history at the other edge of the door (W_C and W_E for the case DL as well as W_A and W_D for the case DR) is similar, but with a higher deformation rate up to 20–30 min. However, after this time the deformation at these positions are still increasing but at a much lower rate.
Also numerical simulations for the cases DL and DR were carried out and the results are shown by the dashed lines in Figures 36 and 37. At the door’s upper edge hardly any deformation was predicted by the simulation. At the door’s half height the maximum deformation at the measurement position near the wall’s centre was also under-predicted significantly. Only the measurement positions near the concrete frame showed a better agreement to the experimental data.
From these findings it can be determined that the deformation of the wall is highly affected when the wall is in an asymmetric position leading to an overall higher deformation of the wall. In addition, the simulation showed a much lower deformation compared to the measurement. It seems that this is caused by the stiffness of the concrete frame, which prevented the deformation of the wall in the simulation. This effect will be examined in “Effect of the Pressure Inside the Steel Casing of the Door (Case DC)” section. It is also possible that the mechanical interaction between the door and the wall could affect the deformation of the wall using inaccurate contact treatments. However, this assumption was disproved in Prieler et al. [30], where a similar study was carried out for stud walls without indication that the mechanical interaction between the door and the wall is responsible for an inaccurate deformation of the wall when the door is placed in an asymmetric position.
Figure 36
Measured and calculated deformation of the brick wall at the upper edge for the case DL and DR
Full size image
Figure 37
Measured and calculated deformation of the brick wall at the door’s half height for the case DL and DR
Full size image

4.4.2 Deformation of the Steel Door (Case DL and DR)

The deformation of the steel door placed in the left and right position within the wall construction are shown in the following figures. In Figure 38 the displacement of the measurement points at the upper part of the door is presented. In the experiment the deformation of the door was to the fire exposed side (negative value). In contrast to the case DC, where the maximum deformation to the fire exposed side was about − 15 mm (see Figure 29 (left)), there is a higher deformation to this side when the door is placed left or right hand side (see Figure 38). Furthermore, the maximum deformation was identified in central position (D_B) in both cases and at the corner in the vicinity to the wall’s centre (D_C for case DL and D_A for case DR). For the case DL the maximum deformation was approx. − 32 mm and the minimum was -13 mm at the end of the FRT. When the door was placed at the right hand side (case DR) the deformation was even higher with a maximum value of approx. -45 mm. It has to be mentioned that due to the vicinity of the measurement points D_A, D_B and D_C to the wall, the displacement is similar to the wall deformation.
In contrast to the experiment, the simulation showed no deformation to the fire exposed side at the door’s upper edge. Instead the simulation hardly calculated a displacement of these measurement points. Only for the central position at D_B the simulation predicted a clear deformation to the fire unexposed side, which was in the wrong direction compared to the FRT. This indicates that the defined over-pressure of 0.15 bar in the steel shell might be too high for these cases.
The deformation of the door at its half height for the cases DL and DR is presented in Figure 39. The central point at D_E showed a different behaviour between measurement and simulation. Whereas at the upper edge the deformation to the fire exposed side was high (see D_B), the deformation at D_E is much lower with values of -8 mm (case DL) and -11 mm (case DR) after 40 min. Furthermore, when these values are compared to the case DC (see Figure 29 (right)), it can be seen that the deformation at D_E is in the other direction. This means that the pressure inside the steel shell have to be lower compared to the case DC, which can be caused by a lower tightness level of the steel shell leading to an release of the water vapour to the ambient. This is one explanation for the high difference of the numerical results at D_E. In the simulation the deformation at D_E was calculated with about 60 mm to the fire unexposed side (positive value), as a result of the too high over-pressure of 0.15 bar.
Figure 38
Measured and calculated deformation of the door at the upper edge for the case DL and DR (pressure level in the simulation: 0.15 bar)
Full size image
Figure 39
Measured and calculated deformation of the door at its half height for the case DL and DR (pressure level in the simulation: 0.15 bar)
Full size image

4.4.3 Effect of the Stiffness of the Concrete Frame (Case DL and DR)

The results in “Deformation of the Brick Wall (Case DL and DR)” section clearly showed that the calculated deformation of the wall was too low compared to the measurement, which was explained by the boundary condition at the concrete frame (elastic support). Thus, the elastic support value of the concrete frame was decreased from \(10^{10}\) N/m3 (in case DC) to \(3 \times 10^{7}\) N/m3. This should allow a higher deformation of the wall in the cases DL and DR. In Figure 40 the displacement at W_A, W_B and W_C are highlighted. For the case DL it can be seen that the predicted deformation is in close accordance to the measured data when the elastic support of the concrete frame is less stiff (\(3 \times 10^{7}\) N/m3—soft). The good agreement to the measured data is related to the deformation magnitude as well as the deformation history. Also for the case DR the softer boundary condition improved the simulation results significantly. However, the results at W_A and W_B for the case DR indicates that the elastic support value can be further decreased to achieve even better results.
Figure 40
Measured and calculated deformation of the brick wall at the door’s upper edge for the case DL and DR for different elastic support in the simulation of \(3 \times 10^{7}\) N/m3 (soft) and 1010 N/m3 (stiff)
Full size image
At the door’s half height the calculated deformation of the brick wall (W_D and W_E) showed also a better agreement with the measured data (see Figure 41) when the elastic support of the concrete frame was less stiff (compare to “Deformation of the Brick Wall (Case DL and DR)” section). In both cases with a higher elastic support value (stiff) the simulation predicted a higher deformation near the concrete frame compared to the deformation in the vicinity of the wall’s centre (e.g. W_D was higher than W_E for the case DL). However, in the FRTs a contrary behaviour was observed. When the elastic support was decreased to \(3 \times 10^{7}\) N/m3 (soft), the predicted deformation in the vicinity of the wall’s centre was higher compared to the position near the concrete frame, which is in accordance with the experimental data (see Figure 41 (left) for case DL). Considering the case DL in Figure 41 (left) with a stiffness of \(3 \times 10^{7}\) N/m3, the deformation at both sides is increasing similar to the measured data at the beginning of the FRT. After the initial stage of the FRT, the deformation rate at W_D is much lower than at W_E leading to a clear difference between both sides of the door. Whereas the deformation at W_D is at a constant level after approx. 20 min, the deformation is still increasing at W_E. In contrast, the calculated deformation rate at both sides of the door is more similar to each other. This means that deformation at W_D is still increasing in the simulation but at a lower rate. At W_E the deformation rate is higher than predicted in the simulation. For the case DR a similar behaviour can be identified with an even higher difference between both sides of the door (between W_D and W_E). The simulation was not capable to predict this difference between W_D and W_E. In the simulation the deformation at W_D and W_E has quite the same magnitude and pattern.
Figure 41
Measured and calculated deformation of the brick wall at the door’s half height for the case DL and DR for different elastic support in the simulation of \(3 \times 10^{7}\) N/m3 (soft) and \(10^{10}\) N/m3 (stiff)
Full size image
As mentioned in “Deformation of the Brick Wall (Case DC)” section, the value for the elastic support of \(10^{10}\) N/m3 was adequate for the simulation of the case DC. In the case DC the wall and door are deforming quite symmetrically as it can be seen in the sketch of Figure 42. Thus, the deformation of the brick wall near the concrete frame results in low deformation angle \(\phi\). As a consequence, the stiff definition of the elastic support allows only a small deformation in the simulation, which was in accordance to the FRT of case DC. Considering the case DL the wall deformation is asymmetrical as shown by the red dashed line in Figure 43, and the wall deformation next to the concrete frame is leading to a higher deformation angle \(\phi\). This means that for the case DL the stiffness of the elastic support has to be reduced (in the present study to \(3 \times 10^{7}\) N/m3) to allow a higher deformation angle \(\phi\) in the simulation. Using the stiff conditions from case DC in case DL prevented a high deformation angle of the wall near the concrete frame. Thus, the deformation was too low in the cases DL and DR. In contrast, when the reduced stiffness was used for the case DC the deformation of the wall as well as the door was too high with its direction to the fire exposed side.
Figure 42
Schematic view on the deformation process in the vicinity of the concrete frame for the case DC with a higher elastic support
Full size image
Figure 43
Schematic view on the deformation process in the vicinity of the concrete frame for the case DL with a lower elastic support
Full size image

4.4.4 Effect of the Pressure Inside the Steel Shell (Case DL and DR)

Similar to the case DC the effect of the pressure inside the steel door was considered for the cases DL and DR. In this section only the results of the door’s deformation will be shown since it was found in “Effect of the Pressure Inside the Steel Casing of the Door (Case DC)” section that the pressure inside the door has no effect on the deformation of the wall. The simulations presented in Figures 44 and 45 were carried out with the elastic support of \(3 \times 10^{7}\) N/m3 (soft) and a reduced pressure in the steel door of 0.03 bar instead of 0.15 bar in “Deformation of the Steel Door (Case DL and DR)” section. In Figure 44 the deformation of the door at the upper part is presented. The simulated deformation of the points D_A and D_C is now to the fire exposed side in both cases. Due to the vicinity of these positions to the wall, the better agreement is more related to the elastic support and higher wall deformation. However, the point D_B showed a clear deformation to the fire unexposed side (positive value) when the pressure in the door was 0.15 bar (see Figure 38). Now, the deformation is to the fire exposed side, although an over-prediction can be determined compared to the measurement in the case DL. In contrast, the predicted deformation at the upper part of the door for case DR was in good agreement to the FRT.
Figure 44
Measured and calculated deformation of the door at the upper edge for the case DL and DR for an elastic support \(3 \times 10^{7}\) N/m3 (soft) and a pressure inside the door of 0.03 bar
Full size image
Figure 45 shows the displacement of the door at its half height for the cases DL and DR [\(3 \times 10^{7}\) N/m3 (soft)]. Whereas hardly and deformation at the side of the door (D_D and D_F) was found in Figure 39 here these points deform to the fire unexposed side, mainly driven by the increased deformation of the wall. At the door’s centre (D_E) the door deformed to the fire unexposed side with a value of about 60 mm when a pressure of 0.15 bar was applied in the simulation. Here, the door deforms to the fire unexposed side until 800 s testing time. This is the time were the pressure inside the steel shell linearly increase from 0 to 0.03 bar in the simulation. In this time the deformation was to the fire side as already observed in the FRTs. This means that the release of water vapour from gypsum inside the steel shell occurs much later in the experiment than assumed in the simulation. After the final pressure level was reached, the door’s centre deforms to the fire exposed side and slowly converge to the experimental value.
It can be seen by this data that the deformation of the door is highly affected at the corners by the wall deformation and at its centre by the pressure value and time-dependent trend of the pressure. Thus, for a more accurate structural analysis, the water vapour release inside the steel shell during the heating process should be calculated or measured, as mentioned in “Heat Transfer in the Wall and the Test Specimen” and “Shortcomings of the Proposed Methodology” sections. Furthermore, the tightness of the steel shell against the exit of the water vapour to the ambient additionally affects the pressure. However, this effect is hard to consider in the numerical model.
Figure 45
Measured and calculated deformation of the door at its half height for the case DL and DR for an elastic support \(3 \times 10^{7}\) N/m3 (soft) and a pressure inside the door of 0.03 bar
Full size image

4.5 Adapted Boundary Conditions and Gap Modelling

Eventually, in this section the simulated deformation using the adapted (best) boundary conditions (elastic support and pressure in the door) are presented and the gap formation between the door and the wall are determined. The parameters for the simulation are summarized in Table 4 and the contour plots of the deformation after 40 min testing time are highlighted in Figure 46. The contour plots clearly show that the deformation of the wall is higher when the door is in an asymmetric position. Furthermore, the deformation of the door at its centre is to the fire exposed side for the asymmetric cases (DL and DR). In contrast, the door’s deformation at its centre is to the fire unexposed side. In addition to the deformation, Figure 47 shows the wall stresses of case DL. It has to be mentioned that case DR is not presented here because the stress pattern is quite similar to case DL. At the fire unexposed side, the highest stresses still occur at the upper corners of the door, which is the same in case DC (see Figure 33). However, the stresses are only a little bit lower at the door’s half height. Above door level hardly any stresses can be observed. In case DC the wall stresses are higher above the door level at the fire exposed side (compare Figure 33). In case DL a more homogeneous distribution of the wall stresses can be detected by the contour plot.
Table 4
Adapted Boundary Conditions for the Structural Analysis of the Cases DL, DC and DR
Boundary cond.
Case DL
Case DC
Case DR
Stiffness concrete [N/m3]
\(3 \times 10^{7}\)
\(10^{10}\)
\(3 \times 10^{7}\)
Pressure in door [bar]
0.03
0.15
0.03
Figure 46
Contour plot of the deformation of the brick wall and steel door after 40 min calculated with the optimized boundary conditions for the stiffness of the concrete frame and the pressure inside the steel door according to Table 4
Full size image
Figure 47
Contour plots of the calculated stresses of the brick wall and steel door for case DL after 40 min with view from the fire unexposed side (left) and the fire exposed side (right)
Full size image
The gap formation was also calculated in the numerical approach, which is shown in Figure 48. It was found that in all cases the gap formation exceeded a value of 6 mm between the wall and the door at the door’s upper edge. A higher gap formation than 6 mm was also observed for the case DC at the right hand side, which is between the door lock and the upper edge. At this position also a high gap formation was observed for the other cases with values between 4 and 5 mm. The high gap formation between the wall and the door at the upper edge and the right hand side of the door was confirmed in the FRT by leakage of flue gases and visual confirmation as presented in Prieler et al. [31]. On the left edge of the door the gap formation was lower with values between 0 and 2 mm. Such small gaps are sealed by the intumescent material between the door and the wall/frame. Thus, no flue gas leakage was observed in the experiment.
Figure 48
Contour plot of the gap formation between the wall and the door after 40 min testing time
Full size image

5 Conclusion

In the present study a numerical methodology for the structural analysis of masonry brick walls with an embedded test specimen under fire exposure was presented. For this purpose three FRTs were carried out where the same test specimen (steel door) was placed at different positions. The measured data is used for the validation of the numerical approach, where the main focus was on the mechanical interaction and contact treatment between the wall and the door as well as the correct boundary conditions to predict accurate results in such simulations. Thus, the following points summarize the findings of the study:
  • The experimental data showed that the wall deformation is much higher when the door was placed in an asymmetric position compared to the central position.
  • The heat transfer analysis through the steel door was quite accurate in a distance of 100 mm from the door’s edge/corner. A thermal model limited to the heat conduction cannot cover the enhanced heat transfer at the door’s centre due to the released water vapour from the gypsum board. For a more accurate thermal analysis the water from the gypsum boards has to be considered using enhanced models (see [27, 34]).
  • Considering the heat conduction and radiative heat transfer in the voids of the bricks showed good agreement to the validation data from literature. Thus, high accuracy of the thermal model can be assumed for the masonry brick wall.
  • When the door was placed in the central position the predicted deformation of the door was in acceptable accordance to the measured data, although the deformation was slightly over-predicted at the upper edge. However, the trend and direction of the deformation of the test specimen (door), especially the displacement to the fire unexposed side at the centre, was covered by the numerical approach.
  • The structural analysis of the brick wall for the case DC showed a close accordance to the observed deformation, although an over-prediction can be found in the vicinity of the door’s upper edge. Thus, in addition to the door, the structural methodology is also capable to predict the deformation of the wall.
  • The investigated asymmetric cases DL and DR showed two crucial parameter/boundary conditions for the accuracy of the structural analysis: (i) Stiffness of the concrete frame around the wall and (ii) pressure inside the steel shell of the door.
  • When the door is in asymmetric position the deformation angle of the wall at the concrete frame was higher compared to DC, thus, the stiffness of the concrete frame used in DC was too high for the cases DL and DR. With a reduced stiffness (elastic support) at the lateral concrete frame for the cases DL and DR the wall deformation can be covered by the structural analysis.
  • The pressure value and time-dependent behaviour within the steel door is crucial for the predicted door deformation, especially at the door’s centre.
  • The simulated gap formation showed that the largest gaps between the door and the wall were at the door’s upper edge and the right side above the door lock in all cases. This is in accordance to the observed flue gas leakage in [31].
Overall the thermal and structural analysis predicted the wall and door deformation in good agreement in some areas to the measured data. However, for an improved simulation methodology a detailed simulation or measurement of the time-dependent pressure inside the steel door should be done. Furthermore, a detailed view on the elastic support for the boundaries of the wall will increase the confidence in the simulation methodology for the wall’s deformation.

Acknowledgements

This work was financially supported by the Austrian Research Promotion Agency (FFG), ‘Virtuelle Bauteilprüfung mittels gekoppelter CFD/FEM-Brandsimulation’ (Project 857075, eCall 6846234) and ‘Entwicklung von CFD/FEM Brandsimulationsmodellen mit Fokus auf Holz- und Gipsbauteile sowie komplexen Konstruktionen’ (Project 876469, eCall 28585806).
Open Access This article is licensed under a Creative Commons Attribution 4.0 International License, which permits use, sharing, adaptation, distribution and reproduction in any medium or format, as long as you give appropriate credit to the original author(s) and the source, provide a link to the Creative Commons licence, and indicate if changes were made. The images or other third party material in this article are included in the article's Creative Commons licence, unless indicated otherwise in a credit line to the material. If material is not included in the article's Creative Commons licence and your intended use is not permitted by statutory regulation or exceeds the permitted use, you will need to obtain permission directly from the copyright holder. To view a copy of this licence, visit http://​creativecommons.​org/​licenses/​by/​4.​0/​.

Publisher's Note

Springer Nature remains neutral with regard to jurisdictional claims in published maps and institutional affiliations.
Title
Thermo-Mechanical Analysis of Masonry Brick Walls with Embedded Test Specimen Under Fire Exposure
Authors
Rene Prieler
Benjamin Ortner
Peter Kitzmüller
Stefan Thumser
Günther Schwabegger
Christoph Hochenauer
Publication date
24-09-2024
Publisher
Springer US
Published in
Fire Technology / Issue 2/2025
Print ISSN: 0015-2684
Electronic ISSN: 1572-8099
DOI
https://doi.org/10.1007/s10694-024-01643-4
1.
go back to reference Andreini M, Caciolai M, La Mendola S et al (2015) Mechanical behavior of masonry materials at high temperatures. Fire Mater 39:41–57. https://​doi.​org/​10.​1002/​fam.​2229CrossRefMATH
2.
go back to reference ANSYS Inc. (2018a) Ansys fluent theory guide. ANSYS, Canonsburg
3.
go back to reference ANSYS Inc. (2018b) Ansys mechanical theory reference. ANSYS, Canonsburg
4.
go back to reference ANSYS Inc. (2018c) Ansys mechanical user guide. ANSYS, Canonsburg
5.
go back to reference Byrne SM (1979) Fire resistance of load-bearing masonry walls. Fire Technol 15:180–188CrossRefMATH
6.
go back to reference European Committee for Standardization CEN (2012) European Standard EN 1363–1: fire resistance test-part 1: general requirements
7.
go back to reference Gales J, Maluk C, Bisby L (2012) Large-scale structural fire testing—how did we get here, where are we, and where are we going? In: 15th international conference on experimental mechanics, Porto, Portugal
8.
go back to reference Kiran T, Anand N, Andrushia AD et al (2023) Performance of clay masonry prisms with light weight plaster exposed to standard fire exposure. Fire Mater. https://​doi.​org/​10.​1002/​fam.​3081
9.
go back to reference Luecke W, Banovic S, McColskey D (2011) High-temperature tensile constitutive data and models for structural steels in fire: NIST technical note 1714
10.
go back to reference Meseguer J, Perez-Grande I, Sanz-Andres A (2012) Spacecraft thermal control: thermal radiation heat transfer. Woodhead Publishing, Sawson. https://​doi.​org/​10.​1533/​9780857096081CrossRef
11.
go back to reference Mosele F, da Porto F, Modena C et al (2006) Developing innovative systems for reinforced masonry walls. In: International Masonry Society (ed) Proceedings of the 7th international masonry conference, pp 82–90
12.
go back to reference Nadjai A, O’Garra M, Ali F (2003) Finite element modelling of compartment masonry walls in fire. Comput Struct 81:1923–1930. https://​doi.​org/​10.​1016/​S0045-7949(03)00212-8CrossRefMATH
13.
go back to reference Nadjai A, O’Garra M, Ali F et al (2003) A numerical model for the behaviour of masonry under elevated temperatures. Fire Mater 27:163–182. https://​doi.​org/​10.​1002/​fam.​824CrossRefMATH
14.
go back to reference Nadjai A, O’Gara M, Ali F et al (2006) Compartment masonry walls in fire situations. Fire Technol 42(3):211–231. https://​doi.​org/​10.​1007/​s10694-006-7509-6CrossRefMATH
15.
go back to reference Nguyen TD, Meftah F (2012) Behavior of clay hollow-brick masonry walls during fire, part 1: experimental analysis. Fire Saf J 52:55–64. https://​doi.​org/​10.​1016/​j.​firesaf.​2012.​06.​001CrossRefMATH
16.
go back to reference Nguyen TD, Meftah F (2014) Behavior of hollow clay brick masonry walls during fire, part 2: 3D finite element modeling and spalling assessment. Fire Saf J 66:35–45. https://​doi.​org/​10.​1016/​j.​firesaf.​2013.​08.​017CrossRefMATH
17.
go back to reference Nguyen TD, Meftah F, Chammas R et al (2009) The behaviour of masonry walls subjected to fire: modelling and parametrical studies in the case of hollow burnt-clay bricks. Fire Saf J 44:629–641. https://​doi.​org/​10.​1016/​j.​firesaf.​2008.​12.​006CrossRef
18.
go back to reference Oliveira R, Rodrigues J, Pereira J et al (2021) Thermomechanical behaviour of refractory dry-stacked masonry walls under uniaxial compression. Eng Struct 240:112361. https://​doi.​org/​10.​1016/​j.​engstruct.​2021.​112361CrossRefMATH
19.
go back to reference Prakash PR, Azenha M, Pereira JM et al (2020) Finite element based micro modelling of masonry walls subjected to fire exposure: framework validation and structural implications. Eng Struct 213:110545. https://​doi.​org/​10.​1016/​j.​engstruct.​2020.​110545CrossRef
20.
go back to reference Prieler R, Mayr B, Demuth M et al (2016) Prediction of the heating characteristic of billets in a walking hearth type reheating furnace using CFD. Int J Heat Mass Transf 92:675–688. https://​doi.​org/​10.​1016/​j.​ijheatmasstransf​er.​2015.​08.​056CrossRef
21.
go back to reference Prieler R, Mayrhofer M, Gaber C et al (2018) CFD-based optimization of a transient heating process in a natural gas fired furnace using neural networks and genetic algorithms. Appl Therm Eng 138:217–234. https://​doi.​org/​10.​1016/​j.​applthermaleng.​2018.​03.​042CrossRef
22.
go back to reference Prieler R, Mayrhofer M, Eichhorn-Gruber M et al (2019) Development of a numerical approach based on coupled CFD/FEM analysis for virtual fire resistance tests—part A: thermal analysis of the gas phase combustion and different test specimens. Fire Mater 43:34–50. https://​doi.​org/​10.​1002/​fam.​2666CrossRef
23.
go back to reference Prieler R, Gerhardter H, Landfahrer M et al (2020) Development of a numerically efficient approach based on coupled CFD/FEM analysis for virtual fire resistance tests—part B: deformation process of a steel structure. Fire Mater 44(5):704–723. https://​doi.​org/​10.​1002/​fam.​2846CrossRef
24.
go back to reference Prieler R, Kitzmüller P, Thumser S et al (2020) Experimental analysis of moisture transfer and phase change in porous insulation exposed to fire and its effect on heat transfer. Int J Heat Mass Transf 160:120207. https://​doi.​org/​10.​1016/​j.​ijheatmasstransf​er.​2020.​120207CrossRefMATH
25.
go back to reference Prieler R, Klemm B, Pletzer S et al (2021a) Pressure increase in enclosures of steel doors and its effect on the deformation process during fire resistance tests—a numerical study. In: University of Ljubljana, Faculty of Civil and Geodetic Engineering (ed) Proceedings of the international conference on applications of structural fire engineering, pp 174–179
26.
go back to reference Prieler R, Ortner B, Thumser S et al (2021b) Wall deformation during fire resistance tests—a comparative study between hollow-brick walls and gypsum-sheathed stud walls. In: University of Ljubljana, Faculty of Civil and Geodetic Engineering (ed) Proceedings of the international conference on applications of structural fire engineering, pp 137–142
27.
go back to reference Prieler R, Langbauer R, Gerhardter H et al (2022) Modelling approach to predict the fire-related heat transfer in porous gypsum based on multi-phase simulations including water vapour transport, phase change and radiative heat transfer. Appl Therm Eng 206:118013. https://​doi.​org/​10.​1016/​j.​applthermaleng.​2021.​118013CrossRef
28.
go back to reference Prieler R, Ortner B, Kitzmüller P et al (2022) Numerical analysis of the masonry brick wall’s deformation with embedded steel door during a fire resistance test. In: 12th International conference on structures in fire, China, Hong Kong, pp 648–659
29.
go back to reference Prieler R, Kitzmüller P, Thumser S et al (2023) Experimental analysis of the wall deformation of masonry brick and gypsum-sheathed stud walls during standardized fire resistance tests of steel doors. Fire Mater 47(3):305–321. https://​doi.​org/​10.​1002/​fam.​3098CrossRef
30.
go back to reference Prieler R, Ortner B, Pfeifer T et al (2023) Fire resistance of gypsum-sheathed stud walls with an embedded steel door: validation of a numerical approach. Fire Saf J 141:103922. https://​doi.​org/​10.​1016/​j.​firesaf.​2023.​103922CrossRefMATH
31.
go back to reference Prieler R, Pletzer S, Thusmer S et al (2023) Numerical simulation of a fire resistance test and prediction of the flue gas leakage using CFD/FEM coupling. J Struct Fire Eng. https://​doi.​org/​10.​1108/​JSFE-01-2023-0011CrossRefMATH
32.
33.
go back to reference Simo JC, Laursen TA (1992) An augmented Lagrangian treatment of contact problems involving friction. Comput Struct 42(1):97–116MathSciNetCrossRefMATH
34.
go back to reference Weber B (2012) Heat transfer mechanisms and models for a gypsum board exposed to fire. Int J Heat Mass Transf 55:1661–1678. https://​doi.​org/​10.​1016/​j.​ijheatmasstransf​er.​2011.​11.​022CrossRefMATH
35.
go back to reference Zhang C, Silva J, Weinschenk C et al (2016) Simulation methodology for coupled fire-structure analysis: modeling localized fire tests on a steel column. Fire Technol 52:239–262. https://​doi.​org/​10.​1007/​s10694-015-0495-9CrossRefMATH