Skip to main content
Top

Valuing the Future: Changing Time Horizons and Policy Preferences

  • Open Access
  • 31-07-2024
  • Original Paper
Published in:

Activate our intelligent search to find suitable subject content or patents.

search-config
loading …

Abstract

The article, 'Valuing the Future: Changing Time Horizons and Policy Preferences,' delves into the impact of parenthood on policy attitudes, particularly regarding long-term issues like climate change. It challenges the conventional view that citizens' short time horizons hinder policymakers' willingness to invest in long-term solutions. Previous research has found mixed results on the correlation between time horizons and policy preferences, but this study introduces a new approach by examining how parenthood can lengthen individuals' time horizons and increase support for climate policies. The research design employs a difference-in-differences model with panel survey data to track changes in policy attitudes before and after individuals become parents. The findings suggest that parenthood significantly increases support for climate policy, persisting for at least two years post-birth. Experimental evidence further supports the hypothesis that parenthood lengthens time horizons and influences policy preferences. This study not only contributes to the understanding of how personal experiences can shape attitudes towards long-term public policy challenges but also highlights the potential for other life events to similarly affect policy preferences.

Supplementary Information

The online version contains supplementary material available at https://doi.org/10.1007/s11109-024-09965-3.

Publisher's Note

Springer Nature remains neutral with regard to jurisdictional claims in published maps and institutional affiliations.
Governments frequently fail to pass policies that would benefit citizens in the long run. Whether it involves international cooperation on climate change or investments in pandemic preparedness, leaders often respond to disasters after they strike rather than avert them. A common view is that citizens’ short time horizons are responsible for policymakers’ reluctance to make these long-term investments (e.g., Healy & Malhotra, 2009, Nordhaus, 1975).
How would people’s policy preferences change if they valued the future more? Early studies found that longer time horizons have little correspondence with policy attitudes (Jacobs & Matthews, 2012). This led scholars to focus instead on the temporal features of policies, such as the timing of costs and benefits, or institutions such as electoral rules (Finnegan, 2022; Jacobs, 2016). Recent research is only partly consistent with these initial findings (Bechtel & Mannino, 2023; Bechtel et al., 2024). These mixed results are unsurprising given the “daunting empirical obstacles” to studying time horizons (Jacobs, 2016, p. 438). Most studies rely on cross-sectional surveys, making it difficult to disentangle measures of patience from socio-demographic characteristics that influence how much people value the future. The ideal test would exploit exogenous variation in time horizons, but this is difficult to isolate with observational data or elicit in experiments.
This paper adopts a new approach to learn how time horizons affect policy preferences. The research design leverages parenthood, a consequential experience that affects how people view the future (Elder & Greene, 2012a; Greenlee, 2014; Urbatsch, 2014). Parenthood lengthens time horizons, first, through a self-interested motivation to ensure the survival of children and leave a legacy (Dawkins, 1976; Wade-Benzoni & Tost, 2009). Second, parents have an altruistic desire to protect their child’s future welfare (McAdams & Aubin, 1992; Zaval et al., 2015). Data on household economic decisions corroborate these mechanisms (e.g., Browning, 1992). While many changes accompany parenthood, these studies indicate that longer time horizons are an important shift accompanying children.
The policy context of this study is climate change. The short-term costs of stopping global warming overshadow the long-term benefits that citizens discount (e.g., Gazmararian & Tingley, 2023b, Hale, 2024). Parenthood changes this calculation. Now, one’s descendants will feel the long-run consequences of a hotter planet, so parents should have incentives to support climate policy.
A challenge for analysis is that parenthood is not random. Changes in household income or environmental concern could affect decisions to have kids. A simple comparison of people with and without children would risk confounding.
This paper approaches the challenge with a difference-in-differences research design. A three-wave panel survey of 9500 American adults from 2010 to 2014 allows for a comparison of how the same person’s climate policy support changes after children. The assumption is that if someone had not become a parent, she would have had the same climate policy preferences, on average, as people who did not have a child.
I take several steps to strengthen and assess the plausibility of this parallel trends assumption. The models use covariate balancing propensity scores to match respondents based on time-varying factors predictive of parenthood (Imai et al., 2023). A placebo test further shows that people were not changing their attitudes prior to parenthood. Lastly, I examine the possibility of reverse causality and find no evidence that climate concern influences the decision to have children.
Parenthood increased climate policy support by 4.3 percentage points compared to otherwise similar individuals. The effect persists for at least 0–2 years after having a child. This shift takes place despite the partisan polarization of global warming that hardens beliefs and the time constraints of parenthood that undermine political engagement (Burns et al., 2001; Egan & Mullin, 2017). Analysis of the sensitivity of the estimates to omitted variable bias indicates that an extreme confounder would be unlikely to overturn the results (Cinelli & Hazlett, 2020).
Two survey experiments provide more direct tests of the time horizons mechanism. The first study examines the effect of priming a national sample of American adults to think about children and framing global warming as an issue affecting future generations. The second study assesses a more subtle prime, asking a unique sample of American parents to journal about their children. Results show that the interventions lengthened time horizons and raised support for climate policy. A mediation analysis suggests that longer time horizons are responsible for part of the treatment’s effect on increased policy support.
In addition to these experiments, the paper considers alternative explanations, such as changing risk perceptions and worldviews. I determine that these are unlikely for three reasons. First, previous studies of parenthood suggest that these mechanisms, if present, would make parents more opposed to climate policy. I collected new survey data, which support this claim in the context of risk aversion. Second, the results hold when controlling for measures capturing risk perceptions and worldviews. Lastly, falsification tests show that parenthood has no effect on attitudes correlated with these alternative explanations.
This paper makes progress understanding how myopia and personal experience shape attitudes about long-term public policy challenges. Previous mixed results led many to think that individual time horizons were not influential, but these studies have relied on a static approach that did not fully appreciate how time horizons could change. Taking a dynamic approach, the findings here suggest that personal experiences can lead people to place more value on the future. These longer time horizons, in turn, are one mechanism that increases support for policies addressing long-term challenges such as pandemics, deficits, and climate change.

Time Horizons and Policy Preferences

Voters’ short time horizons are a prominent explanation for inaction on long-term problems (Hale, 2024; Healy & Malhotra, 2009; Nordhaus, 1975). This paper defines time horizons as how much an individual values future outcomes. This valuation includes both the rate that someone discounts distant benefits and an altruistic sense of responsibility for future generations.
Evidence of time horizons affecting policy preferences is mixed. Early research using surveys detected little correlation between patience and policy attitudes (Jacobs & Matthews, 2012). These null results and the difficulty of studying time horizons led Jacobs (2016) to propose a new direction for research: instead of individual time horizons, scholars should examine how policy design and institutions influence information about long-term outcomes, credible commitment problems, and interest group opposition (Gazmararian & Tingley, 2023c; Jacobs & Matthews, 2017; Mullin & Hansen, 2023).
Recent research only partially supports these initial null results. Bechtel et al. (2020) find that time horizons predict public preferences over the path of future carbon price increases. Bechtel and Mannino (2023) show that more patient individuals support larger disaster preparedness investments. Bechtel et al. (2024) uncover a relationship between time preferences and support for local, delayed investments but not for more complex, future-oriented policies.1
One reason for these mixed results is the challenge of studying time horizons. The ideal counterfactual would show how the same person’s preferences change if she valued the future differently. Researchers, however, typically assume that it is infeasible to shift how much someone values the future in an experiment or identify such variation in observational data.
Instead, most studies rely on one-off surveys. This approach limits analysis to variation in time horizons across individuals. This cross-sectional design can be informative, but it also makes it difficult to disentangle time horizons from other characteristics that render people more patient or shape the information environment. For example, Bechtel et al. (2024) find that time preferences do not have a consistent correlation with climate policy support. Their empirical model controls for variables predictive of patience, like age and income, which might mask the effect of time horizons. Yet, it is necessary to include these covariates since they are potential confounders. This dilemma illustrates the challenge of studying time horizons.
Within-individual changes in time horizons would offer powerful empirical leverage compared to cross-sectional designs. Moreover, the idea that individuals might shift how they value the future would open new avenues for understanding attitude change. While scholars acknowledge differences in time preferences across individuals (Frederick et al., 2002), they have not fully considered the political consequences of variation within the same person. Such individual-level change in time horizons would be enlightening to understand, if it exists, because it could help explain how policy preferences evolve.

Parenthood and Time Horizons

This paper uses parenthood to examine the political effects of longer time horizons. Children cause parents to care more about the future for two reasons. First, children expand a parent’s self-interest to include descendants who will be affected by future events (Greenlee, 2014; Urbatsch, 2014). This motivation to protect one’s children may originate from the biological pressure to pass on genes (Dawkins, 1976), and the desire to leave a legacy (Hoffman & Hoffman, 1973; Wade-Benzoni & Tost, 2009).
Second, parenthood creates a sense of obligation to safeguard the welfare of future generations. Some call this phenomenon “generativity,” a stage of adult development where one derives fulfillment from helping the next generation (Erikson, 1982; McAdams & Aubin, 1992; Zaval et al., 2015). Both mechanisms involve self-interest and altruistic motives that lead parents to value the future.
Three types of evidence from different disciplines support the link between parenthood and longer time horizons. First, surveys and interviews compare the priorities of parents and non-parents. Parents report greater concern about the future, consistent with the idea that they have longer time horizons (Gahtan et al., 2022; Greenlee, 2014).
Second, experiments provide more direct causal evidence about the parenthood effect on time horizons. One marketing study found that priming men to think about their parental role led them to be more future-focused (Li et al., 2019). Further work needs to assess whether this shift translates into policy preferences.
Third, data on household economic decisions support the connection between parenthood and time horizons. These decisions demonstrate how much people value future benefits when money is on the line. Parents are more likely to sacrifice present consumption to build an inheritance (Love, 2010; Browning, 1992; Kopczuk & Lupton, 2007). Parents also save for college expenses. Standard models of life-cycle savings assume that parents have a “dynastic utility function,” which means they derive utility from their children’s welfare (Becker & Barro, 1988).
These results indicate that parenthood lengthens time horizons. Parenthood is a “bundled” treatment that influences how much one discounts future benefits and the normative value one places on the future. These processes should influence policy attitudes on issues affecting future generations.2 This offers an opportunity to learn how time horizons influence policy preferences.
Parenthood’s effects likely vary with age, family structure, marital status, and socio-economics. Men and women may react differently due to the social norms around father- and motherhood (Elder & Greene, 2006, 2007, 2012a, 2012b, 2016; Greenlee, 2014; Klar et al., 2014). A child’s gender may also matter; some hypothesize that daughters make parents more liberal (Washington, 2008; Glynn & Sen, 2015).
A few studies examine parenthood and environmental concerns but yield mixed results (Shrum et al., 2023). Having children is positively correlated with a parent’s support for environmental and climate policies (Dechezleprêtre et al., 2022; Dupont, 2004). Other studies posit a conditional parenthood effect based on gender or framing (Blocker & Eckberg, 1997; Ekholm & Olofsson, 2017). But some find no effect of children (McCright, 2010; Milfont et al., 2020).
The correlational design of past studies limits what we can learn. Although some use panel data, there is little attention to how people become parents, which likely confounds inference. Changes in economic circumstances affect the decision to have kids and could also shape climate attitudes.
It is also not obvious that policy attitudes will change after parenthood. The time commitments of having a child could prevent people from engaging in politics (Burns et al., 2001). This reduced participation might cause parents to be less exposed to messages necessary to translate experience into political attitudes (Mutz, 1994).

Research Design

This study uses a difference-in-differences model with panel survey data to estimate parenthood’s effect on support for stopping climate change. This research design compares the change in policy attitudes of people who become parents with otherwise similar individuals who did not have children.
Panel data allow us to track to the same people over time to observe changes in their policy preferences. The dataset comes from the Cooperative Congressional Election Study’s (CES) 2010–2014 Panel Study, a YouGov Internet sample of the American public using matched random sampling (Ansolabehere & Schaffner, 2015). There are 9500 respondents, each interviewed in 2010, 2012, and 2014. This sample includes respondents who completed all the three waves.
Attrition would be a concern if it correlated with parenthood and climate policy opposition. While the former is plausible because of the time constraints of being a parent, the latter is unlikely. Climate policy attitudes are unlikely to affect survey response propensity. Attrition is 53% in 2012 and 68% in 2014. The largest attrition occurs for Black respondents. There is little to no difference in attrition rates for variables that might correlate with children, such as age, employment, or marital status (Ansolabehere & Schaffner, 2015). The low respondent drop-off on variables predictive of parenthood alleviates concerns about systematic attrition biasing the results.

Treatment: Parenthood

The treatment is whether a respondent became a parent through the birth or adoption of a child. The measure captures the event of becoming a parent, rather than the number of children. A parent’s concern for the future becomes salient when the household structure changes with the first child. The binary treatment indicator is 1 for respondents who report having a child under the age of 18 and did not have a child before and 0 otherwise. The treatment is irreversible, meaning that people who became parents in 2012 remain parents in 2014.3 A total of 187 survey-takers became parents during the study (Table A1). This modest number may bias against detecting an effect as the smaller sample weakens statistical power.
One potential concern is that people might know they want children long before they have them, so their time horizons could lengthen in anticipation of parenthood. If true, their policy preferences would also change, so the analysis would not detect a relationship between parenthood and climate policy support. Childbirth and adoption turn aspirations into reality, marking the point when people feel the greatest investment in the future because their stake is no longer hypothetical.

Outcome: Climate Policy Support

This paper examines climate policy support because time horizons are central to the politics of stopping global warming. Actions to reduce emissions impose short-term costs that often overshadow the long-term benefits that people discount. Support for climate policy implies an appreciation for the long-term benefits of a normal climate. Parents should be more likely to support climate policy to protect the welfare of their descendants who confront a warmer world.
The question measuring climate policy preferences asks respondents to characterize their views on global warming. The options range from “Global climate change is not occurring, this is not a real issue” to “Global climate change has been established as a serious problem, and immediate action is necessary.” This is a standard question for capturing climate policy support.4 The question also mentions climate beliefs when justifying how much action should be taken. The wording does not describe an economic trade-off, which may increase hypothetical bias (Bechtel & Scheve, 2013). The results are consistent in the subsequent survey experiments that include a budget constraint.
The analysis uses a dichotomous measure where 1 represents the view that immediate climate action is necessary, and 0 otherwise. This threshold corresponds with a break in the distribution of responses (Table A3).5 This binary outcome captures the moment when people flip from climate policy opposition to support.
Around 54% of the sample support action to stop climate change. This share is similar to other polls of the era with different question wordings. A 2012 Gallup (2024) survey of the American public found that 55% thought that the seriousness of global warming was either underestimated or generally correct. This moderate support indicates that ceiling effects are not a concern.

Assumptions for Causality

The difference-in-differences research design assumes that if a parent did not have a child, her climate policy preferences would have followed the same average trajectory as non-parents. The primary concern is the endogeneity of parenthood to climate policy preferences. The main reason why climate concern might correlate with the decision to have a child would be if people became less likely to have children as they grew more worried about global warming.
The available data indicate that the majority of people do not consider climate change when deciding to have children. A 2021 poll from Pew Research Center’s American Trends Panel, a national probability sample of American adults \((N=9676)\), found that among childless adults ages 18 to 49, only 5% said climate change kept them from raising children (Brown, 2021). This marginal share of the population represents an upper bound. The salience of climate change in the 2020s, when the Pew survey took place, is much higher than in the 2010s, our study’s period (Tyson et al., 2023). A related survey of American 12th graders from 2005–2019 finds that environmental attitudes correlate with a desire for a smaller family but not abstention from parenthood (Heather et al., 2023).
Even if climate-concerned people chose not to have children, this would bias against the hypothesis. The people least worried about climate change and less supportive of action would be most likely to become parents.
Another threat to the analysis is time-varying confounders, such as educational attainment, that make people more likely to become parents and support climate action. To address this possibility, I employ panel matching methods to construct a control group of individuals most similar to people who become parents. The small number of new parents means there is a large pool of individuals from which to construct a matched control group. The panel matching estimator selects the control group based on other individuals in the same period with an identical treatment history. Covariate balancing propensity scores further refine the treatment and control groups so they have similar covariate histories (Imai et al., 2023).
The covariates for matching include predictors of both parenthood and climate policy support. One review identifies education, labor market participation, housing conditions, social values, and economic uncertainty as causes of parenthood (Mills et al., 2011). Therefore, the covariates include education, household income, home ownership, religiosity, age, employment, and marital status. Variables for partisanship, ideology, gender, and race further account for factors related to climate attitudes (Egan & Mullin, 2017). Online Appendix A.3 reports how this procedure improves covariate balance.
I attempt to falsify the parallel trends assumption with a placebo test. This test estimates the effect of children on climate policy support in the panel wave before a child’s birth. If there were an effect of future parenthood on current policy preferences, it would signal a violation of parallel trends. Although there are only three survey waves, it is still possible to assess pretrends for individuals who had a child between 2012 and 2014. Figure 1 contains the results from a placebo test. Consistent with parallel trends, there is no effect of parenthood in the pre-treatment period.
To guard against omitted time-varying changes, such as a shift in political messaging that appeals to parents, one analysis compares new parents with people who are already parents. These two groups should be similar. The key difference is that the new parents recently welcomed a child into their household, which should lengthen time horizons. This comparison would detect a spurious factor that affected parents’ political attitudes but was unrelated to becoming a parent, which is the experience that lengthens time horizons. Consistent with the time horizon interpretation, only new parents increase their support for climate policy (Table A4).

Parenthood Effect on Climate Policy Support

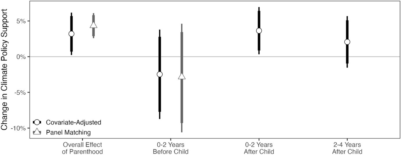
Figure 1 shows the estimated effect of having a child on climate policy support. Parenthood increases climate policy support by 2.6 to 6.1 percentage points compared to the matched control group. Since the outcome is binary, this increase represents an individual moving from opposition or indifference to support for stopping climate change.
Support increases despite the polarization of climate change. Partisanship is a significant determinant of climate attitudes in the United States (Egan & Mullin, 2017). The parenthood effect is 1.4 times larger than the effect of becoming a Democrat, though the null hypothesis of no difference between the coefficients cannot be rejected (Table A4). The magnitude of the parenthood effect is similar to other studies of experience and climate change, such as Egan and Mullin (2012) who find that heat waves cause a 5 percentage point increase in belief in global warming, and Gazmararian and Milner (2023a) who find that fires increase support for climate action by 3 to 4 percentage points.
Fig. 1
Estimated effect of parenthood on climate policy support. The outcome is a binary variable for if a respondent supports action to stop climate change. Bars denote 95 and 90% confidence intervals, with heteroskedasticity and auto-correlation consistent standard errors clustered by respondent (covariate-adjusted) or conditional standard errors that account for dependence across time (panel matching). Missing data are handled with 30 imputed data sets (covariate-adjusted) or matching on treatment history missingness (panel matching). Table A4 contains covariate estimates. 9500 respondents \(\times\) 3 panel waves in 2010, 2012, and 2014
Full size image
Unlike the relationship between temperature anomalies and climate beliefs, which Egan and Mullin (2012) find decays to zero in 12 days, the parenthood effect persists in the 2 years after having a child.6 Figure 1 shows that it is not until 2–4 years later when the parenthood effect begins to attenuate.7 This pattern of a stronger shift in climate attitudes in the years following parenthood is consistent with the mechanism where the life experience of having a child alters one’s perspective about global warming’s importance.
The effect of children might differ by gender because the norms of motherhood differ from fatherhood (Blocker & Eckberg, 1997; Bush & Clayton, 2023). There is, however, no statistically distinguishable gender difference in parenthood’s effect on policy support. Given the limited sample size, this analysis cannot rule out heterogeneity by gender. There are also no detectable differences in parenthood’s effects by media consumption and partisanship (Table A5).
An additional analysis explores the relationship between prior climate attitudes and parenthood. The measure for prior beliefs takes the value 1 if an individual believed that climate change is not real and no action is warranted in the first panel wave, and 0 otherwise. The regression interacts this indicator with the parenthood treatment. The results show no difference in how parenthood affects the climate attitudes of climate skeptics and believers. This suggests that parenthood increases climate policy support by a similar amount across people with differing levels of climate beliefs (Table A5).
The results hold in an unmatched sample with time-varying covariates and individual and panel fixed effects (Table A4). Alternative weighting and matching techniques produce similar effect sizes (Fig. A5).
I conducted a sensitivity analysis to see how large an unobserved confounder would have to be to change the conclusions (Cinelli & Hazlett, 2020). The first benchmark covariate, marriage, is one of “the most salient predictor[s] for having children” (Heaton et al., 1999, p. 531). It would take a confounder more than three times as strong as the observed married covariate to change the findings. The next benchmark, partisanship, is one of the strongest correlates of climate policy preferences (Egan & Mullin, 2017). It would take an unobserved confounder more three times times as strong as Democratic partisanship to overturn the results. These extreme confounders would also have to be orthogonal to the other controls, which is unlikely (Online Appendix A.6).

Testing the Time Horizons Mechanism

The results are consistent with the claim that parenthood lengthens time horizons because climate policy’s benefits will not be enjoyed for decades. The survey, however, does not include a direct measure of time preferences. Since parenthood brings personal, social, and economic changes, attributing these results solely to longer time horizons could be misleading. This section presents experimental evidence of the time horizon mechanism and evaluates alternative explanations.

Experimental Evidence

I conducted two pre-registered survey experiments to test the time horizon mechanism.8 Surveys are well-suited for this question because they measure individual perceptions and attitudes. While it is not feasible to randomize parenthood, experiments can evaluate the consequences of priming respondents to think about their children.
The first study both primes respondents to think about their children and frames climate change as an issue affecting future generations. The second study only primes people to think about their children. Study 1 should have stronger effects than Study 2 because respondents can better connect the prime to their time horizons and, subsequently, policy attitudes. The estimates in Study 1 provide an upper bound on the parenthood effect, while those in Study 2 represent a lower bound.
The observational study captures the lived experience of becoming a parent. In contrast, the experiments remind people of that experience, making it top of mind when considering policy issues. This priming mimics situations where parents are reminded of their children’s future, such as by political messages framing policy debates in terms of their impacts on future generations. The experimental effects should be smaller because parents’ time horizons and policy attitudes have already internalized their children’s influence.

Study 1: Priming and Framing

The first study uses a nonprobability online sample of American adults collected in May–June 2023. The survey, fielded with Qualtrics, used nationally representative quotas for age, sex, race, ethnicity, and education. After trimming respondents who failed data quality checks, the sample size is 2006.
The experiment randomly assigned half of the participants to read this message: “If you are a parent, think about your children. If you are not a parent, imagine that you had children.” This prompt aims to make parental identity salient for those with children and cause people without children to adopt the mindset of being a parent.
The survey next measures time horizons. Conceptually, a time horizon is the period someone considers when making decisions. This is related but not identical to time preferences, which refer to the extent people value goods more in the present than the future. The survey captures time horizons by asking, “How willing are you to give up something that is beneficial for you today so that the next generation of people will be better off in the future?” The answers run from “Not willing at all” to “Extremely willing,” converted into a linear scale from one to five that is then scaled by the control mean and standard deviation.9 The question adapts a validated measure of time preferences to mention future generations. This addition better captures inter-temporal trade-offs relevant to climate change. Stated time preferences, similar to how it is measured here, correlate with costly decisions in lab games (Falk et al., 2023).10
The climate policy support outcome asks, “How willing are you to pay higher taxes today to combat global climate change if it would make the next generation of people better off in the future?” The outcome scale is the same as before. The question makes costs explicit by saying the policy will involve taxes, which should minimize hypothetical bias (Bechtel & Scheve, 2013).
The question frames climate policy as benefiting future generations. This is a common way politicians frame global warming.11 People in the panel study likely have been exposed to this argument, which enhances the comparability of the experiment and observational results. Since people in the treatment and control group both receive the same issue framing, the only difference is whether the respondent has been encouraged to consider her children.
One concern is that the respondent may conform his answers to satisfy the researcher or social norms. But there is limited evidence of demand effects due to features of online surveys such as anonymity (Mummolo & Peterson, 2019). The questions also include costly trade-offs. The prompt makes clear that the respondent would give up something of value today while the climate policy would require taxes.

Study 2: Priming Only

This section describes Study 2’s research design before presenting the results. The population is American adults with children under 18 years old. This is because the intervention asks the respondent to reflect on the importance of her children, which lacks the same relevance for childless adults. Data come from a nonprobability national sample of American parents collected with Cint in February–March 2024. Since the intervention relies on priming, the recruitment message does not mention children. A question early in the survey asks if the respondent is a parent, and people who answered no were screened.12 After trimming individuals flagged by the pre-registered data quality procedures, there are 1269 complete responses.13
The experiment’s intervention asks parents to reflect on their children. Specifically, the survey prompts respondents to journal about their aspirations for their children, while another question has survey-takers describe how having children affected their perspectives (Online Appendix E.6).14 The treatment is block-randomized by respondent partisanship and climate concern, which predict climate policy support, so blocking should improve precision.
Unlike Study 1, distractor questions separate the prime and the time horizons elicitation. This separation creates a harder test because the prime is more distant in the respondent’s memory. The time horizons measure is similar to Study 1, except that it does not mention future generations. Instead, the item is more generic: “How willing are you to give up something that is beneficial for you today in order to benefit more in the future?” The survey includes a related question about how a respondent would compare her willingness to make sacrifices for the future. To reduce measurement error, I use inverse covariance-weighting to combine these items into an index. The index is scaled by the control group’s standard deviation and mean, so a one-unit change represents a standard deviation increase relative to the control group.
After another set of distractor questions, the survey elicits climate policy support. All respondents receive background information about climate change. Unlike Study 1, this information and the following questions do not frame global warming in terms of “future generations.” The first outcome asks about willingness to pay higher taxes to reduce greenhouse gas emissions. The second outcome inquires about support or opposition to higher taxes to reduce emissions. The final question asks how much more a respondent would pay to receive renewable energy at her home. The analysis combines these questions into an index using inverse covariance weighting with the same scaling as before.

Experiment Results

Across experiments, the interventions priming people to think about their children lengthen time horizons. This is true whether the treatment both primes and frames or only subtly primes. As the left panel of Fig. 2 summarizes, the treatment causes time horizons to lengthen by 0.17 standard deviations in the first study, and 0.11 in the second study. Consistent with the research cited above on parenthood and time horizons, these results provide further evidence that parenthood leads people to place more value on the future.15
Turning to policy preferences, the prime causes an increase in climate policy support. This effect appears stronger in Study 1 than 2, consistent with the idea that Study 2’s intervention is a lower bound.16 These results indicate that considering one’s children leads parents to be more willing to support policies to stop climate change.
Mediation analyses assess the extent to which longer time horizons explain the increase in climate policy support (Imai et al., 2010). The right panel of Fig. 2 shows that there is no direct effect of the child prime on climate policy support. In both studies, however, there is a precisely estimated positive effect of the treatment on climate policy support as mediated by time horizons. The size of this mediating effect is much larger in Study 1, which is unsurprising as it both primes and frames.
Fig. 2
Experimental evidence of the parenthood effect on time horizons and policy support. Estimates from separate covariate-adjusted linear regressions of the outcome on the treatment (Tables D2, E2, E3, D4, E6). Outcomes are scaled so a one-unit change represents a standard deviation increase relative to the control group. The outcomes in Study 1 are the individual questions. The outcomes in Study 2 are indices combining all relevant questions. Bars denote 90 and 95% confidence intervals from heteroskedasticity robust standard errors for the left plot, and percentile credible intervals from a nonparametric bootstrap with 10,000 simulations for the right plot. National sample of American adults in Study 1 (\(N=2006\)). National sample of American parents in Study 2 \((N=1269)\)
Full size image
The coefficient on the average causal mediation effect is modest. This suggests that while time horizons are relevant in explaining the change in climate policy preferences, they may not be the exclusive mechanism. This is consistent with this paper’s argument that time horizons are an important but not the only channel through which parenthood increases climate policy support.
Mediation analysis assumes that the observed time preferences mediator is independent of the potential outcomes after conditioning on the treatment and pre-treatment covariates. This is a strong, un-testable assumption. I approach it by including a set of covariates identified in the literature to be related to time horizons, such as age, education, income, and gender (Jacobs & Matthews, 2012). For good measure, the models also control for race, partisanship, social preferences, risk preferences, and trust.17 Sensitivity analyses show that an extreme violation of the sequential ignorability assumption would be unlikely to change the results for Study 1, while Study 2’s results are more sensitive (Figs. D3, E1).

Evaluating Alternative Mechanisms

Risk Aversion

The experiments provide direct evidence that parenthood lengthens time horizons and this weight on the future is one mechanism mediating increased climate policy support. I also consider two alternative explanations for the earlier observational results. First, instead of parents valuing the future more, children could lead their guardians to become more risk-avoidant (Görlitz & Tamm, 2020). Risk orientations correlate with policy preferences, especially when politicians frame an issue in terms of losses (Arceneaux, 2012; Druckman & McDermott, 2008; Kam & Simas, 2010), which is the case with “existential” climate change.
Risk aversion, however, should create more pressure to focus on short-term issues, such as immediate risks to a child’s safety and the household’s economic situation. Global warming is a long-term risk. Global warming’s effects have begun to manifest, but were of lower salience during the study period (2010–2014). Risk-averse individuals should be less willing to support a climate policy that would impose costs that people should interpret as a more immediate loss.
Indeed, in an original survey for this study, risk aversion negatively correlates with climate policy support. More risk-averse individuals are less supportive of climate policy (Table D5). Even if parenthood increased risk aversion, it would make stronger climate policy support less likely.

Changing Worldviews

Another explanation is that parenthood alters worldviews. If people became more liberal, for example, and they adopted policy views that liberals hold for reasons unrelated to time horizons, this would confound the results. To account for shifting worldviews, the regressions control for ideology, partisanship, and religiosity.
The evidence is also mixed on whether parenthood makes people more liberal. If anything, they become more conservative, and by that logic would be less climate concerned. Mothers are more liberal on social welfare policy but are more conservative on social issues like abortion, whereas fathers generally are more conservative (Elder & Greene, 2012a, 2012b). These diverging patterns suggest that any changes in worldviews would not produce a strong average treatment effect across men and women.
Falsification tests using the panel survey data provide further evidence against changing the worldviews explanation. These tests use survey questions related to worldviews but unrelated to time horizons. Parenthood does not shift attitudes on these validated proxies, suggesting that worldviews are not behind increased climate policy support.18

Other Future-Oriented Issues

A final test of the time horizons mechanism evaluates whether children affect opinions about other policies that affect their future welfare. If time horizons lengthen because parents become exposed to policies that affect their children in the future, there should be shifts in policy attitudes concerning these issues. Online Appendix B.5 provides details about the issue selection and results, which are consistent with the time horizons mechanism.

Time Horizons Can Change and Affect Policy Attitudes

Governments routinely under-invest in solving long-term problems like global warming, pandemic preparedness, and unregulated emerging technologies. Despite the prevalent view that voters’ short time horizons are to blame, the evidence for this contention is mixed. The challenge of studying individual time horizons led scholars to shift their focus to policy design and institutions (Jacobs, 2016).
This article makes progress in understanding the influence of individual time horizons on policy attitudes. I bring together theories of personal experience, temporality, and policy support while applying a more credible research design. Past studies have focused on differences in time horizons across individuals. This paper leverages changes in how the same person values the future. The results show that as life experiences lengthen an individual’s time horizons, support for addressing long-term problems grows. Parenthood leads people to become more supportive of stopping climate change, which involves short-term costs and long-term benefits for future generations.
Incorporating life experiences into theories of long-term reforms provides a new way to understand how policy attitudes change. While scholars acknowledge differences in time preferences across individuals (Frederick et al., 2002), this study suggests that the same person may alter how much she weighs the future in her decisions. While research has begun to investigate the instability of time preferences (Chuang & Schechter, 2015), the findings here suggest that these changes may emerge from life events and have political consequences. Studies of political behavior have long emphasized the role of experience in shaping beliefs (Druckman & Lupia, 2000). This paper shows how experiences can also alter the weight people place on distant outcomes, affecting the policies they support.
Beyond parenthood, researchers could explore other events that affect time horizons and, consequently, policy attitudes. For example, a recession could lead people to value the future more because of a newfound appreciation for financial security. The experiences most likely to change time horizons are those that alter beliefs about exposure to the future. Whether these experiences influence preferences is a separate question. Media framing influences how personal circumstances translate into political attitudes (Mutz, 1994). In the climate context, the American media has begun to cover global warming, which may facilitate the link between parenthood and preferences.
The findings also have implications for understanding elite behavior. The time preferences of elites such as foreign policy officials and elected representatives influence their preferred policies (Hafner-Burton et al., 2014; Sheffer et al., 2018). This article suggests that the very same officials might also change their valuations of the future in response to experiences. Time horizons add a new mechanism to explain how life events like parenthood affect elite decision-making (e.g., Glynn & Sen, 2015; Washington, 2008). Scholars should explore the consequences of changing elite time horizons on decisions ranging from international cooperation to domestic public investments.
While longer time horizons can shift policy attitudes, this may not improve governance. Institutions stand in the way. The inability of the government to make credible commitments to carry out long-term policies could undermine public support despite the value citizens place on the future (Gazmararian & Tingley, 2023c; Jacobs & Matthews, 2017). Even if voters had longer time horizons, information asymmetries could lead them to re-elect politicians who fail to invest in long-term policies (Gailmard & Patty, 2019). The findings here demonstrate the relevance of individual time horizons for policy preferences, but the results also reaffirm the importance of continued research on the conditions that enable policy responsiveness.

Acknowledgements

Thanks to Tali Mendelberg, Helen Milner, Jonathan Mummolo, Dustin Tingley, Jim Vreeland, Noah Zucker, and Princeton University workshop audiences for helpful comments. The project received funding from a Princeton Research in Experimental Social Science grant and Princeton University’s Center for the Study of Democratic Politics.

Declarations

Conflict of interest

The author has no conflict of interest to disclose.

Ethical Approval

This study received approval from Princeton University’s IRB and complies with the APSA ethical standards.
Open Access This article is licensed under a Creative Commons Attribution 4.0 International License, which permits use, sharing, adaptation, distribution and reproduction in any medium or format, as long as you give appropriate credit to the original author(s) and the source, provide a link to the Creative Commons licence, and indicate if changes were made. The images or other third party material in this article are included in the article's Creative Commons licence, unless indicated otherwise in a credit line to the material. If material is not included in the article's Creative Commons licence and your intended use is not permitted by statutory regulation or exceeds the permitted use, you will need to obtain permission directly from the copyright holder. To view a copy of this licence, visit http://creativecommons.org/licenses/by/4.0/.

Publisher's Note

Springer Nature remains neutral with regard to jurisdictional claims in published maps and institutional affiliations.
Title
Valuing the Future: Changing Time Horizons and Policy Preferences
Author
Alexander F. Gazmararian
Publication date
31-07-2024
Publisher
Springer US
Published in
Political Behavior / Issue 2/2025
Print ISSN: 0190-9320
Electronic ISSN: 1573-6687
DOI
https://doi.org/10.1007/s11109-024-09965-3

Supplementary Information

Below is the link to the electronic supplementary material.
1
An open question is how to measure time preferences, which vary when considering individual and collective outcomes (Prior et al., 2023).
 
2
Follow-on studies should disaggregate the relative contribution discount rates and altruism.
 
3
If someone had children more than 18 years apart, the measure would incorrectly mark them as new parents, which would bias against the hypothesis. This is unlikely because 95% of births in the United States occur within a 10-year interval (Thoma et al., 2016).
 
4
This item is part of the Cumulative CES Policy Preferences dataset. It does not name a specific mitigation policy, but respondents most likely interpreted the question as referring to government action because the item is part of a battery about approval of politicians and government policies.
 
5
Since the question bundles beliefs and preferences, it is not appropriate to use a linear scale.
 
6
There are no matched estimates for the contemporaneous and delayed effects because the panel matching procedure requires matching on the treatment history, which reduces the periods that could be analyzed.
 
7
This imprecision is unsurprising because the delayed effect is estimated with the smaller subset of people who had a child in 2012.
 
8
The pre-registrations are available here: https://osf.io/9fqr2. Online Appendices D.8 and E.7 discuss mild modifications.
 
9
Results hold with a binary outcome (Table D2).
 
10
While stated preferences may be prone to social desirability bias, the treatment and control groups would face the same pressures, so any difference is attributable to the prime.
 
11
President Obama (2014) said, “for the sake of future generations, our generation must move toward a global compact to confront a changing climate while we still can. This challenge demands our ambition. Our children deserve such ambition.”
 
12
I also screened individuals who said their children were older than 18.
 
13
This includes 38 responses from a soft launch.
 
14
A manipulation check shows that the treatment led parents to report having reflected more often on their children (Table E5).
 
15
There is limited treatment effect heterogeneity (Tables D3, E4).
 
16
When examining the individual questions in Study 2, instead of the index that reduces measurement error, the standard errors grow too large to distinguish the estimates from zero.
 
17
See Appendices D.5 and E.5 for a full list of controls.
 
18
See Online Appendix B for results and an original survey validating the proxies for worldviews.
 
go back to reference Ansolabehere, S., & Schaffner, B. (2015). Cooperative Congressional Election Study: 2010–2014 Panel study. University of Massachusetts.
go back to reference Arceneaux, K. (2012). Cognitive biases and the strength of political arguments. American Journal of Political Science, 56(2), 271–285.CrossRef
go back to reference Bechtel, M., Jensen, A. S., Scheve, K., & McAllister, J. (2024). Measuring time preferences in large surveys. Political Science Research and Methods, 12(2), 1–9.CrossRef
go back to reference Bechtel, M., & Mannino, M. (2023). Ready when the big one comes? Natural disasters and mass support for preparedness investment. Political Behavior, 45(3), 1045–1070.CrossRef
go back to reference Bechtel, M., & Scheve, K. (2013). Mass support for global climate agreements depends on institutional design. Proceedings of the National Academy of Sciences, 110(34), 13763–13768.CrossRef
go back to reference Bechtel, M. M., Scheve, K. F., & van Lieshout, E. (2020). Constant carbon pricing increases support for climate action compared to ramping up costs over time. Nature Climate Change, 10(11), 1004–1009.CrossRef
go back to reference Becker, G., & Barro, R. (1988). A reformulation of the economic theory of fertility. Quarterly Journal of Economics, 103, 1–25.CrossRef
go back to reference Blocker, T. J., & Eckberg, D. (1997). Gender and environmentalism: Results from the 1993 General Social Survey. Social Science Quarterly, 78(4), 841–858.
go back to reference Brown, A. (2021). Growing share of childless adults in U.S. don’t expect to ever have children. Pew Research Center.
go back to reference Browning, M. (1992). Children and household economic behavior. Journal of Economic Literature, 30(3), 1434–1475.
go back to reference Burns, N., Schlozman, K., & Verba, S. (2001). The private roots of public action: Gender, equality, and political participation. Harvard University Press.CrossRef
go back to reference Bush, S., & Clayton, A. (2023). Facing change: Gender and climate change attitudes worldwide. American Political Science Review, 117(2), 591–608.CrossRef
go back to reference Chuang, Y., & Schechter, L. (2015). Stability of experimental and survey measures of risk, time, and social preferences. Journal of Development Economics, 117, 151–170.CrossRef
go back to reference Cinelli, C., & Hazlett, C. (2020). Making sense of sensitivity: Extending omitted variable bias. Journal of the Royal Statistical Society Series B, 82(1), 39–67.CrossRef
go back to reference Dawkins, R. (1976). The selfish gene. Oxford University Press.
go back to reference Dechezleprêtre, A., Fabre, A., Kruse, T., et al. (2022). Fighting climate change: International attitudes toward climate policies (No. w30265). National Bureau of Economic Research.CrossRef
go back to reference Druckman, J., & Lupia, A. (2000). Preference formation. Annual Review of Political Science, 3(1), 1–24.CrossRef
go back to reference Druckman, J. N., & McDermott, R. (2008). Emotion and the framing of risky choice. Political Behavior, 30(3), 297–321.CrossRef
go back to reference Dupont, D. (2004). Do children matter? An examination of gender differences in environmental valuation. Ecological Economics, 49(3), 273–286.CrossRef
go back to reference Egan, P., & Mullin, M. (2012). Turning personal experience into political attitudes: The effect of local weather on Americans’ perceptions about global warming. Journal of Politics, 74(3), 796–809.CrossRef
go back to reference Egan, P., & Mullin, M. (2017). Climate change: US public opinion. Annual Review of Political Science, 20(1), 209–227.CrossRef
go back to reference Ekholm, S., & Olofsson, A. (2017). Parenthood and worrying about climate change: The limitations of previous approaches. Risk Analysis, 37(2), 305–314.CrossRef
go back to reference Elder, L., & Greene, S. (2006). The children gap on social welfare and the politicization of American parents, 1984–2000. Politics & Gender, 2(4), 451–472.CrossRef
go back to reference Elder, L., & Greene, S. (2007). The myth of “Security Moms’’ and “NASCAR Dads’’: Parenthood, political stereotypes, and the 2004 election. Social Science Quarterly, 88(1), 1–19.CrossRef
go back to reference Elder, L., & Greene, S. (2012a). The politics of parenthood: Causes and consequences of the politicization and polarization of the American family. SUNY Press.CrossRef
go back to reference Elder, L., & Greene, S. (2012b). The politics of parenthood: Parenthood effects on issue attitudes and candidate evaluations in 2008. American Politics Research, 40(3), 419–449.CrossRef
go back to reference Elder, L., & Greene, S. (2016). The politics of walmart moms: Parenthood and political attitudes in the 2012 election. Journal of Women, Politics & Policy, 37(4), 369–393.CrossRef
go back to reference Erikson, E. H. (1982). Identity and the life cycle. Norton.
go back to reference Falk, A., Becker, A., Dohmen, T., Huffman, D., & Sunde, U. (2023). The preference survey module: A validated instrument for measuring risk, time, and social preferences. Management Science, 69(4), 1935–1950.CrossRef
go back to reference Finnegan, J. (2022). Institutions, climate change, and the foundations of long-term policymaking. Comparative Political Studies, 55(7), 1198–1235.CrossRef
go back to reference Frederick, S., Loewenstein, G., & O’Donoghue, T. (2002). Time discounting and time preference: A critical review. Journal of Economic Literature, 40(2), 351–401.CrossRef
go back to reference Gahtan, E., Wilcox, E., & Jones, S. V. (2022). Parenthood and the temporal limits of concern for the future. preprint. PsyArXiv.
go back to reference Gailmard, S., & Patty, J. (2019). Preventing prevention. American Journal of Political Science, 63(2), 342–352.CrossRef
go back to reference Gallup. Environment. Retrieved February 7, 2024, from https://news.gallup.com/poll/1615/environment.aspx
go back to reference Gazmararian, A. F., & Milner, H. V. (2023a). Personal experience and self-interest: Diverging responses to global warming. OSF.
go back to reference Gazmararian, A. F., & Tingley, D. (2023b). Political economy of energy transitions. Unpublished Manuscript.
go back to reference Gazmararian, A. F., & Tingley, D. (2023c). Uncertain futures: How to unlock the climate impasse. Cambridge University Press.CrossRef
go back to reference Glynn, A. N., & Sen, M. (2015). Identifying judicial empathy: Does having daughters cause judges to rule for women’s issues? American Journal of Political Science, 59(1), 37–54.CrossRef
go back to reference Görlitz, K., & Tamm, M. (2020). Parenthood, risk attitudes and risky behavior. Journal of Economic Psychology, 79, 102189.CrossRef
go back to reference Greenlee, J. (2014). The political consequences of motherhood. University of Michigan Press.CrossRef
go back to reference Hafner-Burton, E., LeVeck, B. L., Victor, D. G., & Fowler, J. H. (2014). Decision maker preferences for international legal cooperation. International Organization, 68(4), 845–876.CrossRef
go back to reference Hale, T. (2024). Long problems: Climate change and the challenge of governing across time. Princeton University Press.CrossRef
go back to reference Healy, A., & Malhotra, N. (2009). Myopic voters and natural disaster policy. American Political Science Review, 103(3), 387–406.CrossRef
go back to reference Heaton, T., Jacobson, C., & Holland, K. (1999). Persistence and change in decisions to remain childless. Journal of Marriage and Family, 61(2), 531–539.CrossRef
go back to reference Hoffman, L., & Hoffman, M. (1973). The value of children to parents. In J. Fawcett (Ed.), Psychological perspectives on population (pp. 19–76). Basic Books.
go back to reference Imai, K., Keele, L., & Tingley, D. (2010). A general approach to causal mediation analysis. Psychological Methods, 15(4), 309–334.CrossRef
go back to reference Imai, K., Kim, I.-S., & Wang, E. (2023). Matching methods for causal inference with time-series cross-sectional data. American Journal of Political Science, 67(3), 587–605.CrossRef
go back to reference Jacobs, A. (2016). Policy making for the long term in advanced democracies. Annual Review of Political Science, 19(1), 433–454.CrossRef
go back to reference Jacobs, A., & Matthews, J. S. (2012). Why do citizens discount the future? Public opinion and the timing of policy consequences. British Journal of Political Science, 42(4), 903–935.CrossRef
go back to reference Jacobs, A., & Matthews, J. S. (2017). Policy attitudes in institutional context: Rules, uncertainty, and the mass politics of public investment. American Journal of Political Science, 61(1), 194–207.CrossRef
go back to reference Kam, C. D., & Simas, E. N. (2010). Risk orientations and policy frames. The Journal of Politics, 72(2), 381–396.CrossRef
go back to reference Klar, S., Madonia, H., & Schneider, M. C. (2014). The influence of threatening parental primes on mothers’ versus fathers’ policy preferences. Politics, Groups, and Identities, 2(4), 607–623.CrossRef
go back to reference Kopczuk, W., & Lupton, J. (2007). To leave or not to leave: The distribution of bequest motives. Review of Economic Studies, 74(1), 207–235.CrossRef
go back to reference Li, Y., Haws, K., & Griskevicius, V. (2019). Parenting motivation and consumer decision-making. Journal of Consumer Research, 45(5), 1117–1137.CrossRef
go back to reference Love, D. (2010). The effects of marital status and children on savings and portfolio choice. Review of Financial Studies, 23(1), 385–432.CrossRef
go back to reference McAdams, D., & Aubin, E. (1992). A theory of generativity and its assessment through self-report, behavioral acts, and narrative themes in autobiography. Journal of Personality and Social Psychology, 62(6), 1003–1015.CrossRef
go back to reference McCright, A. (2010). The effects of gender on climate change knowledge and concern in the American public. Population and Environment, 32(1), 66–87.CrossRef
go back to reference Milfont, T., Poortinga, W., & Sibley, C. (2020). Does having children increase environmental concern? Testing parenthood effects with longitudinal data from the New Zealand attitudes and values study. PLoS ONE, 15(3), e0230361.CrossRef
go back to reference Mills, M., Rindfuss, R. R., McDonald, P., & te Velde, E. (2011). Why do people postpone parenthood? Reasons and social policy incentives. Human Reproduction Update, 17(6), 848–860.CrossRef
go back to reference Mullin, M., & Hansen, K. (2023). Local news and the electoral incentive to invest in infrastructure. American Political Science Review, 117(3), 1145–1150.CrossRef
go back to reference Mummolo, J., & Peterson, E. (2019). Demand effects in survey experiments: An empirical assessment. American Political Science Review, 113(2), 517–529.CrossRef
go back to reference Mutz, D. (1994). Contextualizing personal experience: The role of mass media. Journal of Politics, 56(3), 689–714.CrossRef
go back to reference Nordhaus, W. (1975). The political business cycle. Review of Economic Studies, 42(2), 169.CrossRef
go back to reference Obama, B. (2014) Remarks by the President at U.N. climate change summit (United Nations Headquarters).
go back to reference Prior, M., Alsharawy, A., & Andrews, T. M. (2023). People are less myopic about future than past collective outcomes. Proceedings of the National Academy of Sciences, 120(52), e2310050120.CrossRef
go back to reference Rackin, H. M., Gemmill, A., & Hartnett, C. S. (2023). Environmental attitudes and fertility desires among US adolescents from 2005–2019. Journal of Marriage and Family, 85(2), 631–644.CrossRef
go back to reference Sheffer, L., Loewen, P. J., Soroka, S., Walgrave, S., & Sheafer, T. (2018). Nonrepresentative representatives: An experimental study of the decision making of elected politicians. American Political Science Review, 112(2), 302–321.CrossRef
go back to reference Shrum, T., Platt, N., Markowitz, E., & Syropoulos, S. (2023). A scoping review of the green parenthood effect on environmental and climate engagement. WIREs Climate Change, 14(2), e818.CrossRef
go back to reference Thoma, M., Copen, C., & Kirmeyer, S. (2014). Short interpregnancy intervals. Differences by maternal demographic characteristic. NCHS Data Brief, 240, 1–8.
go back to reference Tyson, A., Funk, C., & Kennedy, B. (2023). What the data says about Americans’ views of climate change. Pew Research Center.
go back to reference Urbatsch, R. (2014). Families’ values: How parents, siblings, and children affect political attitudes. Oxford University Press.CrossRef
go back to reference Wade-Benzoni, K., & Tost, L. (2009). The egoism and altruism of intergenerational behavior. Personality and Social Psychology Review, 13(3), 165–193.CrossRef
go back to reference Washington, E. L. (2008). Female socialization: How daughters affect their legislator fathers. American Economic Review, 98(1), 311–332.CrossRef
go back to reference Zaval, L., Markowitz, E., & Weber, E. (2015). How will I be remembered? Conserving the environment for the sake of one’s legacy. Psychological Science, 26(2), 231–236.CrossRef
    Image Credits
    Schmalkalden/© Schmalkalden, NTT Data/© NTT Data, Verlagsgruppe Beltz/© Verlagsgruppe Beltz, EGYM Wellpass GmbH/© EGYM Wellpass GmbH, rku.it GmbH/© rku.it GmbH, zfm/© zfm, ibo Software GmbH/© ibo Software GmbH, Sovero/© Sovero, Axians Infoma GmbH/© Axians Infoma GmbH, OEDIV KG/© OEDIV KG, Rundstedt & Partner GmbH/© Rundstedt & Partner GmbH