Zum Inhalt

Enzymatic hydrolysis and additional mild pretreatments for recovery of valuable compounds from organic fraction of municipal solid waste at high-solids loading

  • Open Access
  • 12.03.2025
  • Original Article
Erschienen in:

Aktivieren Sie unsere intelligente Suche, um passende Fachinhalte oder Patente zu finden.

search-config
loading …

Abstract

Der Artikel untersucht das Potenzial einer enzymatischen Hydrolyse in Kombination mit einer milden Vorbehandlung, um wertvolle Verbindungen aus der organischen Fraktion fester Siedlungsabfälle (OFMSW) bei hoher Feststoffbeladung zu extrahieren. Die Studie konzentriert sich auf die Auswirkungen verschiedener Vorbehandlungen wie Schreddern, Autoklavieren und Enzymzugabe auf die Freisetzung löslicher Verbindungen wie Glukose und Milchsäure. Die Forschung zeigt, dass enzymatische Hydrolyse die Löslichkeit von Verbindungen signifikant steigert, wobei Glukose das primär lösliche Molekül ist, das freigesetzt wird. Die Studie untersucht auch die Auswirkungen von Feststofffracht, Schreddern, Autoklavieren und Enzymzugabe auf die Fest-Flüssig-Trennung und bietet Einblicke in die Optimierung dieser Prozesse für industrielle Anwendungen. Die Ergebnisse deuten darauf hin, dass enzymatische Hydrolyse die Verarbeitbarkeit von OFMSW verbessern kann, was zu vorhersehbareren und konsistenteren Ergebnissen führt, die für industrielle Prozesse entscheidend sind. Der Artikel schließt mit der Hervorhebung der Bedeutung weiterer Forschung im Bereich Scale-up und Kostenanalyse, um die Nutzung von OFMSW als Substrat für biotechnologische Prozesse zu unterstützen.

Statement of novelty

In a circular economy, biogenic wastes should be considered as a valuable resource for the production of chemicals by microbial fermentation. This work investigates the effect of different pretreatments of organic fraction of municipal solid waste with high dry matter contents regarding the recovery of carbon sources and processing characteristics. The results show that addition of enzymes can increase the amount of soluble compounds and explain how this can improve solid–liquid separation. This provides a better understanding of the ongoing biochemical processes during the pretreatment and storage of biogenic wastes. The findings are also relevant for the technical implementation in biorefineries.

Publisher's Note

Springer Nature remains neutral with regard to jurisdictional claims in published maps and institutional affiliations.

1 Introduction

In 2023, 229 million metric tons of municipal waste were generated within the EU [1]. According to the European Environment Agency, 34% of the municipal waste is biowaste, representing a valuable resource [2]. As a result of EU regulations such as the Landfill Directive 1999/31 of the European Union and further legal obligations such as the separate collection of biowaste, the necessity to process organic waste streams will increase. This development will lead to an elevated demand for new valorisation routes in addition to composting or anaerobic digestion [3]. The organic fraction of municipal solid waste (OFMSW) is a type of biowaste and a potential substrate for biotechnological processes [4, 5]. OFMSW contains cellulose as most abundant polysaccharide and other carbohydrates such as hemicelluloses, starch, and free sugars. Further constituents are fat, oil, grease, proteins, and lignin [6]. In addition, OFMSW is a feedstock that is not directly in competition with food supply. Therefore, the potential of organic waste as source for secondary products appears to be considerable, but it is still underused or unexploited [4, 79]. In order to utilise OFMSW, a certain pretreatment is crucial. Additionally, the difference between food waste and OFMSW in terms of complexity and chemical composition has to be considered [4, 10]. Pretreatment methods described in literature generally focus on lignocellulosic biomass such as agricultural residues. These methods can also be applied on OFMSW, aiming to hydrolyse the cellulosic and hemicellulosic parts [11].
Pretreatments can be categorised into chemical methods, such as ozonation, acid or alkali addition, physical methods such as size-reduction or microwave irradiation and biological methods such as adding enzymes or microorganisms [12, 13]. Chemical and physical pretreatment methods are usually associated with high capital and operating costs, for example due to high energy consumption. Additionally, inhibitory compounds such as phenolic compounds or furan derivatives can be formed, which affect subsequent microbial processes [1214]. Biological methods generally take longer and still have limited impact on the overall yield [12, 13]. Therefore, biological methods such as enzymatic hydrolysis should be the subject of current research to address these issues. Enzymatic hydrolysis is an environmentally friendly alternative to conventional chemical pretreatment procedures [15] and is also applied in combination with physical methods such as milling [16]. Combining several pretreatments might be of special interest when treating biomasses at high-solids loading [16]. High-solids loading describe the utilisation of high amounts of biomass per sample volume [16] and can be defined by ≥ 15% (w/w) solid loadings [17] or by ≥ 20% total solids in anaerobic digestion processes [18]. Previous studies at high-solids loading focused on lignocellulosic materials such as straw or bagasse [16]. Therefore, additional information for pretreatment of OFMSW is required [8]. After the pretreatment a solid–liquid separation is needed for product recovery [19, 20]. Weiss et al. [19] mentioned a lack of knowledge on the influence of enzymatic hydrolysis of different organic materials on solid–liquid separation.
In the present work, enzymatic hydrolysis alone and in combination with other pretreatments was applied on OFMSW at high-solids loading (25% and 30% dry matter content) aiming to increase the total amount of soluble compounds within the liquid fraction. It was decided to use material from an industrial-level waste treatment plant instead of model biowaste to obtain results that are more relevant for industrial application. An in-depth analysis on the influences of autoclaving to reduce the microbial activity and size reduction prior to the enzymatic hydrolysis was conducted. A systematic evaluation of the impact of the tested factors on solid–liquid separation and soluble compounds within the liquid fraction was carried out. By this, the present study is addressing open questions about pretreatment of OFMSW at high-solids loading including the influence on solid–liquid separation.

2 Materials and methods

2.1 Organic fraction of municipal solid waste

OFMSW was provided by a waste treatment plant in Belgium. After separate door to door collection from the municipalities, in this plant, OFMSW is shredded and sieved to < 60 mm; metals are removed by a magnet, and the waste is stored at the plant. For the purpose of limiting the complexity of the waste substrate and thereby allowing a clearer measurement of the effects, one batch of OFMSW was used. Impurities such as glass, metals or stones were manually removed prior to chemical analysis of the raw material and the hydrolysis experiment.

2.2 Study design and statistical analysis

An experimental design with four factors at two levels was established (Table 1). Three different pretreatments were performed, and two different dry matter (DM) contents tested. DM contents were 25 g DM per 100 g slurry and 30 g DM per 100 g slurry and are in the following termed ‘25% slurry’ and ‘30% slurry’. Four factors were tested at two levels. For each combination, six replicates were prepared resulting in 96 samples in total. The samples were randomised in pairs and were incubated for 24 h in six separate blocks. The response variables were the concentrations of soluble compounds measured in the liquid fraction (lactic acid, glucose, soluble chemical oxygen demand (sCOD)), the weight of the liquid fraction (LF) and solid fraction (SF) after separation as well as the DM content of SF. The software STATGRAPHICS (Centurion, Version 19.4.01, Statgraphics Technologies, Inc., VA, USA) was used for statistical data analysis. The graphs were created with SigmaPlot 14.0 (Grafiti LLC, CA, USA).
Table 1
Factors and levels in the experimental design
Factors
Factors abbreviation
Levels
Enzyme addition
E + /E − 
Enzyme solution ( +) or water ( −) added
Shredding
S + /S − 
Shredding ( +) or no shredding ( −)
Autoclaving
A + /A − 
Autoclaving ( +) or no autoclaving ( −)
Solid load
SL + /SL − 
Dry matter content of 30% ( +) or 25% ( −)

2.3 Preparation and enzymatic hydrolysis of OFMSW slurry

For better comparison, the same amount of OFMSW was used for preparation of both solid loads (SL ±). Without shredding (S −), 40 mL reverse osmosis water (RO-water) was added to 151 g manually sorted OFMSW (corresponding to 60.1 g DM and 44 g volatile solids). For shredded samples (S +), sorted OFMSW was shredded after water addition at the same solid to liquid ratio (3.8:1) with a kitchen mixer (1500 Watt, Emerio Tsimshatsui, Kowloon, Hong Kong). Shredded material was freshly prepared for each run. If required by the study design, samples were autoclaved at 121 °C for 20 min (A +). Samples without autoclaving (A −) were incubated at room temperature (RT) for the same time. For the autoclaving step, solid to liquid ratio was the same within all samples. After autoclaving, samples were put on ice for 15 min to cool down. To account for losses during autoclaving, buckets were weighed before and after autoclaving, and sterile RO-water was added to eliminate differences. In order to prepare a 25% slurry, additional water (40.1 mL) was added. Enzymatic hydrolysis was carried out by adding diluted enzyme solution (E + ; enzyme dosage 0.2 mL enzyme preparation per 100 g volatile solids) or RO-water (E −) to the slurry. Total weight of 25% slurry was 240.4 g (151 g OFMSW, 80.1 mL RO-water and 9.3 mL enzyme solution or RO-water) and for 30% slurry, 200.3 g (151 g OFMSW, 40 mL RO-water and 9.3 mL enzyme solution or RO-water). The enzyme preparation is made from a Trichoderma derived enzyme blend (Biopract GmbH, Berlin, Germany) containing mainly cellulase, xylanase and glucanase activities. Enzyme activities of the enzyme preparation were determined according to adapted standard methods as described elsewhere at pH 4.8 and 55 °C [2126]. One unit (U) was calculated as one µmol of reaction product generated per minute. The enzyme preparation had a protein content of 85.8 ± 8.9 mg mL−1 and a filter paper activity of 148.4 ± 9.5 FPU mL−1, CMC activity of 1111 ± 26 U mL−1 (with 2% (w/v) CMC solution (sodium carboxymethyl cellulose with 90,000 g mol−1, Sigma Aldrich, Vienna, Austria) and xylanase activity of 25,788 ± 747 U mL−1 (with 1% (w/v) beechwood xylan (Roth, Karlsruhe, Germany)) solution. OFMSW slurries were incubated in closed buckets (polypropylene, volume 1180 mL) at 55 °C and 100 rpm for 24 h in an incubator (Infors HT Multitron, Switzerland).

2.4 Separation of OFMSW slurry

For sampling, buckets were put into a boiling water bath for 10 min to completely deactivate all enzyme activity and afterwards cooled down on ice for 20 min. Same procedure was done for controls without enzyme addition. The entire content of each bucket was centrifuged (Sorvall™ Lynx™ 6000 centrifuge; Thermo Scientific, Thermo Fisher Scientific Inc., MA, USA) at 17,568 rcf and 20 °C for 20 min. The supernatant was decanted through a metal sieve (0.5 mm pore size) into a previously dried and weighed glass beaker in order to determine the weight of the LF. The LF was subsequently stored at − 20 °C for later analyses. The weight of the remaining solid fraction (SFwet) was determined directly in the centrifugation vessel, and the SF was subsequently dried via lyophilisation in a separate container.

2.5 Chemical analysis

For general chemical analysis, an aliquot of the OFMSW was frozen at − 80 °C and subsequently dried via lyophilisation (Gamma 1–16 LSCplus, Christ, Osterode am Harz, Germany). Lyophilised OFMSW was shredded with a conventional kitchen mixer as described above. Water and methanol extractions (methanol > 99.9%, VWR Chemicals; method adapted from Sluiter et al. [27]) were done with an automated extraction device (Soxtherm® Gerhardt GmbH, Königswinter, Germany). Total dry weight of the water-soluble part (water extractives) and methanol-soluble part (methanol extractives) of OFMSW are shown in Table 2. HPLC analysis of the water extractives was used to identify the most important organic molecules in the liquid (Table 3). Extractives-free OFMSW was dried at 60 °C for 1 h and milled with a centrifugal mill (Retsch ZM1000, Retsch GmbH, Haan, Germany) equipped with a 1 mm sieve. From extractives-free material, structural carbohydrates and the acid insoluble proportion were determined (method adapted from Sluiter et al. [28]). COD of lyophilised and shredded OFMSW was determined by titration of excess potassium dichromate (DIN 38 409 H 41) [29]. Kjeldahl nitrogen was determined by an automated titration device (Büchi Autokjeldahl Unit K-370 and Büchi Digest Automat K-438, BÜCHI Flawil, Switzerland). Dry matter and ash content of unprocessed material and of lyophilised OFMSW samples were determined according to standard methods [30, 31].
Table 2
Chemical analysis of OFMSW as collected from the waste treatment plant
Analysis
Unit
Result ± standard deviation (SD)**
Dry matter (DM)
g (100 g)−1
39.8 ± 1.84
Chemical oxygen demand (COD)
g (100 g DM)−1
110 ± 8.9
Ash
g (100 g DM)−1
26.4 ± 1.65
Crude protein
g (100 g DM)−1
10.0 ± 0.33
Water extractives
g (100 g DM)−1
18 ± 1.0
Methanol extractives
g (100 g DM)−1
9.46 ± 0.80
Klason-Lignin*
g (100 g DM)−1
14.0 ± 0.84
Glucan (anhydro-glucose)
g (100 g DM)−1
20.6 ± 1.05
Hydrolysable hemicelluloses
g (100 g DM)−1
11.3 ± 0.50
*Method adapted from Sluiter et al. [28] with limitations
**SD of analysis error given
Table 3
Water soluble molecules present in OFMSW as collected from the waste treatment plant and determined by HPLC after water extraction from chemical analysis
Measured analyte
g (100 g DM)−1
Lactic acid
5.47 ± 0.46
Acetic acid
0.78 ± 0.05
Mono- and disaccharides
0.60 ± 0.13
Water soluble molecules (SUM)
8.50 ± 0.36
 ± SD of analysis error given
For determination of the sCOD, Hach® Lange test kits (LCK914 cuvette tests for 5–50 g L−1 O2; Hach Company, CO, USA) were used. Soluble molecules were analysed by HPLC (1100 series with refractive index detector, Agilent Technologies, Santa Clara, CA, USA; column ION300, Transgenomic, Omaha, NE, USA; column temperature 45 °C; eluent 0.005 M H2SO4, flow rate 0.325 mL min−1; prior to analysis, Carrez precipitation using ZnSO4 and K4[Fe(CN)6]). Results from the chemical analysis of the OFMSW are shown in Table 2. Results are given with standard deviation of the analysis error from six replicates, except for DM from four replicates, and crude protein was calculated in duplicates.
The weight of the LF obtained after centrifugation of OFMSW slurry was measured for each pretreatment combination. Syield as yield given in g of soluble compound recovered in the LF after centrifugation per 100 g OFMSW (on a DM basis) is calculated according to Eq. 1, where Sconc denotes the concentration of soluble compound in g L−1; LF refers to the amount of LF received after centrifugation in g and DMstart is 60.1 g. For concentrations below the calibration range of the HPLC (0.5 – 50 g L−1), the lower calibration limit (0.5 g L−1) was used as a numeric value for statistical calculations and data visualisation.
$${S}_{\text{yield}}=\frac{\frac{{S}_{\text{conc}}}{1000}\times \text{LF}}{{\text{DM}}_{\text{start}}}\times 100$$
(1)

3 Results and discussion

3.1 Enzymatic hydrolysis of OFMSW to increase the concentration and yield of soluble compounds

Enzymatic hydrolysis of OFMSW was applied with and without pretreatments to enhance the release of soluble molecules from polysaccharides that are easily hydrolysed. To investigate the influence of DM content during enzymatic hydrolysis of OFMSW at high-solids loading, 25% and 30% slurry were incubated. In order to minimise water consumption and dilution effects, enzymatic hydrolysis at high-solids loading seems to be preferable [32]. At high-solids loading, however, the yield of enzymatic hydrolysis decreases due to several effects [33]. Within the present study, glucose and lactic acid were the main soluble molecules found within the LF after enzymatic hydrolysis of OFMSW slurry.

3.2 Glucose

As expected, glucose concentrations increased in both DM concentrations (SL + / −) during enzymatic hydrolysis (E +) compared to the treatment without enzyme addition (E −) (Fig. 1). The applied enzyme preparation includes cellulase activities. Hence, as a major product of enzymatic hydrolysis, glucose can be expected in increased amounts in the liquid fraction. It is worth noting that even without enzyme addition, glucose was released, with higher glucose concentrations from not-autoclaved samples (A −). This release indicates hydrolytic activity by microorganisms and enzymes present in the OFMSW [34]. Organic wastes are potential substrates for a wide variety of microorganisms [7]. Certain strains produce hydrolytic enzymes, such as cellulases, xylanases or proteases from organic wastes [7, 35]. Additionally, activities of lipase, amylase and protease were detected in food waste and sewage sludge during anaerobic digestion [36]. Similar activities are to be expected in the OFMSW. Autoclaving kills indigenous microorganisms and denatures protein structures, i.e. enzymes [37, 38]. This leaves them inactive, and their influence on hydrolysis is diminished. By comparing not-autoclaved samples without enzyme addition (E − /A −) with not-autoclaved samples with enzyme addition (E + /A −), the effect of the added enzyme solution on the glucose release beyond the influence of indigenous organisms can be clearly seen.
Fig. 1
Glucose concentration (left) and yield (right) from 25% (SL −) and 30% (SL +) OFMSW slurry after different pretreatment procedures. The pretreatment combinations are shown on the y-axis (E + /E − enzyme addition/water addition, S + /S − shredding/no shredding, A + /A − autoclaving/no autoclaving). E − S − A − represents OFMSW samples incubated without enzyme addition and without any further pretreatment, where SL − indicates 25% slurry and SL + 30% slurry
Bild vergrößern
The highest glucose concentration of 9.62 ± 0.35 g L−1 was found from shredded 25% slurry after enzyme addition without autoclaving (E + /S + /A − /SL −). Interestingly, obtained glucose concentrations in the 25% slurry after enzymatic hydrolysis were within the same range as in the 30% slurry, implying enhanced glucose release from 25% slurry. This raise obviously outweighs the dilution effect due to the larger volume of water added for preparing the 25% slurry. This is in good agreement with previous findings, where the hydrolytic efficiency is reduced at high-solids loading [3942].
The highest glucose yield (1.98 g (100 g DM)−1) was obtained after enzyme addition to shredded 25% slurry without autoclaving (E + /S + /A − /SL −). In comparison, 22.9 g glucose from 100 g DM were found after severe acid hydrolysis of OFMSW with sulphuric acid from chemical analysis of the material. Almost 9% of maximum obtainable glucose were released with this treatment combination (E + /S + /A − /SL −). This comparably low yield can be explained by the recalcitrant character of the material, the mild pretreatment conditions and short incubation time. Instead of full hydrolysis of the biomass, the aim of the present study was to investigate the impact of enzymatic hydrolysis of OFMSW on the release of soluble molecules from polysaccharides. Under the present conditions, a clear effect of enzyme addition on glucose release could be successfully shown. For glucose yield, 25% DM seems to be more beneficial compared to 30% DM.

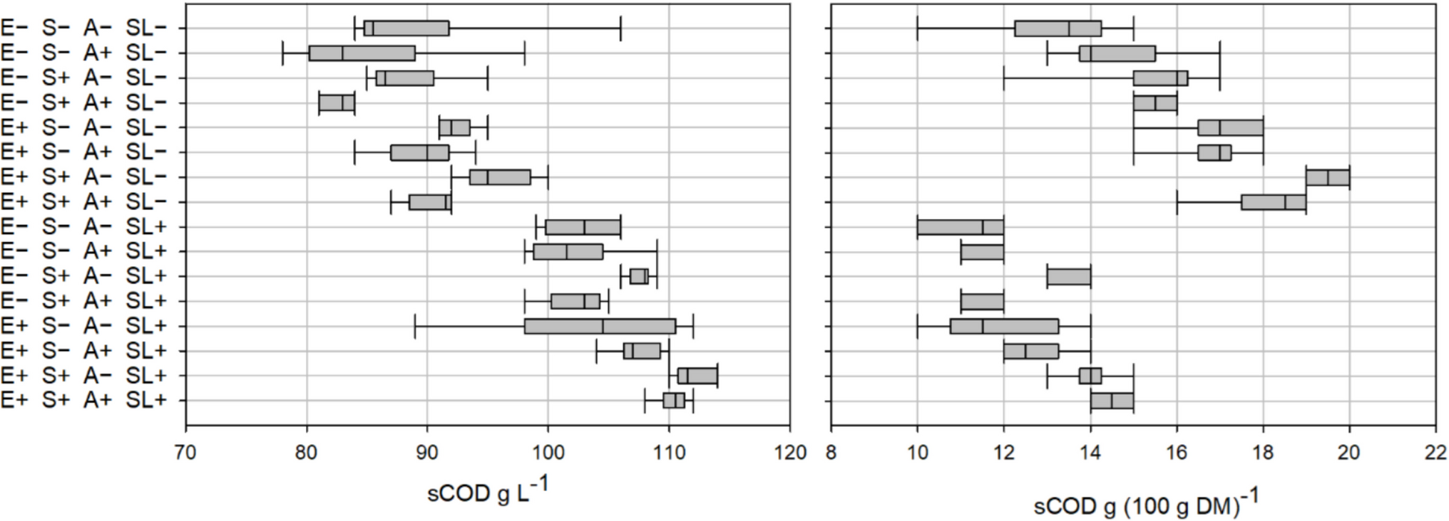
3.3 Chemical oxygen demand

COD helps to estimate the exploitable organic part of biomass [14]. During OFMSW hydrolysis, macromolecules such as starch or cellulose are degraded into oligomers and soluble oligosaccharides [43]. In the present work, sCOD of the LF was determined to evaluate the effect of the added enzyme preparation on different soluble compounds. Higher concentrations were found from 30% slurry compared to 25% slurry as shown in Fig. 2. Lowest concentration (83 ± 1.4 g L−1) was obtained from shredded and autoclaved 25% slurry without enzyme addition (E − /S + /A + /SL −) and highest concentration (112 ± 1.7 g L−1) from shredded and 30% slurry with enzyme addition (E + /S + /A − /SL +). Concentrations are comparable with literature. For example, shredded OFMSW with a total solids content of 155.32 ± 3.8 g kg−1 contained 58.33 ± 5.6 g L−1 sCOD [14]. The chemical analysis of the substrate gave a value of 110 ± 8.9 g COD from 100-g dry OFMSW. The highest sCOD yield of 19.5 ± 0.55 g (100-g DM)−1 was achieved after shredding and enzyme addition of 25% slurry without autoclaving (E + /S + /A − /SL −). This roughly corresponds to 18% of the total COD solubilised within the LF. This means that after the enzymatic hydrolysis, the solid fraction still contains a considerable amount of COD that can be exploited for additional valorisation via anaerobic digestion or similar routes [44].
Fig. 2
Soluble chemical oxygen demand (sCOD) concentration (left) and yield (right) from 25% (SL −) and 30% (SL +) OFMSW slurry after different pretreatment procedures. The pretreatment combinations are shown on the y-axis (E + /E − , S + /S − , A + /A −)
Bild vergrößern
Similar to glucose, the sCOD yield was higher when more bulk water was available. Enzyme addition significantly increased the yield from 25% slurry in three pretreatment combinations, whereas 30% slurry was not affected (95% confidence level, multiple range test). Additionally, based on the lowest sCOD concentrations (SL − 83 g L−1 and SL + 102 g L−1), enzyme addition resulted in a maximum increase of 16% for lower solid load (SL −) and 10% for higher solid load (SL +). This suggests reduced enzymatic hydrolysis at higher solid loadings. In line with these findings, Jørgensen et al. [45] found a clear negative correlation between initial DM and final conversion of cellulose and hemicellulose in wheat straw. Additionally, Mlaik et al. [46] described that soluble compounds from enzymatic hydrolysis of OFMSW mixed with green waste are not enhanced proportionately, when solid loadings are increased. Kristensen et al. [39] introduced the ‘solids effect’ at high-solids loading. In their experiments with filter paper as model substrate, they were able to show that enzyme adsorption declines if initial solid content is elevated. In addition to product inhibition, a reduced adsorption of cellulases on cellulose at increased solids concentrations can influence the hydrolysis yield. Apparently, there is a certain trade-off between obtaining higher concentrations by using less water and reducing the overall efficiency of the process [17, 39]. Additionally, it was observed that low hydrolysis yield at higher solid loadings cannot be overcome by elevated enzyme dosages [39]. In the present study, reduced enzymatic hydrolysis at higher solid loading of OFMSW was demonstrated, which complements findings on other lignocellulosic materials from literature.

3.4 Practical implications of enzymatic hydrolysis of OFMSW at high solid loadings

Although favoured, high-solids loading can be problematic at large scale, as for example mixing might be difficult to achieve [17]. In the present experiment, OFMSW at 30% DM content appeared as a highly viscous mass, whereas OFMSW at 25% DM content was more fluid. For high-solids loading, hydrolysis of the solids by enzymatic activity might help to make the slurry pumpable and processable at large scale [47]. Additionally, as discussed above, finding the appropriate solid load is important to optimise the product yield and to reduce the overall water consumption.
Although high-solids loadings (25% DM and 30% DM) were treated, comparably low enzyme dosage was applied in the present study. For the present lab scale hydrolysis experiments, an enzyme dosage of 0.2 mL for 100 g volatile solids, which correspond to 30 FPU per 100 g volatile solids or 0.2 FPU per g DM, was selected in order to allow a transfer of the findings to industrial processes. The cost of enzymes as the major limitation of enzymatic hydrolysis must be considered during evaluation of pretreatment methods [15]; hence, low dosages are desired. In another study, dosages between 0.03 and 0.75 FPU per g DM for enzymatic hydrolysis of sugar beet pulp and spent hops before anaerobic digestion were applied. The authors considered 0.15 FPU per g DM as a low dosage [48]. Jensen et al. [49] used a minimum of 0.5 FPU per g DM of commercial multicomponent cellulase preparations on pretreated municipal solid waste and within another study enzyme dosage of 1 g FPU per g DM on model municipal solid waste [47]. However, enzyme dosages are difficult to compare, as applied enzyme preparations might offer different activities, and enzyme dosage does not only depend on the DM content but also on the hydrolysable part of the material [50].
Within the present study, enzymatic hydrolysis of carbohydrates by an enzyme blend containing mainly cellulase and hemicellulase activity was investigated. Other activities such as proteases or lipases were not in the focus of the study presented but are mentioned in literature for efficient hydrolysis of OFMSW [51]. Finding suitable enzyme preparations can reduce the enzyme dosage [52]. Further research on enzyme preparations with different activities customised for the specific feedstock could therefore optimise enzymatic hydrolysis. Moreover, cost–benefit ratio needs to be evaluated for each individual process [53, 54].
Due to the metabolic activity of microorganisms during transport and storage, OFMSW is a feedstock with high variability of soluble compounds [4, 34]. Furthermore, compositional variability due to seasonal changes might influence established treatment processes [55]. However, another study found a relative low variation in composition during sampling of OFMSW over 1 year in Germany [56]. Impurities in the OFMSW must be considered as well. Hence, the results from manually sorted waste as discussed in the present study might not be directly transferable to industrial applications [56]. As a pretreatment, enzymatic hydrolysis can help to prepare OFMSW for subsequent processes for further valorisation. Even though some glucose was released during incubation without enzyme addition, adding enzyme preparation increases the release of soluble compounds, especially of glucose. Additionally, the replicates appeared to be more homogenous. Hence, by enzymatic hydrolysis, the outcome is more predictable, which is desired in industrial processes.

3.5 Impact of shredding and autoclaving

Shredding of OFMSW was applied for size reduction of particles. Shredding and subsequent enzymatic hydrolysis without autoclaving resulted in the highest glucose concentration for both slurries (9.62 g L−1 and 8.64 g L−1 from 25 to 30% slurry, respectively). This shows that size reduction in combination with enzymatic hydrolysis is beneficial in terms of glucose release. Furthermore, shredding increased sCOD and glucose concentrations in some pretreatment combinations suggesting a slightly improved hydrolysis and thus release of compounds after size reduction of the OFMSW [14, 57]. These findings are in line with results reported in literature, emphasising the importance of size reduction, leading to increased surface area, for improved hydrolysis efficiency [58]. However, shredding did not result in a notable increase of lactic acid concentration during the subsequent incubation.
 Lactic acid is already formed during storage and transportation of OFMSW by indigenous microorganism and therefore high amounts of lactic acid are already present in the OFMSW (Table 3). The observed lactic acid formation is comparable to values obtained by other researchers at similar conditions [34]; higher yields may be obtained by using pH control in a bioreactor system and by inoculation with a lactic acid-forming organism [4]. Additionally, the microbial formation of lactic acid is highly fluctuating. In combination with the heterogenous nature of the material, this is leading to the higher variability within the replicates (Fig. 3). As expected, the lower water content of the 30% slurry resulted in higher lactic acid concentrations compared to 25% slurry. Lactic acid concentrations were 30.3 ± 0.84 to 35.8 ± 5.60 g L−1 from 25% slurry and 37.8 ± 1.38 to 42.9 ± 0.64 g L−1 from 30% slurry. Comparable results are reported in literature; however, applied treatments and dry matter content of the OFMSW must be considered [4, 34, 59].
Fig. 3
Lactic acid concentration (left) and yield (right) from 25% (SL −) and 30% (SL +) OFMSW slurry after different pretreatment procedures. The pretreatment combinations are shown on the y-axis (E + /E − , S + /S − , A + /A −)
Bild vergrößern
Interestingly, the applied enzyme preparation released glucose from the recalcitrant material, even without prior size reduction. Nevertheless, a higher overall glucose release was reached when shredding was applied prior to enzymatic hydrolysis. It can be assumed that enzymatic hydrolysis of OFMSW does not necessarily require an additional size reduction step, which might be important when the applicability of size reduction methods is limited due to interfering impurities [56, 60]. However, a reduction in the overall yield is to be expected. Pretreatments, especially size reduction, are energy-intensive and costs must be considered as well [12, 61, 62].
Without adding enzyme solution, autoclaving in combination with shredding released glucose in comparable amount (SL − , 0.20 ± 0.02 g glucose from 100-g DM and SL + , 0.16 ± 0.01 g glucose from 100 g DM) as during water extraction done for the chemical analysis of the material (0.21 g glucose from 100 g DM). Autoclaving had a negative effect on glucose concentration as well as on the glucose yield. This is in disagreement with findings in literature about elevated carbohydrate release after thermal pretreatment (at 120 °C) from food waste [15]. In the present work, the aim of autoclaving was to reduce the microbial activity during the incubation of OFMSW to be able to evaluate the release of glucose. Hence, a relatively low temperature for a short time was applied, which probably diminished the effect as a thermal pretreatment. Still, thermal pretreatments at temperatures of 120 °C or lower have been described to release soluble compounds from organic solid wastes in literature [15, 63]. Lower lactic acid concentrations found from autoclaved (A +) samples indicate reduced microbial activity towards lactic acid formation; however, more glucose was found from not-autoclaved samples (A −). The present findings imply that autoclaving is not necessarily needed to prevent glucose consumption by indigenous microorganisms within this experimental set-up. However, the small increase in lactic acid concentrations indicate microbial activity; hence, complete prevention of glucose consumption was not ensured. This has to be taken into account when evaluating the glucose release by enzymatic hydrolysis.
The overall rather negative impact of autoclaving on the amount of soluble compounds could be explained by the reduction of the activity of indigenous enzymes in the OFMSW, as discussed above, as well as a reduction of microbial activity. Active microorganisms, that are very well adapted to the OFMSW [34], can have a positive impact on the solubilisation of compounds during the incubation. The same microbial activity might explain the higher lactic acid concentration compared to autoclaved samples within the present study [64]. For example, Probst et al. found that mainly Lactobacillus sp. are present in their examined biowaste sample [34, 59]. Lactic acid represents the main soluble molecule measured by HPLC in the liquid fraction (Table 3), and it is probably also one of the main molecules representing sCOD. However, sCOD yield was not influenced by autoclaving. As lactic acid is already present at high concentrations before incubation, smaller changes in concentrations might not be noticeable within the sCOD yield. These findings suggest that autoclaving might be dispensable. Since autoclaving is in general an energy- and cost-intensive procedure, it should be avoided [15, 65]. Decisions on treatments before enzymatic hydrolysis should be made with respect to the specific material and subsequent processing steps. Additionally, detailed techno-economic analyses are needed to find the optimum treatment combination.

3.6 Effect of enzymatic hydrolysis on solid–liquid separation

Solid–liquid separation of pretreated OFMSW at high-solids loading was investigated. This allowed to examine the effect of enzymatic hydrolysis of OFMSW on a subsequent solid–liquid separation, which may help to design large-scale applications accordingly [19].
In literature, different effects of enzymatic hydrolysis on the solid–liquid separation are reported. For example, Kinnarinen et al. [66] described a reduced filterability after enzymatic hydrolysis of cardboard waste due to decreased particle size. Weiss et al. [19] proposed that increased water retention of pre-treated wheat straw after enzymatic treatment influences solid–liquid separation negatively. Reduction of particle size during enzymatic hydrolysis was observed and could explain altered sorption behaviour [19].
It was hypothesised that enzymatic hydrolysis of OFMSW, beside enhancing the solubilisation of compounds, additionally influences the solid–liquid separation, for example by altered sorption behaviour described in literature [19]. Adding enzyme solution had an impact on the amount of obtained LF after centrifugation in both DM slurries (Figs. 4 and 5). The effect of the enzymes seems to be more pronounced after incubation of 25% slurry compared to 30% slurry, which suggests on the one hand partially impaired enzymatic hydrolysis at higher solid loadings, and on the other hand a correlation between enzymatic hydrolysis and amount of LF. It was also observed that the range between highest and lowest amount of obtained liquid fraction from 100 g centrifuged slurry is greater for 25% slurry (52.81 to 39.03 g LF) compared to 30% slurry (39.11 to 33.10 g LF). This could be a result of enhanced enzymatic hydrolysis in 25% slurry. Suggested reduced enzymatic hydrolysis at higher solid loadings is in line with findings from glucose and sCOD yields discussed above. Mass transfer limitations, product inhibition, and reduced adsorption at higher solid loadings are already reported as potential explanations in literature [33, 39].
Fig. 4
Liquid fractions (LF) after centrifugation of 25% (SL −) OFMSW slurry after different pretreatment procedures. The pretreatment combinations are shown on the y-axis (E + /E − , S + /S − , A + /A −)
Bild vergrößern
Fig. 5
Liquid fractions (LF) after centrifugation of 30% (SL +) OFMSW slurry after different pretreatment procedures. The pretreatment combinations are shown on the y-axis (E + /E − , S + /S − , A + /A −)
Bild vergrößern
In 25% slurry, enzyme addition increased the COD yield in three pretreatment combinations, whereas no significant difference in COD concentration after enzyme addition was observed (95% confidence level). It can be presumed that the calculated yield of the desired soluble compounds is improved at 25% DM content due to the higher amount of liquid fraction, since the amount of LF received after centrifugation is entered into the yield calculation (Eq. 1). In addition, the effect of enzymatic hydrolysis becomes apparent after evaluating the differences between concentration and yield of the soluble molecules. Lactic acid is not directly a product of enzymatic hydrolysis. The fact that shredding and enzyme addition had no significant effect on the concentration of lactic acid but showed a significant effect on lactic acid yield (95% confidence level) might be explained by the positive impact of shredding and enzyme addition on the hydrolysis of OFMSW, thus leading to a higher recovery of LF after centrifugation. In other words, increased amount of LF after a pretreatment led to increased yields even when the pretreatment did not significantly change the concentration of the measured analyte.
An effect of different pretreatments on solid–liquid separation based on changed sorption behaviour should be recognisable from changes in the water content of the remaining solid fraction after centrifugation. However, the results of the present study show hardly any changes in this respect compared to the clearly varying amounts of obtained liquid fraction (Fig. 6). It is suggested that enzymatic hydrolysis did not change the separation efficiency of the OFMSW slurry within this experimental set-up. This opposing behaviour compared to hydrolysed substrates in literature can be explained by the characteristics of the material and stronger resistance during hydrolysis. Additionally, high centrifugal forces were applied. The results indicate that an increased amount of LF can be related to enhanced hydrolysis of solids. Hydrolysis dissolves solid components and thus reduces the mass fraction of solids in the slurry, while at the same time, the mass of the liquid fraction is increased due to the higher concentration of dissolved compounds. DM loss after enzymatic hydrolysis is also described in literature [41]. Higher amount of LF was observed after shredding and enzyme addition, which could be related to improved hydrolysis by these factors. This is in line with results obtained from released glucose discussed above, reflecting the influence on the hydrolysis of the solids.
Fig. 6
Solid (SFwet) and liquid fractions (LF) and DM content of solid fractions (DM SF) obtained after centrifugation of 25% (SL −) and 30% (SL +) OFMSW slurry after different pretreatment procedures. The pretreatment combinations are shown on the x-axis (E + /E − , S + /S − , A + /A −)
Bild vergrößern
Thus, by adding the enzyme solution, hydrolysis can be enhanced at mild conditions, leading to more liquid fraction that can be obtained by solid–liquid separation and, therefore, to a higher overall yield of soluble compounds. These findings are especially important for process design, as different substrates might lead to varying hydrolysis yield, and consequently, the processable solid load and the optimum hydrolysis conditions must be defined accordingly.

4 Conclusions

In this article, enzymatic hydrolysis of real OFMSW at high-solids loading was assessed. The systematic evaluation of solid load, shredding, autoclaving and enzyme addition is important to decide on effective pretreatment procedures for biorefinery approaches. Glucose is the main soluble molecule released from OFMSW during enzymatic hydrolysis. This release is mainly attributed to the addition of hydrolytic enzymes. Together with lactic acid, these soluble molecules were predominantly found in the liquid fraction. Increasing the solid load resulted in reduced hydrolysis yield. Nevertheless, from OFMSW with 25% dry matter content, which is still high-solids loading, soluble compounds were increased successfully after enzyme addition. By determining the actual amount of liquid fraction after centrifugation, yield calculations can be used to examine the overall impact of the tested factors. Improved hydrolysis resulted in a higher amount of liquid fraction obtained after centrifugation, which has a positive impact on the overall yield of soluble compounds. However, this effect is attributed to the degradation of DM during enzymatic hydrolysis and not to an improved separation behaviour. In the present set-up, autoclaving was not necessarily needed to prevent glucose consumption as higher glucose yield was obtained without autoclaving. Shredding can have a positive impact and adds up to the effect of enzymatic hydrolysis. However, shredding might be dispensable, as the applied enzyme preparation was also able to hydrolyse OFMSW that was not additionally shredded, although with a lower yield. In conclusion, increased hydrolysis of the biomass can be ensured by adding enzyme solution, leading to a processable biomass and predictable and consistent results, which is crucial for industrial processes. The presented results help to support the utilisation of OFMSW as substrate for biotechnological processes, especially at high-solids loading. Future studies should focus on scale-up and cost analysis after eventual optimisation of the process.

Declarations

Competing interests

Authors AP, MN and GMG declare that they have no competing interests. Author AHK is managing director of the company Biopract GmbH, from which the applied enzyme preparation was provided.
Open Access This article is licensed under a Creative Commons Attribution 4.0 International License, which permits use, sharing, adaptation, distribution and reproduction in any medium or format, as long as you give appropriate credit to the original author(s) and the source, provide a link to the Creative Commons licence, and indicate if changes were made. The images or other third party material in this article are included in the article's Creative Commons licence, unless indicated otherwise in a credit line to the material. If material is not included in the article's Creative Commons licence and your intended use is not permitted by statutory regulation or exceeds the permitted use, you will need to obtain permission directly from the copyright holder. To view a copy of this licence, visit http://creativecommons.org/licenses/by/4.0/.

Publisher's Note

Springer Nature remains neutral with regard to jurisdictional claims in published maps and institutional affiliations.
download
DOWNLOAD
print
DRUCKEN
Titel
Enzymatic hydrolysis and additional mild pretreatments for recovery of valuable compounds from organic fraction of municipal solid waste at high-solids loading
Verfasst von
Annika Putz
Georg M. Guebitz
Angelika Hanreich-Kur
Markus Neureiter
Publikationsdatum
12.03.2025
Verlag
Springer Berlin Heidelberg
Erschienen in
Biomass Conversion and Biorefinery / Ausgabe 16/2025
Print ISSN: 2190-6815
Elektronische ISSN: 2190-6823
DOI
https://doi.org/10.1007/s13399-025-06738-8
1.
Zurück zum Zitat Eurostat (2024) Municipal waste by waste management operations. Online data code: env_wasmun; https://doi.org/10.2908/ENV_WASMUNhttps://ec.europa.eu/eurostat/databrowser/view/env_wasmun/default/table?lang=en. Accessed: 14 February 2025
2.
Zurück zum Zitat van der Linde A, Reichel A (2020) Bio-waste in Europe – turning challenges into opportunities. (EEA Report; Vol. 2020, No. 4). European Environment Agency. https://www.eea.europa.eu/publications/bio-waste-in-europe. https://doi.org/10.2800/630938
3.
Zurück zum Zitat Wei Y, Li J, Shi D, Liu G, Zhao Y, Shimaoka T (2017) Environmental challenges impeding the composting of biodegradable municipal solid waste: a critical review. Resour Conserv Recy 122:51–65. https://doi.org/10.1016/j.resconrec.2017.01.024CrossRef
4.
Zurück zum Zitat López-Gómez JP, Latorre-Sánchez M, Unger P, Schneider R, Lozano CC, Venus J (2019) Assessing the organic fraction of municipal solid wastes for the production of lactic acid. Biochem Eng J 150:107251. https://doi.org/10.1016/j.bej.2019.107251CrossRef
5.
Zurück zum Zitat Molina-Peñate E, Artola A, Sánchez A (2022) Organic municipal waste as feedstock for biorefineries: bioconversion technologies integration and challenges. Rev Environ Sci Biotechnol 21:247–267. https://doi.org/10.1007/s11157-021-09605-wCrossRef
6.
Zurück zum Zitat Campuzano R, González-Martínez S (2016) Characteristics of the organic fraction of municipal solid waste and methane production: a review. Waste Manag 54:3–12. https://doi.org/10.1016/j.wasman.2016.05.016CrossRef
7.
Zurück zum Zitat Yang X, Choi HS, Park C, Kim SW (2015) Current states and prospects of organic waste utilization for biorefineries. Renew Sust Energ Rev 49:335–349. https://doi.org/10.1016/j.rser.2015.04.114CrossRef
8.
Zurück zum Zitat Pleissner D, Peinemann JC (2020) The challenges of using organic municipal solid waste as source of secondary raw materials. Waste Biomass Valor 11:435–446. https://doi.org/10.1007/s12649-018-0497-1CrossRef
9.
Zurück zum Zitat Ghumra DP, Rathi O, Mule TA, Khadye VS, Chavan A, Barba FC, Main S, Odaneth A, Thorat BN (2022) Technologies for valorization of municipal solid wastes. Biofuels Bioprod Bioref 16(3):877–890. https://doi.org/10.1002/bbb.2340CrossRef
10.
Zurück zum Zitat López-Gómez JP, Pérez-Rivero C, Venus J (2020) Valorisation of solid biowastes: the lactic acid alternative. Process Biochem 99:222–235. https://doi.org/10.1016/j.procbio.2020.08.029CrossRef
11.
Zurück zum Zitat Hendriks ATWM, Zeeman G (2009) Pretreatments to enhance the digestibility of lignocellulosic biomass. Biores Technol 100(1):10–18. https://doi.org/10.1016/j.biortech.2008.05.027CrossRef
12.
Zurück zum Zitat Cesaro A, Belgiorno V (2014) Pretreatment methods to improve anaerobic biodegradability of organic municipal solid waste fractions. Chem Eng J 240:24–37. https://doi.org/10.1016/j.cej.2013.11.055CrossRef
13.
Zurück zum Zitat Zheng Y, Zhao J, Xu F, Li Y (2014) Pretreatment of lignocellulosic biomass for enhanced biogas production. Prog Energ Combust Sci 42:35–53. https://doi.org/10.1016/j.pecs.2014.01.001CrossRef
14.
Zurück zum Zitat Mlaik N, Khcharem M, Kouas M, Sayadi S, Khoufi S (2018) Improvement of anaerobic biodegradability of organic fraction of municipal solid waste by mechanical and thermochemical pretreatments. Int J Environ Sci Technol 15:1913–1920. https://doi.org/10.1007/s13762-017-1563-0CrossRef
15.
Zurück zum Zitat Chua GK, Tan FHY, Chew FN, Mohd-Hairul AR, Ahmad MAA (2021) Food waste hydrolysate as fermentation medium: comparison of pretreatment methods. Mater Today Proc 42:131–137. https://doi.org/10.1016/j.matpr.2020.10.399CrossRef
16.
Zurück zum Zitat Hammerer F, Ostadjoo S, Dietrich K, Dumont M-J, Del Rio LF, Friščić T, Auclair K (2020) Rapid mechanoenzymatic saccharification of lignocellulosic biomass without bulk water or chemical pretreatment. Green Chem 22(12):3877–3884. https://doi.org/10.1039/D0GC00903BCrossRef
17.
Zurück zum Zitat Modenbach AA, Nokes SE (2013) Enzymatic hydrolysis of biomass at high-solids loadings—a review. Biomass Bioeng 56:526–544. https://doi.org/10.1016/j.biombioe.2013.05.031CrossRef
18.
Zurück zum Zitat Abbassi-Guendouz A, Brockmann D, Trably E, Dumas C, Delgenés J-P, Steyer J-P, Escudié R (2012) Total solids content drives high solid anaerobic digestion via mass transfer limitation. Biores Technol 111:55–61. https://doi.org/10.1016/j.biortech.2012.01.174CrossRef
19.
Zurück zum Zitat Weiss ND, Felby C, Thygesen LG (2018) Properties important for solid–liquid separations change during the enzymatic hydrolysis of pretreated wheat straw. Biotechnol Lett 40:703–709. https://doi.org/10.1007/s10529-018-2521-8CrossRef
20.
Zurück zum Zitat Molina-Peñate E, Sánchez A, Artola A (2022) Enzymatic hydrolysis of the organic fraction of municipal solid waste: optimization and valorization of the solid fraction for Bacillus thuringiensis biopesticide production through solid-state fermentation. Waste Manag 137:304–311. https://doi.org/10.1016/j.wasman.2021.11.014CrossRef
21.
Zurück zum Zitat Nagl M, Haske-Cornelius O, Bauer W, Nyanhongo GS, Guebitz GM (2023) Enhanced energy savings in enzymatic refining of hardwood and softwood pulp. Energy Sustain Soc 13(19):1–15. https://doi.org/10.1186/s13705-023-00398-0CrossRef
22.
Zurück zum Zitat Nagl M, Haske-Cornelius O, Skopek L, Pellis A, Bauer W, Nyanhongo GS, Guebitz G (2021) Biorefining: the role of endoglucanases in refining of cellulose fibers. Cellulose 28:7633–7650. https://doi.org/10.1007/s10570-021-04022-2CrossRef
23.
Zurück zum Zitat Bradford MM (1976) A rapid and sensitive method for the quantitation of microgram quantities of protein utilizing the principle of protein-dye binding. Anal Biochem 72(1–2):248–254. https://doi.org/10.1016/0003-2697(76)90527-3CrossRef
24.
Zurück zum Zitat Ghose TK (1987) Measurement of cellulase activities. Pure Appl Chem 59(2):257–268. https://doi.org/10.1351/pac198759020257CrossRef
25.
Zurück zum Zitat Bailey MJ, Biely P, Poutanen K (1992) Interlaboratory testing of methods for assay of xylanase activity. J Biotechnol 23(3):257–270. https://doi.org/10.1016/0168-1656(92)90074-JCrossRef
26.
Zurück zum Zitat Mandels M, Andreotti R, Roche C (1976) Measurement of saccharifying cellulase. Biotechnol Bioeng Symp 6:21–33
27.
Zurück zum Zitat Sluiter A, Ruiz R, Scarlata C, Sluiter J, Templeton D (2008) Determination of extractives in biomass: laboratory analytical procedure (LAP). Technical report NREL/TP-510–42619. National renewable energy laboratory. https://www.nrel.gov/docs/gen/fy08/42619.pdf. Accessed 14 Feb 2025
28.
Zurück zum Zitat Sluiter A, Hames B, Ruiz R, Scarlata C, Sluiter J, Templeton D, Crocker D (2012) Determination of structural carbohydrates and lignin in biomass: laboratory analytical procedure (LAP). Technical report NREL/TP-510–42618. Version 08/03/2012. National renewable energy laboratory. https://www.nrel.gov/docs/gen/fy13/42618.pdf. Accessed 14 Feb 2025
29.
Zurück zum Zitat DIN 38409-H41, 1980 DIN 38409-H41 German standard methods for the examination of water, wastewater and sludge, summary effect and material parameters (Group H), determination of the chemical oxygen demand (COD), in the range above 15 Mg/L; Beuth Verlag, Berlin (1980) in German. https://doi.org/10.31030/1209856
30.
Zurück zum Zitat Sluiter A, Hames B, Ruiz R, Scarlata, C., Sluiter J, Templeton D (2008) Determination of ash in biomass: laboratory analytical procedure (LAP). Technical report NREL/TP-510–42622. Issue date: 7/17/2005. National renewable energy laboratory. https://www.nrel.gov/docs/gen/fy08/42622.pdf. Accessed 14 Feb 2025
31.
Zurück zum Zitat Sluiter A, Hames B, Hyman D, Payne C, Ruiz R, Scarlata C, Sluiter J, Templeton D, Wolfe J (2008) Determination of total solids in biomass and total dissolved solids in liquid process samples: laboratory analytical procedure (LAP). Technical report NREL/TP-510–42621. Issue date: 3/31/2008. National renewable energy laboratory. https://www.nrel.gov/docs/gen/fy08/42621.pdf. Accessed 14 Feb 2025
32.
Zurück zum Zitat Battista F, Almendros MG, Rousset R, Boivineau S, Bouillon P-A (2018) Enzymatic hydrolysis at high dry matter content: the influence of the substrates’ physical properties and of loading strategies on mixing and energetic consumption. Biores Technol 250:191–196. https://doi.org/10.1016/j.biortech.2017.11.049CrossRef
33.
Zurück zum Zitat Hodge DB, Karim MN, Schell DJ, McMillan JD (2008) Soluble and insoluble solids contributions to high-solids enzymatic hydrolysis of lignocellulose. Biores Technol 99(18):8940–8948. https://doi.org/10.1016/j.biortech.2008.05.015CrossRef
34.
Zurück zum Zitat Probst M, Walde J, Pümpel T, Wagner AO, Insam H (2015) A closed loop for municipal organic solid waste by lactic acid fermentation. Biores Technol 175:142–151. https://doi.org/10.1016/j.biortech.2014.10.034CrossRef
35.
Zurück zum Zitat Iqbal A, Hakim A, Hossain MS, Kamrul MRI, Azim MF, Ahmed J, Assaduzzaman M, Hoq MMA, Azad AK (2018) Partial purification and characterization of serine protease produced through fermentation of organic municipal solid wastes by Serratia marcescens A3 and Pseudomonas putida A2. J Genetic Eng and Biotechnol 16(1):29–37. https://doi.org/10.1016/j.jgeb.2017.10.011CrossRef
36.
Zurück zum Zitat Kim H, Nam J, Kang S, Kim D, Jung K, Shin H (2012) Hydrolytic activities of extracellular enzymes in thermophilic and mesophilic anaerobic sequencing-batch reactors treating organic fractions of municipal solid wastes. Biores Technol 110:130–134. https://doi.org/10.1016/j.biortech.2012.01.146CrossRef
37.
Zurück zum Zitat Chen T, Jin Y, Liu F, Meng X, Li H, Nie Y (2012) Effect of hydrothermal treatment on the levels of selected indigenous microbes in food waste. J Environ Manag 106:17–21. https://doi.org/10.1016/j.jenvman.2012.03.045CrossRef
38.
Zurück zum Zitat Andreaus J, Azevedo H, Cavaco-Paulo A (1999) Effects of temperature on the cellulose binding ability of cellulase enzymes. J Mol Catal B Enzym 7(1–4):233–239. https://doi.org/10.1016/S1381-1177(99)00032-6CrossRef
39.
Zurück zum Zitat Kristensen JB, Felby C, Jørgensen H (2009) Yield-determining factors in high-solids enzymatic hydrolysis of lignocellulose. Biotechnol Biofuels 2(11):1–10. https://doi.org/10.1186/1754-6834-2-11CrossRef
40.
Zurück zum Zitat Cara C, Moya M, Ballestreros I, Negro MJ, González A, Ruiz E (2007) Influence of solid loading on enzymatic hydrolysis of steam exploded or liquid hot water pretreated olive tree biomass. Process Biochem 42(6):1003–1009. https://doi.org/10.1016/j.procbio.2007.03.012CrossRef
41.
Zurück zum Zitat Gatt E, Khatri V, Bley J, Barnabé S, Vandenbossche V, Beauregard M (2019) Enzymatic hydrolysis of corn crop residues with high solid loadings: new insights into the impact of bioextrusion on biomass deconstruction using carbohydrate-binding modules. Biores Technol 282:398–406. https://doi.org/10.1016/j.biortech.2019.03.045CrossRef
42.
Zurück zum Zitat Rosgaard L, Andric P, Dam-Johansen K, Pedersen S, Meyer AS (2007) Effects of substrate loading on enzymatic hydrolysis and viscosity of pretreated barley straw. Appl Biochem Biotechnol 143:27–40. https://doi.org/10.1007/s12010-007-0028-1CrossRef
43.
Zurück zum Zitat Mlaik N, Khoufi S, Hamza M, Masmoudi MA, Sayadi S (2019) Enzymatic pre-hydrolysis of organic fraction of municipal solid waste to enhance anaerobic digestion. Biomass Bioeng 127:105286. https://doi.org/10.1016/j.biombioe.2019.105286CrossRef
44.
Zurück zum Zitat Mahmoodi P, Karimi K, Taherzadeh MJ (2018) Efficient conversion of municipal solid waste to biofuel by simultaneous dilute-acid hydrolysis of starch and pretreatment of lignocelluloses. Energy Convers Manag 166:569–578. https://doi.org/10.1016/j.enconman.2018.04.067CrossRef
45.
Zurück zum Zitat Jørgensen H, Vibe-Pedersen J, Larsen J, Felby C (2007) Liquefaction of lignocellulose at high-solids concentrations. Biotechnol Bioeng 96(5):862–870. https://doi.org/10.1002/bit.21115CrossRef
46.
Zurück zum Zitat Mlaik N, Sayadi S, Hamza M, Khoufi S (2020) Production and characterization of β-glucosidase from Aspergillus niger fermentation: application for organic fraction of municipal solid waste hydrolysis and methane enhancement. Biotechnol Prog 36(1):e2902. https://doi.org/10.1002/btpr.2902CrossRef
47.
Zurück zum Zitat Jensen JW, Felby C, Jørgensen H, Rønsch G, Nørholm ND (2010) Enzymatic processing of municipal solid waste. Waste Manag 30(12):2497–2503. https://doi.org/10.1016/j.wasman.2010.07.009CrossRef
48.
Zurück zum Zitat Ziemiński K, Romanoswska I, Kowalska M (2012) Enzymatic pretreatment of lignocellulosic waste to improve biogas production. Waste Manag 32(6):1131–1137. https://doi.org/10.1016/j.wasman.2012.01.016CrossRef
49.
Zurück zum Zitat Jensen JW, Felby C, Jørgensen H (2011) Cellulase hydrolysis of unsorted MSW. Appl Biochem Biotechnol 165:1799–1811. https://doi.org/10.1007/s12010-011-9396-7CrossRef
50.
Zurück zum Zitat Van Dyk JS, Pletschke BI (2012) A review of lignocellulose bioconversion using enzymatic hydrolysis and synergistic cooperation between enzymes-factors affecting enzymes, conversion and synergy. Biotechnol Adv 30(6):1458–1480. https://doi.org/10.1016/j.biotechadv.2012.03.002CrossRef
51.
Zurück zum Zitat Moon H, Song I (2011) Enzymatic hydrolysis of food waste and methane production using UASB bioreactor. Int J Green Energy 8(3):361–371. https://doi.org/10.1080/15435075.2011.557845CrossRef
52.
Zurück zum Zitat Adsul M, Sandhu S, Singhania R, Gupta R, Puri S, Mathur A (2020) Designing a cellulolytic enzyme cocktail for the efficient and economical conversion of lignocellulosic biomass to biofuels. Enzyme Microbial Technol 133:109442. https://doi.org/10.1016/j.enzmictec.2019.109442CrossRef
53.
Zurück zum Zitat Patria RD, Rehman S, Vuppaladadiyam AK, Wang H, Lin CSK, Antunes E, Leu S-Y (2022) Bioconversion of food and lignocellulosic wastes employing sugar platform: a review of enzymatic hydrolysis and kinetics. Biores Technol 352:127083. https://doi.org/10.1016/j.biortech.2022.127083CrossRef
54.
Zurück zum Zitat Chen X, Zheng X, Pei Y, Chen W, Lin Q, Huang J, Hou P, Tang J, Han W (2022) Process design and techno-economic analysis of fuel ethanol production from food waste by enzymatic hydrolysis and fermentation. Biores Technol 363:127882. https://doi.org/10.1016/j.biortech.2022.127882CrossRef
55.
Zurück zum Zitat Alibardi L, Cossu R (2015) Composition variability of the organic fraction of municipal solid waste and effects on hydrogen and methane production potentials. Waste Manag 36:147–155. https://doi.org/10.1016/j.wasman.2014.11.019CrossRef
56.
Zurück zum Zitat Sailer G, Eichermüller J, Poetsch J, Paczkowski S, Pelz S, Oechsner H, Müller J (2021) Characterization of the separately collected organic fraction of municipal solid waste (OFMSW) from rural and urban districts for a one-year period in Germany. Waste Manag 131:471–482. https://doi.org/10.1016/j.wasman.2021.07.004CrossRef
57.
Zurück zum Zitat Izumi K, Okishio YK, Nagao N, Niwa C, Yamamoto S, Toda T (2010) Effects of particle size on anaerobic digestion of food waste. Int Biodeterior Biodegrad 64(7):601–608. https://doi.org/10.1016/j.ibiod.2010.06.013CrossRef
58.
Zurück zum Zitat Yeh AI, Huang YC, Chen SH (2010) Effect of particle size on the rate of enzymatic hydrolysis of cellulose. Carbohydr Polym 79(1):192–199. https://doi.org/10.1016/j.carbpol.2009.07.049CrossRef
59.
Zurück zum Zitat Probst M, Fritschi A, Wagner A, Insam H (2013) Biowaste: a Lactobacillus habitat and lactic acid fermentation substrate. Biores Technol 143:647–652. https://doi.org/10.1016/j.biortech.2013.06.022CrossRef
60.
Zurück zum Zitat Alessi A, Lopes ADCP, Müller W, Gerke F, Robra S, Bockreis A (2020) Mechanical separation of impurities in biowaste: comparison of four different pretreatment systems. Waste Manag 106:12–20. https://doi.org/10.1016/j.wasman.2020.03.006CrossRef
61.
Zurück zum Zitat Vidal BC, Dien BS, Ting KC, Singh V (2011) Influence of feedstock particle size on lignocellulose conversion—a review. Appl Biochem Biotechnol 164:1405–1421. https://doi.org/10.1007/s12010-011-9221-3CrossRef
62.
Zurück zum Zitat Saini R, Osorio-Gonzalez CS, Hegde K, Brar SK, Magouli S, Vezina P, Avalos-Ramirez A (2020) Lignocellulosic biomass-based biorefinery: an insight into commercialization and economic standout. Curr Sust Renew Energy Rep 7:122–136. https://doi.org/10.1007/s40518-020-00157-1CrossRef
63.
Zurück zum Zitat Ahmed B, Tyagi VK, Kazmi AA, Khursheed A (2022) New insights into thermal-chemical pretreatment of organic fraction of municipal solid waste: solubilization effects, recalcitrant formation, biogas yield and energy efficiency. Fuel 319:123725. https://doi.org/10.1016/j.fuel.2022.123725CrossRef
64.
Zurück zum Zitat López-Gómez JP, Unger P, Schneider R, Venus J (2020) From upstream to purification: production of lactic acid from the organic fraction of municipal solid waste. Waste Biomass Valor 11:5247–5254. https://doi.org/10.1007/s12649-020-00992-9CrossRef
65.
Zurück zum Zitat Li T, Chen X-b, Chen J-c, Wu Q, Chen G-Q (2014) Open and continuous fermentation: products, conditions and bioprocess economy. Biotechnol J 9(12):1503–1511. https://doi.org/10.1002/biot.201400084CrossRef
66.
Zurück zum Zitat Kinnarinen T, Huhtanen M, Häkkinen A, Louhi-Kultanen M (2012) Solid–liquid separation of hydrolysates obtained from enzymatic hydrolysis of cardboard waste. Ind Crops Prod 38:72–80. https://doi.org/10.1016/j.indcrop.2012.01.010CrossRef