Zum Inhalt

Erste umfassende quantitative Erhebung von Antibiotikaresistenzen in vier niederösterreichischen Flüssen

  • Open Access
  • 01.09.2025
  • Originalbeitrag
Erschienen in:

Aktivieren Sie unsere intelligente Suche, um passende Fachinhalte oder Patente zu finden.

search-config
loading …

Zusammenfassung

In dieser Studie wurden erstmals umfassend die Antibiotikaresistenzen in vier niederösterreichischen Flüssen quantitativ untersucht. Die Erhebung erfolgte über ein Jahr hinweg an 16 Probenahmestellen entlang der Donau und dreier Nebenflüsse. Die Studie kombiniert direkte molekularbiologische Nachweise von Resistenzmarkern mit standardisierten kultivierungsbasierten Verfahren. Die Ergebnisse zeigen, dass die fäkale Verschmutzung, insbesondere durch kommunale Abwassereinleitungen, eng mit den Antibiotikaresistenzmustern in den Flüssen zusammenhängt. Die häufigsten Resistenzgene, intI1 und sul1, wurden in jeder zehnten bis hundertsten Bakterienzelle nachgewiesen. Klinisch hochrelevante Resistenzgene wie Carbapenemase-Gene traten nur in sehr geringer Häufigkeit und ausschließlich flussabwärts von Kläranlagen auf. Die phänotypischen Resistenzen von E. coli-Isolaten waren ebenfalls an stromabwärts gelegenen Kläranlagen deutlich höher. Die Studie zeigt, dass die Resistenzsituation in Niederösterreich im Vergleich zu anderen Regionen auf einem niedrigen bis mittleren Niveau liegt. Die Ergebnisse unterstreichen die Bedeutung von Abwassereinleitungen als Hauptquelle für Antibiotikaresistenzen in Flüssen und die Notwendigkeit weiterer Forschung zu diesem Thema.

Zusatzmaterial online

Zusätzliche Informationen sind in der Online-Version dieses Artikels (https://doi.org/10.1007/s00506-025-01164-6) enthalten.
A.K.T. Kirschner und M. Leopold teilen sich die Erstautorenschaft.

Hinweis des Verlags

Der Verlag bleibt in Hinblick auf geografische Zuordnungen und Gebietsbezeichnungen in veröffentlichten Karten und Institutsadressen neutral.

1 Einleitung

Antibiotika sind Pharmazeutika, die Bakterien gezielt abtöten oder deren Wachstum hemmen können. Ihre Einführung in der medizinischen Behandlungspraxis von Infektionen vor ca. 80 Jahren lieferte einen wesentlichen Beitrag im Kampf gegen bis dahin unheilbare Infektionskrankheiten. Der übermäßige Einsatz von Antibiotika in der Human- und Veterinärmedizin sowie in der Landwirtschaft führte zur Evolution antibiotikaresistenter Bakterien (ARB). Diese stellen weltweit ein zunehmendes Problem dar, insbesondere wenn bakterielle Erreger gegen mehrere Antibiotikaklassen gleichzeitig resistent sind (Monahan et al. 2022). Inzwischen sterben in Europa jährlich mehr als 38.000 Menschen an Infektionen mit resistenten Bakterien (ECDC 2022); weltweit wird die Zahl der Todesopfer auf etwa 1,3 Mio. pro Jahr geschätzt (Murray et al. 2022), die bis 2050 auf 10 Mio. pro Jahr ansteigen dürfte (O’Neill 2016). Obwohl der wichtigste Hotspot für die Übertragung von ARB auf den Menschen das klinische Umfeld ist, gibt es Hinweise darauf, dass neben dem veterinärmedizinischen Sektor auch die Umwelt ein relevanter potenzieller Übertragungsweg für ARB und Antibiotikaresistenzgene (ARGs) sein kann, z. B. durch die Aufnahme von kontaminiertem Wasser, kontaminierter Pflanzen oder Luft (Savin et al. 2020; Cabal et al. 2022; Gao et al. 2023). Insbesondere natürliche aquatische Systeme, vor allem Flüsse, wurden in den letzten Jahren eingehender untersucht (Cacace et al. 2019; Dielacher et al. 2023; Schachner-Groehs et al. 2024). Diese sind die wichtigsten Empfänger von ARB und ARGs aus Abwässern von Kläranlagen (Łuczkiewicz et al. 2010; Hultman et al. 2018; Manaia et al. 2018) aber auch aus diffusen Quellen aus der Landwirtschaft (Jabbar und Grote 2019). Darüber hinaus kann die aquatische Umwelt potenziell auch als dauerhafter Lebensraum für die Selektion oder Ko-Selektion von Antibiotikaresistenzen (ABR) dienen (Engin et al. 2023). Die Zusammenhänge zwischen den drei Kompartimenten Mensch, Tier und Umwelt und die Notwendigkeit einer gemeinsamen ganzheitlichen Betrachtung der Transport- und Übertragungswege von antimikrobiellen Resistenzen (AMR) wurden daher auch vor einigen Jahren im „One Health“-Konzept der WHO (World Health Organization 2025) sowie auch im aktuellen Nationalen Aktionsplan zur Antibiotikaresistenz (BMSGPK 2021) abgebildet. Auch die aktualisierte europäische Richtlinie über die Behandlung von kommunalem Abwasser (European Commission 2024) sieht die obligatorische Überwachung von Kläranlagen mit mehr als 100.000 Einwohner:innen im Einzugsgebiet auf AMR vor. Dadurch können einerseits epidemiologische Informationen aus den Rohabwässern („Blick zurück“ in die Population oder „Upstream-Ansatz“) und andererseits Informationen über die Belastung der Umwelt aus den geklärten Abwässern („Blick nach vorne“ oder „Downstream-Ansatz“) gewonnen werden.
In dieser Studie haben wir erstmals den Antibiotikaresistenzstatus von vier Flüssen in Niederösterreich über ein Jahr hinweg quantitativ untersucht. Wasserproben wurden an 16 Probenahmestellen gesammelt, die einem Gradienten fäkaler Verschmutzung entlang eines Abschnitts der Donau und dreier wichtiger Nebenflüsse, des Kamp, der Traisen und der Ybbs folgten. Um eine robuste Bewertung der Resistenzsituation zu ermöglichen, kam eine Kombination aus einem direkten molekularbiologischen Nachweis von neun ausgewählten genetischen Resistenzmarkern und einem standardisierten kultivierungsbasierten Verfahren zum Einsatz. Gemäß WHO-Empfehlungen (WHO 2021) wurde Escherichia coli als Modellbakterium für das Vorhandensein phänotypischer Resistenzen in bakteriellen Krankheitserregern nach Kultivierung aus der Wasserprobe gewählt. Die Konzentrationen von neun Antibiotikaresistenzmarkern – darunter acht ARGs und ein mobiles genetisches Element – mittels direkter quantitativer PCR (qPCR) wurden bestimmt, um das Ausmaß der Antibiotikaresistenzen in der gesamten Bakterienpopulation der Wasserprobe (das „Resistom“) zu ermitteln. Die gesamte mikrobiologische Fäkalverschmutzung (von Tier und Mensch) wurde ebenfalls anhand von E. coli bewertet (auch als standardisierte Methode zu Ermittlung mikrobiologischer Fäkaleinträge in Verwendung). Wirtsassoziierte genetische Fäkalmarker, auch als „Microbial Source Tracking“ (MST) Marker bezeichnet, wurden mittels qPCR bestimmt, um zusätzliche Informationen über die Hauptverschmutzungsquellen zu erhalten. Bei dieser Arbeit handelt es sich um eine gekürzte und für die österreichische Wasserwirtschaft adaptierte Version der internationalen Peer-Review-Publikation Leopold et al. (2025).

2 Material und Methoden

2.1 Probennahme

Von Oktober 2020 bis Oktober 2021 wurden in vierteljährlichen Abständen (fünfmal) Wasserproben aus drei Nebenflüssen und aus einem kurzen Abschnitt der Donau in Niederösterreich entnommen (Abb. 1). Die Nebenflüsse Traisen und Ybbs sind voralpine Flüsse im Bundesland Niederösterreich mit einer Länge von 83 und 138 km und einer Einzugsgebietsgröße von 915 bzw. 1300 km2. Der Nebenfluss Kamp mit einer Gesamtlänge von 153 km entwässert 1750 km2 des Böhmischen Mittelgebirges. Von jedem Fluss wurden Proben an vier Stellen entnommen, meist flussaufwärts und flussabwärts von kommunalen Kläranlagen, von denen einige Krankenhausabwässer empfangen (Tab. 1). Im Traisen-Flusssystem befanden sich zwei Probenahmestellen an der Gölsen, einem 15 km langen Nebenfluss der Traisen, der die Abwässer der Kläranlage Gölsental aufnimmt. Für die mikrobiologischen und molekularbiologisch/genetischen Analysen wurden Wasserproben in vier sterilen 500-ml-Glasflaschen etwa 30 cm unter der Wasseroberfläche entnommen. An Standorten mit unzureichender Wassertiefe wurden die Proben vorsichtig einige cm über dem Flussboden entnommen, um resuspendiertes Sediment zu vermeiden. Alle Proben wurden innerhalb von vier Stunden in einer Kühlbox ins Labor transportiert. Nach der Ankunft wurden die vier Replikate für jeden Standort in einer sterilen 2‑Liter-Glasflasche vereinigt, bevor sie weiterverarbeitet wurden.
Abb. 1
Übersicht über die Probennahmestellen an der Donau und den drei untersuchten Nebenflüssen in Niederösterreich. An den Punkten mit schwarzer Umrandung wurden Proben flussaufwärts und flussabwärts der entsprechenden Kläranlage genommen. Donau (grüne Punkte) mit KS – Krems und TM – Traismauer. Kamp (rote Punkte) mit RSD – flussabwärts der Kläranlage Rappottenstein, ZTD – flussabwärts der Kläranlage Zwettl und LL – Langenlois. Gölsen und Traisen (orangefarbene Punkte), mit GO – Gölsental TRA – in der Nähe der Ortschaft Traisen und HEB – stromabwärts der Stadt Herzogenburg. Die Ybbs wurde flussaufwärts und flussabwärts von zwei Kläranlagen beprobt mit LS – Lunz am See und AM – Amstetten
Bild vergrößern
Tab. 1
Beschreibung und Koordinaten der Probenahmestellen an den vier Flüssen Traisen/Gölsen, Ybbs, Kamp und Donau sowie die wichtigsten Merkmale der Kläranlagen (WWTP; Einwohnergleichwerte EGW und Anschluss an ein Krankenhaus)
Fluss
Probenstelle
 
Breitengrad
Längengrad
WWTP-Charakteristik
Gölsen
GOU
oh WWTP Gölsental
48,053793
15,631910
18.000 EGW
Gölsen
GOD
uh WWTP Gölsental
48,053965
15,630786
Traisen
TRA
Traisen
48,050269
15,613364
Traisen
HEB
Herzogenburg
48,295273
15,707884
Ybbs
LSU
oh WWTP Lunz am See
47,854969
15,021122
2500 EGW
Ybbs
LSD
uh Lunz am See
47,854687
15,019748
Ybbs
AMU
oh WWTP Amstetten
48,110712
14,8961
150.000 EGW, Spitaleinleitung
Ybbs
AMD
uh WWTP Amstetten
48,110407
14,897247
Kamp
RSD
uh WWTP Rappottenstein
48,527379
15,101557
1300 EGW
Kamp
ZTD
uh WWTP Zwettl
48,612000
15,185510
40.000 EGW, Spitaleinleitung
Kamp
LLU
oh WWTP Langenlois
48,470401
15,704462
55.000 EGW
Kamp
LLD
uh WWTP Langenlois
48,468857
15,706039
Danube
KSU
oh WWTP Krems an der Donau
48,399613
15,649734
255.000 EGW, Spitaleinleitung
Danube
KSD
uh WWTP Krems an der Donau
48,396636
15,652190
Danube
TMU
oh WWTP Traismauer
48,374943
15,778008
280.000 EGW, Spitaleinleitung
Danube
TMD
uh WWTP Traismauer
48,375334
15,779295
oh oberhalb WWTP-Einleitung, uh unterhalb WWTP-Einleitung

2.2 Umweltparameter

Um mögliche Einflussfaktoren (Treiber) der Antibiotikaresistenz in den Flüssen zu ermitteln, wurden auch chemisch-physikalische, hydrologische und chemische Wasserparameter analysiert. Einzelheiten zu diesen Analysen sind in der Originalveröffentlichung zu finden (Leopold et al. 2025).

2.2.1 Gesamtzahl der Bakterienzellen

Als Parameter für die Normalisierung der Resistenzgene in der Gesamtbakterienpopulation wurde die Gesamtzahl der Bakterienzellen (TCC) bestimmt. Ein ml jeder Wasserprobe wurde in 4 % Paraformaldehyd (Endkonzentration) bei 4 °C über Nacht fixiert. Alle Proben wurden innerhalb einer Woche nach der Fixierung verarbeitet. 200 µl jeder Probe wurden zusammen mit 800 µl steril filtriertem Reinstwasser durch einen anorganischen Membranfilter mit einer Porengröße von 0,2 µm (Durchmesser 25 mm, AnodiscTM, WhatmanTM, VWR, Österreich) filtriert und mit 1:400 verdünnter SybrGold-Lösung (van Driezum et al. 2019) für 15 ± 3 min im Dunkeln gefärbt. Die Filter wurden mit steril gefiltertem Reinstwasser gespült und bei Raumtemperatur im Dunkeln getrocknet, bevor sie in Citifluor auf einen Objektträger montiert und in einem Epifluoreszenzmikroskop (Nikon Eclipse Ni) untersucht wurden. Mindestens 200 Bakterienzellen in zehn mikroskopischen Feldern wurden pro Filter gezählt und die Zellzahl pro ml Wasser hochgerechnet (Velimirov et al. 2011).

2.3 DNA-Extraktion für qPCR-Messungen

Etwa 300 ml (zwischen 192 und 398 ml) jeder kombinierten Flusswasserprobe wurden durch Polycarbonatfilter mit der Porengröße 0,22 µm (Isopore, Sigma Aldrich, Österreich) filtriert und bis zur weiteren Verarbeitung bei −80 °C gelagert. Die DNA-Extraktion erfolgte mit einem kombinierten Bead-beating/Phenol-Chloroform-Protokoll nach Griffiths et al. (2000), das bereits in früheren Studien für Donauwasser angewendet wurde (Kirschner et al. 2017). Die Donauwasserproben wurden vor der Zelllyse mit 5 µg Lachsspermien-DNA pro g Schwebstoffe (TSS) als Additiv versetzt, um den potenziellen Verlust von DNA in Perioden mit hohen TSS-Werten zu verhindern (Linke et al. 2021), da die Wasserproben vom Juli 2021 TSS-Werte um 1000 mg/L aufwiesen (Supplementary Material Tabelle S1). Die DNA wurde in 100 µl 10 mmol L−1 TRIS-HCl-Puffer (pH 8; selbst hergestellt) eluiert und bei −80 °C gelagert.
Zur Qualitätskontrolle wurde ein allgemeiner Bacteroidota-Marker, AllBac (Layton et al. 2006), auf dem Rotor-Gene Q‑Thermocycler (Qiagen) für alle Proben, einschließlich der Nicht-Template-Kontrollen, leeren Polycarbonatfilterextrakte und DNA-Extraktionskontrollen, in einem Reaktionsvolumen von 15 µl bestimmt. Alle Proben wurden in Duplikaten und zwei Verdünnungen gemessen, um eine mögliche Amplifikationshemmung zu überprüfen. Zusätzlich enthielten die AllBac-Messungen eine interne Amplifikationskontrolle. In jedem qPCR-Lauf wurden mindestens zwei Nicht-Template-Kontrollen und sieben Konzentrationen eines Plasmidstandards (der als Positivkontrolle und Standardkurve diente) eingesetzt. Dieses Konzept wurde auch für alle MST-Marker und ARGs angewandt.

2.4 Bestimmung der fäkalen Verschmutzung

2.4.1 Bakterielle Standard-Fäkalindikation

Die E.-coli-Konzentrationen wurden mit dem Colilert-18-System (IDEXX, Ludwigsburg, Deutschland) gemäß den Anweisungen des Herstellers bestimmt. Je nach zu erwartendem Verschmutzungsgrad wurden Wasservolumina von 1 ml, 10 ml oder 100 ml analysiert. Zur Beurteilung des mikrobiologischen Belastungsstatus der Wasserproben wurde das Klassifizierungssystem nach Kavka et al. (2006) und Kirschner et al. (2009) angewendet.

2.4.2 Mikrobielle Herkunftsanalyse (Microbial Source Tracking – MST)

Zur quantitativen Bestimmung der fäkalen Verschmutzungsquellen in jeder Probe wurden genetische fäkale MST-Marker herangezogen (Steinbacher et al. 2021; Demeter et al. 2023). Neben den beiden humanassoziierten Markern HF183/BacR287 (HF183) (Green et al. 2014) und BacHum (Kildare et al. 2007) wurden der wiederkäuerassoziierte Marker BacR (Reischer et al. 2006) und der schweineassoziierte Marker pig2bac (Mieszkin et al. 2009) mit qPCR quantifiziert (Details zu den Assays siehe Supplementary Material Tab. S2). Alle Proben wurden in Duplikaten in der niedrigstmöglichen Verdünnung (wie mit dem AllBac-Assay bestimmt) auf dem Rotor-Gene Q Thermocycler (Qiagen) in einem Reaktionsvolumen von 15 µl gemessen. Die qPCR-Bedingungen für alle analysierten Marker waren 5 min bei 95 °C für eine erste Denaturierung, gefolgt von 45 Zyklen von 15 s bei 95 °C und 60 s bei 60 °C (Kirschner et al. 2017). Wir bestimmten die Nachweisgrenze (LOD, Supplementary Material Tab. S2) für diese Assays gemäß Kolm et al. (2019) und nur Proben, bei denen beide Duplikate über der LOD lagen, wurden als quantifizierbar angesehen.

2.5 Bestimmung der Antibiotikaresistenzen

2.5.1 Antibiotika-Empfindlichkeitstestung (AST)

Die phänotypische Antibiotikaresistenztestung wurde für den Modellorganismus E. coli in drei der vier Flüsse (Donau, Traisen, Kamp) durchgeführt, um ABR auf organismischer Ebene zu beurteilen (Liguori et al. 2022; WHO 2021). E. coli wurde ausgewählt, weil es der klinisch relevanteste antibiotikaresistente Erreger in Österreich ist und in menschlichen und tierischen Fäkalien gleichermaßen vorkommt. E. coli wurde außerdem vom Tricycle-Protokoll der WHO als Spezies der Wahl zur Untersuchung des ESBL(Extended Spectrum Beta Laktamasen)-Vorkommens in der Umwelt empfohlen (WHO 2021). Darüber hinaus ist E. coli als Fäkalindikator in mit Fäkalien kontaminierten Gewässern in relevanten Konzentrationen vorhanden und leicht zu kultivieren – zwei Voraussetzungen, die quantitative Bestimmungen phänotypischer ABR in einem bestimmten relevanten Wirt ermöglichen. Schließlich wurde E. coli bereits in vielen Studien über phänotypische ABR in der Umwelt verwendet, was internationale Vergleiche ermöglicht (Maal-Bared et al. 2013; Kittinger et al. 2016). Um eine quantitative Interpretation des Vorkommens phänotypischer Resistenzen in den E.-coli-Populationen zu ermöglichen, wurden aus jeder Probe mindestens 50 mutmaßliche E. coli isoliert, was insgesamt 2736 getestete Isolate ergab. Fünf Isolate pro Probe wurden nach dem Zufallsprinzip ausgewählt und mittels Matrix-Assisted-Laser-Desorption/Ionisation Time-of-Flight (MALDI-TOF) analysiert, um die Speziesidentität zu bestätigen. Die Isolierung von E. coli und die Empfindlichkeitstestung wurden in einer früheren Publikation ausführlich beschrieben (Leopold et al. 2024). Kurz ausgeführt, wurden E. coli aus Wasserproben auf Tryptone Bile X‑Glucuronide (TBX) Agarplatten (Thermo Fisher Scientific, Österreich) isoliert und auf MacConkey Agarplatten (selbst hergestellt, Zutaten von Thermo Fisher Scientific, Österreich) zur Reinkultivierung und Anreicherung der Biomasse ausgestrichen. Die Reinkulturen wurden in 50 % Glycerin eingerührt und bei −80 °C gelagert. Die Antibiotika-Empfindlichkeitstestung erfolgte mit dem Plattendiffusionstest (Abb. 2) nach den Kriterien des European Committee on Antimicrobial Susceptibility Testing (EUCAST 2020) mit zwei Ausnahmen: Tetracyclin und Colistin wurden gemäß der M100-Richtlinie des Clinical and Laboratory Standards Institute (CLSI 2020) bewertet.
Abb. 2
Schema des Arbeitsablaufs des Agardiffusionstests von E.-coli-Isolaten aus Wasserproben
Bild vergrößern

2.5.2 Bestimmung der genetischen Antibiotikaresistenz-Marker

Insgesamt wurden acht ARGs, die Resistenz gegen verschiedene Antibiotikaklassen verleihen (Sulfonamide: sul1, Tetracycline: tetM, Fluorchinolone: qnrS, Beta-Lactame: blaCTX-M‑1, blaCTX-M‑9, blaTEM, blaOXA-48 und blaKPC) und das Integrase-Gen intI1 des Klasse-1-Integrons, ein mobiles genetisches Element, das am horizontalen Transfer von ARGs beteiligt ist, mit sondenbasierten qPCR-Assays bestimmt. Wie bei den MST-Markern wurde die geringstmögliche Verdünnung der Probe in Duplikaten in einem Reaktionsvolumen von 20 µl und primerspezifischen Zyklusbedingungen gemessen (Supplementary Material Tab. S2). Für die Quantifizierung bestimmten wir die LODs mit unseren Reaktionsbedingungen (Supplementary Material Tab. S2). Alle Proben, bei denen beide Duplikate über dem ermittelten LOD lagen, wurden als positiv akzeptiert. Die einzige Ausnahme war blaTEM, für das wir einen publizierten Wert für das LOD verwendeten (Lachmayr et al. 2009). Die Sensitivität und Spezifität des Assays für die verwendeten Protokolle wurden mit Isolaten, die diese Gene tragen, und mit jeweils acht negativen Kontrollstämmen überprüft (Supplementary Material Tab. S3). Alle ARG-qPCR-Messungen wurden mit einem qTower (Analytik Jena) in 96-Well-Platten (Sarstedt, Österreich) durchgeführt.

2.6 Datennormalisierung und statistische Analyse

Alle statistischen Analysen wurden in R Version 4.3.1 mit RStudio Version 2023-06-01 (www.r-project.org) durchgeführt. Um die phänotypischen Resistenzmuster zu analysieren, wurde Fishers-Exakt-Test zum Vergleich von Gruppen empfindlicher und resistenter Isolate unter Verwendung von rstatix (Kassambara 2023) verwendet. Für die qPCR-Ergebnisse wurden stromaufwärts und stromabwärts gelegene Kläranlagenstandorte mit einem zweiseitigen gepaarten t‑Test verglichen. Alle Ergebnisse mit einem p-Wert < 0,05 wurden als signifikant bewertet. Vor diesem Vergleich wurden die qPCR-Ergebnisse auf die Gesamtzellzahl der jeweiligen Probe normalisiert und log10-transformiert, um den Anteil der ARG-tragenden Zellen innerhalb der Gesamtbakterienpopulation abzuschätzen. Die Normalisierung auf einzelne Zellen wurde kürzlich empfohlen, da die Normalisierung auf die 16S rRNA-Genkopienzahl aufgrund des Vorhandenseins mehrerer Kopien dieses Gens eine große Verzerrung zur Folge haben kann (Yin et al. 2023). Das Paket ggplot2 (Wickham 2016) wurde für die Datenvisualisierung verwendet.

3 Ergebnisse

Wir untersuchten die fäkale Verschmutzung und den Antibiotikaresistenzstatus in vier verschiedenen Flüssen in Niederösterreich – einem kleinen Abschnitt der Donau und den drei wichtigen Nebenflüssen Ybbs, Kamp und Traisen. Um eine robuste Basis für eine Bewertung der Situation zu erlangen, verwendeten wir eine Kombination aus einem direkten molekularbiologischen/genetischen sowie einem kultivierungsbasierten Verfahren: Mittels qPCR wurde die Prävalenz der Antibiotikaresistenzen in der gesamten bakteriellen Gemeinschaft der Wasserprobe (das „Resistom“) direkt analysiert. Mittels standardisierter phänotypischer Antibiotika-Empfindlichkeitstests wurde nach Kultivierung aus der Wasserprobe der Prozentsatz resistenter Isolate des klinisch relevanten Modellorganismus E. coli gemäß WHO-Empfehlungen und EUCAST-Protokollen ermittelt.

3.1 Fäkale Verschmutzung

3.1.1 Kultivierungsbasierte Bewertung

Nach dem angewandten 5‑stufigen Klassifizierungsschema für fäkale mikrobiologische Verschmutzung reichten die E.-coli-Werte der Flusswasserproben von Klasse 1 (geringe, < log10 2 = < 100 E. coli/100 ml) bis Klasse 5 (übermäßige Verschmutzung, > log10 5 = > 100.000 E. coli/100 ml). Während die Nebenflüsse flussabwärts der Kläranlagen (GOD, LSD, AMD, ZTD und LLD) hauptsächlich kritisch (Klasse 3, > log10 3 = > 1000 E. coli/100 ml) oder stark (Klasse 4, > log10 4 = > 10.000 E. coli/100 ml) verschmutzt waren, mit einem Höchstwert von log10 5,38 (Klasse 5) an der Stelle Lunz am See (LSD), wurden in der Donau nur geringe (Klasse 1) und mäßige Verschmutzungen (Klasse 2, > log10 2) beobachtet. Davon ausgenommen war ein Hochwasserereignis im Juli 2021 (Klasse 3) mit einem Höchstwert von log10 3,87 an einem flussabwärts einer Kläranlage gelegenen Standort (Abb. 3). Die geringeren Werte in der Donau lassen sich durch das 111- bis 674-fach höhere Abfluss- und Verdünnungspotenzial der Donau im Vergleich zu den Nebenflüssen erklären. Am Standort LSD wirkten sich die Bauarbeiten an der Kläranlage auch auf die Verschmutzungswerte flussabwärts aus. Nach der Inbetriebnahme der neuen Kläranlage (Juli 2021 und Oktober 2021) war der Verschmutzungsgrad deutlich niedriger (Klasse 2) als zu den ersten drei Probennahmeterminen. An den flussaufwärts gelegenen Standorten der Kläranlagen in den Nebenflüssen wurden im Allgemeinen geringe (Klasse 1) bis mäßige (Klasse 2) Verschmutzungswerte festgestellt, mit Ausnahme von zwei Probenahmeereignissen, bei denen wir eine kritische (Klasse 3) Verschmutzung durch mikrobiologische Fäkaleinträge in der Ybbs feststellten, und zwar einmal bei LSU (log10 3,29) und einmal bei AMU (log10 3,03).
Abb. 3
Mittlere Konzentrationen von E. coli (MPN, most probable number) und der drei quantifizierbaren Microbial Source Tracking (MST)-Marker in den Wasserproben. Alle Daten wurden log10 transformiert (n = 5, außer KSD mit n = 4). Der Fehlerbalken gibt den gemessenen Maximalwert an. Donau-Probenstellen: KSU/KSD – flussaufwärts/flussabwärts der Kläranlage Krems/Donau, TMU/TMD – flussaufwärts/flussabwärts der Kläranlage Traismauer; Kamp-Probenstellen: RSD – flussabwärts der Kläranlage Rappottenstein, ZTD – flussabwärts der Kläranlage Zwettl, LLU/LLD – flussaufwärts/flussabwärts der Kläranlage Langenlois; Traisen-Probenstellen: GOU/GOD – flussaufwärts/flussabwärts der Kläranlage Gölsental, TRA – Traisen flussaufwärts der Einmündung der Gölsen, HEB – flussabwärts der Stadt Herzogenburg; Ybbs-Probenstellen: LSU/LSD – flussaufwärts/flussabwärts der Kläranlage Lunz am See, AMU/AMD – flussaufwärts/flussabwärts der Kläranlage Amstetten
Bild vergrößern

3.1.2 Fäkale mikrobiologische Herkunftsanalyse (Microbial Source Tracking, MST)

Um die Quellen der fäkalen Verschmutzung zu identifizieren, wurden genetische, wirtsassoziierte Bacteroidota-Marker mittels qPCR quantifiziert. In allen Flüssen war die Hauptverschmutzungsquelle menschlichen Ursprungs (Abb. 3), was teilweise durch das Studiendesign erklärt werden kann, da die Probenahme großteils auf Standorte mit anthropogenem Einfluss konzentriert wurde. Auch der mit Wiederkäuern assoziierte Marker BacR war zumindest teilweise in allen Flüssen vorhanden, während der mit Schweinen assoziierte Marker pig2bac nur fünfmal gefunden wurde (einmal in Donau, Traisen, Kamp und zweimal in der Ybbs). Die höchsten Konzentrationen an human-assoziierten Verschmutzungsmarkern wurden an Probenahmestellen flussabwärts von Kläranlagen mit Konzentrationen von bis zu log10 7,44 Marker-Äquivalenten (ME) pro 100 ml bei LSD für HF183 und log10 7,80 ME pro 100 ml bei ZTD für BacHum festgestellt. Bei HEB, einer durch Abwässer unbeeinflussten Probenahmestelle in der Traisen, konnten beide MST-Marker mehrmals nicht nachgewiesen werden. Im Durchschnitt wurden die niedrigsten Konzentrationen humaner Verschmutzungsmarker in der Traisen nachgewiesen (HF183 mittlerer log10-Wert: 2,76 ME/100 ml und BacHum mittlerer log10-Wert: 3,22 ME/100 ml) und BacR wurde nie nachgewiesen. In der Donau (HF183 mittlerer log10-Wert: 4,06 ME/100 ml, BacHum mittlerer log10-Wert: 4,91 ME/100 ml), im Kamp (HF183 mittlerer log10-Wert: 4,48 ME/100 ml, BacHum mittlerer log10-Wert: 5,33 ME/100 ml) und in der Ybbs (HF183 mittlerer log10-Wert:4,66 ME/100 ml, BacHum mittlerer log10-Wert: 4,35 ME/100 ml) wurden etwa 10- bis 100-fach höhere human-assoziierte Markerkonzentrationen festgestellt. Der Wiederkäuer-MST-Marker wurde in diesen Flüssen mehrfach nicht nachgewiesen, was zu niedrigen Durchschnittskonzentrationen von log10 < 1 ME/100 ml führte.

3.2 Antibiotikaresistenzen

3.2.1 Antibiotikaresistenzmuster von E.-coli-Isolaten aus Donau, Kamp und Traisen

Anteil von Wildtyp-, resistenten und multiresistenten Isolaten
Insgesamt wurden 2736 E.-coli-Isolate aus den Flüssen Donau (n = 863), Kamp (n = 989) und Traisen (n = 884) analysiert. Die Isolate wurden in Wildtyp (keine phänotypische Resistenz bzw. gegen alle getesteten Antibiotika empfindlich), resistent (phänotypische Resistenz gegen eine oder zwei Antibiotikaklassen) und multiresistent (phänotypische Resistenz gegen drei oder mehr Antibiotikaklassen) eingeteilt. In allen drei Flüssen wurden mindestens 65 % Wildtyp-Isolate beobachtet (Abb. 4 und 5), wobei der Anteil der Wildtyp-Isolate in der Traisen (86,8 %) deutlich höher war als in den beiden stärker abwasserbeeinflussten Flüssen Donau (67,6 %) und Kamp (65,2 %). Bei den Probennahmestellen wurde der höchste Anteil an Wildtyp-Isolaten bei HEB (88,4 %) und der niedrigste bei RSD (54 %) festgestellt. Der höchste Anteil an Multiresistenzen wurde in der Donau (TMU; 6,6 %) und der niedrigste bei HEB (1,7 %) festgestellt. In den beiden untersuchten Nebenflüssen lagen die Multiresistenzwerte an fast allen Probennahmestellen unter 5 %, mit Ausnahme bei LLU (5,4 %).
Abb. 4
Anteil resistenter und empfindlicher E.-coli-Isolate aus den drei Flüssen: Wildtyp – keine phänotypische Resistenz gegen eines der getesteten Antibiotika, resistent – phänotypische Resistenz gegen eine oder zwei Antibiotikaklassen, multiresistent – Resistenz gegen drei oder mehr Antibiotikaklassen
Bild vergrößern
Abb. 5
Anteil resistenter E.-coli-Isolate in den drei Flüssen Donau, Kamp und Traisen. Probenahmestellen an der Donau: KSU – flussaufwärts Kläranlage Krems/Donau, KSD – flussabwärts Kläranlage Krems/Donau, TMU – flussaufwärts Kläranlage Traismauer, TMD – flussabwärts Kläranlage Traismauer; Kamp: RSD – flussabwärts Kläranlage Rappottenstein, ZTD – flussabwärts Kläranlage Zwettl, LLU – flussaufwärts Kläranlage Langenlois, LLD flussabwärts Kläranlage Langenlois; Traisen: GOU – flussaufwärts Kläranlage Gölsental, GOD – flussabwärts Kläranlage Gölsental, TRA – Traisen oberhalb der Einmündung der Gölsen, HEB – unterhalb der Stadt Herzogenburg. Antibiotika: Beta-Lactame (grün hinterlegt): AMP – Ampicillin, AMC – Amoxicillin/Clavulanat, PIT – Piperacillin/Tazobactam, CLE – Cefalexin, CUR – Cefuroxim, CXI – Cefoxitin, CTA – Cefotaxim, CTZ – Ceftazidim, CEP – Cefepim, IPM – Imipenem, MER – Meropenem; Aminoglykoside (violett hinterlegt): GEN – Gentamicin, AMI – Amikacin; Quinolone (rot hinterlegt): MOX – Moxifloxacin, CIP – Ciprofloxacin; Tetracycline (orange hinterlegt): TET – Tetracyclin, TIG – Tigecyclin; Chloramphenicole (grau hinterlegt): CHL – Chloramphenicol; Folsäure-Antagonisten (blau hinterlegt): TRS – Trimethoprim/Sulfamethoxazol; Polymyxine (gelb hinterlegt): COL – Colistin. resistent: phänotypische Resistenz gegen 1–2 Antibiotikaklassen, multiresistent: phänotypische Resistenz gegen mindestens 3 Antibiotikaklassen, Wildtyp: sensitiv/empfindlich gegen alle getesteten Antibiotika
Bild vergrößern
Häufigkeit resistenter Isolate gegen einzelne Antibiotika
In allen Flüssen und an allen Probenahmestellen wurden die höchsten Resistenzraten gegen einzelne Antibiotika bei Ampicillin (23,6 % im Kamp) festgestellt, gefolgt von Amoxicillin/Clavulanat (20 % im Kamp) und Tetracyclin (11,8 % im Kamp). Bei allen anderen untersuchten Antibiotika lag der Prozentsatz der resistenten Isolate unter 10 %, mit Ausnahme von Cefuroxim bei RSD (Abb. 5 und 6). Für sechs Antibiotika (Piperacillin/Tazobactam, Imipenem, Meropenem, Amikacin, Tigecyclin und Colistin) fanden wir in der Traisen keine resistenten E.-coli-Isolate. Auch im Kamp wurden für drei von ihnen (Imipenem, Meropenem und Tigecyclin) nie resistente E.-coli-Isolate nachgewiesen, während resistente Isolate für Piperacillin/Tazobactam nur bei ZTD gefunden wurden, dem Standort, der von einem Krankenhaus beeinflusst wird. Interessanterweise wurden Colistinresistenzen oberhalb der Kläranlage Langenlois (LLU) gefunden. Die Donau war der einzige Fluss, in dem eine Resistenz gegen das Reserve-Antibiotikum Amikacin an allen untersuchten Probenahmestellen gefunden wurde und auch der einzige Fluss, in dem eine Resistenz gegen das Reserve-Antibiotikum Imipenem (TMD) auftrat (Abb. 5 und 6). Ein Vergleich der Resistenzverhältnisse flussaufwärts und flussabwärts der Kläranlagenstandorte zeigte eindeutig eine signifikant (p < 0,01) höhere Anzahl resistenter Isolate flussabwärts (31 %) als flussaufwärts (23 %), wobei die Resistenzverhältnisse an den flussabwärts gelegenen Standorten für sechs einzelne Antibiotika signifikant höher waren (Supplementary Material Tab. S4). In keinem der Flüsse wurden E.-coli-Isolate gefunden, die gegen Meropenem oder Tigecyclin resistent waren.
Abb. 6
Prozentsatz der gegen die 20 getesteten Antibiotika resistenten E.-coli-Isolate an den verschiedenen Probennahmestellen: Probenstellen an den Flüssen Donau (KSU, KSD, TMU, TMD), Kamp (RSD, ZTD, LLU, LLD), Traisen (GOU, GOD, TRA, HEB) wie in Abb. 3. Getestete Antibiotika aus den sieben verschiedenen Antibiotikaklassen (getrennt durch gestrichelte Linien): Beta-Lactame: AMP – Ampicillin, AMC – Amoxicillin/Clavulanat, PIT – Piperacillin/Tazobactam, CLE – Cefalexin, CUR – Cefuroxim, CXI – Cefoxitin, CTA – Cefotaxim, CTZ – Ceftazidim, CEP – Cefepim, IMI – Imipenem, MER – Meropenem; Aminoglycoside: GEN – Gentamicin, AMI – Amikacin; Quinolone: MOX – Moxifloxacin, CIP – Ciprofloxacin; Tetracycline: TET – Tetracyclin, TIG – Tigecyclin; Chloramphenicole: CHL – Chloramphenicol; Folsäure-Antagonisten: TRS – Trimethoprim/Sulfamethoxazol; Polymyxine: Colistin
Bild vergrößern

3.2.2 Antibiotikaresistenzmarkergene im Resistom der Wasserprobe

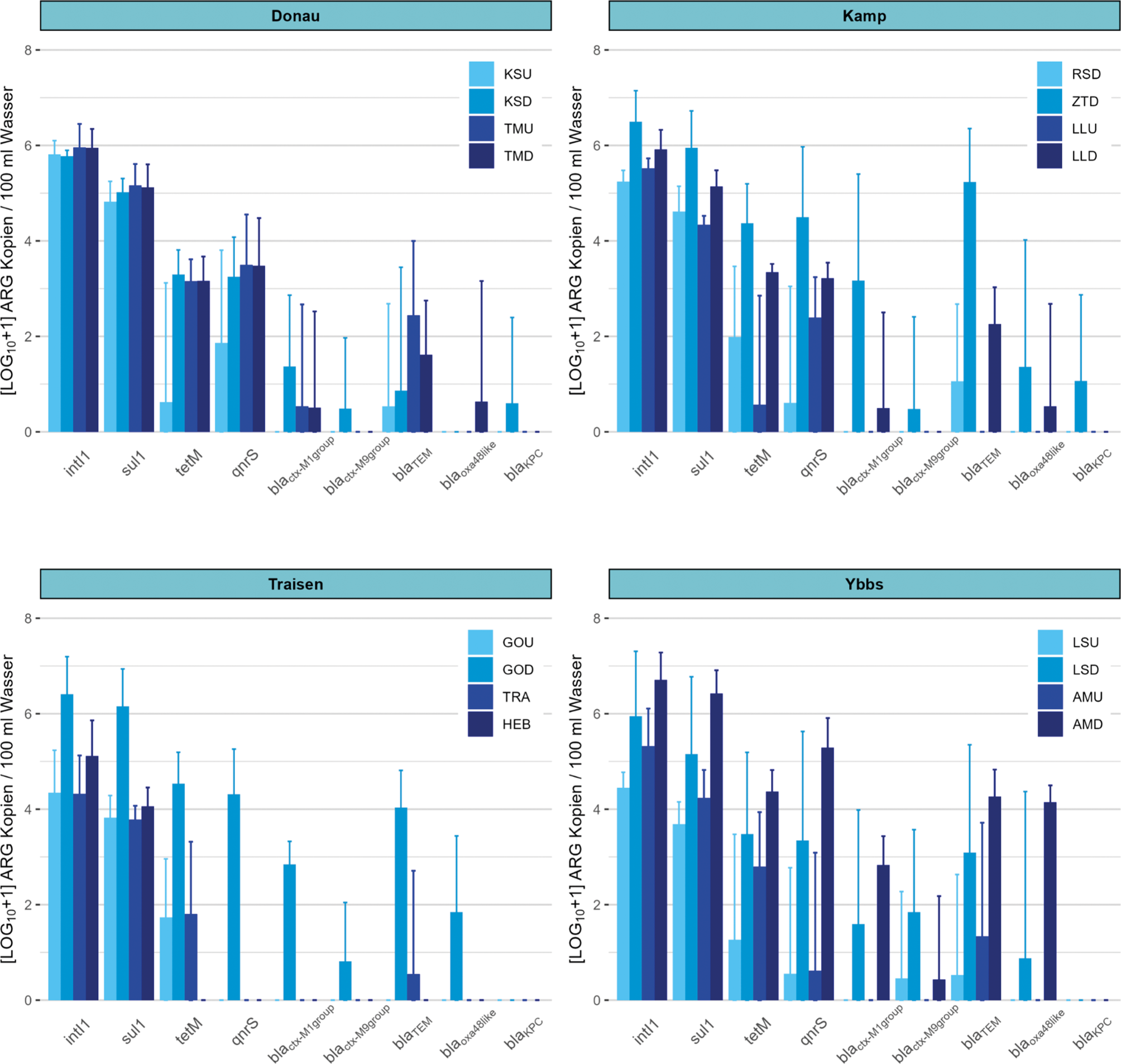
Absolute Häufigkeiten
Alle acht ARGs und das mobile genetische Element intI1 wurden in niederösterreichischem Flusswasser gefunden, aber ihre Häufigkeiten waren sehr unterschiedlich (Abb. 7). Die beiden häufigsten Gene, intI1 und sul1, wurden an jeder Probennahmestelle und an jedem Datum nachgewiesen, wobei die Werte von log10 3,57 Kopien/100 ml (GOU, Traisen) bis 7,31 Kopien/100 ml (LSD, Ybbs) für intI1 und von log10 3,08 Kopien/100 ml (LSU, Ybbs) bis 6,94 Kopien/100 ml (GOD, Traisen) für sul1 reichten. Im Durchschnitt lagen beide Gene in allen vier Flüssen auf einem ähnlichen Niveau, wobei die niedrigsten Werte in der Traisen (intI1: log10 5,05, sul1: log10 4,46 Kopien/100 ml), gefolgt von der Ybbs (intI1: log10 5,61, sul1: log10 4,87 Kopien/100 ml), dem Kamp (intI1: log10 5,79, sul1: log10 5,01 Kopien/100 ml) und der Donau (intI1: log10 5,88, sul1: log10 5,03 Kopien/100 ml) zu verzeichnen waren, wo die geringsten Unterscheide zwischen den vier Probenahmestellen beobachtet wurden. Die sieben anderen ARGs konnten nicht an jedem Zeitpunkt der Probennahmekampagne quantifiziert werden. Drei von ihnen, tetM, qnrS und blaTEM, konnten aber zumindest immer an den flussabwärts von Kläranlagen gelegenen Stellen und teilweise auch an den flussaufwärts gelegenen Stellen in allen Flüssen nachgewiesen werden. Alle anderen ARGs (die beiden Beta-Lactamase-Gene blaCTX-M‑1 und blaCTX-M‑9 und die beiden Carbapenemase-Gene blaOXA48 und blaKPC) wurden nur selten nachgewiesen, wobei auch flussabwärts von Kläranlagen mehrere Nichtnachweise zu verzeichnen waren. Eines von ihnen, blaKPC, wurde in den beiden Zuflüssen Traisen und Ybbs nie nachgewiesen. Diese seltenen ARGs erreichten jedoch teilweise beeindruckende Höchstwerte zu bestimmten Beprobungszeitpunkten. Beispielsweise erreichte die blaCTX-M‑1 bei ZTD im Oktober 2021 einen Höchstwert von log10 5,40 Kopien/100 ml. ZTD war auch die einzige Probennahmestelle, an der alle neun ARGs nachgewiesen wurden, gefolgt von AMD und GOD, wo alle ARGs außer blaKPC quantifizierbar waren, und KSD, wo alle ARGs außer blaOXA48 quantifiziert wurden. In der Traisen wurden neben intI1 und sul1 nur tetM und blaTEM an den Probenahmestellen gefunden, die nicht direkt durch Abwasser beeinflusst wurden (GOU, TRA, HEB).
Abb. 7
Mittlere Konzentrationen der neun ARGs in den Wasserproben. Alle Daten wurden log10 transformiert (n = 5, außer KSD mit n = 4). Der Fehlerbalken gibt den gemessenen Maximalwert an. Probenstellen wie in Abb. 3
Bild vergrößern
Relative Häufigkeiten der ARGs und intI1
Die relativen ARG-Häufigkeiten zeigen an, wie weit die Resistenzgene in den Bakteriengemeinschaften bereits verbreitet sind. Das am häufigsten vorkommende Gen, intI1, wurde statistisch in etwa jeder zehnten Bakterienzelle gefunden. Ähnlich war sul1 im Durchschnitt in jeder 10. bis 100. Bakterienzelle vorhanden (Abb. 8; Supplementary Material Tab. S5). Drei weitere ARGs (tetM, qnrS und blaTEM) traten im Durchschnitt in jeder 400. (qnrS) bis 1000. Zelle (tetM) auf, wobei die Häufigkeit in den Nebenflüssen höher war als in der Donau (Abb. 8; Supplementary Material Tab. S5). Im Gegensatz dazu traten die seltenen ARGs in den bakteriellen Gemeinschaften mit deutlich geringerer Häufigkeit auf. So wurde z. B. blaOXA48 – sofern nachweisbar – im Durchschnitt von jeder 12.000. bis 5.000.000. Bakterienzelle getragen.
Abb. 8
Relative Konzentrationen der neun ARGs, bezogen auf die Gesamtzellzahl, in den Wasserproben der vier untersuchten Flüsse. Die Zahlen wurden in Werten von log10 −1 (rosa) bis log10 −7 (blau) angegeben und bedeuten, dass das entsprechende Gen in jeder zehnten bzw. zehnmillionsten Zelle vorhanden ist. Die gewählten Farben sollen die Häufigkeit der Gene widerspiegeln, von blau (sehr geringe Konzentration) bis rosa (hohe Konzentration), sie stehen aber in keinem Zusammenhang mit einem gesundheitlichen Risiko oder einer hygienischen Bewertung. Ein Ziel weiterer Studien ist es aber, in den nächsten Jahren daraus ein Bewertungssystem zu entwickeln
Bild vergrößern
Einfluss der Abwassereinleitungen
Die Abwassereinleitungen hatten in allen Flüssen einen signifikanten Einfluss auf die Häufigkeit der ARGs. In der Ybbs waren die durchschnittlichen intI1- und sul1-Konzentrationen und die relativen Häufigkeiten an den flussaufwärts gelegenen Standorten (LSU, AMU) deutlich geringer als an den flussabwärts gelegenen (LSD, AMD). Auch im Traisen-Flusssystem wies der einzige flussabwärts gelegene Standort GOD im Vergleich zu den anderen drei Probenahmestellen die höchsten ARG-Konzentrationen auf. Darüber hinaus wurden die beiden Carbapenemase-Gene (blaOXA48 und blaKPC) nur an flussabwärts gelegenen Standorten quantifiziert. Beim Vergleich der relativen Häufigkeit der AMR-Marker aller Flüsse zwischen flussaufwärts und -abwärts gelegenen Kläranlagenstandorten wurde ein deutlicher, hoch signifikanter (p < 0,01) Anstieg an den flussabwärts gelegenen Standorten für alle fünf häufig quantifizierten Marker festgestellt (Tab. 2).
Tab. 2
Ergebnisse des zweiseitigen, gepaarten t‑Tests zur Untersuchung der Unterschiede in der ARG-Häufigkeit zwischen den Flusswasserproben flussaufwärts und flussabwärts der Kläranlagen
 
intI1
sul1
qnrS
tetM
blaTEM
t‑Wert
5,08
5,31
5,76
2,88
3,61
p-Wert
< 0,0001
< 0,0001
< 0,0001
< 0,01
< 0,01

4 Diskussion

4.1 Antibiotikaresistenzen in österreichischen Flüssen im internationalen Vergleich

Sowohl die kultivierungsbasierte Analyse klinisch relevanter Bakterien als auch die Analyse des Umweltresistoms sind wichtige Säulen der Risikobewertung von Antibiotikaresistenzen (Manaia 2017). Da im Gegensatz zur fäkalen Verschmutzung (derzeit) keine Schwellenwerte oder Klassifizierungsschemata für Antibiotikaresistenzen in der natürlichen aquatischen Umwelt existieren, haben wir die in dieser Studie ermittelten Antibiotikaresistenzwerte mit Werten aus der einschlägigen Literatur verglichen. Dies sollte uns eine Einordnung ermöglichen, ob die in den österreichischen Flüssen gefundenen Antibiotikaresistenzen im Vergleich zu den Werten in Kläranlagen und Flüssen in anderen Ländern niedrig, ähnlich oder hoch sind.
Resistenzniveaus aus isolierten E.-coli-Populationen
Die Resistenzsituation von E.-coli-Isolaten aus Gewässern wurde weltweit mehrfach untersucht (Titilawo et al. 2015; Kittinger et al. 2016; Cho et al. 2018) (Tab. 3). Kürzlich berichteten Skof et al. (2024) über Anteile resistenter Isolate von 23 % in der Mur und 24 % in der Drau, was weniger ist als in den beiden Flüssen Donau (32 %) und Kamp (35 %), aber mehr als in der gering verschmutzten Traisen (13 %). Im Rahmen der Joint Danube Survey 3 isolierten Kittinger et al. (2016) 121 E. coli aus dem oberen Donauabschnitt (einschließlich Deutschland), von denen 44 % resistent waren. Eine am stark anthropogen belasteten Rhein durchgeführte Studie ergab mit 54 % einen höheren Anteil resistenter Isolate in der coliformen Population (Stange et al. 2016), und auch im abwasserbelasteten portugiesischen Fluss Ave waren die Anteile resistenter E.-coli-Isolate mit 72 % höher als in Österreich (Bessa et al. 2014).
Tab. 3
Überblick über die Resistenzanteile (kombinierte Resistenz- und Multiresistenzanteile) und die Resistenzanteile gegenüber vier ausgewählten Antibiotika (die häufig in Resistenzstudien getestet werden) in den E.-coli-Populationen in Flüssen weltweit
Kontinent
Land
Fluss
% Wild-Typ
% resistent
% AMP
% TET
% TRS
% IMI
Quelle
Europa
Austria
Donau
68
32
19
11
6
0,1
Diese Studie
Österreich
Kamp
65
35
24
12
3,4
0
Diese Studie
Österreich
Traisen
87
13
11
4
3,5
0
Diese Studie
Oberlauf (Österreich, Deutschland)
Donau
56
44
33
9
5
0
Kittinger et al. (2016)
Österreich
Mur
77
23
11
7
8
0
Skof et al. (2024)
Österreich
Drau
76
24
15
7
10
0
Skof et al. (2024)
Deutschland
Rhein
46
54
n. a.
11
5
n. a.
Stange et al. (2016)
Portugal
Ave
28
72
69
47
28
1,4
Bessa et al. (2014)
Amerika
US (Georgia)
Oberlauf Oconee
93
7
2,2
5,2
n. a.
n. a.
Cho et al. (2018)
USA & Mexico
Rio Grande
36
64
n. a.
n. a.
n. a.
n. a.
Fuentes et al. (2019)
Afrika
Nigeria
10 Flüsse
n. a.
n. a.
57
28
n. a.
0
Titilawo et al. (2015)
Asien
Indien
Kshipra Einzugsgebiet
n. a.
n. a.
37
14
n. a.
2,1
Hanna et al. (2020)
Japan
Katsura
45
55
48
12
5
n. a.
Yamashita et al. (2017)
Abwasser
Tschechien
Krankenhaus & kommunal
4
96
96
54
52
n. a.
Davidova-Gerzova et al. (2023)
Niederlande
Spital, kommunal & WWTP
n. a.
n. a.
10,4–50,8
n. a.
4,8–10
n. a.
Verburg et al. (2019)
Polen
Unbehandelt/behandelt
< 62
> 38
26/54
66/13
n. a.
n. a.
Osińska et al. (2017)
Polen
Unbehandelt & behandelt
< 66
> 34
34
23
11
n. d.
Łuczkiewicz et al. (2010)
n.a. nicht analysiert, Wildtyp sensitiv/empfindlich gegen alle getesteten Antibiotika
Der Einfluss von Abwässern und anthropogenen Aktivitäten auf die Anteile resistenter E.-coli-Isolate wurde auch in zwei Studien aus den USA nachgewiesen. Im stark abwasserbelasteten Tieflandfluss Rio Grande, dem Grenzfluss zwischen den USA und Mexiko, war der Anteil hoch (64 %) (Fuentes et al. 2019), während der Anteil resistenter Isolate in den Quellflüssen und Bächen des oberen Oconee-Einzugsgebiets mit 7 % niedrig war (Cho et al. 2018). Im japanischen Katsura River (Yamashita et al. 2017) war der Anteil resistenter Isolate mit 55 % höher als in Österreich. Obwohl für mehrere nigerianische Flüsse (Titilawo et al. 2015) und den indischen Kshipra River keine generellen Werte für die Anteile resistenter E.-coli-Isolate berichtet wurden, waren die Ampicillin- und Tetracyclin-Resistenzanteile höher als in Österreich (Hanna et al. 2020). Im indischen Fluss waren 2,1 % der Isolate resistent gegen das Reserveantibiotikum Imipenem (Hanna et al. 2020), im Vergleich zu 0,1 % in der Donau und 0 % in den beiden Nebenflüssen. Daraus schließen wir, dass die Anteile resistenter E.-coli-Isolate in österreichischen Flüssen im unteren bis mittleren Bereich von Flüssen weltweit liegen (Tab. 3). Die in den NÖ Flüssen gefundenen Resistenzanteile liegen auch unter den Werten, die in unbehandeltem bzw. behandeltem Abwasser europäischer Länder gefunden wurden (Tab. 3 unten). So lag z. B. der Anteil Tetracyclin-resistenter Isolate mit 54 % (Tschechien), 66 % (unbehandelter Zulauf) und 13 % (behandelter Ablauf, Polen) bzw. 23 % (ebenfalls Polen) über den 4–9 % in den NÖ Flüssen.
ARG-Konzentrationen im Resistom der untersuchten Wasserproben
In den letzten Jahren ist die Zahl der Studien zur Untersuchung von ARG-Konzentrationen in Oberflächengewässern explodiert, während Studien, die kulturbasierte Methoden verwenden, aufgrund der aufwändigen Methodik relativ selten sind (siehe oben). Kürzlich wurden in einer globalen Literaturübersicht intI1, sul1 und blaTEM als wesentliche Marker identifiziert, und blaCTX‑M und qnrS werden als gute Erweiterung für ein AMR-Monitoring in der Umwelt angesehen (Abramova et al. 2023). Alle diese Marker wurden während unserer Probennahmekampagne in Niederösterreich untersucht und häufig nachgewiesen. Insbesondere die ersten drei Marker (intI1, sul1 und blaTEM) wurden in weltweiten Studien am häufigsten und mit den höchsten Konzentrationen gefunden (Cacace et al. 2019; Li und Zhang 2020; Keely et al. 2022) (Tab. 4).
Tab. 4
Überblick über die durchschnittlichen Werte häufig nachgewiesener ARGs (log10 Kopien 100 ml−1) in Flusswasser weltweit
Kontinent
Land
Fluss
intI1
sul1
blaTEM
qnrS
tetM
Quelle
Europa
Österreich
Donau
5,9
5
1,4
3
2,5
Diese Studie
Österreich
Kamp
5,8
5
2,1
2,7
2,6
Diese Studie
Österreich
Traisen
5
4,5
1,1
1
2
Diese Studie
Österreich
Ybbs
5,6
4,9
2,3
2,5
3
Diese Studie
Österreich
Verschiedene Flüsse
n. a.
4,2
(2,1–7,4)
1,7
(< LOD–4,4)
n. a.
n. a.
Dielacher et al. (2023)
Diverse Länder
Donau
5,5
5
2
3,5
3
Schachner-Groehs et al. (2024)
Österreich
Vorfluter
6–7,5
6–7
4–5
n. a.
5–6
Cacace et al. (2019)
Norwegen
Vorfluter
6,5
6
4,5
n. a.
4,5
Cacace et al. (2019)
Deutschland
Vorfluter
4,5–6
4,5–5,5
3,5–4
n. a.
4,5–5,5
Cacace et al. (2019)
Türkei
Vorfluter
6,5–7,5
7–8
5,5–6,5
n. a.
7–8
Cacace et al. (2019)
Polen
Pilica Einzugsgebiet
4,8
5,2
4,9
n. a.
n. a.
Harnisz et al. (2020)
Amerika
USA
Verschiedene Flüsse
3–5
2,9–4
2
n. a.
n. a.
Keely et al. (2022)
Asien
Nepal
Kathmandu Tal
8
8
n. a.
5,4
5
Amarasiri et al. (2022)
China
Gewässer in Nordchina
6,5–8
6–7
n. a.
0,2–6
n. a.
Wang et al. (2021)
China
Weihe
n. a.
2,7–4,5
n. a.
3–4
n. a.
Li und Zhang (2020)
Abwasser
Österreich
Abfluss
7,2
6,2
4,3
n. a.
5,4
Cacace et al. (2019)
Österreich
Abfluss
n. a.
6,8
(6,3–7,4)
3,3
(2,4–3,9)
n. a.
n. a.
Dielacher et al. (2023)
Norwegen
Abfluss
6,5
5,9
4,4
n. a.
4,9
Cacace et al. (2019)
Türkei
Abfluss
n. a.
7,3
5,8
n. a.
5,6
Cacace et al. (2019)
Polen
Abfluss
6,2–6,6
7,0–7,7
5,3–6,2
n. a.
< LOD–4,2
Hubeny et al. (2021)
n.a. nicht analysiert
In einem kürzlich abgeschlossenen nationalen Forschungsprojekt wurde erstmals eine systematische Untersuchung der ARG-Hintergrundbelastung von Abwasser und Oberflächengewässern in Österreich durchgeführt (Dielacher et al. 2023). Die dort in einer räumlichen Probennahmekampagne von Oberflächengewässern (n = 26) erhobenen Werte zeigten eine hohe Variation zwischen den untersuchten Flüssen. Die Konzentrationen von sul1 und blaTEM in den niederösterreichischen Flüssen aus unserer Studie lagen im mittleren Bereich dieses Spektrums. In Europa untersuchten Cacace et al. (2019) die ARG-Konzentrationen in 16 Kläranlagen und ihren korrespondierenden Oberflächengewässern in zehn verschiedenen Ländern. Im Vergleich zu dieser Studie wiesen intI1 und sul1 der niederösterreichischen Flüsse etwas niedrigere Werte auf (intI1: 5 bis 5,9 log10 100 ml−1; sul1: 4,5 bis 5,0 log10 100 ml−1; europäischer Bereich: 4,5 bis 7,5 log10 100 ml−1 bzw. 4,5 bis 8,0 log10 100 ml−1). Die Abundanz von tetM war in unserer Studie sogar deutlich geringer (2 bis 3 log10 100 ml−1; europäischer Durchschnitt: 3,5 bis 5 log10 100 ml−1). Auch im Einzugsgebiet des Flusses Pilica (Polen) war die Häufigkeit von blaTEM deutlich höher als in Niederösterreich, während intI1 und sul1 auf einem vergleichbaren Niveau lagen (Harnisz et al. 2020). Eine große Studie in den USA, bei der mehrere tausend Wasserproben in unterschiedlich genutzten Gebieten untersucht wurden, ergab im Durchschnitt niedrigere intI1- und sul1-Werte als in Niederösterreich, während die blaTEM-Werte mit denen in Österreich vergleichbar waren (Keely et al. 2022). Für Asien berichteten Wang et al. (2021) über höhere intI1- und sul1-Konzentrationen in Nordchina (Tab. 4), während die qnrS-Konzentrationen je nach untersuchter Wasserquelle stark variierten (0,2 bis 6 log10 100 ml−1). In Übereinstimmung mit dieser Studie wies der chinesische Fluss Weihe ebenfalls höhere qnrS-Werte (log10 3 bis 4 100 ml−1) als Österreich (1 bis 3 log10 100 ml−1), aber geringere sul1-Konzentrationen auf (Li und Zhang 2020). In Nepal waren die ARG-Werte von intI1, sul1, qnrS und tetM (Tab. 4) deutlich höher als in Niederösterreich und darüber hinaus wurde blaKPC an fünf von sechs Flussprobenstellen nachgewiesen (Amarasiri et al. 2022). Dieser Vergleich bestätigt, dass die in den niederösterreichischen Flüssen gefundenen Konzentrationen an Resistenzgenen am unteren Ende der weltweit in Flüssen gefundenen Werte liegen. ARG-Konzentrationen im gereinigten Abwasser europäischer Kläranlagen lagen für alle in Tab. 4 aufgelisteten Gene im Mittel um 1 bis 2 Größenordnungen über denen der NÖ Flüsse.

4.2 Zusammenhang zwischen fäkaler Verschmutzung und AMR-Werten

Fäkale mikrobiologische Verschmutzung, insbesondere anthropogenen Ursprungs aus Kläranlagen, wurde als Hauptursache für AMR in Flussökosystemen berichtet (Karkman et al. 2018; Manaia et al. 2018). In unserer Studie wurden in den Nebenflüssen flussabwärts von Kläranlagen signifikant höhere absolute Werte von E. coli-Konzentrationen und menschlichen MST-Markern festgestellt, während in der Donau aufgrund der hohen Verdünnung kein solcher Anstieg zu beobachten war. Wir erwarteten daher, dass mit zunehmendem Abwassereinfluss auch höhere ARG-Konzentrationen und höhere Resistenzanteile in der E.-coli-Population zu beobachten sind, insbesondere flussabwärts der untersuchten Kläranlagen.
Generell wurde in der gering abwasserbeeinflussten Traisen eine geringere Anzahl von E.-coli-Isolaten gefunden als in den beiden anderen, stärker abwasserbeeinflussten Flüssen Donau und Kamp. Darüber hinaus waren die meisten (87 %) der untersuchten E.-coli-Isolate aus der Traisen Wildtyp-Isolate ohne klinisch relevante Resistenzen (Abb. 4, 5 und 6). In Donau und Kamp war die Anzahl der Wildtyp-Isolate geringer (68 % bzw. 65 %). Ein Zusammenhang zwischen Kläranlageneinleitungen und Resistenzanteilen bei E. coli wurde bereits für andere Flüsse nachgewiesen (Watkinson et al. 2007; Osińska et al. 2017). Zur Untersuchung eines möglichen direkten Kläranlageneinflusses ergab ein Vergleich zwischen allen flussabwärts gelegenen Standorten mit allen flussaufwärts gelegenen oder unbeeinflussten Probenahmestellen einen signifikant höheren Anteil resistenter Isolate an den flussabwärts gelegenen Standorten (Supplementary Material Tab. S4). Ebenso waren Resistenzen insbesondere gegen Ampicillin, Amoxicillin/Clavulansäure, Cefalexin, Cefuroxim, Cefoxidin und Gentamicin an den flussabwärts gelegenen Standorten signifikant höher.
Auch auf molekularbiologischer Ebene wurde ein Zusammenhang zwischen den ARG-Konzentrationen und dem Grad der fäkalen mikrobiologischen Verschmutzung in Flüssen festgestellt. Vor kurzem wurde die fäkale Verschmutzung als Hauptfaktor für die ARG-Prävalenz in einem großen chinesischen Fluss (Chen et al. 2023) und in der stark durch Abwässer belasteten Donau (Schachner-Groehs et al. 2024) ermittelt. Die fünf häufigsten ARGs in unserer Studie wiesen alle flussabwärts im Vergleich zu den flussaufwärts gelegenen Standorten signifikant höhere Konzentrationen auf (Details siehe Supplementary Material Tab. S5). In der Ybbs betrug z. B. die maximale Abundanz von sul1 6,9 log10 100 ml−1 unterhalb der Kläranlage Amstetten (AMD) und die minimale Konzentration 3 log10 100 ml−1 oberhalb der Kläranlage Lunz. Außerdem wurden die seltenen ARGs wie blaOXA48 und blaKPC nur an Standorten unterhalb von Kläranlagen nachgewiesen.

4.3 Andere Faktoren, die die ARG-Konzentrationen in Flüssen beeinflussen

Neben der fäkalen mikrobiologischen Verschmutzung wurden auch andere Faktoren als potenzielle Einflussfaktoren der Antibiotikaresistenz in Flüssen identifiziert, wie Antibiotika, Schwermetalle, Pestizide oder der Durchfluss (Schachner-Groehs et al. 2024). In der vorliegenden Studie fanden wir auch signifikante Korrelationen von ARGs und den E.-coli-Resistenzanteilen mit Antibiotika, Schwermetallen, anorganischen Nährstoffen oder chemo-physikalischen Wasserparametern (Leopold et al. 2025). Ob diese Korrelationen jedoch nur zufällig (im Zusammenhang mit der Abwassereinwirkung) oder kausal sind, muss in zukünftigen Studien ermittelt werden.

4.4 Potenzielle Rolle von Biofilmen

Neben dem Wasser sind Biofilme (und Sedimente) potenzielle AMR-Senken und -Quellen. Biofilme in Flüssen sind komplexe mikrobielle Gemeinschaften, die untergetauchte Oberflächen wie Steine bedecken und von ihrer physikalischen, biologischen und chemischen Umgebung beeinflusst werden, z. B. von Arzneimitteln (Matviichuk et al. 2023) oder Schwermetallen (Chiellini et al. 2019). Im Hinblick auf die Umweltgesundheit wurden Biofilme als repräsentative Habitate für die Überwachung von Süßwasser vorgeschlagen (Pu et al. 2019) und können auch nützliche und relevante Habitate für die AMR-Überwachung sein (Matviichuk et al. 2023; Leopold et al. 2024). Es gab bereits einige Studien, die den Einfluss von Kläranlageneinleitungen auf Biofilme in Flüssen untersuchten und höhere AMR-Werte an Standorten unterhalb von Kläranlagen (Aubertheau et al. 2017) sowie eine höhere Abundanz von ARGs im Biofilm als im umgebenden Wasser fanden (Haenelt et al. 2023). Eine allgemeine Schlussfolgerung über die Rolle von Biofilmen als Senken oder Quellen von Antibiotikaresistenzen kann jedoch derzeit nicht gezogen werden, da Biofilme in Flüssen sehr heterogene Lebensräume sind und die Ergebnisse von der spezifischen lokalen Situation der einzelnen Probenahmestellen abhängen (Leopold et al. 2025).

5 Schlussfolgerungen

Diese Studie liefert ein erstes quantitatives Referenz- oder Bezugsniveau der Antibiotikaresistenzen für einen Teil des Donaueinzugsgebiets in Niederösterreich. Die Ergebnisse bauen auf einem robusten Ansatz auf, der phänotypische Resistenzdaten eines klinisch hoch relevanten Modellorganismus (E. coli) mit Resistenzgendaten des Flussmikrobioms und umfassender Fäkalverschmutzungsdiagnostik (inkl. Microbial-Source-Tracking-Daten) verknüpft. Unsere Ergebnisse zeigen, dass die Antibiotikaresistenzmuster in anthropogen beeinflussten Flüssen eng mit der fäkalen Verschmutzung, insbesondere den kommunalen Abwassereinleitungen zusammenhängt. Dies war in den Nebenflüssen aufgrund der geringeren Verdünnung im Vergleich zur Donau besonders deutlich. Obwohl die häufig vorkommenden AMR-Marker (intI1 und sul1) bereits statistisch in jeder zehnten bis hundertsten Bakterienzelle vorhanden waren, wurden die klinisch hoch relevanten Resistenzgene (insbesondere die beiden Carbapenemase-Gene) nur in sehr geringer Häufigkeit und nur flussabwärts von Kläranlagen nachgewiesen. Auch die phänotypischen Resistenzen von E.-coli-Isolaten wiesen an stromabwärts gelegenen Kläranlagen deutlich höhere Werte auf. Resistenzen gegen Reserveantibotika wie Imipenem und Colistin traten aber auch an diesen Standorten nur in sehr geringen Häufigkeiten auf. Eine Resistenz gegen Meropenem und Tigecyclin wurde überhaupt nicht festgestellt. Insgesamt befindet sich die Resistenzsituation in Niederösterreich im Vergleich zu Flüssen in Europa und anderen Teilen der Welt auf einem niedrigen bis mittleren Niveau.
Diese Studie konzentrierte sich hauptsächlich auf den möglichen Einfluss von Kläranlagen unterschiedlicher Größe, von denen einige klinische Abwässer beziehen. Da die Abwassereinleitungen und der Grad der fäkalen mikrobiologischen Verschmutzung stark mit den Resistenzwerten in den entsprechenden Flüssen korrelierten, könnten weitere Forschungen zu den Konzentrationen an ARGs und ARB in klinischen Abwässern und Kläranlageneinleitungen einen tieferen Einblick in die Übertragung von Antibiotikaresistenzen aus Krankenhäusern und der allgemeinen Bevölkerung in die natürliche Umwelt geben. Darüber hinaus sollte auch die Rolle der Landwirtschaft und der Viehzucht als Resistenzquellen im Mittelpunkt künftiger Forschungsarbeiten stehen („One Health“-Ansatz), insbesondere in Zeiten starker Regenfälle und erhöhter diffuser Oberflächeneinträge. Solche Szenarien könnten aufgrund der durch den Klimawandel bedingten Zunahme von Starkregenereignissen von zunehmender Bedeutung sein. Im Gegensatz dazu ist zu erwarten, dass die in der neuen kommunalen Abwasserrichtlinie der EU festgelegten Fortschritte bei der Abwasserbehandlung und der Infrastruktur zu einer Verringerung der Eintragsmengen von Antibiotikaresistenzen über human-assoziierte Punktquellen („kommunaler Abwasserweg“) in die Umwelt führen werden. Die ebenfalls in der Verordnung festgelegten Untersuchungsnotwendigkeiten für Kläranlagenabwässer von Anlagen mit einem Einzugsgebiet > 100.000 EGW werden hinsichtlich der epidemiologischen Resistenzsituation in der Bevölkerung als auch der potenziellen Umweltbelastung in Zukunft weitere Informationen liefern.

Danksagung

Die Studie wurde durch eine Förderung der Gesellschaft für Forschungsförderung Niederösterreich (GFF) finanziert (Projektnummer LSC18-007). Zusätzliche Unterstützung wurde durch das Projekt ARISE (Fördergeber: Österreichische Forschungsförderungsgesellschaft FFG, Projektnummer FO999905348) zur Verfügung gestellt. Die Autoren bedanken sich beim Amt der NÖ Landesregierung, insbesondere bei DI M. Angelmaier und DI G. Konheisner, für ihre Hilfe bei der Erhebung der Kläranlageneinleitungen. Wir danken unserer Master-Studentin der TU Wien A. Kabicher für ihre Hilfe bei der Probennahmekampagne und den Bachelor-Studenten der Karl Landsteiner Universität Krems D. Haaser und S. Kainrath sowie den Bachelor-Studenten der Medizinischen Universität Graz M. Kapic und P. Arsenijevic für die Durchführung mehrerer Antibiotikaempfindlichkeits-Tests von E. coli. Diese Studie ist eine gemeinschaftliche Arbeit des Interuniversitären Kooperationszentrums Wasser und Gesundheit (www.waterandhealth.at).

Interessenkonflikt

A.K.T. Kirschner, M. Leopold, C. Kolm, J. Vierheilig, R.B. Linke, I. Schachner-Gröhs, M. Koller, C. Kittinger, G. Zarfel und A.H. Farnleitner geben an, dass kein Interessenkonflikt besteht.
Open Access Dieser Artikel wird unter der Creative Commons Namensnennung 4.0 International Lizenz veröffentlicht, welche die Nutzung, Vervielfältigung, Bearbeitung, Verbreitung und Wiedergabe in jeglichem Medium und Format erlaubt, sofern Sie den/die ursprünglichen Autor(en) und die Quelle ordnungsgemäß nennen, einen Link zur Creative Commons Lizenz beifügen und angeben, ob Änderungen vorgenommen wurden. Die in diesem Artikel enthaltenen Bilder und sonstiges Drittmaterial unterliegen ebenfalls der genannten Creative Commons Lizenz, sofern sich aus der Abbildungslegende nichts anderes ergibt. Sofern das betreffende Material nicht unter der genannten Creative Commons Lizenz steht und die betreffende Handlung nicht nach gesetzlichen Vorschriften erlaubt ist, ist für die oben aufgeführten Weiterverwendungen des Materials die Einwilligung des jeweiligen Rechteinhabers einzuholen. Weitere Details zur Lizenz entnehmen Sie bitte der Lizenzinformation auf http://creativecommons.org/licenses/by/4.0/deed.de.

Hinweis des Verlags

Der Verlag bleibt in Hinblick auf geografische Zuordnungen und Gebietsbezeichnungen in veröffentlichten Karten und Institutsadressen neutral.
download
DOWNLOAD
print
DRUCKEN
Titel
Erste umfassende quantitative Erhebung von Antibiotikaresistenzen in vier niederösterreichischen Flüssen
Verfasst von
Assoc. Prof. PD Mag. Dr. Alexander K. T. Kirschner
Melanie Leopold, MSc, PhD
DI Dr. Claudia Kolm
Ass. Prof. DI Dr. Julia Vierheilig
MMag. Dr. Rita B. Linke
Iris Schachner-Gröhs, MSc, PhD
Michael Koller, MSc
PD Mag. Dr. Clemens Kittinger
PD Mag. Dr. Gernot Zarfel
Univ.-Prof. PD Dr. Andreas H. Farnleitner, MSc.Tox.
Publikationsdatum
01.09.2025
Verlag
Springer Vienna
Erschienen in
Österreichische Wasser- und Abfallwirtschaft / Ausgabe 9-10/2025
Print ISSN: 0945-358X
Elektronische ISSN: 1613-7566
DOI
https://doi.org/10.1007/s00506-025-01164-6
Zurück zum Zitat Abramova A, Berendonk TU & Bengtsson-Palme J (2023): A global baseline for qPCR-determined antimicrobial resistance gene prevalence across environments. Environ Int 178: 108084.CrossRef
Zurück zum Zitat Amarasiri M, Takezawa T, Malla B, Furukawa T, Sherchand JB, Haramoto E & Sei K (2022): Prevalence of antibiotic resistance genes in drinking and environmental water sources of the Kathmandu Valley, Nepal. Front Microbiol 13: 894014.CrossRef
Zurück zum Zitat Aubertheau E, Stalder T, Mondamert L, Ploy MC, Dagot C & Labanowski J (2017): Impact of wastewater treatment plant discharge on the contamination of river biofilms by pharmaceuticals and antibiotic resistance. Science of the Total Environment 579: 1387–1398.CrossRef
Zurück zum Zitat Bessa LJ, Barbosa-Vasconcelos A, Mendes A, Vaz-Pires P & Martins da Costa P (2014): High prevalence of multidrug-resistant Escherichia coli and Enterococcus spp. in river water, upstream and downstream of a wastewater treatment plant. J Water Health 12: 426–435.CrossRef
Zurück zum Zitat Cabal A, Rab G, Daza-Prieto B, et al. (2022): Characterizing Antimicrobial Resistance in Clinically Relevant Bacteria Isolated at the Human/Animal/Environment Interface Using Whole-Genome Sequencing in Austria. Int J Mol Sci 23: 11276.CrossRef
Zurück zum Zitat Cacace D, Fatta-Kassinos D, Manaia CM, et al. (2019): Antibiotic resistance genes in treated wastewater and in the receiving water bodies: A pan-European survey of urban settings. Water Research 162: 320–330.CrossRef
Zurück zum Zitat Chen Z, Duan Y, Yin L, Chen Y, Xue Y, Wang X, Mao D & Luo Y (2023): Unraveling the influence of human fecal pollution on antibiotic resistance gene levels in different receiving water bodies using crAssphage indicator gene. Journal of Hazardous Materials 442: 130005.CrossRef
Zurück zum Zitat Chiellini C, Chioccioli S, Vassallo A, et al. (2019): Exploring the bacterial communities of Infernaccio Waterfalls: A phenotypic and molecular characterization of acinetobacter and pseudomonas strains living in a Red Epilithic Biofilm. Diversity 11: 175.CrossRef
Zurück zum Zitat Cho S, Hiott LM, Barrett JB, McMillan EA, House SL, Humayoun SB, Adams ES, Jackson CR & Frye JG (2018): Prevalence and characterization of Escherichia coli isolated from the Upper Oconee Watershed in Northeast Georgia. PLoS One 13: e0197005.CrossRef
Zurück zum Zitat CLSI (2020): Performance Standards for Antimicrobial Susceptibility Testing. CLSI supplement M100: 293 pp.
Zurück zum Zitat Davidova-Gerzova L, Lausova J, Sukkar I, et al. (2023): Hospital and community wastewater as a source of multidrug-resistant ESBL-producing Escherichia coli. Front Cell Infect Microbiol 13: 1184081.CrossRef
Zurück zum Zitat Demeter K, Linke R, Balleste E, et al. (2023): Have genetic targets for faecal pollution diagnostics and source tracking revolutionized water quality analysis yet? FEMS Microbiology Reviews 47: fuad028.CrossRef
Zurück zum Zitat Dielacher I, Slipko K, Radu E, et al. (2023): MARGINS-II: Identifizierung und Quantifizierung der Antibiotikaresistenzgen-Hintergrundbelastung von Abwasser und Oberflächengewässern in Österreich. Projektbericht. BML (Hrsg.), Wien. https://dafne.at/content/report_release/33db428c-e8fa-41d1-b791-4847991c4b3a_0.pdf.
Zurück zum Zitat van Driezum IH, Derx J, Oudega TJ, Zessner M, Naus FL, Saracevic E, Kirschner AKT, Sommer R, Farnleitner AH & Blaschke AP (2019): Spatiotemporal resolved sampling for the interpretation of micropollutant removal during riverbank filtration. Science of the Total Environment 649: 212–223.CrossRef
Zurück zum Zitat ECDC (2022): Assessing the health burden of infections with antibiotic-resistant bacteria in the EU/EEA, 2016–2020 European Centre for Disease Prevention and Control, Stockholm, 17 pp.
Zurück zum Zitat Engin AB, Engin ED & Engin A (2023): Effects of co-selection of antibiotic-resistance and metal-resistance genes on antibiotic-resistance potency of environmental bacteria and related ecological risk factors. Environ Toxicol Pharmacol 98: 104081.CrossRef
Zurück zum Zitat EUCAST (2020): Antimicrobial susceptibility testing of bacteria. https://www.eucast.org/ast_of_bacteria, Zugriff am 14022025.
Zurück zum Zitat European Commission (2024): Directive (EU) 2024/3019 of the European Parliament and of the Council of 27 November 2024 concerning urban wastewater treatment (recast). Official Journal 2024/3019, 59 pp.
Zurück zum Zitat Fuentes MD, Gutierrez S, Sahagun D, et al. (2019): Assessment of Antibiotic Levels, Multi-Drug Resistant Bacteria and Genetic Biomarkers in the Waters of the Rio Grande River Between the United States-Mexico Border. J Health Pollut 9: 190912.CrossRef
Zurück zum Zitat Gao M, Zhang Q, Lei C, Lu T & Qian H (2023): Atmospheric antibiotic resistome driven by air pollutants. Sci Total Environ 902: 165942.CrossRef
Zurück zum Zitat Green HC, Haugland RA, Varma M, et al. (2014): Improved HF183 quantitative real-time PCR assay for characterization of human fecal pollution in ambient surface water samples. Appl Environ Microbiol 80: 3086–3094.CrossRef
Zurück zum Zitat Griffiths RI, Whiteley AS, O’Donnell AG & Bailey MJ (2000): Rapid method for coextraction of DNA and RNA from natural environments for analysis of ribosomal DNA- and rRNA-based microbial community composition. Applied and Environmental Microbiology 66: 5488–5491.CrossRef
Zurück zum Zitat Haenelt S, Wang G, Kasmanas JC, Musat F, Richnow HH, da Rocha UN, Müller JA & Musat N (2023): The fate of sulfonamide resistance genes and anthropogenic pollution marker intI1 after discharge of wastewater into a pristine river stream. Frontiers in Microbiology 14: 1058350.CrossRef
Zurück zum Zitat Hanna N, Purohit M, Diwan V, Chandran SP, Riggi E, Parashar V, Tamhankar AJ & Lundborg CS (2020): Monitoring of Water Quality, Antibiotic Residues, and Antibiotic-Resistant Escherichiacoli in the Kshipra River in India over a 3-Year Period. Int J Environ Res Public Health 17.
Zurück zum Zitat Harnisz M, Kiedrzyńska E, Kiedrzyński M, Korzeniewska E, Czatzkowska M, Koniuszewska I, Jóźwik A, Szklarek S, Niestępski S & Zalewski M (2020): The impact of WWTP size and sampling season on the prevalence of antibiotic resistance genes in wastewater and the river system. Science of the Total Environment 741: 140466.CrossRef
Zurück zum Zitat Hubeny J, Harnisz M, Korzeniewska E, Buta M, Zieliński W, Rolbiecki D, Giebułtowicz J, Nałęcz-Jawecki G & Płaza G (2021): Industrialization as a source of heavy metals and antibiotics which can enhance the antibiotic resistance in wastewater, sewage sludge and river water. PLoS One 16: e0252691.CrossRef
Zurück zum Zitat Hultman J, Tamminen M, Pärnänen K, Cairns J, Karkman A & Virta M (2018): Host range of antibiotic resistance genes in wastewater treatment plant influent and effluent. FEMS Microbiol Ecol 94.
Zurück zum Zitat Jabbar FK & Grote K (2019): Statistical assessment of nonpoint source pollution in agricultural watersheds in the Lower Grand River watershed, MO, USA. Environ Sci Pollut Res Int 26: 1487–1506.CrossRef
Zurück zum Zitat Karkman A, Do TT, Walsh F & Virta MPJ (2018): Antibiotic-Resistance Genes in Waste Water. Trends Microbiol 26: 220–228.CrossRef
Zurück zum Zitat Kassambara A (2023): Rstatix: Pipe-friendly framework for basic statistical tests. https://github.com/kassambara/rstatix, ZUgriff am 14022025.
Zurück zum Zitat Kavka GG, Kasimir GD & Farnleitner AH (2006): Microbiological water quality of the River Danube (km 2581–km 15): Longitudinal variation of pollution as determined by standard parameters. In: Proceedings of the 36th International Conference of the IAD. p.^pp. 415–421. Austrian Committee Danube Research/IAD, Vienna, Austria; ISBN: 13: 978-3-9500723-2‑7.
Zurück zum Zitat Keely SP, Brinkman NE, Wheaton EA, et al. (2022): Geospatial Patterns of Antimicrobial Resistance Genes in the US EPA National Rivers and Streams Assessment Survey. Environmental Science and Technology 56: 14960–14971.CrossRef
Zurück zum Zitat Kildare BJ, Leutenegger CM, McSwain BS, Bambic DG, Rajal VB & Wuertz S (2007): 16S rRNA-based assays for quantitative detection of universal, human-, cow-, and dog-specific fecal Bacteroidales: a Bayesian approach. Water Res 41: 3701–3715.CrossRef
Zurück zum Zitat Kirschner AK, Kavka GG, Velimirov B, Mach RL, Sommer R & Farnleitner AH (2009): Microbiological water quality along the Danube River: integrating data from two whole-river surveys and a transnational monitoring network. Water Res 43: 3673–3684.CrossRef
Zurück zum Zitat Kirschner AKT, Reischer GH, Jakwerth S, et al. (2017): Multiparametric monitoring of microbial faecal pollution reveals the dominance of human contamination along the whole Danube River. Water Res 124: 543–555.CrossRef
Zurück zum Zitat Kittinger C, Lipp M, Folli B, et al. (2016): Enterobacteriaceae Isolated from the River Danube: Antibiotic Resistances, with a Focus on the Presence of ESBL and Carbapenemases. PLoS One 11: e0165820.CrossRef
Zurück zum Zitat Kolm C, Martzy R, Führer M, Mach RL, Krska R, Baumgartner S, Farnleitner AH & Reischer GH (2019): Detection of a microbial source tracking marker by isothermal helicase-dependent amplification and a nucleic acid lateral-flow strip test. Sci Rep 9: 393.CrossRef
Zurück zum Zitat Lachmayr KL, Kerkhof LJ, Dirienzo AG, Cavanaugh CM & Ford TE (2009): Quantifying nonspecific TEM beta-lactamase (blaTEM) genes in a wastewater stream. Appl Environ Microbiol 75: 203–211.CrossRef
Zurück zum Zitat Layton A, McKay L, Williams D, Garrett V, Gentry R & Sayler G (2006): Development of Bacteroides 16S rRNA gene TaqMan-based real-time PCR assays for estimation of total, human, and bovine fecal pollution in water. Appl Environ Microbiol 72: 4214–4224.CrossRef
Zurück zum Zitat Leopold M, Kabicher A, Pap IJ, Ströbele B, Zarfel G, Farnleitner AH & Kirschner AKT (2024): A comparative study on antibiotic resistant Escherichia coli isolates from Austrian patients and wastewater-influenced Danube River water and biofilms. Int J Hyg Environ Health 258: 114361.CrossRef
Zurück zum Zitat Leopold M, Kolm C, Linke RB, Schachner-Groehs I, Koller M, Kandler W, Kittinger C, Zarfel G, Farnleitner AH & Kirschner AKT (2025): Using a harmonised study design and quantitative toolbox reveals major inconsistencies when investigating the main drivers of water and biofilm antibiotic resistomes in different rivers. Journal of Hazardous Materials 488: 137343.CrossRef
Zurück zum Zitat Li Q & Zhang Q (2020): Prevalence and pollution characteristics of antibiotic resistant genes in one high anthropogenically-impacted river. PLoS One 15: e0231128.CrossRef
Zurück zum Zitat Liguori K, Keenum I, Davis BC, Calarco J, Milligan E, Harwood VJ & Pruden A (2022): Antimicrobial Resistance Monitoring of Water Environments: A Framework for Standardized Methods and Quality Control. Environ Sci Technol 56: 9149–9160.CrossRef
Zurück zum Zitat Linke RB, Zeki S, Mayer R, Keiblinger K, Savio D, Kirschner AKT, Reischer GH, Mach RL, Sommer R & Farnleitner AH (2021): Identifying Inorganic Turbidity in Water Samples as Potential Loss Factor During Nucleic Acid Extraction: Implications for Molecular Fecal Pollution Diagnostics and Source Tracking. Frontiers in Microbiology 12: 660566.CrossRef
Zurück zum Zitat Łuczkiewicz A, Jankowska K, Fudala-Książek S & Olańczuk-Neyman K (2010): Antimicrobial resistance of fecal indicators in municipal wastewater treatment plant. Water Res 44: 5089–5097.CrossRef
Zurück zum Zitat Maal-Bared R, Bartlett KH, Bowie WR & Hall ER (2013): Phenotypic antibiotic resistance of Escherichia coli and E. coli O157 isolated from water, sediment and biofilms in an agricultural watershed in British Columbia. Sci Total Environ 443: 315–323.CrossRef
Zurück zum Zitat Manaia CM (2017): Assessing the Risk of Antibiotic Resistance Transmission from the Environment to Humans: Non-Direct Proportionality between Abundance and Risk. Trends in Microbiology 25: 173–181.CrossRef
Zurück zum Zitat Manaia CM, Rocha J, Scaccia N, et al. (2018): Antibiotic resistance in wastewater treatment plants: Tackling the black box. Environ Int 115: 312–324.CrossRef
Zurück zum Zitat Matviichuk O, Mondamert L, Geffroy C, Dagot C & Labanowski J (2023): Life in an unsuspected antibiotics world: River biofilms. Water Research 231: 119611.CrossRef
Zurück zum Zitat Mieszkin S, Furet JP, Corthier G & Gourmelon M (2009): Estimation of pig fecal contamination in a river catchment by real-time PCR using two pig-specific Bacteroidales 16S rRNA genetic markers. Appl Environ Microbiol 75: 3045–3054.CrossRef
Zurück zum Zitat Monahan C, Harris S, Morris D & Cummins E (2022): A comparative risk ranking of antibiotic pollution from human and veterinary antibiotic usage—An Irish case study. Science of the Total Environment 826: 154008.CrossRef
Zurück zum Zitat Murray CJ & Ikuta KS & Sharara F, et al. (2022): Global burden of bacterial antimicrobial resistance in 2019: a systematic analysis. The Lancet 399: 629–655.CrossRef
Zurück zum Zitat O’Neill J (2016): Tackling drug-resistant infections globally: final report and recommendations. Review on Antimicrobial Resistance. downloaded from: https://apo.org.au/node/63983 (Zugriff am 14022025) 84 pp.
Zurück zum Zitat Osińska A, Korzeniewska E, Harnisz M & Niestępski S (2017): The prevalence and characterization of antibiotic-resistant and virulent Escherichia coli strains in the municipal wastewater system and their environmental fate. Science of the Total Environment 577: 367–375.CrossRef
Zurück zum Zitat Pu Y, Ngan WY, Yao Y & Habimana O (2019): Could benthic biofilm analyses be used as a reliable proxy for freshwater environmental health? Environmental Pollution 252: 440–449.CrossRef
Zurück zum Zitat Reischer GH, Kasper DC, Steinborn R, Mach RL & Farnleitner AH (2006): Quantitative PCR method for sensitive detection of ruminant fecal pollution in freshwater and evaluation of this method in alpine karstic regions. Appl Environ Microbiol 72: 5610–5614.CrossRef
Zurück zum Zitat Savin M, Bierbaum G, Hammerl JA, Heinemann C, Parcina M, Sib E, Voigt A & Kreyenschmidt J (2020): ESKAPE Bacteria and Extended-Spectrum-β-Lactamase-Producing Escherichia coli Isolated from Wastewater and Process Water from German Poultry Slaughterhouses. Appl Environ Microbiol 86: e02748–02719.CrossRef
Zurück zum Zitat Schachner-Groehs I, Koller M, Leopold M, et al. (2024): Linking antibiotic resistance gene patterns with advanced faecal pollution assessment and environmental key parameters along 2300 km of the Danube River. Water Res 252: 121244.CrossRef
Zurück zum Zitat Skof A, Koller M, Baumert R, Hautz J, Treiber F, Kittinger C & Zarfel G (2024): Comparison of the Antibiotic Resistance of Escherichia coli Populations from Water and Biofilm in River Environments. Pathogens 13.
Zurück zum Zitat Stange C, Sidhu JPS, Tiehm A & Toze S (2016): Antibiotic resistance and virulence genes in coliform water isolates. Int J Hyg Environ Health 219: 823–831.CrossRef
Zurück zum Zitat Steinbacher SD, Savio D, Demeter K, et al. (2021): Genetic microbial faecal source tracking: rising technology to support future water quality testing and safety management. Österreichische Wasser und Abfallwirtschaft 73: 468–481.CrossRef
Zurück zum Zitat Titilawo Y, Obi L & Okoh A (2015): Antimicrobial resistance determinants of Escherichia coli isolates recovered from some rivers in Osun State, South-Western Nigeria: Implications for public health. Sci Total Environ 523: 82–94.CrossRef
Zurück zum Zitat Velimirov B, Milosevic N, Kavka GG, Farnleitner AH & Kirschner AK (2011): Development of the bacterial compartment along the Danube River: a continuum despite local influences. Microb Ecol 61: 955–967.CrossRef
Zurück zum Zitat Verburg I, García-Cobos S, Hernández Leal L, Waar K, Friedrich AW & Schmitt H (2019): Abundance and Antimicrobial Resistance of Three Bacterial Species along a Complete Wastewater Pathway. Microorganisms 7: 312.CrossRef
Zurück zum Zitat Wang R, Ji M, Zhai H, Guo Y & Liu Y (2021): Occurrence of antibiotics and antibiotic resistance genes in WWTP effluent-receiving water bodies and reclaimed wastewater treatment plants. Sci Total Environ 796: 148919.CrossRef
Zurück zum Zitat Watkinson AJ, Micalizzi GB, Graham GM, Bates JB & Costanzo SD (2007): Antibiotic-resistant Escherichia coli in wastewaters, surface waters, and oysters from an urban riverine system. Applied and Environmental Microbiology 73: 5667–5670.CrossRef
Zurück zum Zitat WHO (2021): WHO integrated global surveillance on ESBL-producing E. coli using a “One Health” approach: implementation and opportunities. World Health Organization. 59 pp.
Zurück zum Zitat Wickham H (2016): ggplot2: Elegant Graphics for Data Analysis. Springer Publisher, 260 pp.CrossRef
Zurück zum Zitat World Health Organization (2025): One Health. https://www.whoint/health-topics/one-health#tab=tab_1, Zugriff am 1222025.
Zurück zum Zitat Yamashita N, Katakawa Y & Tanaka H (2017): Occurrence of antimicrobial resistance bacteria in the Yodo River basin, Japan and determination of beta-lactamases producing bacteria. Ecotoxicol Environ Saf 143: 38–45.CrossRef
Zurück zum Zitat Yin X, Chen X, Jiang XT, et al. (2023): Toward a Universal Unit for Quantification of Antibiotic Resistance Genes in Environmental Samples. Environ Sci Technol 57: 9713–9721.CrossRef