Zum Inhalt

Evaluation of viscoelastic properties in polymer nanocomposites for prosthetic applications via microstructural profiling, model-based analysis, and dynamic mechanical thermal analysis

  • Open Access
  • 01.04.2026
  • Original Paper
Erschienen in:

Aktivieren Sie unsere intelligente Suche, um passende Fachinhalte oder Patente zu finden.

search-config
loading …

Abstract

This study investigates the enhancement of mechanical performance and energy absorption in ultra-high-molecular-weight polyethylene (UHMWPE) nanocomposites for high-performance prosthetic applications. Nano-zeolite (NZ) nanoparticles were incorporated into UHMWPE via a scalable melt-blending process. An automated image-processing framework based on scanning electron microscopy (SEM) was developed for nanoparticle detection and sizing, employing K-means clustering, size filtering, and random forest–based diameter prediction. Dispersion analysis using the normalized span index (NSI) identified 3 wt% NZ as the optimal loading (NSI = 4.13). Dynamic mechanical thermal analysis (DMTA) revealed significant enhancements in storage modulus (E′), loss modulus (E″), and damping factor (tan δ), with the highest overall viscoelastic performance observed for the 4.5 wt% NZ nanocomposite. At 25 °C, E′, E″, and tan δ increased by 41%, 89%, and 35%, respectively, compared to neat UHMWPE, primarily due to improved polymer–filler interfacial interactions and enhanced energy dissipation mechanisms. A Bayesian-optimized Least-Squares Boosting (LSBoost) model was developed to correlate microstructural and processing parameters with viscoelastic responses, achieving high accuracy (R² ≥ 0.95, low RMSE) and identifying temperature as the dominant influencing factor. The results demonstrate the applicability of UHMWPE/nano-zeolite nanocomposites in prosthetic limb components, such as shock-absorbing joints and dynamic footbeds, where enhanced stiffness, damping, and energy dissipation are required.

Publisher’s note

Springer Nature remains neutral with regard to jurisdictional claims in published maps and institutional affiliations.
UHMWPE
Ultra-High-Molecular-Weight Polyethylene
NZ
Nano-Zeolite
DMTA
Dynamic Mechanical Thermal Analysis
SEM
Scanning Electron Microscopy
PFI
Permutation Feature Importance
E′
Storage Modulus
E″
Loss Modulus
tan δ
Damping Factor
NSI
Normalized Span Index
RF
Random Forest
LSBoost
Least-Squares Boosting
ICE
Individual Conditional Expectation
FTIR
Fourier Transform Infrared Spectroscopy
Tg
Glass Transition Temperature

Introduction

Prosthetic technologies evolved with the primary aim of restoring function and improving quality of life for amputees [1]. A key aspect of prosthetic design is selecting materials that mimic the mechanical behavior of biological tissues, particularly in damping—the ability to dissipate energy under cyclic loading—which is crucial for shock absorption and vibration control [2]. Ideal prosthetic materials must combine biocompatibility, mechanical strength, and effective damping. Insufficient damping can lead to discomfort, pain, and long-term joint damage [35]. Ideal prosthetic materials must combine biocompatibility, mechanical strength, and effective damping. Insufficient damping can lead to discomfort, pain, and long-term joint damage [6]. Effective damping enhances shock absorption, reduces vibrations and stress on the residual limb, improves gait stability, and increases user control and comfort [7].
Ultra-high molecular weight polyethylene (UHMWPE) is widely used in prosthetic applications, especially joint replacements, due to its biocompatibility, high impact strength, abrasion resistance, and self-lubricating properties [8]. However, its relatively low stiffness and vulnerability to creep and wear can compromise long-term implant performance [9]. To overcome these drawbacks, extensive research has focused on UHMWPE-based composites reinforced with various fillers to enhance mechanical strength, wear resistance, and damping properties. Composite materials consist of a polymer matrix reinforced with micro- or nano-scale fillers to achieve enhanced mechanical, thermal, and functional properties compared to neat polymers [1012]. The incorporation of particulate reinforcements improves stiffness, wear resistance, and energy dissipation by promoting effective stress transfer and restricting polymer chain mobility. Recent studies have reported that polymer-based composites exhibit improved durability and viscoelastic performance, making them suitable for load-bearing and energy-absorbing applications [13, 14]. Furthermore, nanocomposites offer additional advantages due to their high surface-area-to-volume ratio, which enhances interfacial interactions and damping behavior even at low filler loadings. Such improvements are particularly beneficial in applications requiring vibration control and shock absorption [15]. Nanoparticles such as carbon nanotubes [1618], nano-graphene [19, 20], SiO2 [21], and montmorillonite [22, 23], showed promising results in improving structural integrity and load-bearing performance. These reinforcements also help tailor mechanical properties to better match those of bone, aiding in osseointegration and reducing stress shielding.
Due to their exceptional surface area, nanoparticles significantly enhance nanocomposites even at low inclusion levels [2426]. The primary factor underlying the property improvement is the strong interfacial interaction between the nanoparticles and the polymer matrix, providing an extensive contact area [2730]. Zeolite nanoparticles, known for their ease of processing, biocompatibility, and reusability, are especially suitable for biomedical applications, including prosthetic limbs, due to their non-toxic nature [31, 32]. While various nanofillers were studied, the integration of NZ into polymers remains limited. However, notable improvements were reported: 5 wt% NZ increased tensile strength in polyurethane systems [33], 0.3 wt% NZ enhanced tensile and flexural strength in polypropylene [34], and NZ improved impact resistance in HDPE nanocomposites [35]. In PA6, 5 wt% NZ reduced wear rates by 54% and improved surface smoothness [36].
Despite growing interest, studies on NZ-reinforced polyethylene nanocomposites remain limited, primarily targeting tribological and mechanical enhancements. Mohsenzadeh et al. [37] reported that adding 4 wt% NZ to UHMWPE reduced wear rate by 56%, surface temperature by 32%, and friction coefficient by 26%, with SEM revealing smoother wear surfaces. In follow-up work, they [38] showed that NZ addition improved tensile modulus (45%), tensile strength (14%), and impact toughness (24%), attributing these gains to multiple NZ-induced toughening mechanisms identified through fractographic analysis.
Image processing is crucial for evaluating the microstructure of UHMWPE/NZ nanocomposites, particularly NZ particle dispersion within the matrix. It improves image quality for detailed morphology assessment through noise reduction, contrast enhancement, and feature extraction [39, 40]. These techniques enable accurate quantification of dispersion and its influence on material properties. Machine learning, especially deep learning, is increasingly used for image analysis across scientific domains and is effective in object detection, feature extraction, and segmentation [41]. In nanocomposite research, such methods support correlating dispersion metrics with damping properties measured by DMTA, helping to establish structure–property relationships. Well-dispersed NZ enhances damping via increased interfacial area, while agglomeration may reduce performance. Future work may advance automated algorithms to classify dispersion patterns and link them to specific damping mechanisms.
This study aims to bridge the existing knowledge gap in understanding the viscoelastic and damping behavior of UHMWPE-based nanocomposites by integrating comprehensive microstructural characterization, advanced DMTA, and data-driven modeling. Unlike previous studies that primarily focus on conventional mechanical performance, the present work emphasizes the quantitative linkage between nanoparticle dispersion characteristics and thermomechanical responses under varying temperature and frequency conditions. The novelty of this research resides in the synergistic application of: (i) an automated image-processing framework combined with machine learning algorithms for objective quantification of nanoparticle size and dispersion uniformity; (ii) a systematic DMTA-based investigation of energy dissipation, storage, and damping behavior across a wide thermomechanical spectrum; and (iii) a Bayesian-optimized ensemble learning model to establish robust and predictive structure–process–property relationships for UHMWPE nanocomposites.
The selection of UHMWPE is motivated by its proven biocompatibility, high impact strength, excellent wear resistance, and long-standing use in load-bearing prosthetic components. Nano-zeolite is chosen as the reinforcing phase due to its rigid crystalline framework, high specific surface area, inherent biocompatibility, and strong potential to enhance interfacial interactions and damping efficiency at low filler concentrations. Based on this rationale, the objectives of the present study are to: (1) fabricate UHMWPE/nano-zeolite nanocomposites with different filler loadings via a scalable melt-processing route; (2) quantitatively evaluate nanoparticle dispersion and effective size distribution using an automated image-analysis approach; (3) investigate the temperature- and frequency-dependent viscoelastic properties through DMTA, focusing on storage modulus, loss modulus, and damping behavior; and (4) develop a predictive, Bayesian-optimized machine learning model to correlate microstructural features, processing variables, and testing conditions with the resulting thermomechanical performance. This integrated framework provides a systematic pathway for designing UHMWPE nanocomposites with enhanced energy dissipation and mechanical reliability for advanced prosthetic applications.

Materials and methods

Materials and sample preparation

The UHMWPE powder (GUR 1020, Celanese, USA) was used as the base material, while zeolite nanoparticles (Z4A-005-R, Japan) with an average particle size of 50 nm were chosen as the reinforcing agent to enhance the dynamic thermomechanical properties of the composite. The crystalline structure of the zeolite nanoparticles was confirmed by X-ray diffraction (XRD) analysis, as shown in Fig. 1. The diffraction pattern exhibits sharp and well-defined peaks characteristic of crystalline zeolite, indicating high phase purity of the nanofiller. The UHMWPE powder and the respective weight percentages of zeolite were mixed using a twin-screw extruder (Leistritz ZSE 18, Germany) operating at a temperature profile of 180–200 °C and a screw speed of 100 rpm. The extruded strands were pelletized and subsequently compression molded. The final samples were prepared using a Carver hydraulic hot press (Carver Inc., USA) at 200 °C under a pressure of 15 MPa for 10 min. The molded sheets were cooled under controlled conditions to minimize residual stresses. The specimens were then cut into standard dimensions using a high-precision CNC milling machine (Haas Automation, USA) to ensure consistency for DMT testing. The final specimens were polished using SiC abrasive papers (Struers, Denmark) to remove any surface imperfections.
Fig. 1
XRD pattern of zeolite nanoparticles confirming their crystalline structure and phase purity
Bild vergrößern

DMTA

To investigate the viscoelastic response of UHMWPE–zeolite nanocomposites under dynamic loading conditions, DMTA was carried out. Measurements were obtained using a TA Instruments Q800 analyzer (USA) operating in a dual cantilever configuration. E′, E″, and tan δ were recorded as temperature-dependent parameters. The thermal ramp was set at 5 °C/min, spanning from − 150 °C to 100 °C. The selected temperature range (− 150 °C to 100 °C) enables the identification of secondary and primary molecular relaxations of UHMWPE-based nanocomposites and covers both extreme conditions and the physiological temperature range relevant to prosthetic applications. Two excitation frequencies, 1 Hz and 10 Hz, were selected to assess the frequency-sensitivity of nano-composite samples. All test specimens were fabricated with dimensions of 40 × 10 × 3 mm for experimental consistency. DMTA measurements were performed in triplicate for each composition to ensure reproducibility, with average values reported.

Microstructure

Morphological evaluation of the UHMWPE-zeolite nanocomposites was carried out to assess nanoparticle distribution within the polymer matrix and the nature of filler-matrix interfacial bonding. A field-emission SEM (FEI Quanta 250 FEG, Thermo Fisher Scientific, USA) was employed at an accelerating voltage of 15 kV. Specimens were cryo-fractured in liquid nitrogen to expose the fracture surface and then coated with a thin gold layer using a Leica EM ACE600 sputter coater (Leica Microsystems, Germany) to ensure adequate conductivity for imaging.

FTIR

FTIR was performed using a Bruker Tensor 27 FTIR spectrometer (Bruker Corporation, Germany) to analyze the chemical interactions between the UHMWPE matrix and the zeolite nanoparticles. The spectra were recorded in the range of 4000–400 cm⁻¹ with a resolution of 4 cm⁻¹ using attenuated total reflectance (ATR) method.

Image processing

Preprocessing and noise reduction

In this study, a multi-step image processing approach was employed to analyze and extract information about nanoparticles from microscopic images. The first step involved applying a mean filter to enhance image quality and reduce noise. This process resulted in smoother images with increased contrast, effectively minimizing artifacts that could interfere with subsequent analysis. Noise reduction was essential for preserving the integrity of the nanoparticle structures, preventing misclassification during segmentation.
Following noise reduction, the image was binarized to separate nanoparticles from the background. Binarization converted the grayscale image into a binary format, creating a clear distinction between nanoparticles and the surrounding area. This step established a foundation for accurate segmentation, helping isolate meaningful regions within the image.

Segmentation and feature extraction

To achieve precise nanoparticle segmentation, K-Means clustering algorithm was employed, categorizing image pixels into two groups: nanoparticles and background. This clustering method efficiently separated nanoparticles based on their intensity differences. However, due to potential noise and irregularities, additional morphological operations were performed to refine segmentation. These operations included opening and closing, which helped remove small unwanted regions while preserving the structure and continuity of nanoparticles. After segmentation, connected component analysis was conducted to detect and label individual nanoparticles. This technique allowed for a systematic identification of separate particles, facilitating a structured analysis.

Filtering and masking

To ensure that only nanoparticles of interest were considered, a size-based filtration process was implemented. This step involved discarding particles smaller than a predefined threshold, eliminating irrelevant structures that could distort analytical results. The filtration process improved the reliability of the analysis by focusing only on nanoparticles that met the necessary size criteria.
Finally, a mask was applied to the original image, displaying only the extracted nanoparticles while suppressing the background and unwanted artifacts. This final step ensured a clear and precise visualization of nanoparticles, improving the overall accuracy of microscopic image analysis. By implementing this structured approach, high-fidelity segmentation and feature extraction were achieved, enabling robust nanoparticle characterization and analysis.

Automated nanoparticle diameter measurement

In this study, a Random Forest (RF) machine learning model was utilized to measure the average, minimum and maximum diameter of nanoparticles. Initially, the SEM image was processed and converted into a binary image, where nanoparticles appeared as white regions. Subsequently, key geometric features were extracted from each nanoparticle, including perimeter, circularity and aspect ratio. These features were used as inputs for a RF model, which, after training, was able to predict the diameter of nanoparticles. This approach not only improves measurement accuracy but also allows for estimating the diameter of nanoparticles that are not directly measurable. Moreover, compared to traditional methods, this model exhibits greater immunity to noise and minor variations in image quality, facilitating precise size estimation. This method measures diameter by modeling the relationship between geometric features and nanoparticle size, surpassing simple geometric calculations to offer a more comprehensive analysis of nanoparticle structures.

Predictive modeling based on DMTA data

In this study, a predictive modeling framework was established to map microstructural and DMTA input variables to the corresponding experimentally measured DMTA outputs, specifically storage modulus (E′), loss modulus (E″), and damping factor (tan δ). A Least-Squares Boosting (LSBoost) regression ensemble, with hyperparameters optimized via Bayesian optimization, was employed to capture the complex, nonlinear relationships between input features and material responses. The trained models enabled extrapolation of property predictions beyond the experimentally tested domain, thereby supporting a more comprehensive understanding of structure–process–property relationships. To further interpret model behavior and assess the influence of individual features, Individual Conditional Expectation (ICE) plots and permutation-based feature importance (PFI) analyses were performed on the optimized models.

Results and discussions

Nanoparticles dispersion analysis

Figure 2 shows the impact-fractured surfaces of UHMWPE/NZ nanocomposites containing 1.5, 3, and 4.5 wt% NZ. The yellow arrows in these images indicate nanoparticle agglomerates, which become more noticeable at higher concentrations. One of the main factors influencing nanoparticle dispersion is the processing technique used. Melt mixing with a twin-screw extruder provides high shear forces that help distribute nanoparticles within the polymer matrix. The high shear environment breaks down nanoparticle clusters, allowing for better integration into the matrix. However, at higher nanoparticle concentrations, such as 4.5 wt% NZ (Fig. 2c), the viscosity of the mixture increases significantly. This increased viscosity restricts the free movement of nanoparticles, leading to greater particle-particle interactions, which in turn result in the formation of larger agglomerates. Thermodynamic factors also play a crucial role. At lower nanoparticle loadings (1.5 and 3 wt%), surface energy dynamics favor a more dispersed state due to the optimization of the system’s free energy. However, as the concentration increases to 4.5 wt%, the likelihood of particle-particle interactions rises, causing aggregation. The mechanical implications of nanoparticle dispersion are also significant. Uniform distribution ensures that the applied load is evenly dispersed across the polymer matrix, as mentioned in reference [42]. This even load distribution improves the material’s energy absorption capacity, increasing the energy required for deformation. In contrast, when agglomeration occurs, stress concentrations develop at the aggregation sites, potentially leading to failure under mechanical stress. This even load distribution improves the material’s energy absorption capacity, increasing the energy required for deformation. In contrast, when agglomeration occurs, stress concentrations develop at the aggregation sites, potentially leading to failure under mechanical stress.
Fig. 2
SEM micrographs showing the surface morphology of nanocomposite samples containing (a) 1.5 wt% NZ (UHMWPE/1.5NZ), (b) 3 wt% NZ (UHMWPE/3NZ), and (c) 4.5 wt% NZ (UHMWPE/4.5NZ)
Bild vergrößern

Polymer–filler interaction analysis

FTIR analysis was conducted to investigate the chemical composition and evaluate the interactions between zeolite nanoparticles and the UHMWPE matrix. Figure 3 displays the FTIR spectra of pure UHMWPE and UHMWPE–zeolite nanocomposites, highlighting the relevant absorption bands. The spectrum of pure UHMWPE shows characteristic peaks at 1463 cm⁻¹ and 1361 cm⁻¹, corresponding to the bending vibrations of C-H bonds in methylene (-CH₂-) and methyl (-CH₃) groups, respectively. A prominent peak at 719 cm⁻¹, attributed to the rocking vibration of C–H bonds within the crystalline structure, further confirms the presence of UHMWPE in its crystalline phase.
According to Fig. 3, the incorporation of NZ particles led to noticeable changes in the FTIR spectrum, suggesting the formation of interactions between the nanoparticles and the UHMWPE matrix. One prominent change is the appearance of a new band around 1096 cm⁻¹, attributed to the stretching vibrations of Si–O–Si and Al–O–Si bonds in the zeolite framework, confirming the presence of the inorganic phase within the composite. Another notable change is the emergence of a weak band near 555 cm⁻¹, corresponding to the bending vibrations of Si–O bonds, further supporting the successful integration of zeolite nanoparticles into the polymer matrix.
Fig. 3
FTIR spectra of pure UHMWPE and UHMWPE-zeolite nanocomposites
Bild vergrößern
Furthermore, the increased intensity of common absorption peaks in the zeolite-containing samples indicates the presence of strong interactions between UHMWPE and the zeolite nanoparticles. This enhancement can be attributed to changes in the electron density of functional groups, influenced by the presence of nanoparticles and the higher concentration of active sites within the polymer matrix. The physical interactions between UHMWPE and zeolite led to notable variations in the intensity of characteristic FTIR bands, implying that the nanoparticles were well-dispersed and actively engaged with the polymer chains. These structural alterations are expected to directly influence the mechanical and thermal performance of the resulting nanocomposites.

Analysis of nanoparticle size distribution

Nanoparticle size distribution characteristics were obtained using the proposed sequential object detection technique, as detailed in Fig. 4. This technique encompasses noise reduction, clustering-based segmentation, morphological operations, and the final isolation of nanoparticles. Nanoparticle diameters were measured using processed SEM images, and their sizes were further predicted using the RF regression model. The results of the nanoparticle size distribution analysis, summarized in Table 1, reveal that the NZ content significantly influences the distribution characteristics. With increasing NZ concentration, noticeable shifts are observed in the minimum, mean, and maximum particle diameters. These changes are primarily attributed to variations in dispersion behavior at different loading levels. Higher NZ content tends to reduce dispersion uniformity, promoting the formation of larger agglomerates. Consequently, this clustering effect skews the size distribution, leading to increased values for key statistical parameters such as mean and maximum particle diameters. Higher NZ content tends to reduce dispersion uniformity, promoting the formation of larger agglomerates. Consequently, this clustering effect skews the size distribution, leading to increased values for key statistical parameters such as mean and maximum particle diameters.
Fig. 4
Step-by-step image processing workflow for nanoparticle segmentation. The process includes noise reduction (Processed, Denoised), segmentation using K-Means clustering (Clustered), and particle identification (Bounding Box). Further refinement is achieved through size-based filtering (Filtered, Binary Mask), resulting in the final masked image with isolated nanoparticles
Bild vergrößern
Table 1
Calculated findings of nanoparticle size distribution analysis and dispersion index results
Specimen
\(\:{\varvec{D}}_{\varvec{m}\varvec{i}\varvec{n}}\:\) (nm)
\(\:{\varvec{D}}_{\varvec{a}\varvec{v}\varvec{e}}\) (nm)
\(\:{\varvec{D}}_{\varvec{m}\varvec{a}\varvec{x}}\) (nm)
NSI
UHMWPE/1.5 NZ
45
73
236
5.04
UHMWPE/3 NZ
43
98
285
4.13
UHMWPE/4.5 NZ
46
140
503
6.40
Figure 4 presents the Weibull distribution analysis of nanoparticle diameter and area at NZ concentrations of 1.5, 3, and 4.5 wt%, illustrating the impact of increasing NZ content on particle size and distribution. As the NZ concentration increases from 1.5% to 4.5%, a noticeable shift toward larger particle sizes is observed. At 1.5 wt%, the highest particle density falls within the 50–70 nm range, with a right-skewed distribution indicating a gradual decline in frequency as particle diameter increases. The corresponding area distribution exhibits an exponential decay, with most particles having areas below 0.01 μm², suggesting a predominance of small, well-dispersed particles. At 3 wt%, the peak of the diameter distribution shifts to 80–100 nm, indicating the formation of larger particles. The extended right tail of the distribution suggests increased variability and the presence of larger aggregates. A similar trend is observed in the area distribution, where the tail broadens, reflecting the emergence of particles with larger surface areas. At the highest concentration (4.5 wt%), the diameter distribution further shifts to 100–120 nm, accompanied by a more pronounced right tail, indicating greater heterogeneity likely due to nanoparticle aggregation or coalescence. The area distribution also extends significantly, with some particles reaching up to 0.2 μm², confirming the formation of substantially larger structures at elevated NZ loadings.
Figure 5 illustrates the Weibull distribution analysis across different NZ concentrations, revealing a clear trend of increasing particle size and area with higher weight percentages. This behavior is primarily attributed to enhanced nanoparticle aggregation and coalescence, driven by the greater availability and proximity of NZ particles at elevated loadings. These observations are particularly significant for material optimization, as particle size distribution critically influences the microstructural uniformity and, consequently, the mechanical and functional performance of the resulting nanocomposites.
Fig. 5
Weibull distribution of nanoparticle size and area at different NZ concentrations
Bild vergrößern

Normalized span index (NSI)

The nanoparticle dispersion characteristics were quantitatively evaluated using the NSI, a robust metric that simultaneously characterizes both the polydispersity and distribution asymmetry of nanoparticle sizes. The NSI analysis was performed on the pre-determined size parameters (\(\:{D}_{min}\), \(\:{D}_{ave}\), \(\:{D}_{max}\)), formulated as: 
https://static-content.springer.com/image/art%3A10.1007%2Fs00289-025-06272-7/MediaObjects/289_2025_6272_Equ1_HTML.png
(1)
The first term in Eq. (1) represents a normalized measure of the particle size distribution width, quantifying the relative span of diameters present in the system. The second term serves as an asymmetry correction factor that amplifies the index when the \(\:{D}_{ave}\) deviates from the distribution’s midpoint. This dual-component formulation provides enhanced discrimination between dispersion states compared to conventional metrics, as it simultaneously captures both the breadth and skewness of the size distribution. In the current study, the NSI proved particularly effective at differentiating the dispersion characteristics of UHMWPE composites containing varying nanoparticle loadings (1.5–4.5 NZ), where traditional measures failed to adequately reflect the observed differences in aggregation behavior.
Table 1 presents the NSI quantification of nanoparticle dispersion in UHMWPE composites. The analysis reveals three distinct dispersion regimes: (1) moderate polydispersity in the 1.5 NZ composite (NSI = 5.04), (2) optimized dispersion in the 3 NZ formulation (NSI = 4.13), and (3) significant aggregation in the 4.5 NZ system (NSI = 6.40). The non-linear progression of NSI values suggests a critical nanoparticle loading threshold near 3 NZ, evidenced by the 18% improvement in dispersion quality from 1.5 NZ to 3 NZ compared to the subsequent 55% deterioration at higher loading. This trend indicates that while the 3 NZ loading approaches the optimal stabilization capacity of the polymer matrix, exceeding this concentration leads to predominant nanoparticle aggregation. The NSI quantification thus identifies 3 NZ as the optimal loading for balanced dispersion, whereas the 4.5 NZ composite demonstrates compromised dispersion characteristics due to excessive particle clustering. A lower NSI value indicates a narrower particle size distribution and improved dispersion homogeneity, which is expected to enhance interfacial interactions and contribute positively to the viscoelastic response of the nanocomposites.

Dynamic mechanical thermal analysis

Figures 6, 7 and 8 illustrate the dynamic mechanical and thermal behavior of pure UHMWPE and its NZ-reinforced nanocomposites, as characterized by the storage modulus (\(E^{\prime}\)), loss modulus (\(E^{\prime\prime}\)), and damping factor (\(tan\:\delta\)). Figure 6 presents the variation of \(E^{\prime}\) as a function of temperature (− 100 °C to 150 °C) under frequencies of 1 and 10 Hz. Evidently, the inclusion of NZ results in a notable enhancement of \(E^{\prime}\) across the studied temperature range, particularly at sub-ambient temperatures. This improvement is primarily attributed to the stiffening effect imparted by the rigid zeolite nanoparticles, which act as reinforcing agents within the polymer matrix. The nanoparticles restrict the mobility of polymer chains by creating a more constrained molecular environment, thereby reducing segmental motion and enhancing the elastic response of the material. Moreover, the strong interfacial adhesion between the UHMWPE matrix and the NZ particles contributes to effective stress transfer and further limits chain relaxation. The presence of nanoparticles also reduces the free volume within the polymer, hindering molecular rearrangement under mechanical loading. Collectively, these factors result in an overall increase in stiffness, as evidenced by the elevated storage modulus values.
Fig. 6
Variation of storage modulus as a function of temperature for pure UHMWPE and its nanocomposite at two different frequencies (1 Hz and 10 Hz)
Bild vergrößern
Fig. 7
Temperature-dependent changes in the loss modulus of nanocomposites at 1 Hz and 10 Hz
Bild vergrößern
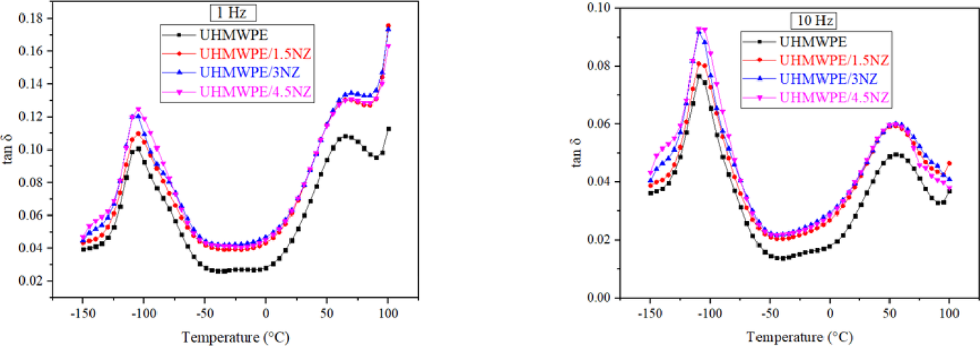
Fig. 8
Variation of the dissipation factor (tan δ) for pure UHMWPE and its nanocomposites as a function of temperature at frequencies of 1 Hz and 10 Hz
Bild vergrößern
Furthermore, the temperature-dependent trends reveal distinct transition regions within the material. The sharp decline in \(E^{\prime}\) at lower temperatures corresponds to the α-relaxation, typically associated with the glass transition, where molecular mobility increases significantly. At elevated temperatures, a secondary reduction in modulus is observed, likely attributed to segmental motions within the crystalline domains of UHMWPE. Notably, the incorporation of zeolite nanoparticles causes a slight shift in both transitions, indicating their contribution to improved thermal and mechanical stability of the nanocomposite system. The slight shift of these relaxation regions toward higher temperatures in the NZ-filled systems suggests restricted molecular mobility due to polymer–filler interactions, indicating that nano-zeolite acts as an effective thermal stabilizer by delaying chain relaxation processes.
The effect of frequency on \(E^{\prime}\) is evident when comparing Fig. 6a (1 Hz) and Fig. 6b (10 Hz). Across the entire temperature range, the storage modulus at 10 Hz is consistently higher than at 1 Hz. This trend reflects the time-dependent viscoelastic nature of polymers: at higher frequencies, polymer chains have less time to reorient or relax, leading to a stiffer, more elastic response and consequently a higher modulus. The increased stiffness observed at 10 Hz indicates the enhanced rigidity of the UHMWPE matrix under rapid oscillatory loading, further confirming the frequency-dependent mechanical behavior of the nanocomposite system. This frequency-dependent stiffening behavior highlights the ability of the UHMWPE/NZ nanocomposites to sustain higher dynamic loads without significant viscoelastic softening, which is critical for applications involving repetitive or impact-type loading conditions.
The loss modulus reflects the energy dissipated as heat during cyclic deformation and serves as a measure of the material’s viscous behavior or the irreversible energy loss per oscillatory cycle. This parameter is particularly critical for applications requiring energy absorption, damping, and vibration mitigation, such as load-bearing prosthetic components. Figure 7 illustrates the loss modulus of various samples as a function of temperature at frequencies of 1 Hz and 10 Hz. Two distinct peaks are observed across the temperature range: the first, more prominent peak occurs at low temperatures (approximately − 120 °C to − 100 °C), and the second appears at elevated temperatures (around 50 °C to 100 °C). These peaks correspond to molecular relaxation phenomena within the UHMWPE matrix.
According to Fig. 7, the incorporation of NZ significantly influences the loss modulus. At both frequencies, increasing NZ content results in higher peak values, indicating enhanced energy dissipation. This enhancement is attributed to strong interfacial interactions between the UHMWPE matrix and the NZ particles, which increase internal friction at the polymer–nanoparticle boundaries, thereby promoting greater heat generation during deformation. These findings suggest successful integration of NZ into the polymer matrix, as evidenced by increased frictional energy dissipation. The increase in loss modulus reflects not only enhanced internal friction at the polymer–filler interface but also the effective hindrance of segmental chain motions, which collectively improve the material’s capacity for damping and vibration energy dissipation under cyclic loading. As the NZ content increases, the number of local polymer chain restriction sites also rises, leading to higher internal friction and, consequently, greater heat generation within the nanocomposite samples. Overall, NZ alters the viscoelastic response by simultaneously restricting polymer chain mobility—leading to an increase in E′—and elevating internal friction—reflected in the increased E″.
A notable observation in Fig. 7 is the presence of an initial shoulder-like feature in the loss modulus curves within the temperature range of approximately − 150 °C to − 120 °C, particularly evident in the UHMWPE/3NZ and UHMWPE/4.5NZ samples. This feature is more prominent at 1 Hz but becomes less distinct at 10 Hz, suggesting it is associated with a low-temperature molecular relaxation process that is frequency-sensitive. The diminished response at 10 Hz indicates that these localized chain motions cannot effectively respond to the shorter oscillation periods at higher frequencies, resulting in reduced energy dissipation. When comparing the data at 1 Hz and 10 Hz, it is evident that the overall peak intensity of the loss modulus increases with frequency. This behavior is characteristic of viscoelastic materials, where higher frequencies lead to greater energy dissipation due to faster molecular rearrangements. Furthermore, a slight shift of the peak positions toward higher temperatures at 10 Hz is observed, consistent with the time–temperature superposition principle. This indicates that higher thermal energy is required to activate molecular relaxation processes at elevated frequencies.
The dissipation factor (tan δ) represents the ratio of energy lost to energy stored in a material under dynamic loading, reflecting the balance between the segment of the polymer network that undergoes reversible deformation and the part that remains elastic and unchanged. In the context of cyclic or intermittent loading, this energy loss is commonly referred to as damping. Therefore, the damping performance, when considered relative to the material’s stiffness, provides a comprehensive measure of its viscoelastic behavior. The increase in loss modulus reflects not only enhanced internal friction at the polymer–filler interface but also the effective hindrance of segmental chain motions, which collectively improve the material’s capacity for damping and vibration energy dissipation under cyclic loading. Figure 8 illustrates the temperature-dependent variation of tan δ at frequencies of 1 Hz and 10 Hz, highlighting how energy dissipation characteristics evolve with temperature and frequency. According to Fig. 8, the incorporation of nano-zeolite leads to an overall increase in tan δ across the whole temperature range. This enhancement can be attributed to strong interfacial interactions between the polymer matrix and the nanoparticles, which facilitate greater energy dissipation. Additionally, the rigid nature of the nanoparticles restricts polymer chain mobility, resulting in broader and more pronounced relaxation peaks.
A comparison of the damping behavior at 1 Hz and 10 Hz further emphasizes the frequency-dependent viscoelastic response of the nanocomposites. As the frequency increases, the relaxation peaks in the tan δ curves shift toward higher temperatures, in accordance with the time–temperature superposition principle. This shift reflects the need for greater thermal activation to facilitate molecular motion at higher frequencies. Furthermore, the magnitude of tan δ decreases at 10 Hz compared to 1 Hz, due to the limited time available for polymer chain segments to rearrange, resulting in reduced energy dissipation. The shorter deformation time at higher frequencies also contributes to the suppression of tan δ peaks, as evident by the notably diminished relaxation peak around 50 °C at 10 Hz compared to the more pronounced peak observed at 1 Hz. Importantly, the reinforcing effect of nano-zeolite is evident at both frequencies, indicating that the presence of nanoparticles consistently modifies the thermomechanical behavior of the UHMWPE matrix under varying dynamic conditions.
The glass transition temperature (\(\:{T}_{g}\)) can be determined from the tan δ curves, where it is marked by the primary peak, indicating the transition from a glassy to a rubbery state. In pure UHMWPE, \(\:{T}_{g}\) appears at a relatively lower temperature; however, the incorporation of nano-zeolite leads to a noticeable shift of \(\:{T}_{g}\) toward higher temperatures. This upward shift is attributed to enhanced physical interactions between the zeolite nanoparticles and the polymer chains, which restrict the mobility of the amorphous regions. As a result, a higher thermal energy input is needed to activate segmental motion within the matrix. Furthermore, the upward shift in \(\:{T}_{g}\) due to NZ incorporation indicates enhanced thermal and mechanical stability of the nanocomposite, implying that the reinforced matrix can better resist softening and maintain functional integrity under elevated temperature and high-frequency loading conditions. In addition, increasing the frequency from 1 Hz to 10 Hz causes a further elevation in \(\:{T}_{g}\), consistent with the known frequency dependence of the glass transition. At higher frequencies, less time is available for molecular rearrangement, thus requiring greater thermal energy to initiate relaxation processes.

Predictive modeling

To effectively model the complex relationships between input features and the viscoelastic properties, an ensemble learning model was constructed based on the Least-Squares Boosting (LSBoost) algorithm. This approach iteratively builds a strong regression model by combining a sequence of weak regression learners, where each subsequent learner focuses on minimizing the residual errors of the preceding ensemble. Mathematically, the final model will be a weighted sum of these individual learners [43].

Data preparation

The data for this study was prepared to ensure consistency and reliability in the modeling process. The dataset includes inputs for temperature, weight fraction, NSI, frequency, and corresponding output responses such as the elastic modulus (\(E^{\prime}\)), loss modulus (\(E^{\prime\prime}\)), and dissipation factor (\(\:{tan}\delta\:\)). In this study, the data preparation process included the normalization of input variables to ensure they were on a comparable scale, which is particularly important for improving the performance and convergence of machine learning models. Normalization was applied to each feature independently using the following formulation:
$${X}_{norm}=\frac{X-{\mu}_{X}}{{\sigma}_{X}}$$
(2)
where \(X\) represents the raw value of the input feature, \({\mu}_{X}\) is the mean of the input feature values, \({\sigma}_{X}\) is the standard deviation of the input feature values, and \({X}_{norm}\)​ is the normalized value of the feature. Input normalization standardizes the range of input variables, effectively eliminating scale differences between features. This ensures that no single feature dominates the learning process due to differences in scale, thereby improving model training efficiency. The normalization was applied to all input variables to ensure consistency across the dataset. However, it is important to note that not all temperature data were included in the study. Specifically, only a subset of temperature values, ranging from − 150 °C to 100 °C in 25 °C intervals, was selected for the temperature input variable.

Bayesian-based hyperparameter optimization

The performance of the LSBoost model is significantly influenced by its hyperparameters, which control the complexity and learning dynamics of the ensemble [44]. The optimization includes the following critical hyperparameters:
  • Number of Boosting Iterations (M): This parameter determines the size of the ensemble, with a larger number potentially increasing model complexity but also the risk of overfitting. In this study, a discrete range of values was explored to identify the optimal ensemble size that balances bias and variance.
  • Learning Rate (ν): This parameter scales the contribution of each weak learner, controlling the rate at which the ensemble learns. A smaller learning rate can lead to more robust generalization. A continuous or discrete range of small positive values was investigated in this study to determine the optimal shrinkage.
  • Minimum Leaf Size: For tree-based weak learners (to be specified in the model template), this parameter governs the complexity of individual trees by setting the minimum number of data points in a leaf node. In this work, a discrete range of values was investigated to control the individual learner complexity and prevent overfitting.
To efficiently identify the optimal combination of these hyperparameters, a Bayesian optimization technique was employed. This probabilistic approach builds a surrogate model of the objective function (e.g., cross-validation error) and uses an acquisition function, specifically expected-improvement-plus (EIP), to intelligently select hyperparameter configurations for evaluation [45]. This method balances the exploration of new hyperparameter regions with the exploitation of promising ones, leading to a more efficient search compared to grid or random search [46]. The performance of each evaluated hyperparameter configuration was assessed using 5-fold cross-validation to ensure robust and generalizable model performance.
Figure 9 illustrates the progression of Bayesian-based hyperparameter optimization across iterations for predicting \(E^{\prime}\), \(E^{\prime\prime}\), and \({tan}{\updelta}\). In each subplot, the blue curve represents the minimum observed objective function value up to a given iteration, reflecting the best hyperparameter configuration identified at that point. The green curve shows the algorithm’s predicted minimum, indicating its expectation of the best achievable performance based on the surrogate model. Periods where the blue line plateaus suggest that the optimization is refining within a promising region without identifying substantially better configurations. The convergence of the blue and green lines toward the end of the iterations indicates that the algorithm likely approached a near-optimal solution and its uncertainty regarding further improvements decreased. The consistent convergence pattern across all three outputs confirms that the Bayesian optimization process effectively identified hyperparameter configurations that minimize the objective function, thereby enhancing the model’s predictive performance.
Fig. 9
The progression of Bayesian-based hyperparameter optimization over iterations for (a) \(E^{\prime}\), (b) \(E^{\prime\prime}\), and (c) \({tan}\delta\)
Bild vergrößern

Learning curve analysis

The diagrams in Fig. 10 illustrate the evolution of RMSE and R2 values for both training and test sets as a function of the number of learning cycles (epochs) in the prediction of \(E^{\prime}\), \(E^{\prime\prime}\), and \(tan\delta\). In all three cases, RMSE sharply decreases within the first 30–40 learning cycles and then plateaus, indicating rapid error minimization and early convergence of the ensemble learning model. Simultaneously, R² values rise steeply and stabilize near unity, reflecting improved prediction accuracy and excellent model fit as training progresses. The consistent alignment between training and test curves across both metrics demonstrates strong generalization and an absence of overfitting. The learning curves confirm that approximately 50 learning cycles are sufficient to achieve optimal predictive performance for all outputs.
Fig. 10
The evolution of training and validation sets over the number of learning cycles for (a) \(E^{\prime}\), (b) \(E^{\prime\prime}\), and (c) \({tan}\delta\)
Bild vergrößern

Prediction performance

Figure 11 presents scatter plots comparing the actual versus predicted values for the LSBoost model’s performance in predicting the relevant DMTA responses alongside key performance metrics (\(\:RMSE\) and \(\:{R}^{2}\)) for both the training and testing datasets. In each subplot, the blue dots represent individual data points, where the x-coordinate corresponds to the actual measured value and the y-coordinate represents the value predicted by the LSBoost model. The red solid line indicates a perfect prediction scenario where predicted values exactly match the actual values. The clustering of the blue dots closely around the red line in all three subplots visually demonstrates a strong agreement between the actual and predicted values, suggesting that the LSBoost model exhibits good predictive capabilities for all three viscoelastic properties. The accompanying performance metrics further quantify this agreement, with high \(\:{R}^{2}\) values (close to 1) for both training and testing sets suggesting a good fit and a substantial proportion of the variance explained by the model, while the relatively low RMSE values indicate small prediction errors.
Fig. 11
LSBoost model performance analysis through actual vs. predicted results comparison for (a) \(E^{\prime}\), (b) \(E^{\prime\prime}\), and (c) \({tan}\delta\) as well as the measured performance metrics
Bild vergrößern

Input effect analysis on DMTA properties

To investigate how each individual input variable influences the predicted DMTA properties and to understand how variations in each input contribute to changes in the predicted outputs across different samples, individual conditional expectation (ICE) plots were employed. ICE plots serve as effective tools for visualizing an ML model response to changes in a single input feature while all other features are held constant [47]. In contrast to partial dependence plots (PDP), which depict the average marginal effect of a feature, ICE plots capture the prediction trajectories for individual data instances, providing a more detailed interpretation—particularly in the presence of nonlinear relationships or feature interactions [48]. This facilitates the identification of localized trends and heterogeneous effects that may be obscured by global averaging methods.
In the present study, ICE plots were generated based on an LSBoost model trained on normalized input variables, with predictions subsequently denormalized to align with actual physical values. These plots proved valuable for visualizing the nonlinear and potentially interaction-dependent impact of individual parameters on each viscoelastic response, supporting both sensitivity assessment and robustness evaluation. By isolating the effect of each input while keeping other variables fixed, distinct trends such as monotonic behavior, inflection points, and complex nonlinearities were effectively detected.
Figure 12 illustrates ICE plots showing how each individual input variable—temperature, weight fraction, NSI dispersion parameter, and frequency—affects the predicted DMTA outputs, including storage modulus (E′), loss modulus (E″), and damping factor (tan δ), while keeping other inputs constant. According to Fig. 12a, a strong inverse relationship between \(E^{\prime}\) with temperature is observed where the storage modulus consistently decreases across all samples as the temperature rises. This trend aligns with the expected thermal softening behavior of polymer-based composites. In contrast, E′ appears relatively insensitive to variations in weight fraction, NSI, and frequency, as indicated by the nearly flat response curves. While some discrete jumps are observed at higher weight fractions and frequencies for a few instances, the overall impact of these inputs on E′ remains limited compared to temperature.
Fig. 12
ICE plots of the trained LSBoost model illustrating the effect of each input variable—temperature, weight fraction, NSI, and frequency—on the predicted dynamic mechanical properties: (a) E′, (b) E″, and (c) tan δ. Each colored line represents the prediction trajectory for a single data instance as one input varies while others remain fixed
Bild vergrößern
The ICE plots for E″ in Fig. 12b similarly show a decreasing trend with increasing temperature, reflecting reduced energy dissipation capability at elevated temperatures. In terms of weight fraction and frequency, step-like increases are observed, particularly at higher levels, indicating that these inputs may enhance the viscous response of the material. The plots for NSI show minimal variation, suggesting a relatively minor influence of the nanostructure index on E″ within the examined range. The response of tan δ to temperature in Fig. 12c displays a non-monotonic and sample-dependent pattern, with notable peaks and valleys across the range, suggesting complex interactions and phase transitions affecting damping behavior. The ICE curves for weight fraction and frequency reveal distinct step-like increases or decreases, emphasizing that these parameters significantly modulate the damping capability. The effect of NSI is again minimal, with most samples showing nearly flat trajectories.

Permutation feature importance analysis (PFI)

To evaluate the influence of each input feature on the ensemble model’s predictions, a permutation feature importance (PFI) analysis was performed. In this method, the values of each input variable—temperature (Temp), weight fraction (WF), NSI, and frequency (Fr)— were individually shuffled across the test dataset to break their original association with the target outputs. The model was then used to generate predictions on this modified dataset, and the resulting prediction error was compared to that obtained from the unshuffled data. The increase in prediction error caused by shuffling a particular feature reflects its relative importance in the model. This approach provides an unbiased estimate of feature relevance and is particularly effective for complex models such as ensemble learning algorithms, where traditional split-based importance metrics may be misleading [49].
The PFI results illustrated in Fig. 13 indicate the temperature has a substantial impact on all three outputs compared to all other variables, with a large increase in RMSE observed when temperature is permuted. This indicates that the model’s ability to predict DMTA outcomes is highly dependent on accurate temperature data. In contrast, weight fraction, NSI, and frequency display relatively minor impacts, suggesting that these parameters exert secondary influence on the measured outcomes. This trend reflects the thermally sensitive nature of the material stiffness, where temperature-induced softening dominates over the effects introduced by compositional or processing variables.
Fig. 13
PFI analysis of the impact of input variables on (a) \(E^{\prime}\), (b) \(E^{\prime\prime}\), and (c) \({tan}\delta\)
Bild vergrößern
While temperature remains the dominant factor across all viscoelastic responses, a more refined comparison among the secondary variables—frequency, weight fraction, and NSI—reveals that frequency plays the most consistently influential role overall. This is particularly evident in the prediction of tan δ (Fig. 9c), where frequency shows the highest permutation importance among the non-temperature variables, indicating its strong impact on the damping behavior of the nanocomposite. Similarly, frequency exhibits a comparable or greater influence than weight fraction and NSI in predicting both the storage and loss moduli (Fig. 13a and b), suggesting that dynamic excitation frequency affects both the stiffness and energy dissipation mechanisms, likely through modulation of molecular mobility and interfacial friction. This is particularly evident in the prediction of tan δ (Fig. 9c), where frequency shows the highest permutation importance among the non-temperature variables, indicating its strong impact on the damping behavior of the nanocomposite. Similarly, frequency exhibits a comparable or greater influence than weight fraction and NSI in predicting both the storage and loss moduli (Fig. 13a and b), suggesting that dynamic excitation frequency affects both the stiffness and energy dissipation mechanisms, likely through modulation of molecular mobility and interfacial friction.
According to Fig. 13, weight fraction demonstrates a uniquely dominant effect on \(E^{\prime\prime}\), as shown in Fig. 13b, where its importance score slightly exceeds that of frequency. This indicates that filler concentration remains a critical factor for the material’s ability to dissipate mechanical energy. The increased loss modulus with higher weight fraction may be attributed to greater interfacial interactions and localized deformation zones induced by the rigid fillers. In contrast, NSI consistently shows the lowest importance values across all outputs, implying that, despite its relevance in controlling microstructural homogeneity, the degree of dispersion within the studied range has a relatively limited impact on the macroscale viscoelastic performance. Altogether, while frequency emerges as the most influential secondary factor overall, weight fraction plays a particularly strong role in energy dissipation, highlighting the nuanced response-dependent importance of each variable.

Evaluation of UHMWPE/NZ nanocomposites for prosthetic limb applications

The mechanical and viscoelastic properties of materials used in prosthetic limbs play a crucial role in their performance and user comfort. These parameters are directly related to stiffness, energy absorption capability, and vibration damping in prosthetic limbs, which are critical for improving their functionality. The storage modulus represents the stiffness of the material under dynamic loading. The observed increase in E′ in UHMWPE/NZ nanocomposites indicates enhanced mechanical strength and structural stability. This is essential for prosthetic limbs, as higher stiffness allows for better load-bearing capacity, preventing unwanted deformations and improving durability. Furthermore, the increased storage modulus with higher nanoparticle content provides an opportunity to optimize prosthetic stiffness, ensuring better structural integrity and mechanical reliability.
The loss modulus reflects the amount of energy dissipated during dynamic loading, and its increase in UHMWPE reinforced with NZ suggests improved energy absorption capabilities. This property is particularly important for prosthetic limbs, as it contributes to impact attenuation, reducing shock transmission to the user and enhancing comfort. Specifically, in the body temperature range (25–37 °C), the increased loss modulus in the 3% and 4.5% NZ samples indicates enhanced energy dissipation, which helps minimize the forces transmitted to the user during movement. The damping ratio, which represents the ratio of dissipated to stored energy, plays a significant role in vibration reduction within prosthetics. The higher damping ratio in NZ-reinforced nanocomposites compared to pure UHMWPE demonstrates their superior vibration-damping performance. At body temperature, this characteristic leads to reduced vibration transmission through the prosthetic limb, increasing user comfort. This effect is particularly valuable for daily activities such as walking and running, as it helps decrease user fatigue and long-term mechanical wear.
Increasing the frequency resulted in a decrease in the damping ratio, indicating a reduction in vibration absorption capability under more dynamic conditions such as running. At lower frequencies (1 Hz), which simulate regular walking movements, the damping ratio is higher, showing the ability of these nanocomposites to effectively absorb impact energy when the foot strikes the ground. Conversely, at 10 Hz, the reduced damping ratio suggests a diminished ability to dissipate vibrations during faster movements, likely due to structural changes in the material’s response to higher excitation rates. The results indicate that the addition of NZ to UHMWPE enhances stiffness, energy absorption, and vibration damping simultaneously. These improvements contribute to the increased stability and longevity of prosthetic limbs while enhancing comfort and performance. Therefore, UHMWPE/NZ nanocomposites can be considered a promising material for optimizing prosthetic limb functionality, offering a novel approach to improving their overall mechanical behavior and user experience.

Conclusion

This study systematically investigated the structural, morphological, and viscoelastic properties of UHMWPE/NZ nanocomposites and evaluated the effects of NZ content on mechanical performance, energy dissipation, and predictive modeling. The key findings are summarized as follows:
  • UHMWPE nanocomposites containing 1.5, 3, and 4.5 wt% NZ were successfully fabricated via a scalable melt blending process, demonstrating the feasibility of incorporating rigid nanoparticles into thermoplastic matrices.
  • SEM analysis revealed uniform nanoparticle dispersion at lower NZ loadings (1.5 wt%), while higher loadings (4.5 wt%) showed increasing agglomeration.
  • FTIR spectroscopy confirmed the successful integration of NZ and strong polymer–filler interactions, as indicated by characteristic structural and chemical features.
  • An automated image-processing pipeline with noise reduction, binarization, K-means clustering, morphological operations, size filtering, and RF regression enabled robust nanoparticle segmentation and accurate size prediction.
  • Particle size distribution and normalized span index (NSI) analysis identified 3 wt% NZ as the optimal loading (NSI = 4.13), offering 18% better dispersion than 1.5 wt% (NSI = 5.04) and lower aggregation compared to 4.5 wt% NZ (NSI = 6.40).
  • Weibull distribution analysis confirmed that higher NZ content resulted in broader and more heterogeneous particle size distributions due to agglomeration.
  • DMTA showed that NZ reinforcement significantly enhanced storage modulus, loss modulus, and damping factor across all tested temperatures and frequencies, indicating improved stiffness, energy dissipation, and thermal stability.
  • Frequency- and temperature-dependent shifts in viscoelastic behavior and glass transition temperature demonstrated strong interfacial bonding and restricted polymer chain mobility.
  • The observed enhancements are particularly relevant for prosthetic applications, such as dynamic footbeds and shock-absorbing joints, where energy dissipation, vibration damping, and user comfort are critical.
  • A Bayesian-optimized LSBoost ensemble model was developed to predict viscoelastic responses (E′, E″, and tan δ) from processing and material parameters, achieving excellent predictive performance with high R² values (≥ 0.95) and low RMSE for both training and test datasets.
  • ICE and PFI analyses identified temperature as the most influential factor, while frequency and NZ weight fraction exerted response-specific effects on viscoelastic properties, providing insight into the relative importance of processing and operational conditions.
The results of this study should be interpreted considering several limitations. The SEM-based image segmentation and the resulting NSI are sensitive to image quality and segmentation accuracy, which may introduce uncertainty in microstructural quantification, as reported in related microscopy studies [50, 51]. Additionally, although the machine learning models show good agreement with experimental data within the studied range, their applicability beyond the investigated conditions is constrained by dataset size and scope, a limitation common to data-driven materials modeling [52, 53]. Future studies should focus on expanding experimental datasets and improving imaging and segmentation strategies, with potential extension of the proposed framework to UHMWPE-based and other biocompatible polymer systems for prosthetic, biomedical, and energy-related applications requiring controlled viscoelastic performance [54, 55].

Acknowledgements

The authors extend their appreciation to the Deanship of Scientific Research at Northern Border University, Arar, KSA for funding this research work through the project number " NBU-FFR-2025-3728-01 ". We would like to thank Princess Nourah bint Abdulrahman University Researchers Supporting Project number (PNURSP2025R748), Princess Nourah bint Abdulrahman University, Riyadh, Saudi Arabia for funding this research. The authors extend the appreciation to the Deanship of Postgraduate Studies and Scientific Research at Majmaah University for funding this research work through the project number (ER-2025-2252).

Declarations

Competing interests

The authors declare no competing interests.

Ethical approval

Not Applicable.
Open Access This article is licensed under a Creative Commons Attribution 4.0 International License, which permits use, sharing, adaptation, distribution and reproduction in any medium or format, as long as you give appropriate credit to the original author(s) and the source, provide a link to the Creative Commons licence, and indicate if changes were made. The images or other third party material in this article are included in the article’s Creative Commons licence, unless indicated otherwise in a credit line to the material. If material is not included in the article’s Creative Commons licence and your intended use is not permitted by statutory regulation or exceeds the permitted use, you will need to obtain permission directly from the copyright holder. To view a copy of this licence, visit http://creativecommons.org/licenses/by/4.0/.

Publisher’s note

Springer Nature remains neutral with regard to jurisdictional claims in published maps and institutional affiliations.
download
DOWNLOAD
print
DRUCKEN
Titel
Evaluation of viscoelastic properties in polymer nanocomposites for prosthetic applications via microstructural profiling, model-based analysis, and dynamic mechanical thermal analysis
Verfasst von
Saad Alshammari
Behzad Hashemi Soudmand
Ghada Atteia
Amirhossein Najafi
Hassan Zohair Hassan
Fawwaz Hazzazi
Aymen Bourezgui
Publikationsdatum
01.04.2026
Verlag
Springer Berlin Heidelberg
Erschienen in
Polymer Bulletin / Ausgabe 4/2026
Print ISSN: 0170-0839
Elektronische ISSN: 1436-2449
DOI
https://doi.org/10.1007/s00289-025-06272-7
1.
Zurück zum Zitat Alluhydan K, Siddiqui MIH, Elkanani H (2023) Functionality and comfort design of lower-limb prosthetics: a review. J Disabil Res 2(3):10–23CrossRef
2.
Zurück zum Zitat Zhang H et al (2023) Biological vibration damping strategies and mechanisms. J Bionic Eng 20(4):1417–1433CrossRef
3.
Zurück zum Zitat Mohsenzadeh R, Soudmand B, Shelesh-Nezhad K (2022) Failure analysis of POM ternary nanocomposites for gear applications: experimental and finite element study. Eng Fail Anal 140:106606CrossRef
4.
Zurück zum Zitat Kaveh A, HASHEMI SB, Sheikholeslami R (2013) Optimal design of laminated composite structures via hybrid charged system search and particle swarm optimization
5.
Zurück zum Zitat Mohsenzadeh R (2021) Experimental studies on mechanical properties and toughening mechanisms of PA6/zeolite nanocomposites. Proceedings of the Institution of Mechanical Engineers, Part C: Journal of Mechanical Engineering Science 235(23):7233–7240
6.
Zurück zum Zitat Soudmand BH, Shelesh-Nezhad K, Salimi Y (2020) A combined differential scanning calorimetry‐dynamic mechanical thermal analysis approach for the estimation of constrained phases in thermoplastic polymer nanocomposites. J Appl Polym Sci 137(41):49260CrossRef
7.
Zurück zum Zitat Baraheni M, Soudmand BH, Shabgard MR, Gholipour F, Mahdavi Tabatabaee A, Adhami AH (2024) Refined dimensional accuracy in FDM components via ensemble weight-optimized surrogates and hybrid NSGA-II-TOPSIS optimization. Int J Comput Integr Manuf 38:1–22
8.
Zurück zum Zitat Said A (2022) Ultra-High-Molecular-Weight-Polyethylene (UHMWPE) as desired polymer material for biomedical. Khalij-Libya J Dent Med Res 6:11–16
9.
Zurück zum Zitat Subhedar P, Padmanabhan D, Agrawal R, Singh G (2023) A comprehensive review summarising the reinforcement of UHMWPE composite scaffolds as an artificial implant biomaterials, Materials Today: Proceedings,
10.
Zurück zum Zitat Alshammari S et al (2025) DLP-Fabricated ZrO2/Acrylic nanocomposites for dental restoration. ACS Appl Nano Mater 8:21758–21773CrossRef
11.
Zurück zum Zitat Soudmand BH, Najafi A, Mohsenzadeh R, Shelesh-Nezhad K (2025) A visual-probabilistic framework for analyzing nanoparticle size distribution characteristics in polymer nanocomposites containing two reinforcements. Powder Technol 468:121689CrossRef
12.
Zurück zum Zitat Soudmand BH, Najafi A, Mohsenzadeh R, Shelesh-Nezhad K (2025) A scalable, dispersion-aware framework for quantifying clustering severity in polymer nanocomposites and assessing mechanical impact. Compos Sci Technol 271:111358. https://doi.org/10.1016/j.compscitech.2025.111358CrossRef
13.
Zurück zum Zitat Badgayan ND, Sahu SK, Ps RS (2020) Investigation of wetting behavior of HDPE reinforced with nanoscopic 1D/2D filler system using contact angle goniometry. Mater Today Proc 26:331–334CrossRef
14.
Zurück zum Zitat Amirapu SL, Nelapati GS, Yalamanchili H, Badgayan ND, Sahu SK (2022) HDPE based polymeric nanodiamond nanocomposite for total knee arthoplasty: a finite element based approach. Mater Today: Proc 56:1622–1628
15.
Zurück zum Zitat Sanaka R, Sahu SK (2023) Influence of nanofiller addition on the mechanical, thermal, and shape recovery behavior of shape memory polymer nanocomposite: a brief review, Materials Today: Proceedings,
16.
Zurück zum Zitat Azam MU, Schiffer A, Kumar S (2023) Mechanical and piezoresistive behavior of selectively laser sintered MWCNT/UHMWPE nanocomposites. Compos Part A Appl Sci Manuf 173:107701CrossRef
17.
Zurück zum Zitat Wang R, Zheng Y, Chen L, Chen S, Zhuo D, Wu L (2020) Fabrication of high mechanical performance UHMWPE nanocomposites with high-loading multiwalled carbon nanotubes. J Appl Polym Sci 137(19):48667CrossRef
18.
Zurück zum Zitat Zavala JMD et al (2021) Manufacture and mechanical properties of knee implants using SWCNTs/UHMWPE composites. J Mech Behav Biomed Mater 120:104554CrossRef
19.
Zurück zum Zitat Alam F, Choosri M, Gupta TK, Varadarajan K, Choi D, Kumar S (2019) Electrical, mechanical and thermal properties of graphene nanoplatelets reinforced UHMWPE nanocomposites. Mater Sci Engineering: B 241:82–91CrossRef
20.
Zurück zum Zitat Aguiar VO et al (2022) Effect of incorporating multi-walled carbon nanotube and graphene in UHMWPE matrix on the enhancement of thermal and mechanical properties. J Mater Sci 57(45):21104–21116CrossRef
21.
Zurück zum Zitat Shi G, Cao Z, Yan X, Wang Q (2019) In-situ fabrication of a UHMWPE nanocomposite reinforced by SiO2 nanospheres and its tribological performance. Mater. Chem. Phys. 236:121778CrossRef
22.
Zurück zum Zitat Guo Z, Xu R, Xue P (2020) Study on preparation of ultra-high-molecular-weight polyethylene pipe of good thermal-mechanical properties modified with organo-montmorillonite by screw extrusion, Materials, vol. 13, no. 15, p. 3342
23.
Zurück zum Zitat Babiker ME, Muhuo Y (2013) The effects of loading of montmorillonite (MMT) on the properties of the ultra-high molecular weight polyethylene (UHMWPE/organo-MMT) nanocomposite sheets prepared by gel and pressure induced flow (PIF) processing. Arab J Sci Eng 38:479–490CrossRef
24.
Zurück zum Zitat Baraheni M, Soudmand BH, Amini S, Bayat M, Ebrahimi A (2024) Burr constitution analysis in ultrasonic-assisted drilling of CFRP/nano-graphene via experimental and data-driven methodologies. J Reinf Plast Compos 44:602–619. https://doi.org/10.1177/07316844231225593CrossRef
25.
Zurück zum Zitat Baraheni M, Soudmand BH, Amini S, Fotouhi M (2024) Stacked generalization ensemble learning strategy for multivariate prediction of delamination and maximum thrust force in composite drilling. J Compos Mater 58(30):3113–3138CrossRef
26.
Zurück zum Zitat Baraheni M, Soudmand B, Amini S (2024) Delamination assessment and prediction in ultrasonic-assisted drilling of laminated hybrid composites, Proc. Inst. Mech. Eng. E, p. 09544089241293584
27.
Zurück zum Zitat Soudmand BH, Biglari H, Fotouhi M, Seyedzavvar M, Choupani N (2024) A finite element approach for addressing the interphase modulus and size interdependency and its integration into micromechanical elastic modulus prediction in polystyrene/SiO2 nanocomposites. Polymer 309:127463CrossRef
28.
Zurück zum Zitat Mohsenzadeh R, Soudmand B, Najafi A, Fattahi M, Uyen D (2024) Analysis of interfacial characteristics in polymer nanocomposites via visual particle recognition methodology and micromechanical predictive models. Compos Sci Technol 245:110360CrossRef
29.
Zurück zum Zitat Mohsenzadeh R, Soudmand B, Shelesh-Nezhad K (2023) Load-bearing analysis of polymer nanocomposite gears using a temperature-based step loading technique: experimental and numerical study. Wear 514:204595CrossRef
30.
Zurück zum Zitat Mohsenzadeh R, Soudmand BH, Shelesh-Nezhad K (2022) Synergetic impacts of two rigid nano‐scale inclusions on the mechanical and thermal performance of POM/carbon black/CaCO3 ternary nanocomposite systems. Polym Compos 43(5):3041–3056CrossRef
31.
Zurück zum Zitat Soudmand B, Mohsenzadeh R (2024) Mechanical, morphological, and numerical evaluation of biocompatible ultra-high molecular weight polyethylene/nano‐zeolite nanocomposites. Polym Compos 45(4):3666–3682CrossRef
32.
Zurück zum Zitat Sultana N, Nishina Y, Nizami MZI (2024) Surface modifications of medical grade stainless steel, Coatings, vol. 14, no. 3, p. 248
33.
Zurück zum Zitat Ghobadi E, Hemmati M, Khanbabaei G, Shojaei M, Asghari M (2015) Effect of nanozeolite 13X on thermal and mechanical properties of polyurethane nanocomposite thin films. Int J Nano Dimens 6(2):177
34.
Zurück zum Zitat Lv Z, Wang K, Qiao Z, Wang W (2010) The influence of modified zeolites as nucleating agents on crystallization behavior and mechanical properties of polypropylene. Mater Des 31(8):3804–3809CrossRef
35.
Zurück zum Zitat Purnomo P, Soenoko R, Suprapto A, Irawan YS (2016) Impact fracture toughness evaluation by essential work of fracture method in high density polyethylene filled with zeolite. FME Trans 44(2):180–186CrossRef
36.
Zurück zum Zitat Mohsenzadeh R et al (2025) Quantitative analysis of tribological performance in polyamide 6/nano-zeolite composites for prosthetic and orthotic applications: integration of computer vision, numerical modeling, and experimental evaluation. Tribol Int 204:110455CrossRef
37.
Zurück zum Zitat Mohsenzadeh R (2021) Experimental studies on the tribology behavior of Ultra-High molecular weight polyethylene /Zeolite nanocomposite. Amirkabir J Mech Eng 53(10):5159–5168. https://doi.org/10.22060/mej.2021.19525.7044CrossRef
38.
Zurück zum Zitat Mohsenzadeh R, Soudmand B, Najafi A, Hazzazi F, Fattahi M (2024) Deep learning-assisted morphological segmentation for effective particle area estimation and prediction of interfacial properties in polymer composites, Nanoscale, vol. 16, no. 45, pp. 21155–21173
39.
Zurück zum Zitat Rahman MF, Wu J, Tseng TLB (2021) Automatic morphological extraction of fibers from SEM images for quality control of short fiber-reinforced composites manufacturing. CIRP J Manuf Sci Technol 33:176–187CrossRef
40.
Zurück zum Zitat Mohsenzadeh R, Soudmand BH, Najafi A, Hazzazi F (2024) Morphology-driven nanofiller size measurement integrated with micromechanical finite element analysis for quantifying interphase in polymer nanocomposites. ACS Appl Mater Interfaces 16(30):39927–39941PubMedCrossRef
41.
Zurück zum Zitat Xing F, Xie Y, Su H, Liu F, Yang L (2017) Deep learning in microscopy image analysis: a survey. IEEE Trans Neural Netw Learn Syst 29(10):4550–4568CrossRef
42.
Zurück zum Zitat Singh R, Zhang M, Chan D (2002) Toughening of a brittle thermosetting polymer: effects of reinforcement particle size and volume fraction. J Mater Sci 37:781–788CrossRef
43.
Zurück zum Zitat Küllahcı K, Altunkaynak A (2024) Eigen time series modeling: a breakthrough approach to spatio-temporal rainfall forecasting in basins. Neural Comput Appl 37:1–22
44.
Zurück zum Zitat Godwin DJ, Varuvel EG, Martin MLJ (2023) Prediction of combustion, performance, and emission parameters of ethanol powered spark ignition engine using ensemble least squares boosting machine learning algorithms. J Clean Prod 421:138401CrossRef
45.
Zurück zum Zitat Chen J, Deng L, Hua Z, Ying W, Zhao J (2023) Bayesian optimization-based efficient impedance controller tuning for robotic interaction with force feedback. IEEE Trans Instrum Meas 72:1–10
46.
Zurück zum Zitat Wu J, Chen X-Y, Zhang H, Xiong L-D, Lei H, Deng S-H (2019) Hyperparameter optimization for machine learning models based on bayesian optimization. J Electron Sci Technol 17(1):26–40
47.
Zurück zum Zitat Goldstein A, Kapelner A, Bleich J, Pitkin E (2015) Peeking inside the black box: visualizing statistical learning with plots of individual conditional expectation. J Comput Graph Stat 24(1):44–65CrossRef
48.
Zurück zum Zitat Khoda Bakhshi A, Ahmed MM (2021) Utilizing black-box visualization tools to interpret non-parametric real-time risk assessment models. Transpmetrica A Transp Sci 17(4):739–765CrossRef
49.
Zurück zum Zitat Khan A, Ali A, Khan J, Ullah F, Faheem M (2025) Using Permutation-Based feature importance for improved machine learning model performance at reduced costs. IEEE Access 13:36421–36435CrossRef
50.
Zurück zum Zitat Nayak A, Rama Sreekanth P, Sahu SK, Sahu D (2017) Structural tuning of low band gap intermolecular push/pull side-chain polymers for organic photovoltaic applications. Chin J Polym Sci 35(9):1073–1085CrossRef
51.
Zurück zum Zitat Seshadri S, Nair S, Aprameyan V, Deepthi Y, Rama Sreekanth P, Sahu SK (2023) Design and analysis of non-pneumatic tire with hybrid metamaterial spoke. Int J Interact Des Manuf (IJIDeM) 17(5):2699–2710CrossRef
52.
Zurück zum Zitat Sahu SK, Sreekanth PR (2023) Evaluation of tensile properties of spherical shaped SiC inclusions inside recycled HDPE matrix using FEM based representative volume element approach, Heliyon, vol. 9, no. 3
53.
Zurück zum Zitat Sanaka R, Sahu SK (2024) Experimental investigation into mechanical, thermal, and shape memory behavior of thermoresponsive PU/MXene shape memory polymer nanocomposite, Heliyon, vol. 10, no. 2
54.
Zurück zum Zitat Sanaka R et al (2024) A review of the current state of research and future prospectives on stimulus-responsive shape memory polymer composite and its blends. J Compos Sci 8(8):324CrossRef
55.
Zurück zum Zitat Dhar Badgayan N, Kumar Sahu S, Samanta S, Rama Sreekanth PS (2018) Assessment of bulk mechanical properties of HDPE hybrid composite filled with 1D/2D nanofiller system, in Materials Science Forum, vol. 917: Trans Tech Publ, pp. 12–16

JOT - Journal für Oberflächentechnik (Link öffnet in neuem Fenster)

Das führende Magazin für sämtliche Themen in der Oberflächentechnik.
Für Entscheider und Anwender aus allen Bereichen der Industrie.

    Bildnachweise
    Wagner Logo/© J. Wagner GmbH, Harter Drying Solutions/© HARTER GmbH, Cenaris Logo/© CENARIS GmbH, Ecoclean Logo/© SBS Ecoclean Group, Eisenmann Logo/© EISENMANN GmbH, FreiLacke Logo/© Emil Frei GmbH & Co. KG, Afotek Logo/© @AFOTEK Anlagen für Oberflächentechnik GmbH, Fischer Logo/© Helmut Fischer GmbH, Venjakob Logo/© VENJAKOB Maschinenbau GmbH & Co. KG, Nordson Logo/© Nordson Deutschland GmbH, Akzo Nobel Power Coatings GmbH/© Akzo Nobel Power Coatings GmbH, Sames GmbH/© Sames GmbH, Karl Bubenhofer AG/© Karl Bubenhofer AG, JOT - Journal für Oberflächentechnik, Chemetall und ZF optimieren den Vorbehandlungsprozess/© Chemetall