Zum Inhalt

Experimental and numerical simulation of multipass welding in ferritics steels

  • Open Access
  • 10.02.2026
  • ORIGINAL ARTICLE

Aktivieren Sie unsere intelligente Suche, um passende Fachinhalte oder Patente zu finden.

search-config
loading …

Abstract

Dieser Artikel untersucht die komplexen thermischen und mikrostrukturellen Phänomene, die beim Multipass-Schweißen ferritischer rostfreier Stähle auftreten. Die Studie kombiniert experimentelle Messungen mit fortgeschrittenen numerischen Simulationen, um ein umfassendes Verständnis des Schweißprozesses zu erhalten. Zu den Schlüsselthemen zählen der Einfluss thermischer Zyklen auf Phasentransformationen, die Entwicklung von Restspannungen und die Entwicklung mikrostruktureller Merkmale wie Korngröberung und die Bildung der Wärmeeinflusszone. Der Artikel diskutiert auch die Herausforderungen der direkten Instrumentierung und die Notwendigkeit von Rechenmodellen für präzise Vorhersagen. Die Ergebnisse unterstreichen die Bedeutung sorgfältiger Modellierungsentscheidungen und die Verwendung der elementbasierten Finite-Volume-Methode (EbFVM) zur Erfassung des komplizierten thermischen Verhaltens und der Phasenentwicklung während des Schweißens. Die Studie schließt mit einem Vergleich numerischer Vorhersagen und experimenteller Daten, der die Fähigkeit des Modells demonstriert, das thermisch-mikrostrukturelle Verhalten des Schweißprozesses zu reproduzieren. Dieser Artikel ist eine wertvolle Ressource für Fachleute, die Schweißverfahren optimieren und die mechanische Leistung von Schweißverbindungen verbessern wollen.

Publisher’s note

Springer Nature remains neutral with regard to jurisdictional claims in published maps and institutional affiliations.

1 Introduction

The welding process constitutes a cost-effective and highly efficient technique for the joining of metallic components, and it is extensively applied across sectors such as construction, automotive manufacturing, shipbuilding, energy generation, aerospace, mining, railway systems, and the oil and gas industries [13]. Nevertheless, microstructural imperfections arising from grain coarsening, solid-state phase transformations, geometric distortion, and the development of residual stresses—phenomena intrinsically linked to the complex thermal cycles imposed during welding—may significantly compromise weld integrity and deteriorate the resultant mechanical performance of the jointed materials [4, 5]. Historically, the development and optimization of welding procedures have relied predominantly on empirical trial-and-error approaches, grounded in the accumulated technical expertise and experimental knowledge of engineer’s familiar with analogous fabrication contexts [6].
Numerical modeling of welding processes has acquired increasing relevance due to the inherently transient and highly coupled thermo-metallurgical phenomena involved. During welding, steep thermal gradients and rapid temperature fluctuations promote continuous phase transformations and localized microstructural evolution. Direct instrumentation and experimental characterization of the weld pool and its adjacent regions are markedly challenging, given the extreme temperatures, small spatial scales, and rapid temporal dynamics. These limitations underscore the necessity and growing adoption of advanced computational models to accurately predict thermal behavior and phase evolution of welded joints [2, 3].
Thermal cycles, fusion zone geometry, and heat-affected zone generated during welding exert a pronounced influence on distortion, residual stress formation, phase transformations, and grain coarsening [7, 8]. In welding, phase transformation occurs primarily through melting, wherein the material absorbs thermal energy to undergo a transition from the solid to the liquid state. This absorbed energy is subsequently redistributed throughout the material via diffusion-driven heat transfer. The variation in enthalpy characterizes this transformation, reflecting the amount of energy absorbed or released during the welding process. The enthalpy function is therefore directly dependent on the phase state of the material (solid, liquid, or mushy), and the associated thermal properties may be assumed constant or allowed to vary as a function of temperature [9].
The use of thin plates is prevalent in various industrial sectors, where reduced thickness plays a crucial role in lowering structural mass. Welding remains one of the most widely adopted joining techniques in the fabrication of thin-sheet assemblies due to its design flexibility, high productivity, and relatively low cost [10]. However, it is well established that metallurgical transformations induced by the strong thermal gradients and nonlinear heat transfer inherent to welding processes can lead to detrimental effects, such as microstructural heterogeneities [11]. In this context, numerical modeling is an essential tool for predicting macro and microscopic behavior, thereby enhancing a deeper understanding of thermal, mechanical, and metallurgical interactions [12]. Welding processes inherently involve multiple physical complexities, which require the adoption of careful simplifications and constitutive assumptions to perform the numerical simulations. These modeling choices are crucial for ensuring the accuracy of the predicted thermal fields and their resulting metallurgical transformations. In particular, the most critical regions for heat transfer analysis are the fusion zone and the heat-affected zone, where high temperatures and steep thermal gradients are developed [13].
Numerical strategies commonly employed to solve the governing equations associated with phase-change phenomena include the finite difference method [14], the finite element method [15, 16], and the finite volume method [17]. More recently, the Element-based Finite Volume Method (EbFVM) has been introduced as a hybrid approach that integrates finite volume discretization with the element topology and interpolation functions characteristic of the finite element method [1821]. This formulation enables a more flexible representation of complex geometries while preserving local conservation properties, making it particularly suitable for coupled thermomechanical simulations in the welding processes.
Ferritic stainless steels are characterized by chromium as the primary alloying element, typically ranging from 10.5% to 30%, combined with a low carbon content. Additional alloying elements such as molybdenum, silicon, aluminum, niobium, or titanium may be incorporated to enhance specific mechanical or corrosion-resistant properties [22]. However, the relatively high chromium content can promote the precipitation of chromium carbides, which may lead to detrimental effects, including sigma-phase embrittlement, high-temperature brittleness, and a reduction in corrosion resistance. These steels are also generally regarded as having limited weldability, often resulting in extensive heat-affected zones (HAZ) during welding operations [23, 24]. When ferritic stainless steels are exposed to temperatures above the ferrite solvus, abnormal grain growth may occur because no secondary phase (e.g., austenite) or stable precipitates are present to inhibit grain coarsening. The extent of this grain growth is strongly dependent on both peak temperature and the duration for which the material is held above the ferrite solvus and can significantly degrade fracture toughness and overall mechanical performance [25].
In this study, a numerical framework was developed to simulate the autogenous welding process of thin AISI 409 ferritic stainless-steel plates using the Element-based Finite Volume Method (EbFVM) to solve the transient energy equation in terms of enthalpy. Thermal cycles were experimentally measured using type-K thermocouples positioned both on the surface and within the interior of the workpiece during autogenous TIG welding. The numerical model incorporates a moving Goldak double-ellipsoid heat source, along with convection and radiation boundary conditions, and temperature-dependent thermophysical material properties. The comparison between the simulated and experimentally measured thermal cycles is in good agreement, particularly in the inside region of the plate. Moreover, metallographic analysis of the welded samples revealed consistent characteristics between the numerical predictions and the observed fusion zone (FZ) and heat-affected zone (HAZ), confirming the model’s capability in reproducing the thermal–microstructural behavior of the welding process.

2 Mathematical model

2.1 Energy equation

The thermal distribution with phase change during the melting/solidification welding process can be outlined by the following the non-linear unsteady heat conduction equation. The energy equation according to [2629] is given by
$$\:\frac{\partial\:}{\partial\:t}\left(H\left(T\right)\right)=\:\nabla\:\bullet\:\left(k\left(T\right)\nabla\:T\right)+\:{Q}_{s}$$
(1)
where T is the temperature, \(\:\varvec{k}\left(\varvec{T}\right)\) is the thermal conductivity, \(\:\mathbf{H}\left(\mathbf{T}\right)\) is the enthalpy [2729], which is given by
$$\:H\left(T\right)=\:\int\:\rho\:\left(T\right)c\left(T\right)dT$$
(2)
where \(\:\rho\:\left(T\right)\) and \(\:c\left(T\right)\) denote the material density and the specific heat, respectively. The\(\:\:{\varvec{Q}}_{\varvec{S}}=\varvec{q}\left(\varvec{r},\varvec{t}\right)-{\varvec{q}}_{\varvec{L}}\left(\varvec{T},\varvec{t}\right)\), where \(\:\varvec{q}=\varvec{q}\left(\varvec{r},\varvec{t}\right)\) denotes the surface or volumetric heat input which is originated from the arc welding and \(\:{\varvec{q}}_{\varvec{L}}={\varvec{q}}_{\varvec{L}}\left(\varvec{T},\varvec{t}\right)\) is the term that takes into account the absorption or release of latent heat as a result of the heating or cooling of the orkpiece under investigation. The Latent heat according to [29] is given by
$$\:{q}_{L}=L{f}_{L}$$
(3)
where L is the latent heat and \(\:{f}_{L}\) denotes the liquid fraction defined by [29] as
$$\:{f}_{L}=\left\{\begin{array}{c}0\text{}\text{}\text{}\text{}\text{}\text{}\text{}\text{}\text{}\text{}\text{}\text{}\text{}\text{}\text{}\text{}\text{}\text{}\text{}for\text{}\text{}T<{T}_{sol}\\\:\frac{T-{T}_{sol}}{{T}_{liq}-{T}_{sol}}\text{}\text{}\text{}\text{}\text{}\text{}\text{}for\text{}\text{}{T}_{sol}\le\:T\le\:{T}_{liq}\\\:1\text{}\text{}\text{}\text{}\text{}\text{}\text{}\text{}\text{}\text{}\text{}\text{}\text{}\text{}\text{}\text{}\text{}\text{}\text{}\text{}for\text{}\text{}T>{T}_{liq}\end{array}\right.$$
(4)
where \(\:{T}_{sol}\) and \(\:{T}_{liq}\) denote the solidus and liquidus temperature, respectively, to consider an extended range for phase change (mushy zone). As shown in the above model, the advective effect of the liquid movement of weld bead was not considered. However, to take that effect into account, \(\:{k}_{L}\) was replaced by \(\:{k}_{eff}={\gamma\:k}_{L}\), where \(\:\gamma\:\) is a constant. In this work, this constant was equal to 4 [29]. It is important to stress that variations of k and H are considering in Eq. (1) to allow the energy equation in terms of enthalpy to be valid to the range of temperature reached in the welding process.

2.2 Initial and boundary conditions

The heat transfer from the external surfaces to the environment is given by
$$\:-k\nabla\:T\cdot\:\varvec{n}=\text{h}\left(T-{T}_{\infty\:}\right)$$
(5)
where h represents the contribution of the natural convection heat transfer coefficient hc together with the thermal radiation heat transfer coefficient hr, which is given in Eq. (7) in it is linearized form. The term n is the unit outward normal vector to the boundary and \(\:{T}_{\infty\:}\) is the ambient temperature.
$$\mathrm h={\mathrm h}_{\mathrm r}+{\mathrm h}_{\mathrm c}$$
(6)
where hr is the result from the linearization of the Stefan-Boltzmann equation.
$$\mathrm{hr}=\sigma\:\epsilon\:\left(T+T_{\infty\:}\right)\left(T^2+T_{\infty\:}^2\right)$$
(7)
where \(\:\sigma\:\) denotes the Stefan–Boltzmann constant and \(\:\epsilon\:\) represents the thermal emissivity of the material surface. Moreover, the workpiece is assumed to be initially at an ambient temperature
$$\:T\left(x,\:y,\:z,0\right)={T}_{\infty\:}$$
(8)

2.3 Input heat model

Arc welding can generally be modeled by prescribing the temperature in the weld. The prescribed temperature technique establishes the temperature value at nodes within an area or volume that simulates the weld pool. The prescribed temperature at specific nodes is increased linearly up to the temperature considered necessary for melting the material, being maintained at this value for a time interval [30]. The movement of the torch is simulated by repeating the procedure along a defined axis. This work used the volumetric model for the heat source proposed by Goldak et al. [31].
The double ellipsoid heat source can be represented according to [27, 28] by the following equations.
$$\\\begin{array}{c}\:q\left(x,y,\xi\:,t\right)=\\\:\frac{6\sqrt3.f_f.U}{a.b.c_1.{\pi\:}^{3/2}}e^{\left[\left(\frac{-3x^2}{a^2}\right)\:+\:\left(\frac{-3y^2}{b^2}\right)\:+\:\left(\frac{-3\xi^2}{c_1^2}\right)\right]\;}\\\begin{array}{c}for\end{array}\xi\geq0\end{array}\\\\\;$$
(9)
and
$$\\\begin{array}{c}\:q\left(x,y,\xi\:,t\right)=\\\:\frac{6\sqrt3.f_r.U}{a.b.c_2.{\pi\:}^{3/2}}e^{\left[\left(\frac{-3x^2}{a^2}\right)\:+\:\left(\frac{-3y^2}{b^2}\right)\:+\:\left(\frac{-3{\xi\:}^2}{c_2^2}\right)\right]\;}\\for\;\xi<0\end{array}\\\\\;$$
(10)
In the above equations, q has units of J/s.m³. This source model uses the energy released by the arc to the workpiece during the welding
$$\:U=I.V.\eta\:$$
(11)
where \(\:U\) denotes the energy released, \(\:I\) is the current intensity, \(\:V\) is the voltage, and \(\:\eta\:\) the efficiency of the source autogenous GTAW process, which in this work was set to 0.55. The geometric parameters that correspond to the front and back ellipsoidal shape are (a) width, (b) depth, (c1) front, and (c2) back lengths. The weight functions \(\:{f}_{f}\) and \(\:{f}_{r}\) indicate the volumetric distribution of heat at the front and back of the pool. Herein, we used the values of \(\:{f}_{f}\) equal to half of the weld and \(\:{f}_{r}\) equal to twice the width as proposed in [31], which are given by
$$\:{f}_{f}=\:\frac{2{c}_{1}}{{c}_{1}+\:{c}_{2}}$$
(12)
$$\:{f}_{r}=\:\frac{2{c}_{2}}{{c}_{1}+\:{c}_{2}}$$
(13)
$$\:{f}_{f}+\:{f}_{r}=2$$
(14)
In Eqs. (9) and (10), x, y, \(\:\xi\:\) denote respectively, the coordinates along the width, the thickness, and the length of the workpiece. The relationship between the fixed coordinate \(\:z\) and the moving coordinate system \(\:\xi\:\) is expressed by
$$\:\xi\:=\left(z-{z}_{0}\right)-vt$$
(15)
where \(\:{z}_{0}\) defines the position of the heat source at the initial time, and v is the welding speed.

3 EbFVM approach

Discretization techniques have been widely proposed for the solution of partial differential equations, such as; FEM (Finite Element Method), FDM (Finite Difference Method), and FVM (Finite Volume Method). The finite difference and finite volume methods have proven quite effective in CFD (Computational Fluid Dynamic) [18]. The finite element method has been widely used in commercial software [3235]. The finite volume method warrants the local conservation of the evaluated physical properties.
The finite volume method is divided into two main approaches: cell-centered and cell-vertex [36]. In the first approach, each element or cell is a control volume, and the independent variables are evaluated at the geometric center of each element. The second approach borrows the idea of element and shape functions from FEM [32, 35, 36]. In the cell-vertex approach, the control volume is built around each grid node (Fig. 1).
Fig. 1
EbFVM discretization. Element, sub-control volumes, and control volumes
Bild vergrößern
The cell-vertex approach has advantages over the cell-centered approach, as it is suitable for problems where the unknowns must be determined at the boundaries. It can also be easily implemented for structured and unstructured meshes [37].
The EbFVM was initially called the Control Volume Based Finite Element Method (CVFEM) [35, 38]. The CVFEM nomenclature gives the wrong idea that this is a FEM that is based on control volumes [18]. Then, the suggestion of replacing the CVFEM terminology with EbFVM [36] is used in this work.

4 EbFVM discretization procedure

In the EbFVM, the domain is first divided into elements. Then, according to the number of vertices, each element is further divided into sub-elements; herein, we will call these sub-elements sub-control volumes (SVC) [3941]. Figure 2 shows the hexagonal element with eight nodes and eight control sub-volumes.
Fig. 2
Parameterized hexagonal element highlighting the interfaces of each control sub-volume
Bild vergrößern
The shape functions in terms of parametric coordinates \(\xi\), \(\eta\), and \(\zeta\)are given in [18]:
$$\:{N}_{1}\left(\xi\:,\eta\:,\:\zeta\:\right)=\:\frac{1}{8}\left(1+\:\xi\:\left)\right(1-\:\eta\:\left)\right(1+\zeta\:\right)$$
(16)
$$\:{N}_{2}\left(\xi\:,\eta\:,\:\zeta\:\right)=\:\frac{1}{8}\left(1+\:\xi\:\left)\right(1-\:\eta\:\left)\right(1-\zeta\:\right)$$
(17)
$$\:{N}_{3}\left(\xi\:,\eta\:,\:\zeta\:\right)=\:\frac{1}{8}\left(1-\:\xi\:\left)\right(1-\:\eta\:\left)\right(1-\zeta\:\right)$$
(18)
$$\:{N}_{4}\left(\xi\:,\eta\:,\:\zeta\:\right)=\:\frac{1}{8}\left(1-\:\xi\:\left)\right(1-\:\eta\:\left)\right(1+\zeta\:\right)$$
(19)
$$\:{N}_{5}\left(\xi\:,\eta\:,\:\zeta\:\right)=\:\frac{1}{8}\left(1+\:\xi\:\left)\right(1+\:\eta\:\left)\right(1+\zeta\:\right)$$
(20)
$$\:{N}_{6}\left(\xi\:,\eta\:,\:\zeta\:\right)=\:\frac{1}{8}\left(1+\:\xi\:\left)\right(1+\:\eta\:\left)\right(1-\zeta\:\right)$$
(21)
$$\:{N}_{7}\left(\xi\:,\eta\:,\:\zeta\:\right)=\:\frac{1}{8}\left(1-\:\xi\:\left)\right(1+\:\eta\:\left)\right(1-\zeta\:\right)$$
(22)
$$\:{N}_{8}\left(\xi\:,\eta\:,\:\zeta\:\right)=\:\frac{1}{8}\left(1-\:\xi\:\left)\right(1+\:\eta\:\left)\right(1+\zeta\:\right)$$
(23)
The components of the gradient vector of a continuous function \(\:\phi\:\left(x,y,z\right)\) are given in [18]
$$\:\frac{\partial\:\phi\:\left(\xi\:,\eta\:,\:\zeta\:\right)}{\partial\:x}={\sum\:}_{i=1}^{NV}\frac{\partial\:{N}_{i}}{\partial\:x}{\phi\:}_{i}\:$$
(24)
$$\:\frac{\partial\:\phi\:\left(\xi\:,\eta\:,\:\zeta\:\right)}{\partial\:y}={\sum\:}_{i=1}^{NV}\frac{\partial\:{N}_{i}}{\partial\:y}{\phi\:}_{i}\:$$
(25)
$$\:\frac{\partial\:\phi\:\left(\xi\:,\eta\:,\:\zeta\:\right)}{\partial\:z}={\sum\:}_{i=1}^{NV}\frac{\partial\:{N}_{i}}{\partial\:z}{\phi\:}_{i}\:$$
(26)
where NV is the number of vertices. The derivatives of the shape functions for a 3D element are given by [18]
$$\\\\\\\\\\\\\begin{array}{c}\:\frac{\partial\:N_i}{\partial\:x}=\\\frac1{\left|J\right|}\left[\left(\frac{\partial\:y}{\partial\:\eta\:}\frac{\partial\:z}{\partial\:\zeta\:}-\:\frac{\partial\:y}{\partial\:\zeta\:}\frac{\partial\:z}{\partial\:\eta\:}\right)\frac{\partial\:N_i}{\partial\:\xi\:}-\:\left(\frac{\partial\:y}{\partial\:\xi\:}\frac{\partial\:z}{\partial\:\zeta\:}-\:\frac{\partial\:y}{\partial\:\zeta\:}\frac{\partial\:z}{\partial\:\xi\:}\right)\frac{\partial\:N_i}{\partial\:\eta\:}+\:\left(\frac{\partial\:y}{\partial\:\xi\:}\frac{\partial\:z}{\partial\:\eta\:}-\:\frac{\partial\:y}{\partial\:\eta\:}\frac{\partial\:z}{\partial\:\xi\:}\right)\frac{\partial\:N_i}{\partial\:\zeta\:}\right]\:\end{array}\\\\\\\\\\\\\:$$
(27)
$$\:\\\begin{array}{c}\frac{\partial\:N_i}{\partial\:y}=\:\frac1{\left|J\right|}\\\left[-\left(\frac{\partial\:x}{\partial\:\eta\:}\frac{\partial\:z}{\partial\:\zeta\:}-\:\frac{\partial\:x}{\partial\:\zeta\:}\frac{\partial\:z}{\partial\:\eta\:}\right)\frac{\partial\:N_i}{\partial\:\xi\:}+\:\left(\frac{\partial\:x}{\partial\:\xi\:}\frac{\partial\:z}{\partial\:\zeta\:}-\:\frac{\partial\:x}{\partial\:\zeta\:}\frac{\partial\:z}{\partial\:\xi\:}\right)\frac{\partial\:N_i}{\partial\:\eta\:}-\:\left(\frac{\partial\:x}{\partial\:\xi\:}\frac{\partial\:z}{\partial\:\eta\:}-\:\frac{\partial\:x}{\partial\:\eta\:}\frac{\partial\:z}{\partial\:\xi\:}\right)\frac{\partial\:N_i}{\partial\:\zeta\:}\right]\end{array}\\\\\:$$
(28)
$$\\\begin{array}{c}\:\frac{\partial\:N_i}{\partial\:z}=\:\frac1{\left|J\right|}\\\left[\left(\frac{\partial\:x}{\partial\:\eta\:}\frac{\partial\:y}{\partial\:\zeta\:}-\:\frac{\partial\:x}{\partial\:\zeta\:}\frac{\partial\:y}{\partial\:\eta\:}\right)\frac{\partial\:N_i}{\partial\:\xi\:}-\:\left(\frac{\partial\:x}{\partial\:\xi\:}\frac{\partial\:z}{\partial\:\zeta\:}-\:\frac{\partial\:x}{\partial\:\zeta\:}\frac{\partial\:y}{\partial\:\xi\:}\right)\frac{\partial\:N_i}{\partial\:\eta\:}+\:\left(\frac{\partial\:x}{\partial\:\xi\:}\frac{\partial\:y}{\partial\:\eta\:}-\:\frac{\partial\:x}{\partial\:\eta\:}\frac{\partial\:y}{\partial\:\xi\:}\right)\frac{\partial\:N_i}{\partial\:\zeta\:}\right]\:\end{array}\\\\$$
(29)
In the above equations, the Jacobian of the transformation, which is given by
$$\begin{array}{c}\:\left|J\right|=\\\:\left(\frac{\partial\:y}{\partial\:\eta\:}\frac{\partial\:z}{\partial\:\zeta\:}-\:\frac{\partial\:y}{\partial\:\zeta\:}\frac{\partial\:z}{\partial\:\eta\:}\right)\frac{\partial\:x}{\partial\:\xi\:}-\:\left(\frac{\partial\:y}{\partial\:\xi\:}\frac{\partial\:z}{\partial\:\zeta\:}-\:\frac{\partial\:y}{\partial\:\zeta\:}\frac{\partial\:z}{\partial\:\xi\:}\right)\frac{\partial\:x}{\partial\:\eta\:}+\:\left(\frac{\partial\:y}{\partial\:\xi\:}\frac{\partial\:z}{\partial\:\eta\:}-\:\frac{\partial\:y}{\partial\:\eta\:}\frac{\partial\:z}{\partial\:\xi\:}\right)\frac{\partial\:x}{\partial\:\zeta\:}\end{array}\\\\\\\:$$
(30)
The volume of the hexahedron’s sub-control volume is given by [18]
$$\:{V}_{scv,i}=\:\left|J\right|$$
(31)
The area of each quadrilateral integration surface is given by [18]
$$\\\\\begin{array}{c}\:d\overrightarrow S=\:\left(\frac{\partial\:y}{\partial\:\eta\:}\frac{\partial\:z}{\partial\:\zeta\:}-\:\frac{\partial\:y}{\partial\:\zeta\:}\frac{\partial\:z}{\partial\:\eta\:}\right)d\eta\:d\zeta\:\widehat i\\+\:\left(\frac{\partial\:x}{\partial\:\xi\:}\frac{\partial\:z}{\partial\:\zeta\:}-\:\frac{\partial\:x}{\partial\:\zeta\:}\frac{\partial\:z}{\partial\:\xi\:}\right)d\xi\:d\zeta\:\widehat j\\+\:\left(\frac{\partial\:x}{\partial\:\xi\:}\frac{\partial\:y}{\partial\:\eta\:}-\:\frac{\partial\:x}{\partial\:\xi\:}\frac{\partial\:y}{\partial\:\eta\:}\right)d\xi\:d\eta\:\widehat k\\\end{array}\\$$
(32)

4.1 Numerical integration of the heat conduction equation with source term

Let us perform the integration of Eq. (1) over each su-control volume and time to obtain
$$\\\\\begin{array}{c}\overset{}{\underset t{\int\:}}\overset{}{\underset V{\int\:}}\frac{\partial\:\left(H\left(T\right)\right)}{\partial\:t}dVdt\\=\:\overset{}{\underset t{\int\:}}\overset{}{\underset V{\int\:}}\nabla\:\bullet\:\left(\kappa\:\nabla\:T\right)dVdt\\\:+\:\overset{}{\underset t{\int\:}}\overset{}{\underset V{\int\:}}Q_sdVdt\end{array}\\\\$$
(33)
Applying the Gauss’s divergence theorem to the first time on the right-hand side, one obtains
$$\\\begin{array}{c}\overset{}{\underset t{\int\:}}\overset{}{\underset V{\int\:}}\frac{\partial\:\left(H\left(T\right)\right)}{\partial\:t}dVdt\\=\:\overset{}{\underset t{\int\:}}\overset{}{\underset S{\int\:}}\kappa\:\nabla\:T\bullet\:d\overrightarrow sdt+\:\overset{}{\underset t{\int\:}}\overset{}{\underset V{\int\:}}Q_sdVdt\\+\:\overset{}{\underset t{\int\:}}\overset{}{\underset S{\int\:}}h\left(T_{\infty\:}-T\right)dsdt\end{array}\\\\\:\:$$
(34)
From the consideration of an arbitrary control sub-volume, the first term of Eq. (34) can be approximated by the midpoint rule as
$$\:\underset{t}{\overset{}{\int\:}}\underset{V}{\overset{}{\int\:}}\frac{\partial\:\left(H\left(T\right)\right)}{\partial\:t}dVdt\cong\:\:\left({H}_{i}^{n+1}-\:{H}_{i}^{n}\right)\varDelta\:{V}_{i}$$
(35)
For the term on the right-hand side of Eq. (34), we have
$$\\\begin{array}{c}\\\overset{}{\underset t{\int\:}}\overset{}{\underset S{\int\:}}\left(\kappa\:\nabla\:T\right)\bullet\:d\overrightarrow sdt\\\:=\:\theta\triangle\:t\left(\sum_{j=1}^{Nip}{\left(k\nabla\:T\right)}_j\bullet \triangle\:{\overrightarrow s}_j\right)^{n+1}\\+\:\left(1-\theta\:\right)\triangle\:t\left(\sum_{j=1}^{Nip}{\left(k\nabla\:T\right)}_j\bullet\:\triangle\:{\overrightarrow s}_j\right)^n\\+\:h\left(T_{\infty\:}-T_i\right)^{n+1}\left|\triangle\:{\overrightarrow s}_f\right|\triangle\:t\end{array}\\\\$$
(36)
Note that the parameter \(\:\theta\:\) \(\:\left(0\le\:\theta\:\le\:1\right)\) is employed as a weighting factor too evaluate the transport of the property of interest during the time interval \(\:\varDelta\:t\). In this work, an implicit interpolation scheme is adopted, which corresponds to \(\:\theta\:=1\). Thus, the entire contribution of the property transport is evaluated at the new time level \(\:n+1\).
$$\\\begin{array}{c}\overset{}{\underset t{\int\:}}\overset{}{\underset S{\int\:}}\left(\kappa\:\nabla\:T\right)\bullet\:d\overrightarrow sdt\\=\:\left(\sum\:_{j=1}^{Nip}{\left(k\nabla\:T\right)}_j\bullet\:\triangle\:{\overrightarrow s}_j\right)^{n+1}\triangle\:t\\\:+\:h\left(T_{\infty\:}-T_i\right)^{n+1}\left|\triangle{\overrightarrow s}_f\right|\triangle\:t\\\end{array}$$
(37)
Where the last term the right-hand side appears only when the sub control volume i is located on one of the boundaries of the domain. For the last term of Eq. (34), we have
$$\:\underset{t}{\overset{}{\int\:}}\underset{V}{\overset{}{\int\:}}{Q}_{s}dVdt=\:{{Q}_{s}}_{i}^{n+1}{\varDelta\:V}_{i}\varDelta\:t\:$$
(38)
Replacing Eqs. (35), (37), and (38) into Eq. (34), we obtain
$$\\\begin{array}{c}\:\left(\:H_i^{n+1}-\:H_i^n\right)\triangle\:V_i\\\approx\:\:\left(\left({\sum\:}_{j=1}^{Nip}{\left(\kappa\:\nabla\:T\right)}_j\bullet\triangle\:{\overrightarrow s}_j\right)^{n+1}+\:q_i^{n+1}\triangle\:V_i+\:h\left(T_{\infty\:}-T_i\right)^{n+1}\triangle\:s_i\right)\triangle\:t\end{array}\\\\$$
(39)
When Eq. (40) is applied to all vertices of the grid, we obtain the following nonlinear system of equations:
$$\:{\varvec{A}}^{n+1}{\varvec{H}}^{n+1}=\:{\varvec{B}}^{n}$$
(40)
where \(\:\mathbf{A}\) denotes the global coefficient matrix, \(\:\mathbf{H}\) the vector of nodal enthalpy values, and \(\:\mathbf{B}\) known vector. The nonlinear character of the system results from the dependence of material properties on temperature, as well as from the formulation of the heat source and boundary conditions.
An incremental iterative procedure is adopted to solve the thermal problem described in Eq. (40). Starting from an initial enthalpy field \(\:{\varvec{H}}_{0}\), the system of nonlinear algebraic equations is assembled and solved at each time step. The solution is iteratively updated until the convergence criterion associated with the right-hand side vector \(\:{\mathbf{B}}^{n}\) is fulfilled. Once convergence is achieved, the enthalpy field is updated (\(\:{\varvec{H}}^{n+1}\leftarrow\:{\varvec{H}}^{n}\)) and the computation advances to the subsequent time step.

5 Mesh refinement study

To obtain the temperature field and the welding cycles, Eq. (1) is integrated over to a control volume and in time to obtain the approximate temperature field. A non-uniformed mesh is employed to accurately capture the large gradients in critical zones such as in the weld bead and adjacent regions, see Fig. 3 [16]. Therefore, the mesh used has larger element sizes in regions far from the fusion zone when compared to those close to the fusion zone. This is a very desirable feature since the thermal problem in welding is highly non-linear [42].
Fig. 3
Mesh with refinement located in the center
Bild vergrößern
Table 1 Shows the number of nodes and elements of the meshes used in the simulations. After the mesh refinement analysis, the third mesh was selected for the remaining simulations in this study
Table 1
Number of nodes used for each case
Welding process AISI 409 ferritic
Mesh
Node
Element
Hexahedron First Mesh
56350
47040
Hexahedron Second Mesh
81807
72000
Hexahedron Third mesh
150228
133760
Hexahedron Fourth mesh
284085
259840
Figure 4: Cross-section perpendicular to the torch movement. (a) torch position at t = 10 s - mesh with 259,840 elements. (b) torch position at t = 10 s - mesh with 133,760 elements. (c) torch position at t = 10 s - mesh with 72,000 elements. (d) torch position at t = 10 s - mesh of 47,040 elements.
Fig. 4
presents the liquid mass fraction using the four hexahedron grids at 10 s after the welding process starts
Bild vergrößern

6 Analysis of input parameters

The model is sensitive to the heat-source input parameters. Figure 5 illustrates the distribution of the liquid fraction for three welding current values.
Fig. 5
Effect of the current on the melt zone. (a) Current equal to 165 A. (b) Current equal to 215 A. (c) Current equal to 265 A
Bild vergrößern
From Fig. 5, it is evident that the size of the melting regions is directly related to the current value; it increases with increasing current.
Figure 6 shows that the average mass fraction increases from 7.75% to 25.44% as the source power increases from 1320 W to 2120 W.
Fig. 6
Impact of power on the average mass fraction of the base metal
Bild vergrößern

7 Experimental procedure

The present work conducted experiments using gas tungsten arc welding (GTAW) on the AISI 409 ferritic steel samples. An automatic displacement system warrants the constant speed of the torch. A capacitive discharge was used to fix the six K-type thermocouples to the workpiece. They recorded temperature values as a function of time for a fixed position, as shown in Fig. 7. Three thermocouples were fixed at the top of the workpiece (T3, T4, and T6); see Fig. 7a. We could not record the welding cycle from the thermocouple (T4), although it was assured that all thermocouples were well fixed to the workpiece before the beginning of the welding process. Thermocouples T3 and T6 were fixed at 8 mm and 13 mm from the welding line, respectively. Other three thermocouples were fixed on the bottom surface of the workpiece (T1, T2, and T5) along the welding line at 80 mm, 100 mm, and 120 mm from the arc’s starting point, respectively, see Fig. 7b. Thermocouples T1 and T5 were fixed in a blind hole with a diameter of 6.5 mm and deep of 2.92 mm and 2.96 mm, respectively.
Fig. 7
Experimental configuration. (a) Position of thermocouples on the top of the plate, from left to right: T3 and T6. (b) position of thermocouples on the base of the plate, front to back: T1, T2, and T5
Bild vergrößern
The workpiece has the following dimensions: 160 mm (length) x 50 mm (width) x 6.3 mm (thickness), and the chemical composition is given in Table 2.
Table 2
Chemical composition of AISI 409 ferritic steel in mass fraction (%)
Cr
Mn
Fe
Si
P
S
Ni
10,75
0,821
87,05
0,706
0,034
0.033
0,455
In the GTAW process, the electric arc is produced between a non-consumable electrode and the workpiece. The welding process used in this work was autogenous. The distance from the tip of the non-consumable electrode to the piece was 2.4 mm, which is exactly the diameter of the electrode used in the process. The welding arc’s average current and average voltage were 165 A and 15.1 V, respectively. The torch was moved with a speed of 4 mm/s for each pass. The argon gas was used to protect the torch with a flux of 18 L/min.
Figure 8 shows the weld bead of the last pass. No irregularity was observed in this figure, and the same behavior was verified for the other three passes. Figure 8 also shows two steel plates placed at the ends of the workpiece to reduce energy loss by conduction.
Fig. 8
Weld bead at the end of the experiment
Bild vergrößern
The tungsten electrode tip was sharpened to 45°, Fig. 9(a). At the end of the four-pass welding process, the electrode tip presented no wear, just oxidation, Fig. 9(b).
Fig. 9
Tungsten electrode tip. (a) Electrode tip before the welding (b) Electrode tip after the four-pass (zoom)
Bild vergrößern
Table 3 summarizes the heat source parameters. The dimensions a and b of the weld pool were acquired by the macrograph from the first welding pass, as shown in Fig. 21.
Table 3
Heat source parameters for the TIG process
Parameter
TIG
v [mm/s]
4.0
current [A]
165.0
voltage [V]
15.1
Gas flow [L/min]
18
The thermal cycles of the TIG welding process of the AISI 409 steel simulated are compared with experimental cycles. The heat input provided by the electric arc is modeled by the volumetric double-ellipsoid model (VDE). The VDE parameters presented in Table 4 were chosen by measuring the dimensions of the weld bead.
Table 4
Heat source parameters for EbFVM
Parameter
VDE
a, b [mm]
4.0, 1.0
cf, cr [mm]
4.0, 8.0
ff, fr
0.6, 1.4
v [mm/s]
4.0
current [A]
165.0
voltage [V]
15.1
Efficiency [%]
55
h [W/m.K]
20
Using the chemical composition of the steel the JMatPro software was used to evaluate the variation of the thermal properties as a function of temperature, were incorporated into the numerical model. Figures 10, 11 and 12 present the temperature-dependent thermal properties of the material employed in the simulations.
Fig. 10
Thermocouple 5 placed into a blind hole 2.96 mm on the bottom of the workpiece
Bild vergrößern
Fig. 11
Thermal conductivity variation of the AISI 409 ferritic steel
Bild vergrößern
Fig. 12
Density variation of the AISI 409 ferritic steel
Bild vergrößern

8 Results and discussion

Figures 13 and 14 present the simulated temperature fields on the top and bottom surfaces of the workpiece at 10 s and 25 s, respectively. Figure 15 illustrates the temperature distribution along a transverse cross-section of the weld bead. The results were obtained using a hexahedral mesh consisting of 150,228 nodes and 133,760 elements. These visualizations clearly reveal the three-dimensional temperature gradients generated during the welding process. We can also see the fusion zone (FZ) and the heat-affected zone (HAZ), see Fig. 13(a), 14(a) and 15.
Fig. 13
Specific heat variation of the AISI 409 ferritic steel
Bild vergrößern
Fig. 14
Temperature field at 10 s. (a) top surface and (b) bottom surface
Bild vergrößern
Fig. 15
Temperature field at 25s. (a) top surface and (b) bottom surface
Bild vergrößern
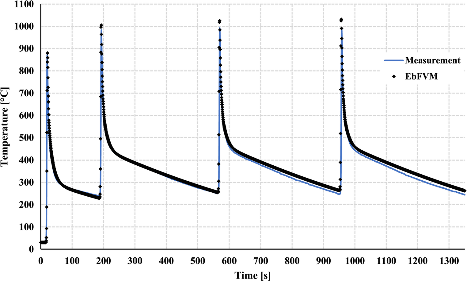
We now present a comparison between the numerical predicted and the experimental thermal cycle profiles. As we mentioned above, the temperature histories during the TIG welding process were recorded at five locations: thermocouples T3 and T6 positioned on the upper surface of the workpiece, and T1, T2, and T5 positioned on the lower surface. The comparative results are displayed in Figs. 16, 17, 18, 19 and 20. An inter-pass temperature of 250 °C was maintained between successive welding passes. Thermocouple T2 served as the reference for inter-pass temperature control; when its reading returned to 250 °C, the subsequent pass was initiated.
Fig. 16
Temperature field along a cross-section of the weld bead at 25s
Bild vergrößern
Fig. 17
Thermocouple 3 on top of the sample placed 8 mm from the center of the weld bead
Bild vergrößern
Fig. 18
Thermocouple 6 on top of the sample placed 13 mm from the center of the weld bead
Bild vergrößern
Fig. 19
Thermocouple 1 placed into a blind hole 2.92 mm on the bottom of the workpiece
Bild vergrößern
Fig. 20
Thermocouple 2 placed on the low surface of the workpiece along the weld bead 100 mm away from the beginning of the welding beam
Bild vergrößern
From the thermal cycle profiles presented in Figs. 16, 17, 18, 19 and 20, it can be observed that the numerical model adequately reproduces the general behavior of the experimental thermal cycles for all thermocouples and welding passes. Nevertheless, noticeable discrepancies in the peak temperatures were identified, particularly for thermocouple 6 (located 13 mm from the weld bead), for thermocouple 3 (located 8 mm from the weld bead), and for thermocouple 2 (positioned directly on the surface of the workpiece). Furthermore, these discrepancies tend to increase as the number of welding passes increases. On the other hand, for the thermocouples embedded in the blind holes (thermocouples 1 and 5) the difference in the peaks of temperature were much smaller. It is important to highlight that a single convection heat transfer coefficient was applied uniformly to the top, bottom, and lateral surface of the workpiece, an assumption that could be too strong. Additionally, we also assumed the thermal conductivity to be isotropic. As discussed in [43], material anisotropy can play a significant role in heat propagation during welding and should therefore be considered to improve the agreement between numerical predictions and experimental measurements. The iterative procedure adopted for calculating enthalpy was efficient in dealing with the phase change phenomenon into the material.
In Fig. 21 is presented the geometry of the weld zone using the micrographs and the numerical temperature field. When we compare the results, we can verify that the fusion on Fig. 21(a), that is shown on the upper right region, is similar to the numerical results shown on the upper left part of Fig. 21(b) (red region). Such a result indicates the accuracy in the calibration of the heat source parameters and deactivation management. The blue region in Fig. 21(b) shows the base metal of the numerically simulated region and has a good resemblance to Fig. 21(a) of the steel sample.
Fig. 21
(a) Melt zone in AISI 409 ferritic steel (fusion zone, heat affected zone, base metal) with 1.53 mm depth and 3.56 mm of large. (b) Melt simulated zone (red – liquid, blue – solid and another color mush region) with 1.53 mm depth and 3.52 mm of large
Bild vergrößern
The micrograph clearly delineates the transition between the three characteristic regions of the weldment: Base Metal (BM), Heat-Affected Zone (HAZ), and Fusion Zone (FZ), see Fig. 22. Each region exhibits distinct microstructural features associated with its specific thermal exposure during welding. The base metal displays a predominantly ferritic microstructure, which is typical of AISI 409 stainless steel.
Fig. 22
Microstructure after the first welding pass
Bild vergrößern
Figure 22 presents the microstructure in the heat-affected zone after the first welding pass. This region is characterized by relatively fine grains and a low volume fraction of carbides. In the heat-affected zone, significant ferritic grain coarsening is observed. The increase in the grain size and the elongated grain morphology indicate recrystallization and subsequent growth driven by the elevated thermal cycle experienced in this region. The fusion zone presents a more heterogeneous and dendritic microstructure, associated with primary ferritic solidification, as expected for ferritic stainless steels. Ferrite dendrites may exhibit mild segregation of alloying elements such as Cr and Ti. Additionally, depending on the cooling rate, small fractions of martensitic phase or carbide precipitates may form in the inter-dendritic regions, contributing to localized microstructural heterogeneity.

9 Conclusions

Thermal cycles measured near the weld pool showed better agreement with numerical predictions for peak temperatures than those obtained at locations further from the fusion zone. The numerical model accurately reproduced the residence time of the temperature range between the peak heating and cooling stages. Similar heating and cooling rates were observed for all thermocouples attached to the workpiece. The predicted dimensions of both the fusion zone and the heat-affected zone closely matched the experimentally observed morphology. However, the adoption of a single convection heat transfer coefficient for all exposed surfaces and the assumption of isotropic thermal conductivity may contribute to discrepancies between numerical and experimental thermal cycles at greater distances from the fusion zone, particularly as the number of welding passes increases.

Acknowledgements

The authors would like to thank the support provided by Welding Research and Technology Laboratory of the Federal University of Ceará (LPTS).

Declarations

Competing interest

The authors declare that they have no known competing financial interests or personal relationships that could have appeared to influence the work reported in this paper.
Open Access This article is licensed under a Creative Commons Attribution 4.0 International License, which permits use, sharing, adaptation, distribution and reproduction in any medium or format, as long as you give appropriate credit to the original author(s) and the source, provide a link to the Creative Commons licence, and indicate if changes were made. The images or other third party material in this article are included in the article’s Creative Commons licence, unless indicated otherwise in a credit line to the material. If material is not included in the article’s Creative Commons licence and your intended use is not permitted by statutory regulation or exceeds the permitted use, you will need to obtain permission directly from the copyright holder. To view a copy of this licence, visit http://creativecommons.org/licenses/by/4.0/.

Publisher’s note

Springer Nature remains neutral with regard to jurisdictional claims in published maps and institutional affiliations.
Download
Titel
Experimental and numerical simulation of multipass welding in ferritics steels
Verfasst von
Dimitry Barbosa Pessoa
Izaac Oliveira Andrade
Hélio Cordeiro de Miranda
Marcelo Ferreira Motta
Francisco Marcondes
Publikationsdatum
10.02.2026
Verlag
Springer London
Erschienen in
The International Journal of Advanced Manufacturing Technology
Print ISSN: 0268-3768
Elektronische ISSN: 1433-3015
DOI
https://doi.org/10.1007/s00170-025-17208-w
1.
Zurück zum Zitat García V, Arriaga JCC, Reyes-Calderón F (2016) A simplified elliptic paraboloid heat source model for autogenous GTAW process. Int J Heat Mass Transf 100:536–549CrossRef
2.
Zurück zum Zitat Tahaei Ali, Vanani Behrouz Bagheri, Abbasi Mahmoud, Arizmendi-Morquecho Ana (2023) A different attempt to investigate the influence of PTA parameters on microstructure evolution and mechanical characteristics of nickel base powder (Ni-WC) deposited tool steel. J Mater Res Technol 27:7970–7985CrossRef
3.
Zurück zum Zitat DAS R, CLEARY PW (2016) Three-dimensional modelling of coupled flow dynamics, heat transfer and residual stress generation in Arc welding processes using the mesh-free SPH method. J Comput Sci 16:200–216CrossRef
4.
Zurück zum Zitat Zhang M, Ji C, Hou Y, Jin P, He J, Wu J, Li K (2024) Modified inherent strain method coupled with shear strain and dynamic mechanical properties for predicting residual deformation of Inconel 738LC part fabricated by laser powder bed fusion. International Journal of Thermal Sciences, v. 203, art. 109163
5.
Zurück zum Zitat Tong Y, Zhu G, Lin S (2025) Microstructural evolution and strengthening mechanisms of gas tungsten arc welded nickel-based superalloy joints processed by laser powder bed fusion: Effects of welding direction and heat input. Journal of Materials Processing Technology, v. 346, art. 119098
6.
Zurück zum Zitat Gery D, Long H, Maroupolos P (2005) Effects of welding speed, energy input and heat source distribution on temperature variations in butt joint welding. J Mater Process Technol 167:393–401CrossRef
7.
Zurück zum Zitat Pazooki AM, Hermans MJ, Richardson IM (2017) Control of welding distortion during gas metal arc welding of AH36 plates by stress engineering. Int J Adv Manuf Technol 88:5–8. https://doi.org/10.1007/s00170-016-8869-9CrossRef
8.
Zurück zum Zitat Chen S, Guillemot G, Gandin CA (2016) Three-dimensional cellular automaton-finite element modeling of solidification grain structures for arc-welding processes. Acta Mater. https://doi.org/10.1016/j.actamat.2016.05.011CrossRef
9.
Zurück zum Zitat de Azevedo AM, dos S. Magalhães E (2023) The volumetric thermal capacitor method for nonlinear heat transfer in phase-change materials. Int Commun Heat Mass Transf 142:106672CrossRef
10.
Zurück zum Zitat Siddiqui Nabeel Ahmed, Muzamil Muhammad, Jamil Tariq, Hussain Ghulam (2025) Heat sources in wire arc additive manufacturing and their impact on macro-microstructural characteristics and mechanical properties – an overview. Smart Materials in Manufacturing 3:100059CrossRef
11.
Zurück zum Zitat Yang Tao, Xiao Youheng, Zhuang Yuan, Liu Jianyu, Li Huanyu, Wang Yuan (2022) Effect of microstructural heterogeneity on corrosion fatigue crack growth behavior of 60-mm thick-plate TC4 titanium alloy NG-GTAW welded joint. Int J Fatigue 163:107030CrossRef
12.
Zurück zum Zitat Ma Jiarong, Xu Xinhe, Pan Deng, Cui Tongming, Lu Zhanpeng, Lozano-Perez Sergio, Chen Junjie, Wang Donghui, Li Kai, Zheng Hui (2024) Macroscopic and microscopic element distribution in transition zones of GTAW Alloy 52M weld joint and its PWSCC growth behaviour. J Nucl Mater 601:155308CrossRef
13.
Zurück zum Zitat Zhou Chen, Wang Hongliang, Perry Thomas, Thompson Daniel (2023) Understanding the factors critical to the TIG welding of Cu components in bar wound electric motors. J Manuf Process 100:85–90CrossRef
14.
Zurück zum Zitat Wang HX, Wei YH, Yang CL (2007) Numerical calculation of variable polarity keyhole plasma arc welding process for aluminum alloys based on finite difference method. Comput Mater Sci 40:213–225CrossRef
15.
Zurück zum Zitat Jahn M, Montalvo-Urquizo J (2020) Modeling and simulation of keyhole-based welding as multi-domain problem using the extended finite element method. Appl Math Model 82:731–747. https://doi.org/10.1016/j.apm.2020.01.072MathSciNetCrossRef
16.
Zurück zum Zitat Vanani Behrouz Bagheri, Mehraban Dehaqani Mohammad Reza, Abbasi Mahmoud, Bajestani Mahdi Sadeqi, Mohammadkhah Melika, Klinge Sandra (2025) Effects of PWHT on the microstructure, corrosion, tribology, and mechanical properties of mild steel welds under different joining positions: experimental and numerical study. J Mater Res Technol 38:752–767. https://doi.org/10.1016/j.jmrt.2025.07.253CrossRef
17.
Zurück zum Zitat Zhang Yiqing, Alqahtani Aisha M., Qiu Yunchao, Elsiddieg Awatif M. A., Saidani Taoufik, Alkhathami Ali G. (2025) Finite volume modeling and experimental analysis of keyhole dynamics, temperature field and weld characterizations of Ti-6Al-4V tubes with unequal thickness in fiber laser welding. Opt Laser Technol 192:113778CrossRef
18.
Zurück zum Zitat Maliska CR (2017) Heat transfer and computational fluid mechanics. Grupo gen LTC. LTC, Florianopolis. (in Portuguese).
19.
Zurück zum Zitat MALISKA, Clovis R. (2017) Transferência de calor e mecânica dos fluidos computacional. Florianópolis: Grupo GEN LTC, p 674
20.
Zurück zum Zitat Schneider GE, Zedan M (1983) Control-Volume-Based Finite Element Formulation of the Heat Conduction Equation, in Spacecraft Thermal Control, Design, and Operation, Prog. Astronaut. Aeronaut., vol. 86, pp. 305–327
21.
Zurück zum Zitat BALIGA BR, PATANKAR SV (1983) A control volume Finite-Element method for Two-Dimensional fluid flow and heat transfer. Numer Heat Transf 6:245–261
22.
Zurück zum Zitat ASM Handbook (1993a) Properties and selection: irons, steels and high-performance alloys, 2 edn. American Society of Metal – ASM International, Ohio, p 1
23.
Zurück zum Zitat SILVA ALVDC, MEI PR (2010) Aços e ligas especiais, 3 edn. Ed. São Paulo. Blucher
24.
Zurück zum Zitat ASM HANDBOOK (1992) Metallography and microstructures, vol 9, 5 edn. American Society of Metal – ASM international, Ohio
25.
Zurück zum Zitat Lippold JC, Kotecki DJ (2005) Welding metallurgy and weldability of stainless steels. Wiley, Hoboken
26.
Zurück zum Zitat Cui Miao, Zhang Chunyun, Zhang Bowen, Xu Bingbing, Peng Haifeng, Gao Xiao-wei (2022) Numerical solution of phase change heat transfer problems by effective heat capacity model and element differential method. J Comput Sci 60:101593CrossRef
27.
Zurück zum Zitat Magalhães ES, Azevedo AM (2023) The volumetric thermal capacitor method for nonlinear heat transfer in phase-change materials. Int Commun Heat Mass Transfer 142:106672CrossRef
28.
Zurück zum Zitat Farias RM, Teixeira PRF, Vilarinho LO (2022) Variable profile heat source models for numerical simulations of arc welding processes. Int J Therm Sci 179:107593CrossRef
29.
Zurück zum Zitat PESSOA Dimitry Barbosa, Rocha, José Renê De Sousa.; Pimenta, Paulo Vicente De Cassia, Marcondes F, Motta Marceloferreira (2024) Element-Based finite volume method applied to autogenous bead-on-plate GTAW process using the enthalpy energy equation. Int J Therm Sci 204:109245. https://doi.org/10.1016/j.ijthermalsci.2024.109245CrossRef
30.
Zurück zum Zitat Lindgren L-E (2001) Finite element modeling and simulation of welding part 1: increased complexity. J Therm Stress 24:141–192CrossRef
31.
Zurück zum Zitat Goldak J, Chakravarti A, Bibby M (1984) A new finite element model for welding heat sources. Metall Mater Trans B 15:299–305. https://doi.org/10.1007/BF02667333CrossRef
32.
Zurück zum Zitat Keivanloo A, Naffakh-Moosavy H, Miresmaeili R (2021) The effect of pulsed laser welding on hot cracking susceptible region size and weld pool internal geometry of inconel 718: numerical and experimental approaches. J Manuf Sci Eng 35:787–794
33.
Zurück zum Zitat Lee HT, Chen CT (2010) Numerical and experimental investigation into effect of temperature field on sensitization of alloy 690 butt welds fabricated by gas tungsten arc welding and laser beam welding. J Mater Process Technol 210:1636–1645CrossRef
34.
Zurück zum Zitat Sai CV, Sen SKVB, Rao BPC (2019) Ravisankar. Numerical study on the residual stress distributions in GTA welded dissimilar metal components. Procedia Struct Integr 14:491–498CrossRef
35.
Zurück zum Zitat Ambade S, Kataria R, Tembhurkar C and, Meshram D (2022) Experimental and finite element analysis of temperature distribution in 409 M ferritic stainless by TIG, MIG and SMAW welding processes. Advances in materials and processing technologies
36.
Zurück zum Zitat Marcondes F, Sepehrnoori K (2010) An element-based finite-volume method approach for heterogeneous and anisotropic compositional reservoir simulation. J Petrol Sci Eng 73:99–106CrossRef
37.
Zurück zum Zitat Voller VR (2009) Basic control volume finite element methods for fluids and Solids, Ume 1. World Scientific
38.
Zurück zum Zitat Pimenta PVCL, Rocha JRdeS, Marcondes F (2022) Thermomechanical investigation of the continuous casting of ingots using the element-based finite-volume method. European Journal of Mechanics / A Solids 96:104724MathSciNetCrossRef
39.
Zurück zum Zitat Patankar SV (1980) Numerical Heat Transfer and Fluid Flow: Computational Methods in Mechanics and Thermal Science, vol 1. Hemisphere Publishing Corp
40.
Zurück zum Zitat Pimenta PVDCL (2019) Simulation of the thermal-mechanical continuous casting process using unstructured grids. Ph. D. Dissertation. Graduate Program in Engineering and materials Science. Federal University of Ceará, Fortaleza, 2019
41.
Zurück zum Zitat Pimenta PVDCL, Marcondes F (2019) Two-dimensional rate-independent plasticity using the element-based finite volume method. Journal of the Brazilian Society of Mechanical Sciences and Engineering 41(3):142CrossRef
42.
Zurück zum Zitat Farias RM, Teixeira PRF, Vilarinho LO (2021) An efficient computational approach for heat source optimization in numerical simulations of arc welding processes. J Constr Steel Res 176:106382CrossRef
43.
Zurück zum Zitat SAGAR NIKAM, HAO WU, RYAN HARKIN, JUSTIN QUINN, ROCCO LUPOI, SHUO YIN, SHAUN MCFADDEN (2002) On the application of the anisotropic enhanced thermal conductivity approach to thermal modelling of laser-based powder bed fusion processes. Additive Manuf 55:102870. https://​doi.​org/​10.​106/​j.​addma.​2022.​102870

    Marktübersichten

    Die im Laufe eines Jahres in der „adhäsion“ veröffentlichten Marktübersichten helfen Anwendern verschiedenster Branchen, sich einen gezielten Überblick über Lieferantenangebote zu verschaffen. 

    Bildnachweise
    MKVS GbR/© MKVS GbR, Nordson/© Nordson, ViscoTec/© ViscoTec, BCD Chemie GmbH, Merz+Benteli/© Merz+Benteli, Robatech/© Robatech, Ruderer Klebetechnik GmbH, Xometry Europe GmbH/© Xometry Europe GmbH, Atlas Copco/© Atlas Copco, Sika/© Sika, Medmix/© Medmix, Kisling AG/© Kisling AG, Dosmatix GmbH/© Dosmatix GmbH, Innotech GmbH/© Innotech GmbH, Hilger u. Kern GmbH, VDI Logo/© VDI Wissensforum GmbH, Dr. Fritz Faulhaber GmbH & Co. KG/© Dr. Fritz Faulhaber GmbH & Co. KG, ECHTERHAGE HOLDING GMBH&CO.KG - VSE, mta robotics AG/© mta robotics AG, Bühnen, The MathWorks Deutschland GmbH/© The MathWorks Deutschland GmbH, Spie Rodia/© Spie Rodia, Schenker Hydraulik AG/© Schenker Hydraulik AG