Zum Inhalt

Forecasting risk and return of listed real estate:

A simulation approach with geometric Brownian motion for the German stock market

  • Open Access
  • 22.08.2024
  • Original Paper
Erschienen in:

Aktivieren Sie unsere intelligente Suche, um passende Fachinhalte oder Patente zu finden.

search-config
loading …

Abstract

Der Artikel untersucht die Risiko- und Renditeprognose börsennotierter Immobilien anhand eines Simulationsansatzes mit geometrischer Brownscher Bewegung für den deutschen Aktienmarkt. Sie identifiziert zentrale Risikofaktoren, die Immobilienbestände beeinflussen, und entwickelt ein Prognosemodell, das die nicht normale Verteilung der Erträge berücksichtigt. Die Studie führt außerdem die pseudo-geometrische Brownian Motion (PGBM) -Methode für genauere Vorhersagen ein und bewertet Abwärtsrisikomessgrößen wie Value at Risk (VaR) und Conditional Value at Risk (cVaR). Die Studie zielt darauf ab, ein umfassendes Verständnis der Risiko- und Renditedynamik deutscher Immobilienaktien zu vermitteln und ihr Potenzial als weniger riskante Investition im Vergleich zu Stammaktien hervorzuheben.

Publisher’s Note

Springer Nature remains neutral with regard to jurisdictional claims in published maps and institutional affiliations.

1 Introduction

Forecasting risk and return is a key task for any real estate investor. One way of accomplishing this is to develop a model for the relationship between the return and its most important drivers and to use econometric methods to forecast future returns and risks based on historical data. For stock market investments, there is an abundance of such models and methods, and even for direct real estate investments various procedures have been developed. Real estate stocks constitute a hybrid investment with characteristics of both stocks and real properties. Consequently, a prediction method ought to consider these characteristics, such as the serial correlation of real estate returns. However, many studies use techniques that have proven themselves in stock markets without taking into account the specifics of real estate markets. This can lead to incorrect predictions. There are also techniques that have not yet been applied to real estate shares, for example the geometric Brownian motion (GBM), a stochastic process based on the assumption that prices move randomly but with some drift. This standard method for stock price forecasting (Hull 2017) has some distinct advantages. The goal of this paper is to develop a GBM forecasting method for real estate stock returns and risks that considers the non-normal distribution of returns and other features of real estate stocks.
Accordingly, the research question can be formulated as: How can the standard GBM method be adapted to account for the specifics of real estate investments? In order to answer this question, the first step is to construct a valid model of real estate stock returns and risks and evaluate the risk factors associated with real estate stocks. Fortunately, there is a wealth of literature to draw upon. Most studies use either a multi-factor model (MFM) or an Arbitrage Pricing (Theory) model (APM). A statistical MFM postulates a certain inter-temporal return generating process, whereas an APM evaluates risk premia in absence of arbitrage opportunities or equilibrium (Poncet and Portait 2022, p. 963). The latter is favorable for this paper due to its focus on risks. However, the standard APM relies on the historical variance, which does not correspond to the risk perception of most investors because it covers the complete distribution and not only negative deviations from the expected returns. Investor decisions are furthermore forward looking and based on future expected returns and risks. Therefore, in a second step suitable risk measures for indirect real estate investments have to be identified, such as the downside risk indicator value at risk (VaR). The VaR is usually calculated with the help of a Monte Carlo simulation. For the purpose of this paper, it has to be combined with the GBM model to predict returns and risks, which is the third step. It includes to clarify what the prerequisites for the application of the standard model are and to what extent they correspond to the findings on real estate stock markets. Again, there is already a lot of literature on this topic because the violation of the assumption of normal distribution—to name but one prerequisite for the application of GBM—does not only apply to property stocks. Several ways have been found to deal with this problem, for instance, a kernel density estimation can be used for a better fit of the forecasted distribution with the historical distribution.
The aforementioned steps for answering the research question can be translated into four research objectives:
1.
To identify the most important risk factors of German real estate stocks
 
2.
To build a forecasting model using GBM
 
3.
To forecast German real estate stock returns and to measure downside risks
 
4.
To test the model with out-of-sample data
 
The article is structured as follows: Sect. 2 will review the previous literature and current state of research, Sect. 3 is dedicated to the description of the data and the methodology, Sect. 4 presents the results of the different calculations. Sect. 5 will discuss the findings and the employed methodology. Sect. 6 concludes the paper with thoughts about directions for further research.

2 Literature review

Real estate stocks
Countless research papers have dealt with real estate stocks. Often, they have focused on questions such as “Are real estate stocks real estate investments?” or “What influence do managers have on the performance of real estate stocks?” A major part of this research has looked into the returns and risks of real estate equity, but papers concentrating on the risks (for example Ooi et al. (2009) and Investment Property Forum (2011)) have been rare. Consequently, there is only scattered evidence on matters such as the riskiness of real estate stocks compared with other assets or the composition of real estate stock risk. In recent years the attention of researchers has shifted away from the traditional topics to other areas such as decision-making by executives, Parker (2020) argues. An overview of the current literature and the research objectives pursued is provided, for example, by Parker (2018)—extending the work of Corgel et al. (1995) and Zietz et al. (2003)—and by Okoro and Ayaba (2023). International studies show that real estate investment trusts (REIT) and other forms of real estate stocks have commonalities, but also significant differences across countries (Hoesli and Moreno 2007; Brounen and Koning 2012). Rehkugler (2009a) points out that international comparisons are difficult due to different REIT laws, tax regimes, special effects such as national real estate crises, etc.
Most previous research has focused on REITs in the United States. As the oldest, largest and most diversified market in the world, it represents an excellent basis for quantitative research. But since REITs were first introduced in the USA more than 60 years ago, they have expanded the investment universe in more than 40 countries worldwide (NAREIT 2022). Over the years several country-specific studies on the German real estate stock market and cross-country studies that include German real estate stocks have been published as well. After the pioneering studies by Maurer and others in the late 1990s (Martin and Maurer 1997; Maurer and Sebastian 1999), interest in this subject grew only slowly, but today there is a considerable amount of research available. At first it was predominantly German researchers who examined the German real estate stock market (e.g., Hübner et al. (2004), Rehkugler (2009b), Schindler (2011)), later it also caught the attention of foreign authors (Newell and Marzuki 2018; Szumilo et al. 2018).
Stock market forecasting
The approaches to forecasting stock prices, returns, risks and other figures can be roughly categorized into technical analysis, fundamental analysis, risk-return models and model-free approaches (for an overview, see textbooks such as Bodie et al. (2024) and Elton et al. (2017)). This paper employs the Arbitrage Pricing Theory (APT), developed by Ross (1976). It is a frequently used capital market model, based on the well-established assumption that the expected return of a security is a function of a set of systematic risk factors, i.e., the return is sensitive to factors that are common to all securities. One alternative would have been to use a MFM, such as the classical Fama-French three-factor model (Fama and French 1993) or one of its many successors with more factors. Both APM and MFM have their merits and both have been used for studies on the risk-return characteristics of real estate stocks, for instance MFM by Schulte et al. (2011) and Su and Taltavull (2021) and APM by Chan et al. (1990) and Kola and Kodongo (2017). The decision for a certain capital market model mainly depends on the purpose of the study (Poncet and Portait 2022). In the case of this paper the use of APM is justified because it better serves the examination of the risks of real estate stocks, which is the main intention of the authors.
All of the above mentioned approaches make use of econometric techniques such as regression analysis or machine learning techniques such as artificial neural networks (see overview articles such as Charpentier et al. (2019), Atsalakis and Valavanis (2009), Atsalakis and Valavanis (2013), Gandhmal and Kumar (2019) Preethi and Santhi (2012)). GBM is an econometric technique. Originally developed for predicting the movements of particles, it has been found useful to predict stock prices and other time series variables. The underlying assumption is that the prices follow a certain path, but that the changes are random, i.e., they form a stochastic process. GBM has been used in connection with real estate stocks (e.g., by Cheng et al. 2008; Lin and Liu 2008), but to the best of our knowledge never for forecasting.
Factors
A central topic in stock market research has been the identification of the most influential asset pricing factors. Since the influential early works of Chen et al. (1986) and Fama and French (1993) hundreds of candidates have been tested for stocks in general, both economic factors such as industry production and firm-specific factors such as company size (for a review of the literature on this “factor zoo”, see Feng et al. (2020) and Lee (2014)). For real estate stocks, obvious candidates are interest rates, the general stock market, the real estate market and inflation (Ling and Naranjo 2008).
A lot of work has been published on the interest rate sensitivity. Multiple intuitive reasons support the link between interest rate movements and real estate stock returns, for instance the high leverage of many real estate firms, which makes them vulnerable to interest rate increases. Among others, Allen et al. (2000) found that REIT returns are sensitive to interest rate changes. Other studies have generally confirmed this finding and added further insights, for instance on the type of REITs that are most sensitive and the structural shifts that have occurred in the past (Swanson et al. 2002; He et al. 2003; Liow et al. 2011; Zhu 2018). Despite the strong evidence, it seems impossible to predict how real estate stocks will react to movements in interest rates (Giliberto and Shulman 2017).
Intuitively, securitized real estate returns should be related to both common stock returns and unsecuritized real estate returns because they are partly influenced by the same macroeconomic factors as the stock market and the real estate market. In fact, REITs and other real estate stocks are often categorized as a hybrid of stocks and direct real estate investments. The question whether they behave more like the former or the latter has often been asked—and answered differently, as Hoesli and Oikarinen (2021) explain in the latest piece of work on this subject.
Finally, listed real estate returns should also be sensitive to inflation as real estate prices and rents are closely linked to consumer prices. Real estate stock investments are widely recognized as an inflation hedge, although the empirical evidence for this assertion is mixed (Martin and Maurer 1997; Liu et al. 1997; Maurer and Sebastian 2002; Westerheide 2006; Obereiner and Kurzrock 2012; Lee and Lee 2014; Muckenhaupt et al. 2023).
Risk and return measures
Measuring stock returns is fairly straightforward and usually follows the same pattern: The return of a particular stock is calculated by dividing the share price change over a given period (adjusted for dividends and stock splits) by the beginning share price times 100. The return of a stock price index is simply the index change over a given period as a percentage of the beginning index value. There are some variations to these basic forms, for example the use of logarithmic returns or the adjustment for different factors such as gearing.
Measuring stock risks is much more complex and can be done in different ways. Most studies rely on the volatility to measure risk. However, past research has shown that volatility is a problematic risk measure for a number of reasons. From a theoretical viewpoint, volatility is not a coherent risk measure, i.e., it does not satisfy all the conditions for appropriate risk measures that Artzner et al. (1999) and other authors have established. Moreover, volatility does not correspond to the common understanding of risk as a negative outcome because it captures the upside as well as the downside. From an empirical viewpoint, the main objection to volatility is the non-normal distribution of stock returns, which has been found in many studies, covering many periods and countries, and both real estate stocks and stocks in general (Seiler et al. 1999; Lizieri and Ward 2000; Liow and Sim 2006; Schindler et al. 2010; Borowski 2018). Volatility does not account for the skewness, kurtosis and fat tails of listed real estate return distributions and, thus, it tends to underestimate the risk. Finally, volatility is not an appropriate measure for loss-averse investors. The concept of loss aversion was introduced by Kahneman and Tversky (1979) and states that gains and losses are perceived differently, which makes it necessary to use other risk measures (Geboers et al. 2023).
Fortunately, there are many other risk indicators available that are better suited to express the risk of real estate stocks (see Lausberg et al. (2020) and GIF (2021) for an overview and a classification). Especially downside risk indicators have been used by several researchers (Maurer and Reiner 2002; Hübner et al. 2004; Liow 2008; Giannotti and Mattarocci 2013). This study uses the value at risk (VaR) and the conditional value at risk (cVaR). “The value at risk is the loss that will not be exceeded over a given time and with a given probability. […] The specific advantage is that VaR is an easily understandable downside risk measure expressed in monetary units.” (GIF 2021, p. 42) “Conditional value at risk is the average expected loss under the condition that the value at risk is exceeded. Like VaR, it is a measure of the downside risk, but it also considers the loss amount and not just its probability. CVaR is especially suited to measuring extreme risks, i.e., risks that have a very low probability of occurrence but which then cause a high level of losses.” (GIF 2021, p. 23).
The calculation of VaR and cVaR entails the estimation of the (future) distribution of returns. This can be done with parametric, semiparametric and nonparametric methods (Manganelli and Engle 2001). Researchers have evaluated various methods in the context of real estate asset pricing, but so far there is no consensus as to which method is preferable in which situation (see, for example, Lu et al. (2009), Zhou (2012) and Lu et al. (2013)).
To briefly summarize the literature review: After decades of research there is a large body of knowledge on real estate equities, but there are still many questions unanswered, especially with regard to the German market.

3 Methodology and data

3.1 Methodology

To achieve the research objectives of this paper, four hypotheses are tested:
1.
The risk of real estate stocks can largely be explained by changes in interest rates, the general stock market, the economy, the real estate market and inflation.
 
2.
Real estate stock returns are not normally distributed.
 
3.
The GBM is generally suitable for forecasting real estate stock prices.
 
4.
Real estate stocks are less risky than common stocks when downside risk measures are applied.
 
Sensitivity analysis
The APM expresses the returns Ri of asset \(i=1,2,3,\ldots ,n\) using a linear k-factor model:
$$R_{i,t}=E(R_{i,t})+b_{i1}F_{1,t}+b_{i2}F_{2,t}+\ldots +b_{ik}F_{k,t}+\ \in _{i,t}$$
(1)
where E(Ri,t) denotes the expected return of the asset, bik denotes the securities-specific coefficients that measure the sensitivity of the return to each factor Fk,t and \(\in _{i,t}\) is an error term that represents the securities-specific, unsystematic risk. The factors Fk have generally zero expectation \(E(F_{k})=0\) and are uncorrelated with their past. In other words, the actual return of any asset is expressed as the asset’s expected return plus the asset’s sensitivity to numerous unexpected micro- and macroeconomic systematic risk factors as well as its remaining unsystematic risk. Under the assumption of freedom from arbitrage and a perfect capital market, every risk factor Fk can be assigned a risk premium λk so that the intercept and expected return on the security can be expressed as follows:
$$E(R_{i,t})=R_{f}+{\lambda _{1}}b_{i1}+{\lambda _{2}}b_{i2}+\ldots +\lambda _{k}b_{ik}$$
(2)
where Rf denotes the risk-free rate (Ross 1976).
The great difficulty of the Arbitrage Pricing Theory lies in identifying the relevant risk factors that affect the return of the security, which is crucial for economic interpretability. Given the abundance of literature on the subject, it can be assumed that the most important factors have already been identified. As described in Sect. 2, these are the general stock market, interest rates, inflation, the real estate market and the state of the economy. Consequently, this paper uses a five-factor APM to test the sensitivities to these factors in order to explain listed real estate (LRE) returns in Germany. In this model, the real estate stock return RLRE, t is specified as the following linear function:
$$R_{\mathrm{LRE},t}=E(R_{\mathrm{LRE},t})+b_{1}R_{\text{STOCK},t}+b_{2}R_{\mathrm{BOND},t}+b_{3}R_{\mathrm{CPI},t}+b_{4}R_{\mathrm{REM},t+x}+b_{5}R_{\mathrm{GDP},t+x}+\in _{t}$$
(3)
with
\(F_{1,t}=R_{\text{STOCK},t}\) =
stock market risk factor (applied proxy Composite Deutscher Aktienindex (CDAX)) in period t,
\(F_{2,t}=R_{\mathrm{BOND},t}\) =
bond market risk factor (applied proxy Deutscher Rentenindex Performanceindex (REX)) in period t,
\({F_{3,t}}=R_{\mathrm{CPI},t}\) =
inflation risk factor (applied proxy Consumer Price Index (CPI)) in period t,
\({F_{4,t}}=R_{\mathrm{REM},t+x}\) =
real estate market risk factor (applied proxy German Property Index (GPI)) in period t+x,
\({F_{5,t}}=R_{\mathrm{GDP},t+x}\) =
economic risk factor (applied proxy gross domestic product (GDP) growth) in period t+x.
For details on the applied proxies please refer to Appendix B.
This paper uses log-returns for all data proxies. The risk factors REM and GDP are furthermore lagged by x years (or a fraction thereof) to increase their correlation properties with listed real estate returns. This paper will also make use of orthogonalized risk factors to anticipate collinearity and ensure that the factors are in fact independent from each other. For details, please refer to Appendix A.
Subsequently, the coefficient of determination R2 will be decomposed into its individual factors to measure the relative importance of each factor in explaining listed real estate returns by quantifying the contribution of each regressor to the explainable variance of the APT model. To achieve this, the paper will apply the proportional marginal variance decomposition (PMVD) method suggested by Feldman (2005). The PMVD metric can be interpreted as a weighted average over orderings among regressors with data-dependent weights accounting for correlation among regressors. Relative importance as defined by Johnson and Lebreton (2004, p. 240) considers “the proportionate contribution each predictor makes to R2, considering both its direct effect (i.e., its correlation with the criterion) and its effect when combined with the other variables in the regression equation”. For decomposing R2, the PMVD method is one of the metrics that comes closest to the aforementioned definition of relative importance (Grömping 2006).
Forecasting model
Applying GBM means that stock prices
  • are continuous in time and value,
  • follow a Markov process, i.e., only the current stock price is relevant for predicting future prices,
  • have nearly normally distributed prices and returns (Sengupta 2004, p. 287).
These assumptions do not hold in reality. That does not render this method useless, but it needs to be adapted. In the past GBM models have been altered to account for non-normally distributed returns, mean reversion, periods of different stability and stock market jumps, to name but a few modifications (Reddy and Clinton 2016; Dhesi et al. 2016; Sinha 2021). Of these effects, the non-normal distribution is the one for which there seems to be the strongest empirical evidence. Therefore, the authors chose an approach, which corresponds to this observation. It was termed “pseudo-geometric Brownian motion” (PGBM) by its creator, the Austrian financial analyst Markus P. Auer. PGBM samples the random walks from past empirical returns using a kernel density estimation to better match the density function and achieve higher accuracy in the return predictions (Auer 2016). The main assumption here is that the future distribution as a whole—and not the volatility—resembles the one in the past. As the true distribution of the returns is unknown, applying a non-parametric kernel estimator of the distribution can efficiently reduce the inaccuracy in comparison to an inappropriate parametric distribution (Bowman and Azzalini 1997, Rong and Trück 2010). The PGBM approach is therefore expected to render better results than a generic GBM model.
Expressed in a more formal way, the GBM is a stochastic process that satisfies the following differential equation (Hull 2017):
$$dS_{t}=\mu S_{t}dt+\sigma S_{t}dW_{t}$$
(4)
$$\text{with}\,W_{t}=\varepsilon\cdot \sqrt{t}$$
Equation 4 describes that a process St, in this case the price of an asset over time, can be decomposed into a certain component (drift) and an uncertain component (random walk). The first component represents the expected rate of return μ of an asset over a short period of time t. The second component σ is the expected volatility of the asset and Wt represents the random walk process where the volatility magnifies as the period of time increases. ε is a random number drawn from a standard normal distribution.
Like the GBM function, the PGBM also applies the expected rate of return μ of an asset over a short period of time t as the certain component (drift). In contrast to the GBM, the PGBM applies the volatility of an asset in combination with a normally distributed randomly drawn number ε to model the uncertain component of the forecasting model. More specifically it samples random innovations (random walk), i.e., a randomly drawn number δ, using the probability of the estimated kernel density function \(\hat{\varphi }\) of the historically observed empirical monthly returns s. Hereby, it accounts for the non-normality of stock returns. Therefore, the asset price prediction is expected to produce results that are closer to what has been observed in the past without fully replicating it, assuming that future asset prices will show a similar distribution as in the past (Auer 2016).
Formally this can be expressed as:
$$dS_{t}=\mu S_{t}dt+S_{t}dP_{t}$$
(5)
$$\text{with}\,P_{t}=\delta t\,\mathrm{and}\,\delta \sim \hat{\varphi }\left(s\right)$$
$$\textit{where}\,\hat{\varphi }\left(s\right)=\frac{1}{n}{\sum }_{i=1}^{n}K_{h}\left(s-s_{i}\right)=\frac{1}{nh}{\sum }_{i=1}^{n}K\left(\frac{s-s_{i}}{h}\right),$$
where K is the kernel—a non-negative function—and h > 0 is a smoothing parameter called the bandwidth (Auer 2016; Härdle et al. 2004).
Compared with the APM (Eq. 1), the price of an asset in the GBM model is also deducted from the expected asset price plus an uncertainty component. However, in the APM this uncertainty component is described as the asset’s sensitivity to multiple risk factors plus an unobservable (disturbance) term that represents the unsystematic risk.
Risk measures
The VaR is the quantile of the loss function for asset i. It indicates the amount of loss that will not be exceeded within a given period of time and with a given probability. It is defined as
$${\mathrm{VaR}}_{1-p}^{T}(X)=-Q_{p}(X)$$
(6)
where
\(T=\)
predefined time period, e.g., 1 year,
\(p=\)
given probability, e.g., 1%,
\(1-p=\)
confidence level, e.g., 99%,
\(-Q_{p}(X)=\)
negative quantile of the distribution of X, e.g., of future returns (GIF 2021).
The cVaR represents the expected value of the realizations of a risky quantity that are below the quantile to the confidence level \(\alpha =1-p\). It can be written as
$$c{\mathrm{VaR}}_{1-p}^{T}\left(X\right)=-E\left(X\right)$$
(7)
$$forX< -{\mathrm{VaR}}_{1-p}^{T}(X)$$
where
\(T=\)
predefined time period, e.g., 1 year,
\(p=\)
given probability, e.g., 1%,
\(1-p=\)
confidence level, e.g., 99%,
\(VaR(X)=\)
where X represents future returns,
\(-E\left(X\right)=\)
the expected value of X which is below the VaR (GIF 2021).
The cVaR thus corresponds to the average loss in a loss event. In other words, while the VaR represents the maximum loss that will not be exceeded with a probability of safety of α, the cVaR implies the average loss outside the safety level. For example, if a stock is priced at € 150 and has a 99% VaR of € 100 corresponding to a loss of € −50 (−33.33%) and a cVaR of € 80 corresponding to a loss of € −70 (= −46.66%), then the VaR can be interpreted as the average size of a 100-year loss (i.e., on average a loss of more than € 50 occurs only once in 100 years) and the cVaR is the average loss in all cases that occur more rarely than once every 100 years (Hull 2017). This means that the cVaR is always higher than the VaR.
The VaR and the cVaR of an asset or portfolio are usually determined with a Monte Carlo simulation. At first the VaR is calculated. In all cases in which the period loss is greater than the VaR, the cVaR represents the mean loss amount. Formally, a conditional expected value is formed for this purpose. To calculate the cVaR, the VaR and the mean conditional excess are added (Hull 2017).
In this paper a Monte Carlo simulation is performed for a prediction time interval of T = 10 years to replicate the predicted listed real estate returns. Hereby, 10,000 random outcomes are sampled as a way of understanding the nature and risk properties of the stock returns from the perspective of an investor with a ten-year investment horizon. The same procedure is performed for bonds and stocks to compare the downside risk of the three investment opportunities.

3.2 Data

The German indirect real estate investment landscape mainly comprises of open-ended property funds, closed-end property funds and real estate stock companies (see Just and Maennig (2012) and Schäfers and Schulte (2012) for an overview). REITs do not play a major role in Germany; there are currently only four of them. The German real estate stock market is covered by the DIMAX index (Deutscher Immobilienaktienindex), published by the bank Ellwanger & Geiger. The index currently contains 56 stocks and has a total market capitalization of approx. € 82 billion (as of 31 March 2022).
As is generally known, German reunification in 1990 led to serious upheavals, which are reflected, among other things, in structural breaks in many time series. This restricts the analysis to the period from 1991 to 2019. The data was gathered from multiple sources as outlined in Appendix B. All chosen proxies are available on a monthly basis for the whole period—except for the GPI, the proxy for the direct real estate market, which is computed annually since 1995. Therefore, all monthly data was transformed to year-end figures in order to match the data frequency of the GPI. Although this significantly downsizes the sample size the model is nonetheless still expected to render valid results. It would have been interesting to apply the APM to multiple sub-periods to investigate certain time trends such as real estate cycles. However, the sample comprises of only 25 observations, and dividing this further into sub-periods would produce findings of questionable validity.
For the risk sensitivity calculation, a cross-correlation analysis showed that the cumulative cross-correlations of the risk factors \(R_{\mathrm{REM},t+x}\) and \(R_{\mathrm{GDP},t+x}\) are highest at x=1. Therefore, a one-year (four-quarter) lag was chosen for the model. Hence, both time-series are applied from 1995–2019, the rest of the series from 1994–2018.
Tables 1 and 2 depict the descriptive statistics for the annual data applied for the APM and the monthly data applied for the alternative risk measures respectively. They will be discussed in Sect. 4.
Table 1
Descriptive statistics for annual data, 1991–2019 (REM: 1995–2019)
Variable
Obs
Mean
(%)
Std. dev
(%)
Var. coeff
(%)
Min
(%)
Max
(%)
Kurt
Skew
LRE return
25
5.6
26.5
469.3
−68.7
44.8
1.2
−0.9
STOCK return
25
6.0
23.7
391.5
−55.5
34.2
1.4
−1.3
BOND return
25
4.6
4.3
93.9
−2.6
15.4
0.3
0.4
CPI change
25
1.5
0.7
46.1
0.2
3.1
0.9
0.1
REM return
25
8.6
4.5
52.6
0.0
17.3
−0.8
−0.1
GDP change
25
1.4
1.9
141.1
−5.9
4.1
7.6
−2.1
Risk-free rate
25
3.5
2.1
59.7
0.2
7.8
−0.7
−0.1
Note: Obs. observations, Std. dev. standard deviation, Var. coeff. variation coefficient, Min. minimum, Max. maximum, Kurt. kurtosis, Skew. Skewness, LRE listed real estate index, STOCK stock market index, BOND bond market index, CPI consumer price index, REM real estate market index, GDP gross domestic product
Table 2
Descriptive statistics for monthly data, 1991–2019
Variable
Obs
Mean
(%)
Std. Dev
(%)
Var. coeff
(%)
Min
(%)
Max
(%)
Kurt
Skew
LRE return
348
0.5
4.6
979.7
−35.3
17.6
11.3
−1.3
STOCK return
348
0.6
5.5
915.4
−27.2
18.2
3.0
−0.9
BOND return
348
0.4
0.9
209.1
−2.0
3.0
−0.2
0.0
Note: Obs. observations, Std. dev. standard deviation, Var. coeff. variation coefficient, Min. minimum, Max. maximum, Kurt. kurtosis, Skew. Skewness, LRE listed real estate index, STOCK stock market index, BOND bond market index

4 Estimation and results

4.1 Sensitivity analysis

In this section, the estimation results of the APM are outlined. First, the cross-correlation properties of all included variables are illustrated in Table 3. There is a moderate negative correlation of both listed (LRE) and unlisted (REM) real estate returns with bonds, which is in line with previous research (see, for instance, Giliberto and Shulman (2017)) and with current market observations. Between 2007 and 2019 the spread between prime office net yields and 10-year German government bonds yields has increased from 39 to 306 bps (PMA 2020). During the period of low interest rates real estate investments have remained comparatively attractive despite a significant yield compression in the direct real estate market. Due to its moderate negative correlation, real estate stocks and more so direct real estate investments in Germany can possibly serve as a hedge against interest rate fluctuations, slightly better than common stocks.
Table 3
Cross-correlation properties, 1991–2019 (REM: 1995–2019)
 
LRE
STOCK
BOND
CPI
REM
GDP
LRE
1
0.665
−0.343
−0.390
0.343
0.724
STOCK
0.665
1
−0.333
0.039
0.132
0.753
BOND
−0.343
−0.333
1
−0.145
−0.508
−0.389
CPI
−0.390
0.039
−0.145
1
−0.225
−0.093
REM
0.343
0.132
−0.508
−0.225
1
0.236
GDP
0.724
0.753
−0.389
−0.093
0.236
1
Note: LRE listed real estate index, STOCK stock market index, BOND bond market index, CPI consumer price index, REM real estate market index, GDP gross domestic product
On the other hand, the positive correlation with common stocks indicates that real estate stocks are a potential substitute for common stocks, as other studies have shown before. That is not the case for direct real estate, which has a rather small positive correlation with securitized real estate. Furthermore, the data indicates that LRE is negatively correlated with consumer prices and positively correlated with GDP, which is in line with parts of the literature.
Table 4 displays the results of the OLS estimation of the APM as stated in Eq. 3 before and after the orthogonalization process. The highly significant F‑statistic suggests that the five risk factors were well chosen. It was also tested if omitting some variables would result in a similarly high adjusted R2, which was not the case. The conditions and assumptions of an OLS estimation were also tested and confirmed for this data which makes this estimation viable. The results are displayed in Appendix C.
Table 4
OLS estimation before orthogonalization (left) and after orthogonalization (right)
  
Dependent variable:
  
Dependent variable:
  
LRE
  
LRE
STOCK
0.412*
STOCKortho
1.773***
(0.215)
(0.332)
BOND
−0.578
BONDortho
−3.623**
(1.006)
(1.314)
CPI
−14.500**
CPIortho
−18.690***
(5.408)
(5.953)
REM
0.469
REMortho
3.095**
(0.902)
(1.121)
GDP
4.880*
GDPortho
25.271***
(2.715)
(4.341)
Constant
0.161
Constant
0.056*
(0.167)
(0.032)
Observations
25
Observations
25
R2
0.706
R2
0.706
Adjusted R2
0.629
Adjusted R2
0.629
Residual Std. Error
0.161 (df = 19)
Residual Std. Error
0.161 (df = 19)
F Statistic
9.137*** (df = 5; 19)
F Statistic
9.137*** (df = 5; 19)
Note: *p<0.1; **p<0.05; ***p<0.01
LRE listed real estate index, STOCK stock market index, BOND bond market index, CPI consumer price index, REM real estate market index, GDP gross domestic product
Recalling Eq. 3, the constant denotes the expected (mean) asset return which is equal to the mean return of 5.64% that was shown in Table 1. It is significant at the 90% confidence level and, thus, influences the realized listed real estate returns. In other words, real estate stock returns are not solely influenced by macroeconomic risk factors, but also by the return expectation of the investors.
To better compare the magnitude of the risk sensitivities, a z-standardized regression result is displayed in Table 5. By autoscaling all variables, the z‑transformed values become comparable as the sample values are no longer measured in the original units but in multiples of the standard deviation. The results suggest that changes in the overall stock market and the overall economy have the highest impact on the return of German real estate stocks.
Table 5
Z‑standardized OLS estimation of Eq. 3
  
Dependent variable:
  
zLRE
zSTOCKortho
1.026***
(0.192)
zBONDortho
−0.448**
(0.162)
zREMortho
0.426**
(0.154)
zCPIortho
−0.430***
(0.137)
zGDPortho
1.1577***
(0.199)
Constant
−0.000
(0.122)
Observations
25
R2
0.706
Adjusted R2
0.629
Residual Std. Error
0.609 (df = 19)
F Statistic
9.137*** (df = 5; 19)
Note: *p<0.1; **p<0.05; ***p<0.01
LRE listed real estate index, STOCK stock market index, BOND bond market index, CPI consumer price index, REM real estate market index, GDP gross domestic product
The decomposition of the R2 in Table 6 compliments this finding. Hereby, the impact, i.e., the relative importance, of each regressor is calculated on the proportion of the variance for listed real estate that is explainable by the orthogonalized APT model. With the PMVD method 22.0% of the total variance could be attributed to GDP changes, 21.5% to the stock market, 13.8% to inflation, 7.1% to the bond market and only 6.3% to the real estate market. The remainder of 29.4% (1-R2) could not be explained. The results and implications are discussed in more detail in Sect. 5, but it is clear that the estimation shows strong results with a R2 >0.7 by common financial data interpretation standards.
Table 6
Proportional marginal variance decomposition of the five APM factors
Variable
STOCK
BOND
CPI
REM
GDP
PMVD
0.2145
0.0709
0.1375
0.0630
0.2204
Note: PMVD proportional marginal variance decomposition, STOCK stock market index, BOND bond market index, CPI consumer price index, REM real estate market index, GDP gross domestic product

4.2 Forecasting model and alternative risk measures

One justification for using other risk measures than the variance is the non-normal distribution of returns. Therefore, this section will first test the second hypothesis (“Real estate stock returns are not normally distributed.”) before applying alternative risk measures. It makes use of the full data set available at monthly frequencies for the years 1991–2019 comprising 348 observations to generate more precise results. Figure 1 displays the realized monthly LRE returns (in black). The financial crisis of 2008/2009 immediately catches the eye with extraordinarily high volatility in the adjoining years. The highest loss during the analyzed time period occurred in October 2008, when the index lost 35% in one month. Real estate stocks and common stocks (blue) follow similar return paths and are almost equally volatile (see descriptive statistics in Table 2). Bond returns (red) on the other hand have a different pattern and are much less volatile.
Fig. 1
Comparison of monthly returns. Note: LRE listed real estate index, STOCK stock market index, BOND bond market index
Bild vergrößern
Figure 2 compares the monthly index developments in the form of one hundred imaginative Euros invested in 1991 (acknowledging the introduction of the Euro in 2002 and inflation). An investment in the common stock index would have been the best choice for a profit-maximizing investor and an investment in the bond index for an extremely risk-averse investor. For every risk-averse investor between these extremes, a portfolio optimization would have to show the optimal capital allocation. But even without such an exercise it can be assumed that an investment in the listed real estate index would only have made a marginal contribution to any optimal portfolio given the high variation coefficient of the listed real estate index (see Table 1) and the high correlation with the stock market (see Table 3).
Fig. 2
Value of 1 € invested in 1991. Note: LRE listed real estate index, STOCK stock market index, BOND bond market index
Bild vergrößern
This may not be the case for the more realistic case of a risk- and loss-averse investor. This paper will subsequently rely on geometric Brownian motion and Monte Carlo Simulation to simulate future asset price developments and calculate risk. As previously discussed, the GBM process has two restrictive conditions as it requires (a) normally distributed and (b) independent random impulses to the drift.
To test the normality of the data sample distribution, Fig. 3 illustrates the historic return distribution of listed real estate. In this figure, a normal distribution curve is added with the same mean and standard deviation as the empirical distribution. Comparing these two distributions, this figure suggests that listed real estate returns in Germany are skewed and leptokurtic and also show some heavy tails. Complementing the measures of skewness of −1.3 and of kurtosis of 11.3, a two-sample Kolmogorov-Smirnov test is performed which results in a test statistic of 0.13218 (p-value 0.004574) with the null hypothesis that the two samples (LRE and normal distribution curve) are drawn from the same underlying distribution. The null hypothesis can be rejected at the 99% confidence level. It is therefore safe to assume that the distributions are not the same. A Jarque-Bera normality test for listed real estate supports this finding as the null hypothesis of normality can be rejected at the 99.9% confidence level. Hence, this paper finds listed real estate returns to be not normally distributed, which confirms the second hypothesis and is in line with the findings from many other studies mentioned in Sect. 2.
Fig. 3
Smoothed distribution of historical LRE returns and normal distribution function. Note: LRE listed real estate
Bild vergrößern
Hypothesis 3 states that “the GBM is generally suitable for forecasting real estate stock prices”. The suitability of this technique—or rather the variant PGBM used in this paper—cannot be measured directly. Instead, both the GBM and PGBM function are applied to the empirical data sample of real estate stock returns and the fitness of the estimation methods is tested with a two-sample Kolmogorov-Smirnov test. To test the hypothesis, it can be rephrased as “The empirical return distribution of LRE differs significantly from the PGBM return distribution”.
To do so, only one price path is simulated using both functions from the last price in the series as a starting value. This allows to calculate respective returns from the simulated series. Figure 4 depicts the achieved estimated return distributions and compares them to the estimated empirical return distribution.
Fig. 4
Comparison of achieved densities. Note: PGBM pseudo-geometric Brownian motion, GBM geometric Brownian motion
Bild vergrößern
This figure shows that the PGBM return density matches the empirical density function much better than the GBM return density, which resembles a normal distribution. A two-sample Kolmogorov-Smirnov test confirms this: When comparing the empirical return distribution with the PGBM return distribution, a test statistic of 0.048851 (p-value 0.8021) is achieved and the null hypothesis that the distributions are the same must not be rejected. Comparing the empirical return distribution with the GBM return distribution results in a test statistic of 0.13672 (p-value 0.003049) and therefore the null hypothesis must be rejected at a 99% confidence level. Hence, the PGBM is much more precise in replicating past real estate stock returns. As it is arguably fair to assume that real estate stock returns will remain non-normally distributed, the PGBM function should also render better results for the simulations of future returns.
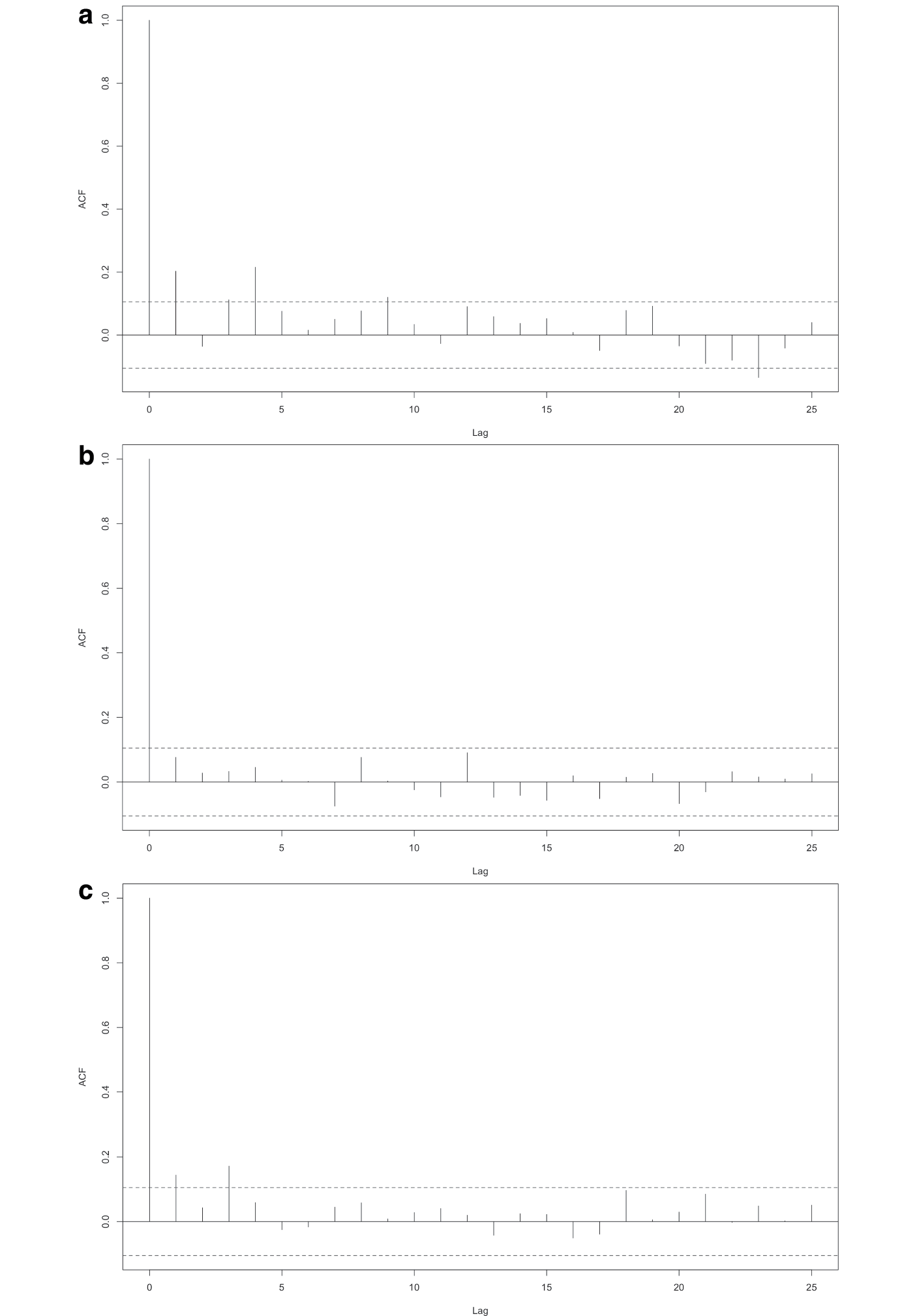
Now that the forecasting technique is accepted, hypothesis 4 (“Real estate stocks are less risky than common stocks when downside risk measures are applied.”) can be tested. It can be reformulated as “VaRLRE<VaRSTOCK and cVaRLRE<cVaRSTOCK”. As mentioned above these risk indicators are calculated on the basis of a Monte Carlo simulation of future returns. For each index, a simulation with 10,000 iterations is applied. Figure 5 depicts the cumulative return distributions over a ten-year investment horizon. The visual impression is that the BOND returns unsurprisingly demonstrate lower downside risk than LRE and STOCK returns. A graphical analysis of the autocorrelation function for all three return data samples concluded no autocorrelation in the data, which is the second strict prerequisite for applying PGBM (for details see appendix 4).
Fig. 5
Comparison of future simulated return distributions. Note: LRE listed real estate index, STOCK stock market index, BOND bond market index
Bild vergrößern
The next three graphs, summarized under Fig. 6, reveal the results of the Monte Carlo simulations in more detail. These highly cluttered graphs show each of the 10,000 price paths for stocks, real estate stocks and bonds starting from their end-of-year value in 2019 for the next ten years. The 95th percentile is indicated in green, median in blue and 5th percentile in red to illustrate the bandwidth in which the majority of the observations fall. The optical impression is that BOND has an extremely low downside risk and small bandwidth compared to LRE and STOCK. The latter differ greatly on the upside, whereas differences on the downside are not easily identifiable.
Fig. 6
Monte Carlo simulations of future asset price development. Note: LRE listed real estate index, STOCK stock market index, BOND bond market index
Bild vergrößern
Figure 7 shows the realized values for each data point in the case of LRE. The red line indicates the 95%-VaR, i.e., the amount of loss that will not be exceeded with this probability. It amounts to an asset price of 550.40 € in 2029 which is a loss of 39.3% after 10 years. The orange line displays the cVaR, the average maximum loss of the 5% worst cases, starting from 2020 as this is the first cVaR value that can be computed from the empirical time series until 2019. The 10-year cVaR corresponds to an asset price of 435.46 €, which represents a loss of 52.0%.
Fig. 7
Simulated future 95%-VaR and cVaR expected for each year for LRE prices. Note: VaR value at risk, cVaR conditional value at risk
Bild vergrößern
To better compare the three assets, the next two figures display the development of a 100 € investment in 2019 over ten years; Fig. 8 shows the VaR and the cVaR, Fig. 9 shows the expected mean. Here, it becomes obvious that common stocks have a higher downside risk than real estate stocks. The VaR of common stocks represents a loss of 42.6%, which is 3.3%-points higher than for real estate stocks. Moreover, the cVaR for common stocks is 3.7%-points higher than for real estate stocks. Bonds in contrast have a positive VaR and cVaR. This means that—according to the model—bonds have no expected downside risk at the 95% confidence level in a ten-year investment period, which is a rather unlikely result and is subject to discussion in Sect. 5.
Fig. 8
Comparison of simulated future expected 95%-VaR and cVaR of 100 € investment in 2019. Note: LRE listed real estate index, STOCK stock market index, BOND bond market index; VaR value at risk, cVaR conditional value at risk
Bild vergrößern
Fig. 9
Development of actual LRE in 2020 compared with simulated mean, 95%-VaR and cVaR. Note: LRE listed real estate; VaR value at risk, cVaR conditional value at risk
Bild vergrößern
There is no significance test available for the comparison of the risk measure results for the two assets. Consequently, the null hypothesis that STOCK is equally risky as or less risky than LRE cannot be rejected with any certainty. However, we use an out-of-sample validation to test our hypothesis, which is the purpose of the remainder of this section.
For this purpose, the LRE and STOCK levels from January 2020 to March 2022 are used. Accidentally, with the Covid-19 pandemic and Russia’s war in the Ukraine this period covers two extreme events. This should be a good test for downside risk measures. Prior research focused on the U.S. has found REITs to demonstrate more extreme downside risk during and after the global financial crisis (Stelk et al. 2017). This is not surprising considering that the crisis originated from the housing market. The situation in the early 2020s in Germany was different as the origin was not connected with the real estate market. It is disputable whether the pandemic and the war classify as black-swan events, but in any case, it can be considered as an extreme event with grave consequences for the real estate industry, for example falling demand for office space and rising demand for housing.
Figures 9 and 10 illustrate the development of the actual LRE and STOCK indices (2019 = 100) compared with the simulated expected mean, 95%-VaR and cVaR for the first half year of 2020.
Fig. 10
Development of actual STOCK in 2020 compared with simulated mean, 95%-VaR and cVaR. Note: STOCK stock market; VaR value at risk, cVaR conditional value at risk
Bild vergrößern
It seems like the PGBM function computed plausible estimations for the VaR and cVaR for the first half year. Empirically, the LRE low point of March 2020, exceeding the VaR for the first time, is almost exactly equal to the estimated expected shortfall for that month. In case of the STOCK, the actual index negatively outperforms the predicted expected shortfall in March. Both indices fell short of the expected mean asset price over the first seven months of 2020. Overall, however, the LRE experienced again a lower loss of 19.04% in March after three months and even recovered to a total profit of +0.27% after seven months. In comparison, the STOCK lost up to 25.16% after three months by March and was still down 7.04% after seven months compared to end of 2019. This is another evidence of a lower downside risk of German real estate stocks compared with common stocks.

5 Discussion

This section will further discuss the chosen methodology and the empirical results of this paper by evaluating the four research hypotheses:
(1) The risk of real estate stocks can largely be explained by changes in interest rates, the general stock market, the economy, the real estate market and inflation
According to Table 5 and 6 idiosyncratic risk factors have the highest explanatory value in the five-factor model (although all systematic factors combined have the larger explanatory power). This is not surprising, as the German real estate stock companies are very diverse in terms of their business model, size, leverage, profitability, free-float etc. The LRE proxy DIMAX includes everything from huge housing companies with very stable income streams to small and highly leveraged commercial property developers. The lack of transparency of real estate stock companies makes the appraisal of real estate difficult for real estate valuers—and even more so for equity analysts and investors who are inexperienced in these matters. This, in turn, is often reflected in a NAV discount, a well-known phenomenon, for which several other company-specific aspects such as taxes, leverage or diversification are also responsible (Zajonz and Rehkugler 2009; Zajonz 2010; Lee et al. 2013; Müller 2015; Pellar et al. 2016).
The overall economy and the stock market have the next highest explanatory power, followed by inflation and the bond market. Although other studies come to different conclusions regarding the order of the influence, it confirms the assumption that real estate stocks are influenced by the same factors as common stocks. This leads to the conclusion that German real estate stocks do not offer the same diversification benefit to a mixed-asset portfolio as direct real estate. This is in line with findings of previous literature on other real estate stock markets (Chan et al. 1990; Gyourko and Nelling 1996; Glascock et al. 2000; Hoesli and Moreno 2007; Hung et al. 2008).
The five-factor APM further suggests that the return of German real estate stock companies is, although statistically significant, not greatly impacted by changes in the underlying real estate market. Only 6.3% of the total variance is attributed to the real estate market. Some other studies on German and international real estate stocks show a significantly higher influence (Morawski et al. 2008; Sebastian and Zhu 2012). One reason for this difference may be the fluctuating influence of the real estate market over time, which has been addressed by several studies (Heaney and Sriananthakumar 2012; Zhu 2018; Anderson et al. 2021).
Of course, the results of the APM could be different with other proxies. However, as explained in Appendix B, there is not much choice. Furthermore, the APM could have been combined with downside risk measures, as suggested by Shah et al. (2019). However, their approach uses simpler risk indicators and cannot yet be regarded as an established method. And of course, the statements about the risk factors could be quite different if a different factor model were used.
(2) Real estate stock returns are not normally distributed
Regarding the distribution properties of German real estate stock returns the results of this study are clear: they are not normally distributed. This is in line with most other studies on this subject and a strong argument against using the volatility as the only risk measure for real estate stocks. To compare the riskiness of real estate stocks and common stocks, downside risk measures are the better choice.
(3) The GBM is generally suitable for forecasting real estate stock prices
The GBM variant PGBM used in this paper seems to be able to produce reasonable forecasts for common and real estate stocks. The results would certainly differ with a different prediction technique. PGBM resembles a non-parametric bootstrap method which allows for fat tails, jumps and deviations from the normal distribution. Nevertheless, there are several limitations to this statistical method.
  • First of all, it relies on the validity of the kernel density estimator. Although this paper has shown that the estimated PGBM return density matches the past empirical density of our data set, there is no guarantee that the future return distribution will be similar to the past distribution. The applied kernel density estimator may therefore deviate from the true distribution of future returns and might not render better results than a normal or any other estimated distribution. Just like the classical mean variance approach it also relies on past data (Auer 2016).
  • Secondly, a key challenge with kernel density estimates is that the achieved densities vary greatly depending on the applied smoothing kernel bandwidth h. If the smoothing factor is too large, the density function will be underfitted and oversmoothed, converging to a normal distribution function. And vice versa, if the smoothing factor is too small, the estimated density function will show overfitted data, putting too much emphasis on extreme values in the sample (Härdle et al. 2004). This paper has relied on the automatic bandwidth selector as proposed by Auer (2016). Applying different bandwidth selector methods for the PGBM function could change the quality of the estimation.
  • Furthermore, a basic problem with bootstrapping is that any pattern of time variation is violated by random re-sampling (Jorion 1997).
An unrealistic result of our study is a positive VaR and cVaR for the bond proxy REX, suggesting that government bonds are a completely risk-free investment. This may be the case for the default risk, but not for the total risk, which includes the inevitable price risk. The analyzed time period 1991–2019 seems to not accurately reflect this risk as it was characterized by a long period of decreasing interest rates and could thus be unfit for bootstrapping future bond returns. Therefore, either the forecasting method is not valid for bonds and should be changed or a much longer time series should be used.
Is it possible that the estimations for real estate and common stocks are also unrealistic? Yes and no. Yes, because the stock market is also prone to unforeseeable shocks and fundamental changes that can cause longer periods of significantly lower (or higher) returns. So it may be that over the next ten years the returns will develop completely differently. But no, we believe that this is unlikely. Firstly, in contrast to the bond market index REX the stock market indices CDAX and DIMAX represent various issuers and their securities are subject to many systematic and unsystematic influences. We assume that even in the case of a long recession paired with a real estate crisis the great diversity of the stock companies (see Appendix B) would prevent a complete change of the return patterns. Secondly, in the data there is no hint of any structural changes apart from the end of the real estate boom in Germany, which is already included in the model.
To better account for time trends, other methods are available such as the exponentially weighted moving average (EMWA) that applies weighting factors in order to decrease the impact of older data. However, the appropriate use of the EMWA method has proven ambiguous and depending on the sample. When comparing different methods for VaR estimation, some researchers have found the EMWA to underestimate the VaR (Lu et al. 2009).
The validation of the results with out-of-sample data suggests that the PGBM method works well even in times of crisis. However, the additional time series used is quite short and the war in the Ukraine is not over yet, so it is far too early to judge. Furthermore, it must be emphasized that the PGBM method generally works best in stable markets and has some limitations, as discussed above. Hence, deriving bandwidths for the non-parametric PGBM model from prior periods with extraordinary events such as wars or using a parametric model that makes assumptions on the distribution based on these periods could yield more valid predictions. However, this lies beyond the scope of this paper and is left for future research.
Finally, the paper combines two models: APM for identifying the risk factors of real estate stock returns and GBM with Monte Carlo Simulation for investigating the return distributions and predicting risks and returns. This is unusual and could have been done in other ways, which could be explored in the future.
(4) Real estate stocks are less risky than common stocks
This study suggests that German real estate stocks are less risky than German common stocks when VaR and cVaR are used as risk measures. This result contradicts some previous findings on the downside risk of listed real estate in other countries, especially in times of crisis (Zhou 2012; Zhou and Anderson 2012; Stelk et al. 2017). This may be explained with country-specific differences (e.g., correlation with the real estate market) and methodological differences (e.g., simulation-based vs. historic data). Further research is necessary to clarify the reasons. In any case investors should use measures of tail dependence to identify cross-market linkages, as Stelk et al. (2017) point out.
Three concluding remarks on the risks of investing in property shares:
  • Our paper is a capital market-oriented analysis. This entails certain restrictions, for example, only capital market data is used for measuring returns and risks. If a different method is chosen, e.g., deriving the risks from the cash flows of a company—as banks and rating agencies do—the results are of course different.
  • According to the APM, the systematic risk of listed real estate stems mainly from the general economy and the stock market, not from the real estate market. This cannot be verified when using the alternative risk measures because there is no monthly real estate data. Furthermore, the statements on the sources of return variations would be different if different models were used or if the risks were viewed from a different angle. For example, behavioral economists see human behavior as the ultimate source of risk.
  • Finally, this study does not provide much information on how the results can be used in practice. Although the risk indicators can be useful for decision-making by equity investors on the one hand and real estate (risk) managers on the other, they must be embedded in a decision-making system (Gleißner and Oertel 2020).

6 Conclusion and outlook

The aim of this paper was to apply an innovative geometric Brownian motion approach to simulate future real estate equity prices in order to shed more light on their riskiness. The model delivers plausible estimations for the alternative risk indicators VaR and cVaR—not only for the data sample covering the period from 1991 to 2019, but also for the time series 2020–2021 used for validation. The VaR and the cVaR for real estate stocks are lower than for common stocks, hence, they are less risky. If volatility is used as a risk measure, the picture is not so clear. It is also not possible to say with certainty what the causes of the risk are. The reason is the lack of monthly property market data, which means that the volatility-based APM can only be fed with annual data. The analysis shows that very little of the total variance is attributable to the real estate market. Instead, idiosyncratic risk factors have the highest explanatory power in the five-factor model, followed by the overall economy and the common stock market.
While working on this paper, the authors collected some ideas about alternative approaches and possible other applications. Three of them are presented here as an outlook for further research.
  • One path for further research could be to apply the methodology to other forms of indirect real estate investment, especially open-ended funds, which have different risk-return characteristics. Similarly, the methodology could be extended to real estate equities in other countries to account for national characteristics and to create a larger database for testing the hypotheses.
  • Another application could be to forecast real estate markets. The time series are often highly autocorrelated, which makes them more predictable than stock markets—and which is why Wheaton et al. (2001) reject the GBM method and recommend a forward-looking approach with econometric methods to forecast real estate markets. However, GBM is a rather flexible method, and it could be modified to account for autocorrelation, mean reversion and other phenomena of real estate markets (Surapaitoolkorn 2009; Auer 2016).
  • While some theoretical and empirical studies find considerable differences between the various downside measures, other studies show that the most popular downside risk measures produce similar results (Byrne and Lee 2004; Daníelsson et al. 2006; Hoe et al. 2010; Giannotti and Mattarocci 2013). Nevertheless, a replication of the study with risk measures such as MDD could provide relevant new results. A more detailed investigation of the tails of the distributions by means of copulas also seems promising because they can provide valuable insights into the characteristics of extreme risks (Fritz and Oertel 2021).
The decision to use a particular risk measure is not so much a matter of right vs. wrong, but rather of better vs. worse suited. While there are objective criteria such as coherence, it is more important that the chosen risk measures fit the investor’s attitude toward risk and the purpose of risk measurement. This presents researchers with (at least) two problems: estimating risk preferences and determining the appropriateness of risk measures. Solving the first problem has been the purpose of countless studies, mostly for securities, much less for real estate and mostly for risk aversion, much less for loss aversion. Regarding the second problem it has been proven that risk indicators such as semivolatility fit well to risk aversion and indicators such as cVaR to loss aversion. However, this is not the case for most of the other risk measures that are used by real estate practitioners (GIF 2021). Furthermore, the suitability of a risk indicator does not only depend on the investor’s risk preferences, but also on the investor’s knowledge, the intended use, the available data and many other factors (Lausberg et al. 2020). Investigating such alternative metrics for real estate stocks would be a worthwhile endeavor.

Acknowledgements

The authors would like to express their sincere thanks to the two anonymous reviewers for their many constructive and helpful comments and Bankhaus Ellwanger & Geiger, BulwienGesa and others for providing us with the data. This paper is based on work undertaken by Felix Brandt, submitted in partial fulfilment of the requirements of the degree of MSc Real Estate and Leadership at the HSBA Hamburg School of Business Administration, Germany.

Conflict of interest

C. Lausberg and F. Brandt declare that they have no competing interests.
Open Access Dieser Artikel wird unter der Creative Commons Namensnennung 4.0 International Lizenz veröffentlicht, welche die Nutzung, Vervielfältigung, Bearbeitung, Verbreitung und Wiedergabe in jeglichem Medium und Format erlaubt, sofern Sie den/die ursprünglichen Autor(en) und die Quelle ordnungsgemäß nennen, einen Link zur Creative Commons Lizenz beifügen und angeben, ob Änderungen vorgenommen wurden. Die in diesem Artikel enthaltenen Bilder und sonstiges Drittmaterial unterliegen ebenfalls der genannten Creative Commons Lizenz, sofern sich aus der Abbildungslegende nichts anderes ergibt. Sofern das betreffende Material nicht unter der genannten Creative Commons Lizenz steht und die betreffende Handlung nicht nach gesetzlichen Vorschriften erlaubt ist, ist für die oben aufgeführten Weiterverwendungen des Materials die Einwilligung des jeweiligen Rechteinhabers einzuholen. Weitere Details zur Lizenz entnehmen Sie bitte der Lizenzinformation auf http://creativecommons.org/licenses/by/4.0/deed.de.

Publisher’s Note

Springer Nature remains neutral with regard to jurisdictional claims in published maps and institutional affiliations.
Download
Titel
Forecasting risk and return of listed real estate:
A simulation approach with geometric Brownian motion for the German stock market
Verfasst von
Carsten Lausberg
Felix Brandt
Publikationsdatum
22.08.2024
Verlag
Springer Fachmedien Wiesbaden
Erschienen in
Zeitschrift für Immobilienökonomie / Ausgabe 1-2/2024
Print ISSN: 1611-4051
Elektronische ISSN: 2198-8021
DOI
https://doi.org/10.1365/s41056-024-00070-4

Appendix

Appendix A

Details of the model

Log-returns
By transforming the factors into log-returns \(R_{kt}=\frac{ln\left(P_{k,t}\right)}{ln\left(P_{k,t-1}\right)}\) and thereby treating the factors at first differences, this paper follows common practice to anticipate non-stationarity of time series data.
Time lag
The risk factors \(R_{\mathrm{REM},t+x}\) and \(R_{\mathrm{GDP},t+x}\) are lagged by x years (or fractions thereof) to increase the correlation properties with listed real estate returns. This procedure is following previous studies that lagged unsecuritized real estate returns (e.g., Kroencke et al. 2018).
Fig. A.1 shows the cross-correlation properties between real estate stock returns and common stock returns with direct real estate returns and GDP. Depicted are annual returns with quarterly lags. Because GDP and REM returns are only available as end-of-year figures whereas the other variables are available at monthly and quarterly level, GDP and REM are kept at fourth quarter to fourth quarter returns while the rest of the data is moved by quarterly lags.
Fig. A.1
Cross-correlation properties with quarterly lags, yearly time interval. Note: LRE listed real estate index, REM real estate market index, STOCK stock market index, GDP gross domestic product
Bild vergrößern
As the cross-correlations at zero lag length are all close to zero, a lagging of the variables is in fact sensible. Overall, the cumulative cross-correlations are highest at a four-quarter lag (time lag \(x=1\)) which is therefore chosen for the model (\(R_{\mathrm{REM},t+1}\) and \(R_{\mathrm{GDP},t+1}\)). The obvious interpretation is that the stock market is leading the economy by approximately one year.
Orthogonalization of regressors
Analogously to previous literature, for example Liow et al. (2011), this paper will not directly apply Eq. 1 but orthogonalize the regressors in first stage regressions. This method anticipates collinearity and ensures that the factors used to decompose listed real estate returns into the five components are independent. The orthogonalization model for a number of k risk factors at time t has the general form
$$F_{k,t}=\alpha _{i}+\beta _{1}F_{1,t}+\beta _{1}F_{1,t}+\beta _{2}F_{2,t}+\ldots +\ \beta _{k-1}F_{k-1,t}+\omega _{k,t}$$
(A.1)
Afterwards, the risk factors Fk,t in Eq. 3 will be replaced by the residuals ωk,t of Eq. A.1. Thereby, only the residuals of each factor—and by that only its net influence without impairment by the other factors—will be included in the estimation of Eq. 3. Statistically, this model increases the significance of each net factor while the overall explanatory power of the regression function remains the same.
Geometric Brownian motion
The stochastic differential equation for a GBM (Eq. 4) can also be written as:
$$\frac{dS_{t}}{S_{t}}=\mu dt+\sigma \varepsilon \sqrt{dt}$$
(A.2)
$$\frac{dS_{t}}{S_{t}}=d\left(ln\left(S_{t}\right)\right)=ln\left(S_{t}\right)-ln\left(S_{t-1}\right)=ln\left(\frac{S_{t}}{S_{t-1}}\right)$$
(A.3)
$$< => ln\left(\frac{S_{t}}{S_{t-1}}\right)=\mu dt+\sigma \varepsilon \sqrt{dt}$$
To solve the stochastical differential equation, Itô’s lemma formula is applied:
$$dG=\left(\frac{\partial G}{\partial X}\alpha +\frac{\partial G}{\partial t}+\frac{1}{2}\frac{\partial ^{2}G}{\partial X^{2}}b^{2}\right)dt+\frac{\partial G}{\partial X}dB$$
(A.4)
By setting \(dG=ln(S_{t})\), and since μ and σ are constant, the following can be obtained:
$$ln\left(S_{t}\right)=ln\left(S_{t}\right)-ln\left(S_{t-1}\right)=ln\left(\frac{S_{t}}{S_{t-1}}\right)=\left(\mu -\frac{1}{2}\sigma ^{2}\right)dt+\sigma \varepsilon \sqrt{dt}$$
(A.5)
$$< => ln\left(S_{t}\right)=ln\left(S_{t-1}\right)+\left(\mu -\frac{1}{2}\sigma ^{2}\right)dt+\sigma \varepsilon \sqrt{dt}$$
Finally, the GBM assumes that the price of an asset is log-normally distributed with a mean of the certain component \(\left(\mu -\frac{\sigma ^{2}}{2}\right)T\) and a variance of the uncertain component σ2T. A variable is log-normally distributed if the natural logarithm of the variable is normally distributed (Hull 2017). Concluding, Eq. A.5 can be solved to the following equation that defines the asset price at time t:
$$S_{t}=S_{t-1}exp\left[\left(\mu -\frac{1}{2}\sigma ^{2}\right)dt+\sigma \varepsilon \sqrt{dt}\right]$$
(A.6)
Equation A.6 is the solution that defines the future asset price ST. As this is valid for any time period, where the time interval \(dt=T\) this results in the final equation for prediction:
$$S_{T}=S_{0}exp\left[\left(\mu -\frac{1}{2}\sigma ^{2}\right)T+\sigma \varepsilon \sqrt{T}\right]$$
(A.7)
In summary, ST is the asset price at time T, T is the time interval for prediction, S0 is the initial asset price, μ is the expected annual rate of return, σ is the expected annual volatility, and ε is a randomly drawn number from a normal distribution with a mean of zero and a standard deviation of one, representing random volatility. The standard deviation of the logarithm of the stock price is \(\sigma \sqrt{T}\). It is proportional to the square root of how far ahead the prediction is made (Hull 2017).

Appendix B

Choice of proxies

LRE
The Deutsche Immobilienaktienindex (DIMAX) was introduced by the German bank Ellwanger & Geiger in 1995. It is a private index and the most comprehensive stock index of real estate companies listed at German stock exchanges. One of the prerequisites for inclusion in the DIMAX is that at least 75% of the turnover and earnings stem from real estate activities such as leasing, managing, trading or developing. The DIMAX is a Laspeyres performance index as its antetype DAX. The index values are adjusted for capital changes and dividend payments. The starting date is 30 December 1988.
The DIMAX was chosen as the dependent variable for the model due to the long data series and the comprehensive index composition. The data was provided by Ellwanger & Geiger. Since the index is only maintained and available as weekly data, the last Friday of each month was taken as the provisional end-of-month data point to match the time intervals of the independent regressors (Bankhaus Ellwanger & Geiger 2020). Annual log-returns were calculated by using year-end index values.
There are a few other real estate stock indices such as the RX REIT All-Share Index and the F.A.Z. Bau und Immobilien Index. They are all limited to a very small number of companies and in no respect representative for the heterogeneous German real estate industry. Furthermore, a literature search showed that the DIMAX is the only index used for academic research on German LRE.
STOCK
The CDAX or Composite DAX (Deutscher Aktienindex) is an index, which includes all shares listed in the General Standard and Prime Standard segments of Germany’s largest stock exchange in Frankfurt. This stock index thus represents almost the entire stock market, whereas the more famous DAX only includes the 40 largest stocks. The performance index includes subscription rights, dividends and special payments. The weighting of the stocks is based on their market capitalization.
The starting point for the index calculation is 30 December 1987. As of 24 August 2020, the index comprised 411 stock companies with a total market capitalization of approx. € 1.2 trillion (Stoxx 2020). The data was accessed via Quandl using the Deutsche Bundesbank Data Repository (CDAX 2020). Annual log-returns were calculated by using year-end index values.
The CDAX was chosen as the stock market proxy due to its broad approach. Alternatives are mainly the DAX, the F.A.Z. Index and the MSCI Germany Index, which all have a narrower focus on large caps.
BOND
The REX (Deutscher Rentenindex) is a performance index for the German government bond market. The performance components are price changes of the REX and the daily reinvestment of the average annual coupon. In its composition, the index corresponds to a synthetic investment portfolio with a constant maturity structure. It includes all bonds, debentures and treasury notes of the Federal Republic of Germany and the Fonds Deutsche Einheit (German Unity Fund) with constant interest rates and a remaining term of more than 0.5 years. The starting point for the index is the same as for the CDAX: 30 December 1987. The data was accessed via Quandl using the Deutsche Bundesbank Data Repository (REX 2020). Annual log-returns were calculated by using year-end index values.
The REX was chosen because it covers the total German government bond market and is often used in capital market surveys. These criteria are not met in the same way by the alternative indices, for example, the F.A.Z. Anleihen Index and the iBoxx.
REM
The GPI (German Property Index) is a total return real estate market index. It is published by the market research company BulwienGesa AG on the basis of data collected from many different sources. The national GPI of the individual property market sectors is calculated from the weighted sum of the capital growth return and the weighted sum of the cash flow return of the national sectoral variables. The weights differ between individual sectors due to market conditions and are not constant over time. The weight represents the share of the tradable property assets of the respective sector in the total market, which is estimated by BulwienGesa. The index is computed annually (BulwienGesa 2022). The data was provided by BulwienGesa AG.
The index was mainly chosen because of its broad data basis. Although the GPI covers only the largest 127 German cities and the data collection and calculation happen in a black box, it is considered the most representative and reliable index for the German real estate market. Other indices are limited to data from certain sources (e.g., MSCI Germany Annual Property Index), cover only particular market sectors (e.g., Empirica Immobilienpreisindex) or are constructed as price indices (e.g., vdp Immobilienpreisindex). There is no comparable index available with quarterly or monthly data.
Other data
Year-end (December) values of the yield curve for listed German Government securities with a ten years maturity were used as a proxy for the risk-free interest rate in the APM. The data was obtained from Deutsche Bundesbank (Deutsche Bundesbank 2020b). Inflation (Consumer Price Index) (Destatis 2020) and the GDP (Deutsche Bundesbank 2020a) were added as additional explanatory variables in the APT multifactor model.

Appendix C

OLS conditions

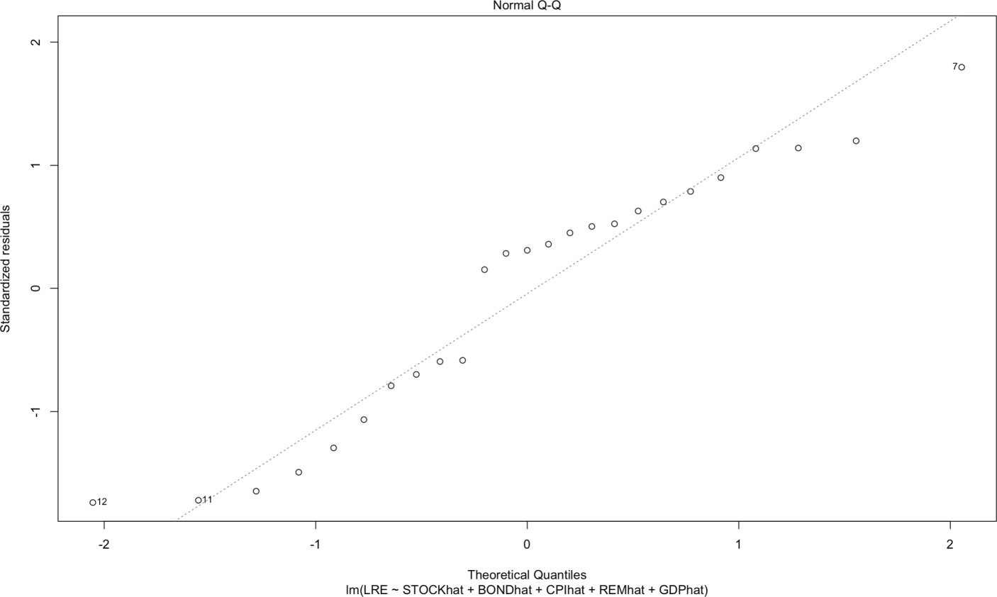
An ordinary least squares (OLS) regression is generally based on the assumptions that the relationship between the predictor and the outcome is linear, the residuals are normally distributed, the residuals have a constant variance and the residual error terms are independent. Table C.1 and the following Figs. C.1C.2 and C.3 summarize the results of various testing methods to confirm these assumptions.
Table C.1
Tests of OLS conditions
Violation of condition
Testing method
Conclusion
Non-normal distribution of residuals
Shapiro-Wilk-Test
0.93041 (0.08881)*
Probability plot
Close to normal distribution
Autocorrelation
Durbin-Watson-Test
2.4386 (0.8222)
Cochrane-Orcutt estimation
2.11241 (0.46)
Scatterplot
No clear pattern
Heteroscedasticity
Scatterplot
No clear pattern
Multicollinearity
Correlation properties
High correlation
Variance Inflation Factors (VIF)
Low VIF values
*, **, *** indicate that the statistics are significant at the 10%, 5% and 1% level of significance, respectively
Fig. C.1
Normal Q‑Q distribution of standardized residuals
Bild vergrößern
Fig. C.2
Scale-location plot standardized residuals vs. fitted
Bild vergrößern
Fig. C.3
Residuals vs. leverage plot. Note: LRE listed real estate index, STOCK stock market index, BOND bond market index, CPI consumer price index, GDP gross domestic product
Bild vergrößern
Overall, the tests indicate that the OLS estimation of Eq. 3 is viable. Normal distribution of residuals is the only assumption that is subject to some doubt as the Shapiro-Wilk-Test shows a test statistic of 0.93041, which means that the null hypothesis cannot be rejected at a 95%-confidence level. It can be attributed to the rather small sample size as a large enough sample size automatically alleviates this problem. Nevertheless, according to the Gauss-Markov Theorem, the OLS estimator can be considered as a best linear unbiased estimator even when conflicted with non-normal errors.
Although the cross-correlation is relatively high between some variables, the variance inflation factors in Table C.2 indicate that there is no multicollinearity. The square root of the VIF indicates how much larger the standard error were if that variable had zero correlation to other predictor variables in the model. The higher the VIF, the more the standard error is inflated and the smaller is the chance that a coefficient is statistically significant. VIFs exceeding five warrant further investigation, while VIFs exceeding ten are considered signs of serious multicollinearity (Sheather 2009). This is not the case for this model.
Table C.2
Variance inflation factors for the independent variables
Variable
STOCK
BOND
CPI
REM
GDP
VIF
2.3845
1.7076
0.0121
1.5438
0.0256
Note: VIF Variance Inflation Factors, STOCK stock market, BOND bond market, CPI consumer price index, REM real estate market, GDP gross domestic product

Appendix D

Autocorrelation functions

 
Fig. D.1
Autocorrelation functions. Note: LRE listed real estate index, STOCK stock market index, BOND bond market index
Bild vergrößern
Zurück zum Zitat Allen MT, Madura J, Springer TM (2000) REIT characteristics and the sensitivity of REIT returns. J Real Estate Finance Econ 21(2):141–152CrossRef
Zurück zum Zitat Anderson J, Anderson R, Guirguis HS, Proppe S, Seiler MJ (2021) Time-varying correlations of REITs and implications for portfolio management. J Real Estate Res 43(3):317–334. https://doi.org/10.1080/08965803.2021.1985921CrossRef
Zurück zum Zitat Artzner P, Delbaen F, Eber J‑M, Heath D (1999) Coherent measures of risk. Math Finance 9(3):203–228. https://doi.org/10.1017/cbo9780511615337.007CrossRef
Zurück zum Zitat Atsalakis GS, Valavanis KP (2009) Surveying stock market forecasting techniques—part II: soft computing methods. Expert Syst Appl 36(3):5932–5941. https://doi.org/10.1016/j.eswa.2008.07.006CrossRef
Zurück zum Zitat Atsalakis GS, Valavanis KP (2013) Surveying stock market forecasting techniques—part I: conventional methods. In: Floares A (ed) Computational intelligence. Nova Science, Hauppauge, pp 49–103
Zurück zum Zitat Auer MP (2016) Pseudo-geometric Brownian motion for complex financial products in R. https://web.archive.org/web/20220516191730/http://www.meanerreversion.com/2016/02/25/pseudo-brownian-in-r/. Accessed 2 Dec 2024
Zurück zum Zitat Bankhaus Ellwanger & Geiger (2020) Immobilienaktien-Index E&G-DIMAX. Stuttgart August. https://privatbank.de/
Zurück zum Zitat Bodie Z, Kane A, Marcus AJ (2024) Investments. McGraw-Hill, New York
Zurück zum Zitat Borowski K (2018) Testing 65 equity indexes for normal distribution of returns. JEM 34(4):5–38. https://doi.org/10.22367/jem.2018.34.01CrossRef
Zurück zum Zitat Bowman AW, Azzalini A (1997) Applied smoothing techniques for data analysis: the kernel approach with S‑plus illustrations. Oxford University Press, OxfordCrossRef
Zurück zum Zitat Brounen D, de Koning S (2012) 50 years of real estate investment trusts: an international examination of the rise and performance of REITs. J Real Estate Lit 20(2):197–223. https://doi.org/10.1080/10835547.2014.12090324CrossRef
Zurück zum Zitat BulwienGesa (2022) GPI—German Property Index. https://www.riwis.de/online_test/info.php3?cityid=&info_topic=gpi. Accessed 20 May 2022
Zurück zum Zitat Byrne P, Lee S (2004) Different risk measures: different portfolio compositions? J Prop Invest Finance 22(6):501–511. https://doi.org/10.1108/14635780410569489CrossRef
Zurück zum Zitat Chan KC, Hendershott PH, Sanders AB (1990) Risk and return on real estate: evidence from equity REITs. Real Estate Econ 18(4):431–452. https://doi.org/10.3386/w3311CrossRef
Zurück zum Zitat Charpentier A, Flachaire E, Ly A (2019) Econometrics and machine learning. Econ Et Stat / Econ Stat 505d:147–169. https://doi.org/10.24187/ecostat.2018.505d.1970CrossRef
Zurück zum Zitat Chen N‑F, Roll R, Ross SA (1986) Economic forces and the stock market. J BUS 59(3):383–403 (http://www.jstor.org/stable/2352710)CrossRef
Zurück zum Zitat Cheng P, Zhenguo L, Yingchun L (2008) The real estate risk premium puzzle: a solution. SSRN Journal. https://doi.org/10.2139/ssrn.1104822CrossRef
Zurück zum Zitat Corgel JB, McIntosh W, Ott SH (1995) Real estate investment trusts: a review of the financial economics literature. J Real Estate Lit 3(1):13–43. https://doi.org/10.1080/10835547.1995.12090042CrossRef
Zurück zum Zitat Daníelsson J, Jorgensen BN, Mandira S, de Vries CG (2006) Comparing downside risk measures for heavy tailed distributions. Econ Lett 92(2):202–208. https://doi.org/10.1016/j.econlet.2006.02.004CrossRef
Zurück zum Zitat Destatis (2020) Verbraucherpreisindex für Deutschland. Lange Reihen ab 1948 – September 2020. Statistisches Bundesamt. https://www.destatis.de/DE/Themen/Wirtschaft/Preise/Verbraucherpreisindex/_inhalt.html#sprg238948. Accessed 26 May 2022
Zurück zum Zitat Deutsche Bundesbank (2020a) Zeitreihen-Datenbanken. Zeitreihe BBNZ1.A.DE.N.H.0000.L: Deutschland / Gesamtwirtschaftliche Übersicht / Bruttoinlandsprodukt -preisbereinigt. https://www.bundesbank.de/dynamic/action/de/statistiken/zeitreihen-datenbanken/zeitreihen-datenbank/723452/723452?tsId=BBNZ1.A.DE.N.H.0000.L&listId=www_s311_lr_bip. Accessed 26 May 2022
Zurück zum Zitat Deutsche Bundesbank (2020b) Zeitreihen-Datenbanken. Zeitreihe BBSIS.M.I.ZST.ZI.EUR.S1311.B.A604.R10XX.R.A.A._Z._Z.A: Zinsstrukturkurve (Svensson-Methode) / Börsennotierte Bundeswertpapiere / 10,0 Jahr(e) RLZ / Monatswerte. https://www.bundesbank.de/dynamic/action/de/statistiken/zeitreihen-datenbanken/zeitreihen-datenbank/723452/723452?tsId=BBSIS.M.I.ZST.ZI.EUR.S1311.B.A604.R10XX.R.A.A._Z._Z.A. Accessed 26 May 2022
Zurück zum Zitat Dhesi G, Shakeel MB, Xiao L (2016) Modified Brownian motion approach to modeling returns distribution. Wilmott 2016(82):74–77. https://doi.org/10.1002/wilm.10494CrossRef
Zurück zum Zitat Elton EJ, Gruber MJ, Brown SJ, Goetzmann WN (2017) Modern portfolio theory and investment analysis. Wiley, New York
Zurück zum Zitat Fama EF, French KR (1993) Common risk factors in the returns on stocks and bonds. J financ econ 33(1):3–56. https://doi.org/10.1016/0304-405X(93)90023-5CrossRef
Zurück zum Zitat Feldman B (2005) Relative importance and value. Working paper. https://papers.ssrn.com/sol3/papers.cfm?abstract_id=2255827. Accessed 26 May 2022
Zurück zum Zitat Feng G, Giglio S, Dacheng X (2020) Taming the factor zoo: a test of new factors. J Finance 75(3):1327–1370. https://doi.org/10.1111/jofi.12883CrossRef
Zurück zum Zitat Fritz C, Oertel C (2021) AR-GARCH-EVT-Copula for securitised real estate: an approach to improving risk forecasts? J Prop Res 38(1):71–98. https://doi.org/10.1080/09599916.2020.1838600CrossRef
Zurück zum Zitat Gandhmal DP, Kumar K (2019) Systematic analysis and review of stock market prediction techniques. Comput Sci Rev 34:100190. https://doi.org/10.1016/j.cosrev.2019.08.001CrossRef
Zurück zum Zitat Geboers H, Depaire B, Annaert J (2023) A review on drawdown risk measures and their implications for risk management. J Economic Surveys 37(3):865–889. https://doi.org/10.1111/joes.12520CrossRef
Zurück zum Zitat Giannotti C, Mattarocci G (2013) Risk measurement choice in selecting REITs: evidence from the U.S. Market. J Real Estate Portfolio Manag 19(2):137–153. https://doi.org/10.1080/10835547.2013.12089947CrossRef
Zurück zum Zitat GIF (2021) Indicator Catalogue Real Estate Risk Management. Gesellschaft für Immobilienwirtschaftliche Forschung. Wiesbaden. https://www.gif-ev.de/onlineshop/detail/540. Accessed 28 Apr 2022
Zurück zum Zitat Giliberto M, Shulman D (2017) On the interest rate sensitivity of REITs: evidence from twenty years of daily data. J Real Estate Portfolio Manag 23(1):7–20. https://doi.org/10.1080/10835547.2017.12089998CrossRef
Zurück zum Zitat Glascock JL, Chiuling L, So RW (2000) Further evidence on the integration of REIT, bond, and stock returns. J Real Estate Finan Econ 20(2):177–194CrossRef
Zurück zum Zitat Gleißner W, Oertel C (2020) Conceptual framework for real estate transactions. J Prop Invest Finance 38(3):245–262. https://doi.org/10.1108/JPIF-01-2020-0014CrossRef
Zurück zum Zitat Grömping U (2006) Relative importance for linear regression in R: the package relaimpo. J Stat Soft. https://doi.org/10.18637/jss.v017.i01CrossRef
Zurück zum Zitat Gyourko J, Nelling E (1996) Systematic risk and diversification in the equity REIT market. Real Estate Econ 24(4):493–515. https://doi.org/10.1111/1540-6229.00701CrossRef
Zurück zum Zitat Härdle W, Werwatz A, Müller M, Sperlich S (2004) Nonparametric density estimation. In: Bickel P, Diggle P, Fienberg S et al (eds) Nonparametric and Semiparametric models. Springer, Berlin, Heidelberg, pp 39–83CrossRef
Zurück zum Zitat He LT, Webb JR, Myer FCN (2003) Interest rate sensitivities of REIT returns. Int Real Estate Rev 6(1):1–21CrossRef
Zurück zum Zitat Heaney R, Sriananthakumar S (2012) Time-varying correlation between stock market returns and real estate returns. J Empir Finance 19(4):583–594. https://doi.org/10.1016/j.jempfin.2012.03.006CrossRef
Zurück zum Zitat Hoe LW, Zaidi I, Saiful J (2010) An empirical comparison of different risk measures in portfolio optimization. Bus Econ Horizons 1(1):39–45
Zurück zum Zitat Hoesli M, Moreno C (2007) Securitized real estate and its link with financial assets and real estate: an international analysis. J Real Estate Lit 15(1):57–84. https://doi.org/10.1080/10835547.2006.12090193CrossRef
Zurück zum Zitat Hoesli M, Oikarinen E (2021) Does listed real estate behave like direct real estate? Updated and broader evidence. Appl Econ 53(26):3023–3042. https://doi.org/10.1080/00036846.2020.1870921CrossRef
Zurück zum Zitat Hübner R, Schwaiger MS, Winkler G (2004) Indirekte Immobilienanlagen im Portfoliomanagement am Beispiel des deutschen Marktes. Financ Mark Portf Manag 18(2):181–198. https://doi.org/10.1007/s11408-004-0205-yCrossRef
Zurück zum Zitat Hull JC (2017) Options, futures, and other derivatives. Pearson, London
Zurück zum Zitat Hung K, Onayev Z, Tu C (2008) Time-varying diversification effect of real estate in institutional portfolios: when alternative assets are considered. J Real Estate Portf Manag 14(4):241–262. https://doi.org/10.1080/10835547.2008.12089813CrossRef
Zurück zum Zitat Investment Property Forum (2011) Risk web 2.0—an investigation into the causes of portfolio risk. London. IPF research report. https://www.ipf.org.uk/static/uploaded/4edb37fd-d900-4568-9a2f1810fa9a4c2d.pdf. Accessed 1 Nov 2024
Zurück zum Zitat Johnson JW, Lebreton JM (2004) History and use of relative importance indices in organizational research. Organ Res Methods 7(3):238–257. https://doi.org/10.1177/1094428104266510CrossRef
Zurück zum Zitat Jorion P (1997) Value at risk: the new benchmark for managing financial risk. McGraw-Hill, New York
Zurück zum Zitat Just T, Maennig W (eds) (2012) Understanding German real estate markets. Springer, Berlin/Heidelberg
Zurück zum Zitat Kahneman D, Tversky A (1979) Prospect theory: an analysis of decision under risk. Econometrica 47(2):263–291. https://doi.org/10.1017/cbo9780511609220.014CrossRef
Zurück zum Zitat Kola K, Kodongo O (2017) Macroeconomic risks and REITs returns: a comparative analysis. Res Int Bus Finance 42:1228–1243. https://doi.org/10.1016/j.ribaf.2017.07.061CrossRef
Zurück zum Zitat Kroencke TA, Schindler F, Steininger BI (2018) The anatomy of public and private real estate return premia. J Real Estate Finan Econ 56(3):500–523. https://doi.org/10.1007/s11146-017-9646-8CrossRef
Zurück zum Zitat Lausberg C, Lee S, Müller M, Oertel C, Schultheiß T (2020) Risk measures for direct real estate investments with non-normal or unknown return distributions. Z Immobilienökonomie 6:3–27. https://doi.org/10.1365/s41056-019-00028-xCrossRef
Zurück zum Zitat Lee S (2014) The effective number of risk factors in UK property portfolios. Cass business school, city university London. London. Working paper series no. 15. https://www.bayes.city.ac.uk/__data/assets/pdf_file/0019/224074/No15-S.Lee-Effective-Number-of-Risk-Factors-in-Real-Estate-Portfolios.pdf. Accessed 1 Nov 2024
Zurück zum Zitat Lee CL, Lee M‑L (2014) Do European real estate stocks hedge inflation? Evidence from developed and emerging markets. Int J Strateg Prop Manag 18(2):178–197. https://doi.org/10.3846/1648715X.2014.925521CrossRef
Zurück zum Zitat Lee NJ, Sing TF, Tran DH (2013) REIT share price and NAV deviations: noise or sentiment? International real estate review 16 (1), 28–47. http://www.umac.mo/fba/irer/papers/current/vol16n1_pdf/02.pdf. Accessed 26 May 2022
Zurück zum Zitat Lin Z, Liu Y (2008) Real estate returns and risk with heterogeneous investors. Real Estate Econ 36(4):753–776. https://doi.org/10.1111/j.1540-6229.2008.00229.xCrossRef
Zurück zum Zitat Ling DC, Naranjo A (2008) The fundamental determinants of commercial real estate returns. Real Estate Finance 14(4):13–24
Zurück zum Zitat Liow HK (2008) Extreme returns and value at risk in international securitized real estate markets. J Prop Invest Finance 26(5):418–446. https://doi.org/10.1108/14635780810900279CrossRef
Zurück zum Zitat Liow HK, Sim MC (2006) The risk and return profile of asian real estate stocks. Pac Rim Prop Res J 12(3):283–310. https://doi.org/10.1080/14445921.2006.11104211CrossRef
Zurück zum Zitat Liow HK, Ooi J, Loke Kiat W (2011) Interest rate sensitivity and risk premium of property stocks. J Prop Res 20(2):117–132. https://doi.org/10.1080/0959991032000109508CrossRef
Zurück zum Zitat Liu CH, Hartzell DJ, Hoesli ME (1997) International evidence on real estate securities as an inflation hedge. Real Estate Econ 25(2):193–221. https://doi.org/10.1111/1540-6229.00712CrossRef
Zurück zum Zitat Lizieri CM, Ward CWR (2000) Commercial real estate return distributions: a review of literature and empirical evidence. Working Paper, vol 01/00. University of Reading, Reading https://doi.org/10.2139/ssrn.255746CrossRef
Zurück zum Zitat Lu C, Wu S‑C, Lan-Chih H (2009) Applying vaR to REITs: a comparison of alternative methods. Rev Financial Econ 18:97–102. https://doi.org/10.1016/j.rfe.2008.03.001CrossRef
Zurück zum Zitat Lu J‑R, Hwang C‑C, Chen Y‑C, Wen C‑T (2013) Including more information content to enhance the value at risk estimation for real estate investment trusts. Int J Financial Res 4(3):25–34. https://doi.org/10.5430/ijfr.v4n3p25CrossRef
Zurück zum Zitat Manganelli S, Engle RF (2001) Value at risk models in finance. Working paper series, vol 75. European Central Bank, Frankfurt https://doi.org/10.2139/ssrn.356220CrossRef
Zurück zum Zitat Martin S, Maurer R (1997) Diversifikationspotential und Inflationshedge-Eigenschaften deutscher Immobilienaktiengesellschaften. Grundstücksmarkt Grundstückswert 6:350–354
Zurück zum Zitat Maurer R, Reiner F (2002) International asset allocation with real estate securities in a shortfall risk framework: the viewpoint of German and U.S. investors. J Real Estate Portfolio Manag 8(1):27–43. https://doi.org/10.1080/10835547.2002.12089656CrossRef
Zurück zum Zitat Maurer R, Sebastian S (1999) Immobilienfonds und Immobilienaktiengesellschaften als finanzwirtschaftliche Substitute für Immobiliendirektanlagen. Zfb Z Betriebswirtschaft 99(Supplement 3):169–194. https://doi.org/10.1007/978-3-322-89845-6_9CrossRef
Zurück zum Zitat Maurer R, Sebastian S (2002) Inflation risk analysis of European real estate securities. J Real Estate Res 24(1):47–78. https://doi.org/10.1080/10835547.2002.12091089CrossRef
Zurück zum Zitat Morawski J, Rehkugler H, Füss R (2008) The nature of listed real estate companies: property or equity market? Financial Mark Portfolio Manag 22(2):101–126. https://doi.org/10.1007/s11408-008-0075-9CrossRef
Zurück zum Zitat Muckenhaupt J, Hoesli M, Zhu B (2023) Listed Real Estate as an Inflation Hedge Across Regimes. J Real Estate Finan. Econ, published online https://doi.org/10.1007/s11146-023-09964-xCrossRef
Zurück zum Zitat Müller MG (2015) Erklärungsansätze für NAV-Spreads und deren Implikationen für das Management von REITs. Peter Lang, FrankfurtCrossRef
Zurück zum Zitat NAREIT (2022) Global REIT Approach to Real Estate Investing. National Association Of Real Estate Investment Trusts. Washington, D.C. https://www.reit.com/sites/default/files/2022-02/2022-Global-REIT-Brochure.pdf. Accessed 4 Mar 2022
Zurück zum Zitat Newell G, Marzuki JM (2018) The emergence and performance of German REITs. J Prop Invest Finance 36(1):91–103. https://doi.org/10.1108/JPIF-01-2017-0001CrossRef
Zurück zum Zitat Obereiner D, Kurzrock B‑M (2012) Inflation-hedging properties of indirect real estate investments in Germany. J Prop Invest Finance 30(3):218–240. https://doi.org/10.1108/14635781211223806CrossRef
Zurück zum Zitat Okoro C, Ayaba MM (2023) Research trends and directions on real estate investment trusts’ performance risks. Sustainability 15(6):5436. https://doi.org/10.3390/su15065436CrossRef
Zurück zum Zitat Ooi JTL, Jingliang W, Webb JR (2009) Idiosyncratic risk and REIT returns. J Real Estate Finan Econ 38(4):420–442. https://doi.org/10.1007/s11146-007-9091-1CrossRef
Zurück zum Zitat Parker D (ed) (2018) The Routledge REITs research handbook. Routledge, Abingdon-on-Thames
Zurück zum Zitat Parker D (2020) International equity REITs: five major future directions. J Prop Invest Finance 38(1):71–81. https://doi.org/10.1108/JPIF-09-2019-0122CrossRef
Zurück zum Zitat Pellar H, Elgeti R, Schiereck D (2016) Die Bewertung von Wohnimmobilien-AGs am Kapitalmarkt über NAV-Spreads. Betriebswirtsch Forsch Prax 3:245–269
Zurück zum Zitat PMA (2020) European office market forecasts. Property market analysis (London. October 2020.)
Zurück zum Zitat Poncet P, Portait R (2022) Capital market finance: an introduction to primitive assets, derivatives, portfolio management and risk. Springer, ChamCrossRef
Zurück zum Zitat Preethi G, Santhi B (2012) Stock market forecasting techniques: a survey. J Theor Appl Inf Technol 46(1):24–30
Zurück zum Zitat Reddy K, Clinton V (2016) Simulating stock prices using geometric Brownian motion: evidence from Australian companies. Australas Account Bus Finance J 10(3):23–47. https://doi.org/10.14453/aabfj.v10i3.3CrossRef
Zurück zum Zitat Rehkugler H (2009a) Renditen und Risiken indirekter Immobilienanlagen im internationalen Vergleich. In: Rehkugler H (ed) Die Immobilie als Kapitalmarktprodukt. Oldenbourg, München, pp 147–160CrossRef
Zurück zum Zitat Rehkugler H (ed) (2009b) Die Immobilie als Kapitalmarktprodukt. Oldenbourg, München
Zurück zum Zitat Rong N, Trück S (2010) Returns of REITS and stock markets: measuring dependence and risk. J Prop Invest Finance 28(1):34–57CrossRef
Zurück zum Zitat Ross S (1976) The arbitrage theory of capital asset pricing. J Econ Theory
Zurück zum Zitat Schäfers W, Schulte K‑M (2012) REOCs and REITs. In: Just T, Maennig W (eds) Understanding German real estate markets. Springer, Berlin/Heidelberg, pp 331–348CrossRef
Zurück zum Zitat Schindler F (2011) Long-term benefits from investing in international securitized real estate. Int Real Estate Rev 14(1):27–60. https://doi.org/10.2139/ssrn.1431881CrossRef
Zurück zum Zitat Schindler F, Rottke N, Füss R (2010) Testing the predictability and efficiency of securitized real estate markets. J Real Estate Portf Manag 16(2):171–191. https://doi.org/10.1080/10835547.2010.12089867CrossRef
Zurück zum Zitat Schulte K‑M, Dechant T, Schaefers W (2011) Systematic risk factors in European real estate equities. J Eur Real Estate Res 4(3):185–224. https://doi.org/10.1108/17539261111183416CrossRef
Zurück zum Zitat Sebastian S, Zhu B (2012) Real estate securities, real estate or equities? An international analysis. European public real estate association. Brussels. https://epub.uni-regensburg.de/28028/1/Real_estate_securities,_real_estate_or_equities_REPORT_1342611251847.pdf. Accessed 20 May 2022
Zurück zum Zitat Seiler M, Webb J, Myer NF (1999) Are EREITs real estate? J Real Estate Portf Manag 5(2):171–181. https://doi.org/10.1080/10835547.1999.12089577CrossRef
Zurück zum Zitat Sengupta C (2004) Financial modeling using excel and VBA. John Wiley & Sons, Hoboken
Zurück zum Zitat Shah SA, Khan M, Raza H (2019) Pricing downside risk in arbitrage pricing theory: a comparison across emerging and developed markets. NUML Int J Bus Manag 14(2):111–127 (https://www.numl.edu.pk/journals/subjects/1580793599Volume%2014%20(2)%20Article‑8.pd)
Zurück zum Zitat Sheather S (2009) A modern approach to regression with R. Springer, New YorkCrossRef
Zurück zum Zitat Sinha AK (2021) The reliability of geometric Brownian motion forecasts of S&P500 index values. J Forecast 40(8):1444–1462. https://doi.org/10.1002/for.2775CrossRef
Zurück zum Zitat Stelk SJ, Zhou J, Anderson RI (2017) REITs in a mixed-asset portfolio: an investigation of extreme risks. J Altern Invest 20(1):81–91. https://doi.org/10.3905/jai.2017.20.1.081CrossRef
Zurück zum Zitat Stoxx (2020) CDAX Indices. Available online at https://www.dax-indices.com/index-details?isin=DE0008469602. Accessed 8 May 2024
Zurück zum Zitat Su Z, Taltavull P (2021) Applying the Fama and French three-factor model to analyze risk/reward in the Spanish REITs: an ARDL approach. J Eur Real Estate Res 14(2):187–206. https://doi.org/10.1108/JERER-11-2019-0043CrossRef
Zurück zum Zitat Surapaitoolkorn W (2009) Market risk vaR historical simulation model with autocorrelation effect: a note. Int J Bank Finance 6(2):155–165. https://doi.org/10.32890/ijbf2009.6.2.8395CrossRef
Zurück zum Zitat Swanson Z, Theis J, Casey KM (2002) REIT risk premium sensitivity and interest rates. J Real Estate Finan Econ 23(3):319–330CrossRef
Zurück zum Zitat Szumilo N, Wiegelmann T, Łaszkiewicz E, Pietrzak MB, Balcerzak AP (2018) The real alternative? A comparison of German real estate returns with bonds and stocks. J Prop Invest Finance 36(1):19–31. https://doi.org/10.1108/JPIF-02-2017-0012CrossRef
Zurück zum Zitat Westerheide P (2006) Cointegration of real estate stocks and REITs with common stocks, bonds and consumer price inflation—an international comparison. ZEW—centre for European economic research. Mannheim. Discussion paper no. 06-057. http://ftp.zew.de/pub/zew-docs/dp/dp06057.pdf. Accessed 20 May 2022
Zurück zum Zitat Wheaton WC, Torto RG, Sivitanides PS, Southard JA, Hopkins RE, Costello JM (2001) Real estate risk: a forward-looking approach. Real Estate Finance 18(3):20–28
Zurück zum Zitat Zajonz R (2010) Die Bewertung europäischer Immobilienaktien. Theoretische und empirische Modelle zur Erklärung der NAV-Spreads. Eul, Lohmar/Köln (Univ., Diss., 2010)
Zurück zum Zitat Zajonz R, Rehkugler H (2009) Premiums und Discounts bei Immobiliengesellschaften – Theoretische Erklärungen und empirische Belege. In: Rehkugler H (ed) Die Immobilie als Kapitalmarktprodukt. Oldenbourg, München, pp 461–500CrossRef
Zurück zum Zitat Zhou J (2012) Extreme risk measures for REITs: a comparison among alternative methods. Appl Financial Econ 22(2):113–126. https://doi.org/10.1080/09603107.2011.605752CrossRef
Zurück zum Zitat Zhou J, Anderson RI (2012) Extreme risk measures for international REIT markets. J Real Estate Finan Econ 45(1):152–170. https://doi.org/10.1007/s11146-010-9252-5CrossRef
Zurück zum Zitat Zhu B (2018) The time-varying nature of REITs. Real Estate Manag Valuat 26(1):26–38. https://doi.org/10.2478/remav-2018-0003CrossRef
Zurück zum Zitat Zietz EN, Sirmans GS, Friday FG (2003) The environment and performance of real estate investment trusts. J Real Estate Portfolio Manag 9(2):127–165. https://doi.org/10.1080/10835547.2003.12089679CrossRef