Zum Inhalt

Gamma radiation-induced synthesis of a high-performance alginate/poly(acrylic acid-vinyl sulfonic acid) adsorbent for Cu(II) and Zn(II) ions

  • Open Access
  • 01.05.2026
  • Original Paper
Erschienen in:

Aktivieren Sie unsere intelligente Suche, um passende Fachinhalte oder Patente zu finden.

search-config
loading …

Abstract

Diese Studie konzentriert sich auf die Synthese und Charakterisierung eines Hochleistungs-Adsorbens aus Alginat / Poly (Acrylsäure-Vinylsulfonsäure) mittels Gammastrahlung. Die Forschung untersucht die Wirksamkeit des Adsorptionsmittels bei der Entfernung von Cu (II) - und Zn (II) -Ionen aus wässrigen Lösungen, wobei ein besonderer Schwerpunkt auf den Adsorptionsmechanismen, der Kinetik und thermodynamischen Parametern liegt. Die Studie verwendet ein faktorielles Design zur Optimierung von Variablen wie pH-Wert, Anfangsmetallkonzentration, Kontaktzeit, Temperatur und Rührgeschwindigkeit, um die Abscheideeffizienz beider Schwermetalle zu steigern. Die Ergebnisse zeigen, dass das Adsorptionsmittel eine hohe Adsorptionskapazität für Cu (II) und Zn (II) erreicht, was es zu einem vielversprechenden Kandidaten für die Umweltsanierung macht. Die detaillierte Charakterisierung mittels Techniken wie FTIR, TGA, XRD, XPS, Zeta-Potenzial und REM liefert ein umfassendes Verständnis der strukturellen und thermischen Eigenschaften des Materials. Die Adsorptionsstudien zeigen, dass der Prozess spontan und exotherm abläuft, mit negativen Gibbs-Werten für freie Energie, Enthalpie und Entropie. Die Studie kommt zu dem Schluss, dass das Alg-P (AA-co-VSA) -Pfropfcopolymer ein großes Potenzial als Adsorptionsmittel zur Schwermetallentfernung mit vielversprechenden Anwendungen in der Abwasserbehandlung aufweist.

Supplementary Information

The online version contains supplementary material available at https://doi.org/10.1007/s00289-025-06254-9.

Publisher’s Note

Springer Nature remains neutral with regard to jurisdictional claims in published maps and institutional affiliations.

1. Introduction

Heavy metals are major environmental pollutants that pose serious health risks. Among them, copper (Cu(II) is particularly toxic at elevated levels, causing gastroininal disorders, hemolysis, hepatotoxicity, and nephrotoxicity [1]. Zinc (Zn(II), widely used in industries such as paints, batteries, fertilizers, pharmaceutical, textiles, and electroplating, also contributes significantly to environmental pollution [2]. Excess zinc exposure can lead to stomach cramps, nausea, vomiting, anaemia, pancreatic damage, and reduced cholesterol levels, while zinc deficiency may impair immune function and delay wound healing [1]. The World Health Organization (WHO) sets permissible limits for Cu(II) and Zn(II) in drinking water at 2.0 mg/L and 3.0 mg/L, respectively [3].
Several techniques are available for removing heavy metals from wastewater, with adsorption being one of the most effective. Numerous biosorbents such as starch (St), cellulose (Ce), alginate (Alg), and chitosan (Cs) have been explored for heavy metal removal, because they are sustainable, low cost, biodegradable, biocompatible, and rich in functional groups that enhance metal ion adsorption [4, 5]. However, their limited mechanical stability can restrict their large-scale applications, especially for complex effluents containing multiple contaminants. To improve the performance of biopolymers, chemical and physical modifications, including radiation-induced graft polymerization, have been employed. This method uses gamma (γ) radiation to generate free radicals, enhancing polymer reactivity and functionality without harmful reagents [6, 7]. It also provides precise control over the polymerization and grafting processes [8], enabling the development of composites with improved properties suitable for wastewater treatment. Our group has successfully utilized γ-irradiation to prepare various composites, demonstrating the technique’s versatility and effectiveness. For instance, a starch-acrylic acid-co-vinyl sulfonic acid/multiwalled carbon nanotubes (St-AA-co-VSA/MWCNTs) nanocomposite efficiently adsorbed Eu(III) and Cs(I), following pseudo-second-order kinetics and fitting Langmuir and Freundlich models, with favourable endothermic behaviour [9]. The PAA/MWCNTs composite showed significant enhancements in Co(II) and Eu(III) adsorption, achieving complete uptake under optimal conditions [10]. Additionally, the St-PAA-PVSA graft copolymer synthesized via γ-radiation exhibited high adsorption efficiency for Co(II) and Eu(III) radionuclides, following pseudo-second order and Langmuir models [11]. More recently, the Alg-PAA/f-MWCNTs composite achieved 83% removal of nigrosine dye and demonstrated good regeneration capability for industrial wastewater treatment [12].
Alginate-based materials have been widely applied for removing heavy metals, with their adsorption performance strongly influenced by structural functionalities. For example, magnetic alginate beads exhibited an adsorption capacity of 99.5 mg/g for Pb(II) across a pH range of 2.3–6.0 [13], while Ca2+-Alg immobilized activated carbon and Saccharomyces cerevisiae removed 64.90 mg/g of Cu(II) and 166.31 mg/g of Pb(II) [14]. Tetra sodium thiacalix arenetetrasulfonate-alginate nanogel composites, displayed adsorption of 90.56 mg/g for Cu(II), and 99.8 mg/g for Pb(II) [15]. Sodium alginate hydrogel beads removed Cu(II) and Fe(III) with capacities of 54.9 mg/g and 135.5 mg/g, respectively [16]. Sodium alginate-g-poly(acrylic acid-co-acrylamide) nano-composite hydrogels exhibited high adsorption capacity for Pb(II) (480.77 mg/g) [17], and alginate/reduced graphene double-network hydrogel beads achieved 169.5 mg/g for Cu(II) and 72.g mg/g for \(\:{Cr}_{2}{O}_{7}^{2-}\) [18]. Alginate composite beads efficiently removed Ni(II) through ion-exchange mechanism with 98.5% removal with artificial neural network (ANN) and central composite design (CCD) accurately modelled adsorption [19], while alginate–nano-hydroxyapatite beads exhibited high uptake of Ni(II) (360 mg/g) and rhodamine B (480 mg/g), governed by external mass-transfer resistance [20]. Iron-oxide modified sericite alginate beads removed 133.73 mg/g of Pb(II) and 21.61 mg/g of As(V) at pH 5.0 [21]. Ethylenediamine-modified Ca2+-Alg aerogels showed adsorption capacities of 219.3 mg/g for Pb(II) and 87.83 mg/g for Cu(II) [22], and porous epichlorohydrin/thiourea modified alginate effectively removed 25.85 mg/g of Hg(II) at pH 3.0 [23]. Modified alginate-based bio-composite hydrogel microspheres demonstrated adsorption capacities of 124.1 mg/g for Cu(II) and 369.6 mg/g for Pb(II) [24]. Mesoporous alginate/β-cyclodextrin polymeric beads showed adsorption capacities of 21.09 mg/g, 15.54 mg/g, 2.68 mg/g, and 2.47 mg/g for Pb(II), Cu(II), Ni(II), and Cd(II), respectively [25], while calcium alginate-nZVI-biochar composites achieved 47.27 mg/g for Cd(II), 71.77 mg/g for Zn(II) and 247.99 mg/g for Pb(II) [26]. The Alg-AA-VSA/f-MWCNTs composite, synthesized via γ-radiation, achieved an adsorption capacity of 306.39 mg/g for Co(II) [27]. A Cu(II)-imprinted alginate hydrogel achieved 50.21 mg/g adsorption for Cu(II) of 96.3% removal, with chemisorption-dominated kinetics, and excellent reusability [28].
The current study aims to synthesize and characterize the alginate-poly(acrylic acid-co-vinyl sulfonic acid) (Alg-P(AA-co-VSA)) graft copolymer and evaluate its effectiveness as an adsorbent for removing Cu(II) and Zn(II) ions from aqueous solutions. Alginate was selected owing to its natural abundance, biocompatibility, low toxicity, and high affinity for divalent metal ions with its carboxylate functionality. Acrylic acid was incorporated to introduce carboxylate groups, which play a dominant role in coordinating with heavy metal ions through electrostatic and chelation mechanisms. Vinyl sulfonic acid was chosen to enrich the surface with strongly acidic sulfonic groups, providing additional binding sites and improving adsorption under a wide pH range. The research will investigate the adsorption mechanisms, kinetics, and thermodynamic parameters associated with the adsorption process. Additionally, a factorial design will be employed to optimize variables such as pH, initial metal concentration, contact time, temperature, and agitation speed. By statistically analysing these variables, the study aims to enhance the removal efficiency of both heavy metals, contributing to improved wastewater treatment methods. The novelty of this work lies in the γ-radiation–induced fabrication of an alginate-based graft copolymer containing both (AA) and (VSA), producing a multifunctional adsorbent rich in carboxylate\(\:{-\text{C}\text{O}\text{O}}^{-}\) and sulfonate \(\:{-\text{S}\text{O}}_{3}^{-}\) groups. Unlike conventional chemically initiated grafting, γ-irradiation provides a clean, initiator-free technique that simultaneously induces cross-linking and grafting, yielding a thermally stable and highly reactive composite with enhanced structural uniformity.

2. Materials and methods

2.1. Chemicals and reagents

High-purity chemicals and solvents were used for the synthesis and analysis, including sodium alginate (Alg) and vinyl sulfonic acid sodium salt (VSA) (Sigma-Aldrich, Germany), acrylic acid monomer (AA), N,N’-methylenebisacrylamide (NMBA), hydrochloric acid (HCl), sodium hydroxide (NaOH), zinc(II) sulphate heptahydrate (ZnSO4.7H2O), and copper(II) sulphate pentahydrate (CuSO4.5H2O) (Merck, Germany), and methanol (ADWIC, Egypt).

2.2. Synthesis of the Alg-P(AA-co-VSA) copolymer

Alg-P(AA-co-VSA) graft copolymer was synthesized under optimized conditions. Briefly, 0.75 g of Alg was dispersed in 15 mL of distilled water (DW) and ultrasonicated at 50 °C for 30 min to obtain a homogeneous solution. Subsequently, 8.4 g of AA, 3.6 g of VSA, and 0.24 g of NMBA were added sequentially under continuous stirring, and the total volume was adjusted to 30 mL. Nitrogen gas was bubbled through the mixture to remove dissolved oxygen, and the solution was irradiated at room temperature with a 25 kGy dose using a Cobalt-60 gamma irradiator (60Co–γ-ray cell MC-20, Cyclotron Project, Inshas, Egypt). After irradiation, the grafted material was cut into small pieces, washed with a water-methanol mixture (50:50 v/v), filtered, and dried at 75 °C to constant weight for further characterization [9, 12]. Grafting percentage and grafting efficiency were calculated using Eqs. (1) and (2) [29].
$$\:{\text{Grafting}}\:{\text{percentage}}\:({\text{G}}\% )\:{\text{ = }}\:\frac{{{\text{(Wg}}\:-\:{\text{Wo)}}}}{{{\text{Wo}}}}\times{\text{100}}$$
(1)
$$\:{\text{Grafting}}\:{\text{efficiency}}\:({\text{GE}}\% )\:{\text{ = }}\:\frac{{{\text{(Wg}}\:-\:{\text{Wo)}}}}{{{\text{Wm}}}} \times \:{\text{100}}$$
(2)
Where Wo, Wg, and Wm are the weights of the polymer backbone (Alg), the grafted polymer (Alg-P(AA-co-VSA), and the monomers (AA and VSA), respectively.

2.3. Characterization of Alg-P(AA-co-VSA) copolymer

The structural characteristics of the Alg-P(AA-co-VSA) graft copolymer were analysed using Fourier transform infrared (FTIR) spectroscopy, thermogravimetric analysis (TGA), and differential thermal analysis (DTA). In addition, the point of zero charge (\(\:{pH}_{pzc}\)) of the graft copolymer was determined. The FTIR was employed to identify the chemical functionalities of the grafted copolymer within the 4000–400 cm− 1 range at a resolution of 4.0 cm− 1 using the KBr disc method on a Shimadzu infrared spectrometer (BOMEM, FTIR, Japan). Thermal properties were examined using TGA and DTA by heating 13.702 mg of the graft copolymer from 30 to 700 °C at a rate of 20 °C/min with a Shimadzu DTG-60 thermal analyzer (Japan). The \(\:{pH}_{pzc}\) of the Alg-P(AA-co-VSA) graft copolymer was determined by adding 10.0 mg of the graft copolymer to an array of 50 mL stoppered bottles containing 10 mL of buffer solutions with pH ranging from 2.0 to 12.0. The suspensions were shaken at 150 rpm at room temperature for 24 h. The final pH was measured, and \(\:\varDelta\:\:pH\:({pH}_{Initial\:}-\:{pH}_{Final})\) was plotted against \(\:{pH}_{Initial\:}\). The \(\:{pH}_{pzc}\) was identified at the point where \(\:\varDelta\:\:pH\) = 0 [30]. On the other hand, zeta potential measurements, X-ray diffraction (XRD), X-ray photoelectron spectroscopy (XPS), and scanning electron microscopy (SEM) were employed to characterize the structural and compositional features of the composite before and after metal ions adsorption. The zeta potential of both the unloaded and metal-loaded composites was measured in water using a Malvern Zetasizer Nano ZSP (ZEN5600). XRD analysis was performed to examine the crystallographic and amorphous features of the synthesized Alg-P-(AA-co-VSA) composite before and after adsorption, using a Rigaku SmartLab SE diffractometer (Japan). Measurements were carried out with Cu Kα radiation (Kβ filter) operated at 40 kV and 50 mA. Diffraction patterns were collected over a 2θ range of 5–80° at a scan speed of 5°/min and a step size of 0.02°. Samples were dried, finely powdered, and mounted on a silicon low-background holder. XPS analysis for the unloaded and loaded composite samples was conducted at room temperature using a Thermo Fisher Scientific ESCALAB 250Xi spectrometer with Al Kα radiation (hν = 1486.6 eV). Survey and high-resolution spectra were recorded at a pass energy of 20 eV with a 500 μm spot size. Binding energies were calibrated to the C 1s peak at 284.6 eV, and all spectra were processed using Origin software. SEM analysis was performed to investigate the surface morphology of the synthesized composite and metal-loaded samples. Micrographs were obtained using a JEOL JSM-5610LV (Japan) operated at 10 kV. Prior to imaging, the samples were sputter-coated with a thin conductive platinum layer using a JEOL JFC-1600 coater at 20 mA for 3 min to prevent charging and enhance image quality. All samples were mounted on aluminum stubs using conductive carbon tape.

2.4. Batch adsorption experiments

Batch experiments were performed to evaluate the efficiency of the Alg-P(AA-co-VSA) graft copolymer in removing Cu(II) and Zn(II) individually. The effects of pH, initial metal concentration (\(\:{\text{C}}_{\text{o}}\)), contact time (t), adsorbent dosage (m), agitation speed (A), and adsorption temperature (T) were investigated. A summary of the batch adsorption experiments is provided in Table 1.
Table 1
Range of variables for batch experiments, the bold values indicate the parameter range investigated for adsorption studies
Experiment
\(\:{\mathbf{C}}_{\mathbf{o}}\) (mg/L)
t (min)
m (g/L)
A (rpm)
pH
V (mL)
pH
10
240
0.05
150
3.0–7.0
50
Initial concentration
2.5–100
200
0.05
150
Cu(5.0) Zn(6.0)
50
Contact time
10
20–300
0.05
150
Cu(5.0) Zn(6.0)
50
Adsorbent dosage
10
200
0.5-4
150
Cu(5.0) Zn(6.0)
50
Temperature (25–55 ℃)
10
200
0.05
150
Cu(5.0) Zn(6.0)
50
Agitation speed
10
200
0.05
50–200
Cu(5.0) Zn(6.0)
50
A Cu(II) stock solution of 10 mg/L was prepared by dissolving 39.29 mg of CuSO4.5H2O in DW and diluting to a one liter in a volumetric flask. Similarly, a 10 mg/L of Zn(II) stock solution was prepared by dissolving 43.98 mg of ZnSO4.7H2O in DW and diluting to one liter. The pH of the Cu(II) and Zn(II) solutions was adjusted within the range of (3.0–7.0) using 0.2 M HCl and 0.2 M NaOH. The remaining concentrations of Cu(II) and Zn(II) ions after adsorption were measured by inductively coupled plasma-optical emission spectrometry (ICP-OES; Agilent 5110 VDV, Germany).

2.4.1. Effect of pH

To assess the effect of pH, 50 mL aliquots of 10 mg/L Cu (II) or Zn(II) solutions were each mixed with 0.05 g of the Alg-P(AA-co-VSA) graft copolymer. The pH was adjusted to values between 3.0 and 7.0 using 0.2 M HCl or 0.2 M NaOH. The mixtures were then shaken at 150 rpm on a rotary shaker and left overnight at room temperature. After equilibration, the residual metal ion concentrations were measured, and the removal percentage (\(\:\%R\)) was calculated using Eq. (3).
$$\:\%R=\frac{({\text{C}}_{\text{o}}-{\text{C}}_{\text{e}})}{{\text{C}}_{\text{o}}} \times 100$$
(3)
Where \(\:{\text{C}}_{\text{o}}\) and \(\:{\text{C}}_{e}\) (mg/L) are the initial and equilibrium concentrations of ions (i.e., Cu(II) and Zn(II)), respectively.

2.4.2. Effect of contact time

To examine the effect of contact time (t) on adsorption, 50 mL of 10 mg/L Cu(II) or Zn(II) solution at the optimal pH was mixed with 0.05 g of the Alg-P(AA-co-VSA) graft copolymer. The suspensions were shaken at 150 rpm at room temperature. Samples were collected at time intervals between 200 and 300 min, and the remaining metal concentrations were measured. The adsorption capacity (\(\:{Q}_{t}\)) was calculated using Eq. (4).
$$\:{Q}_{t}=\frac{\left({\text{C}}_{\text{o}}-{\text{C}}_{\text{t}}\right)\times \text{V}}{\text{m}}$$
(4)
where \(\:{Q}_{t}\) (mg/g) represents the mass of adsorbed metal ions per gram of adsorbent at time (\(\:t\)); \(\:{\text{C}}_{\text{o}}\) and \(\:{\text{C}}_{\text{t}}\) (mg/L) are the initial and time-dependent concentrations of Cu(II) and Zn(II) ions, respectively; m (g) is the mass of adsorbent; and V (L) is the volume of the Cu(II) or Zn(II) solutions.

2.4.3. Effect of initial concentration

To study the effect of initial metal concentration, 0.05 g of the Alg-P(AA-co-VSA) graft copolymer was added to 50 mL of Cu(II) or Zn(II) solutions at the optimal pH, with concentrations ranging from 2.5 to 100 mg/L. The mixtures were shaken at 150 rpm for the optimal contact time at room temperature. The equilibrium concentrations of Cu(II) and Zn(II) ions were determined and subsequently used to calculate both \(\:\%R\) and \(\:{Q}_{t}\) using Eqs. (3) and (4), respectively.

2.4.4. Effect of adsorbent dosage

To evaluate the influence of adsorbent dose, different dosages (m = 0.5–4.0 g/L) of the Alg-P(AA-co-VSA) graft copolymer were added to 50 mL of 50 mg/L Cu(II) or Zn(II) solutions adjusted to the optimal pH. The mixtures were shaken at 150 rpm for the optimal duration at room temperature. After filtration, the remaining metal concentrations of Cu(II) or Zn(II) were measured, and \(\:\%R\) and \(\:{Q}_{t}\) were computed using Eqs. (3) and (4), respectively.

2.4.5. Effect of agitation speed

The effect of agitation speed (A; rpm) was investigated to determine the optimal mixing rate (rpm) for the adsorption. A 0.05 g sample of the Alg-P(AA-co-VSA) graft copolymer was added to 50 mL of 10 mg/L Cu(II) or Zn(II) solutions at the optimal pH at room temperature. Four agitation speeds were tested: 50, 100, 150, and 200 rpm.

2.4.6. Effect of temperature

To study the temperature effect, 0.05 g of the Alg-P(AA-co-VSA) graft copolymer was mixed with 50 mL of 10 mg/L Cu(II) or Zn(II) solutions adjusted at the optimal pH. The mixtures were shaken at 150 rpm at four different temperatures: 25, 35, 45 and 55 °C, using a shaker incubator for the optimal contact time. The concentrations of un-adsorbed Cu(II) or Zn(II) ions were measured, and \(\:\%R\) was calculated using Eq. (3).

3. Results and discussion

3.1. Synthesis of Alg-P(AA-co-VSA) copolymer

The Alg-P(AA-co-VSA) graft copolymer was synthesized through γ-radiation-induced graft copolymerization of AA and VSA onto the surface of Alg, using NMBA as the crosslinker. The synthesis followed optimized conditions that maximized grafting percentage (G% ~ 810.5%), and grafting efficiency (GE% ~ 77.0%). The optimal composition for the Alg-P(AA-co-VSA) graft copolymer consisted of 2.5 w% Alg, 40 w% comonomer, 0.8 w% NMBA, and a 70/30 w% AA/VSA ratio, irradiated at an absorbed dose of 25 kGy [12, 27].

3.2. Characterization of Alg-P(AA-co-VSA) copolymer

The functional and microstructural properties of the native Alg polymer, characterized by FTIR and SEM, are provided in the supplementary data (Figure S1). The FTIR spectrum of the Alg-P(AA-co-VSA) graft copolymer (Fig. 1a) displays characteristic absorption bands assigned to the functional groups originating from the Alg backbone, AA, VSA, and the NMBA crosslinker. A broad band observed at 3150–3550 cm−1 corresponds to O-H stretching vibrations, indicative of hydrogen bonding among hydroxyl and carboxyl groups of Alg, and AA. Absorption peaks in the 2875–2950 cm−1 range are attributed to C-H stretching of methylene (-CH2-) groups in the graft copolymer network. A strong band at 1723 cm− 1 is due to the C = O stretching of carboxylic acid groups, mainly from AA. The absorption band in the 1530–1630 cm− 1 range suggests the presence of amide bonds (amide II), resulting from the interaction between NMBA’s amide groups and the carboxyl groups from AA or Alg, in addition to the asymmetric stretching of the carboxylate (COO⁻) group. Other characteristic bands include 1452 cm− 1 (C-H bending), 1390–1430 cm−1 (COO⁻ symmetric stretching), and 1175–1325 cm−1, likely due to the stretching vibration of C-O (Alg) and the sulfonyl (S = O) group in VSA. The region 1005–1050 cm− 1 corresponds to C-O-C stretching, confirming the polysaccharide backbone of Alg.
The thermal analysis of the Alg-P(AA-co-VSA) graft copolymer reveals four distinct degradation stages, as shown in Fig. 1b. The first stage (13.96%) occurs between 80 and 225 °C, attributed to moisture and adsorbed water loss. The second stage (12.34%) between 225 and 335 °C involves the degradation of volatile functional groups and the Alg backbone. The third stage (12.31%) between 335 and 420 °C reflects the breakdown of grafted AA-co-VSA chains. The final major stage (31.79%) between 420 and 520 °C represents the copolymer’s thermal degradation.
Fig. 1
(a) The FTIR spectrum, (b) TGA and DTA thermograms, and (c) point of zero charge as a function of pH for Alg-P(AA-co-VSA) graft copolymer
Bild vergrößern
Above 520 °C, the remaining residual mass is is attributed to thermally stable inorganic salts (e.g., sodium oxide or sulfate), carbonaceous char and nitrogen-containing residues from the NMBA cross-linking framework.
The point of zero charge experiment as a function of initial pH values is presented in Fig. 1c. The plot displays fluctuations in ΔpH which can be attributed to several factors, including surface heterogeneity, ion exchange, and the buffering capacity of the Alg-P(AA-co-VSA) graft copolymer [31, 32]. The graft copolymer contains various functional groups with distinct pKa values, which interact with protons in a non-linear manner, leading to saturation or deprotonation effects that influence ΔpH. In this study, the isoelectric point (\(\:{pH}_{pzc}\)) of the Alg-P(AA-co-VSA) graft copolymer was determined to be at pH = 6.63. Notably, at pH = 2.0, both functional groups (-COOH and -SO3H) are highly protonated and readily make proton exchange with solution, leading to a less negative ΔpH value of -0.43. At pH = 3.0 and pH = 5.0, both sulfonate and carboxylate groups exist predominantly in their deprotonated forms, resulting in strong negative ΔpH values of -1.131 and − 1.249, respectively, associated with the strong proton uptake from the solution. However, at pH 4.0, the sulfonic groups are deprotonated, while the carboxylic groups remain protonated, thus the carboxyl groups act as buffers, releasing protons to stabilize pH fluctuations, leading to a smaller ΔpH of -0.354. At pH values between 5.0 and 6.63 (\(\:{pH}_{pzc}\)), the graft copolymer acts as a buffer due to the predominance of deprotonated groups. Beyond \(\:{pH}_{pzc}\), the graft copolymer surface becomes negatively charged, indicated by positive ΔpH values.
The zeta potential measurements of the Alg-P(AA-co-VSA) composite and the metal-loaded samples (Zn(II) and Cu(II)) were carried out in water to evaluate the surface charge characteristics and to gain insight into the colloidal stability and metal–polymer interactions (Figure S2; Supporting data). The pristine composite showed a strongly negative zeta potential (–37.6 mV), indicating high colloidal stability due to abundant anionic surface groups. After Zn(II) loading, the zeta potential increased to − 26.8 mV, while Cu(II) loading resulted in − 29.2 mV. In both cases, the decrease in negative charge reflects partial neutralization as the divalent metal ions bind to surface functional groups. Zn(II) caused slightly greater charge reduction than Cu(II), suggesting stronger or more extensive interaction. Despite these changes, all samples remained within the range of good colloidal stability, confirming successful metal binding without inducing aggregation.
The XRD patterns of the Alg-P(AA-co-VSA) composite and the metal-loaded samples (Composite@Zn and Composite@Cu) exhibit broad humps centered at approximately 7.5°, 20.9–22.4°, and 39.4–40.6°, characteristic of the predominantly amorphous nature of alginate-based polymers (Figure S3; Supporting data). The main broad peak near 21–22° corresponds to the disordered polysaccharide backbone, while the humps at low (≈ 7.5°) and high angles (≈ 39–41°) reflect short-range structural ordering within the grafted networks. After Cu(II) and Zn(II) adsorption, a slight decrease in peak intensity and minor shifts in the broad features are observed, particularly for Composite@Cu. These changes indicate reduced structural regularity and partial disruption of the polymer matrix due to metal–ligand interactions with carboxylate and sulfonate groups. The absence of sharp crystalline peaks for Cu or Zn species suggests that the ions are uniformly dispersed and coordinated within the composite rather than forming separate crystalline phases. Thus, the XRD results confirm that metal uptake occurs through binding within the amorphous polymer network without inducing crystallization.
X-ray photoelectron spectroscopy (XPS) was employed to examine the surface chemical states and elemental composition of the pristine composite and the metal-ion-adsorbed samples [33]. All binding energies were calibrated with respect to the C 1s reference peak at 284.6 eV [34]. The survey scans (0–1100 eV) revealed signals characteristic of C, N, and O in all samples (Fig. 2a), while sulphur appeared only as a very weak or noisy feature due to its low abundance and the limited sensitivity of the Al Kα excitation source. Nevertheless, S-related peaks were confirmed in the high-resolution spectra provided in the supplementary data (Figure S4a-f). The detected Auger and core-level features were consistent with values reported in established XPS databases and literature sources [3538]. After adsorption, clear Zn and Cu signals appeared, demonstrating successful metal uptake. The Zn 2p3/2 peak at 1021.6 eV and the Cu 2p3/2 peak at 933.1 eV indicated that both metals were present in the + 2 oxidation state (Fig. 2b, c). This confirms that Zn(II) and Cu(II) are stabilized on the composite surface through coordination with oxygen-containing groups [35, 38, 39]. The C 1s spectra showed the expected components (C–C, C–O/C–N, and O–C = O). Following adsorption, only slight increases in the C–O peak were observed, indicating interaction between metal ions and oxygen donor sites but no formation of new carbon chemical states (Fig. 2d-f) [40, 41]. The O 1s spectra provided clear evidence of metal–oxygen coordination. An additional low-binding-energy peak at 530.5–530.7 eV, corresponding to M–O bonds, appeared only in the Zn- and Cu-loaded samples. The increased intensity of this component confirms the formation of Zn–O and Cu–O bonds on the composite surface (Fig. 2g-i) [42, 43]. Analyses of the N 1s and S 2p core-level spectra are provided in the supplementary material (Figure S4 a-f). Thus, the XPS analysis verifies the expected elemental composition and demonstrates effective adsorption of Zn(II) and Cu(II) through oxygen-mediated coordination on the composite.
Fig. 2
XPS analysis of the pristine and metal-adsorbed composites: (a) survey spectra show elemental composition and the appearance of Zn(II) and Cu(II) after adsorption, (b, c) high-resolution Zn 2p and Cu 2p spectra confirm metal adsorption, (d-f) C 1s core-level spectra, and (g-i) O 1s core-level spectra, reveal changes in carbon and oxygen functional groups upon metal binding
Bild vergrößern
Fig. 3
SEM images of the Alg-P-(AA-co-VSA) composite: (a) pristine, (b) after Zn(II) adsorption, and (c) after Cu(II) adsorption
Bild vergrößern
The microstructure SEM morphology of the unloaded Alg-P-(AA-co-VSA) composite shows an irregular, highly rough surface composed of aggregated clusters with a sponge-like texture (Fig. 3a). The particles appear interconnected, forming a porous structure with numerous micro-cavities. This SEM morphology is advantageous for adsorption because it increases the available surface area and provides multiple binding sites for metal ions. After Zn(II) or Cu(II) adsorption, noticeable morphological changes are observed. The surface becomes more compact and less porous compared to the unloaded sample (Fig. 3b, c). The aggregated clusters appear smoother, and some pores seem partially filled, indicating successful metal ion uptake. The reduced surface roughness and denser morphology suggest that Zn(II) and Cu(II) ions were deposited on the composite surface or within the pores, forming a more consolidated structure.

3.3. Adsorption studies

3.3.1. Optimization of adsorption process

Effect of pH
The effect of pH on the adsorption of Cu(II) and Zn(II) by the Alg-P(AA-co-VSA) graft copolymer was evaluated over a pH range of 3.0–7.0 (Fig. 4a). The highest removal efficiencies were obtained at pH = 5.0 for Cu(II) (98.14%) and pH 6.0 for Zn(II) (94.80%). This behaviour is likely due to the deprotonation of the sulfonyl and carboxyl functional groups at pH values above their pKa, which enhances the electrostatic attraction and complexation with metal cations. Thus, increasing the pH reduces proton competition and decreases the positive surface charge, facilitating metal ion binding and enhancing the \(\:\%R\). These results are consistent with the experimentally determined point of zero charge (\(\:{pH}_{pzc}\)), which indicates that the most favourable pH range for heavy metal cation adsorption lies between 5.0 and 6.63. In this range, strong electrostatic attraction occur between metal cations and deprotonated groups such as -COO⁻ and -SO3⁻ on the Alg-P(AA-co-VSA) adsorbent surface [44]. At pH values above the \(\:{pH}_{pzc}\) = 6.63, the surface of the copolymer becomes negatively charged; however, removal efficiency decreases due to the tendency of Cu(II) and Zn(II)to form stable insoluble hydroxide species (e.g., CuOH+, Cu(OH)2, Zn(OH)2, etc.) which precipitate instead of adsorbing onto the surface [31].
Effect of time
The influence of contact time on the adsorption of Cu(II) and Zn (II) was evaluated over a period of 20–300 min (Fig. 4b). The removal efficiency (\(\:\%R\)) increased steadily with time until equilibrium was reached. For Cu(II), \(\:\%R\) increased from 15.0% to 98.23%, and for Zn(II), from 10.32% to 94.24%, as the contact time increased from 20 to 200 min. Beyond 200 min, no significant increase in \(\:\%R\) was observed, indicating that equilibrium had been attained. This plateau can be attributed to saturation of available active sites on the adsorbent surface. As the adsorption process progresses, the number of unoccupied sites decrease, leading to intensified competition among the un-adsorbed Cu(II) or Zn(II) ions, and consequently slowing the adsorption rate [45].
Fig. 4
Optimization conditions for batch adsorption experiments for the removal of Cu(II) and Zn(II) ions by Alg-P(AA-co-VSA) adsorbent: (a) pH, (b) contact time, (c) initial concentration of the adsorbate, (d) adsorbent dose, (e) agitation speed, and (f) temperature
Bild vergrößern
Effect of initial concentration
The effect of varying the initial metal ion concentration from 2.5 to 100 mg/L is shown in Fig. 4c. As the initial concentration increased, the removal efficiency (\(\:\%R\)) for Cu(II) decreased from nearly 100% to 64.67%, while Zn(II) decreased from 100% to 60.49%. This decline is due to the continuous reduction in the ratio of available active binding sites to the number of metal ions at higher concentrations [46]. Conversely, the equilibrium adsorption capacity (\(\:{Q}_{e}\)) increased from 2.50 to 64.67 mg/g for Cu(II) and from 2.50 to 60.49 mg/g for Zn(II), likely due to more active sites being occupied as mass transfer resistance between the adsorbent surface and the bulk solution is overcome [47, 48]. Additionally, higher initial concentrations enhance more interactions between adsorbate ions and the adsorbent surface [49].
Effect of adsorbent dosage
The influence of adsorbent dosage on the adsorption of Cu(II) and Zn(II), was evaluated using Alg-P(AA-co-VSA) dosages ranging from 0.50 to 4.0 g/L (Fig. 4d). The \(\:\%R\) increased with higher adsorbent dosages, reaching 100% for Cu(II) at 4.0 g/L, and 96.48% for Zn(II) at 3.0 g/L, due to the availability of more binding sites. However, the \(\:{Q}_{e}\) decreased from 18.13 to 2.50 mg/g for Cu(II) and from 17.67 to 2.40 mg/g for Zn(II) as the dosage increased, likely due to a lower ratio of Cu(II) or Zn(II) ions to available active sites at higher adsorbent masses [50].
Effect of agitation speed
Agitation speedhad significant influence on the adsorption performance. Increasing the rpm from 50 to 200 markedly enhanced the adsorption efficiency from 70% to 99% for Cu(II) and from 60% to 95% for Zn(II)(Fig. 4e). Higher agitation promotes turbulence in the system, reducing the thickness of the boundary layer surrounding the adsorbent particles and facilitating faster mass transfer of metal ions toward active sites, thereby enhancing the adsorption rate.
Effect of temperature
The effect of temperature on adsorption was examined between 25 °C and 55 °C. The removal efficiency of Cu(II) and Zn(II) ions decreased from 98.26% to 78.07% and from 94.26% to 72.46%, respectively as temperature increased (Fig. 4f). This trend indicates that adsorption is favoured at lower temperatures. The decline in \(\:\%R\) with increasing temperature may be due to the increased tendency of Cu(II) and Zn(II) ions to desorb from the adsorbent surface back into the bulk solution [45].

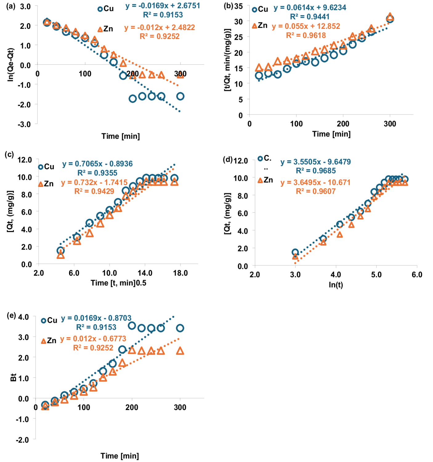
3.3.2. Adsorption kinetics studies

Five kinetic models: pseudo-first-order, pseudo-second-order, intra-particle diffusion, Elovich and Boyd, were applied to study the adsorption of Cu(II) and Zn (II) by Alg-P(AA-co-VSA) adsorbent.
Table 2 presents the mathematical expressions and fitted parameters, while Fig. 5a-e displays the linear fits, and corresponding R² values. The pseudo-second-order model provided a substantially better fit for both Cu(II) and Zn(II) adsorption, with R² values of 0.962 and 0.944, respectively, compared to the pseudo-first-order model, as given in Table 2. This suggests that the adsorption rate of both metal ions depends more on the adsorbent’s capacity than the adsorbate concentration [51].
Fig. 5
Kinetic models of the adsorption of Cu(II) and Zn(II) on Alg-P(AA-co-VSA) graft copolymer: (a) pseudo-first-order, (b) pseudo-second-order, (c) intra-particle-diffusion, (d) Elovich, and (e) Boyd
Bild vergrößern
Table 2
Kinetic parameters for the sorption of Cu(II) and Zn(II) on Alg-P(AA-co-VSA) adsorbent
Model
Equation
Parameter
Unit
Cu(II)
Zn(II)
\(\:{Q}_{e}\)(Exp.)
mg/g
9.82
9.42
Pseudo-first order
\(\:\text{l}\text{n}({\text{Q}}_{\text{e}}-{\text{Q}}_{\text{t}})=\text{l}\text{n}{\text{Q}}_{\text{e}}-{\text{k}}_{1}\text{t}\)
k1
min− 1
0.0169
0.012
\(\:{Q}_{e}\)(Cal.)
mg/g
14.51
11.97
R2
0.915
0.925
Pseudo-second order
\(\:\frac{\text{t}}{{\text{Q}}_{\text{t}}}=\frac{1}{{\text{k}}_{2}{\text{Q}}_{\text{e}}^{2}}+\frac{\text{t}}{{\text{Q}}_{\text{e}}}\)
k2
g/mg/min
0.00039
0.00024
\(\:{Q}_{e}\)(Cal.)
mg/g
16.29
18.18
h (k2 Qe2)
mg/g/min
0.1035
0.0793
R2
0.962
0.944
Intra-particle diffusion
\(\:{\text{Q}}_{\text{t}}={\text{K}}_{\text{i}\text{d}}{\text{t}}^{0.5}+\text{C}\)
\(\:{k}_{id}\)
mg/g/min1/2
0.7065
0.732
\(\:C\)
-
-0.8936
-1.7415
R2
0.936
0.943
Elovich
\(\:{\text{Q}}_{\text{t}}=\frac{1}{\beta\:}\text{ln}\left(t\right)+\frac{1}{\beta\:}\text{ln}\left(\alpha\:\beta\:\right)\)
Α
mg/g/min
0.2345
0.1961
Β
g/mg
0.2817
0.2740
R2
0.969
0.961
Boyd
\(\:{\text{B}}_{\text{t}}=-0.4977-\text{ln}\left(1-F\left(t\right)\right)\)
\(\:F\left(t\right)=\:\frac{{Q}_{t}}{{Q}_{e}}\)
R2
0.915
0.925
\(\:{\mathbf{Q}}_{\mathbf{e}}\)and\(\:{\mathbf{Q}}_{\mathbf{t}}\)are the adsorption capacity (mg/g) of adsorbents at equilibrium and at time\(\:\varvec{t}\)(min), respectively. The\(\:{\mathbf{k}}_{1}\)(min− 1) and\(\:{\mathbf{k}}_{2}\)(g/mg/min) are the pseudo-first order and pseudo-second order rate constant values, respectively. The\(\:{\mathbf{K}}_{\mathbf{i}\mathbf{d}}\)(mg/g/min1/2) is the intra-particle diffusion coefficient and\(\:\varvec{C}\)is the thickness of the boundary layer. The\(\:\varvec{\alpha\:}\)is the initial adsorption rate constant (mg/g/min) at\(\:{\mathbf{Q}}_{\mathbf{t}}\)= zero. The\(\:\varvec{\beta\:}\)is adsorption constant (g/mg) related to the extent of surface coverage and the activation energy of chemisorption. The\(\:\varvec{F}\left(\varvec{t}\right)\)is the fractional adsorption at time\(\:\left(\varvec{t}\right)\)
The intra particle diffusion model was applied to identify the rate-limiting step. In Fig. 5c, the plot of \(\:{Q}_{t}\) versus \(\:{t}^{0.5}\) does not pass through the origin, indicating that intra-particle diffusion is not the only rate-limiting step, as boundary layer diffusion also plays a role [52]. This conclusion is corroborated by the intercept \(\:C\) values of −0.894 for Cu(II) and −0.1.742 for Zn(II), and the faster intra-particle diffusion rates (\(\:{k}_{id}\)) of 0.707 for Cu(II) and 0.732 for Zn(II), Table 2. The heterogeneity of the prepared adsorbent was evaluated using Elovich model. The plot of \(\:{Q}_{t}\) against \(\:\text{ln}\left(t\right)\) exhibited a good fit, with high correlation coefficients (R2) of 0.969 for Cu(II) and 0.961 for Zn(II), indicating that the Alg-P(AA-co-VSA) graft copolymer has a heterogeneous surface, Fig. 5d; Table 2. This supports the conclusion that the adsorption process follows the pseudo-second order model, involving electron exchange or sharing through chemical adsorption [53]. Moreover, the relatively high Elovich parameters α (0.235 for Cu(II) and 0.196 for Zn(II)) and β (0.282 for Cu(II) and 0.274 for Zn(II)) indicate a larger number of available binding sites and a faster initial adsorption rate on the graft copolymer surface [54]. Finally, the Boyd model was used to distinguish whether film diffusion (external mass transfer) or pore diffusion controlled the adsorption process. The plot shown in Fig. 5e does not pass through the origin, confirming that film diffusion or external mass transfer is the rate-limiting step [52].

3.3.3. Adsorption isotherms studies

Three adsorption isotherm models, Langmuir, Freundlich, and Temkin, were applied to investigate the surface properties of the Alg-P(AA-co-VSA) adsorbent and to describe the interaction between the Cu(II) and Zn(II) ions and the adsorbent surface. The linear expression and fitting parameters for the applied models are summarized in Table 3, while the corresponding linear plots are shown in Fig. 6a-c.
The Langmuir plots of \(\:\frac{{C}_{e}}{{Q}_{e}}\) versus \(\:{C}_{e}\) exhibited high correlation coefficients (R2 = 0.984 for Cu(II) and 0.972 for Zn(II)), indicating good applicability of the monolayer adsorption model (Fig. 6a). The maximum monolayer capacities (\(\:{Q}_{m}\)) were 65.79 for Cu(II) and 60.98 mg/g for Zn(II)(Fig. 6a; Table 3). The Langmuir isotherm constants (\(\:{\text{K}}_{\text{L}}\)) were 0.601 L/mg and 0.336 L/mg for Cu(II) and Zn(II), respectively, suggesting stronger adsorption binding affinity of Cu(II) toward the Alg-P(AA-co-VSA) graft copolymer surface.
Table 3
Adsorption isotherm parameters for the adsorption of Cu(II) and Zn(II) onto Alg-P(AA-co-VSA) adsorbent
Model
Equation
Parameter
Unit
Cu(II)
Zn(II)
Langmuir
\(\:\frac{{\text{C}}_{\text{e}}}{{\text{Q}}_{\text{e}}}=\frac{1}{{\text{Q}}_{\text{m}}\:{\text{K}}_{\text{L}}}+\:\:\frac{1}{{\text{Q}}_{\text{m}}}\)
\(\:{\text{Q}}_{\text{m}}\)
mg/g
65.78
60.97
\(\:{\text{K}}_{\text{L}}\)
L/mg
0.601
0.336
R2
 
0.984
0.972
Freundlich
\(\:\text{l}\text{o}g{\text{Q}}_{\text{e}}=\text{l}\text{o}g{\text{K}}_{\text{F}}+\:\:\frac{1}{\text{n}}\text{lo}g{\text{C}}_{\text{e}}\)
\(\:\text{n}\)
 
2.77
2.304
\(\:1/\text{n}\)
 
0.361
0.434
\(\:{\text{K}}_{\text{F}}\)
mg/g ·\(\:({L/mg)}^{1/n}\:\)
19.70
13.10
R2
 
0.994
0.988
Temkin
\(\:{\text{Q}}_{\text{e}}=\:{\text{B}}_{\text{T}\:}\text{ln}{\text{K}}_{\text{T}}+\:{\text{B}}_{\text{T}\:}\text{ln}{\text{C}}_{\text{e}}\)
\(\:{\:\text{B}}_{\text{T}}=\text{R}\text{T}/\text{b}\)
\(\:{\text{B}}_{\text{T}}\)
J/mol
10.66
12.03
\(\:{\text{K}}_{\text{T}}\)
L/g
24.41
12.94
R2
 
0.964
0.981
\(\:{\mathbf{C}}_{\mathbf{e}}\) (mg/L) represents the equilibrium concentration of the adsorbate;\(\:{\varvec{Q}}_{\varvec{e}}\) (mg/g) is the amount of adsorbate adsorbed per unit mass of the adsorbent at equilibrium;\(\:{\mathbf{Q}}_{\mathbf{m}}\) (mg/g) signifies the maximum adsorption capacity of the adsorbent;\(\:{\mathbf{K}}_{\mathbf{L}}\) (L/mg) denots the Langmuir constant, relates to the affinity of the binding sites for the adsorbate;\(\:{\mathbf{K}}_{\mathbf{F}}\) [(mg/g)(L/mg)1/n] represents the Freundlich constant, which relates to the adsorption capacity; the parameter\(\:\mathbf{n}\) is a constant that reflects the adsorption intensity or favorability, with smaller values of\(\:1/\mathbf{n}\) indicating more favorable adsorption conditions;\(\:{\:\mathbf{B}}_{\mathbf{T}}\) is Temkin constant =\(\:\frac{\varvec{R}\varvec{T}}{\varvec{b}}\:\) (J/mol) and related to the heat of adsorption, while\(\:\varvec{T}\) is the absolute temperature (K);\(\:\varvec{R}\) is the ideal gas constant = 8.314 J/mol/K, and\(\:{\mathbf{K}}_{\mathbf{T}}\) is the Temkin isotherm equilibrium binding constant (L/g) related to the higher binding energy
The Freundlich isotherm plots of \(\:\text{l}\text{o}g{\text{Q}}_{\text{e}}\) against \(\:\text{lo}g{\text{C}}_{\text{e}}\) presented even better fit than the Langmuir model, with correlation coefficients of R2 = 0.994 for Cu(II) and 0.989 for Zn(II) (Fig. 6b; Table 3). The adsorption intensity factors (\(\:\frac{1}{n}\)) were 0.361 for Cu(II) and 0.434 for Zn(II), indicating adsorption on heterogeneous surface. The corresponding Freundlich constants (\(\:{\text{K}}_{\text{F}}\)) were 19.7 mg/g·\(\:({L/mg)}^{1/n}\:\) for Cu(II) and 13.1 mg/g·\(\:({L/mg)}^{\frac{1}{n}}\) for Zn(II), indicating strong adsorption capacities of the adsorbent toward both ions.
Although the Freundlich model provides the best statistical fit, it should be noted that this empirical model alone does not confirm multilayer adsorption. Likewise, the good fit of the Langmuir model suggests that monolayer adsorption also contributes to the overall process. Together, the results indicate that Cu(II) and Zn(II) adsorption onto the Alg-P(AA-co-VSA) adsorbent likely complex and may involve multiple mechanisms.
The Temkin isotherm analysis (Fig. 6c; Table 3) yielded Temkin constants \(\:{B}_{T}\) and \(\:{K}_{T}\) of 10.66 J/mol and 24.41 L/g for Cu(II), while 12.03 J/mol and 12.94 L/g for Zn(II), respectively. The Temkin equilibrium constant \(\:{K}_{T}\)for Cu(II) (24.41 L/g) is higher than that for Zn(II) (12.94 L/g), indicating that the Alg-P-(AA-co-VSA) composite has a stronger binding affinity for Cu(II) ions compared to Zn(II). The positive values of the heat-of-sorption parameter (\(\:{B}_{T}\))indicate an exothermic adsorption process, consistent with metal ion binding onto polymeric functional groups [55].
Fig. 6
Adsorption isotherm models for adsorption of Cu(II) and Zn(II): (a) Langmuir, (b) Freundlich, (c) Temkin, and (d) effect of temperature on the adsorption of Cu(II) and Zn(II) on Alg-P(AA-co-VSA) graft copolymer
Bild vergrößern

3.3.4. Adsorption thermodynamics

The effect of temperature on the adsorption of Cu(II) and Zn(II) was studied at four different temperatures to determine whether the process was exothermic or endothermic, and to evalaute the associated thermodynamic parameters. The standard Gibbs free energy change (∆Go, kJ/mol), enthalpy change (∆Ho, kJ/mol), and entropy change (∆So, J/mol/K) were calculated using Eqs. (5 and 6).
$$\:{\Delta}{\text{G}}^{0}={{\Delta}\text{H}}^{0}-\text{T}{{\Delta}\text{S}}^{0}$$
(5)
$$\:\text{log}(\frac{{Q}_{e}}{{C}_{e}})=\frac{{\Delta}{\text{S}}^{0}}{2.303\:R}-(\frac{{{\Delta}\text{H}}^{0}}{2.303\:RT})$$
(6)
Where \(\:{Q}_{e}\) is the equilibrium adsorption capacity(mg/g), \(\:{C}_{e}\) is the equilibrium concentration of metal ions in the solution (mg/L), \(\:R\) is the gas constant (8.314 J/mol/K), and \(\:T\) is the absolute temperature (K).
Table 4
Thermodynamic parameters for the sorption of Cu(II) and Zn(II) on Alg-P(AA-co-VSA) graft copolymer
Metal ion
\(\:\varvec{T}\) (K)
\(\:{\varvec{Q}}_{\varvec{e}}\)(mg/g)
ΔGo (kJ/mol)
ΔHo (KJ/mol)
ΔSo (J/mol/K)
R2
Cu(II)
298
9.826
-9.7206
-6.3149
-6.3192
0.9635
308
9.471
-7.4249
318
8.333
-5.1291
328
7.807
-2.8334
Zn(II)
298
9.426
-6.3149
-46.7688
-0.1358
0.8785
308
8.256
-4.9574
318
7.936
-3.5999
328
7.246
-2.2424
The linear Van’t Hoff plot of \(\:\text{log}(\frac{{Q}_{e}}{{C}_{e}})\) versus (\(\:\frac{1}{T}\)) is presented in Fig. 6d. The thermodynamic parameters, \(\:{{\Delta\:}\text{H}}^{0}\), \(\:{{\Delta\:}\text{S}}^{0}\), and \(\:{\Delta\:}{\text{G}}^{0}\) were obtained from the slope and intercept of the linear plot, and the calculated values are listed in Table 4. For the Alg-P(AA-co-VSA) graft copolymer, the \(\:{Q}_{e}\) decreased from 9.826 mg/g to 7.807 mg/g and from 9.426 mg/g to 7.246 mg/g for Cu(II) and Zn(II) respectively as the temperature increased. This decline in \(\:{Q}_{e}\) confirms the temperature sensitivity of the adsorption process and indicates exothermic behaviour. Consistently, the negative ΔH°, ΔG°, and ΔS° values indicate that the adsorption process is spontaneous and energetically favourable (Table 4). The negative entropy change (ΔS°) reflects increased ordering at the solid–solution interface as Cu(II) and Zn(II) ions interact with the functional groups of the Alg-P(AA-co-VSA) copolymer. This decrease in randomness can be attributed to several concurrent processes: (i) the increased structuring of water molecules during the partial dehydration of the hydrated metal ions, (ii) the reorganization of surface functional groups on the polymer as they participate in coordination, and (iii) the formation of more ordered metal–polymer complexes upon binding. Such effects have been widely reported for polymeric and mesoporous adsorbents, where metal ions undergo dehydration followed by coordination in a more ordered configuration [56].

3.4. Design of experiments (DoE), optimal prediction models, and estimation of maximum removal efficiency

The evaluation and analysis of the experimental trials were conducted using JMP® software (SAS Institute). A one-factor-at-a-time approach within a factorial design was employed to optimize preparation conditions and enhance the efficiency of heavy metal removal. This approach involved varying one factor while keeping other factors constant, allowing for the assessment of the impact of each individual factor on the \(\:\%R\) and the \(\:{Q}_{e}\) for Cu(II) and Zn(II).
Table 5 summarizes 40 experimental runs performed using six variables: pH, incubation time (min), initial concentration of the heavy metal (mg/L), temperature (°C), adsorbent dose (g/L), and agitation speed (rpm). These variables were selected based on existing literature and preliminary experiments. To estimate the effect of each factor, Logworth values were calculated. These values are the negative logarithm of the p-value of each factor’s effect, indicating the significance of the model’s parameters. At pH 6–7 (Runs 4 and 5, Table 5), the removal of Cu(II) drops to 0% because Cu2+ no longer remains in soluble form. Near neutral pH, Cu(II) undergoes hydrolysis and precipitates mainly as Cu(OH)2(s), greatly reducing the amount of free Cu2+ available for adsorption. Thus, the observed loss in removal efficiency is due to precipitation rather than poor adsorbent performance. In contrast, Zn(II) remains soluble in this pH range, allowing continued adsorption [57]. Figure 7 presents a summary of the effects of the investigated factors. The Logworth values for both Cu(II) and Zn(II) removal studies highlighted that the removal efficiency is predominantly influenced by three factors: initial concentration, pH, and time, which were identified as the most critical parameters for \(\:\%R\) and \(\:{Q}_{e}\).
Fig. 7
Factors effect summary showing logworth values for Cu(II), and Zn(II); LogWorth > 1.3 is significant (p-value < 0.05)
Bild vergrößern
Table 5
Factorial experimental design matrix and experimental results
Run
Actual values
Responses
pH
t (min)
\(\:{\varvec{C}}_{\varvec{o}}\:\) (mg/L)
T (°C)
m (g/L)
A (rmp)
%R
\(\:{\varvec{q}}_{\varvec{e}}\:\)(mg/g)
%R
\(\:{\varvec{q}}_{\varvec{e}}\:\)(mg/g)
Cu
Zn
Cu/Zn
Cu
Zn
1
3
3
240
10.0
25
0.05
150
79.33
6.83
43.30
4.20
2
4
4
240
10.0
25
0.05
150
89.97
8.03
59.18
5.80
3
5
5
240
10.0
25
0.05
150
98.14
10.03
86.43
8.47
4
6
6
240
10.0
25
0.05
150
0.00
0.00
94.81
8.58
5
7
7
240
10.0
25
0.05
150
0.00
0.00
92.44
7.95
6
5
6
20
10.0
25
0.05
150
15.00
1.50
10.32
1.03
7
5
6
40
10.0
25
0.05
150
30.33
3.03
26.21
2.62
8
5
6
60
10.0
25
0.05
150
46.67
4.67
35.10
3.51
9
5
6
80
10.0
25
0.05
150
54.64
5.46
46.25
4.63
10
5
6
100
10.0
25
0.05
150
61.33
6.13
55.87
5.59
11
5
6
120
10.0
25
0.05
150
70.41
7.04
64.02
6.40
12
5
6
140
10.0
25
0.05
150
83.67
8.37
77.82
7.78
13
5
6
160
10.0
25
0.05
150
88.67
8.87
83.42
8.34
14
5
6
180
10.0
25
0.05
150
94.32
9.43
89.24
8.92
15
5
6
200
10.0
25
0.05
150
98.23
9.82
94.24
9.42
16
5
6
220
10.0
25
0.05
150
98.00
9.80
94.00
9.40
17
5
6
240
10.0
25
0.05
150
98.00
9.80
94.00
9.40
18
5
6
260
10.0
25
0.05
150
98.00
9.80
94.00
9.40
19
5
6
300
10.0
25
0.05
150
98.00
9.80
94.00
9.40
20
5
7
200
2.5
25
0.05
150
100.00
2.50
100.00
2.50
21
5
7
200
5.0
25
0.05
150
100.00
5.00
100.00
5.00
22
5
7
200
10.0
25
0.05
150
98.32
9.83
94.28
9.43
23
5
7
200
20.0
25
0.05
150
95.74
19.15
90.52
18.10
24
5
7
200
40.0
25
0.05
150
88.73
35.49
83.46
33.38
25
5
7
200
60.0
25
0.05
150
80.28
48.17
73.41
44.05
26
5
7
200
80.0
25
0.05
150
75.62
60.50
66.28
53.02
27
5
7
200
100.0
25
0.05
150
64.67
64.67
60.49
60.49
28
5
6
200
10.0
25
0.05
150
98.26
9.83
94.26
9.43
29
5
6
200
10.0
35
0.05
150
94.71
9.47
82.56
8.26
30
5
6
200
10.0
45
0.05
150
83.33
8.33
79.36
7.94
31
5
6
200
10.0
55
0.05
150
78.07
7.81
72.46
7.25
32
5
6
200
10.0
25
0.50
150
90.65
18.13
88.35
17.67
33
5
6
200
10.0
25
1.00
150
98.24
9.82
94.26
9.43
34
5
6
200
10.0
25
2.00
150
99.35
4.97
95.32
4.77
35
5
6
200
10.0
25
3.00
150
100.00
3.33
96.48
3.22
36
5
6
200
10.0
25
4.00
150
100.00
2.50
96.27
2.41
37
5
6
200
10.0
25
0.05
50
70.00
7.00
60.00
6.00
38
5
6
200
10.0
25
0.05
100
90.00
9.00
88.56
8.86
39
5
6
200
10.0
25
0.05
150
98.00
9.80
94.00
9.40
40
5
6
200
10.0
25
0.05
200
99.00
9.90
95.00
9.50
t: time;\(\:{C}_{o}\): initial concentration; T: temperature; m: adsorbent dose; A: agitation speed;\(\:\%R\): removal percentage;\(\:{Q}_{e}\): adsorption capacity
Prediction models were developed using JMP® as shown in Fig. 8. The model is defined as: Response = Error + pH + Time + Initial concentration + Dose + Temperature + Agitation.
Fig. 8
Prediction models for \(\:\%R\) and \(\:{Q}_{e}\) for (a) Cu(II), and (b) Zn(II)
Bild vergrößern
Figure 8 provides a comprehensive comparison between the predicted and experimental values for both \(\:\%R\) and \(\:{Q}_{e}\) of Cu(II) and Zn(II). The plots demonstrate that the DoE models describe the experimental data well, particularly for Zn(II) and for the \(\:{Q}_{e}\) of both metals, where strong linearity and very high coefficients of determination (R2 = 0.86–0.97) are evident. The narrow confidence bands and low RMSE values further confirm the robustness and predictive reliability of these models. In contrast, the \(\:\%R\) model for Cu(II) shows noticeably higher scatter and a lower R2 value, which reflects the greater experimental variability associated with Cu(II) behavior, especially near its hydrolysis region. Despite this, the model retains statistical significance and correctly captures the overall trend. Taken together, the results in Fig. 8 indicate that the DoE approach successfully explains the dominant factors influencing metal removal, while also highlighting the unique sensitivity of Cu(II) to small changes in operating conditions.
To determine the maximum removal of Cu(II) and Zn(II), regression equations for the prediction models were evaluated using the analysis of variance (ANOVA) method with least-square fit, see Table 6. The robustness of the established models was confirmed by a high F-ratio.
Table 6
The regression equations and analysis of variance for the predicted models
Metal ion
Response
Predicted Equation
F Ratio (p > 0.0011)
Cu(II)
\(\:\%R\)
(148.30) + (-24*pH) + (0.21*t) + (-0.12*\(\:{C}_{o}\)) + (6.05*m) + (0.02*T) + (0.11*A)
4.88
\(\:{Q}_{e}\:\)(mg/g)
(6.46) + (-2*pH) + (0.02*t) + (0.70*\(\:{C}_{o}\)) + (-1.41*m) + (-0.01*T) + (0.01*A)
105.48
Zn(II)
\(\:\%R\)
(-81.65) + (14.93*pH) + (0.30*t) + (-0.45*\(\:{C}_{o}\)) + (-0.30*T) + (4.25*m) + (0.18*A)
34.67
\(\:{Q}_{e}\:\)(mg/g)
(-15.17) + (1.63*pH) + (0.03*t) + (0.61*\(\:{C}_{o}\)) + (-0.04*T) + (-1.49*m) + (0.02*A)
169.29
Table 6 summarizes the predicted conditions for achieving maximum removal efficiencies for Cu(II) and Zn(II), including both percentage removal and the adsorption capacity (\(\:{Q}_{e}\)) for each metal under optimal conditions. The results predicted the maximum \(\:\%R\) for Cu(II) is 99.04% with \(\:{Q}_{e}\) of 67.05 mg/g at optimal conditions of pH 5.91, 300 min, and 100 mg/L. For Zn(II), the removal is 99.54% with \(\:{Q}_{e}\) of 61.47 mg/g at pH 6.12, 295.6 min, and 100 mg/L. These findings suggest that minor pH adjustments can be employed to maximize the removal efficiency of each specific metal.

3.5. Comparison of the current study with previous findings

Alginate-based adsorbents show a wide range of metal-uptake performance depending on their structural modifications, functional groups, and incorporation of hybrid components such as graphene, nanoparticles, cyclodextrin, or synthetic copolymers. As summarized in Table 7, reported capacities span low to exceptionally high values for both Cu(II) and Zn(II), reflecting differences in cross-linking density, ligand availability, and accessible surface area. In the present study, the Alg-P(AA-co-VSA) composite achieved adsorption capacities of 65.78 mg/g for Cu(II) and 60.97 mg/g for Zn(II). These values place the material within the mid-performance range compared to other alginate-based adsorbents reported in the literature. For Cu(II), the current capacity (65.78 mg/g) is higher than that of several traditional alginate systems such as mesoporous alginate/β-cyclodextrin beads (15.54 mg/g) [25], post-crosslinked sodium alginate beads (54.9 mg/g) [16] and Cu(II)-imprinted alginate hydrogel (50.21 mg/g) [28]. It also remains comparable to Ca2+-Alg immobilized activated carbon/yeast (64.90 mg/g) [14]. Although some modified composites demonstrate superior performance such as alginate/reduced graphene double-network beads (169.5 mg/g) [18], ethylenediamine-modified Ca-Alg aerogels (87.83 mg/g) [22], and modified microspheres (124.1 mg/g) [24], these materials often involve more complex functionalization, multi-network structures, or high-surface-area nanofillers that substantially enhance metal binding. For Zn(II), the current study’s capacity (60.97 mg/g) slightly lower than the Ca-Alginate–nZVI–biochar systems for Zn(II) uptake (71.77 mg/g) [26]. Many literature examples focus more extensively on Pb(II), Cd(II), or Cu(II) rather than Zn(II).
Table 7
Comparison of Cu(II) and Zn(II) adsorption capacities of the Alg-P(AA-co-VSA) composite with previously reported adsorbents
Adsorbent Composite
Adsorbate
Adsorption Capacity (mg/g)
Reference
Alg-P(AA-co-VSA)
Cu(II)
Zn(II)
65.78
60.97
Current study
Ca²⁺-Alg@activated carbon@S. cerevisiae
Cu(II)
64.90
[14]
Thiacalix[4]arene tetrasulfonate–alginate composite
Cu(II)
90.56
[15]
Post-crosslinked sodium alginate hydrogel beads
Cu(II)
54.9
[16]
Alginate/reduced graphene oxide double-network beads
Cu(II)
169.5
[18]
Ethylenediamine-modified Ca²⁺-Alg aerogels
Cu(II)
87.83
[22]
Modified alginate bio-composite microspheres
Cu(II)
124.1
[24]
Mesoporous alginate/β-cyclodextrin beads
Cu(II)
15.54
[25]
Ca-Alginate–nZVI–biochar composite
Zn(II)
71.77
[26]
Cu(II)-imprinted alginate hydrogel
Cu(II)
50.21
[28]

4. Conclusions

The Alg-P(AA-co-VSA) graft copolymer was successfully synthesized using the γ-radiation-induced graft polymerization method and characterized by FTIR, TGA, XRD, XPS, zeta potential, and SEM techniques. These analyses confirmed the graft copolymer’s structural and thermal properties, validating its suitability for adsorption applications. Batch adsorption studies showed the graft copolymer’s effectiveness in removing Cu(II) and Zn(II) ions from aqueous solutions, with optimal pH values of 5.0 for Cu(II) and 6.0 for Zn(II) as confirmed by the point of zero charge experiment. The adsorption followed the Pseudo-second-order kinetic model, while the adsorption mechanism is complex involving contributions from both multilayer and monolayer adsorption. The maximum adsorption capacities were 65.78 mg/g for Cu(II) and 60.97 mg/g for Zn(II). Thermodynamic analysis revealed that the adsorption process was spontaneous and exothermic, characterized by negative ΔG, ΔH, and ΔS values, indicating increased order during adsorption. A full factorial design was employed to assess the effects of key variables, including pH, time, initial concentration, temperature, adsorbent dose, and agitation speed. Statistical analysis, using Logworth values, provided insights into the significance of each factor and helped optimize conditions for maximum removal efficiency. Overall, the Alg-P(AA-co-VSA) graft copolymer exhibits great potential as an adsorbent for heavy metal removal, with promising applications in environmental remediation.

Acknowledgements

The authors express their gratitude to the National Institute of Oceanography and Fisheries (NIOF, Egypt) and the Egyptian Atomic Energy Authority for their valuable collaboration and the use of their scientific and technical facilities.

Declarations

Competing interests

The authors declare no competing interests.

Ethical approval

This manuscript does not contain any studies involving human participants or animals performed by any of the authors. All experiments were showed in accordance with relevant institutional, national, and international guidelines.
All authors have read and approved the final version of the manuscript and consent to its publication in Environmental Science and Pollution Research.
Open Access This article is licensed under a Creative Commons Attribution 4.0 International License, which permits use, sharing, adaptation, distribution and reproduction in any medium or format, as long as you give appropriate credit to the original author(s) and the source, provide a link to the Creative Commons licence, and indicate if changes were made. The images or other third party material in this article are included in the article’s Creative Commons licence, unless indicated otherwise in a credit line to the material. If material is not included in the article’s Creative Commons licence and your intended use is not permitted by statutory regulation or exceeds the permitted use, you will need to obtain permission directly from the copyright holder. To view a copy of this licence, visit http://creativecommons.org/licenses/by/4.0/.

Publisher’s Note

Springer Nature remains neutral with regard to jurisdictional claims in published maps and institutional affiliations.
Download
Titel
Gamma radiation-induced synthesis of a high-performance alginate/poly(acrylic acid-vinyl sulfonic acid) adsorbent for Cu(II) and Zn(II) ions
Verfasst von
Mohamed I. A. Ibrahim
Laila A. Mohamed
Mohamed A. Gizawy
Amr M. Emara
Publikationsdatum
01.05.2026
Verlag
Springer Berlin Heidelberg
Erschienen in
Polymer Bulletin / Ausgabe 5/2026
Print ISSN: 0170-0839
Elektronische ISSN: 1436-2449
DOI
https://doi.org/10.1007/s00289-025-06254-9

Supplementary Information

Below is the link to the electronic supplementary material.
1.
Zurück zum Zitat Briffa J, Sinagra E, Blundell R (2020) Heavy metal pollution in the environment and their toxicological effects on humans. Heliyon 6:e04691. https://doi.org/10.1016/j.heliyon.2020.e04691CrossRefPubMedPubMedCentral
2.
Zurück zum Zitat Angon PB, Islam MS, Kc S, Das A, Anjum N, Poudel A, Suchi SA (2024) Sources, effects and present perspectives of heavy metals contamination: Soil, plants and human food chain. Heliyon 10:e28357. https://doi.org/10.1016/j.heliyon.2024.e28357CrossRefPubMedPubMedCentral
3.
Zurück zum Zitat WHO (2022) Guidelines for drinking-water quality, 4th edn. World Health Organization, Geneva, p 614
4.
Zurück zum Zitat Fouda-Mbanga BG, Prabakaran E, Pillay K (2021) Carbohydrate biopolymers, lignin based adsorbents for removal of heavy metals (Cd2+, Pb2+, Zn2+) from wastewater, regeneration and reuse for spent adsorbents including latent fingerprint detection: A review. Biotechnol Rep 30:e00609. https://doi.org/10.1016/j.btre.2021.e00609CrossRef
5.
Zurück zum Zitat Zhao C, Liu G, Tan Q, Gao M, Chen G, Huang X, Xu X, Li L, Wang J, Zhang Y, Xu D (2023a) Polysaccharide-based biopolymer hydrogels for heavy metal detection and adsorption. J Adv Res 44:53–70. https://doi.org/10.1016/j.jare.2022.04.005CrossRefPubMed
6.
Zurück zum Zitat Bhattacharya A, Misra BN (2004) Grafting: a versatile means to modify polymers: Techniques, factors and applications. Prog Polym Sci 29:767–814. https://doi.org/10.1016/j.progpolymsci.2004.05.002CrossRef
7.
Zurück zum Zitat Nasef MM, Gürsel SA, Karabelli D, Güven O (2016) Radiation-grafted materials for energy conversion and energy storage applications. Prog Polym Sci 63:1–41. https://doi.org/10.1016/j.progpolymsci.2016.05.002CrossRef
8.
Zurück zum Zitat Samuel AH, Magee JL (2004) Theory of radiation chemistry. II. Track effects in radiolysis of water. J Chem Phys 21:1080–1087. https://doi.org/10.1063/1.1699113CrossRef
9.
Zurück zum Zitat Abdelmonem IM, Metwally E, Siyam TE, El-Nour FA, Mousa A-RM (2019) Radiation synthesis of starch-acrylic acid–vinyl sulfonic acid/multiwalled carbon nanotubes composite for the removal of 134Cs and 152 + 154Eu from aqueous solutions. J Radioanal Nucl Chem 319:1145–1157. https://doi.org/10.1007/s10967-018-6392-1CrossRef
10.
Zurück zum Zitat El-Sweify F, Mohamed I, El-Masry A, Siyam T, Abo-Zahra S (2019) Adsorption behavior of Co(II) and Eu(III) on polyacrylamide/multiwalled carbon nanotube composites. Radiochemistry 61:323–330. https://doi.org/10.1134/S106636221903007XCrossRef
11.
Zurück zum Zitat Ghamry MA, Abdelmonem IM (2022) Adsorption of 60Co and 154 + 152Eu using graft copolymer of starch-polyacrylic acid-polyvinylsulfonic acid. J Polym Environ 30:3622–3632. https://doi.org/10.1007/s10924-022-02446-wCrossRef
12.
Zurück zum Zitat Ibrahim MIA, Abdelmonem IM, Mohamed LA, Gizawy MA, Metwally E (2024) Synthesis and characterization of alginate-polyacrylic acid/multiwalled carbon nanotubes composite with efficient removal for nigrosine dye. Polymer-Plastics Technol Mater 63:1277–1293. https://doi.org/10.1080/25740881.2024.2328614CrossRef
13.
Zurück zum Zitat Bée A, Talbot D, Abramson S, Dupuis V (2011) Magnetic alginate beads for Pb(II) ions removal from wastewater. J Colloid Interface Sci 362:486–492. https://doi.org/10.1016/j.jcis.2011.06.036CrossRefPubMed
14.
Zurück zum Zitat Lu M, Liu Y-g, Hu X-j, Ben Y, Zeng X-x, Li T-t, Wang H (2013) Competitive adsorption of Cu(II) and Pb(II) ions from aqueous solutions by Ca-alginate immobilized activated carbon and Saccharomyces cerevisiae. J Cent South Univ 20:2478–2488. https://doi.org/10.1007/s11771-013-1760-zCrossRef
15.
Zurück zum Zitat Lakouraj MM, Mojerlou F, Zare EN (2014) Nanogel and superparamagnetic nanocomposite based on sodium alginate for sorption of heavy metal ions. Carbohydr Polym 106:34–41. https://doi.org/10.1016/j.carbpol.2014.01.092CrossRefPubMed
16.
Zurück zum Zitat Lu T, Xiang T, Huang X-L, Li C, Zhao W-F, Zhang Q, Zhao C-S (2015) Post-crosslinking towards stimuli-responsive sodium alginate beads for the removal of dye and heavy metals. Carbohydr Polym 133:587–595. https://doi.org/10.1016/j.carbpol.2015.07.048CrossRefPubMed
17.
Zurück zum Zitat Tally M, Atassi Y (2016) Synthesis and characterization of pH-sensitive superabsorbent hydrogels based on sodium alginate-g-poly(acrylic acid-co-acrylamide) obtained via an anionic surfactant micelle templating under microwave irradiation. Polym Bull 73:3183–3208. https://doi.org/10.1007/s00289-016-1649-8CrossRef
18.
Zurück zum Zitat Zhuang Y, Yu F, Chen H, Zheng J, Ma J, Chen J (2016) Alginate/graphene double-network nanocomposite hydrogel beads with low-swelling, enhanced mechanical properties, and enhanced adsorption capacity. J Mater Chem A 4:10885–10892. https://doi.org/10.1039/C6TA02738ECrossRef
19.
Zurück zum Zitat Oladipo AA, Gazi M (2015) Nickel removal from aqueous solutions by alginate-based composite beads: central composite design and artificial neural network modeling. J Water Process Eng 8:e81–e91. https://doi.org/10.1016/j.jwpe.2014.12.002CrossRef
20.
Zurück zum Zitat Oladipo AA, Gazi M (2016) Uptake of Ni2 + and Rhodamine B by nano-hydroxyapatite/alginate composite beads: batch and continuous-flow systems. Toxicol Environ Chem 98:189–203. https://doi.org/10.1080/02772248.2015.1115506CrossRef
21.
Zurück zum Zitat Lalhmunsiama, Pawar RR, Hong S-M, Jin KJ, Lee S-M (2017) Iron-oxide modified sericite alginate beads: A sustainable adsorbent for the removal of As(V) and Pb(II) from aqueous solutions. J Mol Liq 240:497–503. https://doi.org/10.1016/j.molliq.2017.05.086CrossRef
22.
Zurück zum Zitat Huang Y, Wang Z (2018) Preparation of composite aerogels based on sodium alginate, and its application in removal of Pb2 + and Cu2 + from water. Int J Biol Macromol 107:741–747. https://doi.org/10.1016/j.ijbiomac.2017.09.057CrossRefPubMed
23.
Zurück zum Zitat Gao X, Li M, Zhao Y, Zhang Y (2019) Mechanistic study of selective adsorption of Hg2 + ion by porous alginate beads. Chem Eng J 378:122096. https://doi.org/10.1016/j.cej.2019.122096CrossRef
24.
Zurück zum Zitat Zhang H, Han X, Liu J, Wang M, Zhao T, Kang L, Zhong S, Cui X (2022) Fabrication of modified alginate-based biocomposite hydrogel microspheres for efficient removal of heavy metal ions from water. Colloids Surf A 651:129736. https://doi.org/10.1016/j.colsurfa.2022.129736CrossRef
25.
Zurück zum Zitat Hassan M, Naidu R, Du J, Qi F, Ahsan MA, Liu Y (2022) Magnetic responsive mesoporous alginate/β-cyclodextrin polymer beads enhance selectivity and adsorption of heavy metal ions. Int J Biol Macromol 207:826–840. https://doi.org/10.1016/j.ijbiomac.2022.03.159CrossRefPubMed
26.
Zurück zum Zitat Zhao R, Wang B, Wu P, Feng Q, Chen M, Zhang X, Wang S (2023b) Calcium alginate-nZVI-biochar for removal of Pb/Zn/Cd in water: insights into governing mechanisms and performance. Sci Total Environ 894:164810. https://doi.org/10.1016/j.scitotenv.2023.164810CrossRefPubMed
27.
Zurück zum Zitat Abdelmonem IM, Metwally E, Siyam TE, El-Nour FA, Mousa A-RM (2020) Adsorption of 60Co from aqueous solution onto alginate–acrylic acid–vinylsulfonic acid/multiwalled carbon nanotubes composite. Polym Bull 77:4631–4653. https://doi.org/10.1007/s00289-019-02978-7CrossRef
28.
Zurück zum Zitat Fallah A, Oladipo AA, Khosravi F, Pirgalıoğlu S (2025) Selective copper(II) removal using molecularly imprinted alginate–metformin hydrogel beads: mechanistic insights from isotherms, DFT and molecular Docking. Int J Biol Macromol 329:147760. https://doi.org/10.1016/j.ijbiomac.2025.147760CrossRefPubMed
29.
Zurück zum Zitat Mishra MM, Sand A, Mishra DK, Yadav M, Behari K (2010) Free radical graft copolymerization of N-vinyl-2-pyrrolidone onto k-carrageenan in aqueous media and applications. Carbohydr Polym 82:424–431. https://doi.org/10.1016/j.carbpol.2010.04.080CrossRef
30.
Zurück zum Zitat Khalil TE, Elhusseiny AF, El-dissouky A, Ibrahim NM (2020) Functionalized Chitosan nanocomposites for removal of toxic Cr(VI) from aqueous solution. Reactive Funct Polym 146:104407. https://doi.org/10.1016/j.reactfunctpolym.2019.104407CrossRef
31.
Zurück zum Zitat Khan TA, Mukhlif AA, Khan EA (2017) Uptake of Cu2 + and Zn2 + from simulated wastewater using muskmelon Peel biochar: isotherm and kinetic studies. Egypt J Basic Appl Sci 4:236–248. https://doi.org/10.1016/j.ejbas.2017.06.006CrossRef
32.
Zurück zum Zitat Sutirman ZA, Sanagi MM, Aini W, W.I (2021) Alginate-based adsorbents for removal of metal ions and radionuclides from aqueous solutions: A review. Int J Biol Macromol 174:216–228. https://doi.org/10.1016/j.ijbiomac.2021.01.150CrossRefPubMed
33.
Zurück zum Zitat Mondal H, Karmakar M, Datta B (2024) Ligand-selective turn-off sensing, harvesting and post-adsorptive use of Dy(III) and Yb(III) by intrinsically fluorescent flower-shaped gum Acacia-grafted hydrogels. Sci Rep 14:18373. https://doi.org/10.1038/s41598-024-65932-2CrossRefPubMedPubMedCentral
34.
Zurück zum Zitat Wei XQ, Man BY, Liu M, Xue CS, Zhuang HZ, Yang C (2007) Blue luminescent centers and microstructural evaluation by XPS and Raman in ZnO thin films annealed in vacuum, N2 and O2. Physica B 388:145–152. https://doi.org/10.1016/j.physb.2006.05.346CrossRef
35.
Zurück zum Zitat Li Z, Chen H, Liu W (2018) Full-Spectrum photocatalytic activity of ZnO/CuO/ZnFe2O4 nanocomposite as a PhotoFenton-Like catalyst. Catalysts 8:557. https://doi.org/10.3390/catal8110557CrossRef
36.
Zurück zum Zitat Rumble JR Jr., Bickham DM, Powell CJ (1992) The NIST x-ray photoelectron spectroscopy database. Surf Interface Anal 19:241–246. https://doi.org/10.1002/sia.740190147CrossRef
37.
Zurück zum Zitat Yuan S, Gu J, Zheng Y, Jiang W, Liang B, Pehkonen SO (2015) Purification of phenol-contaminated water by adsorption with quaternized poly(dimethylaminopropyl methacrylamide)-grafted PVBC microspheres. J Mater Chem A 3:4620–4636. https://doi.org/10.1039/C4TA06363ECrossRef
38.
Zurück zum Zitat Zhang K, Wang Y, Li L, Jia L (2023) Fabrication of alginate-based nanofibers loaded with ZnO nanoparticles for adsorption of tetracyclines from environmental waters. Mater Today Commun 34:105214. https://doi.org/10.1016/j.mtcomm.2022.105214CrossRef
39.
Zurück zum Zitat Pauly N, Tougaard S, Yubero F (2014) Determination of the Cu 2p primary excitation spectra for Cu, Cu2O and CuO. Surf Sci 620:17–22. https://doi.org/10.1016/j.susc.2013.10.009CrossRef
40.
Zurück zum Zitat Ederer J, Janoš P, Ecorchard P, Tolasz J, Štengl V, Beneš H, Perchacz M, Pop-Georgievski O (2017) Determination of amino groups on functionalized graphene oxide for polyurethane nanomaterials: XPS quantitation vs. functional speciation. RSC Adv 7:12464–12473. https://doi.org/10.1039/C6RA28745JCrossRef
41.
Zurück zum Zitat Liu F, Li H, Liao D, Xu Y, Yu M, Deng S, Zhang G, Xiao T, Long J, Zhang H, Li Y, Li K, Zhang P (2020) Carbon quantum Dots derived from the extracellular polymeric substance of anaerobic ammonium oxidation granular sludge for detection of trace Mn(vii) and Cr(vi). RSC Adv 10:32249–32258. https://doi.org/10.1039/D0RA06133FCrossRefPubMedPubMedCentral
42.
Zurück zum Zitat Chen H, Liu W, Hu B, Qin Z, Liu H (2017a) A full-spectrum photocatalyst with strong near-infrared photoactivity derived from synergy of nano-heterostructured Er3+-doped multi-phase oxides. Nanoscale 9:18940-18950. https://doi.org/10.1039/C7NR08090ECrossRefPubMed
43.
Zurück zum Zitat Chen H, Liu W, Qin Z (2017b) ZnO/ZnFe2O4 nanocomposite as a broad-spectrum photo-Fenton-like photocatalyst with near-infrared activity. Catalysis Science & Technology 7:2236-2244. https://doi.org/10.1039/C7CY00308KCrossRef
44.
Zurück zum Zitat Krishna Murthy TP, Gowrishankar BS (2020) Process optimisation of methylene blue sequestration onto physical and chemical treated coffee husk based adsorbent. SN Appl Sci 2:836. https://doi.org/10.1007/s42452-020-2603-9CrossRef
45.
Zurück zum Zitat Zhang L, Xia W, Liu X, Zhang W (2015) Synthesis of titanium cross-linked Chitosan composite for efficient adsorption and detoxification of hexavalent chromium from water. J Mater Chem A 3:331–340. https://doi.org/10.1039/C4TA05194GCrossRef
46.
Zurück zum Zitat Heiba HF, Taha AA, Mostafa AR, Mohamed LA, Fahmy MA (2018) Synthesis and characterization of CMC/MMT nanocomposite for Cu2 + sequestration in wastewater treatment. Korean J Chem Eng 35:1844–1853. https://doi.org/10.1007/s11814-018-0096-7CrossRef
47.
Zurück zum Zitat Gürkan EH, İlyas B, Tibet Y (2022) Adsorption of Cu(II) ve Zn(II) ions by alginate-based composites: full factorial design approach. Fullerenes Nanotubes Carbon Nanostruct 30:787–800. https://doi.org/10.1080/1536383X.2021.2021891CrossRef
48.
Zurück zum Zitat Li Y, Liu F, Xia B, Du Q, Zhang P, Wang D, Wang Z, Xia Y (2010) Removal of copper from aqueous solution by carbon nanotube/calcium alginate composites. J Hazard Mater 177:876–880. https://doi.org/10.1016/j.jhazmat.2009.12.114CrossRefPubMed
49.
Zurück zum Zitat Chakraborty R, Asthana A, Singh AK, Jain B, Susan ABH (2022) Adsorption of heavy metal ions by various low-cost adsorbents: A review. Int J Environ Anal Chem 102:342–379. https://doi.org/10.1080/03067319.2020.1722811CrossRef
50.
Zurück zum Zitat Renu M, Agarwal KS (2017) Heavy metal removal from wastewater using various adsorbents: A review. J Water Reuse Desalin 7:387–419. https://doi.org/10.2166/WRD.2016.104CrossRef
51.
Zurück zum Zitat Sun J, Chen Y, Yu H, Yan L, Du B, Pei Z (2018) Removal of Cu2+, Cd2 + and Pb2 + from aqueous solutions by magnetic alginate microsphere based on Fe3O4/MgAl-layered double hydroxide. J Colloid Interface Sci 532:474–484. https://doi.org/10.1016/j.jcis.2018.07.132CrossRefPubMed
52.
Zurück zum Zitat Pujol Pozo AA, Monroy-Guzmán F, Gómora- Herrera DR, Navarrete-Bolaños J, Bustos B, E (2022) Radioactive decontamination of metal surfaces using peelable films made from Chitosan gels and Chitosan/magnetite nanoparticle composites. Prog Nucl Energy 144:104088. https://doi.org/10.1016/j.pnucene.2021.104088CrossRef
53.
Zurück zum Zitat Saheed IO, Oh WD, Suah FBM (2021) Chitosan modifications for adsorption of pollutants: A review. J Hazard Mater 408:124889. https://doi.org/10.1016/j.jhazmat.2020.124889CrossRefPubMed
54.
Zurück zum Zitat Kar Mahapatra D, Dadure K, Shivhare R (2018) Edema reducing potentials of some emerging schiff’s bases of murrayanine. MOJ Bioorg Org Chem 2:171–174. https://doi.org/10.15406/mojboc.2018.02.0076.. CrossRef
55.
Zurück zum Zitat Zhang X, Lin X, He Y, Luo X (2019) Phenolic hydroxyl derived copper alginate microspheres as superior adsorbent for effective adsorption of Tetracycline. Int J Biol Macromol 136:445–459. https://doi.org/10.1016/j.ijbiomac.2019.05.165CrossRefPubMed
56.
Zurück zum Zitat Raji F, Saraeian A, Pakizeh M, Attarzadeh F (2015) Removal of Pb(ii) from aqueous solution by mesoporous silica MCM-41 modified by ZnCl2: kinetics, thermodynamics, and isotherms. RSC Adv 5:37066–37077. https://doi.org/10.1039/C5RA01192BCrossRef
57.
Zurück zum Zitat Jurinak JJ (1976) The hydrolysis of cations. Soil Sci Soc Am J. https://doi.org/10.2136/sssaj1976.03615995004000030006xCrossRef

JOT - Journal für Oberflächentechnik (Link öffnet in neuem Fenster)

Das führende Magazin für sämtliche Themen in der Oberflächentechnik.
Für Entscheider und Anwender aus allen Bereichen der Industrie.

    Bildnachweise
    Wagner Logo/© J. Wagner GmbH, Harter Drying Solutions/© HARTER GmbH, Cenaris Logo/© CENARIS GmbH, Ecoclean Logo/© SBS Ecoclean Group, Eisenmann Logo/© EISENMANN GmbH, FreiLacke Logo/© Emil Frei GmbH & Co. KG, Afotek Logo/© @AFOTEK Anlagen für Oberflächentechnik GmbH, Fischer Logo/© Helmut Fischer GmbH, Venjakob Logo/© VENJAKOB Maschinenbau GmbH & Co. KG, Nordson Logo/© Nordson Deutschland GmbH, Akzo Nobel Power Coatings GmbH/© Akzo Nobel Power Coatings GmbH, Sames GmbH/© Sames GmbH, Karl Bubenhofer AG/© Karl Bubenhofer AG, Munk GmbH/© Munk GmbH, Endress+Hauser Flow Deutschland/© Endress+Hauser Flow Deutschland, JOT - Journal für Oberflächentechnik, Chemetall und ZF optimieren den Vorbehandlungsprozess/© Chemetall