Zum Inhalt

Gender and generational cohort impact on entrepreneurs’ emotional intelligence and transformational leadership

  • Open Access
  • 05.03.2024
Erschienen in:

Aktivieren Sie unsere intelligente Suche, um passende Fachinhalte oder Patente zu finden.

search-config
loading …

Abstract

Der Artikel untersucht die entscheidende Rolle emotionaler Intelligenz (EI) und transformativer Führung (TL) für den unternehmerischen Erfolg. Sie unterstreicht die signifikante Beziehung zwischen EI-Dimensionen und TL und betont die mäßigenden Effekte von Geschlechter- und Generationenkohorten. Die Studie basiert auf einer groß angelegten Umfrage unter Unternehmern weltweit und bietet empirische Belege für ihre Hypothesen. Die Ergebnisse tragen sowohl zu akademischem Wissen als auch zu praktischen Anwendungen in den Bereichen Unternehmertum und Führungsentwicklung bei.

Publisher's Note

Springer Nature remains neutral with regard to jurisdictional claims in published maps and institutional affiliations.

Introduction

Entrepreneurship undeniably contributes significantly to economic development, primarily through employment generation, innovation, and enhancing societal welfare (Acs & Audretsch, 1988; Baumol, 2002; Cohen, 2010; Thurik et al., 2023). The increasing trend in entrepreneurial activities, now encompassing over 580 million active entrepreneurs globally (Markinblog, 2023), underscores its growing importance. This surge raises a pivotal question that captivates both policymakers and academics alike: "What underlies a successful entrepreneur?" Existing scholarship has pinpointed leadership style and emotional intelligence (EI) as key determinants of entrepreneurial success. However, a detailed examination of how these factors interplay, particularly the nuanced relationship between gender, generation, EI and leadership style among entrepreneurs, remains insufficiently explored.
This paper aims to bridge this theoretical gap, emphasizing the criticality of this intersection from both an academic and pragmatic viewpoint. Effective entrepreneurship hinges on leadership that not only fosters value creation but also propels business ventures forward (Engelen et al., 2015; Yang, 2008). Leadership literature delineates various archetypal styles, including laissez-faire, transactional, transformational, autocratic, and democratic leadership (Bass et al., 1996; Eagly et al., 2003; Eagly & Johannesen-Schmidt, 2001; Nanjundeswaraswamy, 2014), with transformational leadership (TL) being particularly instrumental in driving innovation and entrepreneurial success (Diaz-Saenz, 2011; Engelen et al., 2015). Therefore, this paper hypothesizes a significant correlation between entrepreneurial success and TL style.
Concurrently, research has extensively analysed the influence of EI on entrepreneurial endeavours (e.g., Baron, 2007, 2008; Cardon et al., 2009, 2012; Delgado Garcia et al., 2015; Foo et al., 2009; Goss, 2005, 2007; Lindgren & Packendorff, 2009; Townsend et al., 2009). EI, a skill pivotal in understanding and managing emotions (Extremera et al., 2019; Libbrecht et al., 2014), is crucial for entrepreneurs who often navigate their ventures with passion and emotional drive. Its significance is particularly evident in key entrepreneurial activities like opportunity evaluation and venture establishment (Cardon & Kirk, 2015; Cardon et al., 2009; Foo, 2011; Foo et al., 2009). Entrepreneurial development is inherently an emotional journey (Cardon et al., 2012; Zakarevious & Zuperka, 2010), making EI essential for enhancing self-efficacy, articulating entrepreneurial intentions, exerting influence, and securing funding (Biraglia & Kadile, 2017; Chen et al., 2009; Ensley et al., 2006; Murnieks et al., 2014).
This research seeks to elucidate the relationship between EI and TL in entrepreneurial contexts. Although prior studies in various fields have explored this connection (Barling et al., 2000; Bass et al., 2003; Ducket & Macfarlane, 2003; Cavazotte et al., 2012; Mandell & Pherwani, 2003; Megerian & Sosik, 1996; Singh & Modassir, 2007), and meta-analyses by Harms and Credé (2010) and Kim and Kim (2017) have indicated a positive correlation between leaders' EI and TL style, these studies have not exclusively focused on entrepreneurial leadership. This paper, therefore, investigates the hypothesis that entrepreneurs' EI is a precursor to their TL style, with varying impacts across different EI dimensions, as supported by empirical findings from Raina and Sharma (2013) and Yitshaki (2012).
Our study recognizes the importance of contextual factors like gender and generation in this relationship. The assumption that the link between aggregate EI, its dimensions, and TL style remains consistent across different genders and generations is tenuous (Nanjundeswaraswamy, 2014). To date, systematic empirical research examining the moderating effects of gender and generational differences on this relationship is scarce, marking a significant gap in our understanding (Ettis, 2022).
Thus, this study poses three critical research questions to close this gap on the empirical literature to better understand the relationship between generational cohorts’ configurations, gender, and entrepreneurship: i) Does aggregate entrepreneurs’ EI influence their TL style? ii) If so, do different EI dimensions impact TL style variably? iii) Lastly, do gender or generational factors moderate the relationship between entrepreneurs’ EI (both aggregate and dimensional) and their TL style?
To address these questions, data from a diverse sample of 2,084 entrepreneurs worldwide were analysed. The findings confirm that entrepreneurs' EI significantly influences their TL style, with varying degrees of impact across different EI dimensions. Additionally, gender and generational differences were found to moderate this relationship. This paper expands the current knowledge base by systematically exploring these relationships in a large entrepreneurial sample, thereby developing an instrumental theory on how entrepreneurs' EI dimensions, influenced by gender and generation, affect their TL style. Beyond its theoretical contribution, this study offers practical and policy implications by identifying crucial EI dimensions for developing transformational leadership among entrepreneurs and informing the design of more effective entrepreneurship training programs and policy interventions.
The structure of the paper is as follows: the subsequent section presents a comprehensive literature review on EI and TL, their interrelations, and several hypotheses forming the basis of our research model. This is followed by "Data" section, detailing the research methods employed for data collection and analysis. "Results" section presents the research findings, which are further discussed in "Discussion" section. Finally, "Conclusions" section summarizes the main findings and concludes the study.

Theoretical background

The literature on entrepreneurs' emotional intelligence (EI) and transformational leadership (TL) reveals a growing interest in understanding how they interact and contribute to entrepreneurial success. While EI in management is well-acknowledged for its influence on organizational performance, studies focusing specifically on entrepreneurs' EI are relatively scarce. Entrepreneurs' EI significantly impacts their managerial capabilities, as higher EI allows for a better understanding and management of one’s own and others' emotions, an aspect which is crucial for entrepreneurs, especially given the dynamic changes and challenges they face. EI refers to “the ability to perceive accurately; appraise, and express emotion; the ability to access and/or generate feelings when they facilitate thought; the ability to understand emotion and emotional knowledge; and the ability to regulate emotions to promote emotional and intellectual growth” (Mayer & Salovey, 1997, p. 10). EI extends our ability to perceive, process, and appropriately use emotional information (Boren, 2010) by providing innovative ways to better understand and evaluate human behaviour (Orziemgbe et al., 2014).
Wong and Law (2002) developed four EI dimensions: Self-Emotional Appraisal (SEA), the ability of individuals to understand their own emotions; Others’ Emotional Appraisal (OEA), the ability of individuals to perceive and understand others’ emotions; Use Of Emotion (UOE), the ability of individuals to make use of their emotions to enhance performance; and Regulation Of Emotion (ROE), or, as the name suggests, the ability of individuals to regulate their emotions (Fukuda et al., 2011; Wong & Law, 2002).
Hess and Bacigalupo (2011) review of the literature concludes that the application of EI skills can improve decision-making. A significant body of entrepreneurship related EI research has examined its relationship with the entrepreneurial mindset and its characteristics. For example, the link between EI and entrepreneurial intentions and success (Caputo et al., 2019; Ingram et al., 2017; Mortan et al., 2014). Entrepreneurs with high EI are expected to be more affective, more creative, and more eager to create greater levels of engagement from co-workers, thereby promoting more innovation in their ventures, which is consistent with the relationship between intrinsic motivation as a source of creativity as well as psychological empowerment (Ahmetoglu et al., 2011). Other researchers have also shown the importance of EI for entrepreneurial education, given that leading a start-up implies living under great uncertainty (Rhee & White, 2007; Sainz & Sanz, 2023).
In terms of transformational leadership, while evidence suggests entrepreneurs are more inclined towards this style, the literature needs a comprehensive examination of the relationship between entrepreneurs' emotional capabilities, managerial orientation, and the growth of new ventures. Moreover, the interconnectedness between EI and transformational leadership is considered necessary in entrepreneurship due to the emotional competencies required for both, particularly in how entrepreneurs perceive their feelings and emotionally motivate their followers. Burns (1978) introduced the concept of TL following a study of political leaders. The concept started to gain greater attention than other leadership styles in the 1980s (Avolio et al., 1999; Bass, 1985, 1999). Researchers have developed tools to measure, implement, and learn how to successfully develop TL style in several types of organisations (Avolio et al., 1999; Caldwell et al., 2012; Yang, 2008). By empowering others, TL drives creativity (Bai et al., 2016; Gong et al., 2009; Li et al., 2015), knowledge sharing (Dong et al., 2017; Mittal & Dhar, 2015), innovation (Chen et al., 2014; Jiang & Chen, 2018), performance (Dumdum et al., 2013), and even job autonomy (Wang & Cheng, 2010). Creativity, innovation, and knowledge sharing are essential ingredients of entrepreneurial success.
TL demands both parties influence and motivate each other to achieve a higher purpose (Sashkin & Rosenbach, 1998). Some authors (Breevaart et al., 2014; Judge & Piccolo, 2004) have studied different leadership styles to examine their validity and impact. The most contrasted leadership styles are the opposing transformational and transactional leadership styles. The key finding is that TL style positively affects employees’ performance, whereas transactional and laissez-faire have negative effects. Empirical research (e.g., Öncer, 2013; Yang, 2008) has also shown that TL enhances a firm’s risk-taking ability. Transformational leaders are considered enthusiastic, eager to motivate employees, and visionaries, thereby affectively and effectively influencing the organisation through greater commitment and involvement from employees (Bass & Riggio, 2006; Burns, 1978).
The contribution of TL style to start-ups and new ventures has been the subject of several studies. Ensley et al. (2006) studied the top management team of 220 top start-ups, demonstrating that, in highly dynamic and unpredictable environments, TL style has a statistically significant and positive effect on the performance of new ventures. The long-term vision that a transformational leader brings to an organisation helps stakeholders reduce uncertainty surrounding nascent entrepreneurial projects. Moreover, the characteristics associated with TL style positively affect the growth of firms operating in rapidly changing and highly innovative environments (Ensley et al., 2006). Different studies have shown that TL is an important antecedent of promoting employees’ corporate entrepreneurship (Chang et al., 2017; Chen et al., 2014; Moriano et al., 2014; Öncer, 2013). Eyal and Kark (2004) studied not-for-profit public schools, examining the influence of TL style on entrepreneurial strategies involving radical change, finding a positive impact but concluding that the relationship is complex.
The conceptual and empirical literature reviewed in the introductory section and here point to a positive relationship between TL style and entrepreneurs’ actions and success. Subramaniam and Shankar (2020) point to nascent knowledge on “entrepreneurial leaders”, despite the relative maturity of the leadership field, regarding the relationship between leadership and entrepreneurship. The significance of this relationship and the paucity of large-scale systematic research inspired us to examine the antecedents of entrepreneurs’ TL style.
A few studies have examined the relationship between leaders’ EI and TL styles, reaching contradictory conclusions, suggesting a gap in the literature, with a need for more empirical studies, like this one, directly focusing on these aspects in the entrepreneurial context. For example, Krau (2020) found a positive relationship between leaders’ EI and TL style in nurses who are managers and leaders, while Cavazotte et al. (2012) in an industrial firm related it to other personal traits and found no relationship. The outcome of individual studies is affected by a variety of design issues, such as the sampling frame, sample size, response rate, etc. Meta-analysis, on the other hand, offers a more robust assessment of the relationship between leaders’ EI and their TL style. We identified two recent meta-analyses: Harms and Credé (2010) and Kim and Kim (2017), both showing a significant and positive link between leaders’ EI and TL style. Moreover, Kim and Kim’s (2017) meta-analysis, drawing on 20 empirical studies, points to measurement discrepancies, particularly with regards to the robustness and missing constructs used to assess dimensions of EI, highlighting the need for more granular empirical research examining the link between EI dimensions and TL style.
Conceptually, elements such as empathy link EI and TL because leaders who are genuinely empathetic can sense what others need and understand their reactions (Goleman, 1998a, b), while transformational leaders use their emotions as well as the emotions of others to promote change (Dulewicz et al., 2005; Mathew & Gupta, 2015). Another link relates to vision, an important characteristic of a transformational leader (Burns, 1978), while leaders with high EI are better able to motivate and elicit enthusiasm from employees by creating shared goals and vision (Goleman, 1998a, b). Evidence suggests that the presence of EI “strengthens the relationship between the leadership behaviour of supervisors and the job satisfaction of subordinates” (Joshi et al., 2016, p. 19). Goleman et al. (2013) report that the main reason for most leaders’ success is EI rather than IQ or cognitive intelligence. We contend that these arguments equally apply to entrepreneurs, as they occupy an important leadership role, as discussed in the introductory section.
Raina and Sharma (2013) found, based on a sample of 47 entrepreneurs operating in Rajasthan, a positive link between aggregate entrepreneurs’ EI score and TL style. Moreover, they showed that the relationship between entrepreneurs’ EI and other archetypal leadership styles was not as significant, providing further support for our focus on TL. This study, although limited in terms of sample size and context (lack of geographical diversity), offers empirical support for our hypothesis that entrepreneurs’’ EI is an antecedent of their TL style.
Drawing on a sample of 99 Israeli high-tech entrepreneurs and using the Assessing Emotions Scale (Schutte et al., 1998), Yitshaki (2012) examined the link between EI and its dimensions, TL style, and firm growth. The results showed that entrepreneurs’ EI impacts TL orientation, intellectual stimulation, and charismatic inspirational behaviour. Furthermore, the study identified a positive relationship between two dimensions of entrepreneurs’ EI and their TL style. This study offers limited empirical support for our hypothesis that entrepreneurs’ EI dimensions have a differential impact on their TL style. Conceptually, entrepreneurial operating environments are usually unpredictable and characterised by high uncertainty. In such environments, emotions can influence decision-making and judgement (Baron, 2008; Forgas, 1995; Hmieleski & Baron, 2009).
The conceptual and empirical evidence reviewed points to the importance of EI to entrepreneurs, despite these significant efforts, recognizes is an important knowledge gap of systematic, large-sample research examining the relationship between entrepreneurs’ ET and TL styles we aim to bridge (Liu et al., 2019).
EI and TL both influence individual behaviour through emotions and reasoning (Bass, 1985). EI in this context is understood as the ability to perceive, express, assimilate, and regulate emotions in oneself and others (Clark & Harrison, 2018). It involves skills like understanding emotions, using them to enhance decision-making, and managing emotions effectively in various situations. Studies have shown that entrepreneurs with high EI demonstrate better understanding and management of emotions, which is crucial in dealing with the dynamic challenges of entrepreneurship (Tang et al., 2021; Yitshaki, 2012). Accordingly, we propose the following hypothesis:
  • H1: Entrepreneurs’ emotional intelligence is positively related to entrepreneurs’ transformational leadership style.
And the two following corollaries:
  • H1a: Each dimension of entrepreneurs’ emotional intelligence is positively related to entrepreneurs’ transformational leadership style.
  • H1b: The magnitude of influence of each dimension of entrepreneurs’ emotional intelligence on entrepreneurs’ transformational leadership style is different.
The extant literature points to the influence of contextual factors such as gender, experience, generational cohort, education, and background on entrepreneurial intentions and the performance of entrepreneurial ventures (e.g., Ahmad, 2007; Sadri, 2012; Sajilan et al., 2015). In the context of this research, we contend that gender and the generational divide are two critical contingency factors likely to moderate the relationship between entrepreneurs’ aggregate EI as well as their dimensions and their TL style. We review the appropriate literature in support of our hypothesis in the following two sections.
The relationship between gender and entrepreneurship is attracting greater attention (e.g., Artz, 2017; Byun & Ding, 2019; Camelo-Ordaz et al., 2016; DeTienne & Chandler, 2007; Kirkwood, 2016). The extent to which the literature suggests gender differences in entrepreneurial propensity (e.g., Avnimelech & Zelekha, 2023; Bullough et al., 2022; Kollinger-Santer & Fischlmayr, 2013). Langowitz and Minniti (2007) drawing on the behavioural economics lens, concluded that subjective perceptual variables had a crucial influence on the entrepreneurial propensity of women and accounted for much of the difference in entrepreneurial activity between the sexes. They conclude that perceptual variables may be significant universal factors influencing entrepreneurial behavior. EI is potentially one such perceptual factor, and the paucity of research examining gender and entrepreneurs’ EI represents a significant gap in our knowledge.
Leaving aside propensity, another question revolves around whether women or men make better entrepreneurs. Empirical studies offer contradictory results. Some studies (e.g., Díaz-García & Jiménez-Moreno, 2010; Ferk et al., 2013; Shinnar et al., 2012) have shown that women make better entrepreneurs because of their superior managerial competencies. On the contrary, other scholars have found that men’s capabilities make them overrepresented (Grilo & Thurik, 2005; Kuschel et al., 2020).
The empirical research examining EI differences between genders finds both the absence and presence of differences. Empirical studies, among others by Fischer et al. (2018) and Petrides and Furnham (2000a, b), revealed no gender differences in EI scores. Particularly notable is the study by Fischer et al. (2018), using a sample of 5000 participants, which concluded that there was no difference in female and male EI scores. They challenged the concept that emotion recognition differed between females and males. On the other hand, a meta-analysis by Joseph and Newman (2010) concluded that women’s EI scores were higher than those of men. The outcome of research examining differences between dimensions of female and male EI is also inconclusive. Empirical studies have revealed gender differences in some EI dimensions. García-León and López-Zafra (2009) evaluated 431 undergraduates, and López-Zafra and Gartzia (2014) evaluated Spanish 260 undergraduates’ EI competencies, determining that “emotional intelligence and gender roles predict transformational leadership”. This is not only student behaviour; Landa et al. (2006) determined that female teachers were perceived to have higher SEA and OEA than male teachers. In contrast, the opposite results were reported for the UOE dimension, with men having higher scores. Thus far, studies have failed to show a conclusive pattern between gender and EI, yielding mixed findings regarding the specific dimensions of EI for which gender differences exist (Fernández-Berrocal et al., 2012). Lack of consensus adds weight to the need for systematic research examining gender EI differences and differences between its dimensions.
The literature is all but consistent. Eagly and Johnson (1990), in a meta-analysis of papers comparing the leadership styles of women and men, found for both the presence and absence of differences, Mandell and Pherwani (2003) found differences between the EI scores of female and male leaders but no significant difference in their TL style, and Eagly et al. (2003) show that women have greater TL and managerial competencies while others have shown no gender differences (Dobbins & Platz, 1986; Tan, 2008; Zeffane, 2012). The above arguments support the assertion that gender is an important contextual factor. These suggest that how dimensions of EI affect the TL style of entrepreneurs is likely to be gender-dependent. Lack of consensus regarding EI and TL gender differences points to the need for greater empirical examination, making the inclusion of gender in our study one of its major contributions. Accordingly, we propose the following hypotheses:
  • H2: The link between dimensions of emotional intelligence and transformational leadership is moderated by gender.
  • H3: Entrepreneurs’ dimensions of emotional intelligence differ significantly by gender.
  • H4: Entrepreneurs’ transformational leadership style differs significantly by gender.
Generational cohort theory (Strauss & Howe, 1991) stipulates that individuals who experience the same temporal, historical, economic, technological, and political changes also have similar values, behaviours, preferences, and lifestyles (Hemlin et al., 2014; Parment, 2013; Spector, 2008). These unique values of each generational cohort may persist throughout people’s lifetimes (Jackson et al., 2011; Smola & Sutton, 2002).
We examined four generational cohorts following the Pew Research Center guidelines: Gen Z (less than 22 years old), Millennials (22–37 years old), Gen X (38–53 years old), and Baby Boomers (54–72 years old). Gen Z members are still maturing. Workers in this cohort are eager for individual recognition, including greater monetary compensation (Twenge, 2017). The most important behavioural attribute of this cohort is empathy. Millennials, also known as Gen Y, were born after 1980. They grew up as the computer and Internet revolutions were taking hold. They make up the fastest-growing age segment of the workforce (Dimock, 2018). Their entrance into adulthood has been shaped by a global economic recession. Millennials usually make fast decisions and have extensive social networks (Parment, 2013). Gen X members have experienced both economic uncertainty and social uncertainty (Lyons et al., 2007), which has made them self-reliant and forged their entrepreneurial spirit. Yusoff and Kian (2013) found that Gen X members and Millennials share some work motivation factors, such as a focus on their own careers. Finally, Baby Boomers, sometimes referred to as the “Me” generation because of their narcissistic behaviour and attitudes, are often ambitious, goal-oriented, loyal, and work-centric (Bristow, 2015). Baby Boomers are more likely to be college graduates, be healthier, and have higher incomes than members of previous generations (Lee & Vouchilas, 2016).
Comparing these generations, Szamosi (2006) reported that entrepreneurial spirit is most commonly found in Millennials. Previous research suggests generational differences in performance improvement (Solnet et al., 2012). Costanza et al. (2012) performed a meta-analysis to compare these four generations’ different attitudes towards job satisfaction, commitment to the organisation, and intention to quit. Studies also show differences in attitudes towards work between different generations (Twenge, 2017; Schabram et al., 2023). Related to education, Wilson and Gerber (2008) postulated that understanding generational cohorts could improve learning by better aligning teaching strategies with each generation’s characteristics. For example, the use of technology by digital natives (Millennials) may affect their decisions to venture into new technological and innovative industries (Strauss & Howe, 2000).
Besides the academic relevance of studying generational differences in entrepreneurship, there is considerable discussion surrounding whether younger generations are more entrepreneurially oriented than older ones. GEM (2018) reported that the most common age of entrepreneurs is approximately 40 years old all over the world. Entrepreneurs of this age are also the most successful (Azoulay et al., 2018). Although younger individuals might be expected to be more eager to become entrepreneurs because people are most eager to take risks at a younger age, the risk of becoming an entrepreneur is lower at older ages because people have better access to key resources such as contacts, experience, and money. Research (e.g., Chen et al., 2016; Mayer et al., 1999; Tsaousis & Kazi, 2013; Van Rooy et al., 2005) has shown a significant positive correlation between EI and age. Mayer et al. (1999) argued that as an ability that meets the traditional standards required for intelligence, EI should develop with age and experience. Some scholars have asserted that the link between age and EI makes sense after an extensive and active life, which provides opportunities to accumulate knowledge, skills, and experience (Day & Carroll, 2004; Kaufman et al., 2008; Mayer et al., 1999; Sturman, 2003).
Nevertheless, little research has explored entrepreneurship and generational differences. Debevec et al. (2013) studied how Millennials may be splintering into a new generational cohort where greater entrepreneurial spirit can be found. Transgenerational studies on entrepreneurship are scarce (Nordqvist & Zellweger, 2010), and mostly focus on family businesses or family offices (Welsh et al., 2013; Zellweger et al., 2012). Forster-Holt (2013) compared entrepreneurs’ intentions to retire among different generational cohorts, determining that such intentions are based on subjective rather than objective factors. This finding has major implications for employees, policymakers, educators of new entrepreneurs, and others. According to Zacher and Bal (2012), knowledge regarding the influence of generations on TL is an area of research that needs more attention. Thus, it remains unclear whether the relationship between EI and TL varies by generational cohort. Accordingly, we formulate the following hypotheses:
  • H5: The link between dimensions of emotional intelligence and transformational leadership is moderated by the generational cohort.
  • H6: Entrepreneurs’ emotional intelligence dimensions differ significantly by generational cohort.
  • H7: Entrepreneurs’ transformational leadership differs significantly by generational cohort.

Data

First, a pilot survey was conducted with a group of entrepreneurial students, researchers, and professionals: To ensure the comparability of the results, the questionnaire was adapted from EIQ of Liñán and Chen (2009). Questionnaires were sent to 70 respondents, and 55 questionnaires were returned. Of these, 48 questionnaires were suitable for pilot testing. Next, we tested the reliability and validity of the questionnaire, which was subsequently administered to the respondents. The respondents were recruited from different sources. Initially, participants were purposely selected using the authors’ links to several entrepreneurship organizations. Participants were recruited through announcements on online forums and LinkedIn, where details of the study were posted on entrepreneurship group pages. More than 15 million entrepreneurs in the United States and the United Kingdom have LinkedIn profiles (LinkedIn, 2017). Using online forums and LinkedIn has the major advantage of potentially recruiting large samples over a short period of time. Finally, we recruited participants using an opportunity sample of contacts. We recruited potential participants from January 2018 through November 2018. The survey was conducted using Google Forms. It was sent via email and other digital messaging tools, such as LinkedIn. Participants were told that the purpose of this research was to assess the link between entrepreneurs’ EI and leadership style. They were also told that they would receive a copy of the study’s results in return for their participation.
In total, 2,084 participants completed the survey. Table 1 shows the gender and generational cohort characteristics of the sample and the EI and TL scores. Most respondents were men (77.1%), 45.3% were from Gen X, and 36.3% were Millennials. Few global entrepreneurship samples could be used to check the representativeness of our sample. We compared our sample with the GEM (2018) study, the largest study on entrepreneurship in the world. The distributions by gender and age matched fairly well.
Table 1
Frequencies, means of TL, and dimensions of EI by gender and generational cohort
Cohort
N
TL
EITOT
SEA
OEA
ROE
UOE
 
M
F
T
M
F
T
M
F
T
M
F
T
M
F
T
M
F
T
M
F
Gen Z
171
58
4.11
4.13
4.06
4.12
4.16
3.98
4.15
4.20
4.01
4.03
4.03
4.01
4.34
4.37
4.25
3.95
4.05
3.65
Millennial
571
187
4.13
4.13
4.12
4.11
4.13
4.05
4.19
4.19
4.18
4.04
4.03
4.09
4.30
4.33
4.20
3.92
3.99
3.73
Gen X
736
208
4.18
4.17
4.22
4.17
4.15
4.21
4.32
4.30
4.40
4.03
3.98
4.21
4.34
4.34
4.37
3.97
4.00
3.86
Boomers
128
25
4.27
4.26
4.37
4.19
4.14
4.46
4.34
4.27
4.69
4.00
3.93
4.36
4.44
4.41
4.55
4.00
3.95
4.24
Total
1606
478
4.16
4.16
4.17
4.14
4.15
4.13
4.26
4.25
4.28
4.03
4.00
4.15
4.33
4.34
4.30
3.95
4.00
3.81
N frequency, M male, F female, T total male and female, TL transformational leadership, SEA self-emotion appraisal, OEA others’ emotion appraisal, ROE regulation of emotion, UOE Uses of emotion, EITOT mean score of the four EI dimensions

Measures

The questionnaire had two parts. The first part collected data on the demographics of respondents. The second part collected respondents’ perceptions of the variables of EI and TL style (see Appendix A). All the items used to measure the variables had been validated in previous studies. The response format was a 5-point Likert scale ranging from 1 (strongly disagree) to 5 (strongly agree).
We measured TL using the Multifactor Leadership Questionnaire Form 6S (MLQ-6S) developed by Bass and Avolio (1992). MLQ-6S has 12 items measuring TL style. The 12 items had high reliability (Cronbach α = .85), indicating a high level of internal consistency. We measured the four EI dimensions using the 16-item self-report tool developed by Wong and Law (2002) based on Mayer and Salovey (1997). This tool is known as the Wong-Law Emotional Intelligence Scale (WLEIS). The WLEIS is one of the most frequently used EI instruments, which are valid and reliable in different cultural settings (Shi & Wang, 2007). The EI scales had acceptable reliability. Cronbach’s α ranged from .79 to .87.

Results

Figure 1 summarizes our proposed research model. The theoretical lenses used to empirically analyse the effects of entrepreneurs’ EI on TL style draw on both EI and leadership style concepts. Our conceptual model includes the moderating effects of gender and generational cohort as two critical contextual factors, thereby providing a mechanism to link the dimensions of entrepreneurs’ EI to entrepreneurs’ TL style.
Fig. 1
Research model depicting the link between entrepreneurs’ EI and TL Style moderated by gender and generational cohort
Bild vergrößern
To tested whether entrepreneurs’ emotional intelligence is positively related to entrepreneurs’ transformational leadership (H1) by first comparing the Pearson correlation coefficients for each dimension of entrepreneurs’ EI with entrepreneurs’ TL. Preliminary analyses were performed to ensure no violation of the assumptions of normality, linearity, and homoscedasticity. The results appear in Table 2. These results provide some initial insight into this hypothesis. Table 2 reports descriptive statistics and correlations between the research variables. The highest mean is for regulation of emotion (4.33), followed by self-emotion appraisal (SEA = 4.26). The results for OEA differ from Cross and Travaglione’s (2003) findings. Based on a qualitative study of Australian entrepreneurs, Cross and Travaglione (2003) found that entrepreneurs have extraordinary levels of EI and that OEA is the highest dimension of EI.
Table 2
Descriptive statistics and correlation matrix of the variables in the study
 
TL
SEA
OEA
ROE
UOE
EITOT
TL
-
0.42*
0.43*
0.44*
0.38*
0.60*
SEA
 
-
0.36*
0.31*
0.42*
0.73*
OEA
  
-
0.20
0.28*
0.66*
ROE
   
-
0.32*
0.65*
UOE
    
-
0.75*
EITOT
     
-
M
4.16
4.26
4.03
4.33
3.95
4.14
SD
0.48
0.63
0.69
0.65
0.76
0.48
Skewness
-0.35
-0,83
-0.68
-1.09
-0.59
-0.49
Kurtosis
-0.16
0.74
0.55
1.20
0.01
0.28
N = 2084
SEA self-emotion appraisal, OEA others’ emotion appraisal, ROE regulation of emotion, UOE use of emotion, EITOT mean score of the four EI dimensions, TL transformational leadership
*p < 0.01 (two-tailed tests)
Table 2 shows a significant positive correlation between the four EI dimensions and TL. The correlation coefficients range from 0.38 (UOE) to 0.44 (ROE), with a significance level of 0.01. The results show that the total EI score is strongly correlated with TL (mean score of the four EI dimensions, EITOT = 0.60). The results of the correlation analysis indicate that all the EI dimensions are significantly correlated with TL. Therefore, we conducted hierarchical regression analysis to determine whether EI dimensions contribute incrementally to the prediction of TL while controlling for the moderating effect of gender and generational cohort. We conducted a two-stage hierarchical multiple regression analysis where TL was regressed onto gender and generational cohort in the first stage and the four EI dimensions in the second step (see Table 3). Hierarchical multiple regression is an appropriate analytical approach when seeking to evaluate the predictive capacity of proposed regression models in studies grounded in robust theoretical foundations like ours (Tabachnick & Fidell, 2007).
Table 3
Summary of hierarchical regression analysis for variables predicting TL
Variables
Β
R2
Adjusted R2
R2
F
Sig.
Model 1
 
0.01
0.01
0.01
7
0.00
Gender
0.01
     
Generation
0.08
     
Model 2
 
0.37
0.37
0.37
204
0.00
Gender
0.01
     
Generation
0.05
     
SEA
0.18*
     
OEA
0.27*
     
ROE
0.29*
     
UOE
0.14*
     
SEA self-emotion appraisal, OEA others’ emotion appraisal, ROE regulation of emotion, UOE use of emotion, β standardized beta coefficient
*p < 0.01
H1 posits a link between EI and TL. H2 and H3 posit moderating effects by gender and generational cohort on the relationship between EI and TL. The results show that gender and generational cohorts in Model 1 explain only 1% of the variance of TL. The addition of EI dimensions in Model 2 results in a significant change in R2 (0.37), explaining 37% of the variance of TL. This result is also consistent with the significant positive correlation between EI dimensions and TL reported earlier. Therefore, H1 is supported. ROE (Β = 0.29, p < 0.01) contributes the most to explaining the variance of TL, followed by OEA (Β = 0.27, p < 0.01) and SEA (Β = 0.18, p < 0.01). However, the results do not support H2 and H3, which posit moderation by gender and generational cohort. Thus, we conclude that although the dimensions of EI influence TL, this influence is not moderated by gender or generational cohort.
We conducted a multivariate analysis of variance (MANOVA) with gender and generational cohort as factors in the EI dimensions. Considering Pillai’s trace criterion, Table 4 presents the MANOVA results. These results reveal a statistically significant interaction between the effects of gender and generational cohort (Pillai trace = 0.01; F[12, 6225] = 2.23; p < 0.01) on the dimensions of EI. Simple main effects analysis shows that some EI dimensions are significantly affected by entrepreneurs’ gender (Pillai trace = 0.01; F[4, 2073] = 7.02; p < 0.01) and generational cohort (Pillai trace = 0.02; F[12, 6225] = 3.96; p < 0.01).
Table 4
Multivariate analysis of variance of EI
Factor
Pillai
F
P
Dep. variables
F
P
Partial
ηp 2
Gender
0.01
7.02
0.00**
SEA
2.96
0.09
0.00
    
OEA
12.45
0.00**
0.01
    
ROE
0.21
0.65
0.00
    
UOE
5.19
0.02*
0.00
Cohort
0.02
3.96
0.00**
SEA
14.00
0.00**
0.02
    
OEA
0.94
0.42
0.00
    
ROE
3.73
0.01*
0.01
    
UOE
2.98
0.03*
0.00
Gender x Cohort
0.01
2.23
0.01**
SEA
5.40
0.00**
0.01
    
OEA
3.67
0.01**
0.01
    
ROE
2.31
0.08
0.00
    
UOE
4.51
0.00**
0.01
SEA self-emotion appraisal, OEA others’ emotion appraisal, ROE regulation of emotion, UOE use of emotion
*Significant at p < 0.05; **Significant at p < 0.01
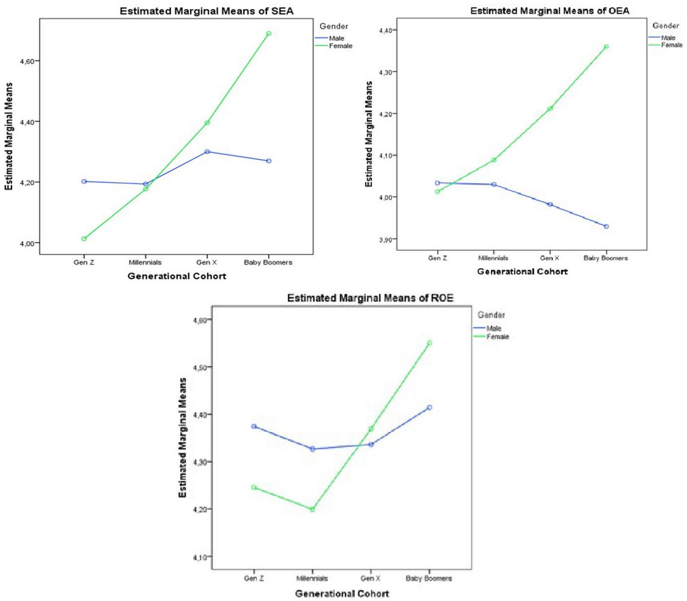
The interaction effect of gender and generational cohort influences SEA, OEA, and UOE most significantly (see Table 1). To gain greater insight into this interaction effect, we plotted the relationship (see Fig. 2). Female Baby Boomer entrepreneurs have higher scores than men and women in all dimensions of EI. The greatest difference is between male and female Baby Boomers in SEA (-0.42) and OEA (-0.43). The third highest difference is between male and female Gen Z entrepreneurs in UOE (0.40).
Fig. 2
Interaction effect of gender and generational cohort on EI
Bild vergrößern
Regarding main effects, although gender affects OEA and UOE dimensions most significantly, generational cohort affects SEA, ROE, and UOE most significantly. As Table 1 shows, women have higher scores in OEA but lower scores in UOE. Considering generational cohorts, Gen Z and Millennial entrepreneurs have lower scores in SEA than Gen X and Baby Boomer entrepreneurs. Millennials have the lowest scores in UOE (0.40). Thus, H4 and H6 are partially supported because only some dimensions of EI are influenced by gender and generational cohort.
Next, we assessed the effects of gender and generational cohort on TL using analysis of variance (ANOVA; see Table 5).
Table 5
ANOVA of TL vs. gender and generational cohort
Factor
Type III sum of squares
DF
Mean Square
F
P
partial η2 = 
Gender
0.09
1
0.09
0.39
0.54
0.00
Cohort
4.20
3
1.40
6.01
0.00*
0.01
Gender x Cohort
0.78
3
0.26
1.12
0.34
0.00
Error
484.04
2076
0.23
   
Total
36568.17
2084
    
*Significant at p < 0.01
The univariate analysis results (Table 6) show no significant difference in TL scores between men and women entrepreneurs. No interaction effect between gender and generational cohort was observed. However, we observed a significant main effect of entrepreneurs’ generational cohort (F[3, 2036] = 6.01; p < 0.01; partial η2 = 0.01). The results of the post hoc Tukey’s HSD test (see Table 6) indicate that the mean TL score for Baby Boomers is significantly higher than that of Gen Z members and Millennials (p < 0.01). Thus, H7 is supported, but H5 is not supported.
Table 6
Post hoc Tukey’s HSD test for TL vs. generational cohort
Factor
(I) Cohort
(J) Cohort
Mean Diff. (I-J)
Std error
Sig.
TL
Gen Z
Millennials
-0.01
0.04
0.99
  
Gen X
-0.07
0.04
0.23
  
Baby Boomers
-0.16
0.05
0.01*
 
Millennials
Gen Z
0.01
0.04
0.99
  
Gen X
-0.06
0.02
0.08
  
Baby Boomers
-0.15
0.04
0.00*
 
Gen X
Gen Z
0.07
0.04
0.23
  
Millennials
0.06
0.02
0.08
  
Baby Boomers
-0.09
0.04
0.13
 
Baby Boomers
Gen Z
0.16
0.05
0.01*
  
Millennials
0.15
0.04
0.00*
  
Gen X
-0.09
0.04
0.13
TL transformational leadership
*Significant at p < 0.01

Discussion

Helping entrepreneurs gain a deeper understanding of what affects their TL style is critical. As predicted, our empirical findings reveal that entrepreneurs’ EI has a positive and significant effect on TL. Two EI dimensions (others’ emotion appraisal and regulation of emotion) are the most relevant EI predictors of TL style. Thus, entrepreneurs with higher scores for others’ emotion appraisal and regulation of emotion are more likely to exploit these EI dimensions by applying them to a TL style. Regulation of emotion is important because it can contribute to the quality of social relationships (Côté & Miners, 2006), a greater perception of friendship between coworkers (Niven et al., 2012), higher levels of customer service and satisfaction, positive customer affect, and better negotiation outcomes (Côté et al., 2013). Studies have found that perceiving others’ emotion appraisal accurately is directly associated with entrepreneurial activities such as the creation of collaborative spirit and cooperation (González-Padilla et al., 2023), negotiation, selection of partners, and recruitment of employees (Baron & Tang, 2008).
In addition, differences by gender and generational cohort were found for entrepreneurs’ EI and TL styles. However, gender and generational cohorts were not observed to moderate the link between entrepreneurs’ EI and TL style. Our study reveals that three EI dimensions (i.e., self-emotion appraisal, others’ emotion appraisal, and use of emotion) vary according to gender and generational cohort. For female entrepreneurs, these EI dimensions increase with the generational cohort. This finding is consistent with previous studies that have shown that EI increases with age (e.g., Mayer et al., 2002). By contrast, male entrepreneurs in older generational cohorts have lower scores for others’ emotion appraisal. This finding suggests that male entrepreneurs are less likely than female entrepreneurs to be confident in understanding others’ emotions as they grow older. Moreover, the findings suggest that for both genders, ROE is low among millennials but high among the older generations.
One notable pattern detected in this study is that female Baby Boomer entrepreneurs score higher than all other men and women in all EI dimensions. We also found that Gen Z men have higher scores than Gen Z women in all EI dimensions. Millennial men have scores that are less than or equal to the scores of Gen Z men in all EI dimensions. Research has shown not only that older adults have a better understanding of emotions but also that younger adults are less effective at emotion regulation (Blanchard-Fields et al., 2007; Gross & John, 2003). As previously explained, our results reveal significantly different results with respect to the interaction effect of gender and generational cohort. In terms of gender, studies have shown that women score higher than men in EI. Again, our results partially support these findings. The results show that gender influences others’ emotion appraisal and use of emotion but not the other EI dimensions. In these two EI dimensions, male entrepreneurs’ scores decrease as older generational cohorts are considered.
With regards to TL style, members of Gen X, but particularly Baby Boomers, have substantially higher mean scores than members of younger generations. We also observed that TL style evolves across generations. Gen Z has a similar pattern to the Millennial generation regarding TL style and EI. The exception is female Gen Z entrepreneurs, who have low levels of TL style. Although younger generations are highly educated, tech-savvy, well-travelled, confident, independent, goal-oriented, and more open to transformative ideas (Dietrich & Srinivasan, 2007), it seems that younger entrepreneurs do not develop a TL style. Akin to the controversial assumption that digital natives are more technologically suited to working in and creating companies in digital environments or digital industries, younger generations are expected to be more eager to transform firms and industries because they have grown in a fast-changing environment.
Our results on the generational differences in entrepreneurs’ TL style contrast with findings reported in the TL style meta-analysis by Eagly et al. (2003). They concluded that male leaders are less transformational than female leaders. We found that this is not the case for the younger entrepreneurial generations, specifically Gen Z and Millennials. We conclude that TL style is more clearly present in Baby Boomers than in younger generations. Today’s entrepreneurs are supposed to show TL-style behaviours to compete in dynamic environments and deal with risk and uncertainty due to frequent competitive changes (Ensley et al., 2006). Interestingly, however, the younger generations have lower TL scores than the oldest generational cohort (Table 7).
Table 7
Summary of hypothesis and results
Hypothesis
Results
H1: Entrepreneurs’ emotional intelligence is positively related to entrepreneurs’ transformational leadership style.
Hypothesis proved.
Moreover, results show that two EI dimensions —others’ emotion appraisal (OEA) and regulation of emotion (ROE) —are the EI dimensions that contribute most to TL.
H2: The link between dimensions of emotional intelligence and transformational leadership is moderated by gender.
Hypothesis not proved
H3: The link between dimensions of emotional intelligence and transformational leadership is moderated by the generational cohort.
Hypothesis not proved
H4: Entrepreneurs’ dimensions of emotional intelligence differ significantly by gender.
Hypothesis partially supported (only OEA and UOE are affected)
H5: Entrepreneurs’ transformational leadership capacity differs significantly by gender.
Hypothesis not proved.
H6: Entrepreneurs’ emotional intelligence dimensions differ significantly by generational cohort.
Hypothesis partially supported (SEA, ROE, and UOE affected)
H7: Entrepreneurs’ transformational leadership differs significantly by generational cohort.
Hypothesis proved.

Practical implications

Our study shows that entrepreneurs whose personal skills include EI will most probably obtain a competitive advantage. Entrepreneurs who can suitably manage their emotions and be aware of those of others can be expected to increase their TL style, and have better interactions with stakeholders, develop more tools to overcome the challenges facing their ventures, and ultimately achieve better entrepreneurial performance. Also, emotionally intelligent entrepreneurs may be able to anticipate and seize entrepreneurial opportunities.
Other aspects of our findings have practical implications. For example, individuals working with entrepreneurs should manage the gender and generational diversity of entrepreneurs because of the state of their EI maturity and the need to understand EI diverse environments. The implications of our conclusions will also be valuable for the development of entrepreneurs’ EI and TL skills. Entrepreneurship education programmes should include training on EI and TL skills for students and teachers in what some call “edupreneurial leadership” (Muñoz-Céspedes et al., 2023; Satterwhite, 2018).

Limitations and future research

This study provides a foundation for future research on EI, leadership, and entrepreneurship. Because of the data source, further studies could reinforce this research and its results. For example, the data for this study were gathered from an online survey sent to entrepreneurs. Self-assessment reports can be reliable, but future research should consider other data collection alternatives. In the case of EI, other tools that cannot be self-reported may provide qualitative insights. Building on this quantitative study, a qualitative approach could lead to a deeper understanding of the linkages between entrepreneurs’ EI and TL styles. Another potential research avenue is to explore the mechanisms that can be used to develop EI dimensions within an entrepreneurial context.
In addition, we did not study the development over time of entrepreneurs’ EI and TL styles, or the link between them. Given the substantial differences between generational cohorts, longitudinal research could provide valuable insights, helping to understand entrepreneurial EI and TL style evolution. Studies have considered the impact of EI on career development, success, quitting entrepreneurship jobs, and job performance. We did not consider these variables in our research. In the future, studying these variables could help cover the whole entrepreneurial career journey.

Conclusions

Our empirical findings provide instrumental theoretical insights by clearly demonstrating how different dimensions of entrepreneurs’ EI affect their TL style, enriching the entrepreneurship literature, particularly in the area of emotions in entrepreneurship by showing that entrepreneurs' Emotional Intelligence (EI) significantly influences their Transformational Leadership (TL) style as hinted by Ettis (2022). This study advances research on the link between entrepreneurs’ EI and TL styles by considering the moderating effect of gender and generational cohort. Fundamentally, our study shows that entrepreneurs with high TL are emotionally intelligent entrepreneurs. Our results also reveal that gender and generational membership influence some dimensions of EI. Notably, dimensions like Others’ Emotion Appraisal and Regulation of Emotion are key predictors of TL.
While differences in EI and TL styles were observed across gender and generational cohorts, these factors did not moderate the relationship between EI and TL. However, certain EI dimensions varied with gender and generational cohort. This result is consistent with the developmental psychology idea that EI is greater in women than men, and it varies with age, with younger and older adults scoring lower than middle-aged adults, except for understanding emotions (Cabello et al., 2016).
Among the results we want to highlight the Baby Boomers exhibit higher TL scores compared to younger generations, suggesting a more pronounced presence of TL in this cohort. The findings are consistent with marketing literature that shows that Baby Boomers prioritize the retail experience and value in-store service, preferring to start the purchase process with a trusted retailer who offers product advice. Conversely, Generation Y focuses on selecting a product first (Parment, 2013). These findings are crucial for developing entrepreneurship strategies that cater to distinct generational needs, emphasizing the importance of tailored approaches in building relationships across different age groups.
The main shortcoming of our research is the reliance on self-reported data, which suggests the need for alternative data collection methods in future research. Longitudinal studies could provide deeper insights into the development of EI and TL styles over time. That will allow the observation of how EI and TL evolve over time in entrepreneurs, potentially revealing developmental patterns or shifts due to changing business environments. Better data will also let investigate how cultural backgrounds influence the development and expression of EI and TL in entrepreneurs. This could include cross-cultural comparisons or studies within multicultural societies.
The results reported here are valuable for individuals, institutions, and educational organisations that seek to promote the education and development of entrepreneurs, as well as organisations that seek to enhance their members’ entrepreneurial behaviour. We hope that our findings regarding the link between EI and TL style will encourage researchers to further investigate the influence of emotions in entrepreneurship.
Open Access This article is licensed under a Creative Commons Attribution 4.0 International License, which permits use, sharing, adaptation, distribution and reproduction in any medium or format, as long as you give appropriate credit to the original author(s) and the source, provide a link to the Creative Commons licence, and indicate if changes were made. The images or other third party material in this article are included in the article's Creative Commons licence, unless indicated otherwise in a credit line to the material. If material is not included in the article's Creative Commons licence and your intended use is not permitted by statutory regulation or exceeds the permitted use, you will need to obtain permission directly from the copyright holder. To view a copy of this licence, visit http://​creativecommons.​org/​licenses/​by/​4.​0/​.

Publisher's Note

Springer Nature remains neutral with regard to jurisdictional claims in published maps and institutional affiliations.
download
DOWNLOAD
print
DRUCKEN
Titel
Gender and generational cohort impact on entrepreneurs’ emotional intelligence and transformational leadership
Verfasst von
José Esteves
Guillermo de Haro Rodríguez
María Teresa Ballestar
Jorge Sainz
Publikationsdatum
05.03.2024
Verlag
Springer US
Erschienen in
International Entrepreneurship and Management Journal / Ausgabe 2/2024
Print ISSN: 1554-7191
Elektronische ISSN: 1555-1938
DOI
https://doi.org/10.1007/s11365-024-00955-9

Appendix A. Questionnaire, figures and tables

Factor
Questions
Emotional
intelligence
(Wong & Law, 2002)
I have a good sense of why I have certain feelings most of the time.
I have a good understanding of my own emotions.
I really understand what I feel.
I always know whether or not I am happy.
I always know my friends’ emotions from their behaviour.
I am a good observer of others’ emotions.
I am sensitive to the feelings and emotions of others.
I have a good understanding of the emotions of people around me.
I always set goals for myself and then try my best to achieve them.
I always tell myself I am a competent person.
I am a self-motivated person.
I would always encourage myself to try my best.
I am able to control my temper and handle difficulties rationally.
I am quite capable of controlling my own emotions.
I can always calm down quickly when I am very angry.
I have good control over my own emotions.
Transformational
leadership
(Bass & Avolio, 1992)
I make others feel good to be around me.
Others have complete faith in me.
Others are proud to be associated with me.
I express, with a few simple words, what we could and should do.
I provide appealing images about what we can do.
I help others find meaning in their work.
I enable others to think about old problems in new ways.
I provide others with new ways of looking at puzzling things.
I get others to rethink ideas that they had never questioned before.
I help others develop themselves.
I let others know how I think they are doing.
I give personal attention to others who seem rejected.
Zurück zum Zitat Acs, Z. J., & Audretsch, D. B. (1988). Innovation in large and small firms: An empirical analysis. American Economic Review, 78(4), 678–690.
Zurück zum Zitat Ahmad, N. H. (2007). A cross-cultural study of entrepreneurial competencies and entrepreneurial success in SMEs in Australia and Malaysia (Doctoral dissertation). https://​hdl.​handle.​net/​2440/​48199
Zurück zum Zitat Ahmetoglu, G., Leutner, F., & Chamorro-Premuzic, T. (2011). EQ-nomics: Understanding the relationship between individual differences in trait emotional intelligence and entrepreneurship. Personality and Individual Differences, 51(8), 1028–1033.
Zurück zum Zitat Artz, B. (2017). Gender and entrepreneurial success: Evidence from survey data. Applied Economics Letters, 24(3), 163–166.
Zurück zum Zitat Avnimelech, G., & Zelekha, Y. (2023). Religion and the gender gap in entrepreneurship. International Entrepreneurship and Management Journal, 19(2), 1–37. https://​doi.​org/​10.​1007/​s11365-023-00855-4CrossRef
Zurück zum Zitat Avolio, B. J., Bass, B. M., & Jung, D. I. (1999). Re-examining the components of transformational and transactional leadership using the Multifactor Leadership. Journal of Occupational and Organizational Psychology, 72(4), 441–462.
Zurück zum Zitat Azoulay, P., Jones, B., Kim, J. D., & Miranda, J. (2018). Age and High-Growth Entrepreneurship (No. w24489). National Bureau of Economic Research.
Zurück zum Zitat Bai, Y., Lin, L., & Li, P. P. (2016). How to enable employee creativity in a team context: A cross-level mediating process of transformational leadership. Journal of Business Research, 69(9), 3240–3250.
Zurück zum Zitat Barling, J., Slater, F., & Kelloway, E. K. (2000). Transformational leadership and emotional intelligence: An exploratory study. Leadership and Organization Development Journal, 21, 157–161.
Zurück zum Zitat Baron, R. A. (2007). Behavioral and cognitive factors in entrepreneurship: Entrepreneurs as the active element in new venture creation. Strategic Entrepreneurship Journal, 1, 167–182.
Zurück zum Zitat Baron, R. A. (2008). The role of affect in the entrepreneurial process. Academy Management Review, 33, 328–340.
Zurück zum Zitat Baron, R. A., & Tang, J. (2008). Entrepreneurs’ social skills and new venture performance: Mediating mechanisms and cultural generality. Journal of Management, 35(2), 282–306.
Zurück zum Zitat Bass, B. M. (1985). Leadership and performance beyond expectations. Collier Macmillan.
Zurück zum Zitat Bass, B. M. (1999). Two decades of research and development in transformational leadership. European Journal of Work and Organizational Psychology, 8(1), 9–32.
Zurück zum Zitat Bass, B. M., & Avolio, B. J. (1992). Developing transformational leadership: 1992 and beyond. Journal of European Industrial Training, 14(5), 21–27.
Zurück zum Zitat Bass, B. M., Avolio, B. J., & Atwater, L. (1996). The transformational and transactional leadership of men and women. Applied Psycology: An International Review, 45(1), 5–34. https://​doi.​org/​10.​1111/​j.​1464-0597.​1996.​tb00847.​xCrossRef
Zurück zum Zitat Bass, B. M., Avolio, B. J., Jung, D. I., & Berson, Y. (2003). Prediction unit performance by assessing transformational and transactional leadership. Journal of Applied Psychology, 88(2), 207–218. https://​doi.​org/​10.​1037/​0021-9010.​88.​2.​207CrossRef
Zurück zum Zitat Bass, B. M., & Riggio, R. E. (2006). Transformational Leadership (2nd ed.). Lawrence Erlbaum.
Zurück zum Zitat Baumol, W. J. (2002). Entrepreneurship, innovation and growth: The David-Goliath symbiosis. Journal of Entrepreneurial Finance and Business Ventures, 7(2), 1–10. https://​doi.​org/​10.​57229/​2373-1761.​1087CrossRef
Zurück zum Zitat Biraglia, A., & Kadile, V. (2017). The role of entrepreneurial passion and creativity in developing entrepreneurial intentions: Insights from American homebrewers. Journal of Small Business Management, 55(1), 170–188.
Zurück zum Zitat Blanchard-Fields, F., Mienaltowski, A., & Seay, R. B. (2007). Age differences in everyday problem-solving effectiveness: Older adults select more effective strategies for interpersonal problems. Journals of Gerontology: Series B: Psychological Sciences and Social Sciences, 62(1), 61–64.
Zurück zum Zitat Boren, A. E. (2010). Emotional intelligence: The secret of successful entrepreneurship? Faculty Publications: Agricultural Leadership, Education & Communication Department, 55(2), 54–61.
Zurück zum Zitat Breevaart, K., Bakker, A., Hetland, J., Demerouti, E., Olsen, O. K., & Espevik, R. (2014). Daily transactional and transformational leadership and daily employee engagement. Journal of Occupational and Organizational Psychology, 87(1), 138–157.
Zurück zum Zitat Bristow, J. (2015). Baby boomers and generational conflict. Macmillan Publishers.
Zurück zum Zitat Bullough, A., Guelich, U., Manolova, T. S., & Schjoedt, L. (2022). Women’s entrepreneurship and culture: Gender role expectations and identities, societal culture, and the entrepreneurial environment. Small Business Economics, 58(2), 985–996.
Zurück zum Zitat Burns, J. M. (1978). Leadership. Harper and Row.
Zurück zum Zitat Byun, D. Y., & Ding, F. (2019). The direct and indirect impact of gender diversity in new venture teams on innovation performance. Entrepreneurship Theory and Practice, 43(3), 505–528. https://​doi.​org/​10.​1177/​1042258718807696​CrossRef
Zurück zum Zitat Cabello, R., Sorrel, M. A., Fernández-Pinto, I., Extremera, N., & Fernández-Berrocal, P. (2016). Age and gender differences in ability emotional intelligence in adults: A cross-sectional study. Developmental Psychology, 52(9), 1486.
Zurück zum Zitat Caldwell, C., Dixon, R. D., Floyd, L. A., Chaudoin, J., Post, J., & Cheokas, G. (2012). Transformative leadership: Achieving unparalleled excellence. Journal of Business Ethics, 109(2), 175–187.
Zurück zum Zitat Camelo-Ordaz, C., Diánez-González, J. P., & Ruiz-Navarro, J. (2016). The influence of gender on entrepreneurial intention: The mediating role of perceptual factors. Business Research Quarterly, 19(4), 261–277.
Zurück zum Zitat Caputo, A., Ayoko, O. B., Amoo, N., & Menke, C. (2019). The relationship between cultural values, cultural intelligence, and negotiation styles. Journal of Business Research, 99, 23–36.
Zurück zum Zitat Cardon, M., Wincent, J., Singh, J., & Drnovsek, M. (2009). The nature and experience of entrepreneurial passion. Academy of Management Review, 34(3), 511–532.
Zurück zum Zitat Cardon, M. S., Foo, M. D., Shepherd, D., & Wiklund, J. (2012). Exploring the heart: Entrepreneurial emotion is a hot topic. Entrepreneurship Theory and Practice, 36(1), 1–10.
Zurück zum Zitat Cardon, M. S., & Kirk, C. P. (2015). Entrepreneurial passion as mediator of the self efficacy to persistence relationship. Entrepreneurship Theory and Practice, 39(5), 1027–1050.
Zurück zum Zitat Cavazotte, F., Moreno, V., & Hickmann, M. (2012). Effects of leader intelligence, personality and emotional intelligence on transformational leadership and managerial performance. The Leadership Quarterly, 23(3), 443–455.
Zurück zum Zitat Chang, Y., Che-Yuan, C., & Chung-Wen, C. (2017). Transformational leadership and corporate entrepreneurship: Cross-level mediation moderation evidence. Leadership & Organization Development Journal, 38, 812–833.
Zurück zum Zitat Chen, P., Peng, Y., & Fang, P. (2016). Emotional intelligence mediates the relationship between age and subjective well-being. International Journal of Aging Human Development, 83(2), 91–107.
Zurück zum Zitat Chen, Y., Tang, G., Jin, J., Xie, Q., & Li, J. (2014). CEO s’ transformational leadership and product innovation performance: The roles of corporate entrepreneurship and technology orientation. Journal of Product Innovation Management, 31, 2–17.
Zurück zum Zitat Chen, X. P., Yao, X., & Kotha, S. (2009). Entrepreneur passion and preparedness in business plan presentations: a persuasion analysis of venture capitalists’ funding decisions. Academy of Management Journal, 52, 199–214. https://​doi.​org/​10.​5465/​amj.​2009.​36462018CrossRef
Zurück zum Zitat Clark, C. M., & Harrison, C. (2018). Leadership: The complexities and state of the field. European Business Review, 30(5), 514–528.
Zurück zum Zitat Cohen, W. M. (2010). Fifty years of empirical studies of innovative activity and performance. Handbook of the Economics of Innovation, 1, 129–213.
Zurück zum Zitat Costanza, D. P., Badger, J. M., Fraser, R. L., Severt, J. B., & Gade, P. A. (2012). Generational differences in work-related attitudes: A meta-analysis. Journal of Business and Psychology, 27(4), 375–394. https://​doi.​org/​10.​1007/​s10869-012-9259-4CrossRef
Zurück zum Zitat Côté, S., & Miners, C. (2006). Emotional intelligence, cognitive intelligence, and job performance. Administrative Science Quarterly, 51, 1–28.
Zurück zum Zitat Cȏté, S., Van Kleef, G. A., & Sy, T. (2013). The social effects of emotion regulation in organizations. In A. A. Grandey, J. M. Diefendorff, & D. E. Rupp (Eds.), Emotional labor in the 21st century: Diverse perspectives on the psychology (pp. 288–294). Routledge.
Zurück zum Zitat Cross, B., & Travaglione, A. (2003). The untold story: Is the entrepreneur of the 21st century defined by emotional intelligence? The International Journal of Organizational Analysis, 11(3), 221–228.
Zurück zum Zitat Day, A. L., & Carroll, S. A. (2004). Using an ability-based measure of emotional intelligence to predict individual performance, group performance, and group citizenship behaviours. Personality and Individual Differences, 36, 1443–1458.
Zurück zum Zitat Debevec, K., Schewe, C. D., Madden, T. J., & Diamond, W. D. (2013). Are today’s millennials splintering into a new generational cohort? Maybe! Journal of Consumer Behaviour, 12(1), 20–31.
Zurück zum Zitat Delgado Garcia, J. B., De Quevedo Puente, E., & Blanco Mazagatos, V. (2015). How affect relates to entrepreneurship: A systematic review of the literature and research agenda. International Journal of Management Review, 17, 191–211.
Zurück zum Zitat DeTienne, D. R., & Chandler, G. N. (2007). The role of gender in opportunity identification. Entrepreneurship Theory and Practice, 31(3), 365–386.
Zurück zum Zitat Díaz-García, M. C., & Jiménez-Moreno, J. (2010). Entrepreneurial intention: The role of gender. International Entrepreneurship and Management Journal, 63, 261–283.
Zurück zum Zitat Diaz-Saenz, H. R. (2011). Transformational leadership. In A. Bryman, D. Collinson, K. Grint, B. Jackson, & M. Uhl-Bien (Eds.), The SAGE handbook of leadership (pp. 299–310). Sage Publications Inc.
Zurück zum Zitat Dietrich, A., & Srinivasan, N. (2007). The optimal age to start a revolution. The Journal of Creative Behavior, 41(1), 54–74.
Zurück zum Zitat Dimock, M. (2018). Defining generations: Where millennials end and post-millennials begin. Pewresearch fact tank article. http://​www.​pewresearch.​org/​fact-tank/​2018/​03/​01/​defining-generations-where-millennials-end-and-post-millennials-begin/​. Retrieved July 1, 2021.
Zurück zum Zitat Dobbins, G. H., & Platz, S. J. (1986). Sex-differences in leadership–how real are they. Academy of Management Review, 11, 118–127.
Zurück zum Zitat Dong, Y., Bartol, K. M., Zhang, Z. X., & Li, C. (2017). Enhancing employee creativity via individual skill development and team knowledge sharing: Influences of dual focused transformational leadership. Journal of Organizational Behavior, 38(3), 439–458.
Zurück zum Zitat Duckett, H., & Macfarlane, E. (2003). Emotional intelligence and transformational leadership in retailing. Leadership & Organization Development Journal, 24(6), 309–317. https://​doi.​org/​10.​1108/​0143773031049428​4CrossRef
Zurück zum Zitat Dulewicz, C., Young, M., & Dulewicz, V. (2005). The relevance of emotional intelligence for leadership performance. Journal of General Management, 30(3), 71–86.
Zurück zum Zitat Dumdum, U. R., Lowe, K. B., & Avolio, B. J. (2013). A meta-analysis of transformational and transactional leadership correlates of effectiveness and satisfaction: An update and extension. In Transformational and charismatic leadership: The road ahead 10th anniversary edition (pp. 39–70). Emerald Group Publishing Limited.
Zurück zum Zitat Eagly, A. H., & Johannesen-Schmidt, M. C. (2001). The leadership styles of women and men. Journal of Social Issues, 57, 781–797.
Zurück zum Zitat Eagly, A. H., & Johnson, B. T. (1990). Gender and leadership style: A meta-analysis. Psychological Bulletin, 108, 233–256.
Zurück zum Zitat Eagly, A. H., van Engen, M. L., & Johannesen-Schmidt, M. C. (2003). Transformational, transactional and laissez-faire leadership styles: A meta-analysis comparing women and men. Psychological Bulletin, 129, 569–591.
Zurück zum Zitat Engelen, A., Gupta, V., Strenger, L., & Brettel, M. (2015). Entrepreneurial orientation, firm performance, and the moderating role of transformational leadership behaviors. Journal of Management, 414, 1069–1097.
Zurück zum Zitat Ensley, M. D., Hmieleski, K. M., & Pearce, C. L. (2006). The importance of vertical and shared leadership within new venture top management teams: Implications for the performance of startups. The Leadership Quarterly, 17(3), 217–231.
Zurück zum Zitat Ettis, S. A. (2022). How do personal values help to build generation Y’s entrepreneurial intentions? The role of gender differences. Gender in Management, 37(1), 108–125. https://​doi.​org/​10.​1108/​GM-02-2021-0035CrossRef
Zurück zum Zitat Extremera, P. N., Rey, L., & Sánchez-Álvarez, N. (2019). 2019) Validation of the Spanish version of the Wong Law Emotional Intelligence Scale (WLEIS-S. Psicothema, 31(1), 94–100. https://​doi.​org/​10.​7334/​psicothema2018.​147. PMID: 30664417.CrossRef
Zurück zum Zitat Eyal, O., & Kark, R. (2004). How do transformational leaders transform organizations? A study of the relationship between leadership and entrepreneurship. Leadership and Policy in Schools, 3(3), 211–235.
Zurück zum Zitat Ferk, M., Quien, M., & Posavec, Z. (2013). Female vs. male entrepreneurship-is there a difference? Studies of Organisational Management and Sustainability, 11, 67–77.
Zurück zum Zitat Fernández-Berrocal, P., Cabello, R., Castillo, R., & Extremera, N. (2012). Gender differences in emotional intelligence: The mediating effect of age. Psychology. Behavior, 20, 77–89.
Zurück zum Zitat Fischer, A. H., Kret, M. E., & Broekens, J. (2018). Gender differences in emotion perception and self-reported emotional intelligence: A test of the emotion sensitivity hypothesis. PLoS ONE, 13(1), e0190712. https://​doi.​org/​10.​1371/​journal.​pone.​0190712CrossRef
Zurück zum Zitat Foo, M. (2011). Emotions and entrepreneurial opportunity evaluation. Entrepreneurship Theory and Practice, 35(2), 375–393.
Zurück zum Zitat Foo, M., Uy, M., & Baron, R. (2009). How do feelings influence effort? An empirical study of entrepreneurs’ affect and venture effort. Journal of Applied Psychology, 94(4), 1086–1094.
Zurück zum Zitat Forgas, J. P. (1995). Mood and judgment: The affect infusion model (AIM). Psychological Bulletin, 117, 39–66.
Zurück zum Zitat Forster-Holt, N. (2013). Entrepreneur as ‘End’repreneur: The intention to retire. Small Business Institute Journal, 9(2), 29–42.
Zurück zum Zitat Fukuda, E., Saklofske, D. H., Tamaoka, K., Fung, T. S., Miyaoka, Y., & Kiyama, S. (2011). Factor structure of Japanese versions of two emotional intelligence scales. International Journal of Testing, 11(1), 71–92.
Zurück zum Zitat García León, A., & López Zafra, E. (2009). Una revisión de los modelos e instrumentos de evaluación de la inteligencia emocional [A review of emotional intelligence evaluation models and instruments]. In J. M. Augusto (Ed.), Estudios en el ámbito de la inteligencia emocional [Studies in the field of emotional intelligence] (pp. 15–36). Universidad de Jaén.
Zurück zum Zitat GEM. (2018). Global Entrepreneurship Monitor - Global Report 2017/2018.
Zurück zum Zitat Goleman, D. (1998a). Working with Emotional Intelligence. Bloomsbury Publishing.
Zurück zum Zitat Goleman, D. (1998b). What makes a leader? Harvard Business Review, 76(6), 93–102.
Zurück zum Zitat Goleman, D., Boyatzis, R. E., & McKee, A. (2013). Primal leadership: Unleashing the power of emotional intelligence. Harvard Business Press.
Zurück zum Zitat Gong, Y., Huang, J., & Farh, J. (2009). Employee learning orientation, transformational leadership, and employee creativity: The mediating role of employee creative self-efficacy. Academy of Management Journal, 52(4), 765–778.
Zurück zum Zitat González-Padilla, P., Navalpotro, F. D., & Saura, J. R. (2023). Managing entrepreneurs’ behavior personalities in digital environments: A review. International Entrepreneurship and Management Journal, 1–25. https://​doi.​org/​10.​1007/​s11365-022-00823-4
Zurück zum Zitat Goss, D. (2005). Schumpeter’s legacy? Interaction and emotions in the sociology of entrepreneurship. Entrepreneurship Theory and Practice, 29(2), 205–218.
Zurück zum Zitat Goss, D. (2007). Reconsidering Schumpeterian opportunities: The contribution of interaction ritual chain theory. International Journal of Entrepreneurial Behaviour and Research, 13(1), 3–18.
Zurück zum Zitat Grilo, I., & Thurik, R. (2005). Latent and actual entrepreneurship in Europe and the US: Some recent developments. The International Entrepreneurship and Management Journal, 1(4), 441–459.
Zurück zum Zitat Gross, J. J., & John, O. P. (2003). Individual differences in two emotion regulation processes: Implications for affect, relationships, and well-being. Journal of Personality and Social Psychology, 85(2), 348.
Zurück zum Zitat Harms, P. D., & Credé, M. (2010). Emotional intelligence and transformational and transactional leadership: A meta-analysis. Journal of Leadership & Organizational Studies, 17(1), 5–17.
Zurück zum Zitat Hemlin, S., Allwood, C. M., Martin, B., & Mumford, M. D. (2014). Creativity and leadership in science, technology, and innovation. Routledge.
Zurück zum Zitat Hess, J. D., & Bacigalupo, A. C. (2011). Enhancing decisions and decision-making processes through the application of emotional intelligence skills. Management Decision, 49(5), 710–721.
Zurück zum Zitat Hmieleski, K. M., & Baron, R. A. (2009). Entrepreneurs’ optimism and new venture performance: A social cognitive perspective. Academy of Management Journal, 52(3), 473–488.
Zurück zum Zitat Ingram, A., Peake, W. O., Stewart, W., & Watson, W. (2017). Emotional intelligence and venture performance. Journal of Small Business Management, 57(3), 780–800. https://​doi.​org/​10.​1111/​jsbm.​12333CrossRef
Zurück zum Zitat Jackson, V., Stoel, L., & Brantley, A. (2011). Mall attributes and shopping value: Differences by gender and generational cohort. Journal of Retailing and Consumer Services, 18(1), 1–9.
Zurück zum Zitat Jiang, Y., & Chen, C. C. (2018). Integrating knowledge activities for team innovation: Effects of transformational leadership. Journal of Management, 44(5), 1819–1847.
Zurück zum Zitat Joseph, D. L., & Newman, D. A. (2010). Emotional intelligence: An integrative meta-analysis and cascading model. Journal of Applied Psychology, 95, 54–78.
Zurück zum Zitat Joshi, P., Kaur, H., & Jain, A. (2016). Leadership behaviour of manager: An antecedent of job satisfaction of subordinates. SCMS Journal of Indian Management, 13(4), 19–31.
Zurück zum Zitat Judge, T. A., & Piccolo, R. F. (2004). Transformational and transactional leadership: A meta-analytic test of their relative validity. Journal of Applied Psychology, 89(5), 755.
Zurück zum Zitat Kaufman, A. S., Johnson, C. K., & Liu, X. (2008). A CHC theory-based analysis of age differences on cognitive abilities and academic skills at ages 22 to 90 years. Journal of Psychoeducation Assessment, 26(4), 350–381.
Zurück zum Zitat Kim, H., & Kim, T. (2017). Emotional intelligence and transformational leadership: A review of empirical studies. Human Resource Development Review, 164, 377–393.
Zurück zum Zitat Kirkwood, J. J. (2016). How women and men business owners perceive success. International Journal of Entrepreneurial Behavior & Research, 22(5), 594–615.
Zurück zum Zitat Kollinger-Santer, I., & Fischlmayr, I. C. (2013). Work life balance up in the air — Does gender make a difference between female and male international business travelers? Zeitschrift Für Personalforschung / German Journal of Research in Human Resource Management, 27(3), 195–223.
Zurück zum Zitat Krau, S. D. (2020). Is emotional intelligence an important trait for nurse managers and leaders? Nursing Clinics, 55(1), 13–14.
Zurück zum Zitat Kuschel, K., Ettl, K., Díaz-García, C., & Alsos, G. A. (2020). Stemming the gender gap in STEM entrepreneurship–insights into women’s entrepreneurship in science, technology, engineering and mathematics. International Entrepreneurship and Management Journal, 16(1), 1–15.
Zurück zum Zitat Landa, J. M. A., Lopez-Zafra, E., Antonana, R. M., & Pulido, M. (2006). Perceived emotional intelligence and life satisfaction among university teachers. Psicothema, 18, 152–157.
Zurück zum Zitat Langowitz, N., & Minniti, M. (2007). The entrepreneurial propensity of women. Entrepreneurship Theory and Practice, 341–364. https://​doi.​org/​10.​1111/​j.​1540-6520.​2009.​00347.​x
Zurück zum Zitat Lee, M. O., & Vouchilas, G. (2016). Preparing to age in place: Attitudes, approaches, and actions. Housing and Society, 43(2), 69–81.
Zurück zum Zitat Li, C., Zhao, H., & Begley, T. M. (2015). Transformational leadership dimensions and employee creativity in China: A cross-level analysis. Journal of Business Research, 68(6), 1149–1156.
Zurück zum Zitat Libbrecht, N., Beuckelaer, A. D., Lievens, F., & Rockstuhl, T. (2014). Measurement invariance of the Wong and Law emotional intelligence scale scores: Does the measurement structure hold across Far Eastern and European countries? Applied Psychological, 63(2), 223–237.
Zurück zum Zitat Lindgren, M., & Packendorff, J. (2009). Social constructionism and entrepreneurship: Basic assumptions and consequences for theory and research. International Journal of Entrepreneurial Behavior and Research, 15(1), 25–47.
Zurück zum Zitat Liñán, F., & Chen, Y. W. (2009). Development and cross–cultural application of a specific instrument to measure entrepreneurial intentions. Entrepreneurship Theory and Practice, 33(3), 593–617.
Zurück zum Zitat Liu, J., Zhu, Y., Serapio, M. G., & Cavusgil, S. T. (2019). The new generation of millennial entrepreneurs: A review and call for research. International Business Review, 28(5), 101581.
Zurück zum Zitat Lopez-Zafra, E., & Gartzia, L. (2014). Perceptions of gender differences in self-report measures of emotional intelligence. Sex Roles, 70, 479–495.
Zurück zum Zitat Lyons, S. T., Duxbury, L., & Higgins, C. (2007). An empirical assessment of generational differences in basic human values 1, 2. Psychological Reports, 101(2), 339–352.
Zurück zum Zitat Mandell, B., & Pherwani, S. (2003). Relationship between emotional intelligence and transformational leadership style: A gender comparison. Journal of Business and Psychology, 17(3), 387–404.
Zurück zum Zitat Markinblog. (2023). Marketing statistics, facts, and trends in 2023. Retrieved August 12, 2023, from https://​www.​markinblog.​com/​video-marketing-statistics/​
Zurück zum Zitat Mathew, M., & Gupta, K. (2015). Transformational leadership: Emotional intelligence. SCMS Journal of Indian Management, 12(2), 75–89.
Zurück zum Zitat Mayer, J. D., & Salovey, P. (1997). What is emotional intelligence? In P. Salovey & D. Sluyter (Eds.), Emotional Development and Emotional Intelligence: Implications for Educators (pp. 3–31). Basic Books.
Zurück zum Zitat Mayer, J. D., Caruso, D. R., & Salovey, P. (1999). Emotional intelligence meets traditional standards for an intelligence. Intelligence, 27(4), 267–298.
Zurück zum Zitat Mayer, J. D., Salovey, P., & Caruso, D. (2002). Mayer-Salovey-Caruso Emotional Intelligence Test (MSCEIT): User’s manual. Multi-Health Systems.
Zurück zum Zitat Megerian, L. E., & Sosik, J. J. (1996). An affair of the heart: Emotional intelligence and transformational leadership. Journal of Leadership Studies, 3, 31–48.
Zurück zum Zitat Mittal, S., & Dhar, R. L. (2015). Transformational leadership and employee creativity: Mediating role of creative self-efficacy and moderating role of knowledge sharing. Management Decision, 53(5), 894–910.
Zurück zum Zitat Moriano, J. A., Molero, F., Topa, G., & Mangin, J. P. L. (2014). The influence of transformational leadership and organizational identification on intrapreneurship. International Entrepreneurship and Management Journal, 10(1), 103–119.
Zurück zum Zitat Mortan, R. A., Ripoll, P., Carvalho, C., & Bernal, M. C. (2014). Effects of emotional intelligence on entrepreneurial intention and self-efficacy. Journal of Work and Organizational Psychology, 30(3), 97–104. https://​doi.​org/​10.​1016/​j.​rpto.​2014.​11.​004CrossRef
Zurück zum Zitat Muñoz-Céspedes, E., Ibar-Alonso, R., & Cuerdo-Mir, M. (2023). Individual entrepreneurial behavior and financial literacy. International Entrepreneurship and Management Journal, 1–23. https://​doi.​org/​10.​1007/​s11365-023-00936-4
Zurück zum Zitat Murnieks, C. Y., Mosakowski, E., & Cardon, M. S. (2014). Pathways of passion identity centrality, passion, and behavior among entrepreneurs. Journal of Management, 40(6), 1583–1606.
Zurück zum Zitat Nanjundeswaraswamy, T. S. (2014). Leadership styles. Advances in Management, 7(2), 57.
Zurück zum Zitat Niven, K., Holman, D., & Totterdell, P. (2012). How to win friendship and trust by influencing people’s feelings: An investigation of interpersonal affect regulation and the quality of relationships. Human Relations, 65, 777–805.
Zurück zum Zitat Nordqvist, M., & Zellweger, T. (Eds.). (2010). Transgenerational entrepreneurship: Exploring growth and performance in family firms across generations. Cheltenham, England: Edward Elgar.
Zurück zum Zitat Öncer, A. Z. (2013). Investigation of the effects of transactional and transformational leadership on entrepreneurial orientation. International Journal of Business and Social Research, 3, 153–166.
Zurück zum Zitat Orziemgbe, O., Chukwujioke, A., & Aondoaver, Z. (2014). Relationship between emotional intelligence and entrepreneurial performance: The mediating effect of managerial competence. International Journal of Economics, Commerce and Management, 2(10), 1–6.
Zurück zum Zitat Parment, A. (2013). Generation Y vs. baby boomers: Shopping behavior, buyer involvement and implications for retailing. Journal of Retailing and Consumer Services, 20(2), 189–199.
Zurück zum Zitat Petrides, K. V., & Furnham, A. (2000a). On the dimensional structure of emotional intelligence. Personality and Individual Differences, 29(2), 313–320.
Zurück zum Zitat Petrides, K. V., & Furnham, A. (2000b). Gender differences in measured and self-estimated trait emotional intelligence. Sex Roles, 42(5–6), 449–461.
Zurück zum Zitat Raina, A. K., & Sharma, N. K. (2013). The relationship among emotional intelligence, transformational leadership and effectiveness: An empirical assessment of entrepreneurs in Rajasthan. European Journal of Business and Management, 5(6), 59–68.
Zurück zum Zitat Rhee, K. S., & White, R. J. (2007). The emotional intelligence of entrepreneurs. Journal of Small Business and Entrepreneurship, 20(4), 409–425.
Zurück zum Zitat Sadri, G. (2012). Emotional intelligence and leadership development. Public Personnel Management, 41(3), 535–548.
Zurück zum Zitat Sainz, J., & Sanz, I. (2023). Bridging the gap: Addressing inequities in modern education assessment. Springer.
Zurück zum Zitat Sajilan, S., Hadi, N. U., & Tehseen, S. (2015). Impact of entrepreneur’s demographic characteristics and personal characteristics on firm’s performance under the mediating role of entrepreneur orientation. Review of Integrative Business and Economics Research, 2, 36–52.
Zurück zum Zitat Sashkin, M., & Rosenbach, W. E. (1998). A new vision of leadership. Contemporary Issues in Leadership, 4. Boulder, CO: Westview Press.
Zurück zum Zitat Satterwhite, S. (2018). Edupreneur leadership: An online course designed to aid education entrepreneurs in launching new ventures (Doctoral dissertation, Columbia University). https://​academiccommons.​columbia.​edu/​doi/​10.​7916/​D85B1F0S
Zurück zum Zitat Schabram, K., Nielsen, J., & Thompson, J. (2023). The dynamics of work orientations: An updated typology and agenda for the study of jobs, careers, and callings. Academy of Management Annals, 17(2), 405–438.
Zurück zum Zitat Schutte, N. S., Malouff, J. M., Hall, L. E., Haggerty, D. J., Cooper, J. T., Golden, C. J., & Dornheim, L. (1998). Development and validation of a measure of emotional intelligence. Personality and Individual Differences, 25, 167–177.
Zurück zum Zitat Shi, J., & Wang, L. (2007). Validation of emotional intelligence scale in Chinese university students. Personality and Individual Differences, 43(2), 377–387.
Zurück zum Zitat Shinnar, R. S., Giacomin, O., & Janssen, F. (2012). Entrepreneurial perceptions and intentions: The role of gender and culture. Entrepreneurship Theory and Practice, 363, 465–493.
Zurück zum Zitat Singh, T., & Modassir, A. (2007). Relationship of emotional intelligence with transformational leadership and organizational citizenship behavior. IIM Bangalore Research Paper.
Zurück zum Zitat Smola, K. W., & Sutton, C. D. (2002). Generational differences: Revisiting generational work values for the new millennium. Journal of Organizational Behavior, 23, 363–382.
Zurück zum Zitat Solnet, D., Kralj, A., & Kandampully, J. (2012). Generation Y employees: An examination of work attitude differences. Journal of Applied Management and Entrepreneurship, 17(3), 36.
Zurück zum Zitat Spector, J. M. (2008). Handbook of research on educational communications and technology (3rd ed.). Lawrence Erlbaum Associates.
Zurück zum Zitat Strauss, W., & Howe, N. (1991). Generations: The history of America’s future, 1584 to 2069. William Morrow.
Zurück zum Zitat Strauss, W., & Howe, N. (2000). Millennials Rising: The Next Great Generation. Vintage Books.
Zurück zum Zitat Sturman, M. C. (2003). Searching for the inverted U-shaped relationship between time and performance: Meta-analyses of the experience/performance, tenure/performance, and age/performance relationships. Journal of Management, 29(5), 609–640.
Zurück zum Zitat Subramaniam, R., & Shankar, R. K. (2020). Three mindsets of entrepreneurial leaders. The Journal of Entrepreneurship, 29(1), 7–37. https://​doi.​org/​10.​1177/​0971355719893498​CrossRef
Zurück zum Zitat Szamosi, L. T. (2006). Just what are tomorrow’s SME employees looking for? Education and Training, 48, 654–665.
Zurück zum Zitat Tabachnick, B. G., & Fidell, L. S. (2007). Using multivariate statistics (5th ed.). Pearson Education Inc.
Zurück zum Zitat Tan, J. (2008). Breaking the ‘bamboo curtain’ and the ‘glass ceiling’: The experience of women entrepreneurs in high-tech industries in an emerging market. Journal of Business Ethics, 80(3), 547–564.
Zurück zum Zitat Tang, S., Nadkarni, S., Wei, L., & Zhang, S. X. (2021). Balancing the yin and yang: TMT gender diversity, psychological safety, and firm ambidextrous strategic orientation in Chinese high-tech SMEs. Academy of Management Journal, 64(5), 1578–1604.
Zurück zum Zitat Thurik, A. R., Audretsch, D. B., Block, J. H., Burke, A., Carree, M. A., Dejardin, M., ... & Wiklund, J. (2023). The impact of entrepreneurship research on other academic fields. Small Business Economics, Advance online publication. https://​doi.​org/​10.​1007/​s11187-023-00781-3
Zurück zum Zitat Townsend, D. M., DeTienne, D., Yitshaki, R., & Arthurs, J. D. (2009). The psychological ownership of entrepreneurial organizations: Theoretical and model development. Frontiers of Entrepreneurship Research, 29(6), 3.
Zurück zum Zitat Tsaousis, I., & Kazi, S. (2013). Factorial invariance and latent mean differences of scores on trait emotional intelligence across gender and age. Personality and Individual Differences, 54(2), 169–173.
Zurück zum Zitat Twenge, J. M. (2017). IGen: Why today’s super-connected kids are growing up less rebellious, more tolerant, less happy–and completely unprepared for adulthood–and what that means for the rest of us. Simon and Schuster.
Zurück zum Zitat Van Rooy, D. L., Alonso, A., & Viswesvaran, C. (2005). Group differences in emotional intelligence scores: Theoretical and practical implications. Personality and Individual Differences, 38, 689–700.
Zurück zum Zitat Wang, A. C., & Cheng, B. S. (2010). When does benevolent leadership lead to creativity? The moderating role of creative role identity and job autonomy. Journal of Organizational Behavior, 31(1), 106–121.
Zurück zum Zitat Welsh, D. H., Memili, E., Rosplock, K., Roure, J., & Segurado, J. L. (2013). Perceptions of entrepreneurship across generations in family offices: A stewardship theory perspective. Journal of Family Business Strategy, 4(3), 213–226.
Zurück zum Zitat Wilson, M., & Gerber, L. E. (2008). How generational theory can improve teaching: Strategies for working with the “Millennials.” Currents in Teaching and Learning, 1(1), 29–44.
Zurück zum Zitat Wong, C. S., & Law, K. S. (2002). The effects of leader and follower emotional intelligence on performance and attitude: An exploratory study. Leadership Quarterly, 13, 243–274.
Zurück zum Zitat Yang, C. W. (2008). The relationships among leadership styles, entrepreneurial orientation, and business performance. International Research Journal, 63, 257–275.
Zurück zum Zitat Yitshaki, R. (2012). How do entrepreneurs’ emotional intelligence and transformational leadership orientation impact new ventures’ growth. Journal of Small Business and Entrepreneurship, 253, 357–374.
Zurück zum Zitat Yusoff, W. F. W., & Kian, T. S. (2013). Generation differences in work motivation: From developing country perspective. International Journal of Economy, Management and Social Sciences, 2(4), 97–103.
Zurück zum Zitat Zakarevious, P., & Zuperka, A. (2010). Expression of emotional intelligence development of students entrepreneurship. Economics and Management, ISSN: 1822–6515.
Zurück zum Zitat Zacher, H., & Bal, P. M. (2012). Professor age and research assistant ratings of passive-avoidant and proactive leadership: The role of age-related work concerns and age stereotypes. Studies in Higher Education, 37(7), 875–896.
Zurück zum Zitat Zeffane, R. (2012). Gender and youth entrepreneurial potential: Evidence from the United Arab Emirates. International Journal of Business and Management, 8(1), 60, 102–116.
Zurück zum Zitat Zellweger, T. M., Nason, R. S., & Nordqvist, M. (2012). From longevity of firms to transgenerational entrepreneurship of families: Introducing family entrepreneurial orientation. Family Business Review, 25(2), 136–155.
Bildnachweise
Schmalkalden/© Schmalkalden, NTT Data/© NTT Data, Verlagsgruppe Beltz/© Verlagsgruppe Beltz, EGYM Wellpass GmbH/© EGYM Wellpass GmbH, rku.it GmbH/© rku.it GmbH, zfm/© zfm, ibo Software GmbH/© ibo Software GmbH, Lorenz GmbH/© Lorenz GmbH, Axians Infoma GmbH/© Axians Infoma GmbH, genua GmbH/© genua GmbH, Prosoz Herten GmbH/© Prosoz Herten GmbH, Stormshield/© Stormshield, MACH AG/© MACH AG, OEDIV KG/© OEDIV KG, Rundstedt & Partner GmbH/© Rundstedt & Partner GmbH