Zum Inhalt

Generalized convolution quadrature for non smooth sectorial problems

  • Open Access
  • 01.03.2025
Erschienen in:

Aktivieren Sie unsere intelligente Suche, um passende Fachinhalte oder Patente zu finden.

search-config
loading …

Abstract

Wir betrachten die Anwendung der allgemeinen Faltungsquadrature (gCQ), um die Lösung einer wichtigen Klasse sektoraler Probleme anzunähern. Der gCQ ist eine Verallgemeinerung von Lubichs Faltungsquadratur (CQ), die variable Schritte ermöglicht. Die verfügbare Stabilitäts- und Konvergenztheorie für den gCQ erfordert unrealistische Annahmen über die Regelmäßigkeit der Daten, die in vielen interessanten Anwendungen, wie etwa der Annäherung von Subdiffusionsgleichungen, nicht zutreffen. Es ist bekannt, dass der ursprüngliche CQ bei nicht glatten Daten mit einheitlichen Schritten eine Verringerung der Reihenfolge nahe der Singularität darstellt. Wir verallgemeinern die Analyse des gCQ auf Daten, die realistische Regelmäßigkeitsannahmen erfüllen und bieten ausreichende Bedingungen für Stabilität und Konvergenz in willkürlichen Abfolgen von Zeitpunkten. Wir betrachten den speziellen Fall von abgestuften Maschen und zeigen, wie man sie entsprechend dem Verhalten der Daten optimal auswählt. Ein wichtiger Vorteil der gCQ-Methode ist, dass sie eine schnelle und speicherreduzierte Implementierung ermöglicht. Wir beschreiben, wie der schnelle und vergessene gCQ umgesetzt werden kann und veranschaulichen unsere theoretischen Ergebnisse anhand mehrerer numerischer Experimente.

Publisher's Note

Springer Nature remains neutral with regard to jurisdictional claims in published maps and institutional affiliations.

1 Introduction

Given a function f, we consider the approximation of linear Volterra convolutions in the abstract form
$$\begin{aligned} c(t) = \int _0^t k(t-s)f(s)\, ds, \end{aligned}$$
(1)
where the convolution kernel k is allowed to be vector-valued, on an arbitrary time mesh
$$\begin{aligned} \Delta := 0< t_1< \dots < t_N=T. \end{aligned}$$
(2)
We also consider the resolution of convolution equations like (1), where the data is c and the goal is to approximate f. The efficient discretization of (1) and, more generally, equations involving memory terms like (1), has been an active field of research for decades due to the many applications involved. Indeed the kernel can be scalar valued, such as \(k(t)=t^{\gamma }\) with \(\gamma >-1\), as it is the case for the fractional integral [6, 16], transparent boundary conditions [1, 27], impedance boundary conditions [13], etc., can be a matrix or even an operator, such as \(k(t)=\textrm{e}^{At}\), meaning the semigroup generated by the operator A, as it appears in the variation of constants formula for abstract initial value problems [17], see also [9] for other operator-valued kernels, or can even be a distribution, like the Dirac delta, in the boundary integral formulation of wave problems [8, Chapter 2].
Lubich’s convolution quadrature (CQ) [23] is nowadays a very well established family of numerical methods for the approximation of these problems, but its construction and analysis is strongly limited to uniform time meshes, where \(t_n=nh\), with \(h=\frac{T}{N}\) fixed. CQ schemes never require the evaluation of the convolution kernel k, which, as mentioned above, is allowed to be weakly singular at the origin, be defined in a distributional sense [24] or even not known analytically. Instead, the Laplace transform K of k is used, the so called transfer operator, namely
https://static-content.springer.com/image/art%3A10.1007%2Fs10092-024-00629-6/MediaObjects/10092_2024_629_Equ3_HTML.png
(3)
for a certain abscissa \(\sigma \in {\mathbb {R}}\). The application of the CQ requires a bound of the form
https://static-content.springer.com/image/art%3A10.1007%2Fs10092-024-00629-6/MediaObjects/10092_2024_629_Equ4_HTML.png
(4)
for some \(M>0\) and \(\mu \in {\mathbb {R}}\), with \(\mu >0\) typically holding in applications to hyperbolic time-domain integral equations [24]. In this rather general setting, the generalization of Lubich’s CQ to variable steps has been developed in [1921], presenting the so-called generalized convolution quadrature (gCQ), with a special focus on the resolution of hyperbolic time-domain integral equations. The available stability and convergence analysis of the gCQ requires, in general, strong regularity hypotheses on the data. In particular, for \(\mu = -\alpha \), with \(\alpha \in (0,1)\), convergence of the first order can be proven on a general mesh only if the data f is of class \(C^3([0,T],B)\) and satisfies \(f(0)=f'(0)=0\), [21, Theorem 16]. Notice that the result in [21] improves the first one proven in [19], where an a priori regularization step is required for problems satisfying Assumption 1, and the data is required to satisfy \(f\in C^4([0,T],B)\) with \(f^{(\ell )}(0)=0\), with \(0\le \ell \le 3\), see also [8, Theorem 2.32].
There are however important applications, such as the time integration of parabolic problems [26], the approximation of fractional integrals and derivatives [25] and the resolution of fractional diffusion problems [9], where K can be holomorphically extended to the complement of an acute sector around the negative real axis, and it satisfies a bound of the type
$$\begin{aligned} \Vert K(z) \Vert \le M |z|^{-\alpha }, \quad |\arg (z)| < \pi -\varphi , \end{aligned}$$
(5)
for some \(\varphi \in (0,\frac{\pi }{2})\), \(M = M(\varphi )>0\), and \(\alpha >0\). If K satisfies (5), then it is said to be a sectorial Laplace transform and we also say that k is a sectorial kernel. The current theory for the generalization of the CQ to variable steps is suboptimal for these problems, where the extra regularity of the kernel should allow to relax the smoothness requirements on the data f (or c, if we are solving the convolution equation). In the present paper we address the a priori analysis of the gCQ for this important class of problems. More precisely, as a first step in the development of this theory, we consider following class of convolution operators.
Assumption 1
Let B and D be some normed vector spaces and \({\mathcal {L}}(B,D)\) the space of linear continuous mappings from B to D, with the usual operator norm
$$\begin{aligned} \Vert F\Vert _{D \leftarrow B} = \sup _{u\in B, u \ne 0} \frac{\Vert Fu\Vert _D}{\Vert u\Vert _B}. \end{aligned}$$
We assume that the Laplace transform of the kernel k in (1), is an operator valued mapping \(K: {\mathbb {C}}\rightarrow {\mathcal {L}}(B,D)\) which satisfies
1.
K is holomorphic in any sector \(|\arg (z)|<\pi \).
 
2.
There exist \(M>0\) and \(\alpha \in (0,1)\) such that
$$\begin{aligned} \Vert K(z)\Vert _{D \leftarrow B}\le M |z|^{-\alpha }, \quad |\arg (z)|<\pi . \end{aligned}$$
(6)
 
3.
K is continuous in the upper half plane https://static-content.springer.com/image/art%3A10.1007%2Fs10092-024-00629-6/MediaObjects/10092_2024_629_IEq25_HTML.gif , with the possible exception of \(z=0\), and similarly on the lower edge of the cut.
 
In what follows, we will omit subindexes in the norms when they are clear from the context. Important examples of kernels satisfying Assumption 1 appear often in the literature, such as:
1.
The fractional integral of order \(\alpha \in (0,1)\), where \(k(t)=\frac{t^{\alpha -1}}{\Gamma (\alpha )}\) and \(K(z)=z^{-\alpha }\).
 
2.
The resolvent of a symmetric positive definite elliptic operator A or a discrete version of it by the standard finite difference or the Finite Element method at \(z^{\alpha }\), with \(\alpha \in (0,1)\), provided that the spectrum of A is confined to the negative real axis, away from 0. Then \(K(z)=(z^{\alpha }I-A)^{-1}\) is either an operator between appropriate functional spaces or just a matrix and falls into this class of problems, since typically the resolvent of A is bounded like
$$\begin{aligned} \Vert (z I -A)^{-1} \Vert \le M |z|^{-1}, \quad \text{ for } |\arg (z)|> \pi -\varphi , \quad M=M(\varphi ) >0, \end{aligned}$$
and any \(\varphi \in (0,\frac{\pi }{2})\). The approximation of subdifussion equations by applying the CQ and also the gCQ to discretize the fractional derivative leads to the analysis of these methods for \(k(t)={\mathcal {L}}^{-1}[(z^{\alpha }I-A)^{-1}]\). This application is carefully discussed in Sect. 4.
 
3.
Models for wave propagation in lossy media, such as the Westervelt equation studied in [4], include damping terms of the form considered in this manuscript.
 
Under Assumption 1, the convolution kernel k can be expressed as the inverse Laplace transform of K by means of a real integral representation, see for instance [11, Theorem 10.7d], more precisely we can write
$$\begin{aligned} k(t) = \int _0^{\infty } e^{-xt} G(x) \,dx, \end{aligned}$$
(7)
with G given by
$$\begin{aligned} G(x) = \frac{1}{2\pi \textrm{i}} \left( K(\textrm{e}^{-\textrm{i}\pi } x)-K(\textrm{e}^{\textrm{i}\pi } x)\right) , \end{aligned}$$
and bounded by
$$\begin{aligned} \Vert G(x)\Vert \le \frac{M}{\pi } x^{-\alpha }, \quad \text{ for } \ x>0. \end{aligned}$$
(8)
For the regularity of the data f, we assume that
$$\begin{aligned} f(t)=t^\beta g(t), \ \text{ with } \beta >-1,\quad g \text{ sufficiently } \text{ smooth }. \end{aligned}$$
(9)
Notice that g continuous in [0, T] is enough for (1) to be well defined under the assumptions on k. In this situation, the original CQ methods are well known to suffer an order reduction. Typically a CQ formula of maximal order p is able to achieve that order in the \(L^{\infty }\) norm only if the zero-extension of the data f to \(t<0\) is smooth enough, depending on \(\alpha \) and p. This question has been thoroughly analyzed in the literature, starting from the introduction of the CQ itself in [23]. More precisely, we follow the operational notation introduced by Lubich and set
$$\begin{aligned} K(\partial _t)f&= k*f, \quad \text{ the } \text{ continuous } \text{ convolution } (1), \end{aligned}$$
(10)
$$\begin{aligned} K(\partial ^{h}_t)f,&\quad \hbox { the approximation of } (1) \text{ by } \text{ the } \text{ original } \text{ CQ } \text{ with } \text{ step }\ h, \end{aligned}$$
(11)
$$\begin{aligned} K(\partial ^{\Delta }_t)f,&\quad \text{ the } \text{ approximation } \text{ of } (1) \text{ by } \text{ the } \text{ gCQ } \text{ on } \text{ the } \text{ time } \text{ mesh } \Delta \text{ in } (2). \end{aligned}$$
(12)
We consider the particular case \(f(t)=t^{\beta }{{\textbf{v}}}\), with a t-independent \({{\textbf{v}}}\in B\), cf. [9]. Then, for \(p=1\), the following error estimates follow from [23, Theorem 5.2, Corollary 3.2]
$$\begin{aligned} \Vert \left[ K(\partial _t)f\right] (t_n)-[ K(\partial ^{h}_t)f] _n \Vert \le \left\{ \begin{array}{ll} C t_n^{\alpha -1} h^{\beta +1}, \ & \text { for } -1 < \beta \le 0, \\ C t_n^{\alpha + \beta -1} h, \ & \text { for } \beta \ge 0. \end{array} \right. \end{aligned}$$
(13)
The above estimates imply that the order of convergence close to the origin is actually \(\alpha +\beta \), and that the maximal order of convergence (which is one) is only achievable pointwise at times away from the origin and for \(\beta \ge 0\). Similar error estimates in time hold for the application of the CQ to linear subdiffusion equations [14], whose solutions are known to satisfy (9), see [9, Section 8]. For approximations of order higher than one, correction terms are needed in order to achieve the full maximal order at a given time point away from zero but, in any case, the convergence rate still deteriorates close to the singularity [9, 15].
The real integral representation in (7) of the convolution kernel is much simpler to deal with than the usual contour integral representation along a Hankel contour in the complex plane, which is used in the analysis of more general sectorial problems [26]. This allows us to derive rather clean error estimates for the gCQ method and still brings quite a lot of insight for the analysis of more general sectorial problems and also of higher order gCQ schemes, which we do not address in the present paper. On the other hand, the definition of the gCQ based on (7) is equivalent to the original one in [19] and thus all the important properties proven in [19] still hold, such as the preservation of the composition rule, see Remark 3. Being able to use (7) also brings important advantages from the implementation point of view. In particular, we refer to the fast and oblivious CQ algorithm for the fractional integral and associated fractional differential equations developed in [5]. In this paper, we generalize the algorithm in [5] to the gCQ method, and show how both the computational complexity and the memory can be drastically reduced even for variable step approximations of the convolution problems under study.
The real integral representation of the kernel \(t^{\alpha -1}/\Gamma (\alpha )\) has been recently used in [7] to derive a posteriori error formulas for both the L1 scheme and the gCQ of the first order. For the popular L1 method the maximal order of convergence is known to be \(2-\alpha \), higher than for the gCQ of the first order. In [7], the maximal order \(2-\alpha \) is shown to be achievable in the \(L^2\) norm by using appropriate graded meshes. A posteriori error formulas are also derived for the gCQ method of the first order, but their asymptotic analysis is not developed. The authors point indeed to the complicated a priori error analysis which is required for this. In this paper we address precisely this a priori error analysis and derive error bounds in the \(L^{\infty }\) norm for the gCQ method of the first order. We obtain optimal error estimates of the maximal order for general meshes and, as a particular case, for appropriate graded meshes. By doing this, we fill an important gap in the theory in [21], for an important family of applications.
As we have already mentioned earlier, our analysis is conducted on an arbitrary time grid, but we consider in detail the particular choice of graded meshes, defined by
$$\begin{aligned} t_n= (n\tau )^{\gamma }, \quad \tau =\frac{T^{1/\gamma }}{N},\quad n=1,\dots ,N. \end{aligned}$$
(14)
For (14) we derive the optimal value of the grading parameter \(\gamma \) as a function of \(\alpha \) and \(\beta \) in order to achieve full order of convergence.
The paper is organized as follows. In Sect. 2 we recall the definition of the generalized convolution quadrature method. In Sect. 3 we analyze this method for f satisfying (9) and for sectorial kernels satisfying (7)–(8). In Sect. 4 we address the application to linear subdiffusion equations. Sections 5 and 6 are devoted to implementation issues and numerical results are shown in Sect. 7.

2 Generalized convolution quadrature of the first order

We present the gCQ method for (1) under the assumptions (7)–(8) in a different way from the derivation in [19] and [21], which takes into account the specific properties of the convolution kernels under study. Indeed (7) allows to write
$$\begin{aligned} c(t) = \int _{0}^{\infty } G(x) \int _0^t \textrm{e}^{-x(t-s)} f(s)\,ds \, dx = \int _{0}^{\infty } G(x) y(x,t) \, dx, \end{aligned}$$
(15)
with y(xt) the solution to the scalar ODE problem
$$\begin{aligned} \partial _t y(x,t) = -x y(x,t) + f(t), \quad \text{ with } \quad y(x,0)=0, \quad x\in (0,\infty ),\quad t\in (0,T].\nonumber \\ \end{aligned}$$
(16)
With this representation of the convolution kernel, the gCQ approximation of (1) is defined below.
Definition 2
For a given \(N \ge 0\) and a sequence of time points
$$\begin{aligned} \Delta := 0<t_1<\dots < t_N = T, \quad \text{ with } \quad \tau _j:= t_j-t_{j-1}, \quad j \ge 1, \end{aligned}$$
(17)
the generalized convolution quadrature approximation to (1) based on the implicit Euler method is given by
$$\begin{aligned} c_n = \int _{0}^{\infty } G(x) y_n(x) \, dx, \end{aligned}$$
(18)
where \(y_n(x)\) is the approximation of \(y(x, t_n)\) in (16) given by the implicit Euler method, this is,
$$\begin{aligned} y_n(x)= \sum _{j=1}^{n} \tau _j \left( \prod _{\ell =j}^{n} \frac{1}{1+\tau _{\ell } x}\right) f(t_j). \end{aligned}$$
(19)
In applications it will be convenient to use the operational notation (23), which is defined by
$$\begin{aligned} \left[ K(\partial _t^{\Delta })f \right] _n = c_n = \sum _{j=1}^{n} \omega _{n,j} f_j, \end{aligned}$$
(20)
with \(f_j=f(t_j)\), if f is a function. We will use the same notation for f being a vector, and in this case, \(f_j\) denotes its j-th component. The gCQ weights are given by
$$\begin{aligned} \omega _{n,j}:= \tau _j \int _{0}^{\infty } G(x) \prod _{\ell =j}^{n} r(\tau _\ell x)\, dx, \quad r(x):=\frac{1}{1+x}. \end{aligned}$$
(21)
Notice that \(r(x)=R(-x)\), with \(R(z)=\frac{1}{1-z}\) the stability function of the implicit Euler method.
Remark 3
Under assumptions (7)–(8), our definition of the gCQ approximation (18) to (1) is equivalent to the one in [19], where the gCQ weights are shown to be given by
$$\begin{aligned} \omega _{n,j}:= \left( \prod _{\ell =j+1}^{n} \left( -\tau _{\ell }\right) ^{-1} \right) K \left[ \tau _j^{-1},\dots , \tau _n^{-1} \right] , \end{aligned}$$
(22)
with \(K \left[ \tau _j^{-1},\dots , \tau _n^{-1} \right] \) Newton’s divided differences. Thus the properties proven in [19] for this scheme hold also under the equivalent definition (21). In particular, the gCQ method has the very interesting property of preserving the composition rule. More precisely, by using Lubich’s operational notation for one-sided convolutions [24]
$$\begin{aligned} \left( K(\partial _t)f\right) (t):= \int _{0}^{t} k(t-s) f(s) \, ds, \quad \text{ with } \quad K={\mathcal {L}}[k], \end{aligned}$$
(23)
it holds
$$\begin{aligned} K_2(\partial _t)K_1(\partial _t)f = (K_2 \cdot K_1)(\partial _t)f. \end{aligned}$$
(24)
Following the notation in [21], if we denote by \(K(\partial ^{\Delta }_t)f\) the vector of approximations to \(\left( K(\partial _t)f\right) (t_j)\) on a general time grid
$$\begin{aligned} \Delta := 0< t_1< \dots < t_N=T, \end{aligned}$$
(25)
by the gCQ method, it is proven in [21, Section 5.2] that
$$\begin{aligned} K_2(\partial ^{\Delta }_t)K_1(\partial ^{\Delta }_t)f = (K_2 \cdot K_1)(\partial ^{\Delta }_t)f. \end{aligned}$$
(26)
This property is essential in many error proofs of CQ based schemes for different problems involving memory terms of convolution type and will be used in Sect. 4 when discussing the application of the gCQ to subdiffussion equations.
In [19] a complex contour integral representation of the convolution kernel is used. Here we use the real integral representation of the kernel (7), which can actually be derived from deformation of the complex contour, as explained in [5]. This representation of the gCQ based on the real inversion of the Laplace transform is both useful for the error analysis in the low regularity setting, as we show in Sect. 3, and for the implementation of the method, see [5], and Sects. 5 and 6.
We recall here the best convergence result available so far for the gCQ based on the implicit Euler method, which is a particular case of the class of Runge–Kutta based gCQ studied in [21].
Theorem 4
[21, Theorem 16] Let \(0<\sigma <\tau _{\max }^{-1}\) with
$$\begin{aligned} \tau _{\max }:= \max _{1\le j\le N} \{ \tau _j \}. \end{aligned}$$
(27)
Assume that K satisfies (4) with \(\mu = -\alpha \), for some \(\alpha \in (0,1)\). Then if \(f\in C^{3}\left( 0,T \right) \), with \(f^{\left( \ell \right) }\left( 0\right) =0\), for \(\ell = 0,1\), there exist constants \(C, {\tilde{c}}>0\) such that the following error estimate holds
$$\begin{aligned} \Vert c(t_n)-c_n \Vert _D \le C \textrm{e}^{{\tilde{c}}\sigma T} \left\| f\right\| _{C^{3}([0,T],B)} \tau _{\max }. \end{aligned}$$
In the next section we show how the regularity requirements for f can be significantly relaxed under assumptions (7)–(8). Furthermore, we will also be able to remove the exponentially growing term \(\textrm{e}^{{\tilde{c}}\sigma T}\) in the error estimate.

3 Error analysis in the non smooth case

From (15) and (18) we can write the error at time \(t_n\) by
$$\begin{aligned} c(t_n)-c_n = \int _{0}^{\infty } G(x) e_n(x) \, dx, \end{aligned}$$
(28)
with
$$\begin{aligned}e_n(x)=y(x,t_n)-y_n(x).\end{aligned}$$
As it is usually done to analyze the error for ODE solvers, we notice that y(xt) solves the recurrence
$$\begin{aligned} \frac{y(x,t_n)-y(x,t_{n-1})}{\tau _n} = -x y(x,t_n)+f(t_n)+d_n(x), \end{aligned}$$
with \(d_n\) Euler’s remainder, this is,
$$\begin{aligned} d_n(x) = \frac{y(x,t_n)-y(x,t_{n-1})}{\tau _n} - y_t(x,t_n), \quad n\ge 1. \end{aligned}$$
(29)
Then
$$\begin{aligned} e_n(x)=\sum _{j=1}^{n} \tau _j d_j(x) \prod _{\ell =j}^{n} r(\tau _\ell x). \end{aligned}$$
(30)
For the special case of \(f(t)= t^{\beta }{{\textbf{v}}}\), with \(\beta >-1\), and t-independent \( {{\textbf{v}}}\in B\), we can obtain explicit representations of (30). For this, we recall the definition of the Mittag–Leffler function, see for instance [10].
Definition 5
(Mittag–Leffler function) For \(\alpha >0\), \(\beta \in {\mathbb {R}}\), the two parameter Mittag–Leffler function \(E_{\alpha ,\beta }(z)\) is defined by
$$\begin{aligned} E_{\alpha ,\beta }(z)=\sum \limits _{l=0}^{\infty }\frac{z^l}{\Gamma (\alpha l+\beta )},\quad z\in {\mathbb {C}}. \end{aligned}$$
We also recall the definition of the Riemann–Liouville fractional derivative of order \(\mu >0\), which is given by
$$\begin{aligned} f^{(\mu )}(t)=\frac{d^{\rho }}{dt^{\rho }} {\mathcal {I}}^{\rho -\mu }[f](t), \end{aligned}$$
with \(\mu >0\), \(\rho -1\le \mu <\rho \), \(\rho \in {\mathbb {N}}\), and \({\mathcal {I}}^{\rho -\mu }\) the fractional integral of order \(\rho -\mu \), with
$$\begin{aligned} {\mathcal {I}}^{\nu }[f](t)=\frac{1}{\Gamma (\nu )}\int _0^t (t-s)^{\nu -1} f(s)\,ds, \end{aligned}$$
(31)
if \(\nu >0\). For \(\mu < 0\) we take \(f^{(\mu )}={\mathcal {I}}^{-\mu }\). Notice that
$$\begin{aligned} {\mathcal {I}}^{\nu }[f] = \partial _t^{-\nu }f, \end{aligned}$$
with the operational notation (23).
In the next result we collect a few identities and properties that will be needed in the proof of Theorem 14.
Lemma 6
It holds:
1.
If \(f(t)=t^{\ell }\), with \(\ell >-1\),
$$\begin{aligned} {\mathcal {I}}^{\alpha }[f](t) = \frac{\Gamma (\ell +1)}{\Gamma (\alpha + \ell +1)}t^{\alpha +\ell }. \end{aligned}$$
(32)
 
2.
For \(\beta > -1\), \(\beta \ne 0\), the solution y(xt) to (16) with \(f(t)=t^{\beta } {{\textbf{v}}}\) satisfies
$$\begin{aligned} y(x,t)= & \Gamma (1+\beta ) t^{\beta +1}E_{1,\beta +2}(-xt) {{\textbf{v}}}, \end{aligned}$$
(33)
$$\begin{aligned} y_t(x,t)= & \Gamma (1+\beta ) t^{\beta }E_{1,\beta +1}(-xt) {{\textbf{v}}}, \end{aligned}$$
(34)
$$\begin{aligned} y_{tt}(x,t)= & \Gamma (1+\beta ) t^{\beta -1} E_{1,\beta }(-xt) {{\textbf{v}}}. \end{aligned}$$
(35)
For \(\beta =0\) (33) and (34) still hold true, but (35) must be replaced by
$$\begin{aligned} y_{tt}(x,t) = -x\textrm{e}^{-xt}{{\textbf{v}}}. \end{aligned}$$
(36)
 
3.
From [30, Theorem 1.6], for \(\alpha <2\) and \(\beta \in {\mathbb {R}}\), there exists \(C>0\) such that
$$\begin{aligned} |E_{\alpha ,\beta }(-y)| \le \frac{C}{1+y}, \quad y\ge 0. \end{aligned}$$
(37)
 
Proof
Identity (32) follows directly by noticing that the Laplace transform of the left hand side is \(\Gamma (\ell +1) z^{-\ell -\alpha -1}\).
In order to prove (33), we write
$$\begin{aligned} y(x,t) =\int _{0}^{t} (t-s)^{\beta } \textrm{e}^{-xs}\, ds {{\textbf{v}}}= \Gamma (1+\beta ){\mathcal {I}}^{1+\beta }[\textrm{e}^{-x \cdot }](t){{\textbf{v}}}. \end{aligned}$$
By expanding the exponential into its power series and using the same argument as to prove (32), we can write
$$\begin{aligned} y(x,t)&=\sum _{\ell =0}^{\infty } \frac{(-x)^{\ell }}{\ell !} \int _{0}^{t} (t-s)^{\beta } s^{\ell }\, ds {{\textbf{v}}}\\&= \Gamma (1+\beta ) \sum _{\ell =0}^{\infty } \frac{(-x)^{\ell }}{\ell !} \frac{\Gamma (\ell +1)}{\Gamma ( \ell +\beta +2)}t^{\beta +\ell +1}{{\textbf{v}}}\\&=\Gamma (1+\beta ) t^{\beta +1}E_{1,\beta +2}(-xt){{\textbf{v}}}, \end{aligned}$$
this is (33).
Derivation of the power series gives
$$\begin{aligned} y_t(x,t)= & \Gamma (1+\beta ) \sum _{\ell =0}^{\infty } \frac{(-x)^{\ell }}{\Gamma ( \ell +\beta +2)}(\beta +\ell +1)t^{\beta +\ell } {{\textbf{v}}}\\= & \Gamma (1+\beta ) \sum _{\ell =0}^{\infty } \frac{(-x)^{\ell }}{\Gamma ( \ell +\beta +1 )}t^{\beta +\ell }{{\textbf{v}}}\end{aligned}$$
and so (34). The expression (35) for \(\beta \ne 0\) follows analogously. For \(\beta =0\) the term in \(\ell =0\) is constant and thus we must use instead (36), which follows by differentiating twice in
$$\begin{aligned} y(x,t) = \frac{1-\textrm{e}^{-xt}}{x}{{\textbf{v}}}. \end{aligned}$$
(38)
\(\square \)
Lemma 7
Let \(\beta >-1\), and \(f(t)=t^{\beta }{{\textbf{v}}}\) in (16). Then
$$\begin{aligned} d_1(x) = -\tau _1^{\beta } \Gamma (1+\beta ) \left( E_{1,\beta +1}(-x\tau _1)-E_{1,\beta +2}(-x\tau _1) \right) {{\textbf{v}}}\end{aligned}$$
(39)
and, for \(j>1\), there exist \(\xi _j \in (t_{j-1},t_j)\) such that
$$\begin{aligned} d_j(x) = \left\{ \begin{array}{ll} \displaystyle -\frac{\tau _j}{2} \Gamma (1+\beta ) \xi _j^{\beta -1} E_{1,\beta }(-x\xi _j){{\textbf{v}}},& \text{ if } \beta \ne 0, \\ \displaystyle -\frac{x\tau _j}{2}\textrm{e}^{-x\xi _j}{{\textbf{v}}}, & \text{ if } \beta = 0. \end{array} \right. \end{aligned}$$
(40)
Proof
For \(j=1\) the result follows from (33) and (34), since
$$\begin{aligned} d_1(x) = \frac{1}{\tau _1} \left( y(x,\tau _1) - y_t(x,t_1) \right) . \end{aligned}$$
For \(j\ge 2\), we apply (35) or (36), according to the value of \(\beta \), to
$$\begin{aligned} d_j(x) =\frac{1}{\tau _j}\left( y(x,t_j)-y(x,t_{j-1}) \right) - y_t(x,t_j) = -\frac{\tau _j}{2} y_{tt}(x,\xi _j). \end{aligned}$$
\(\square \)
The main result is given below.
Proposition 8
Assume that K satisfies Assumption 1. For \(f(t)=t^{\beta } {{\textbf{v}}}\) with \(\beta >-1\), \({{\textbf{v}}}\in B\) independent of t, and for an arbitrary sequence of time points \(0<t_1<\dots <t_n\) with step sizes \(\tau _j=t_j-t_{j-1}\), \(j\ge 1\), there exist \(\xi _j \in (t_{j-1},t_j)\), for \(j\ge 2\), such that the error in (28) can be bounded by
$$\begin{aligned} \Vert c(t_n)-c_n \Vert _D\le C \Vert {{\textbf{v}}}\Vert _B \left( \tau _1^{\alpha +\beta }+\sum _{j=2}^{n} \tau _j^{2} \xi ^{\alpha +\beta -2}_j\right) , \end{aligned}$$
(41)
with C depending on \(\alpha \), \(\beta \) and the constant in (8).
In particular, for \(t_n\) as in (14), \(1\le n \le N\), it holds
$$\begin{aligned} \Vert c(t_n)-c_n \Vert _D \le C \Vert {{\textbf{v}}}\Vert _B T^{\alpha +\beta } \left\{ \begin{array}{ll} N^{-\gamma (\alpha +\beta )}, & \quad \gamma (\alpha +\beta )<1, \\ N^{-1}(1+\log (n)), & \quad \gamma (\alpha +\beta )=1, \\ N^{-1} t_n^{\alpha +\beta -1/\gamma }, & \quad \gamma (\alpha +\beta )>1. \end{array} \right. \end{aligned}$$
(42)
Proof
We write
$$\begin{aligned} c(t_n)-c_n&= \int _0^{\infty } G(x) e_n(x) \, dx = \sum _{j=1}^{n} \tau _j \int _0^{\infty } G(x) \left( \prod _{\ell =j}^{n} r(\tau _\ell x) \right) d_j(x) \,dx. \end{aligned}$$
By (8) and noticing that \(0< r(\tau _\ell x) \le 1\), we can bound
$$\begin{aligned} \Vert c(t_n)-c_n\Vert _D \le \frac{M}{\pi } \sum _{j=1}^{n} \tau _j \int _0^{\infty } x^{-\alpha } \Vert d_j(x) \Vert _B \,dx, \end{aligned}$$
provided that the integral above is convergent.
For \(j=1\) we use (39) and (37) to obtain
$$\begin{aligned}&\tau _1 \int _0^{\infty } x^{-\alpha } \Vert d_j(x) \Vert _B \,dx \\ &\quad \le \Vert {{\textbf{v}}}\Vert _B \tau _1^{\beta +1}\Gamma (1+\beta ) \int _0^{\infty } x^{-\alpha }\left( \left| (E_{1,\beta +1}(-x\tau _1) \right| +\left| E_{1,\beta +2}(-x\tau _1)\right| \right) \,dx \\&\quad \le 2C\Vert {{\textbf{v}}}\Vert _B \tau _1^{\beta +1}\Gamma (1+\beta ) \int _0^{\infty } x^{-\alpha }\frac{1}{1+x\tau _1}\,dx\\&\quad =2C\Vert {{\textbf{v}}}\Vert _B \tau _1^{\alpha + \beta }\Gamma (1+\beta ) \int _0^{\infty } u^{-\alpha }\frac{1}{1+u}\,du\\&\quad =2C\Vert {{\textbf{v}}}\Vert _B \tau _1^{\alpha + \beta }\Gamma (1+\beta ) \textrm{B}(1-\alpha ,\alpha ), \end{aligned}$$
with \(\textrm{B}\) the Beta function.
For \(j>1\) and \(\beta = 0\) we have, by Lemma 7,
$$\begin{aligned} \int _{0}^{\infty }x^ {-\alpha } \Vert d_ j( x) \Vert _B \, dx&=\Vert {{\textbf{v}}}\Vert _B \frac{\tau _j}{2} \int _{0}^{\infty }x^ {1-\alpha } \textrm{e}^{-x\xi _j}\,dx\\&= \Vert {{\textbf{v}}}\Vert _B \frac{\tau _j}{2} \xi _j^{\alpha -2} \int _{0}^{\infty }u^ {1-\alpha } \textrm{e}^{-u}\,du\\&\le \Vert {{\textbf{v}}}\Vert _B \Gamma (2-\alpha )\frac{\tau _j}{2} t_{j-1}^{\alpha -2}, \end{aligned}$$
for \(\xi _j\in (t_{j-1},t_j)\).
For \(j>1\) and \(\beta \ne 0\), we use (40) and (37) to bound
$$\begin{aligned}&\int _{0}^{\infty }x^ {-\alpha } \Vert d_ j( x) \Vert _B \, dx\\&\quad =\Vert {{\textbf{v}}}\Vert _B \frac{\Gamma (1+\beta )}{2} \tau _j \xi _j^{\beta -1} \int _{0}^{\infty }x^ {-\alpha }\left| E_{1,\beta }(-x\xi _j)\right| \,dx\\&\quad \le C\Vert {{\textbf{v}}}\Vert _B \frac{\Gamma (1+\beta )}{2} \tau _j \xi _j^{\beta -1} \int _{0}^{\infty }x^ {-\alpha }\frac{1}{1+x\xi _j} \,dx\\&\quad = C\Vert {{\textbf{v}}}\Vert _B \frac{\Gamma (1+\beta )}{2} \tau _j \xi _j^{\alpha +\beta -2} \int _{0}^{\infty }u^ {-\alpha }\frac{1}{1+u} \,du, \quad \xi _j\in (t_{j-1},t_j). \end{aligned}$$
This proves the general estimate (41).
We now notice that for the graded mesh in (14) we have
$$\begin{aligned} \tau _j \le \gamma \tau ^{\gamma } j^{\gamma -1}, \quad j\ge 1, \end{aligned}$$
(43)
and that for \(\beta < 2-\alpha \) we can bound \(\xi _j^{\alpha +\beta -2} \le t_{j-1}^{\alpha +\beta -2}\), for \(j\ge 2\). Thus
$$\begin{aligned}&\sum \limits _{j=2}^{n}\tau _j\int _{0}^{\infty }x^ {-\alpha } \Vert d_ j( x) \Vert _B dx \nonumber \\&\quad \le C\Vert {{\textbf{v}}}\Vert _B \gamma ^2 \tau ^{\gamma (\alpha +\beta )} \sum \limits _{j=2}^{n} j^{2(\gamma -1)} (j-1)^{\gamma (\alpha +\beta -2)}. \end{aligned}$$
(44)
We bound
$$\begin{aligned} j^{2(\gamma -1)} (j-1)^{-2\gamma } =\left( 1+\frac{1}{j-1} \right) ^{2\gamma } j^{-2} \le 4^{\gamma }j^{-2} \end{aligned}$$
and then
$$\begin{aligned}&\sum \limits _{j=2}^{n}\tau _j\int _{0}^{\infty }x^ {-\alpha } \Vert d_ j( x) \Vert _B dx \le C\Vert {{\textbf{v}}}\Vert _B \gamma ^2 4^{\gamma } \tau ^{\gamma (\alpha +\beta )} \sum \limits _{j=2}^{n} j^{\gamma (\alpha +\beta )-2}, \end{aligned}$$
and the result follows. For \(\beta \ge 2-\alpha \) we use the bound \(\xi _j^{\alpha +\beta -2} \le t_{j}^{\alpha +\beta -2}\) and derive the same result without the constant \(4^{\gamma }\). \(\square \)
Remark 9
Note that for \(\alpha +\beta >1\), the error estimate (41) on the uniform mesh with step size \(\tau \) can be written as
$$\begin{aligned} \Vert c(t_n)-c_n\Vert _D&\le C\Vert {{\textbf{v}}}\Vert _B \left( \tau ^{\alpha +\beta }+\sum _{j=2}^{n} \tau ^{2} \xi ^{\alpha +\beta -2}_j\right) \\&\le C\Vert {{\textbf{v}}}\Vert _B \left( \tau ^{\alpha +\beta }+\sum _{j=2}^{n} \tau ^{2} \max \left( t^{\alpha +\beta -2}_j,t^{\alpha +\beta -2}_{j-1}\right) \right) \\&\le \frac{C\Vert {{\textbf{v}}}\Vert _B }{\alpha +\beta -1}\tau t_n^{\alpha +\beta -1}, \end{aligned}$$
which is in agreement with the result in [23, Theorem 5.2]. Moreover, for \(\alpha +\beta =1\), the error estimate (41) on the uniform mesh can be bounded by
$$\begin{aligned} \Vert c(t_n)-c_n\Vert _D&\le C\Vert {{\textbf{v}}}\Vert _B \tau \left( 1+\log (n)\right) ,\quad n\ge 1. \end{aligned}$$
We will need the following generalization of the previous result to deal with remainder terms in power series expansions of the right hand side.
Corollary 10
Assume that K satisfies Assumption 1. Then for fixed \(\sigma \ge 0\) and \(f(t)=(t-\sigma )_+^{\beta } {{\textbf{v}}}\), where \(\beta > 1\), \((y)_+:=\max (0,y)\), \({{\textbf{v}}}\in B\) is t-independent, and for an arbitrary sequence of time points \(0<t_1<\dots <t_n\) with step sizes \(\tau _n=t_n-t_{n-1}\), \(n\ge 1\), there are \(\xi _j \in (t_{j-1},t_j)\), for \(j\ge 2\), such that the error in (28) can be bounded by
$$\begin{aligned} \Vert c(t_n)-c_n\Vert _D \le C\Vert {{\textbf{v}}}\Vert _B \left( \tau _1(\tau _1-\sigma )_+^{\alpha +\beta -1} +\sum \limits _{j=2}^n\tau _j^2 (\xi _j-\sigma )_+^{\alpha +\beta -2}\right) , \end{aligned}$$
(45)
with C depending on \(\alpha \), \(\beta \) and the constant in (8).
Proof
We observe that
$$\begin{aligned} y(x,t) = \left\{ \begin{array}{ll} 0, & \quad \text{ if } \ t < \sigma , \\ u(x,t-\sigma ), & \quad \text{ if } \ t \ge \sigma , \end{array} \right. \end{aligned}$$
where u is the solution to (16) with right hand side \(t^{\beta }\). The restriction to \(\beta > 1\) guarantees that y(xt) in (16) is twice differentiable with respect to t in (0, T], with \(y_{tt}\) bounded, and obvious formulas follow for \(y_t\) and \(y_{tt}\). This leads to the following generalization of (39)
$$\begin{aligned}&d_1(x)=\frac{y(x,\tau _1)}{\tau _1}-y_t(x,\tau _1)\\&\quad =\Gamma (1+\beta )(\tau _1-\sigma )_+^{\beta }\left( \frac{(\tau _1-\sigma )_+}{\tau _1}E_{1,\beta +2}(-x(\tau _1\!-\!\sigma ))\!-\!E_{1,\beta +1}(-x(\tau _1\!-\!\sigma ))\right) {{\textbf{v}}}\end{aligned}$$
and of (40)
$$\begin{aligned} d_j(x) = -\frac{\tau _j }{2} \Gamma (1+\beta ) \left( \xi _j - \sigma \right) _+^{\beta -1} E_{1,\beta }(-x(\xi _j-\sigma )) {{\textbf{v}}},\quad 2\le j\le n. \end{aligned}$$
The integrals in the proof of Proposition 8 are then either 0 or can be estimated by the analogous expressions with \(\tau _1\) or \(\xi _j\) shifted by \(\sigma \).
\(\square \)
Lemma 11
[30, (2.108)] Let \(\mu >0\), \(\rho -1\le \mu <\rho \), \(\rho \in {\mathbb {N}}\), if the fractional derivative \(f^{(\mu )}(t)\) is integrable, then
$$\begin{aligned} {\mathcal {I}}^{\mu }[f^{(\mu )}](t)=f(t)-\sum _{\ell =1}^\rho \frac{f^{(\mu -\ell )}(0)}{\Gamma (\mu -\ell +1)} t^{\mu -\ell }. \end{aligned}$$
According to the definition of the fractional integral, Lemma 11 gives the fractional Taylor expansion of f(t) at \(t=0\) with remainder in integral form, cf. [22, (3.20)].
Remark 12
If a function f satisfies (9) with \(g \in C^{\lceil \mu \rceil +1}([0,T]{,B})\), then \(f^{(\mu )}\) is continuous in [0, T], see Appendix A.
Proposition 13
Assume that K satisfies Assumption 1 and for \(\mu >2\), \(f^{(\mu -\ell )}(0)=0\), for \(\ell =1,\dots , \rho \), with \(\rho -1\le \mu <\rho \), and \(f^{(\mu )}\) is bounded on [0, T]. Then, for an arbitrary sequence of time points \(0<t_1<\dots <t_n\) with step sizes \(\tau _n=t_n-t_{n-1}\), \(n\ge 1\), there exist \(\xi _j \in (t_{j-1},t_j)\), for \(j\ge 2\), such that the following bound holds
$$\begin{aligned}&\Vert c(t_n)-c_n\Vert _D \le C \left( \tau _1^{\alpha +\mu }\max _{0\le t \le t_1} \Vert f^{(\mu )}(t) \Vert _B + \sum \limits _{j=2}^n \tau _j^2 \xi _j^{\alpha +\mu -2}\max _{0\le t \le t_j} \Vert f^{(\mu )}(t) \Vert _B \right) , \end{aligned}$$
with C depending on \(\alpha \), \(\mu \) and the constant in (8).
Proof
By Lemma 11, f is equal to
$$\begin{aligned} f(t)= {\mathcal {I}}^{\mu }[f^{(\mu )}](t) = \frac{1}{\Gamma (\mu )} \left( t^{\mu -1} *f^{(\mu )}\right) (t). \end{aligned}$$
(46)
By using the operational notation (23), we can write
$$\begin{aligned} c(t_n) = \left[ K(\partial _t)f \right] (t_n)&= \int _0^{t_n} k(t_n-s) \int _0^s \frac{(s-\sigma )^{\mu -1}}{\Gamma (\mu )} f^{(\mu )}(\sigma ) \,d\sigma \,ds \\&= \int _0^{t_n} k(t_n-s) \int _0^{t_n} \frac{(s-\sigma )_+^{\mu -1}}{\Gamma (\mu )} f^{(\mu )}(\sigma ) \,d\sigma \,ds \\&= \int _0^{t_n}\left( \int _0^{t_n} k(t_n-s) (s-\sigma )_+^{\mu -1} \,ds\right) \frac{f^{(\mu )}(\sigma )}{\Gamma (\mu )} \,d\sigma \\&=\int _0^{t_n} \left[ K(\partial _t)(\cdot -\sigma )^{\mu -1}_+ \right] (t_n)\frac{f^{(\mu )}(\sigma )}{\Gamma (\mu )} \,d\sigma \end{aligned}$$
and
$$\begin{aligned} c_n = \left[ K(\partial ^{\Delta }_t)f \right] _n&= \sum _{j=1}^{n} \omega _{n,j} \int _{0}^{t_j} \frac{(t_j-\sigma )^{\mu -1}}{\Gamma (\mu )} f^{(\mu )}(\sigma ) \,d\sigma \\ &= \sum _{j=1}^{n} \omega _{n,j} \int _{0}^{t_n} \frac{(t_j-\sigma )_+^{\mu -1}}{\Gamma (\mu )} f^{(\mu )}(\sigma ) \,d\sigma \\ &= \int _{0}^{t_n} \left( \sum _{j=1}^{n} \omega _{n,j} (t_j-\sigma )_+^{\mu -1}\right) \frac{ f^{(\mu )}(\sigma )}{\Gamma (\mu )}\,d\sigma \\&= \int _{0}^{t_n} \left[ K(\partial ^{\Delta }_t)(\cdot -\sigma )^{\mu -1}_+ \right] _n \frac{ f^{(\mu )}(\sigma )}{\Gamma (\mu )}\,d\sigma . \end{aligned}$$
Then the error \( \left[ K(\partial _t)f \right] (t_n)- \left[ K(\partial ^{\Delta }_t)f \right] _n\) can be written in terms of the gCQ error for the Peano kernel, like
$$\begin{aligned} c(t_n) - c_n&= \int _{0}^{t_n} \left( K(\partial _t)(\cdot -\sigma )^{\mu -1}_ {+} (t_n) - \left[ K(\partial ^{\Delta }_t)(\cdot -\sigma )^{\mu -1}_+ \right] _n \right) \frac{ f^{(\mu )}(\sigma )}{\Gamma (\mu )}\,d\sigma . \end{aligned}$$
Since \(\mu -1 > 1\), we can apply Corollary 10 and bound
$$\begin{aligned} \Vert c(t_n)-c_n\Vert _D&\le C \int _{0}^{t_n}\frac{ \Vert f^{(\mu )}(\sigma ) \Vert _B }{\Gamma (\mu )} \left( \tau _1(\tau _1-\sigma )_+^{\alpha +\mu -2} +\sum \limits _{j=2}^n\tau _j^2 (\xi _j-\sigma )_+^{\alpha +\mu -3}\right) \,d\sigma \\&= C \frac{ \max _{0\le t \le \tau _1} \Vert f^{(\mu )}(t) \Vert _B }{\Gamma (\mu )}\tau _1 \int _{0}^{\tau _1}(\tau _1-\sigma )^{\alpha +\mu -2} \,d\sigma \\&\quad + C\sum \limits _{j=2}^n \frac{ \max _{0\le t \le \xi _j} \Vert f^{(\mu )}(t) \Vert _B }{\Gamma (\mu )} \tau _j^2 \int _{0}^{\xi _j} (\xi _j-\sigma )^{\alpha +\mu -3}\,d\sigma \\&= C \frac{ \max _{0\le t \le t_1} \Vert f^{(\mu )}(t) \Vert _B }{\Gamma (\mu )(\alpha +\mu -1)}\tau _1^{\alpha +\mu } + C\sum \limits _{j=2}^n \frac{ \max _{0\le t \le t_j} f^{(\mu )}(t) \Vert _B }{\Gamma (\mu )(\alpha +\mu -2)} \tau _j^2 \xi _j^{\alpha +\mu -2}. \end{aligned}$$
And the result follows. \(\square \)
We state now the main result of the paper for f satisfying (9), generalizing the results in [22] to variable steps.
Theorem 14
Let \(\beta >-1\). Assume that K satisfies Assumption 1 and f(t) admits an expansion in fractional powers of the form
$$\begin{aligned} f(t)= \sum _{\ell =0}^{p} t^{\ell +\beta } \frac{f^{(\ell +\beta )}(0)}{\Gamma (\ell +\beta +1)} + \frac{1}{\Gamma (p+\beta +1)} \left( t^{p+\beta } *f^{(p+\beta +1)}\right) (t), \end{aligned}$$
(47)
with \(p > 1-\beta \), \(p\in {\mathbb {N}}\). Assume that \( f^{(p+\beta +1)}\) is bounded on [0, T], Then
$$\begin{aligned} \begin{aligned}&\Vert c(t_n)-c_n\Vert _D \le C \sum _{\ell =0}^{p} \left( \tau _1^{\ell +\alpha +\beta }+\sum _{j=2}^n\tau _j^2\xi _j^{\ell +\alpha +\beta -2}\right) \left. \Vert f^{(\ell +\beta )}(0) \Vert _B \right. \\&\quad + C \left( \tau _1^{p+\alpha +\beta +1}\max _{0\le t \le t_1}\left. \Vert f^{(p+\beta +1)}(t) \Vert _B \right. + \sum \limits _{j=2}^n \tau _j^2 \xi _j^{p+\alpha +\beta -1}\max _{0\le t \le t_j}\left. \Vert f^{(p+\beta +1)}(t) \Vert _B \right. \right) , \end{aligned}\nonumber \\ \end{aligned}$$
(48)
for a general time mesh like in (17), \(\xi _j \in (t_{j-1},t_j)\) with \(j\ge 2\) and a constant C depending on \(\alpha \), \(\beta \) and M in (8).
Notice that the above result improves significantly the regularity requirements of the result in [21]. Notice also that for a graded mesh (14), Proposition 8 shows how to choose the grading parameter \(\gamma \) in order to achieve convergence of order one, according to the regularity and the number of vanishing fractional moments at 0 of f. Detailed interpretations are presented in Corollary 15 and Corollary 16 below.
Corollary 15
Let \(\beta > -1\), and assume that \(f(t)\) admits an expansion as in (47). The full order convergence
$$\begin{aligned} \Vert c(t_n)-c_n\Vert _D = O(\tau _{\max }), \end{aligned}$$
where \(\tau _{\max }\) is the maximum time step in (17), can be achieved if \(f(t)\) in (47) satisfies one of the following conditions:
(i)
\(\beta > 1 - \alpha \).
 
(ii)
\(-\alpha \le \beta \le 1 - \alpha \) and \(f^{(\beta )}(0) = 0\).
 
(iii)
\(-1 < \beta \le 1 - \alpha \), \(f^{(\beta )}(0) = 0\) and \(f^{(1 + \beta )}(0) = 0\).
 
In particular, convergence of order 1 is proven on an arbitrary time mesh provided that \(f\in C^{3}([0,T],B)\), with \(f(0)=0\), which corresponds to \(\beta =1\), cf. Theorem 14.
Corollary 16
Let \(\beta >-1\), and assume that f(t) admits an expansion as in (47), with \(f^{(\beta )}(0)\ne 0\) and the times \(t_n\) belong to the graded mesh (14), \(1\le n \le N\). Then the error estimate
$$\begin{aligned} \Vert c(t_n)-c_n\Vert _D \le C \left\{ \begin{array}{ll} T^{\alpha + \beta } N^{-\gamma (\alpha + \beta )}, & \quad \gamma (\alpha + \beta ) < 1, \\ T^{\alpha + \beta } N^{-1}(1 + \log (n)), & \quad \gamma (\alpha + \beta ) = 1, \\ T^{\alpha + \beta } N^{-1} t_n^{\alpha + \beta - 1/\gamma }, & \quad \gamma (\alpha + \beta ) > 1, \end{array} \right. \end{aligned}$$
holds, where \(\gamma \) is the grading parameter in (14).

4 Application to linear subdiffusion equations

We consider the application of the gCQ method to fractional diffusion equations of the form
$$\begin{aligned} \begin{array}{rcl} D_t^\alpha u(t) +Au(t) & = & f(t), \quad t\in (0,T],\\ u(0) & =& u_0, \end{array} \end{aligned}$$
(49)
where A is a symmetric, positive definite, elliptic operator, \(0<\alpha <1\), and \(D_t^\alpha \) denotes the Caputo fractional derivative of order \(\alpha \)
$$\begin{aligned} D_t^\alpha u(t):= {\mathcal {I}}^{1-\alpha }\left[ \frac{d}{dt}u \right] (t) = \frac{1}{\Gamma (1-\alpha )}\int _{0}^{t}(t-s)^{-\alpha }\frac{d}{ds}u(s)ds. \end{aligned}$$
Problem (49) is considered as an abstract initial value problem on a Banach space B, for instance \(B=L^p(\Omega )\), with \(\Omega \subset {\mathbb {R}}^d\) a domain, together with Dirichlet or Neumann boundary conditions. This is the analytical framework in [9] and corresponds to take \(D=B\) in Assumption 1. We notice that in [9] an expansion in fractional powers of the solution u is derived, of the same type as the one we consider in (47) for the data f, under suitable space-regularity conditions on \(u_0\) and f. The ambient space B can also be a finite dimensional vector space if the method of lines is a applied to (49) and a Galerkin method is used for the spatial discretization. In this case the resolvent estimates below follow in essentially the same way due to [3], with several applications so far in the literature, such as [28].
Notice that when \(u(0)=0\), the Caputo fractional derivative \(D_t^\alpha u(t)\), with \(0<\alpha <1\), is equivalent to Lubich’s operational notation \(\partial _t^\alpha u(t)\), and
$$\begin{aligned} D_t^\alpha u(t)=\partial _t^\alpha u(t)=\partial _t^{\alpha -1} \partial _t u(t)=\partial _t^{1} \partial ^{\alpha -1}_t u(t). \end{aligned}$$
The Laplace transform of the solution to (49) is given by
$$\begin{aligned} U(z)&=z^{\alpha -1}(z^\alpha I+A)^{-1}u_0 + (z^\alpha I+A)^{-1}F(z), \end{aligned}$$
with F(z) the Laplace transform of the source f(t). By using the operational notation for convolutions in [23], see Remark 3, we can write the solution as
$$\begin{aligned} u(t)= E(t) u_0+ (K(\partial _t)f)(t), \end{aligned}$$
(50)
with
$$\begin{aligned} E(t)= {\mathcal {L}}^{-1}[z^{\alpha -1}(z^\alpha I+A)^{-1}](t) \end{aligned}$$
(51)
and
$$\begin{aligned} K(z) = (z^\alpha I+A)^{-1}. \end{aligned}$$
(52)
We denote further
$$\begin{aligned} k(t)={\mathcal {L}}^{-1}[K](t), \end{aligned}$$
(53)
which satisfies \((k*f)(t)=(K(\partial _t)f)(t)\).
Let us assume first that \(u_0\in D(A)\). Then, we can use the identity
$$\begin{aligned} (z^\alpha I+A)^{-1}z^{\alpha }=I-(z^\alpha I+A)^{-1}A \end{aligned}$$
to write
$$\begin{aligned} E(t) u_0=u_0-K(\partial _t)Au_0. \end{aligned}$$
(54)
Combining (50) with (54) yields
$$\begin{aligned} v(t):=u(t)-u_0=\left( K(\partial _t) (f-Au_0)\right) (t), \end{aligned}$$
(55)
which is the solution of
$$\begin{aligned} \begin{array}{rcl} \partial _t^\alpha v(t) +Av(t) & = & f(t)-Au_0, \quad t\in (0,T].\\ v(0)& =& 0. \end{array} \end{aligned}$$
(56)
We use now the notation
$$\begin{aligned} H(\partial _t^{\Delta })f \end{aligned}$$
for the gCQ discretization of \(H(\partial _t)f\), with H the Laplace transform of a convolution kernel h, on an arbitrary time grid \(\Delta := 0< t_1< \dots < t_N=T\). Then we apply the gCQ to discretize the fractional derivative, which corresponds to \(H(z) = z^{\alpha }\). Notice that this approximation is defined in [19], where more general convolutions are considered, not only those satisfying (7)–(8). In this way, we obtain for the smooth case \(u_0 \in D(A)\), the scheme
$$\begin{aligned} \left[ \left( \partial ^{\Delta }_{t}\right) ^{\alpha } v \right] _{n} + A v_n = f(t_n)-Au_0, \quad n\ge 1, \end{aligned}$$
(57)
with \(v_n\) denoting the approximation to \(v(t_n)\).
Since the gCQ preserves the composition rule of the continuous convolution, the approximations \(v_n \) defined in (57) are the same as the ones obtained from applying the gCQ in (55), this is, it holds
$$\begin{aligned} v_n= \left[ K(\partial ^{\Delta }_{t})(f-Au_0) \right] _n. \end{aligned}$$
(58)
It then follows that the approximation properties of the time discretization in (57) depend on the behavior of K(z) and the regularity of \(f-Au_0\). In the next Theorem we show that if \(-A\) is a sectorial operator and the sectorial angle \(\delta \) can be taken arbitrarily close to zero, then k in (53) satisfies (7)–(8). This is for instance the case if \(-A=\Delta \) is the Laplacian operator with Dirichlet or Neumann boundary conditions, with \(-A\) acting on a domain \(\Omega \subset {\mathbb {R}}^d\), and in the \(L^p(\Omega )\rightarrow L^p(\Omega )\) norm, for any \(1\le p \le \infty \), see for instance [12, 29]. This property is often preserved by standard spatial discretizations, such as finite differences [2] or the finite element method [3].
Theorem 17
Let us assume that for any \(\delta >0\), there exists \(M(\delta )>0\) such that
$$\begin{aligned} \Vert (zI +A)^{-1}\Vert \le M(\delta ) |z|^{-1}, \quad \text{ for } \ |\arg z| < \pi - \delta . \end{aligned}$$
(59)
Then, for \(0<\alpha <1\), k(t) in (53) can be represented by
$$\begin{aligned} k(t) = \int _{0}^{\infty } G(x) \textrm{e}^{-xt}\,dx, \end{aligned}$$
(60)
with
$$\begin{aligned} G(x)=\frac{\sin (\pi \alpha )}{\pi }x^\alpha \left( {x^\alpha \textrm{e}^{-i \alpha \pi } I+A}\right) ^{-1} \left( {x^\alpha \textrm{e}^{i \alpha \pi } I+A}\right) ^{-1}, \end{aligned}$$
(61)
which satisfies the bound
$$\begin{aligned} \Vert G(x) \Vert \le \frac{\sin (\pi \alpha )}{\pi } \left( M((1-\alpha )\pi )\right) ^2x^{-\alpha }. \end{aligned}$$
(62)
Proof
By (59), for any \(\delta > 0\) and \(0<\alpha <1\), it holds
$$\begin{aligned} \Vert (z^{\alpha }I +A)^{-1}\Vert \le M((1-\alpha )\pi + \alpha \delta ) |z|^{-\alpha }, \quad \text{ for } \quad |\arg z| < \pi -\delta . \end{aligned}$$
The estimate above allows to pass to the limit as \(\delta \rightarrow 0\), since the constant remains bounded. This yields the bound
$$\begin{aligned} \Vert (z^{\alpha }I +A)^{-1}\Vert \le M((1-\alpha )\pi ) |z|^{-\alpha }, \quad \text{ for } \quad |\arg z| < \pi . \end{aligned}$$
Then
$$\begin{aligned} \lim _{z\rightarrow 0,\ |\arg z| < \pi } z(z^{\alpha }I +A)^{-1} = 0 \end{aligned}$$
and
$$\begin{aligned} \lim _{z\rightarrow \infty ,\ |\arg z| < \pi } (z^{\alpha }I +A)^{-1} = 0, \end{aligned}$$
with \((z^{\alpha }I +A)^{-1}\) being defined and continuous for https://static-content.springer.com/image/art%3A10.1007%2Fs10092-024-00629-6/MediaObjects/10092_2024_629_IEq243_HTML.gif , and also for https://static-content.springer.com/image/art%3A10.1007%2Fs10092-024-00629-6/MediaObjects/10092_2024_629_IEq244_HTML.gif . By [11, Theorem 10.7d] the real inversion formula for the Laplace transform holds and yields
$$\begin{aligned} k(t)=\frac{1}{2\pi i}\int _{0}^{\infty } \textrm{e}^{-xt} \left( \left( {(x\textrm{e}^{-i \pi })^\alpha I+A}\right) ^{-1}-\left( {(x\textrm{e}^{i \pi })^\alpha I+A}\right) ^{-1} \right) \,dx. \end{aligned}$$
Formula (61) now follows from the identity
$$\begin{aligned}&\left( {(x\textrm{e}^{-i \pi })^\alpha I+A}\right) ^{-1}-\left( {(x\textrm{e}^{i \pi })^\alpha I+A}\right) ^{-1} \\&\quad =((x\textrm{e}^{i \pi })^\alpha -(x\textrm{e}^{-i \pi })^\alpha )\left( {(x\textrm{e}^{-i \pi })^\alpha I+A}\right) ^{-1}\left( {(x\textrm{e}^{i \pi })^\alpha I+A}\right) ^{-1} \end{aligned}$$
and the bound (62) follows in a straightforward way from (59). \(\square \)
In this way, the results in Sect. 3 can be applied in order to choose an optimally graded time mesh for the approximation of v, depending on the regularity of the source term f.
In the non smooth case \(u_0 \notin D(A)\), we can approximate the solution (50) to (49) by applying the numerical inversion of sectorial Laplace transforms to approximate the term \(E(t)u_0\) and the gCQ method to deal with the convolution \(K(\partial _t) f\), for which Theorem 17 remains useful.

5 Fast and oblivious gCQ for the fractional integral

We follow the approach in [5] and start by addressing the implementation of the gCQ for the fractional integral \(\partial _t^{-\alpha }\). Notice that the associated convolution kernel in this case is
$$\begin{aligned} k(t)= \frac{t^{\alpha -1}}{\Gamma (\alpha )}, \end{aligned}$$
which satisfies assumptions (7)–(8) with
$$\begin{aligned} G(x) = \frac{\sin (\pi \alpha )}{\pi } x^{-\alpha }. \end{aligned}$$
(63)
This property of \(\partial _t^{-\alpha }\) has been used in [5] in order to develop a special quadrature for the original CQ weights, those corresponding to an approximation with uniform steps. We generalize here the ideas in [5] in order to obtain a fast and oblivious gCQ algorithm for the fractional integral.
First of all we split the gCQ approximation into a local and a history term like
$$\begin{aligned} \left[ \left( \partial ^{\Delta }_t \right) ^{-\alpha }f \right] _n = \sum \limits _{j=1}^{n-n_0}\omega _{n,j} f_j+\sum \limits _{j=\max \left( 1, n-n_0+1\right) }^{n}\omega _{n,j} f_j = I_n^{his}+I_n^{loc}, \end{aligned}$$
(64)
for a fixed moderate value of \(n_0\), which can be also equal to 1, in principle. We now apply different methods to compute \(I_n^{his}\) and \( I_n^{loc}\).
For the local term \(I_n^{loc}\) we use the original derivation of the gCQ method in [19], and the expression (22) for the gCQ weights. This leads to the following complex-contour integral representation
$$\begin{aligned} I_n^{loc}=\frac{1}{2\pi i}\int _{{\mathcal {C}}} z^{- \alpha }\sum \limits _{j=1+(n-n_0)_+}^{n}\tau _j\left( \prod \limits _{\ell =j}^n\frac{1}{1-\tau _\ell z} \right) f_j\,dz,\quad n\ge 1, \end{aligned}$$
(65)
where \({\mathcal {C}}\) is a clockwise oriented, closed contour contained in https://static-content.springer.com/image/art%3A10.1007%2Fs10092-024-00629-6/MediaObjects/10092_2024_629_IEq256_HTML.gif , which encloses all poles of the integrand, namely \(\tau ^{-1}_j\), with \(j=1+(n-n_0)_+,\dots ,n\). We denote
$$\begin{aligned} u^{loc}_{n}(z):=\sum \limits _{j=1+(n-n_0)_+}^{n}\tau _j\left( \prod \limits _{\ell =j}^n\frac{1}{1-\tau _\ell z}\right) f_j, \quad n \ge 1, \end{aligned}$$
which satisfies the recursion
$$\begin{aligned} u^{loc}_{n}(z)=\frac{1}{1-\tau _{n} z}u^{loc}_{n-1}(z)+\frac{\tau _{n}}{1-\tau _{n} z} f_n, \quad u^{loc}_{(n-n_0)_+}(x)=0 \end{aligned}$$
(66)
and write
$$\begin{aligned} I_n^{loc}=\frac{1}{2\pi i}\int _{{\mathcal {C}}} z^{-\alpha } u^{loc}_n(z)\,dz. \end{aligned}$$
(67)
For the approximation of (67) we set m the minimum pole of \(u^{loc}_{n}(z)\), M the maximum one, and
$$\begin{aligned} q:=M/m. \end{aligned}$$
Then we choose \({\mathcal {C}}\) as the circle \({\mathcal {C}}_M\) of radius M centered at \(M+m/10\). The parametrization of \({\mathcal {C}}_M\) and the quadrature nodes and weights for approximating (67) are obtained in the following way:
(i)
If \(q < 1.1\), we use the standard parametrization of \({\mathcal {C}}_M\) and apply the composite trapezoid rule. Notice that, in this case, the time grid \(\Delta \) is close to uniform and thus the special quadrature based on Jacobi elliptic functions from [20] is not required. The threshold value \(q=1.1\) has been found heuristically. In this case, the parametrization reads
$$\begin{aligned} {\widetilde{\gamma }}_M(\theta )= m/10+ M(1+\textrm{e}^{i\theta }),\quad \theta \in (-\pi ,\pi ), \end{aligned}$$
and the quadrature nodes and weights are given by
$$\begin{aligned} z_l={\widetilde{\gamma }}_M(\theta _l),\quad w_l=-\frac{{\widetilde{\gamma }}_M'(\theta _l)}{iN_Q^{loc}}, \quad \text{ with } \quad \theta _l=-\pi +\frac{2\pi l}{N_Q^{loc}}, \end{aligned}$$
(68)
for \(l=1\), \(\ldots \), \(N^{loc}_Q\).
 
(ii)
If \(q\ge 1.1\), we apply the quadrature proposed in [20] which is based on the special parameterization of \({\mathcal {C}}_M\)
$$\begin{aligned} {\widetilde{\gamma }}_M(\sigma )=m/10 + \frac{M}{q-1}\left( \sqrt{2q-1}\frac{\lambda ^{-1/2}+\mathrm{{sn}}(\sigma ,\lambda )}{\lambda ^{-1/2}-\mathrm{{sn}}(\sigma ,\lambda )}-1\right) , \end{aligned}$$
(69)
where \(\textrm{sn}\) is the elliptic sine function. The quadrature nodes \(z_l\) and weights \(w_l\) in this case are given by
$$\begin{aligned} z_l={\widetilde{\gamma }}_M(\sigma _l),\quad w_l=\frac{4K(\lambda )}{2\pi i N_Q^{loc}}{\widetilde{\gamma }}_M'(\sigma _l), \end{aligned}$$
(70)
for \(l=1\), \(\ldots \), \(N^{loc}_Q\).
 
In any case, we approximate
$$\begin{aligned} I^{loc}_n \approx \sum _{l=1}^{N_{Q}^{loc}} w_l z_l^{-\alpha } u_n^{loc}(z_l). \end{aligned}$$
(71)
For the history term we use the real integral representation
$$\begin{aligned} I_n^{his} =\sum \limits _{j=1}^{n-n_0}\omega _{n,j} f_j =\frac{\sin (\pi \alpha )}{\pi }\int _0^\infty x^{-\alpha }\left( \prod \limits _{\ell =n-n_0+1}^{n}r(\tau _\ell x)\right) y_{n-n_0}(x)\,dx, \end{aligned}$$
(72)
with r(x) defined in (21) and \(y_n\) defined in (19). To approximate the integral, we generalize the quadrature method from [5] to accommodate variable time grids, yielding corresponding nodes \(x_l\) and weights \(\varpi _l\). We denote the error tolerance of this new quadrature as \(\textrm{tol}\) and denote \(N^{his}_Q\) the total number of quadrature nodes, which depends on both the time grid and \(\textrm{tol}\). Then (72) is approximated by
$$\begin{aligned} I_n^{his}\approx \sum \limits _{l=1}^{N^{his}_Q} \varpi _l\left( \prod \limits _{j=n-n_0+1}^{n}r(\tau _j x_l)\right) y_{n-n_0}(x_l)=: {\widetilde{I}}_n^{his}. \end{aligned}$$
(73)
with each \(y_{n-n_0}(x_l)\) satisfying the recursion
$$\begin{aligned} y_{n}(x_l)=\frac{1}{1+\tau _{n} x_l}y_{n-1}(x_l)+\frac{\tau _{n}}{1+\tau _{n} x_l}f_{n} \; \quad y_0(x_l)=0, \quad 1\le l\le N_Q^{his}. \end{aligned}$$
(74)
In this way the evaluation of \(I_n^{his}\) for \(1\le n\le N\) requires a number of operations proportional to N and storage proportional to \(N_Q^{his}\). We finally approximate
$$\begin{aligned} \left[ \partial _t^{-\alpha }f \right] _n \approx {\widetilde{I}}_n^{his}+{\widetilde{I}}_n^{loc}, \quad n \ge 1. \end{aligned}$$
In our numerical experiments, we set
$$\begin{aligned} n_0=\min \left( 10,N\right) ,\quad N^{loc}_Q=\max \left( 50,n_0^2\right) , \end{aligned}$$
for the evaluation of \({\widetilde{I}}_n^{loc}\). In this way the total complexity of this algorithm is \(O(n_0N_Q^{loc}+\left( N-n_0\right) N_Q^{his})\), while the memory requirements grow like \(O(N_Q^{loc}+N_Q^{his})\). For the uniform step approximation of (31), this is, the original CQ, it is proven in [5] that \( N_Q^{his} =O(\log (N))\). The results reported in Tables 1, 2, 3 and 4 for the generalization of this algorithm to variable steps, indicate that also on graded meshes like (14) it is \(N_Q^{his} = O(\log N)\), which certainly is an very important feature of this method. A rigorous theoretical analysis of the required complexity and memory requirements of the generalized fast and oblivious algorithm is beyond the scope of the present paper.

6 Fast and oblivious gCQ for linear subdiffusion equations

Here we show how to adapt the algorithm described in the previous section to the efficient computation of \(v_n\) in (57). In order to apply the fast gCQ algorithm for the fractional derivative we observe that, by definition,
$$\begin{aligned} \partial _t^{\alpha } = \partial _t^{\alpha -1} \partial _t. \end{aligned}$$
Then, by the discrete composition rule, it also holds
$$\begin{aligned} \left( \partial ^{\Delta }_t \right) ^{\alpha } = \left( \partial ^{\Delta }_t \right) ^{\alpha -1} \partial ^{\Delta }_t, \end{aligned}$$
where \(\partial ^{\Delta }_{t}\) denotes the approximation of the first order derivative provided by the gCQ method, this is,
$$\begin{aligned} (\partial ^{\Delta }_{t} v)_n = \frac{v_n-v_{n-1}}{\tau _n}, \quad 1\le n\le N. \end{aligned}$$
Thus, we can write (57) like
$$\begin{aligned} \sum _{j=1}^n \omega _{n,j} \left[ \partial ^{\Delta }_{t} v \right] _{j} + A v_n = f(t_n)-Au_0, \quad n\ge 1. \end{aligned}$$
with \( \omega _{n,j} \) the gCQ weights (21) for the fractional integral \( \partial _t^{\alpha -1}\), this is with
$$\begin{aligned}G(x)= \frac{\sin (\pi (1-\alpha ))}{\pi } x^{\alpha -1}.\end{aligned}$$
Subsequently, we have
$$\begin{aligned} \omega _{n,n} \left[ \partial ^{\Delta }_{t} v \right] _{n} + A v_n = f(t_n)-Au_0-\sum _{j=1}^{n-1} \omega _{n,j} \left[ \partial ^{\Delta }_{t} v \right] _{j}, \quad n\ge 1. \end{aligned}$$
Noticing that from (22) we have \(\omega _{n,n} = K[\tau _n^{-1}] = \tau _n^{-\alpha +1}\), the scheme reads
$$\begin{aligned} \left( \tau _n^{-\alpha }I + A \right) v_n= f(t_n)-Au_0 + \tau _n^{-\alpha } v^{n-1} -\sum _{j=1}^{n-1} \omega _{n,j} \left[ \partial ^{\Delta }_{t} v \right] _{j}, \quad n\ge 1. \end{aligned}$$
(75)
The summation in the right hand side can be efficiently evaluated by applying a variation of the algorithm in Sect. 5. As then, we separate this term into a local and a history term, by
$$\begin{aligned} \sum _{j=1}^{n-1} \omega _{n,j} \left[ \partial ^{\Delta }_{t} v \right] _{j}=\sum _{j=1}^{n-n_0} \omega _{n,j} \left[ \partial ^{\Delta }_{t} v \right] _{j} + \sum _{j=\max (1,n-n_0+1)}^{n-1} \omega _{n,j} \left[ \partial ^{\Delta }_{t} v \right] _{j}. \end{aligned}$$
After applying the corresponding quadratures, as described in Sect. 5, we now approximate the history term by
$$\begin{aligned} \sum _{j=1}^{n-n_0} \omega _{n,j} \left[ \partial ^{\Delta }_{t} v \right] _{j} \approx \sum _{l=1}^{N_{Q}^{his}} \varpi _l\left( \prod \limits _{j=n-n_0+1}^{n}r(\tau _j x_l)\right) y_{n-n_0}(x_l), \end{aligned}$$
with the values of \(f_j\) in (74) replaced by \( \left[ \partial ^{\Delta }_{t} v \right] _{j}\). The approximation of the local term now reads, after quadrature,
$$\begin{aligned} \sum _{j=\max (1,n-n_0+1)}^{n-1} \omega _{n,j} \left[ \partial ^{\Delta }_{t} v \right] _{j} \approx \sum _{l=1}^{N_{Q}^{loc}} w_l z_l^{\alpha -1} \frac{u_{n-1}^{loc}(z_l)}{1-\tau _n z_l}, \end{aligned}$$
with \(u_{n-1}^{loc}\) as in (66), with \(f_{n-1}\) replaced by \( \left[ \partial ^{\Delta }_{t} v \right] _{n-1}\). The complexity and memory requirements are as explained in Sect. 5.

7 Numerical experiments

We test in this section the convergence results proven in Proposition 8 and Sect. 4, by applying the gCQ method to different examples. Since the main goal of this paper is to derive accurate error estimates for the gCQ, we set a rather high tolerance requirement for the quadratures described in the previous section. More precisely, we set \(\textrm{tol}=10^{-8}\) for the evaluation of \({\widetilde{I}}_n^{his}\), for all \(1\le n\le N\) and all values of N.

7.1 Computation of the fractional integral

To verify Proposition 8, we consider the approximation to the fractional integral (31) with
$$\begin{aligned} f(t)=t^\beta . \end{aligned}$$
The exact solution is then given by
$$\begin{aligned} {\mathcal {I}}^\alpha [f](t)=\frac{\Gamma (\beta +1)}{\Gamma (\alpha +\beta +1)}t^{\alpha +\beta }. \end{aligned}$$
(76)
Set \(T=1\). The maximum absolute error is measured by
$$\begin{aligned} \max _{1\le n\le N}\left| {\mathcal {I}}^{\alpha }[f](t_n) - {\mathcal {I}}^{\alpha }_n[f] \right| . \end{aligned}$$
For \(\alpha =0.8\), the value of \(N_Q^{his}\) in (73) is listed in Table 1, which shows that the quadrature number \(N_Q^{his}\) increases logarithmically with respect to N.
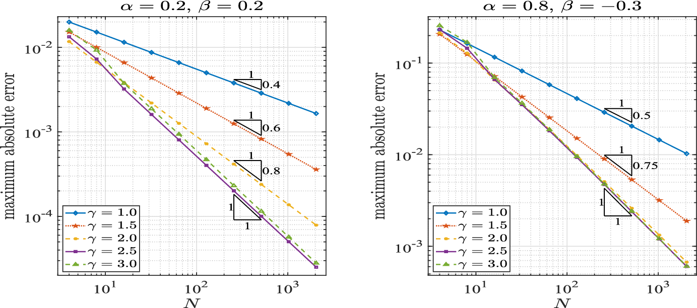
In Fig. 1, we present the maximum absolute error for different values of \(\alpha \) and \(\beta \). The numerical results demonstrate that the gCQ method (18) can achieve first order convergence with \(\gamma =1/(\alpha +\beta )\), which is consistent with the theoretical results. Further, in Fig. 2, we test the relation between the convergence order and the grading parameter. We can observe that the convergence order is \(\min \left( 1,\gamma (\alpha +\beta )\right) \), in agreement with Proposition 8. In addition, the evolution of the error on different graded meshes, as presented in Fig. 3, shows that the error near the origin is much smaller for the nonuniform mesh than for the uniform one.
Table 1
Number of \(N_Q^{his}\) used to approximate (76) on different graded meshes with \(\alpha =0.8\), \(n_0=10\), \(\textrm{tol}=10^{-8}\)
\(\gamma \) \(\backslash \) N
16
32
64
128
256
512
1024
2048
4096
2
29
46
55
63
72
77
85
89
94
4
52
93
118
139
158
174
191
204
217
6
74
141
185
222
253
283
313
341
365
8
90
189
255
313
359
405
451
493
535
10
104
237
329
407
474
540
604
667
724
Fig. 1
Maximum absolute error in the approximation of (76) with \(\gamma =\frac{1}{\alpha +\beta }\)
Bild vergrößern
Fig. 2
Maximum absolute error in the approximation of (76)
Bild vergrößern
Fig. 3
Absolute error in the approximation of (76) with \(N=80\)
Bild vergrößern

7.2 Fractional diffusion equations with non smooth data

Example 1
We consider the fractional ordinary diffusion equation
$$\begin{aligned} D_t^\alpha u(t)+ u(t)=f(t), \quad u(0)=0, \quad 0<t\le 1, \end{aligned}$$
with an exact solution
$$\begin{aligned} u(t)=t^\beta . \end{aligned}$$
The corresponding source term is
$$\begin{aligned} f(t)=\frac{\Gamma (\beta +1)}{\Gamma (\beta -\alpha +1)}t^{\beta -\alpha }+t^\beta . \end{aligned}$$
The results in Table 2 demonstrate that the number of quadrature points \(N_Q^{his}\) increases slowly with respect to N on the graded mesh (14). In Fig. 4, we present the maximum errors for different combinations of \(\alpha \) and \(\beta \), revealing the method’s consistent full-order convergence of one on an optimal graded mesh, as discussed in Sect. 4. Additionally, Fig. 5 visually provides the convergence rate of gCQ method on various graded meshes, with the uniform mesh serving as a specific case that exhibits a convergence rate of \(O(N^{-\beta })\).
Table 2
Value of \(N_Q^{his}\) for Example 1 with \(\alpha =0.5\), \(\textrm{tol}=10^{-8}\)
\(\gamma \) \(\backslash \) N
16
32
64
128
256
512
1024
2048
4096
2
33
50
62
72
83
91
98
104
113
4
62
107
137
165
191
216
240
264
288
6
91
168
227
277
325
373
421
468
516
8
119
239
326
404
480
557
634
715
798
10
148
314
436
549
660
773
887
1007
1130
Example 2
We consider here the following subdiffusion equation on a 1D domain \(\Omega =(-1,1)\):
$$\begin{aligned} \left\{ \begin{array}{lll} D_t^\alpha u-\Delta u=f(x,t),& \quad (x,t)\in \Omega \times (0,1],\\ u(x,0)=\cos (\pi x/2),& \quad x\in \Omega ,\\ u(x,t)=0,& \quad (x,t)\in \partial \Omega \times (0,1]. \end{array}\right. \end{aligned}$$
(77)
The exact solution is given by
$$\begin{aligned} u(x,t)=(1+t^{\beta })\cos (\pi x/2), \end{aligned}$$
and the source term is
$$\begin{aligned} f(x,t)=\left( \frac{\Gamma (\beta +1)}{\Gamma (\beta -\alpha +1)}t^{\beta -\alpha }+\pi ^2(1+t^{\beta })/4\right) \cos (\pi x/2). \end{aligned}$$
Problem (77) fits the format in (49) with \(A=-\Delta \) and \(u_0(x)=\cos (\pi x/2)\). The domain of \(-\Delta \) is given by
$$\begin{aligned} D(-\Delta )=H_0^1(\Omega )\cap H^2(\Omega ) \end{aligned}$$
(78)
and \(u_0(x)\in D(-\Delta )\). Then, as discussed in Sect. 4, we can solve the equivalent problem (56).
Fig. 4
Maximum absolute errors for Example 1 with \(\gamma =\frac{1}{\beta }\)
Bild vergrößern
Fig. 5
Maximum absolute errors for Example 1 with different values of \(\gamma \)
Bild vergrößern
We first discretize (56) in space by applying the finite element method with piecewise linear basis functions and mesh-width \(\Delta _x\). The resulting discrete Laplacian operator is well known to satisfy the hypotheses of Theorem 17. Then, according to the regularity of \(f-\Delta u(x,0)\), the convergence order of the gCQ method is one on graded meshes (14) with \(\gamma \ge \frac{1}{\beta }\). In this way we compute the numerical solution \(v_{\Delta _x}^n\) of (56), and so \(u_{\Delta _x}^n=v_{\Delta _x}^n+u(x,0)\). In our experiment, we measure the maximum \(L^2\)-norm error, which is defined as
$$\begin{aligned}\max \limits _{1\le n\le N} \Vert u(t_n)-u_{\Delta _x}^n\Vert _{L^2}.\end{aligned}$$
In Fig. 6 we show the expected result for \(\gamma =\frac{1}{\beta }\), for different values of \(\beta \). We also show in Table 3 the number of quadrature nodes \(N_Q^{his}\) used to approximate (57). In Fig. 7 we display the error profiles for \(\alpha =\beta =0.5\), for both the uniform mesh and the optimal graded one, with \(\gamma =2\). We can see that the gCQ method on the nonuniform mesh is more accurate near \(t=0\).
Fig. 6
Maximum \(L^2\) norm error for Example 2 with \(\gamma =\frac{1}{\beta }\), \(\Delta _x=\frac{1}{3000}\)
Bild vergrößern
Table 3
Value of \(N_Q^{his}\) for Example 2 with \(\beta =0.2\), \(\gamma =\frac{1}{\beta }\), \(\textrm{tol}=10^{-8}\)
\(\alpha \) \(\backslash \) N
16
32
64
128
256
512
1024
2048
4096
0.3
90
155
200
238
273
308
340
369
398
0.4
95
162
212
251
291
328
364
398
436
0.5
98
167
220
262
306
346
389
429
470
0.6
101
176
227
276
319
368
411
455
501
0.7
106
180
234
285
334
382
430
484
534
Fig. 7
Absolute error for Example 2 with \(\alpha =\beta =0.5\), \(\Delta _x=\frac{1}{512}\), \(N=200\)
Bild vergrößern
Example 3
In this example, we consider
$$\begin{aligned} D_t^\alpha u(t)+ u(t)=f(t), \quad u(0)=1, \quad 0<t\le 1, \end{aligned}$$
with an exact solution
$$\begin{aligned} u(t)=1+t^{\beta _1}+H(t-r)(t-r)^{\beta _2},\quad t\ge 0,\quad r\ge 0. \end{aligned}$$
The corresponding source term can be given by
$$\begin{aligned} f(t)=u(t)+\frac{\Gamma (\beta _1+1)}{\Gamma (\beta _1-\alpha +1)}t^{\beta _1-\alpha }+\frac{\Gamma (\beta _2+1)}{\Gamma (\beta _2-\alpha +1)}H(t-r)(t-r)^{\beta _2-\alpha }, \end{aligned}$$
which is piecewise smooth.
For this example, we employ a graded mesh with higher density near the singularities \(t=0\) and \(t=r\), which is defined as follows
$$\begin{aligned}&N_1=\lfloor N r/T\rfloor ,\quad {{\textbf{l}}}(n)=n^{\gamma _1-1}(N_1-n+1)^{\gamma _2-1}N_1^{-\gamma _1-\gamma _2+1},\quad \tau (n)=\frac{r}{\Vert {{\textbf{l}}}\Vert _{l^1}}{{\textbf{l}}}, \quad 1\le n\le N_1,\\&t(0)=0,\quad t(n)=t(n-1)+\tau (n),\quad 1\le n\le N_1, \\&t(k)=t(N_1+1)+(T-r)\Bigg (\frac{k-N_1}{N-N_1}\Bigg )^{\gamma _2}\quad N_1+1\le k\le N,\quad t(N)=T. \end{aligned}$$
On the left-hand side of Figs. 8 and 9, we depict the structure of the mesh described above for different values of r, \(\gamma _1\) and \(\gamma _2\) with \(N=1024\). The error plots on the right-hand side of Figs. 8 and 9 illustrate that the gCQ method is capable of handling problems with multiple singularities and demonstrates superior performance compared to the uniform method.
Fig. 8
Adaptive mesh used in the implementation of gCQ method with \(N=1024\) (Left) and maximum absolute error (Right) for Example 3 with \(\alpha =0.4\), \(\beta _1=0.6\), \(\beta _2=0.8\), \(r=0.28\), \(\gamma _1=1/\beta _1\), \(\gamma _2=1/\beta _2\)
Bild vergrößern
Fig. 9
Adaptive mesh used in the implementation of gCQ method with \(N=1024\) (Left) and maximum absolute error (Right) for Example 3 with \(\alpha =0.4\), \(\beta _1=0.6\), \(\beta _2=0.8\), \(r=0.72\), \(\gamma _1=1/\beta _1\), \(\gamma _2=1/\beta _2\)
Bild vergrößern
Example 4
In this example, we consider the same equation as in Example 2, but with \(u_0(x)\notin D(A)\), namely.
$$\begin{aligned} \left\{ \begin{array}{lll} D_t^\alpha u-\Delta u=f(x,t),& \quad (x,t)\in \Omega \times (0,1],\\ u(x,0)=1,& \quad x\in {\overline{\Omega }},\\ u(x,t)=0,& \quad (x,t)\in \partial \Omega \times (0,1]. \end{array}\right. \end{aligned}$$
(79)
in \(\Omega =(-1,1)\) and with
$$\begin{aligned} f(x,t)=\left( \frac{\Gamma (\beta +1)}{\Gamma (\beta -\alpha +1)}t^{\beta -\alpha }+\pi ^2(1+t^{\beta })/4\right) \cos (\pi x/2). \end{aligned}$$
As before we apply the linear finite element for the discretization in space of the problem. Then we approximate in time (49) with A the resulting discrete Laplacian.
We apply the inversion method of the Laplace transform in [18] for the approximation of the term \(E(t) u_0\) in (50). This gives
$$\begin{aligned} {\mathcal {L}}^{-1}[z^{\alpha -1}(z^\alpha I+A)^{-1}u_0](t_n) \approx \sum \limits _{l=-J}^{J}\omega _l(t_n)\textrm{e}^{t_n z_l(t_n)}z^{\alpha -1}_l(t_n)(z^{\alpha }_l(t_n)I+A)^{-1}u_0, \nonumber \\ \end{aligned}$$
(80)
where
$$\begin{aligned} \omega _l(t_n)=-\frac{h}{2\pi i}\varphi '(lh),\quad z_l(t_n)=\varphi (lh), \end{aligned}$$
with
$$\begin{aligned}&\varphi (s)=\mu (t_n)(1-\sin (\sigma +is)),\quad h=\frac{a(\theta )}{J},\quad \mu (t_n)=\frac{2\pi d J(1-\theta )}{ t_n a(\theta )},\\&a(\theta )=\mathrm{{arccosh}}\left( \frac{1}{(1-\theta )\sin (\sigma )}\right) ,\quad \theta =1-\frac{1}{J},\quad d\in (0,\frac{\pi }{2}-\sigma ), \end{aligned}$$
for \(1\le n\le N\), with \(\sigma =\frac{\pi }{4}\), \(d=\frac{\pi }{6}\) and \(J=50\). Notice that we use a high number of quadrature points per time point, which is certainly not necessary, since the method in [18] is able to approximate the inverse Laplace transform with the same quadrature uniformly on time windows of the form \([t_0, \Lambda t_0]\), with \(\Lambda \gg 1\). In this way we are approximating the term \(E(t)u_0\) with machine precision and observe only the error induced by the gCQ approximation of the convolution term in (50).
The error in this example is measured with respect to a reference solution computed with double the time points, this is
$$\begin{aligned} \max _{1<n<N}\Vert u_{\Delta _x}^n-\widetilde{u}_{\Delta _x}^{2n}\Vert _{L^2},\end{aligned}$$
where \({\widetilde{u}}^{2n}_{\Delta _x}\) is the corresponding numerical solution on the finer time mesh
$$\begin{aligned} t_n=(n/(2N))^\gamma , \quad 0\le n\le 2N.\end{aligned}$$
The optimal grading parameter in (14) for this example is \(\gamma =\max \left( 1/\alpha ,1/\beta \right) \). And the values of \(N_Q^{his}\) used in the quadrature formula (73) on different graded meshes (14) are listed in Table 4.
Table 4
Value of \(N_Q^{his}\) for Example 4 with \(\alpha =0.6\), \(\textrm{tol}=10^{-8}\)
\(\gamma \) \(\backslash \) N
16
32
64
128
256
512
1024
2048
4096
2
33
51
64
74
86
94
101
110
118
4
64
109
145
173
200
228
254
280
306
6
97
177
237
292
344
396
451
505
561
8
128
252
345
433
519
604
696
784
879
10
161
334
469
593
717
845
980
1119
1260
Fig. 10
Maximum \(L^2\) norm error for Example 4 with \(\gamma =\max \left( \frac{1}{\alpha },\frac{1}{\beta }\right) \), \(\Delta _x=\frac{1}{3000}\)
Bild vergrößern
Fig. 11
Maximum \(L^2\) norm error for Example 4 with \(\Delta _x=\frac{1}{3000}\)
Bild vergrößern
The results in Fig. 10 confirm that FEM-gCQ scheme for (79) is convergent with full order one on the graded mesh (14), with \(\gamma =\max \left( 1/\alpha ,1/\beta \right) \). Figure 11 shows for different values of \(\gamma \) the convergence order of this method, which is equal to \(\min \{1, \gamma \alpha ,\gamma \beta \}\).

Acknowledgements

The authors acknowledge very useful discussions with Lehel Banjai, whose valuable comments have helped significantly to improve the presentation of this paper. They also acknowledge the constructive and useful comments of the anonymous referees. The research of the first author has been mostly developed during a stay at University of Malaga supported by the China Scholarship Council (CSC) (No. 202106720028). The second author has been supported by the “Beca Leonardo for Researchers and Cultural Creators 2022” granted by the BBVA Foundation and by the “Proyecto 16 - proyecto G Plan Propio" of the University of Malaga. The BBVA Foundation takes no responsibility for the opinions, statements and contents of this project, which are entirely the responsibility of its authors. Funding for open access charge: Universidad de Málaga / CBUA.
Open Access This article is licensed under a Creative Commons Attribution 4.0 International License, which permits use, sharing, adaptation, distribution and reproduction in any medium or format, as long as you give appropriate credit to the original author(s) and the source, provide a link to the Creative Commons licence, and indicate if changes were made. The images or other third party material in this article are included in the article’s Creative Commons licence, unless indicated otherwise in a credit line to the material. If material is not included in the article’s Creative Commons licence and your intended use is not permitted by statutory regulation or exceeds the permitted use, you will need to obtain permission directly from the copyright holder. To view a copy of this licence, visit http://creativecommons.org/licenses/by/4.0/.

Publisher's Note

Springer Nature remains neutral with regard to jurisdictional claims in published maps and institutional affiliations.
Download
Titel
Generalized convolution quadrature for non smooth sectorial problems
Verfasst von
J. Guo
M. Lopez-Fernandez
Publikationsdatum
01.03.2025
Verlag
Springer International Publishing
Erschienen in
Calcolo / Ausgabe 1/2025
Print ISSN: 0008-0624
Elektronische ISSN: 1126-5434
DOI
https://doi.org/10.1007/s10092-024-00629-6

A.Continuity of the fractional derivative

We adopt here the notation in [31]. Let us denote \(H^{\lambda }([0,T])\) the space of Hölder continuous functions f(t) of order \(0 < \lambda \le 1\), this is
$$\begin{aligned} |f(t_1)-f(t_2)| \le A |t_1-t_2|^{\lambda }, \end{aligned}$$
for some constant A. Let \(\rho (x)\) be a non negative function. We denote \(H^{\lambda }(\rho )= H^{(0,T);\lambda }(\rho )\) the space of functions f such that \(\rho f \in H^{\lambda }\), this is, \(f \in H^{\lambda }(\rho )\) if
$$\begin{aligned} f(t) = \frac{f_0(t)}{\rho (t)}, \text{ with } \ f_0(t) \in H^{\lambda }. \end{aligned}$$
Assume now that
$$\begin{aligned} \rho (t) = \prod _{k=1}^{K} (t-t_k)^{\mu _k}, \end{aligned}$$
for some \(\mu _k \in {\mathbb {R}}\) and \(t_k\in [0,T]\). Then we denote \(H^{\lambda }_0(\rho )=H^{\lambda }_0([0,T];\rho )\) the space of functions \(f \in H^{\lambda }([0,T];\rho )\) such that \(f_0(t_k)=0\).
For \(\lambda =m+\sigma \) with \(m=0,1,2,\dots \) and \(0< \sigma \le 1\), we say that \(f\in H^{\lambda }([0,T])\) if \(f\in C^{m}([0,T])\) and \(f^{(m)}\in H^{\sigma }([0,T])\). It is clear that \(C^{m+1}([0,T]) \subset H^{\lambda }([0,T])\).
Assume now \(f(t)=t^{\beta } g(t)\) with \(g\in C^{m+1}([0,T])\), \(m\ge 0\), and \(\beta >-1\), \(\beta \notin {\mathbb {Z}}\). By using the Taylor expansion of g we can write
$$\begin{aligned} g(t) = \sum _{\ell =0}^{m} \frac{ g^{(\ell )}(0)}{\ell !} t^{\ell } + {\bar{g}}(t), \end{aligned}$$
with the remainder \({\bar{g}} \in C^{m+1}([0,T])\), satisfying \({\bar{g}}^{(\ell )}(0)=0\), for \(\ell =0,\dots ,m\). Then
$$\begin{aligned} f(t) = \sum _{\ell =0}^{m} \frac{g^{(\ell )}(0)}{\ell !} t^{\beta +\ell } + t^{\beta } {\bar{g}}(t). \end{aligned}$$
Now, for \(\nu =\lceil \beta +p \rceil \), with \(p\in {\mathbb {N}}\), we compute
$$\begin{aligned} f^{(\beta +p)}(t) = \sum _{\ell =0}^{m} \frac{g^{(\ell )}(0)}{\ell !} \frac{\Gamma (\beta +\ell +1)}{\Gamma (\nu -p+\ell +1)} \frac{d^{\nu }}{dt^{\nu }} t^{\ell +\nu -p} + \frac{d^{\nu }}{dt^{\nu }} {\mathcal {I}}^{\nu -(\beta +p)}[t^{\beta } {\bar{g}}](t). \end{aligned}$$
Since the integer exponents \(\ell +\nu -p \ge 0\), the addends in the summation above are either 0 or continuous in [0, T]. Let us now consider the fractional integral of order \(\alpha \in (0,1)\) of the function \(t^{\beta }{\bar{g}}\), which is given by
$$\begin{aligned} \partial _t^{-\alpha }\left[ t^{\beta } {\bar{g}}(t) \right] = \frac{1}{\Gamma (\alpha )}\int _0^t (t-s)^{\alpha -1} s^{\beta }{\bar{g}}(s)\,ds. \end{aligned}$$
Integration by parts and the vanishing moments of \({\bar{g}}\) at the origin imply that
$$\begin{aligned} \partial _t^{-\alpha }\left( t^{\beta } {\bar{g}}(t) \right) =\frac{1}{\Gamma (\alpha +m+1)}\int _0^t (t-s)^{\alpha +m} \partial _s^{m+1}\left[ s^{\beta }{\bar{g}}(s)\right] \,ds. \end{aligned}$$
We can differentiate up to \(m+1\) times with respect to t in the expression above, while keeping a convergent integral. Differentiation \(m+1\) times gives
$$\begin{aligned} \partial _t^{m+1}\partial _t^{-\alpha }\left( t^{\beta } {\bar{g}}(t) \right) = \frac{1}{\Gamma (\alpha )}\int _0^t (t-s)^{\alpha -1} \partial _s^{m+1}\left[ s^{\beta }{\bar{g}}(s)\right] \,ds = \partial _t^{-\alpha }\partial _t^{m+1}\left( t^{\beta } {\bar{g}}(t) \right) . \end{aligned}$$
The fractional derivative above is Hölder continuous if \({\bar{g}}^{(m+1)}\) is Hölderian, by [31, Lemma 13.2], this is \({\bar{g}} \in H^{m+1+\sigma }\) for some \(\sigma \in (0,1)\) and, in particular, if \(g\in C^{m+2}([0,T])\).
1.
Zurück zum Zitat Antoine, X., Arnold, A., Besse, C., Ehrhardt, M., Schädle, A.: A review of transparent and artificial boundary conditions techniques for linear and nonlinear Schrödinger equations. Commun. Comput. Phys. 4(4), 729–796 (2008)MathSciNet
2.
Zurück zum Zitat Ashyralyev, A., Sobolevskiĭ, P. E.: Well-Posedness of Parabolic Difference Equations, Volume 69 of Operator Theory: Advances and Applications. Birkhäuser Verlag, Basel (1994). (Translated from the Russian by A. Iacob)
3.
Zurück zum Zitat Bakaev, N.Y., Thomée, V., Wahlbin, L.B.: Maximum-norm estimates for resolvents of elliptic finite element operators. Math. Comput. 72(244), 1597–1610 (2003)MathSciNetCrossRef
4.
Zurück zum Zitat Baker, K., Banjai, L., Ptashnyk, M.: Numerical analysis of a time-stepping method for the Westervelt equation with time-fractional damping. arXiv (2023)
5.
Zurück zum Zitat Banjai, L., López-Fernández, M.: Efficient high order algorithms for fractional integrals and fractional differential equations. Numer. Math. 141(2), 289–317 (2019)MathSciNetCrossRef
6.
Zurück zum Zitat Banjai, L., López-Fernández, M.: Numerical approximation of the Schrödinger equation with concentrated potential. J. Comput. Phys. 405, 109155 (2020)MathSciNetCrossRef
7.
Zurück zum Zitat Banjai, L., Makridakis, C.G.: A posteriori error analysis for approximations of time-fractional subdiffusion problems. Math. Comput. 91(336), 1711–1737 (2022)MathSciNetCrossRef
8.
Zurück zum Zitat Banjai, L., Sayas, F.-J.: Integral Equation Methods for Evolutionary PDE: A Convolution Quadrature Approach, vol. 59. Springer Nature, Berlin (2022)
9.
Zurück zum Zitat Cuesta, E., Lubich, C., Palencia, C.: Convolution quadrature time discretization of fractional diffusion-wave equations. Math. Comput. 75(254), 673–696 (2006)MathSciNetCrossRef
10.
Zurück zum Zitat Gorenflo, R., Kilbas, A. A., Mainardi, F., Rogosin, S.: Mittag–Leffler functions, related topics and applications. In: Springer Monographs in Mathematics. Springer, Berlin (2020). Second edition [of 3244285]
11.
Zurück zum Zitat Henrici, P.: Applied and Computational Complex Analysis. Vol. 2. Wiley Interscience [John Wiley & Sons], New York (1977). Special functions—integral transforms—asymptotics—continued fractions
12.
Zurück zum Zitat Henry, D.: Geometric theory of semilinear parabolic equations. In: Lecture Notes in Mathematics, vol. 840. Springer, Berlin–New York (1981)
13.
Zurück zum Zitat Hiptmair, R., Lopez-Fernandez, M., Paganini, A.: Fast convolution quadrature based impedance boundary conditions. J. Comput. Appl. Math. 263, 500–517 (2014)MathSciNetCrossRef
14.
Zurück zum Zitat Jin, B., Lazarov, R., Zhou, Z.: Two fully discrete schemes for fractional diffusion and diffusion-wave equations with nonsmooth data. SIAM J. Sci. Comput. 38(1), A146–A170 (2016)MathSciNetCrossRef
15.
Zurück zum Zitat Jin, B., Li, B., Zhou, Z.: Correction of high-order BDF convolution quadrature for fractional evolution equations. SIAM J. Sci. Comput. 39(6), A3129–A3152 (2017)MathSciNetCrossRef
16.
Zurück zum Zitat Li, J.-R.: A fast time stepping method for evaluating fractional integrals. SIAM J. Sci. Comput. 31(6), 4696–4714 (2009/10)
17.
Zurück zum Zitat López-Fernández, M., Lubich, C., Palencia, C., Schädle, A.: Fast Runge–Kutta approximation of inhomogeneous parabolic equations. Numer. Math. 102(2), 277–291 (2005)MathSciNetCrossRef
18.
Zurück zum Zitat López-Fernández, M., Palencia, C., Schädle, A.: A spectral order method for inverting sectorial Laplace transforms. SIAM J. Numer. Anal. 44(3), 1332–1350 (2006)MathSciNetCrossRef
19.
Zurück zum Zitat Lopez-Fernandez, M., Sauter, S.: Generalized convolution quadrature with variable time stepping. IMA J. Numer. Anal. 33(4), 1156–1175 (2013)MathSciNetCrossRef
20.
Zurück zum Zitat Lopez-Fernandez, M., Sauter, S.: Generalized convolution quadrature with variable time stepping. Part II: algorithm and numerical results. Appl. Numer. Math. 94, 88–105 (2015)MathSciNetCrossRef
21.
Zurück zum Zitat Lopez-Fernandez, M., Sauter, S.: Generalized convolution quadrature based on Runge–Kutta methods. Numer. Math. 133(4), 743–779 (2016)MathSciNetCrossRef
22.
Zurück zum Zitat Lubich, C.: Discretized fractional calculus. SIAM J. Math. Anal. 17(3), 704–719 (1986)MathSciNetCrossRef
23.
Zurück zum Zitat Lubich, C.: Convolution quadrature and discretized operational calculus. I. Numer. Math. 52(2), 129–145 (1988)MathSciNetCrossRef
24.
Zurück zum Zitat Lubich, C.: On the multistep time discretization of linear initial-boundary value problems and their boundary integral equations. Numer. Math. 67(3), 365–389 (1994)MathSciNetCrossRef
25.
Zurück zum Zitat Lubich, C.: Convolution quadrature revisited. BIT 44(3), 503–514 (2004)MathSciNetCrossRef
26.
Zurück zum Zitat Lubich, C., Ostermann, A.: Runge–Kutta methods for parabolic equations and convolution quadrature. Math. Comput. 60(201), 105–131 (1993)MathSciNetCrossRef
27.
Zurück zum Zitat Lubich, C., Schädle, A.: Fast convolution for nonreflecting boundary conditions. SIAM J. Sci. Comput. 24(1), 161–182 (2002)MathSciNetCrossRef
28.
Zurück zum Zitat McLean, W., Sloan, I.H., Thomée, V.: Time discretization via Laplace transformation of an integro-differential equation of parabolic type. Numer. Math. 102(3), 497–522 (2006)MathSciNetCrossRef
29.
Zurück zum Zitat Pazy, A.: Semigroups of linear operators and applications to partial differential equations. In: Applied Mathematical Sciences, vol. 44. Springer, New York (1983)
30.
Zurück zum Zitat Podlubny, I.: Fractional Differential Equations, Volume 198 of Mathematics in Science and Engineering. Academic Press, Inc., San Diego (1999). An introduction to fractional derivatives, fractional differential equations, to methods of their solution and some of their applications
31.
Zurück zum Zitat Samko, S.G., Kilbas, A.A., Marichev, O.I.: Fractional Integrals and Derivatives: Theory and Applications. CRC Press, Basel (1993)
Bildnachweise
AvePoint Deutschland GmbH/© AvePoint Deutschland GmbH, ams.solutions GmbH/© ams.solutions GmbH, Wildix/© Wildix, arvato Systems GmbH/© arvato Systems GmbH, Ninox Software GmbH/© Ninox Software GmbH, Nagarro GmbH/© Nagarro GmbH, GWS mbH/© GWS mbH, CELONIS Labs GmbH, USU GmbH/© USU GmbH, G Data CyberDefense/© G Data CyberDefense, Vendosoft/© Vendosoft, Deutsche Telekom MMS GmbH/© Vendosoft, Noriis Network AG/© Noriis Network AG, Asseco Solutions AG/© Asseco Solutions AG, AFB Gemeinnützige GmbH/© AFB Gemeinnützige GmbH, Ferrari electronic AG/© Ferrari electronic AG, Doxee AT GmbH/© Doxee AT GmbH , Haufe Group SE/© Haufe Group SE, NTT Data/© NTT Data, Videocast 1: Standbild/© Springer Fachmedien Wiesbaden, IT-Director und IT-Mittelstand: Ihre Webinar-Matineen /© da-kuk / Getty Images / iStock