Zum Inhalt

High-performance aqueous symmetric supercapacitors with a versatile 3D reduced graphene oxide aerogel electrode

  • Open Access
  • 04.11.2025
  • Energy materials
Erschienen in:

Aktivieren Sie unsere intelligente Suche, um passende Fachinhalte oder Patente zu finden.

search-config
loading …

Abstract

Diese Studie beschäftigt sich mit der Synthese und elektrochemischen Leistung von 3D-reduzierten Graphenoxid-Aerogelelektroden (rGO-Aero) für wässrig-symmetrische Superkondensatoren. Die Forschung hebt den Syntheseprozess hervor, der einfach, skalierbar und umweltfreundlich ist und hydrothermale Synthese, Wasseraustausch und Gefriertrocknung umfasst. Die Charakterisierung des rGO-Aeros zeigt eine gut entwickelte poröse Struktur mit einer hohen spezifischen Oberfläche und einer günstigen Porengrößenverteilung, die zu seinen hervorragenden elektrochemischen Eigenschaften beiträgt. Die Studie vergleicht die Leistung von rGO-Aero-Elektroden in neutralen (1 M Na2SO4), sauren (1 M H2SO4) und redoxaktiven (1 M H2SO4 + 0,2 M Hydrochinon) Elektrolyten. Die Ergebnisse zeigen, dass die rGO-Aeroelektroden eine hohe Kapazität, einen weiten Potenzialbereich und Langzeitstabilität aufweisen. Bemerkenswert ist, dass das Gerät, das in einem neutralen Elektrolyten arbeitet, eine außergewöhnliche Energiedichte von 28,5 Wh kg в ² bei einer Leistungsdichte von 0,154 kW kg в ² erreicht, während das System mit dem redoxaktiven Elektrolyten über 12.000 Lade- / Entladezyklen nahezu 100% seiner ursprünglichen Kapazität beibehält. Die Studie kommt zu dem Schluss, dass die rGO-Aeroelektroden ein vielversprechendes und vielseitiges Material für die Herstellung von Hochleistungssymmetrischen Superkondensatoren bieten, die in verschiedenen Energiespeichern eingesetzt werden können.
Handling Editor: Narendra Nath Ghosh.

Supplementary Information

The online version contains supplementary material available at https://​doi.​org/​10.​1007/​s10853-025-11742-4.

Publisher's Note

Springer Nature remains neutral with regard to jurisdictional claims in published maps and institutional affiliations.

Introduction

The increase in global energy demand, driven by continuous economic progress, necessitates the advancement of high-performance energy-storage devices. Among all energy-storage devices developed so far, supercapacitors, recognized for their high power-density and excellent long-term performance, play an important role in electrochemical energy-storage systems [1, 2]. However, a notable drawback limiting their widespread industrial application is their low ability to store a substantial amount of energy at once. The well-known relationship described by the formula E = (CU2)/2 enables the determination of the amount of energy accumulated in a typical supercapacitor [13]. This has prompted extensive research on materials and electrolytes conducive to achieving high energy–density values. In most graphene-related scientific studies, achieving high specific capacitances and energy densities often necessitated operation at low potential scan rates (< 50 mV s−1) during cyclic voltammetry (CV) and low current densities (< 1 A g−1) in galvanostatic charge/discharge (GCD) tests [4]. However, these conditions impede the use of graphene-based materials in supercapacitors subjected to frequent high-current charge–discharge cycles. This drawback is partially related to the facile tendency of graphene sheets to restack during material synthesis [5] and subsequent electrode preparation processes [6]. Additionally, graphene-based electrodes typically lack sufficient porosity to facilitate access to electrolyte ions at the interface.
Recent efforts have focused on assembling two-dimensional (2D) graphene sheets into three-dimensional (3D) graphene structures for supercapacitor applications [7, 8]. These 3D graphene materials retain the extraordinary properties of 2D graphene sheets, such as high electronic properties and mechanical and chemical resistance [9, 10]. The aerogel structure, in particular, offers a less agglomerated and self-supported material characterized by a larger specific surface area (400–1200 m2 g−1), a high contribution of micropores, and enhanced ion diffusion in graphene-based electrodes [6, 8, 10]. Despite these advancements, literature on the synthesis of undoped, easy-to-synthesize, and easy-to-purify-rGO in the form of aerogel remains scarce. Many reports describe aerogels resulting from multistage syntheses or surface functionalization with various compounds to enhance supercapacitor properties [11, 12]. To improve the electrochemical performance of energy-storage devices, researchers have explored combining the graphene aerogel structure with metal oxides (RuO2, Fe2O3, MnO2 and Co3O4) [8, 13], metal sulfides (like SnS2, NiS2) [14, 15] and implementing graphene materials doped with heteroatoms (nitrogen, phosphorus, and boron) into hybrids [8, 9, 16]. These approaches have led to an increase in the specific capacitance of electrode materials. For instance, Qu et al. [17] achieved specific energy and power densities of 8.3 Wh kg−1 and 0.0245 kW kg−1, respectively, using a graphene aerogel to store 230 F g−1 of electric charge in a two-electrode system at a current density of 0.1 A g−1. Relatively low energy density was directly related to the limited 1 V operating voltage. The electrochemical performance of this system was evaluated in a 1 M H2SO4 and the cyclic stability assessment indicated that it was capable of sustaining only 1000 charge/discharge cycles. The development of stable high-voltage symmetric supercapacitors in conventional aqueous electrolytes is further hindered by gas evolution at the electrodes, which can result in device failure. Additionally, although the high ionic conductivity of aqueous electrolytes enhances power density, it can also accelerate the degradation of electrode materials [18]. Frequently, this degradation leads to a decrease in efficacy and cycle life of the symmetric system. The doping of aerogel structures is often essential to obtain a material with optimal parameters, including morphology and developed porosity, enabling the achievement of high capacity, a broad potential window, and increased energy storage [4, 8]. This process primarily serves two purposes: enhancing material conductivity and introducing a cross-linking agent to create a free-standing electrode material [4]. Notably, there has been an increasing focus on the ecological and economic aspects of material selection. For this reason, we want to present a simple, environmentally friendly, and non-multistage handling of the material after the process. A fairly new, but already recognized strategy for enhancing supercapacitor electrochemical performance is the use of redox additives like methylene blue, hydroquinone, catechol, or halide ions in aqueous electrolytes through additional reversible Faradaic reactions [19, 20].
In this work, we developed a full two electrode device architecture, where the rGO aerogel (rGO aero), fabricated through a straightforward, scalable and environmentally-friendly protocol (hydrothermal synthesis, water exchange, and freeze-drying), exhibits promising electrochemical performance, which surpasses many more complex materials [17, 21]. Additionally, the aerogel form of rGO demonstrates efficient performance as an active electrode material for symmetric supercapacitor operating in both neutral and acidic electrolytes with extended operational potential range. The core innovation, however, is unlocking superior charge storage capabilities of the hybrid device with undoped graphene aerogel electrodes by modification of an acidic electrolyte with a redox-active additive (hydroquinone), which has not yet been reported [22]. The rGO aero-based two electrode devices delivered a remarkable energy density up to 28.5 Wh kg−1 at power density of 0.154 kW kg−1. The ability to store high energy densities combined with the simplicity of the synthesis procedure and versatility of use make rGO aero a promising material for electrochemical applications.

Experimental

Materials synthesis

Synthetic graphite was acquired from TimCal. Hydrochloric acid (35%, HCl), sulfuric acid (96%, H2SO4), hydrogen peroxide (30%, H2O2), sodium nitrate (NaNO3), potassium permanganate (KMnO4) were of analytical grade obtained from Chempur, Poland. Hydroquinone (HQ), sulfuric acid (1 M H2SO4), PVDF (Kynar Flex) were ASC grade delivered by Merck Sigma–Aldrich. The chemical reagents were used as received without further purification.
Graphene oxide (GO) was synthesized through the chemical oxidation of graphite using a modified Hummers method, following previously described procedures [23]. A 75 mL solution of 3.5 mg mL−1 GO dispersion was sealed in a Teflon-lined autoclave without a stirrer and maintained at 180 °C for 24 h. Subsequently, the reactor was naturally cooled to room temperature to produce the self-assembling rGO hydrogel. The product was then transferred to a beaker of Milli-Q water, where the water was replaced multiple times over 20 h to achieve a neutral pH. The resulting hydrogel was freeze-dried for 48 h to remove the redundant water and obtain the rGO aero. A previously studied electrode material was also used to investigate the impact of synthesis conditions on the physical structure of rGO and, consequently, its electrochemical properties. Briefly, for the synthesis of rGO HT, the GO solution underwent a hydrothermal reduction in a stainless-steel autoclave under the same temperature conditions, with suspension agitation. After the reaction, the autoclave was cooled to room temperature. The resulting rGO was washed thrice with Milli-Q water to achieve a neutral pH and then vacuum-dried at 60 °C overnight.

Morphology, porous texture, structure and chemical composition

N2 sorption at 77 K was carried out using an Autosorb IQ gas sorption analyser (Quantachrome). Before the measurements the samples were degassed in vacuum at 120 °C for 20 h. The specific surface area (SBET), total pore volume, and mesopores volume of both rGO materials were measured. The SBET area was determined in accordance with the Rouquerol criteria [24]. The total pore volume was determined from the relative pressure point p/p0 less than 0.955, representing pores with diameter less than 50 nm. Micropores volume was calculated using Dubinin-Radushkevich equation. The mesopore volume of the material was determined from the difference of total pore volume and micropore volume, The pore size distribution (PSD) was determined by the quenched solid density functional theory (QSDFT) from the equilibrium adsorption points. Field emission scanning electron microscopy (FESEM) measurements were conducted using Merlin Zeiss equipment, and high-resolution transmission electron microscopy (HRTEM) observations were performed on FEI Titan G3 microscope. X-ray diffraction (XRD) analysis was carried out using a Rigaku Ultima IV diffractometer equipped with Cu Kα radiation. Raman spectra were obtained with a Bruker Senterra Raman Spectrometer and thermal stability of the samples was evaluated using a TGA 8000 thermogravimetric analyzer (Perkin Elmer) under a nitrogen atmosphere, with the temperature increasing from 30 to 800 °C. X-ray photoelectron spectroscopy (XPS) analysis was performed using PHI 5000 VersaProbe equipment.

Electrode preparation and supercapacitor construction

The rGO aero and rGO HT electrodes, composed of 85% active material, 10% binder (polyvinylidene fluoride, Kynar Flex), and 5% carbon black, were pressed and cut into 10 mm diameter discs with a thickness of 100 µm, separated with Whatman® glassy paper and immersed in different aqueous electrolytes (1 M Na2SO4, 1 M H2SO4, and 1 M H2SO4 + 0.2 M hydroquinone (HQ)). The total active mass of electrodes in the investigated symmetric systems was in the range of 12–18 mg, maintaining the equal masses of the positive and negative electrodes. Two gold plates were used as the current collectors, and the electrochemical performance of the device was investigated in a two-electrode Swagelok™-type setup.

Electrochemical measurements

Supercapacitor cells performance was evaluated through CV, GCD, and electrochemical impedance spectroscopy (EIS) using a Biologic VSP potentiostat–galvanostat. The potential range for CV and GCD measurements was between 0–2.0 and 0–1.4 V for neutral and redox-doped electrolytes, respectively. For the GCD technique, currents ranging from 0.2 to 10 A g−1 were used to examine the effect of the current load on capacitive behavior. EIS measurements were conducted in the 400 kHz to 10 mHz frequency range at a 5 mV amplitude referring to open circuit potential.
The stored energy density (E, Wh kg−1) and delivered power density (P, kW kg−1) of the symmetric device presented in the Ragone plot were calculated using the equations as follows:
$$E = I_{m} /3.6\int_{{U^{ - } }}^{{U^{ + } }} {Udt} ,$$
(1)
$${\text{P }} = { }\frac{{3.6{\text{E}}}}{{\Delta {\text{t}}}},$$
(2)
where Im is current density in Ag−1,\(\underset{{U}^{-}}{\overset{{U}^{+}}{\int }}U dt\) is current integral area, and Δt is the discharge time (s) [25, 26].
The gravimetric capacitance of the electrode (CGCD, F g−1) based on GCD data was calculated using the equation provided, as the charge–discharge profiles exhibit non-linear variation resulting from quasi-reversible faradic reactions [27]:
$$C_{{{\text{GCD}}}} = \frac{8E}{{U_{{{\text{max}}}}^{2} }}$$
(3)
where E is energy density calculated according to the Eq. (1) in Wh kg−1 and Umax is a maximum safe operating voltage in V.
Additional calculation protocols for the deeper analysis of the CV measurements data (coulombic efficiency, energy efficiency, b-value and surface-controlled and diffusion-controlled current contribution) are included in the supplementary information.

Results and discussion

Physiochemical characterization

The morphology of the rGO aero (Fig. 1a) and rGO HT (Fig. 1b) materials was examined through FESEM observations. The texture obtained in the rGO aero exhibited interconnectivity, with sharp edges and a thin wall thickness. The graphene aerogel sheets displayed variable orientation toward the cross section, resulting in the formation of random openings within the material. Pores exceeding 400 nm in diameter were visible on the surface of the material. This structure is a characteristic of porous graphene materials and aerogels obtained through freeze drying [9, 28]. By contrast, the rGO HT synthesized under conventional hydrothermal conditions displayed a typical aggregated morphology characterized by densely stacked graphene nanosheets [29]. Furthermore, HRTEM images further supports these structural disparities, with rGO aerogel (Fig. 1c) demonstrating well-defined, thin and continuous framework of graphene sheets. In contrast, the conventional rGO HT (Fig. 1d) displays much larger, more opaque regions, indicating significant restacking and aggregation of graphene layers. These observations supports that the aerogel structure enhances the spatial arrangement and achieves interconnected network of graphene sheets.
Figure 1
FESEM and HRTEM images of the rGO aero (a,c) and rGO HT (b,d).
Bild vergrößern
Figure 2 shows the N2 sorption isotherms at 77 K and PSD profiles of the graphene materials. Both the rGO aero and rGO HT displayed a Type IV isotherm with a distinctive hysteresis loop (Fig. 2a) according to the IUPAC classification [30]. As follows from Table 1, the rGO aero had a well-developed porous structure with a BET specific surface area of 495 m2 g−1, slightly higher than the material obtained through the conventional route [31]. Both rGO HT and the rGO aero exhibited comparable contributions of mesopores in the total pore volume (Vmes/Vt = 0.57 − 0.59), however, the rGO aero displayed a significantly higher total pore volume than rGO HT (0.445 vs. 0.324 cm3 g−1). A comparable proportion of micropores and mesopores appears beneficial for efficient supercapacitor operation [32, 33]. Pore size distribution analysis revealed that the rGO aero exhibited pores across a wide range, whereas rGO HT featured micropores and narrow mesopores with a size up to 6 nm (Fig. 2b).
Figure 2
N2 sorption isotherms at 77 K a and QSDFT pore size distribution b of rGO aero and the rGO HT.
Bild vergrößern
Table 1
Textural parameters of the graphene materials
Material
SBET m2 g−1
Vtcm3 g−1
Vmes cm3 g−1
Vmic cm3 g−1
Vmes/Vt
rGO aero
495
0.445
0.253
0.192
0.57
rGO HT
453
0.324
0.191
0.133
0.59
The calculated average pore diameter, using the 4VT/SBET formula based on data from Table 1, suggests larger average pore diameters for both materials (3.60 nm for the rGO aero and 2.86 nm for rGO HT) than the sizes of ions commonly found in aqueous electrolytes [31]. The wider pores of the rGO aero suggest better electrochemical performance by ensuring greater availability of the material’s active sites to the electrolyte ions and faster ionic diffusion. Moreover, the rGO aero has a larger volume of micropores (0.192 vs. 0.133 cm3 g−1), which play an important role in charge accumulation. At the same time, there are well-developed transport channels for ions diffusing from the inside of the electrolyte to the phase interface because of the large number of narrow mesopores. They provide good charge propagation, which allows them to achieve high capacitance values and lower the electrode internal resistance [33].
The X-ray diffractograms (Fig. 3a) of the rGO aero and rGO HT exhibit a prominent diffraction peak at 2θ = 24.3° and 24.7°, respectively, corresponding to the (002) lattice plane of a typical graphitic structures. Additionally, weaker peak at 2θ = 43.1° is observed, which is attributed to the (100) plane [34]. The increase in d002 from 0.3604 nm (rGO HT) to 0.3650 nm (rGO aero) results from the minimization of capillary-induced collapse of the graphene structure during freeze-drying, which preserves a more open architecture and increases the spacing between graphene layers [35].
Figure 3
X-ray diffractograms a, Raman spectra b and TGA profiles c of rGO aero and rGO HT.
Bild vergrößern
Further structural differences between rGOs synthesized via conventional hydrothermal treatment versus a freeze dried aerogel were investigated by Raman spectroscopy (Fig. 3b). Two prominent bands corresponding to the D-band (~ 1340 cm−1) and G-band (~ 1590 cm−1), characteristic for graphene-based materials are identified. The intensity ratios of these bands ID/IG are key metric used to quantify the level of in-plane structural defects and disorder within the graphene lattice [36]. The calculated ID/IG ratio for the rGO HT sample is 1.14, slightly higher than the 1.08 value obtained for the rGO aero. The difference in defect density can be attributed to the distinct synthesis and post-processing methods used to obtain the final material form. The aerogel formation process, combined with more gentler freeze-drying, effectively preserves the interconnected 3D network of rGO sheets, resulting in a more structurally intact material. In comparison, rGO HT in a powder form, dried at 60 °C under vacuum experienced stronger mechanical stress, which led to the creation of new defects and more intensive rGO sheet aggregation [37]. Therefore, despite identical GO precursor, the physical form of rGO directly influences the structural integrity of the material.
We have performed TGA to gain in-depth insight on the thermal stability of the reduced graphene oxides. Figure 3c shows that the rGO aero and rGO HT samples at 200 °C exhibit weight losses of 5.9and 12.2%, respectively. These losses are attributed to the evaporation of adsorbed water and the thermal decomposition of unstable oxygen-containing functional groups such as carboxyl groups, which are predominantly located at the edges of the rGO sheets and decompose to form CO, CO2, and H2O. As the temperature rises, more stable oxygen functionalities (e.g. hydroxyl, carbonyl and epoxy groups) begin to decompose, releasing additional CO and CO2 [38]. Upon further temperature increase, the mass loss becomes more obvious. At 800 °C, the rGO aero and rGO HT retain 60.0 and 46.8% of their initial mass, respectively. This clearly indicates that the aerogel-based rGO demonstrates superior thermal stability compared to its vacuum-dried counterpart. The observed resutls can be attributed to the efficient removal of water through freeze-drying, which preserves the porous structure and allows for gradual deoxygenation without collapse. Additionally, the network of interconnected graphene layers of the aerogel resists abrupt degradation or oxidation of the carbon matrix, resulting in a higher residual mass at elevated temperatures compared to the rGO HT [39].
XPS analysis was performed to comprehensively investigate the surface chemistry of the reduced graphene oxides. The XPS survey spectra are shown in Figure S1, revealing the presence of two elements: C and O resulting from the hydrothermal reduction of GO without the use of chemical reductants, further underscores the simplicity of the synthesis process. Detailed information on the binding energies and full widths at half maximum (FWHM) of the C1s and O1s peaks is summarized in Table S1. The surface elemental composition and the functional groups distribution of rGO aero and rGO HT are very similar (Table 2) which suggests that the synthesis method and resulting physical structure did not significantly affect the chemical structure of the rGO surface. The C1s high-resolution spectrum of the rGO aero (Fig. 4a) revealed six components, with a dominant peak corresponding to C–C bonds in a sp2 hybridization (284.6 eV). This confirms the restoration of the graphene hexagonal structure during the hydrothermal treatment of GO [23]. The peak at 285.4 eV is attributed to carbon in the sp3 configuration. Three additional peaks correspond to oxygen functional groups present on the surface of the material: hydroxyl/epoxy (286.1 eV), carbonyl/quinone (287.8 eV), and carboxyl groups (288.8 eV). Satellite peaks for C–C bonds at 290.4 and 291.9 eV are also observed [40].
Table 2
Chemical composition determined by XPS (at. %)
Sample
C
O
Csp2
Csp3
C–OH, C–O–C
C = O
C–OOH, lactone
satellites
rGO aero
86.6
13.4
50.9
3.1
18.5
3.6
5.0
5.5
rGO HT
86.5
13.5
50.5
1.0
19.5
6.5
5.6
3.4
Figure 4
C1s a and O1s b high-resolution spectra of the rGO aero.
Bild vergrößern
The O1s XPS spectrum of rGO aero was fitted by four components (Fig. 4b). Two of them are attributed to oxygen functional groups, i.e. carbonyl/carboxyl groups (531.3 eV) and hydroxyl/epoxy groups (533.3 eV). The component at 535.8 eV is linked to the adsorption of water on the rGO aero surface [41, 42]. The presence of this peak may be explained by developed porosity of the aerogel material which easily adsorbs humidity from the surroundings. The last peak (538.3 eV) can be related to the chemisorbed oxygen [41]. The noticeable enhancement occurs through increased polarity and wettability of carbon materials in the aqueous electrolyte solution [20, 33] and certain oxygen groups contribute to reversible Faradaic reactions, such as the Q-HQ reaction. This pseudocapacitance effect becomes particularly significant in an acidic environment, where a proton originating from the electrolyte participates in the process [20].

Electrochemical characterization

The assessment of the electrochemical performance of the two-electrode devices with rGO-based electrodes started with CV measurements with varying scan rates from 1 to 100 mV s−1. In the beginning, we have compared the symmetric supercapacitors in a neutral 1 M Na2SO4 electrolyte (Fig. 5). The potential window for the system with both rGO materials remarkably exceeds the theoretical potential of water decomposition (1.23 V), reaching up to 1.8 V for rGO HT and 2.0 V for the rGO aero in 1 M Na2SO4 (Fig. 5a and b). The CV-derived efficiencies (coulombic and energy) show that coulombic efficiency (CE) remains around 95% for the rGO aero-based devices across explored potential window, while the energy efficiency (EE) decreases only slightly by 2%, when extending the maximum operating voltage from 1.6 to 2.0 V (Fig. S2). Thus neutral electrolytes without the abundance of H+ or OH ions provide higher kinetic barriers for the hydrogen and oxygen evolution reactions. The use of the rGO aero allows the window to be extended by 0.2 V in respect to rGO HT, resulting in a higher capacitance value. The voltammogram of the rGO aero in a neutral electrolyte exhibited a quasi-rectangular shape, indicating the ideal double-layer capacitive behavior [43]. Given that constant current is employed in commercially available devices rather than a constant voltage rate, as in CV, GCD measurements offer a more accurate representation of real supercapacitor performance. Despite using a safe potential range assessed from the voltammograms, GCD for rGO HT displayed asymmetry, suggesting lower CE (Fig. 5c). This distortion is attributed to exceeding the electrolyte stability window. However, the GCD curve for the rGO aero (Fig. 5d), even at higher voltage, maintained a close triangular shape, indicating nearly ideal capacitive behavior with a high CE close to 100% [44]. The specific capacitance at a current density of 0.2 A g–1 is higher for rGO aero than for rGO HT (206 vs 143 F g–1). Although the materials exhibit comparable SBET area and elemental composition, the improved electrochemical performance of the rGO aero can be explained with structural differences, as revealed by Raman spectroscopy analysis. In our studies, the rGO aero presents ID/IG ratio of 1.08, while for rGO HT the value is marked higher, of 1.14. Our findings are in direct agreement with recently published work by Liu et al.[45], which provides compelling evidence for the relationship between the structural disorder and the electrochemical performance in carbon-based supercapacitors. The study reported that nanoporous carbons with broader D bands and smaller ID/IG intensity ratios exhibit higher capacitance due to smaller graphene-like domains as confirmed by NMR spectroscopy studies. Therefore, we conclude that the enhanced charge storage in rGO aero is due to a beneficial structural disorder characterized by smaller graphitic domains, which provide a higher density of accessible active sites for ion storage. Electrochemical performance measurements revealed that rGO aero facilitates supercapacitor operation with better parameters, enabling higher energy density values, a crucial aspect in energy storage applications. Therefore, further research will explore the use of a graphene aerogel in other aqueous electrolytes.
Figure 5
CV curves obtained at different scan rates for rGO HT a and the rGO aero b; GCD curves obtained at different current densities for rGO HT c and the rGO aero d in 1 M Na2SO4.
Bild vergrößern
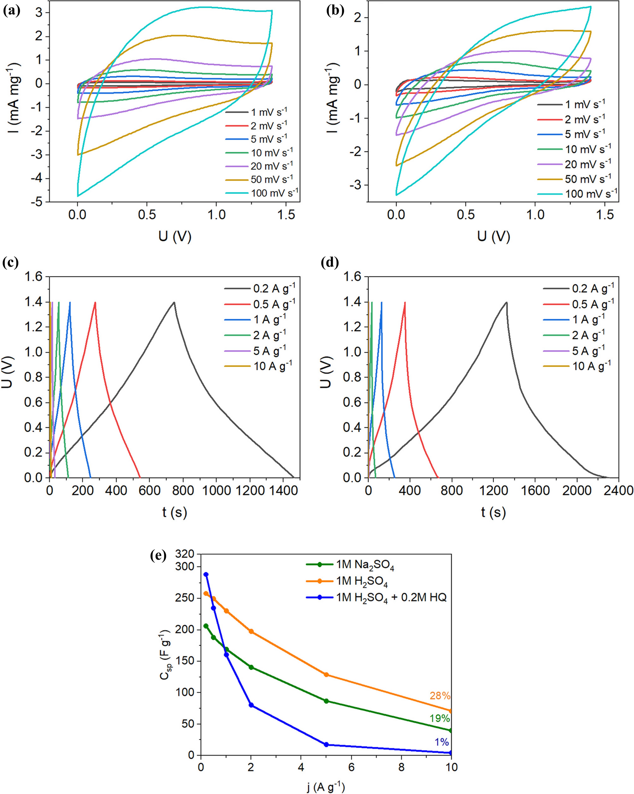
The application of 1 M H2SO4 and 1 M H2SO4 + 0.2 M HQ as electrolytes allowed a broad potential range of 0–1.4 V to be achieved exceeding the theoretical potential value for water decomposition (Fig. 6a and b). CV profile of the supercapacitor operating in 1 M H2SO4 shows distorted rectangular shape due to pseudocapacitive effects of oxygen functional groups, which have a prominent electrochemical response in acidic electrolyte. While the addition of the redox-active compound did not alter the operating potential window, it facilitated higher capacitance values. In the case of 1 M H2SO4 coupled with 0.2 M HQ electrolyte, a pair of broad redox peaks appeared, with maxima around 0.18 and 0.50 V corresponding to the oxidation of HQ to quinone (Q) and the reverse reaction—reduction of Q to HQ, respectively [46]. Figure 6b shows the galvanostatic charge–discharge curves of the supercapacitors examined in different electrolytes. The curve for the 1 M H2SO4 system shows a similar discharge time compared to 1 M Na2SO4. However, due to the broader window in a neutral electrolyte, the acidic electrolyte allows higher capacitance values to be obtained (258 vs. 206 F g−1 for 1 M Na2SO4). The positive impact of the addition of HQ is evident, resulted in an increase in the charge–discharge cycle time by more than 60% compared to 1 M H2SO4. The capacitance value for the device working in 1 M H2SO4 + 0.2 M HQ electrolyte is the highest (288 F g−1) due to the fact it is a sum of double-layer capacitance, Faradaic surface pseudocapacitance, and Faradaic redox reactions of electrochemically active species [46]. Therefore, the capacitance values of the rGO aero measured in 1 M Na2SO4 at low current densities (0.2–1 A g−1) are significantly lower than those of the redox-active system (Fig. 6e). The comparison of capacitance values at current densities of 0.2 and 10 A g⁻1 reveals that the incorporation of 0.2 M HQ significantly impairs the system’s ability to maintain high capacitance. Under the highest current load of 10 A g⁻1, the system using 1 M H2SO4 demonstrated the greatest tolerance, retaining 28% of the capacitance recorded at the lowest current density, in contrast to the redox electrolyte-based supercapacitor, which retained only 1%. At higher current densities, in the HQ-enriched electrolyte, challenges related to the diffusion of HQ active species at the electrode–electrolyte interface resulted in lower capacitance values compared to a system based on an electrolyte without HQ [47]. The electrochemical kinetics of the rGO aero symmetric supercapacitors in acidic electrolytes were investigated through the relationship between peak current ip and scan rate ν, as presented in Fig. 7a. The log–log analysis of ip versus ν yielded b-values of 0.91 and 0.65 for cathodic processes in 1 M H2SO4 and 1 M H2SO4 + 0.2 M HQ, respectively. If the b-value is close to 1, it reflects a charge storage mechanism governed predominantly by capacitive processes. However, the b-value of 0.5 represents diffusion-controlled processes [48]. Therefore, we observe a significant shift from capacitive to more diffusion-controlled electrochemical processes of the rGO aero symmetric supercapacitor, when redox-active HQ is added into the electrolyte. This is further supported by the deconvolution of the current contribution to surface-controlled current and diffusion-controlled current using Dunn method [49]. For the rGO aero 1 M H2SO4 + 0.2 M HQ, at a scan rate of 5 mV s–1, the device shows almost 85% of the diffusion-controlled processes, and even at 100 mV s−1, these processes still contribute to 52.3% of the current response (Fig. 7b).
Figure 6
CV curves obtained at different scan rates for rGO aero in 1 M H2SO4 (a) and 1 M H2SO4 + 0.2 M HQ (b); GCD curves obtained at different current densities for rGO aero in 1 M H2SO4 (c) and 1 M H2SO4 + 0.2 M HQ (d); specific capacitance versus discharge current densities of rGO-aero based devices operating in 1 M Na2SO4, 1 M H2SO4, and 1 M H2SO4 + 0.2 M HQ (e).
Bild vergrößern
Figure 7
b-values for the rGO aero in 1 M H2SO4 and 1 M H2SO4 + 0.2 M HQ (a). Surface- and diffusion-controlled current contributions for rGO aero 1 M H2SO4 + 0.2 M HQ symmetric system (b). Nyquist plots and their fitting (c) with the high-frequency range magnicfication (d) for the rGO aero–based supercapacitors and inset representing equivalent electrical circuit models of the symmetric devices (from the fitting program ZFIT/EC-lab version 11.41).
Bild vergrößern
The investigation of rGO aero-based supercapacitors using EIS measurements is illustrated through the Nyquist plots shown in Fig. 7c and d. Additionally, the equivalent circuit fitted using Zfit software is included in the inset in Fig. 7d. Notably, the fitted electrical circuit for devices with an electrolyte lacking a redox-active additive reveals an equilibrium differential capacitance element [43]. The bulk resistance (Rs), determined as the intercept at the real part (Z′), is referred to as a sum of the electrolyte resistance and current collector resistance [43]. The values of Rs are significantly influenced by the electrolyte used, being 0.65, 0.31, and 0.53 Ω for supercapacitors operating in neutral, acidic, and redox electrolytes, respectively (Fig. 6a). All supercapacitors exhibit a small semicircle in the high-frequency region (Fig. 7d), corresponding to the charge-transfer resistance (RCT) caused by Faradaic reactions and double-layer capacitance on the graphene aerogel surface. The RCT values, associated with ion transfer at the interfaces of electrode and electrolyte and the electron transfer between the current collector and the electrode are 0.78, 0.37, and 0.24 Ω for supercapacitors using 1 M Na2SO4, 1 M H2SO4, and 1 M H2SO4 + 0.2 M HQ electrolytes, respectively.
Despite the same anion (SO42−) in all electrolytes, the different cations (Na+ vs. H+) influence their electrical conductivity, resulting in higher conductivity for H+, explaining the lower resistance values for supercapacitors operating in sulfuric acid. Furthermore, the oxygen functional groups, abundantly present on the surface of the rGO aero, interact favorably with HQ, enabling the redox reaction and positively influencing system performance [20]. The slope of the straight line in the low-frequency region is related to the diffusion resistance in the electrode material. A more rapidly rising line toward the Z" axis indicates a low electronic resistance and better capacitive behavior [43] The calculated Warburg coefficient, representing the diffusion coefficient of ions, is 0.66 Ω s−1/2 for the rGO aero supercapacitor with a neutral electrolyte. By contrast, it is 7.2 and 2.3 Ω s−1/2 for setups with acidic and redox-active additive, respectively.
Further evaluations of the symmetric supercapacitors were conducted, focusing on calculated energy and power densities, as shown in the Ragone plot (Fig. 8a). Although the capacitance values are lower, the broad potential window enables the supercapacitor operating in a neutral electrolyte to achieve the highest energy density values. The best setup, employing 1 M Na2SO4, demonstrated impressive electrochemical performance with a high-energy density of 28.5 Wh kg−1 at a power density of 0.154 kW kg−1. In comparison, the devices using 1 M H2SO4 and 1 M H2SO4 + 0.2 M HQ exhibited energy density values of 17.5 and 19.5 Wh kg−1 at power densities of 0.100 and 0.072 kW kg−1, respectively. The observable decrease in stored energy for a device with a redox-active electrolyte above is related to the diminished capacitive capabilities of the setup at higher current regimes, at which the utilization of the faradaic redox reaction of Q-HQ species is significantly hindered. In addition to the high specific capacitance and thus high-energy density, the rGO aero–based devices exhibited outstanding stability during long-term cycling. Figure 8b presents the changes in the specific capacitance vs. cycle number for the assembled supercapacitors at a current density of 2 A g −1. The rGO aero in 1 M Na2SO4 operated within a potential window significantly exceeding the theoretical potential of water decomposition and maintained stability over thousands of cycles. Unfortunately, there was a gradual loss of charge storage capability, and the device reached 67% of its initial capacitance at the end of the experiment. By contrast, the supercapacitor operating in 1 M H2SO4 consistently retains almost 100% efficiency for 10 000 cycles. Furthermore, the device assembled with 1 M H2SO4, and 0.2 M HQ demonstrated outstanding stability, retained 98% of the initial capacity even after 12 000 charge–discharge cycles. Notably, a slight decrease in the specific capacitance value occurred at the initial cycles, followed by an increase in electrochemical capacitance and stabilization. The initial capacity fading observed during the first 1000 cycles can be attributed to the gradual adsorption and stabilization of the HQ species onto the carbon electrode surface. Such adsorption arises from electrostatic and π–π dispersion between the aromatic ring of HQ and the graphene layers, and hydrogen bonding with oxygen-containing surface functionalities. [20, 46]. The stability of the acidic electrolyte enhanced with the redox-active compound surpassed that of the neutral aqueous solution in terms of capacitive properties. Moreover, the combination of 1 M H2SO4 + 0.2 M HQ with the porous rGO aero emerged as a promising setup for high-energy and long-life supercapacitors. However, it is expedient to operate the supercapacitor at a current load not exceeding 1 A g−1.
Figure 8
Ragone plot (a) and electrochemical cyclic stability of supercapacitors at a current density of 2 A g−1 (b).
Bild vergrößern
The rGO aerogel-based devices exhibit exceptional energy density values and are among the highest of the symmetric aqueous supercapacitors reported previously in the literature (Table 3). The assembled devices operating at potentials beyond the theoretical water decomposition limit demonstrate impressive energy and power densities, with durability extending over several thousand charge/discharge cycles. The systems presented here offer a unique advantage in their simplicity and environmental compatibility, as they do not incorporate additional components into the active material during synthesis, making them a more sustainable alternative to the graphene materials with added enrichments or additives.
Table 3
Comparison of the electrochemical performances of rGO aero devices with other functionalized graphene-based symmetric aqueous supercapacitors
Symmetric device
Electrolyte
ΔV
Energy – power performance
Cycle stability
Refs
Phosphorus-doped reduced graphene oxide (P-rGO)
2 M NaClO4
0–2.0 V
9.9 Wh kg−1 at 0.078 kW kg−1
1.8 Wh kg−1 at 3.242 kW kg−1
87%, 2000 cycles at 1 A g−1
[31]
Sulfuric acid-mediated graphene macroforms (GM-SA-0.4)
1 M H2SO4
0–1.0 V
8.3 Wh kg−1 at 0.0245 kW kg−1
7.6 Wh kg−1 at 1 kW kg−1
98.5%, 1000 cycles at 1 A g−1
[17]
Reduced graphene oxide aerogel (RGOA)
1 M H2SO4
0–1.2 V
 ~ 9.0 Wh kg−1 at 0.030 kW kg−1
 ~ 2.5 Wh kg−1 at 30 kW kg−1
-
[11]
Thionine functionalized 3D graphene aerogel (Th-GA)
1 M H2SO4
0–1.4 V
25.8 Wh kg−1 at 0.460 kW kg−1
13.74 Wh kg−1 at 8.7 kW kg−1
82%, 6000 cycles at 10 A g−1
[12]
Thionine functionalized 3D graphene aerogel (Th-GA)
0.5 M Na2SO4
0–2.0 V
32.6 Wh kg−1 at 0.753 kW kg−1
17.7 Wh kg−1 at 12.8 kW kg−1
86%, 4000 cycles at 2 A g−1
[12]
Polypyrrole/graphene film (PGF SSC)
1 M H2SO4
0–1.4 V
13.4 W h kg−1 at 0.700 kW kg−1
96%, 1000 cycles at 3 A g−1
[50]
rGO aero
1 M Na2SO4
0–2.0 V
28.5 Wh kg−1 at 0.154 kW kg−1
4.4 Wh kg−1 at 4.330 kW kg−1
67%, 11000 cycles at 2 A g−1
This work
rGO aero
1 M H2SO4
0–1.4 V
17.5 Wh kg−1 at 0.100 kW kg−1
4.1 Wh kg−1 at 3.345 kW kg−1
98%, 9000 cycles at 2 A g−1
This work
rGO aero
1 M H2SO4 + 0.2 M HQ
0–1.4 V
19.5 Wh kg−1 at 0.072 kW kg−1
0.1 Wh kg−1 at 1.630 kW kg−1
98%, 12000 cycles at 2 A g−1
This work

Conclusions

In this study, we presented a convenient strategy for the synthesis of a highly promising capacitive material characterized by a 3D conductive network and a well-developed porous structure. While many studies focus on composite materials to enhance electrochemical performance, our approach relies solely on reduced graphene oxide in aerogel form as the electrode active material. The process does not require the use of a chemical reductant and ensures a rapid purification process through water exchange. The outstanding electrochemical properties of the resulting rGO aero stem from high surface area (495 m2 g−1) and favorable pore size distribution, while exhibiting less structural defects within the hexagonal carbon structure compared to the rGO in powder form. These properties provide symmetric supercapacitors with efficient ion and electron transport pathways in neutral and acidic electrolytes, resulting in high capacitance, wide potential range, and long-term stability. The two-electrode configuration provides an assessment of practical performance of the device. For achieving exceptionally high energy density (28.5 Wh kg−1 at 0.154 kW kg−1), the use of a neutral electrolyte is advantageous. However, operating within an extended potential window, substantially exceeding the theoretical decomposition potential of water (2.0 vs. 1.23 V), leads to a 30% capacity loss after 10000 cycles. Alternatively, if a lower energy density is acceptable, an electrolyte enriched with HQ offers a viable compromise, providing 19.5 Wh kg−1 at 0.072 kW kg−1 with almost 100% of initial capacitance maintained over 12000 charge/discharge cycles. These versatile features highlight the promising practical applicability of the rGO aero as an electrode for the fabrication of high-performance symmetric supercapacitors.

Acknowledgements

The following research was financially supported by a statutory activity subsidy from the Polish Ministry of Science and Higher Education for the Faculty of Chemistry, Wrocław University of Science and Technology (Politechnika Wrocławska).

Declarations

Conflicts of interest

The authors declare that they have no financial or non-financial interests to declare that are relevant to the content of this article.

Ethical approval

Not applicable.
Open Access This article is licensed under a Creative Commons Attribution-NonCommercial-NoDerivatives 4.0 International License, which permits any non-commercial use, sharing, distribution and reproduction in any medium or format, as long as you give appropriate credit to the original author(s) and the source, provide a link to the Creative Commons licence, and indicate if you modified the licensed material. You do not have permission under this licence to share adapted material derived from this article or parts of it. The images or other third party material in this article are included in the article’s Creative Commons licence, unless indicated otherwise in a credit line to the material. If material is not included in the article’s Creative Commons licence and your intended use is not permitted by statutory regulation or exceeds the permitted use, you will need to obtain permission directly from the copyright holder. To view a copy of this licence, visit http://​creativecommons.​org/​licenses/​by-nc-nd/​4.​0/​.

Publisher's Note

Springer Nature remains neutral with regard to jurisdictional claims in published maps and institutional affiliations.
download
DOWNLOAD
print
DRUCKEN
Titel
High-performance aqueous symmetric supercapacitors with a versatile 3D reduced graphene oxide aerogel electrode
Verfasst von
Katarzyna Gajewska
Adam Moyseowicz
Grażyna Gryglewicz
Publikationsdatum
04.11.2025
Verlag
Springer US
Erschienen in
Journal of Materials Science / Ausgabe 46/2025
Print ISSN: 0022-2461
Elektronische ISSN: 1573-4803
DOI
https://doi.org/10.1007/s10853-025-11742-4

Supplementary Information

Below is the link to the electronic supplementary material.
1.
Zurück zum Zitat Béguin F, Frąckowiak E (2013) Supercapacitors. WileyCrossRef
2.
Zurück zum Zitat Conway BE (1999) Electrochemical supercapacitors. Springer, US, Boston, MACrossRef
3.
Zurück zum Zitat Liu R, Zhang L, Sun X et al (2011) Electrochemical Technologies for Energy Storage and Conversion. WileyCrossRef
4.
Zurück zum Zitat Zhang L, Shi G (2011) Preparation of highly conductive graphene hydrogels for fabricating supercapacitors with high rate capability. J Phys Chem C 115:17206–17212. https://​doi.​org/​10.​1021/​jp204036aCrossRef
5.
Zurück zum Zitat Sadhukhan S, Ghosh TK, Rana D et al (2016) Studies on synthesis of reduced graphene oxide (RGO) via green route and its electrical property. Mater Res Bull 79:41–51. https://​doi.​org/​10.​1016/​j.​materresbull.​2016.​02.​039CrossRef
6.
Zurück zum Zitat Dubey R, Guruviah V (2019) Review of carbon-based electrode materials for supercapacitor energy storage. Ionics (Kiel) 25:1419–1445. https://​doi.​org/​10.​1007/​s11581-019-02874-0CrossRef
7.
Zurück zum Zitat Zhou L, Yang Z, Yang J et al (2017) Facile syntheses of 3-dimension graphene aerogel and nanowalls with high specific surface areas. Chem Phys Lett 677:7–12. https://​doi.​org/​10.​1016/​j.​cplett.​2017.​03.​076CrossRef
8.
Zurück zum Zitat Kasar AK, Tian S, Xiong G, Menezes PL (2022) Graphene aerogel and its composites: synthesis, properties and applications. J Porous Mater 29:1011–1025. https://​doi.​org/​10.​1007/​s10934-022-01230-4CrossRef
9.
Zurück zum Zitat Shaikh JS, Shaikh NS, Mishra YK et al (2021) The implementation of graphene-based aerogel in the field of supercapacitor. Nanotechnology 32:362001. https://​doi.​org/​10.​1088/​1361-6528/​ac0190CrossRef
10.
Zurück zum Zitat Lim MB, Hu M, Manandhar S et al (2015) Ultrafast sol–gel synthesis of graphene aerogel materials. Carbon 95:616–624. https://​doi.​org/​10.​1016/​j.​carbon.​2015.​08.​037CrossRef
11.
Zurück zum Zitat Si W, Wu X, Zhou J et al (2013) Reduced graphene oxide aerogel with high-rate supercapacitive performance in aqueous electrolytes. Nanoscale Res Lett 8:247. https://​doi.​org/​10.​1186/​1556-276X-8-247CrossRefPubMedPubMedCentral
12.
Zurück zum Zitat Shabangoli Y, Rahmanifar MS, El-Kady MF et al (2018) Thionine functionalized 3D graphene aerogel: combining simplicity and efficiency in fabrication of a metal-free redox supercapacitor. Adv Energy Mater. https://​doi.​org/​10.​1002/​aenm.​201802869CrossRef
13.
Zurück zum Zitat Liu Y, He D, Wu H et al (2015) Hydrothermal self-assembly of manganese dioxide/manganese carbonate/reduced graphene oxide aerogel for asymmetric supercapacitors. Electrochim Acta 164:154–162. https://​doi.​org/​10.​1016/​j.​electacta.​2015.​01.​223CrossRef
14.
Zurück zum Zitat Thomas SA, Cherusseri J, Pallavolu MR et al (2025) Strategically-designed environment-friendly tin-based electrodes for sustainable supercapatteries with high specific capacity. Electrochim Acta 522:145846. https://​doi.​org/​10.​1016/​j.​electacta.​2025.​145846CrossRef
15.
Zurück zum Zitat Thomas SA, Cherusseri J, Rajendran DN (2024) Nickel disulfide (NiS2): a sustainable low-cost electrode material for high-performance supercapacitors. Energy Technol. https://​doi.​org/​10.​1002/​ente.​202400138CrossRef
16.
Zurück zum Zitat Dinari M, Momeni MM, Goudarzirad M (2016) Nanocomposite films of polyaniline/graphene quantum dots and its supercapacitor properties. Surf Eng 32:535–540. https://​doi.​org/​10.​1080/​02670844.​2015.​1108047CrossRef
17.
Zurück zum Zitat Qu J, Li Y, Lv S et al (2015) Dense 3d graphene macroforms with nanotuned pore sizes for high performance supercapacitor electrodes. J Phys Chem C Nanomater Interfaces 119:24373–24380. https://​doi.​org/​10.​1021/​acs.​jpcc.​5b06616CrossRef
18.
Zurück zum Zitat Gou Q, Zhao S, Wang J, Li M, Xue J (2020) Recent Advances on Boosting the Cell Voltage of Aqueous Supercapacitors. Nano-micro lett 12(1):98. https://​doi.​org/​10.​1007/​S40820-020-00430-4CrossRef
19.
Zurück zum Zitat Moyseowicz A, Gryglewicz G (2020) High-performance hybrid capacitor based on a porous polypyrrole/reduced graphene oxide composite and a redox-active electrolyte. Electrochim Acta 354:136661. https://​doi.​org/​10.​1016/​j.​electacta.​2020.​136661CrossRef
20.
Zurück zum Zitat Frackowiak E, Meller M, Menzel J et al (2014) Redox-active electrolyte for supercapacitor application. Faraday Discuss 172:179–198. https://​doi.​org/​10.​1039/​C4FD00052HCrossRefPubMed
21.
Zurück zum Zitat Lee SP, Ali GAM, Hegazy HH et al (2021) Optimizing reduced graphene oxide aerogel for a supercapacitor. Energy Fuels 35:4559–4569. https://​doi.​org/​10.​1021/​acs.​energyfuels.​0c04126CrossRef
22.
Zurück zum Zitat Elsehsah KAAA, Noorden ZA, Saman NM (2024) Graphene aerogel electrodes: a review of synthesis methods for high-performance supercapacitors. J Energy Storage 97:112788. https://​doi.​org/​10.​1016/​j.​est.​2024.​112788CrossRef
23.
Zurück zum Zitat Moyseowicz A, Gryglewicz G (2019) Hydrothermal-assisted synthesis of a porous polyaniline/reduced graphene oxide composite as a high-performance electrode material for supercapacitors. Compos B Eng 159:4–12. https://​doi.​org/​10.​1016/​j.​compositesb.​2018.​09.​069CrossRef
24.
Zurück zum Zitat Thommes M, Kaneko K, Neimark AV et al (2015) Physisorption of gases, with special reference to the evaluation of surface area and pore size distribution (IUPAC technical report). Pure Appl Chem 87:1051–1069. https://​doi.​org/​10.​1515/​pac-2014-1117CrossRef
25.
Zurück zum Zitat Yuan S, Fan W, Jin Y et al (2021) Free-standing flexible graphene-based aerogel film with high energy density as an electrode for supercapacitors. Nano Mater Sci 3:68–74. https://​doi.​org/​10.​1016/​j.​nanoms.​2020.​03.​003CrossRef
26.
Zurück zum Zitat Laheäär A, Przygocki P, Abbas Q, Béguin F (2015) Appropriate methods for evaluating the efficiency and capacitive behavior of different types of supercapacitors. Electrochem Commun 60:21–25. https://​doi.​org/​10.​1016/​j.​elecom.​2015.​07.​022CrossRef
27.
Zurück zum Zitat Sharma S, Chand P (2023) Supercapacitor and electrochemical techniques: a brief review. Results Chem 5:100885. https://​doi.​org/​10.​1016/​j.​rechem.​2023.​100885CrossRef
28.
Zurück zum Zitat Jung SM, Mafra DL, Lin C-T et al (2015) Controlled porous structures of graphene aerogels and their effect on supercapacitor performance. Nanoscale 7:4386–4393. https://​doi.​org/​10.​1039/​C4NR07564ACrossRefPubMed
29.
Zurück zum Zitat Díez N, Śliwak A, Gryglewicz S et al (2015) Enhanced reduction of graphene oxide by high-pressure hydrothermal treatment. RSC Adv 5:81831–81837. https://​doi.​org/​10.​1039/​C5RA14461BCrossRef
30.
Zurück zum Zitat Sing KSW, Williams RT (2004) Physisorption hysteresis loops and the characterization of nanoporous materials. Adsorpt Sci Technol 22:773–782. https://​doi.​org/​10.​1260/​0263617053499032​CrossRef
31.
Zurück zum Zitat Gajewska K, Moyseowicz A, Minta D, Gryglewicz G (2023) Effect of electrolyte and carbon material on the electrochemical performance of high-voltage aqueous symmetric supercapacitors. J Mater Sci 58:1721–1738. https://​doi.​org/​10.​1007/​s10853-023-08148-5CrossRef
32.
Zurück zum Zitat Xia K, Gao Q, Jiang J, Hu J (2008) Hierarchical porous carbons with controlled micropores and mesopores for supercapacitor electrode materials. Carbon 46:1718–1726. https://​doi.​org/​10.​1016/​j.​carbon.​2008.​07.​018CrossRef
33.
Zurück zum Zitat Forouzandeh P, Kumaravel V, Pillai SC (2020) Electrode materials for supercapacitors: a review of recent advances. Catalysts 10:969. https://​doi.​org/​10.​3390/​catal10090969CrossRef
34.
Zurück zum Zitat Stobinski L, Lesiak B, Malolepszy A et al (2014) Graphene oxide and reduced graphene oxide studied by the XRD, TEM and electron spectroscopy methods. J Electron Spectrosc Relat Phenom 195:145–154. https://​doi.​org/​10.​1016/​j.​elspec.​2014.​07.​003CrossRef
35.
Zurück zum Zitat Wang Z, Tang Z, Han Z et al (2015) Effect of drying conditions on the structure of three-dimensional N-doped graphene and its electrochemical performance. RSC Adv 5:19838–19843. https://​doi.​org/​10.​1039/​C4RA15494KCrossRef
36.
Zurück zum Zitat Ferrari AC, Basko DM (2013) Raman spectroscopy as a versatile tool for studying the properties of graphene. Nat Nanotechnol 8(4):235–246. https://​doi.​org/​10.​1038/​nnano.​2013.​46CrossRefPubMed
37.
Zurück zum Zitat Singh SB, Dastgheib SA (2023) Physicochemical transformation of graphene oxide during heat treatment at 110–200 °C. Carbon Trends 10:100251. https://​doi.​org/​10.​1016/​J.​CARTRE.​2023.​100251CrossRef
38.
Zurück zum Zitat Sadek R, Sharawi MS, Dubois C et al (2022) Superior quality chemically reduced graphene oxide for high performance EMI shielding materials. RSC Adv 12:22608–22622. https://​doi.​org/​10.​1039/​D2RA02678CCrossRefPubMedPubMedCentral
39.
Zurück zum Zitat Madduri SB, Kommalapati RR (2024) Harnessing novel reduced graphene oxide-based aerogel for efficient organic contaminant and heavy metal removal in aqueous environments. Nanomaterials 14:1708. https://​doi.​org/​10.​3390/​nano14211708CrossRefPubMedPubMedCentral
40.
Zurück zum Zitat Fu R, Zheng B, Liu J et al (2004) Studies of the chemical and pore structures of the carbon aerogels synthesized by gelation and supercritical drying in isopropanol. J Appl Polym Sci 91:3060–3067. https://​doi.​org/​10.​1002/​app.​13474CrossRef
41.
Zurück zum Zitat Benkoula S, Sublemontier O, Patanen M et al (2015) Water adsorption on TiO2 surfaces probed by soft x-ray spectroscopies: bulk materials vs. isolated nanoparticles. Sci Rep 5:15088. https://​doi.​org/​10.​1038/​srep15088CrossRefPubMedPubMedCentral
42.
Zurück zum Zitat Moreira VR, Lebron YAR, da Silva MM et al (2020) Graphene oxide in the remediation of norfloxacin from aqueous matrix: simultaneous adsorption and degradation process. Environ Sci Pollut Res 27:34513–34528. https://​doi.​org/​10.​1007/​s11356-020-09656-6CrossRef
43.
Zurück zum Zitat Mei B-A, Munteshari O, Lau J et al (2018) Physical interpretations of Nyquist plots for EDLC electrodes and devices. J Phys Chem C Nanomater Interfaces 122:194–206. https://​doi.​org/​10.​1021/​acs.​jpcc.​7b10582CrossRef
44.
Zurück zum Zitat Yi Z, Bettini LG, Tomasello G et al (2017) Flexible conducting polymer transistors with supercapacitor function. J Polym Sci, Part B: Polym Phys 55:96–103. https://​doi.​org/​10.​1002/​polb.​24244CrossRef
45.
Zurück zum Zitat Liu X, Choi J, Xu Z et al (2024) Raman spectroscopy measurements support disorder-driven capacitance in nanoporous carbons. J Am Chem Soc 146:30748–30752. https://​doi.​org/​10.​1021/​JACS.​4C10214CrossRefPubMedPubMedCentral
46.
Zurück zum Zitat Xie H, Zhu Y, Wu Y et al (2014) The effect of hydroquinone as an electrolyte additive on electrochemical performance of the polyaniline supercapacitor. Mater Res Bull 50:303–306. https://​doi.​org/​10.​1016/​J.​MATERRESBULL.​2013.​11.​032CrossRef
47.
Zurück zum Zitat Roldán S, Granda M, Menéndez R et al (2011) Mechanisms of energy storage in carbon-based supercapacitors modified with a quinoid redox-active electrolyte. J Phys Chem C Nanomater Interfaces 115:17606–17611. https://​doi.​org/​10.​1021/​jp205100vCrossRef
48.
Zurück zum Zitat Pervez S, Iqbal MZ (2023) Capacitive and diffusive contributions in supercapacitors and batteries: a critique of b-value and the ν–ν1/2 model. Small 19:2305059. https://​doi.​org/​10.​1002/​SMLL.​202305059CrossRef
49.
Zurück zum Zitat Shrivastav V, Mansi DP et al (2023) Diffusion controlled electrochemical analysis of MoS2 and MOF derived metal oxide–carbon hybrids for high performance supercapacitors. Sci Rep 13:1–14. https://​doi.​org/​10.​1038/​S41598-023-47730-4CrossRef
50.
Zurück zum Zitat Li Z, Yao M, Zhang L et al (2022) Preparation of flexible and free-standing polypyrrole/graphene film electrodes for supercapacitors. New J Chem 46:17776–17784. https://​doi.​org/​10.​1039/​D2NJ03173FCrossRef

    Marktübersichten

    Die im Laufe eines Jahres in der „adhäsion“ veröffentlichten Marktübersichten helfen Anwendern verschiedenster Branchen, sich einen gezielten Überblick über Lieferantenangebote zu verschaffen. 

    Bildnachweise
    MKVS GbR/© MKVS GbR, Nordson/© Nordson, ViscoTec/© ViscoTec, BCD Chemie GmbH, Merz+Benteli/© Merz+Benteli, Robatech/© Robatech, Hermann Otto GmbH/© Hermann Otto GmbH, Ruderer Klebetechnik GmbH, Xometry Europe GmbH/© Xometry Europe GmbH, Atlas Copco/© Atlas Copco, Sika/© Sika, Medmix/© Medmix, Kisling AG/© Kisling AG, Dosmatix GmbH/© Dosmatix GmbH, Innotech GmbH/© Innotech GmbH, Hilger u. Kern GmbH, VDI Logo/© VDI Wissensforum GmbH, Dr. Fritz Faulhaber GmbH & Co. KG/© Dr. Fritz Faulhaber GmbH & Co. KG, ECHTERHAGE HOLDING GMBH&CO.KG - VSE, mta robotics AG/© mta robotics AG, Bühnen