Zum Inhalt

Holzkohle als CO2-neutrales Reduktionsmittel in Recyclingprozessen der Nichteisenmetallurgie

  • Open Access
  • 30.11.2021
  • Originalarbeit
Erschienen in:

Aktivieren Sie unsere intelligente Suche, um passende Fachinhalte oder Patente zu finden.

search-config
loading …

Zusammenfassung

Der Fachbeitrag untersucht die Verwendung von Holzkohle als CO2-neutrales Reduktionsmittel in Recyclingprozessen der Nichteisenmetallurgie. Besondere Aufmerksamkeit wird der Substitution fossiler Kohlenstoffträger durch Holzkohle geschenkt, wobei die Vorteile wie geringerer Schwefelgehalt und höhere Reaktivität hervorgehoben werden. Die Herausforderungen, insbesondere im Drehrohrprozess, werden detailliert analysiert und Lösungsansätze zur Optimierung der Reaktivität vorgestellt. Weiterhin wird die wirtschaftliche Realisierbarkeit aufgrund steigender CO2-Zertifikatspreise und die Verfügbarkeit von Biomassen diskutiert. Die Verwertung des entstehenden Pyrolysegases als Reduktionsmittel in metallurgischen Prozessen zeigt vielversprechende Ergebnisse und könnte zu einer CO2-neutralen Produktion beitragen. Der Beitrag hebt sich durch seine umfassende Betrachtung der ökologischen und ökonomischen Aspekte sowie die tiefgehende technische Analyse hervor.

Hinweis des Verlags

Der Verlag bleibt in Hinblick auf geografische Zuordnungen und Gebietsbezeichnungen in veröffentlichten Karten und Institutsadressen neutral.

1 Einleitung

Seit einigen Jahren befindet sich die metallurgische Verfahrenstechnik in einem Umbruch. Waren es noch in den letzten Jahrzehnten Themen wie Circular Economy und Zero Waste, welche Neuentwicklungen entscheidend mitbestimmten, so dominiert heute vor allem die Minimierung des CO2-Ausstoßes sowie generell die Verwendung von alternativen CO2-neutralen Energieträgern und Reduktionsmitteln. Angetrieben durch ambitionierte Klimaschutzziele sowie hohe Energiepreise findet ein Wettlauf um die Verbannung von fossilem Kohlenstoff aus Reduktions- und Beheizungsprozessen statt. Besonderes Augenmerk wird auf eine mögliche Substitution von zumindest Reduktionsmitteln durch Wasserstoff gelegt, während die alternative Energiebereitstellung durch Wasserstoff schon deutlich schwieriger realisierbar ist. Ergänzend zu zahlreichen Projekten, die versuchen Wasserstoff in Verfahren zu implementieren, müssen jedoch auch kritische Fragen gestellt werden, die über den zentralen Prozessschritt hinausgehen. Dazu gehören:
  • Wie wird der Wasserstoff bereitgestellt? Verursacht dieser einen CO2-Footprint mit?
  • Wie effizient ist die Herstellung und welche Ressourcen werden dafür verbraucht?
  • Was bewirkt eine Umstellung auf Wasserstoff aus sicherheitstechnischer Sicht? Wie groß ist der damit verbundene zusätzliche Aufwand?
  • Werden dadurch weitere Energieträger zur Beheizung von Prozessen notwendig, da Kohlenstoff in einigen Verfahren zugleich als Reduktionsmittel und Energieträger dient?
Über diese generellen Fragen hinaus ist zu evaluieren, ob die Substitution eines festen Reduktionsmittels wie Kohlenstoff mit einem gasförmigen überhaupt möglich ist, ohne dabei einen völlig neuen Prozess entwickeln zu müssen bzw. welche umwelttechnischen Probleme ein völlig neues Verfahren mit sich bringt.

2 Biomasse als CO2-neutrales Substitut

Eine Alternative, welche die herkömmlichen Prozesse weitgehend unverändert belassen würde, ist der Einsatz von pyrolysierter Biomasse, welche per Definition CO2-neutral ist. Der Lehrstuhl für Nichteisenmetallurgie beschäftigt sich seit vielen Jahren mit der Optimierung von Holzkohlen zum gezielten Einsatz in verschiedenen metallurgischen Prozessen. Die wesentlichen Unterschiede von Holzkohle gegenüber den meisten fossilen Kohlenstoffträgern sind:
  • ein geringerer Schwefelgehalt,
  • die deutlich geringere Festigkeit sowie
  • die zum Teil deutlich höhere Reaktivität.
Die Druckfestigkeit von metallurgischem Koks liegt bei 130 bis 160 kg/cm3, wohingegen Biomasse Werte von nur 10 bis 80 kg/cm3 erreicht (Monsen et al. 2004). Daraus ergeben sich Einschränkungen für den Einsatz in Aggregaten mit zunehmender Schichthöhe und erforderlicher Durchgasbarkeit.
Die Reaktivität von pyrolysierten Biomassen und auch fossilen Kohlenstoffträgern lässt sich über den Coke Reactivity Index (CRI) bestimmen. Die Berechnung des Wertes erfolgt über den Gewichtsverlust unter der Reaktion mit CO2 (Gl. 1). Dabei steht m0 für das Gewicht in Gramm vor und m1 für das Gewicht in Gramm nach der Reaktion mit CO2 (ISO 18894:2018-02 2018).
$$CRI\left[\% \right]=100\cdot \frac{m_{0}-m_{1}}{m_{0}}$$
(1)
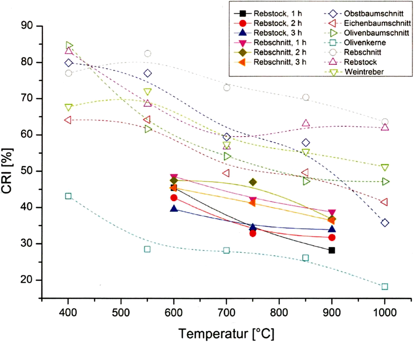
Typische Werte für den CRI von metallurgischer Kohle schwanken in einem Bereich von 32 bis 50 % und bei Petrolkoks in einem Bereich von 11 bis 20 % (Rodero et al. 2015; Griessacher 2012). Im Vergleich zu diesen Werten zeigt Abb. 1 den CRI für die bisher getesteten Biomassen mit unterschiedlichen Verweilzeiten im Pyrolyseaggregat über die Temperatur.
Abb. 1
Coke Reactivity Index (CRI) von Holzkohlen aus unterschiedlichen Biomassen in Abhängigkeit von der Verkohlungstemperatur. (Griessacher 2012)
Bild vergrößern
Die Ergebnisse in Abb. 1 zeigen, dass Holzkohlen aus unterschiedlichen Biomassen zumeist erhöhte Reaktivitäten aufweisen. Mit zunehmender Pyrolysetemperatur entweichen mehr flüchtige Bestandteile, was zur Erniedrigung der Reaktivität führt. Ebenfalls verringert eine erhöhte Pyrolysezeit in gewissem Ausmaß den CRI-Wert.

3 Mögliche Einsatzgebiete

Berücksichtigt man die geringe Festigkeit sowie die höhere Reaktivität, bietet sich für die folgenden Prozesse die grundsätzliche Möglichkeit zumindest einer teilweisen Substitution:
  • Reduktionsprozess in Kurztrommelöfen (z. B. Bleirecycling),
  • Schmelz‑/Reduktionsverfahren in Flammöfen (z. B. Zinnmetallurgie),
  • Reduktionsprozesse in Elektroniederschachtöfen (z. B. Ferrolegierungsherstellung),
  • Reduzierende Drehrohrverfahren (z. B. Stahlwerksstaubrecycling),
  • Aufkohlung von Metallschmelzen (z. B. Gusseisen),
  • Direktreduktionsverfahren (z. B. primäre Bleigewinnung).

4 Biomasse im Wälzprozess

Die größte Herausforderung stellte dabei der Einsatz im Drehrohrprozess dar, da im Speziellen die Reaktivität den Prozess beeinflusst und damit den Einsatz von Holzkohle erschwert. Die Untersuchungen und Entwicklungen hierzu sind im Folgenden zusammengefasst.
Der Drehrohrprozess zum Stahlwerkstaubrecycling, auch Wälzprozess genannt, gilt als „Best available Technology“ und findet sich allein in Europa an zehn verschiedenen Standorten.
In der ersten Stufe wird das Rohmaterial in einen Mischer dosiert und zu sogenannten Mikropellets verarbeitet. Aufgrund der Zugabe von feinen Anteilen an Reduktionsmittel werden diese Mikropellets auch als „Self Reducing Pellets“ (SRP) bezeichnet. Das Material gelangt in das Wälzrohr und wird in den ersten etwa 20 Metern auf eine Temperatur von 1100 °C aufgeheizt. In der Reduktionszone reagiert das oxidische Material mit Kohlenstoff, das Zink wird reduziert und verflüchtigt. Im oberen Bereich des Rohres werden dieses Zink sowie gebildetes Kohlenmonoxid durch Einbringen von Luft verbrannt und im Gegenstrom zum festen Einsatzgut geführt. Das heiße Gas liefert dabei die Energie zum Aufheizen des Gutes. Der Kohlenstoff dient somit als Reduktionsmittel, aber auch indirekt als Wärmelieferant.
Grundsätzlich findet Petroleumkoks bzw. Anthrazit beim herkömmlichen Wälzverfahren Einsatz. Bei der Substitution ist zu beachten, wie eine höhere Reaktivität den Prozess beeinflusst. Diese birgt die Gefahr, dass bereits im Aufheizbereich Holzkohle reagiert und zum Teil verbraucht wird, was zu einer unerwünschten erhöhten Abgastemperatur führt. Zugleich ist bei Erreichen der Reduktionszone nicht mehr ausreichend Kohlenstoff vorhanden. Beides stört den ansonsten gut ausbalancierten Wärmehaushalt des Wälzrohres, welcher neben dem Kohlenstoff keine weiteren Energieträger benötigt. Der Untersuchung der Reaktivität und deren Optimierung kommt daher große Bedeutung zu.
Versuche mit unterschiedlichen Biomassen als Basismaterial zeigen die in Tab. 1 zusammengefassten Ergebnisse aus den Wälzrohrversuchen im Labormaßstab. Anhand der Analysen der Wälzschlacken kann demonstriert werden, dass die eingesetzten Biomassen bessere Ergebnisse in Bezug auf Zinkausbringen liefern als Petrolkoks. Zusätzlich bringt Biomasse den Vorteil des niedrigeren Schwefelgehaltes mit sich.
Tab. 1
Analysen der Schlacken nach der Reduktion mit diskontinuierlich hergestellten Holzkohlen bei 1200 °C unter CO2-Atmosphäre im Drehrohr. (Griessacher 2012)
Reduktionsmittel
Zn
Feges
Femet
S
C
Zinkausbringen
[%]
[%]
[%]
[%]
[%]
[%]
Petrolkoks
0,75
56,1
40,0
2,28
4,16
97,44
Holzkohle aus Obstbaumschnitt (1000 °C)
0,1
58,4
48,0
1,36
1,74
99,66
Holzkohle aus Eichenbaumschnitt (1000 °C)
0,04
64,1
45,0
1,08
1,81
99,86
Holzkohle aus Olivenkernen (1000 °C)
0,12
58,0
43,9
1,09
4,64
99,59
In den vorliegenden Untersuchungen wurde jedoch lediglich die Reduktionszone simuliert. Ob größere Mengen an Holzkohle im Vergleich zu anderen Kohlenstoffträgern notwendig sind, da ein Teil bereits im Aufheizprozess verloren geht, kann hieraus nicht beurteilt werden und ist Gegenstand aktueller Untersuchungen.

5 Wirtschaftliche Betrachtung

Aufgrund der stark gestiegenen CO2-Zertifikatspreise stellt mittlerweile die Holzkohle aus Biomasse auch eine wirtschaftlich realisierbare Alternative dar. Betrachtet man einen Prozess, welcher beispielweise einen Kohlenstoffverbrauch von 150 kg pro Tonne Einsatzmaterial aufweist und nimmt vergleichsweise niedrige Kosten (wie beispielweise für Petroleumkoks) von 120 € pro Tonne als Basis an, ergeben sich Prozesskosten von 18 € pro Tonne Einsatz. Rechnet man hier Kosten für CO2-Zertifikate hinzu und berücksichtigt einen Preis von etwa 55 € pro Tonne (siehe Preisentwicklung in Abb. 2), kommen zu dem oben errechneten Betrag noch etwa 24 € hinzu, was Gesamtkosten für das Reduktionsmittel von 42 € ergibt. Dies würde bedeuten, dass ein Äquivalent in Holzkohle einen Preis von bereits 280 € pro Tonne erreichen könnte, um die gleiche Wirtschaftlichkeit zu gewährleisten. Je nach Verwertbarkeit des Pyrolysegases liegen Schätzungen der Kosten für entsprechende Holzkohlen aus Biomasse bei 300 bis 400 € pro Tonne und damit durchaus nahe an der Umsetzbarkeit, ohne Prozesskosten in höherem Ausmaß zu belasten.
Abb. 2
Entwicklung von CO2-Preisen in den letzten 6 Monaten. (Ember 2021)
Bild vergrößern
Abb. 3
Versuchsreaktor (a) und Metallausbringen (b) in Abhängigkeit von Zeit, Temperatur, Korngröße und Gaszusammensetzung. (Pichler 2015)
Bild vergrößern
Ein entsprechender Vergleich mit Wasserstoff, die prozesstechnische Möglichkeit des Einsatzes vorausgesetzt (welche im vorliegenden Fall unwahrscheinlich ist), würde zu einem Vielfachen dieser Kosten führen.

6 Verfügbarkeit

Häufig wird bei der Thematik Holzkohle als Reduktionsmittel in der Metallurgie die fehlende Verfügbarkeit von geeigneten Biomassen angeführt. Der Hintergrund dieser Einschätzung liegt zumeist in der Betrachtung der Eisen- und Stahlmetallurgie, wo vergleichsweise sehr große Mengen benötigt werden und die Einschätzung der nicht ausreichenden Verfügbarkeit durchaus berechtigt ist. Betrachtet man allerdings oben angeführte Prozesse der Nichteisenmetallurgie, so sind die notwendigen Mengen für einzelne Produktionseinheiten durchaus moderat und auch regional ohne große Transportwege darstellbar. Bleibt man beim Beispiel Wälzrohr, so ergibt sich bei einem typischen Durchsatz von 100.000 t Stahlwerksstaub pro Jahr eine notwendige Menge an Kohlenstoff von 15.000 t. Schätzt man eine Pyrolyseausbeute von etwa 30 %, resultiert eine Menge an benötigter Biomasse, im Idealfall Holz, von etwa 50.000 t pro Jahr. Betrachtet man den Schadholzanfall in deutschen oder österreichischen Wäldern im Jahr 2020, so sollten alleine aus dieser Fraktion problemlos regional entsprechende Mengen generierbar sein. Daneben sind weitere holzartige Abfälle beispielsweise aus der Agrarwirtschaft, wie Baum- und Strauchschnitt sowie andere Fraktionen, als Potenzial zu sehen.
Betrachtet man kleinere Anlagen, beispielsweise für die sekundäre Bleiproduktion, liegt der Bedarf für Kohlenstoffträger lediglich im Bereich von 4000 bis 8000 t pro Jahr.
Ebenfalls sind mittlerweile geeignete Pyrolysetechnologien im industriellen Maßstab verfügbar, um auch aus verfahrenstechnischer Sicht keine Hindernisse in einer möglichen Umsetzung zu generieren.

7 Verwertung von Pyrolysegas

Wie bereits angeführt, ist die Verwertung des entstehenden Pyrolysegases von zentraler Bedeutung für die Preisbildung der Holzkohle.
Eine gängige Verwertungsvariante ist der Einsatz als Brennstoff zur Bereitstellung von Wärme oder elektrischer Energie. Die Extraktion von Ölen und Treibstoffen stellt eine weitere Option dar, ist aber mit hohem verfahrenstechnischen Aufwand verbunden.
Um eine möglichst effiziente Verwertung zu finden und schlechte Wirkungsgrade zu vermeiden, wurde auch der direkte Einsatz in der Metallurgie als Reduktionsmittel untersucht. Da das Nebenprodukt Wälzschlacke aus dem Stahlwerksstaubrecycling zunehmend zu Problemen hinsichtlich Deponiemöglichkeiten führt, wurde eine Reduktion mithilfe des Pyrolysegases angedacht. Dabei galt es, noch vorhandenes Zink zu reduzieren und in gasförmigem Zustand auszubringen, sowie eine Form von niederqualitativem Eisenschwamm zu erzeugen.
Die Untersuchungen erfolgten in Retorten unterschiedlicher Größen, die Ergebnisse der Versuche im 25-kg-Maßstab sind im Folgenden detaillierter diskutiert. In den einzelnen Kampagnen wurde die Temperatur zwischen 1000 und 1150 °C variiert. Die Behandlungsdauer betrug 2 h, die Stöchiometrie, gemessen an Zink- und Eisenoxid, lag bei einem Faktor von eins bis drei. Ebenfalls wurde zwischen zwei Pyrolysegasvarianten unterschieden. Gas I enthielt neben CH4, CO und H2 als Hauptkomponenten auch 20 % CO2, Gas II enthielt kein CO2 und die anderen Komponenten in gleichem Verhältnis wie Gas I.
Abb. 3 illustriert die Retorte sowie die erzielten Metall-Ausbringungsraten ausgewählter Versuche.
Die Ergebnisse zeigen eine fast vollständige Eisenreduktion. Für Zink werden Ausbringen von bis zu 80 % erreicht, was bei einem Zink-Ausgangsgehalt von lediglich 8 % ein zufriedenstellender Wert ist (Pichler 2015).
Das unverbrauchte Gas kann nachverbrannt werden, um damit die Retorte zu beheizen. Somit wäre sowohl der Wälzprozess als auch die nachgeschaltete Schlackenreduktion im vorliegenden Konzept CO2-neutral.

8 Zusammenfassung

Die Verwendung von Holzkohle aus Biomasse zeigt eine vergleichsweise kurzfristig realisierbare Möglichkeit zur Vermeidung eines CO2-Footprints in metallurgischen Prozessen. Berücksichtigt man die steigenden Kosten für CO2-Zertifikate, sind auch die erhöhten Kosten von Holzkohle kaum noch als negatives Argument zu nennen. Speziell im Bereich kleinerer metallurgischer Anlagen sollte auch die Verfügbarkeit von notwendigen Biomassen kein Hindernis darstellen und bei geeigneter Planung und Logistik die Bereitstellung größerer Mengen ebenfalls realisierbar sein. Eine wesentliche Rolle nimmt die Verwertung des entstehenden Pyrolysegases ein. Dabei sind energetische Verwertungsszenarien als wahrscheinlich am einfachsten realisierbare Variante zu sehen. Untersuchungen zur Nutzung in metallurgischen Prozessen zeigen zufriedenstellende Ergebnisse, benötigen aber noch weitere Forschung und Entwicklung.
Zusammenfassend lässt sich feststellen, dass Holzkohlen aus Biomasse eine interessante Alternative zu fossilen Kohlenstoffträgern in der Nichteisenmetallurgie darstellen, ohne dabei neue Prozessentwicklungen notwendig zu machen.
Open Access Dieser Artikel wird unter der Creative Commons Namensnennung 4.0 International Lizenz veröffentlicht, welche die Nutzung, Vervielfältigung, Bearbeitung, Verbreitung und Wiedergabe in jeglichem Medium und Format erlaubt, sofern Sie den/die ursprünglichen Autor(en) und die Quelle ordnungsgemäß nennen, einen Link zur Creative Commons Lizenz beifügen und angeben, ob Änderungen vorgenommen wurden.
Die in diesem Artikel enthaltenen Bilder und sonstiges Drittmaterial unterliegen ebenfalls der genannten Creative Commons Lizenz, sofern sich aus der Abbildungslegende nichts anderes ergibt. Sofern das betreffende Material nicht unter der genannten Creative Commons Lizenz steht und die betreffende Handlung nicht nach gesetzlichen Vorschriften erlaubt ist, ist für die oben aufgeführten Weiterverwendungen des Materials die Einwilligung des jeweiligen Rechteinhabers einzuholen.
Weitere Details zur Lizenz entnehmen Sie bitte der Lizenzinformation auf http://​creativecommons.​org/​licenses/​by/​4.​0/​deed.​de.

Hinweis des Verlags

Der Verlag bleibt in Hinblick auf geografische Zuordnungen und Gebietsbezeichnungen in veröffentlichten Karten und Institutsadressen neutral.
download
DOWNLOAD
print
DRUCKEN
Titel
Holzkohle als CO2-neutrales Reduktionsmittel in Recyclingprozessen der Nichteisenmetallurgie
Verfasst von
Assoc. Prof. DI Dr. Jürgen Antrekowitsch
Christian Dornig
Gustav Hanke
Publikationsdatum
30.11.2021
Verlag
Springer Vienna
Erschienen in
Österreichische Wasser- und Abfallwirtschaft / Ausgabe 1-2/2022
Print ISSN: 0945-358X
Elektronische ISSN: 1613-7566
DOI
https://doi.org/10.1007/s00506-021-00823-8
Zurück zum Zitat Griessacher T.: Einsatzmöglichkeiten von Biomasse als Reduktionsmittel in metallurgischen Recyclingprozessen. Dissertation, Montanuniversität, Leoben (2012).
Zurück zum Zitat ISO 18894:2018-02: Coke—Determination of coke reactivity index (CRI) and coke strength after reaction (CSR) (2018).
Zurück zum Zitat Monsen B., Tangstad M., Midtgaard H.: Use of Charcoal in Silicomanganese Production. Proc. of the Innovations in the Ferro Alloy Industry, Infacon X (2004), 392–404.
Zurück zum Zitat Pichler, Ch.: Verwertungsstrategien von Wälzschlacke, Dissertation, Montanuniversität, Leoben (2015)
Zurück zum Zitat Rodero J. I. et al.: Blast furnace and metallurgical coke’s reactivity and its determination by thermal gravimetric analysis. Ironmaking and Steelmaking, 42 (2015), 618–625.CrossRef