Zum Inhalt

Including biochar’s soil effects in lifecycle assessment: application to a practice-oriented case study in Aguascalientes, Mexico

  • Open Access
  • 13.08.2025
  • LCA FOR AGRICULTURE
Erschienen in:

Aktivieren Sie unsere intelligente Suche, um passende Fachinhalte oder Patente zu finden.

search-config
loading …

Abstract

Diese Studie untersucht die entscheidende Rolle der Bodeneffekte von Biokohle für nachhaltige Landwirtschaft und Klimaschutz. Es bietet eine detaillierte Untersuchung, wie diese Effekte in Ökobilanzen integriert werden können, um eine umfassende Umweltbewertung anzubieten. Die Forschung identifiziert und bewertet verschiedene Bodeneffekte, wie Nährstoffretention, mikrobielle Aktivität und Wasserpufferkapazität, wobei ihre Auswirkungen auf die Produktivität der Pflanzen und die Bodengesundheit hervorgehoben werden. Die Studie befasst sich auch mit den Herausforderungen und Grenzen der Einbeziehung dieser Effekte in die Ökobilanz und betont die Notwendigkeit kontextspezifischer Daten und langfristiger empirischer Studien. Anhand einer Fallstudie in Aguascalientes, Mexiko, zeigen die Forschungen die signifikanten ökologischen Vorteile von Biokohle, darunter die Verringerung der Treibhausgasemissionen und die Verbesserung der Bodenqualität. Die Ergebnisse unterstreichen die Bedeutung einer maßgeschneiderten Produktion und Anwendung von Biokohle zur Maximierung ihres ökologischen Nutzens und bieten wertvolle Erkenntnisse für Fachleute in den Bereichen Landwirtschaft, Umweltberatung und Abfallmanagement.
Communicated by Bradley Ridoutt.

Supplementary Information

The online version contains supplementary material available at https://​doi.​org/​10.​1007/​s11367-025-02517-9.

Publisher's Note

Springer Nature remains neutral with regard to jurisdictional claims in published maps and institutional affiliations.

1 Introduction

Our planet’s most essential means to sustain biodiverse life, its atmosphere and upper layers of soil, are under increasing pressure due to anthropogenic activity. The former suffers from an over-abundance of inorganic carbon (CO2, CH4) caused by practices like deforestation and fossil fuel combustion (Allen, 2018). The latter is rampantly degrading due to decreases in soil organic carbon (SOC) caused by industrial agriculture and as a result of climate change (Ferreira 2022).
Biochar is a carbon-rich material that can be produced from any organic waste by heating it under low oxygen conditions, a process called pyrolysis. During this process, photosynthetic carbon is sequestered in a stable form in biochar’s structure. Application of biochar to agricultural fields results in the expression of numerous (mostly beneficial) ‘soil effects’ (or ‘co-benefit’), caused mainly by biochar’s high porosity and cation-exchange capacity (CEC). These soil effects include nutrient retention, microbial activity, and water buffering capacity, which often lead to an increase in crop productivity. The perceived expression of biochar’s soil effects is context-specific and is determined by local soil properties, agricultural practices, climate conditions, biochar physiochemical properties, and application rates (Lehmann et al. 2015; Tisserant et al. 2019).
While biochar as a soil amendment has seen some attention in life cycle assessment (LCA) research, biochar’s soil effects have not been represented extensively. While more than 20 biochar soil effects have been reported, only 4 of these have been included in LCA studies (N2O-emission reduction, crop yield increase, fertilizer use reduction, CH4-emission reduction). Matuštík el al, (2020) provides an overview of biochar LCA studies and how these have included soil effects (either by substitution of crop production or fertilizer use or negative intervention of N2O or CH4). Most LCA studies consider none or a single soil effect, often focussing on the climate change impact category. The present study assesses all empirically reported soil effects encountered in literature at the time of writing (see Table 1 in the methodology for all references).
Table 1
Individual assessment of each soil effect
Effect ID
Impacts at the end of the cause-effect chain
Expressible as intervention or economic flow (EF)
Data availability/selection (CF = controlling factor in Tisserant (2019))
Included in previous LCA studies
Crop productivity and yield
Potential displacement of agricultural impacts elsewhere1
EF: crop production (substitution)
Sufficient. CF. Meta-analyses. Long-term effect scarcely researched (Ye et al. 2020; Mondragón-Sánchez et al. 2021)
Yes, multiple times, as part of the functional unit or by substitution (Wang et al. 2014)
 
Increase in crop residue handling and treatment impacts
EF: crop residue treatment
Insufficient
No
Water retention and availability2
Reduction of impacts from irrigation
EF: irrigation (substitution)
Sufficient. CF. Site-specific experimental laboratory data, long-term effect not researched (Liu et al. 2017; Flesch 2020)
Yes, only once, by substitution of irrigation (Marzeddu et al. 2021)
Nutrient retention and availability
Fertilizer production and broadcaster application reduction
EF: fertilizer production/broadcaster application (substitution)
Sufficient. CF. Meta-analyses. Data reported as reduction in leaching without distinction between fertilizer use reduction and retention effect beyond reduction. Long-term effect not researched but hypothesized to persist. Atmospheric N emissions accounted in resp. effect (Liu et al. 2019; Borchard et al. 2019)
Yes, multiple times, by substitution of fertilizer production (Roberts et al. 2010)
 
Fertilizer use reduction + nutrient leaching reduction beyond fertilizer use reduction
Intervention: nitrate, phosphate, phosphorus
 
No
Microbial activity and biodiversity
Increase in mycorrhizal activity
No
No
 
Shift in soil microbial community composition
No
No
 
Increase in total microbial biomass
No
No
Soil N2O emissions
N2O: Impacts on a.o. acidification and climate change
Intervention
Sufficient. CF. Meta-analyses: long-term effect not researched, suspected transiency (Borchard et al. 2019)
Yes, multiple times, as intervention (Azzi et al. 2021)
Soil NOx emissions
NOx: Impacts on a.o. acidification and eutrophication
Ditto
Sufficient but scarce: long-term effect not researched, hypothesized transiency (Nelissen et al. 2014)
No
Soil NH3 emissions
NH3: Impacts on a.o. acidification and eutrophication
Ditto
Sufficient but scarce CF. Long-term effect not researched, hypothesized transiency (Liu et al. 2019)
No
Soil CH4 emissions
CH4: Impacts on a.o. climate change and photochemical oxidation
Ditto
Sufficient. CF. Meta-analyses: large variability and long-term effect not researched (Ji et al. 2018). Mexico pot experimental data available (Aguilar-Chávez et al. 2012), China clay soil field data available (Zhang et al. 2012)
Yes, few times, as intervention (Mohammadi et al. 2016)
Soil CO2 emissions
Modelled in SOC effect
See below
SOC and SIC3
Changes in native SOC and SIC due to biochar priming and induced changes in C mineralization and root C sequestrations affect climate change by long-term C storage or CO2 emissions
Intervention: CO2 to/from long-term carbon stocks
Sufficient. CF. SOC: meta-analyses but large variability. New steady state will be reached after undefined number of years (Wang et al. 2016); SIC: scarce (Dong et al. 2019)
Yes, few times, as intervention of CO2 (Meyer et al. 2012)
Black carbon/particulate matter (PM) soil emissions
Black carbon and other particulate matter (PM10/2.5) may be emitted during or after biochar application, but biochar application has also been suggested as method to attenuate soil PM emissions by conserving soil water and aggregating soil particles
Intervention: PM10/PM2.5 (no intervention yet for black carbon, GWP of 900CO2-eq.)
Insufficient quantitative data. Share of black carbon unknown (Luyima et al. 2021; Gelardi et al. 2019; Ravi et al. 2016)
No
Biochar decomposition emissions and losses from the soil
Decomposition of biochar results in CO2 emissions that reduce its climate benefit
Intervention: CO2 from long-term carbon stocks
Sufficient. Meta-analyses, long-term effect extrapolated (Wang et al. 2016)
Yes, few times, as intervention of CO2 (Wang et al. 2014)
 
Leached or blown-away biochar may reduce the expression of its soil effects. Leached dissolved organic carbon (DOC) and emitted PM are considered in their respective effects
Biochar as intervention4. No characterization factor
Insufficient: fate of non-DOC/PM lost biochar unknown (Tisserant and Cherubini 2019)
No
Toxic compounds in biochar/soil remediation
Toxic compounds in biochar may increase terrestrial ecotoxicity
Intervention: PAHs, dioxins, furans, PCBs, arsenic, aluminium, lead, cadmium, copper, nickel, mercury, zinc, chromium, boron, manganese
Sufficient. CF. Site-specific laboratory experimental data on quantities of toxic compounds in biochar and toxicology tests (Flesch 2020)
No
 
Soil remediation may reduce terrestrial ecotoxicity
Direct effect on impact category
Insufficient (Sizmur et al. 2016)
No
 
Potential reductions of impacts from other soil remediation methods
EF: i.e. thermal treatment, chlorination (substitution)
Insufficient
No
Pesticide immobilization/plant pathogen response
Potential increase/decrease in impacts from pesticide use
EF: pesticide production and intervention: pesticide emissions
Insufficient
No
DOC leaching
DOC leaching from biochar impacts aquatic toxicity. Biochar has also been observed to reduce DOC leaching (Liu et al, 2016)
Intervention: DOC. No CF in CML impact family
Sufficient but scarce: fate of leached DOC largely unclear. Quantity leached differs per soil texture (Liu et al. 2016)
No
Albedo and soil temperature
Potential albedo increase from biochar surface application affects climate change
Intervention: albedo change can be expressed as CO2 equivalent
Sufficient but scarce. More significant during periods without vegetation and with surface application of biochar (Bozzi et al. 2015; Meyer et al. 2012). Expected insignificance on Mexican agricultural soil due to high cover degree and mixed application
Yes, calculated GWP of albedo changes (Meyer et al. 2012)
 
Biochar can stabilize local temperature fluctuations
No
No
pH, liming, CEC, and AEC5
Direct reduction in terrestrial acidification
Biochar as intervention4. No characterization factor
Sufficient but scarce (Dai et al. 2017)
No
 
Potential reductions of impacts from liming
EF: liming (substitution)
Sufficient but scarce, biochar CaCO3 equivalent available (Singh et al. 2017). No liming in Aguascalientes
No
Soil structure and erosion6
Soil recovery/degradation may influence land-use change
EF: land transformation
Insufficient
No
Fire hazard
Soil fires aggravated by biochar impact a.o. climate change and human toxicity
No
No
Plant ecophysiology
None, intermediate effect accounted in a.o. human toxicity and crop yield
No
Nutrient cycle loss
Excessive nutrient removal may lead to land degradation
EF: land transformation
Insufficient
No
Future field fertility
Enhanced soil fertility after specified time horizon
No
No
Weed competition increase
Shift in plant biodiversity (O’Neil et al. 2021)
No
No
Seed germination
None, intermediate effect accounted for in crop productivity and yield
No
Quantifying biochar’s soil effects with LCA provides specific data to enhance its adaptation. In fact, biochar can be ‘tailored’ by playing with the way it is produced (e.g. feedstock, pyrolysis conditions), pre-treated (e.g. quenching, activation, nutrient/microbe charging), or applied (e.g. amount, soil type, climate conditions, crop type). Change of the physiochemical properties of the biochar influences the specific effect in the soil (Tisserant and Cherubini 2019). LCA evaluates the positive and negative environmental effects of biochar to get a quantitative understanding of its benefits and risks per lifecycle stage and soil effect. This information can then be used to tailor the production and application of biochar to maximize its benefits for the environment. According to the International Reference Life Cycle Data System (ILCD) framework, this corresponds to micro-level decision support, which guides product-level choices such as technology selection and design (Chomkhamsri et al. 2011). LCA data can also be used to compare the environmental effects of biochar and other organic waste valorization options (e.g. composting, anaerobic digestion, waste-to-energy incineration). These insights can be used for ILCD meso/macro-level decision support (public policy or strategy). Lastly, biochar’s effect on climate change mitigation goes further than the carbon that is sequestered in its structure. It may decrease soil-related N2O and CH4 emissions, stabilize native soil carbon, and potentially reduce land-use change as a result from crop yield increases (Azzi et al. 2021). These soil effects are not included in biochar carbon credit certification methodologies, but their relative significance should be researched (Etter et al. 2021).
The goal of this study is to establish a consistent approach to translate biochar soil effect literature data into inventory data and analyze the conceptual applicability of LCA to model soil effects. To support this objective, an LCA case study will serve as a practical test of the proposed approach by analyzing a biochar system alongside alternative waste biomass applications in Aguascalientes, Mexico.

2 Methodology

The LCI approach to consistently include biochar’s soil effects in LCA was developed through literature study and reasoning (2.1) and exemplified through a case study (2.2).

2.1 Development of the LCI approach

The approach follows ISO 14040 along with the general handbook of Guinée (2002). LCA technical frameworks from (Azzi et al. 2021; Kløverpris et al. 2020) were used. Azzi presents an evaluation framework for biochar LCA studies to make the biochar end-of-life and the reference situation explicit, laying the foundation for the strategy to translate literature data to inventory results. Kløverpris elaborates on the inclusion of lifecycle impacts from changes in agricultural practices and subsequent crop yield changes. Their insights were used in the choice of functional unit and allocation method.

2.1.1 Goal and scope definition

The production and soil application of biochar is done for multiple purposes, like.
i.
Carbon abatement
 
ii.
Organic waste treatment
 
iii.
Soil enhancement and crop yield increases
 
iv.
Water saving
 
As a result, biochar LCA studies have chosen a wide variety of functional units (e.g. abatement of x ton CO2, treatment of x ton organic waste, production of x ton maize) (Matuštík et al. 2020). The functional unit of the LCA depends on the goal of the study. For example, if a municipality wants to compare different waste valorization options (composting, biochar, waste-to-energy), the functional unit needs to be like ‘one ton of waste valorised’ in order to compare the alternatives. However, if the goal is to compare the environmental impact of different crop systems, a functional unit like ‘one ton of agricultural product’ is applicable.
In many cases, the application of biochar to the field increases annual crop yields (Lehmann et al. 2015). If you assume that the total demand for crops in the world remains the same, an increase in crop yield on field A would result in less land required for that crop on field B (Fig. 1). Field B can then be used for another purpose, like reforestation, a different crop, or construction of real estate. This effect of biochar is important to include in the LCA, as it may have a significant impact. (Kløverpris et al. 2020) presents a framework to include such changes in agricultural output in the LCA study through a consequential approach. They propose system expansion, where the environmental impacts of the crop originally produced on field B may be subtracted from the system on field A (displacement). Net post-harvest environmental impacts remain the same, as the agricultural output remains the same. The crop is now produced on field A instead of field B. An interesting question that Kløverpris (2020) discusses is how to determine the environmental impacts of the crop previously produced on field B. Instead of conventional crop production, a less competitive supplier might be pushed out of the market as a result of the yield increase on field A. To estimate even more complex consequences of yield increases, indirect land-use change (ILUC) models may even be necessary. For simplicity in this study, simple system expansion is chosen, where the environmental impacts of field B are assumed to be the same as field A in the original situation without biochar. Although not mentioned in the ISO standards, this is often referred to as substitution instead of system expansion, as we remain with only a single function of the system (Tillman et al. 1994).
Fig. 1
Biochar application may increase the crop yield on field A by ΔQ. This displaces the need for production on field B by—ΔQ, assuming that the total crop demand (Q) remains the same. This can be included in the LCA by substitution (often referred to as system expansion).
Adapted from Kløverpris (2020)
Bild vergrößern
Some biochar soil effects are transient (e.g. N2O emission reduction), while others have shown persistence for many years. The discovery of hyper-fertile Amazonian soils believed to be amended with biochar thousands of years ago is proof of potential strong persistence (Gurwick et al. 2013; Lehmann et al. 2015). The combination of transient and persistent soil effects means that a temporal dimension needs to be included in the functional unit and that a finite time horizon needs to be decided for the LCA. If there is no time horizon, biochar’s environmental effect becomes infinitely large. If there is long-term empirical data of a soil effect showing changes in expression over time, it can be included in the model through time ramps or attenuation factors.
If biomass is grown specifically to produce biochar, the environmental impacts from the production of the crop should be included in the LCA’s system boundaries. However, biochar is ideally produced from waste biomass that has no recyclability value (Matuštík et al. 2022). Therefore, the waste biomass may enter the biochar system free of environmental burdens (cut-off). In case the waste biomass is not used to produce biochar, it would have a different ‘status-quo’ fate. This fate needs to be included in the LCA, either as an alternative to the biochar system or as an avoided burden in the biochar system (through substitution). Some of biochar’s soil effects may also lead to avoided burdens. For example, when biochar increases soil water and nutrient retention, burdens from irrigation and fertilization may be avoided.

2.1.2 Inventory analysis

Literature research was done to identify all of biochar’s soil effects for which empirical evidence has been found. Most soil effects are described in (Tisserant and Cherubini 2019), though several soil effects are only mentioned in one or two more recent papers (e.g. O’neil, 2021). The full list of identified soil effects with respective sources is provided in Table 1 in the Results section.
The application of biochar to the soil causes a complex cause-effect chain of soil interactions. For example, soil microbial activity thrives in biochar’s macropores, leading to changes in soil organic carbon and structure, which in turn affect soil water and nutrient retention. (Azzi et al. 2021) argues that in order to avoid double-counting, only soil effects that occur at the end of the cause-effect chain should be included in the LCA model. To translate this complex chain of soil interactions into LCA inventory data, the cause-effect chain may affect LCA impact categories either through an intervention (e.g. N2O-emission reduction) or an economic flow (e.g. reduction of fertiliser use). Since biochar has a mostly positive effect on the environment, the interventions are mostly negative and the economic flows are mostly avoided burdens (by substitution).
Some soil effects are intermediate; they do not directly entail interventions or economic flows but only through other soil effects which they influence. For example, an increase in seed germination rate due to biochar application will be reflected in a higher crop yield. Other soil effects (e.g. a change in soil microbial diversity) may affect the environment in a way that is currently not quantifiable through interventions or due to missing or disputed characterization models and impact categories (Vrasdonk et al. 2019). These soil effects should be included in the LCA model, but cannot be included at this time. Similarly, soil effects for which insufficient empirical data is available should conceptually be included, but may not be included if the goal of the LCA study requires high-quality and precise data. Every identified biochar soil effect was assessed to determine whether they should be modelled conceptually, and whether they can be modelled realistically.
Empirical studies that report biochar soil effect data often do this as a percentage increase or decrease from a baseline situation without biochar. In order to quantify the soil effects as LCA inventory data, a baseline situation with agricultural inputs (fertilization, irrigation, etc.) and outputs (crop yield) along with field emissions (e.g. CH4, N2O, etc.) need to be established for the studied field.
While biochar’s soil effects depend greatly on local climate and soil conditions and are therefore hard to predict, there are factors that have some predictive power on the expression of certain soil effects. (Tisserant et al. 2019) calls these ‘controlling factors’ and provides a great overview on available research on this topic (in their supplementary information). For example, the selection of the feedstock (e.g. wood, sludge) to produce biochar determines its micro and microporosity and therefore its effect on soil hydrology. These controlling factors were used to select the most relevant soil effect data for the studied biochar system.

2.2 Application of the LCI approach

The reasoning of the LCI approach in Chapter 2.1 is exemplified through a case study.

2.2.1 Goal and scope definition

Aguascalientes was chosen as a case study, as the state suffers from poor soil quality and prior scientific research on biochar as a soil amendment has been conducted (Berger and Flesch 2018). A hypothetical biochar system was configured based on interviews with local farmers, researchers, and (governmental) agricultural institutes. The interviews followed an unstructured open format and were intended to get a better understanding of the context of biochar application. A flowchart of the biochar system processes and an overview of the most important assumptions (production conditions, application rate, etc.) are provided in Fig. 6 and Table 3 in the appendix.
Aguascalientes has an enormous unutilized organic waste stock (Berger and Flesch 2018). In this case, an interesting goal of the study would be to compare biochar with other waste valorization options. A well-suited functional unit is then defined as ‘per year for one ton organic waste utilized.’
The status-quo fate of the waste biomass and other existing valorization methods in Aguascalientes were considered as alternatives to the biochar system. From the open interviews and the work of (Berger and Flesch 2018), several sources of waste biomass were identified that are well-suited to produce biochar:
i.
Small branches and leaves (trimmings) from nut trees, forestry, vineyards, and municipal parks that are often incinerated in the field by ranch owners (open burning).
 
ii.
Organic waste at the municipal landfill (60–70% of the total waste is organic) that is often brought in pre-separated.
 
iii.
Woody waste at the municipal compost that is difficult to compost.
 
iv.
Residues from nopal and tomato/pepper wintering, nut shells, and coconut fibre.
 
Based on the current fate of these biomass sources in Aguascalientes, 3 alternative waste valorization options were included as alternatives to the biochar system in the study (incineration/open burning, fuel in brick-firing, and landfilling). The flowcharts and reference flows of the alternative systems are provided in Fig. 7 in the appendix.
As baseline emissions, the production of maize grain from EcoInvent v3.4—cut-off by classification was chosen. This same process was also chosen as an estimate for the avoided burdens from the biochar-induced yield increase (substitution). We assumed a time horizon of 30 years in light of 2050 climate agreements following the approach of Wang (2014).
In Aguascalientes, there is a mixture of clayey and sandy soils (cambisol, vertisol, phaeozem, kastañozem, leptosol, calcisol) that are rather degraded, dry, and acidic (Flesch 2020; INEGI, n.d.). These factors were used as input to select applicable soil effect data using the controlling factors from (Tisserant and Cherubini 2019).

2.2.2 Inventory analysis

Each identified soil effect was analyzed based on the proposed LCI approach. Table 1 below can be read from left to right, with column 2 as condition if the effect should be modelled and columns 3 and 4 as conditions if the effect can be modelled. For the purpose of this exploratory study, soil effects with any quantitative empirical data as indicated in column 4 can be included (labelled as ‘sufficient’). Columns 2 and 3 result from following the approach in Fig. 2, and column 4 followed from a literature review of empirical soil effect data. When a condition for inclusion is not met, the text in the cell will be highlighted in red/italics and subsequent conditions will not be considered.
Fig. 2
Biochar application induces a complex cause-effect chain of soil interactions. To avoid double counting, only processes at the end of the chain should be included.
Adapted from Azzi (2021)
Bild vergrößern
(1) Biochar application may result in yield increases or reduction in agricultural inputs to achieve the same yield, or a combination of both. (2) Biochar has an effect on soil hydrology beyond its effect on soil water holding capacity (WHC): it increases the amount of plant available water (PAW). (3) Organic and inorganic carbon sequestered in biochar is not considered in this soil effect but modelled in the upstream biochar production process. (4) Biochar itself can be modelled as intervention if characterization factors are available. (5) Biochar’s high cation-exchange capacity (CEC) is the intermediate reason for the expression of many of its soil benefits. (6) Negative effects on structure and erosion occur when organic matter is removed from the field to produce biochar. Positive effects occur when biochar is applied. CF, controlling factor as in (Tisserant Cherubini 2019); GWP, global warming potential; SIC, soil inorganic carbon; SOC, soil organic carbon; DOC, dissolved organic carbon; PM, particulate matter; EF, economic flow; PAH, polycyclic aromatic hydrocarbon; PCB, polychlorinated biphenyl; CEC, cation-exchange capacity; AEC, anion exchange capacity.
Out of the 23 reported soil effects in Table 1, 30 environmental impacts at the end of the cause-effect chain were identified. Twenty-one of these environmental impacts can be modelled as either an intervention or economic flow (Table 1, column 3) in the current state of lifecycle inventory (LCI) and lifecycle impact assessment (LCIA). For almost half of these, there is insufficient quantitative empirical literature data to be included at all, leaving 12 impacts at the end of the cause-effect chain that could be included in our LCA case study. These 12 are elaborated in Table 2 below.
Table 2
Inclusion of soil effects in the case study
Impacts at the end of the cause-effect chain
Modelled as
Potential displacement of agricultural impacts elsewhere
Substitution of maize grain production Argentina (AR) (EI). The dataset of Argentina was chosen because it is expected to most closely resemble the situation in Mexico, for which no extensive data was available. L/M/H: 0/5/25% displacement of 7.4 ton/ha.year. Modelled linearly for full 30 years
Reduction of impacts from irrigation
Substitution of irrigation US (EI). US chosen to resemble Mexico in large fraction of well-water. L/M/H: 108–232-347 m3/ha.year displaced. Modelled linearly for full 30 years
Fertilizer production and broadcaster application reduction
Substitution of urea, phosphate and nitrogen fertilizer production and fertilizing by broadcast (EI). L/M/H: 5/10/20% displaced of maize grain AR baseline. Modelled linearly for full 30 years
Fertilizer use reduction + nutrient leaching reduction beyond fertilizer use reduction
Interventions in of nitrate, phosphate, and phosphorus. L/M/H: 10/20/50% for N and L/M/H: − 20/20/80% for P emission reduction from maize grain Agentina baseline. Modelled linearly for full 30 years
N2O: Impacts on a.o. acidification and climate change
Intervention in of N2O. L/M/H: 17% (1 year transient)/40% (1yr transient)/54% (30 years) from maize grain AR baseline
NOx: Impacts on a.o. acidification and eutrophication
Intervention in of NOx. L/M/H: 0%/50% (1 year transient)/50% (30 years) from maize grain AR baseline
NH3: Impacts on a.o. acidification and eutrophication
Intervention in/out of NH3. L/M/H: − 30%(1 year transient)/0%/12% (30 years) from maize grain AR baseline
CH4: Impacts on a.o. climate change and photochemical oxidation
Intervention in/out of CH4. L/M/H: − 0.4 (30 years)/0.8 (1 year transient)/0.8 (30 years) kg/ha.year
Changes in native SOC and SIC due to biochar priming and induced changes in C mineralization and root C sequestrations affect climate change by long-term C storage or CO2 emissions
Intervention in/out of CO2 to long-term soil biomass stock. L/M/H: − 0.08/0.08/0.12 ton C/ha.year (1 ton C = 3.67 ton CO2). Modelled linearly for full 30 years
Decomposition of biochar results in CO2 emissions that reduce its climate benefit
Intervention in/out of CO2 from long-term soil biomass stock. L/M/H: 3/5/7% of biochar decomposed linearly after 30 years
Toxic compounds in biochar may increase terrestrial ecotoxicity
Intervention in/out of toxic substances based on averages from biochar analyses from Flesch (2020). L-M-H: 100%/1%/− 1% of compounds remediated or added to soil upon first application
DOC leaching from biochar impacts aquatic toxicity. Biochar has also been observed to reduce DOC leaching
Intervention out of DOC. L/M/H: 0/0.06/0.18 wt% from biochar
AR Argentina, US United States, EI EcoInvent, L/M/H low/medium/high scenarios, SOC soil organic carbon, SIC soil inorganic carbon, DOC dissolved organic carbon
To evaluate the robustness of the results and account for variability in input assumptions, a scenario analysis was used to compare reasonably best-case, most likely-case, and worst-case (high-med-low) outcomes for key soil effects in the biochar system, in line with ILCD guidelines (Chomkhamsri et al. 2011). As the contribution of biochar’s effect on crop yield was expected to be dominant, a fourth scenario was included where the soil effects are set at their high values, but the yield increase is set at medium. The medium scenario was based on an average soil effect expression that can be expected in the context of the soil Aguascalientes (using the controlling factors). For example, a controlling factor for yield increase is the current soil quality. Since the soil in Aguascalientes is somewhat dry, degraded, acid, and nutrient poor, a relatively high yield increase can be expected. The low and high scenarios were based on a worst and best-case scenario encountered in empirical data, respectively. The chosen values per soil effect are elaborated in Table 2. No scenario analysis was done for any of the upstream processes in the biochar system, as this has been done in previous studies and this inventory data is much more reliable in literature (Matuštík et al. 2020). The soil effects were either modelled as transient for 1 year or linearly expressed over the entire time horizon of 30 years (Table 2). Time ramps or attenuation factors were not used for any soil effect, as sufficient empirical data showing quantitative changes in expression through time was not available.

3 Results

3.1 Impact assessment

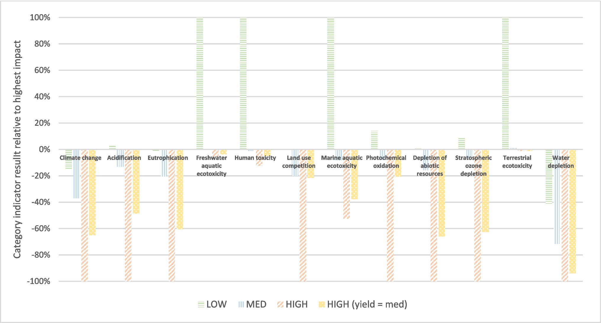
All midpoint CML ‘baseline’ impact categories elaborated in Guinée (2002) were considered along with ReCiPe’s ‘water depletion’ (H) midpoint category to reflect Aguascalientes’ water crisis. The CML ‘climate change’ category was swapped for IPCC’s ‘climate change, GWP100a’ impact category as it includes more characterization factors relevant for this study. The category indicator results of the biochar system were compared with the results of the field incineration, brick-firing, and landfilling alternatives. The results are displayed as a percentage relative to the system with the highest impact in order to plot the results of each category indicator in one graph (Fig. 3).
Fig. 3
Category indicator results of the four systems, assuming the ‘medium’ soil effect scenario and a biochar application rate of 20 ton/ha
Bild vergrößern
The biochar system results in a net environmental benefit (negative category indicator results) for most (10 out of 12) impact categories, with the exception of freshwater aquatic ecotoxicity and terrestrial ecotoxicity. The biochar system scores better than the alternatives in the categories acidification, eutrophication, human toxicity, land use competition, photochemical oxidation, and water depletion. The brick-firing alternative scores better in the other half of the categories.
The brick-firing system performs well because the biomass is used to replace natural gas. However, it has to be noted that only larger pieces of wood can be used in brick-firing. Since biochar can be produced from any type of waste biomass (e.g. small trimmings), it does not need to reduce the amount of biomass that is available for brick-firing. The brick-firing alternative was included as a reference to the environmental impacts of the biochar system and not necessarily as a direct substitute. Moreover, brick-firing is not exclusively done using natural gas, but more sustainable heating systems like solar furnaces are in use (Villeda- Muñoz et al. 2011).
Field incineration and landfilling only lead to environmental impacts (though it has to be noted that carbon storage in a ‘wood vault’ by burying wood was not included in the study). These can also be seen as potential (avoided) burdens of the biochar system when the waste biomass is used to produce biochar instead of landfilled or incinerated. This increases biochar’s environmental benefit substantially in the categories acidification, human toxicity, photochemical oxidation, and freshwater aquatic ecotoxicity. If the production of biochar prevents landfilling or field incineration, biochar’s net effect on freshwater aquatic ecotoxicity is even beneficial (meaning that the only net environmental impact that remains is on terrestrial ecotoxicity).
For the biochar system, an analysis was done to identify the relative contribution of the production of biochar (feedstock transportation, pyrolysis, Kon-Tiki construction), biochar preparation (pre-treatment, biochar transportation, dispersion on the soil), and the soil effects. The absolute values of the category indicator results are provided in Table 4 in the appendix (Fig. 4).
Fig. 4
Contribution analysis of the biochar system, assuming the ‘medium’ soil effect scenario and a biochar application rate of 20 ton/ha
Bild vergrößern
Biochar’s soil effects are the biggest contributor to its environmental effect for every impact category except climate change. The net climate change reduction was mainly caused by the carbon sequestered in a stable form during pyrolysis (accounted for in ‘production’). While part of this carbon decomposes back to the atmosphere (accounted for in ‘soil effects’), the soil effects still resulted in a net climate change reduction. This was caused predominantly by the biochar-induced increase in native SOC (15% of category indicator total) and by the avoided land use change (13%) as a result of the maize yield increase. The acidification reduction was caused almost exclusively (90%) by biochar’s crop yield boost, which displaced NH3 emissions from maize production elsewhere. The medium soil effect scenario assumed no biochar-induced changes in NH3 volatilization on the studied site, but the low and high scenarios do see a negative and positive (resp.) impact of this soil effect. The observed reduction in eutrophication can be primarily attributed to biochar’s effect on nutrient retention (41% NO3, 7% P/PO3). Additionally, avoided impacts from biochar’s crop yield boost also contributed significantly (41%). Eminently, the biggest contributor to freshwater and marine aquatic ecotoxicity was the copper introduced to the soil in biochar’s structure, but also the zinc and nickel contributed significantly. On the other hand, avoided impacts from the treatment of spoil, nickel smelter, and sulfidic tailing as a result of biochar’s crop boost and fertilizer production reduction reduced their category indicator results. Biochar’s crop yield boost reduced human toxicity significantly by avoiding land use change for agriculture, but heavy metals present in the biochar increased human toxicity by almost the same amount. Surprisingly, particulate matter (PM10) emissions during pyrolysis only contributed marginally to human toxicity (2%). As expected, land use competition was influenced exclusively by biochar’s yield boost. Similarly, photochemical oxidation was decreased by avoided land use change from biochar’s yield boost. Biochar’s yield boost was also responsible for the decrease in depletion of abiotic resources (40%) along with the reduction in fertilizer production (25%) and irrigation (5%). Stratospheric ozone depletion was reduced by the offsetting of fertilizer production (from biochar’s yield and nutrient retention effect). Biochar’s increase in terrestrial ecotoxicity was caused by the emissions of chromium (46%), mercury (29%), arsenic (20%), zinc (7%), and nickel (2%) contained in its structure. Finally, the reduction in water depletion resulted from biochar’s water retention effect (80%) and its crop yield boost offsetting irrigation elsewhere (20%). Notably, the soil effects that were modelled as transient (N2O, CH4, NOx emissions) did not contribute significantly to any category indicator result.

3.2 Soil effect scenario analysis

The table below displays the results of the scenario analysis.
There is a big difference between the results of the scenarios in all impact categories, indicating that the soil effect data selection is very influential on the total results of the biochar system. The biochar system causes a net environmental impact across 8 impact categories in the low scenario and 2 in the medium scenario, but solely environmental benefits in the high scenario. The results highlight the importance of selecting context-specific soil effect data.
The contribution of the yield increase can be seen by looking at the difference between the two high scenarios. Even though this contribution is substantial, the high scenario with yield set at medium still only leads to net environmental benefits. The yield effect shows considerable variation across different impact categories, being particularly high for land use competition but minimal for water depletion.

3.3 Tailoring biochar to maximize its benefits

Based on the results of the LCA, the following conclusions can be drawn to tailor biochar to maximize its environmental benefit:
  • Producing biochar from biomass that is currently incinerated or landfilled increases its environmental benefits significantly. To also maximize water savings, feedstocks with high macroporosity and low bulk densities are ideal (e.g. trimmings consisting of small branches and leaves).
  • The principal negative environmental effects of biochar were caused by toxic compounds in the biochar that impacted aquatic and terrestrial ecotoxicity. Adjusting production conditions of the Kon-Tiki (by playing with the feedstock amount and time of production) may reduce the risks (Tisserant and Cherubini 2019). Biochars produced at temperatures between 350 and 550 °C show higher PAH concentrations than biochar’s produced outside this range. The biochar that we assumed in our study (from Flesch 2020) was produced at a temperature of ~ 650 °C and still contained a considerable amount of PAHs (although no serious side effects are expected). Higher pyrolysis reaction times also reduce PAH, VOC, and dioxin concentrations in the biochar. Thus, letting the Kon-Tiki pyrolyze for slightly longer than necessary can be valuable. Pyrolysis temperatures between 400 and 600 °C are however optimal to maximize biochar yields and water savings. Note that food-waste feedstocks (high chlorine content) result in biochars with increased dioxin levels.
  • The environmental impacts associated with producing the Kon-Tiki are negligible, and it results in a higher biochar yield compared to a conically shaped hole in the ground, making its production worthwhile. A modified Kon-Tiki with a grill that allows the utilization of the waste heat is very beneficial.
  • To maximize water savings, it is most important to grind biochar to the particle size that fits the type of soil. Smaller biochar particle sizes work better in sandy soils, and bigger particle sizes in clayey soils (Lehman et al. 2015). It is also important to quench with a minimal amount of water, not only to reduce water use (though quench water is negligible compared to biochar’s water savings), but also to avoid leaching of ash minerals (which play an important role in increasing soil CEC).
  • Transportation impacts of the biochar system were insignificant, though we did assume small transport distances. Previous biochar LCA studies have also concluded low transportation impacts, even with larger transport distances (Matuštík, 2020). As such, it is not essential that biochar production and application sites are directly adjacent.
  • Charging the biochar with wet fertilizer or compost (preferably the one that is applied anyway) is important to reduce PM emissions during transport and handling to prevent high impacts on human toxicity. People who handle biochar should wear masks, gloves, eye protection, and long sleeves, and the biochar should be tightly packed when transported.

4 Discussion

4.1 The conceptual applicability of LCA to model (biochar’s) soil effects

There are some conceptual constraints to accurately include the soil effects of biochar (or other amendment products for that matter) in the LCA model.
Conventional LCA is a linear model, which means that the environmental impacts of a system increase linearly with the output (functional unit) of that system. Biochar’s soil effects do not increase linearly with the amount of biochar applied to the soil (Lehman et al. 2015). In other words, doubling the biochar application rate does not double the expression of its soil effects. The change in expression is different for each soil effect (Tisserant and Cherubini 2019). Therefore, it needs to be assumed that the soil effects are expressed to a certain extent at a certain application rate. Data regarding quantitative differences in soil effect expression at different application rates is not available for most soil effects at present. As a result, the same soil effect expression may have to be assumed for different application rates. This makes the relative contribution of biochar’s soil effects to the entire system’s impacts entirely dependent on the assumed pyrolysis yield (and thus the choice of carbonization technology; Kon-Tiki) and application rate. In case we double the application rate to, e.g. 40 ton/ha, the environmental impact of biochar production and preparation will be doubled, but the soil effect expression will not double in reality. Non-linear LCA models are required to fix this issue. While such models are not yet conventional, approaches for developing them are being increasingly discussed in literature (Li et al. 2020; Pizzol et al. 2021; Qin et al. 2021).
The time horizon (duration) of the soil effects determines the LCA results to a large extent. Doubling the assumed time horizon also doubles the environmental effect of the (non-transient-) soil effects. Where some soil effects are known to be transient (e.g. N2O emission reduction), others have been reported to persist many years after initial biochar application (e.g. nutrient retention) (Tisserant and Cherubini 2019). The Amazonian ‘Terra Preta’ soils are thought to be amended with biochar thousands of years ago and are hyper-fertile to this day (Lehmann et al. 2015). If there are soil effects that are truly expressed for thousands of years, then all upstream production impacts and transient soil effects are negligible in biochar’s lifetime environmental effect. In the present study with a time horizon of 30 years, the impact of the transient soil effects was already minimal. The duration of biochar’s soil effects has not been empirically studied over very long periods of time and can currently only be hypothesized. This time horizon uncertainty troubles a fair comparison of biochar with other waste treatment options. For example, processes such as brick-firing, field incineration, and even mulching have shorter-lasting environmental effects that are easier to predict through time.
LCA is a model focussed on environmental impacts instead of environmental benefits. Despite this, most soil effects could still be modelled as a negative intervention or avoided economic flow. Benefits are thereby reflected as avoided burdens. Environmental benefits may in some cases go further than just being avoided environmental burdens. For example, biochar’s effect on the stimulation and diversification of soil microbial communities goes further than preventing terrestrial ecotoxicity. A biodiversity category indicator is required here, one that does not solely measure loss of biodiversity but soil microbial biodiversity (e.g. species density) as an absolute value that can increase or decrease resulting from biochar application.

4.2 Potential environmental effect of biochar’s soil effects

LCA results indicate that biochar’s soil effects have a profound effect on the environment, which, across most impact categories, overshadow the impacts of the production and preparation phase. While the latter two have been the focus of most previous biochar LCA studies, these results highlight the importance of including the soil effects in the assessment. By valorizing a ton of dry biomass, approximately 22.7 kg of CO2-eq is sequestered each year. This is 0.68 ton of CO2-eq over the entire 30-year time horizon. Due to differences in functional units and the context specificity of biochar systems, this absolute value is poorly comparable to other LCA studies. We can, however, draw conclusions on the relative impact of biochar’s soil effects through its entire life cycle. When properly including biochar’s soil effects in the assessment, their relative significance compared to the production and preparation phase impacts is remarkably high. Previous biochar LCA studies that have included at least some soil effects have made a great variety of different assumptions (Matuštík et al. 2020). Some have only included a transient effect in soil N2O emission reductions, while others have calculated with a significant increase in crop yield. The relative contribution of the soil effects to the total environmental impact therefore varies from marginal to substantial in these studies. From the results of our scenario analysis (Fig. 5), it becomes evident that the outcomes are indeed heavily influenced by the decisions made during the data selection process.
Fig. 5
Relative category indicator results for the entire biochar system for the low-medium–high soil effect scenarios described in Table 1
Bild vergrößern
The contribution analysis (Fig. 4) shows that biochar’s environmental effect reaches further than the carbon sequestered in its structure. In the climate change impact category, this carbon sequestration accounts for 65% of biochar’s mitigation potential. The other 35% is accounted to the soil effects. In all other impact categories, the soil effects have a substantially higher impact than the production and preparation impacts. The soil effects’ impact on climate change mitigation makes it interesting to include (at least some) of them in carbon credit certification methodologies. However, the current unavailability of context-specific soil effect data makes it hard to reliably and accurately include the soil effects, something which is important in such stringent methodologies. With better long-term empirical data, it will be possible to gradually start including soil effects reliably in these methodologies.
The midpoint impact category ‘soil quality’ was not explicitly included as this study followed the well-established impact categories in Guinée (2002). Biochar’s effect on soil quality was indirectly included in the study through the impact categories acidification, terrestrial ecotoxicity, and water depletion. It would be interesting to quantify biochar’s soil effects through this impact category when its characterization models have been further developed.

4.3 Relevance of including biochar’s soil effects in the LCA

Quoting the general handbook on LCA from Guinée (2012), the main purposes of LCA studies are:
I.
Analyzing the origins of problems related to a particular product
 
II.
Comparing improvement variants of a given product
 
III.
Designing new products
 
IV.
Choosing between a number of comparable products
 
There is a concern that contaminants in the source material and substances formed during pyrolysis pose an environmental risk when introduced to the soil. These substances include polycyclic aromatic hydrocarbons (PAHs), polychlorinated biphenyls (PCBs), and some heavy metals (Flesch 2020). In LCA, these interventions can be characterized, and their environmental impact can be quantified through several mid-point impact categories. Their environmental impact can then be compared against biochar’s environmental benefits, such as its effect on soil remediation, to find out if the contaminants pose a comparatively large problem. This works in theory, but it is difficult to characterize high quantities of specific contaminants in mid-point impact categories. The toxicity-related impact categories do not adequately reflect environmental risks of crossing individual toxin thresholds. They are rather an aggregate quantified risk of introducing a variety of compounds that have documented toxic effects on the environment (Crenna et al. 2019). Additionally, multiple toxic compounds detected in biochar’s structure do not have well-established characterization factors (a.o. PAHs, dioxins, furans, PCBs), at least in the IPCC and CML families. Specific compound toxicological risk evaluations as in Flesch (2020) are currently more useful than LCA to analyze problems related to biochar, though LCA could eventually become useful in quantitative comparison of compounds. The analysis in Flesch (2020) concludes that if biochar is applied soundly and adhering to the recommended mass thresholds, no serious adverse effects are to be expected.
The inclusion of biochar’s soil effects in LCA quantifies their environmental effect. This gives insight into which soil effects are causing substantial environmental gain or harm and which have a relatively small impact. This information can be used when tailoring biochar: by changing biochar’s production, treatment, and application conditions, you can manipulate the expression of specific soil effects. For example, if the LCA results highlight that biochar’s effect on soil CH4-emissions significantly reduces the climate change indicator result, it is a good idea to apply more acidic biochar (pH > 9), which can be produced using lower pyrolysis temperatures (~ 350 °C). Similarly, if the addition of dioxins to the soil proves to be a big contributor to the toxicity LCA impact categories, biochar produced from feedstocks high in chlorines should be avoided (e.g. food waste). Information on the effect of biochar’s production and application conditions on the expression of its soil effects is summarized in the review of (Tisserant and Cherubini 2019). Such papers are great for finding options to tailor biochar to maximize certain soil effects. If the LCA goal is to tailor biochar to maximize its environmental benefit, normalization of the category indicator goals is required to be able to compare soil effects that influence different impact categories. While normalization was not done in the present study, biochar’s yield increase soil effect caused the most significant environmental benefit across most impact categories. As such, we conclude that biochar’s effect on crop yield is its most important environmental benefit in Aguascalientes. There is, however, contingency to this conclusion. Biochar’s effect on crop yield only has a significant environmental benefit if crop yield production is displaced elsewhere, i.e. if forests are being spared because the existing cropland can now meet the yield demand. (Ewers et al. 2009) studied this relationship between agricultural yield increase and sparing of land for nature. While there is some negative correlation between yield per square meter and total crop land usage, the specific effect depends greatly on the economy of the country and the type of crops being produced. It is therefore not certain that biochar’s increase in crop yield is always its most beneficial soil effect. The second most important soil effect in Aguascalientes is biochar’s improvement of soil water retention. This was clear before the LCA was conducted. It was not necessary to express biochar’s effect on water savings in an LCA impact category to know the importance of tailoring for this benefit. This may also apply in other cases, where specific soil issues are identified and an LCA is not required to know what biochar’s biggest environmental benefit will be. In these cases, the value of LCA rather lies in allowing the comparison of biochar with other waste valorization, soil remediation, or water-saving options.
Continuing the discussion from the previous point, we discuss the relevance of including biochar’s soil effects in the LCA to compare biochar with alternative products/processes. Alternatives to biochar are a broad term and depend on the specific goal of your project. Alternatives can be other waste valorization options (composting, landfilling, field incineration, brick-firing), other carbon abatement options (direct air capture, reforestation, wetlands restoration), or other water-saving options (mulching, cover crops, conservation tillage). In each case, having the full environmental effect of your product in scope is necessary for a fair comparison. Since we concluded that biochar’s soil effects may have a substantial contribution to its total environmental effect, it needs to be included in the comparison. This also means that any soil effects from, e.g. mulching, cover crops, and reforestation also need to be included in the comparison. Like biochar, similar difficulties in data availability for LCA inclusion are expected here. This calls for a more general and holistic approach to include soil effects in LCA studies. In the present study, biochar was compared with other realistic waste treatment options in Aguascalientes. We found that treating the waste to make biochar was the most beneficial option, though we did not study mulching or composting. Woody trimmings are not well-suited to make compost, and mulching is a more temporary solution. The difficulty of the temporal dimension in comparing, e.g. biochar and mulching soil effects is discussed in the next section.
Limitations to accurately include many of biochar’s soil effects in the LCA were predominantly data-related rather than conceptual (Table 1). The available quantitative soil effect empirical data was mostly short-term (< 1 year) and for one or a few soil types. For several soil effects, no quantitative empirical soil effect data could be found at all. These effects need to be elucidated and quantified through experimental field studies before they can be included in any LCA model.
Many soil effects have only been reported in a handful of studies, where they were quantified in a large range of potential impact (‘scarce’ in Table 1, e.g. soil NH3/NOx emissions). The soil effects that have been researched more extensively (e.g. crop yield, nutrient retention) see large variability in expression through different studies. Even soil effects for which climate- and region-specific data was available saw considerable variability across only three soil types (Flesch 2020).
The use of controlling factors to select literature data proved to be difficult. Since there are many controlling factors for each soil effect, all of which are solely qualitative, the selection of the right data was mostly subjective and called for a high amount of expertise in soil science. As soil effects are often reported as a percentage decrease from a baseline situation, establishing accurate baseline emissions is important but difficult when no comprehensive datasets are available for the studied site. Taking a consequential LCA approach (functional unit, e.g. per kg crop produced) removes the need to establish baseline emissions. Here, you can directly compare all environmental effects of crop production with and without biochar. The downside of such a consequential approach is that you cannot compare the biochar system with alternatives that are not other soil amendments (e.g. waste incineration). Additionally, a consequential approach makes it more difficult (though not impossible) to isolate the environmental effects of biochar, since the biochar-induced yield increase influences the functional unit. Integration of more agriculturally oriented databases (e.g. Agribalyse) with EcoInvent can be a solution to allow the use of baseline emissions for much more agricultural products.
Biochar soil effect data is reported in a great number of studies across many different countries. Due to biochar’s specific expression, greatly depending on its production conditions and the soil conditions it is applied to, it is very important to know the context in order to interpret the soil effect data. It can take a long time to find the production, treatment, and application conditions in research papers that report soil effect data. A biochar-soil classification system may be used in order to standardize soil effect data reporting. Table 3 indicates what such a classification system may look like. The classification holds the most important factors that determine biochar’s expression in the soil: the feedstock, the pyrolysis temperature, and the soil type corresponding to the World Reference Base for Soil Resources (Tisserant and Cherubini 2019). For example, biochar produced from municipal organic waste at a pyrolysis temperature of 600 °C and applied to Vertisol can be classified as MOW600 x VR. Including this classification anywhere soil effect data is reported makes it much easier to interpret the results in a meaningful way.
Table 3
Biochar-soil classification system
 
Anthrosol
Vertisol
Arenosol
Municipal organic waste, 400 °C
MOW400 x AS
MOW400 x VR
MOW400 x AR
Municipal organic waste, 600 °C
MOW600 x AS
MOW600 x VR
MOW600 x AR
Wood trimmings, 400 °C
WTS400 x AS
WTS400 x VR
WTS400 x AR
An enormous amount of long-term quantitative empirical data across different soil types and crops is required to accurately estimate biochar’s soil effects. It is important to assess how accurate the soil effect data needs to be to achieve the LCA study goal. For the goal of the present study (explorative), almost any data was acceptable. For, e.g. stringent carbon credit certification methodologies, there are only several soil effects for which an acceptable quantity and quality of data is available. For most study goals discussed at the start of the discussion, in-order of magnitude estimations are often sufficient to gain insight. Still, several soil effects lack quantitative data to make in-order of magnitude estimations. Biogeochemical models have seen an increase in efficacy in recent biochar research. These models have been suggested as valuable tools to derive soil effect data, especially for biochar-induced changes in soil emissions and nutrient leaching (Kløverpris et al. 2020). Continued development and back-testing with empirical data should allow the use of biogeochemical models to be a great tool to quantify more biochar soil effects.
Biochar as a soil amendment seems to be in some paradox, where almost every scientific article strongly recommends its application, yet practical use is limited (Blenis et al. 2023). Perhaps this occurs because the soil benefits are hidden inside long scientific papers, inaccessible for practical actors. In Aguascalientes, all interviewees had never heard of biochar and were sceptical of the alleged soil benefits due to the information only being available in abstract English papers. It is important that scientific research results are translated to practical guidelines that explain how biochar can best be produced, pre-treated, and applied to achieve specific soil benefits.
The discussion can be concluded by stating that biochar’s soil effects may only be included in the LCA if (I) they do not occur in the middle of the biochar-induced cause-effect chain of soil interactions, (II) they are expressible as interventions or economic flow with well-defined characterization factors, and (III) there is sufficient empirical data available (though data unavailability is not a conceptual limitation). While the first criterion was met for almost all soil effects, the second and third criteria were more challenging. At the current state of life cycle impact assessment (LCIA), not all soil effects can be included in the model with established characterization factors. Continued improvement of LCIA will allow more soil effects (most notably the microbial biodiversity related impacts) to be properly included in the model.

5 Conclusions

Biochar’s soil effects are often overlooked in LCA studies. Even when they are included, the focus is narrowed to just one or a few soil effects, without any consistent approach to select empirical inventory data. In our exploratory LCA case study, we conclude that biochar’s soil effects have a substantial effect on the environment, which may dwarf upstream (production and treatment) impacts. Including the soil effects in the LCA gives valuable insights to tailor biochar to maximize its environmental benefit, along with allowing a fair comparison with other waste valorization and carbon abatement alternatives. To assess the environmental effect of specific toxins being introduced to or sequestered from the soil by biochar application, toxicological risk evaluation is preferred over LCA.
While most soil effects could be included in some form, a highly accurate inclusion in LCA is hindered by several conceptual but mostly data-related limitations. Conceptual limitations include uncertainty of the time horizon of soil effect expression, non-linearity of conventional LCA, missing characterization factors of interventions, and a focus on environmental impacts rather than benefits. An enormous amount of long-term empirical field data is required to gain an accurate quantitative understanding of the expression of biochar’s soil effects through time. Even with the use of controlling factors, inventory data selection remains difficult and partially subjective.
Despite the conceptual and data-related limitations, most soil effects could still be modelled to get in-order of magnitude estimations to draw meaningful conclusions for several LCA study goals. The goal of the LCA study and required accuracy of the results determine how many soil effects may currently be included. Gaining a good understanding of the studied site proved to be very useful in determining the allowable uncertainty in the results.
To advance the quantitative understanding of biochar’s soil effects, biogeochemical models can play a useful role to avoid the need for long-term empirical studies. A model is only as good as its assumptions, so it is important that at least the first years of the model are compared with empirical data. Integration of LCA inventory databases would be useful for any LCA study, in our case especially by linking agricultural databases with EcoInvent.
The essence of research lies in its ability to translate discoveries into meaningful action. While biochar’s soil effects have seen incredible attention in academic literature across many different countries, feedstocks, and soil types, it is time to gather, structure, and classify the data to make it accessible for practical use by farmers.

Acknowledgements

The authors would like to thank INIFAP, SEDREA, Relleno Sanitario San Nicolas, La Huerta, Hacienda de Letras, Hacienda Ridván and Dr. Felix Flesch for their valuable inputs during the visit to Aguascalientes.

Declarations

Conflict of interest

The authors declare no competing interests.
Open Access This article is licensed under a Creative Commons Attribution 4.0 International License, which permits use, sharing, adaptation, distribution and reproduction in any medium or format, as long as you give appropriate credit to the original author(s) and the source, provide a link to the Creative Commons licence, and indicate if changes were made. The images or other third party material in this article are included in the article's Creative Commons licence, unless indicated otherwise in a credit line to the material. If material is not included in the article's Creative Commons licence and your intended use is not permitted by statutory regulation or exceeds the permitted use, you will need to obtain permission directly from the copyright holder. To view a copy of this licence, visit http://​creativecommons.​org/​licenses/​by/​4.​0/​.

Publisher's Note

Springer Nature remains neutral with regard to jurisdictional claims in published maps and institutional affiliations.
download
DOWNLOAD
print
DRUCKEN
Titel
Including biochar’s soil effects in lifecycle assessment: application to a practice-oriented case study in Aguascalientes, Mexico
Verfasst von
Stijn van de Lande
Pia Berger
Gijsbert Korevaar
Publikationsdatum
13.08.2025
Verlag
Springer Berlin Heidelberg
Erschienen in
The International Journal of Life Cycle Assessment / Ausgabe 9/2025
Print ISSN: 0948-3349
Elektronische ISSN: 1614-7502
DOI
https://doi.org/10.1007/s11367-025-02517-9

Appendix

See Figs. 6 and 7.
See Tables 4, 5, 6, 7, 8 and 9.
Fig. 6
Flowchart of the biochar system
Bild vergrößern
Fig. 7
Flowcharts of the alternatives
Bild vergrößern
Table 4
Inventory analysis assumptions for the configuration of the biochar system and the alternatives
Unit process
Main assumptions and system boundaries
Source
Feedstock transportation
Transport over small distances in pick-up trucks for the biochar (10 km), brick-firing (10 km), and landfilling (25 km) systems
Stakeholder interviews for distances. Ecoinvent background data for impacts
Pyrolysis
Production by Kon-Tiki flame curtain kiln, production capacity of 30.5 ton/yr. Pyrolysis yield 23.7wt% dry basis and carbon content biochar 75wt% (woody material). 5% of carbon emissions from long-term biomass stock (illegal logging)
Stakeholder interviews for choice of Kon-Tiki. Flesch (2020) for pyrolysis conditions and carbon content.
Kon-Tiki flame curtain kiln production
Produced by a combination of hot rolling, sheet drawing and welding. 160 kg unalloyed steel required. Kon-Tiki lifespan of 8 years
Stakeholder interviews for available machinery for production. Blueprints of (Schmidt et al. 2014) for steel requirements and lifespan. Ecoinvent background data for impacts from iron extraction, steel production, and processing
Biochar preparation and transport
Well-water (250 kg water per 750 kg biochar) to quench biochar. 2–5 wt% of biochar transformed to PM2.5-PM10, respectively, 2% of which is emitted during preparation and another 3% during transport. Impacts of fertilizer production to charge biochar not allocated to biochar system. Transported in pick-up trucks over 10 km
(Marzeddu et al. 2021) for quench water. Husk ( 2010) for PM. Stakeholder interviews for nutrient charging and transport
Soil application
Elaborated in Table 1. Assumed negligible impacts from broadcaster application. Application rate of biochar at 20 ton/ha (all applied in first year). The functional unit of the system is per ton waste biomass utilized. This means that the literature soil effect data is scaled to inventory data by both the time horizon and a factor to turn waste biomass into biochar and applied at 20 ton/ha (the application rate at which the soil effect expression was assumed to be 100%)
Many (Table X)
Landfilling
Impacts copied from ‘treatment of waste wood, untreated, sanitary landfill’ in Ecoinvent. Assumed that biggest share of waste biomass in Aguascalientes is woody (low recyclability)
Stakeholder interviews and (Berger and Flesch 2018) for waste biomass type. Ecoinvent background data for impacts
Field incineration
Incineration emissions assumed to be equal to incineration of Savanna forest waste as both wastes are mainly woody (see above) and occur on the field (no emission capturing)
Akagi (2011)
Fuel in brick-firing
Using the waste biomass displaces the use of natural gas (substitution). Lower heating value of waste biomass 20 MJ/kg DM. Incineration emissions of waste biomass same as above
Ecoinvent ‘heat production from natural gas’ process for avoided impacts
Table 5
Absolute category indicator results of the biochar system in the medium soil effect scenario (per year for one ton organic waste utilized)
Impact categories
Value
Unit
Climate change
 − 2.27E + 01
kg CO2-Eq
Acidification
 − 1.11E-01
kg SO2-Eq
Eutrophication
 − 5.97E-02
kg PO4-Eq
Freshwater aquatic ecotoxicity
1.90E-01
kg 1.4-DCB-Eq
Human toxicity
 − 4.28E + 00
kg 1.4-DCB-Eq
Land use competition
 − 5.92E + 00
m2a (area time)
Marine aquatic ecotoxicity
 − 2.22E + 03
kg 1.4-DCB-Eq
Photochemical oxidation
 − 9.40E-04
kg ethylene-Eq
Depletion of abiotic resources
 − 1.15E-02
kg antimony-Eq
Stratospheric ozone depletion
 − 6.10E-08
kg CFC-11-Eq
Terrestrial ecotoxicity
1.02E + 00
kg 1.4-DCB-Eq
Water depletion
 − 3.26E + 00
m3 water
Table 6
Absolute category indicator results of the incineration system (per year for one ton organic waste utilized)
Impact categories
Value
Unit
Climate change
7.08E + 00
kg CO2-Eq
Acidification
1.40E-01
kg SO2-Eq
Eutrophication
2.30E-02
kg PO4-Eq
Freshwater aquatic ecotoxicity
2.27E-01
kg 1.4-DCB-Eq
Human toxicity
1.31E + 01
kg 1.4-DCB-Eq
Land use competition
0.00E + 00
m2a (area time)
Marine aquatic ecotoxicity
4.93E-02
kg 1.4-DCB-Eq
Photochemical oxidation
5.03E-02
kg ethylene-Eq
Depletion of abiotic resources
0.00E + 00
kg antimony-Eq
Stratospheric ozone depletion
0.00E + 00
kg CFC-11-Eq
Terrestrial ecotoxicity
2.29E-02
kg 1.4-DCB-Eq
Water depletion
0.00E + 00
m3 water
Table 7
Absolute category indicator results of the brick-firing system (per year for one ton organic waste utilized)
Impact categories
Value
Unit
Climate change
 − 4.41E + 01
kg CO2-Eq
Acidification
9.78E-02
kg SO2-Eq
Eutrophication
1.45E-02
kg PO4-Eq
Freshwater aquatic ecotoxicity
 − 1.54E + 00
kg 1.4-DCB-Eq
Human toxicity
3.43E + 00
kg 1.4-DCB-Eq
Land use competition
 − 1.01E-01
m2a (area time)
Marine aquatic ecotoxicity
 − 7.54E + 03
kg 1.4-DCB-Eq
Photochemical oxidation
4.56E-02
kg ethylene-Eq
Depletion of abiotic resources
 − 4.17E-01
kg antimony-Eq
Stratospheric ozone depletion
 − 6.66E-06
kg CFC-11-Eq
Terrestrial ecotoxicity
1.63E-03
kg 1.4-DCB-Eq
Water depletion
 − 8.74E-03
m3 water
Table 8
Absolute category indicator results of the landfilling system (per year for one ton organic waste utilized)
Impact categories
Value
Unit
Climate change
2.71E + 00
kg CO2-Eq
Acidification
3.31E-03
kg SO2-Eq
Eutrophication
1.47E-03
kg PO4-Eq
Freshwater aquatic ecotoxicity
4.04E-01
kg 1.4-DCB-Eq
Human toxicity
4.35E-01
kg 1.4-DCB-Eq
Land use competition
1.66E-01
m2a (area time)
Marine aquatic ecotoxicity
5.62E + 02
kg 1.4-DCB-Eq
Photochemical oxidation
5.99E-04
kg ethylene-Eq
Depletion of abiotic resources
5.20E-03
kg antimony-Eq
Stratospheric ozone depletion
1.15E-07
kg CFC-11-Eq
Terrestrial ecotoxicity
1.12E-02
kg 1.4-DCB-Eq
Water depletion
1.25E-03
m3 water
Table 9
Absolute category indicator results of the four soil effect scenarios of the biochar system (per year for one ton organic waste utilized)
Impact categories
Low
Med
High
High (yield = med)
Unit
Climate change
 − 9.25E + 00
 − 2.27E + 01
 − 6.14E + 01
 − 3.99E + 01
kg CO2-Eq
Acidification
2.27E-02
 − 1.11E-01
 − 8.48E-01
 − 4.13E-01
kg SO2-Eq
Eutrophication
 − 4.89E-03
 − 5.97E-02
 − 2.92E-01
 − 1.77E-01
kg PO4-Eq
Freshwater aquatic ecotoxicity
1.10E + 02
1.90E-01
 − 5.71E + 00
 − 4.19E + 00
kg 1.4-DCB-Eq
Human toxicity
3.82E + 02
 − 4.28E + 00
 − 4.76E + 01
 − 1.86E + 01
kg 1.4-DCB-Eq
Land use competition
 − 5.23E-02
 − 5.92E + 00
 − 2.94E + 01
 − 6.33E + 00
m2a (area time)
Marine aquatic ecotoxicity
2.76E + 04
 − 2.22E + 03
 − 1.45E + 04
 − 1.04E + 04
kg 1.4-DCB-Eq
Photochemical oxidation
1.66E-03
 − 9.40E-04
 − 1.18E-02
 − 2.43E-03
kg ethylene-Eq
Depletion of abiotic resources
4.77E-04
 − 1.15E-02
 − 7.30E-02
 − 4.81E-02
kg antimony-Eq
Stratospheric ozone depletion
7.91E-08
 − 6.10E-08
 − 9.21E-07
 − 5.76E-07
kg CFC-11-Eq
Terrestrial ecotoxicity
1.09E + 02
1.02E + 00
 − 1.43E + 00
 − 1.19E + 00
kg 1.4-DCB-Eq
Water depletion
 − 1.87E + 00
 − 3.26E + 00
 − 4.56E + 00
 − 4.57E + 00
m3 water

Electronic supplementary material

Below is the link to the electronic supplementary material.
Zurück zum Zitat Aguilar-Chávez Á, Díaz-Rojas M, del Rosario Cárdenas-Aquino M, Dendooven L, Luna-Guido M (2012) Greenhouse gas emissions from a wastewater sludge-amended soil cultivated with wheat (Triticum spp. L.) as affected by different application rates of charcoal. Soil Biol Biochem 52:90–95. https://​doi.​org/​10.​1016/​j.​soilbio.​2012.​04.​022CrossRef
Zurück zum Zitat Azzi ES, Karltun E, Sundberg C (2021) Assessing the diverse environmental effects of biochar systems: an evaluation framework. J Environ Manage 286:112154. https://​doi.​org/​10.​1016/​j.​jenvman.​2021.​112154CrossRef
Zurück zum Zitat Berger P, & Flesch F. (2018). Biomass and biochar potential, a chance for semidesertic areas like Aguascalientes, Mexico. OPENAIRE
Zurück zum Zitat Blenis N, Hue N, Maaz TM, Kantar M (2023) Biochar production, modification and its uses in soil remediation: a review. Sustainability 15(4):3442. https://​doi.​org/​10.​3390/​su15043442CrossRef
Zurück zum Zitat Borchard N, Schirrmann M, Cayuela ML, Kammann C, Wrage-Mönnig N, Estavillo JM, ... & Novak J. (2019). Biochar, soil and land-use interactions that reduce nitrate leaching and N2O emissions: a meta-analysis. Sci. Total Environ. 651 2354–2364. https://​doi.​org/​10.​1016/​j.​scitotenv.​2018.​10.​060
Zurück zum Zitat Bozzi E, Genesio L, Toscano P, Pieri M, Miglietta F (2015) Mimicking biochar-albedo feedback in complex Mediterranean agricultural landscapes. Environ Res Lett 10(8):084014. https://​doi.​org/​10.​1088/​1748-9326/​10/​8/​084014CrossRef
Zurück zum Zitat Chomkhamsri K, Wolf MA, & Pant R. (2011). International reference life cycle data system (ILCD) handbook: review schemes for life cycle assessment. Towards life cycle sustainability management 107–117
Zurück zum Zitat Crenna E, Secchi M, Benini L, Sala S (2019) Global environmental impacts: data sources and methodological choices for calculating normalization factors for LCA. Int J Life Cycle Assess 24:1851–1877. https://​doi.​org/​10.​1007/​s11367-019-01604-yCrossRef
Zurück zum Zitat Dai Z, Zhang X, Tang C, Muhammad N, Wu J, Brookes PC, Xu J (2017) Potential role of biochars in decreasing soil acidification-a critical review. Sci Total Environ 581:601–611. https://​doi.​org/​10.​1016/​j.​scitotenv.​2016.​12.​169CrossRef
Zurück zum Zitat Dong X, Singh BP, Li G, Lin Q, Zhao X (2019) Biochar increased field soil inorganic carbon content five years after application. Soil Tillage Res 186:36–41. https://​doi.​org/​10.​1016/​j.​still.​2018.​09.​013CrossRef
Zurück zum Zitat Etter H, Vera A, Aggarwal C, Delaney M, & Manley S. (2021). Methodology for biochar utilization in soil and non-soil applications. Verified Carbon Standard
Zurück zum Zitat Ewers RM, Scharlemann JP, Balmford A, Green RE (2009) Do increases in agricultural yield spare land for nature? Glob Change Biol 15(7):1716–1726. https://​doi.​org/​10.​1111/​j.​1365-2486.​2009.​01849.​xCrossRef
Zurück zum Zitat Ferreira CS, Seifollahi-Aghmiuni S, Destouni G, Ghajarnia N, Kalantari Z (2022) Soil degradation in the European Mediterranean region: processes, status and consequences. Sci Total Environ 805:150106. https://​doi.​org/​10.​1016/​j.​scitotenv.​2021.​150106CrossRef
Zurück zum Zitat Flesch F. (2020). Unpublished PhD manuscript. Physicochemical assessment and toxicological risk evaluation in amending agrarian soils with biochar generated from woody residues in the state of Aguascalientes Mexico. Universidad Autonoma de Aguascalientes
Zurück zum Zitat Gelardi DL, Li C, Parikh SJ (2019) An emerging environmental concern: biochar-induced dust emissions and their potentially toxic properties. Sci Total Environ 678:813–820. https://​doi.​org/​10.​1016/​j.​scitotenv.​2019.​05.​007CrossRef
Zurück zum Zitat Guinée JB. (2002). Handbook on life cycle assessment: operational guide to the ISO standards (Vol. 7). Springer Sci. Bus. Media
Zurück zum Zitat Gurwick NP, Moore LA, Kelly C, Elias P (2013) A systematic review of biochar research, with a focus on its stability in situ and its promise as a climate mitigation strategy. PLoS ONE 8(9):e75932. https://​doi.​org/​10.​1371/​journal.​pone.​0075932CrossRef
Zurück zum Zitat Husk B, & Major J. (2010). Commercial scale agricultural biochar field trial in Québec, Canada over two years: effects of biochar on soil fertility, biology and crop productivity and quality. Dynamotive Energy Systems (n.d.). Edafología
Zurück zum Zitat Ji C, Jin Y, Li C, Chen J, Kong D, Yu K, ... & Zou J. (2018). Variation in soil methane release or uptake responses to biochar amendment: a separate meta-analysis. Ecosystems 21 1692–1705. https://​doi.​org/​10.​1007/​s10021-018-0248-y
Zurück zum Zitat Kløverpris JH, Scheel CN, Schmidt J, Grant B, Smith W, Bentham MJ (2020) Assessing life cycle impacts from changes in agricultural practices of crop production: methodological description and case study of microbial phosphate inoculant. Int J Life Cycle Assess 25:1991–2007. https://​doi.​org/​10.​1007/​s11367-020-01767-zCrossRef
Zurück zum Zitat Lehmann J, & Joseph S. (Eds.). (2015). Biochar for environmental management: science technology and implementation. Routledge
Zurück zum Zitat Li D, Tao M, Vieira J, Suh S (2020) The effects of incorporating non-linearity in LCA: characterizing the impact on human health. Front Sustain 1:569385. https://​doi.​org/​10.​3389/​frsus.​2020.​569385CrossRef
Zurück zum Zitat Liu Z, Dugan B, Masiello CA, Barnes RT, Gallagher ME, Gonnermann H (2016) Impacts of biochar concentration and particle size on hydraulic conductivity and DOC leaching of biochar–sand mixtures. J Hydrol 533:461–472. https://​doi.​org/​10.​1016/​j.​jhydrol.​2015.​12.​007CrossRef
Zurück zum Zitat Liu Z, Dugan B, Masiello CA, Gonnermann HM (2017) Biochar particle size, shape, and porosity act together to influence soil water properties. PLoS ONE 12(6):e0179079. https://​doi.​org/​10.​1371/​journal.​pone.​0179079CrossRef
Zurück zum Zitat Liu, Q., Liu, B., Zhang, Y., Hu, T., Lin, Z., Liu, G., ... & Xie, Z. (2019). Biochar application as a tool to decrease soil nitrogen losses (NH 3 volatilization, N2O emissions, and N leaching) from croplands: options and mitigation strength in a global perspective. Glob. Change Biol., 25(6), 2077–2093. https://​doi.​org/​10.​1111/​gcb.​14613
Zurück zum Zitat Luyima D, Egyir M, Lee JH, Yoo JH, & Oh TK. (2021). A review of the potentiality of biochar technology to abate emissions of particulate matter originating from agriculture. Int J Environ Sci Technol. 1–18. https://​doi.​org/​10.​1007/​s13762-021-03267-5
Zurück zum Zitat Marzeddu S, Cappelli A, Ambrosio A, Décima MA, Viotti P, Boni MR (2021) A life cycle assessment of an energy-biochar chain involving a gasification plant in Italy. Land 10(11):1256. https://​doi.​org/​10.​3390/​land10111256CrossRef
Zurück zum Zitat Matuštík J, Hnátková T, Kočí V (2020) Life cycle assessment of biochar-to-soil systems: a review. J Clean Prod 259:120998. https://​doi.​org/​10.​1016/​j.​jclepro.​2020.​120998CrossRef
Zurück zum Zitat Matuštík J, Pohořelý M, Kočí V (2022) Is application of biochar to soil really carbon negative? The effect of methodological decisions in Life Cycle Assessment. Sci Total Environ 807:151058. https://​doi.​org/​10.​1016/​j.​scitotenv.​2021.​151058CrossRef
Zurück zum Zitat Meyer S, Bright RM, Fischer D, Schulz H, Glaser B (2012) Albedo impact on the suitability of biochar systems to mitigate global warming. Environ Sci Technol 46(22):12726–12734. https://​doi.​org/​10.​1021/​es302302gCrossRef
Zurück zum Zitat Mohammadi A, Cowie A, Mai TLA, de la Rosa RA, Kristiansen P, Brandao M, Joseph S (2016) Biochar use for climate-change mitigation in rice cropping systems. J Clean Prod 116:61–70. https://​doi.​org/​10.​1016/​j.​jclepro.​2015.​12.​083CrossRef
Zurück zum Zitat Mondragón-Sánchez A, Medina-Orozco LE, Sánchez-Duque A, & Núñez-Oregel V. (2021). Effect of the application of biochar in the corn yield in Michoacan. Mexico Terra Latinoam. 39. https://​doi.​org/​10.​28940/​terra.​v39i0.​896
Zurück zum Zitat Nelissen V, Saha BK, Ruysschaert G, Boeckx P (2014) Effect of different biochar and fertilizer types on N2O and NO emissions. Soil Biol Biochem 70:244–255. https://​doi.​org/​10.​1016/​j.​soilbio.​2013.​12.​026CrossRef
Zurück zum Zitat O’Neil CM, Nash J, Tiemann LK, Miesel JR (2021) Mycorrhizal symbioses enhance competitive weed growth in biochar and nutrient-amended soils. Front Agron 3:731184CrossRef
Zurück zum Zitat Pizzol M, Sacchi R, Köhler S, Anderson Erjavec A (2021) Non-linearity in the life cycle assessment of scalable and emerging technologies. Front Sustain 1:611593. https://​doi.​org/​10.​3389/​frsus.​2020.​611593CrossRef
Zurück zum Zitat Qin Y, Yang Y, Cucurachi S, Suh S (2021) Non-linearity in marginal LCA: application of a spatial optimization model. Front Sustain 2:631080. https://​doi.​org/​10.​3389/​frsus.​2021.​631080CrossRef
Zurück zum Zitat Ravi S, Sharratt BS, Li J, Olshevski S, Meng Z, Zhang J (2016) Particulate matter emissions from biochar-amended soils as a potential tradeoff to the negative emission potential. Sci Rep 6(1):35984. https://​doi.​org/​10.​1038/​srep35984CrossRef
Zurück zum Zitat Roberts KG, Gloy BA, Joseph S, Scott NR, Lehmann J (2010) Life cycle assessment of biochar systems: estimating the energetic, economic, and climate change potential. Environ Sci Technol 44(2):827–833. https://​doi.​org/​10.​1021/​es902266rCrossRef
Zurück zum Zitat Schmidt HP, Taylor P, Eglise A, Arbaz C (2014) Kon-Tiki flame curtain pyrolysis for the democratization of biochar production. Biochar J 1:14–24
Zurück zum Zitat Singh B, Dolk MM, Shen Q, & Camps-Arbestain M. (2017). Biochar pH, electrical conductivity and liming potential. Biochar A Guide Anal Methods 23
Zurück zum Zitat Sizmur T, Quilliam R, Puga AP, Moreno-Jiménez E, Beesley L, Gomez-Eyles JL (2016) Application of biochar for soil remediation. Agric Environ Appl Biochar Adv Barriers 63:295–324. https://​doi.​org/​10.​2136/​sssaspecpub63.​2014.​0046.​5CrossRef
Zurück zum Zitat Tillman AM, Ekvall T, Baumann H, Rydberg T (1994) Choice of system boundaries in life cycle assessment. J Clean Prod 2(1):21–29. https://​doi.​org/​10.​1016/​0959-6526(94)90021-3CrossRef
Zurück zum Zitat Tisserant A, Cherubini F (2019) Potentials, limitations, co-benefits, and trade-offs of biochar applications to soils for climate change mitigation. Land 8(12):179. https://​doi.​org/​10.​3390/​land8120179CrossRef
Zurück zum Zitat Villeda-Muñoz G, Castañeda-Miranda A, Pless RC, Vega-Durán JT, Pineda-Piñón J (2011) Clay-brick firing in a high-temperature solar furnace. Ing Investig Tecnol 12(4):395–408
Zurück zum Zitat Vrasdonk E, Palme U, Lennartsson T (2019) Reference situations for biodiversity in life cycle assessments: conceptual bridging between LCA and conservation biology. Int J Life Cycle Assess 24:1631–1642. https://​doi.​org/​10.​1007/​s11367-019-01594-xCrossRef
Zurück zum Zitat Wang Z, Dunn JB, Han J, Wang MQ (2014) Effects of co-produced biochar on life cycle greenhouse gas emissions of pyrolysis-derived renewable fuels. Biofuels Bioprod Biorefin 8(2):189–204. https://​doi.​org/​10.​1002/​bbb.​1447CrossRef
Zurück zum Zitat Wang J, Xiong Z, Kuzyakov Y (2016) Biochar stability in soil: meta-analysis of decomposition and priming effects. GCB Bioenergy 8(3):512–523. https://​doi.​org/​10.​1111/​gcbb.​12266CrossRef
Zurück zum Zitat Ye L, Camps-Arbestain M, Shen Q, Lehmann J, Singh B, Sabir M (2020) Biochar effects on crop yields with and without fertilizer: a meta-analysis of field studies using separate controls. Soil Use and Manag 36(1):2–18. https://​doi.​org/​10.​1111/​sum.​12546CrossRef
Zurück zum Zitat Zhang A, Bian R, Pan G, Cui L, Hussain Q, Li L, ... & Yu X. (2012). Effects of biochar amendment on soil quality, crop yield and greenhouse gas emission in a Chinese rice paddy: a field study of 2 consecutive rice growing cycles. Field Crops Res. 127 153–160. https://​doi.​org/​10.​1016/​j.​fcr.​2011.​11.​020