Zum Inhalt

Investigation of local tribological conditions in the secondary shear zone for dry and wet machining using a microscale simulation model

  • Open Access
  • 01.12.2025
  • Originalarbeiten/Originals
Erschienen in:

Aktivieren Sie unsere intelligente Suche, um passende Fachinhalte oder Patente zu finden.

search-config
loading …

Abstract

Diese Studie konzentriert sich auf die Untersuchung lokaler tribologischer Bedingungen in der sekundären Scherzone für Trocken- und Nassbearbeitungsprozesse. Durch die Kombination experimenteller Analysen mit numerischen Simulationen liefert die Forschung neue Erkenntnisse über das tribologische Verhalten an der Schnittstelle zwischen Werkzeug und Chip. Die Studie unterstreicht die Bedeutung des Verständnisses der Auswirkungen von metallverarbeitenden Flüssigkeiten (MWFs) auf Reibung und plastische Verformung in Niederdruck-Kontaktregionen. Es wurde ein neuartiger Ansatz zur Untersuchung lokaler tribologischer Bedingungen umgesetzt, einschließlich der Herstellung von Chipwurzeln mit der Methode von Buda und anschließender Analyse mittels Laserscanmikroskopie. Die Ergebnisse ermöglichten eine klare Unterscheidung zwischen Haft- und Gleitzonen auf Grundlage der Oberflächenstrukturanalyse. Die Reibtests lieferten quantitative Daten über den Reibungskoeffizienten thermisch geformter Schichten und zeigten, dass temperaturinduzierte Reaktionsschichten die Kontaktbedingungen drastisch beeinflussen. Darüber hinaus bestätigten Tribometer-Experimente, dass bei unterschiedlichen Temperaturen gebildete Reaktionsschichten die Reibungseigenschaften verändern. Das numerische Simulationsmodell wurde in zwei Phasen entwickelt. Zunächst wurde ein solides Kontaktmodell auf Grundlage der gemessenen Chip-Wurzelflächen erstellt und mit dem Johnson-Cook-Plastizitätsmodell umgesetzt, um plastische Verformungen unter hohem Kontaktdruck zu berücksichtigen. Die Ergebnisse zeigten, dass unter trockenen Bedingungen der Reibungskoeffizient (COF) mit zunehmender normaler Belastung und Temperatur aufgrund der kombinierten Auswirkungen von plastischer Verformung und Materialerweichung abnimmt. Zweitens wurde ein gekoppeltes Wechselwirkungsmodell zwischen Flüssigkeit und Struktur (FSI) eingeführt, um die Auswirkungen von MWFs auf die lokale Reibung zu simulieren. Die Ergebnisse deuten darauf hin, dass unter nassen Bedingungen ein Übergang vom Trocken- zum Mischschmierverhalten beobachtet wurde. Es wurde beobachtet, dass bei Drücken unter 200 MPa das Vorhandensein von MWFs zu einer signifikanten Verringerung der Reibung führt, während sich der COF bei höheren Drücken Werten annähert, die trockenen Bedingungen ähneln, was höchstwahrscheinlich auf den Abbau von Schmierfilmen zurückzuführen ist. Diese Ergebnisse unterstreichen die Bedeutung der Untersuchung des lokalen Reibungskoeffizienten in der sekundären Scherzone, indem sowohl plastische Verformungseffekte als auch Flüssig-Feststoff-Wechselwirkungen berücksichtigt werden. Die Studie kombinierte erfolgreich experimentelle und numerische Ansätze, um das Verständnis lokaler Reibungsbedingungen in der sekundären Scherzone des Metallschneidens zu verbessern. Das entwickelte Simulationsrahmen stellt ein robustes Werkzeug zur Analyse der MWF-Effekte auf die Werkzeug-Chip-Interaktion dar und bietet eine Grundlage für zukünftige Forschungen zur tribologischen Modellierung von Bearbeitungsprozessen unter Hochdruckkühlmittelbedingungen (HPC).

Publisher’s Note

Springer Nature remains neutral with regard to jurisdictional claims in published maps and institutional affiliations.

1 Introduction

In modern manufacturing, cutting process optimization has become increasingly important for cost efficiency, sustainability, and product quality. The demand for higher machining precision and energy efficiency has driven researchers and industries to develop innovative cutting techniques and cooling strategies. Various options have been researched to optimize the machining process, e.g., 3D metal printing to reduce subtractive machining, minimum quantity lubrication to minimize environmental impact, and improved tool coatings to enhance durability.
In metal cutting, the secondary shear zone, where the chip slides over the tool’s rake face, plays a crucial role in determining process efficiency and tool life [1, 2]. Friction at this interface directly affects cutting forces, thermal loads, and surface finish quality [3]. Despite its importance, precisely characterizing friction in this zone remains complex due to the interplay of multiple factors, including contact pressure, temperature, plastic deformation, and chip sliding speed [4]. These interactions occur at the microscale, making it difficult to measure and model the friction conditions with high accuracy [5].
Friction at the tool-chip interface has been modeled using various approaches, ranging from simplified empirical laws to advanced, physics-based models. The Merchant model [6] provides an average friction coefficient for the rake face by correlating it with cutting force components. A more refined approach, Zorev’s model [7], recognizes that friction conditions vary along the rake face, leading to two distinct regions. The sticking zone, located near the cutting edge, is dominated by plastic deformation due to extremely high normal stress, which leads to an independent relationship between normal and tangential contact stress, thereby exhibiting a single dominant friction behavior—dry friction [8]. The sliding zone, further along the rake face, is where relative motion occurs, and friction follows Coulomb’s law [7].
While Zorev’s model remains widely used, recent studies have proposed more advanced friction models to better investigate real tool-chip interactions by directly accounting for the underlying multi-physical interactions [5]. These include the effects of stress, temperature, and velocity, each of which have been shown to impact friction in the secondary shear zone [9]. Özel [10] simulated the chip formation with a variable shear stress model and compared maximum temperature and stress distributions on the rake face of cutting experiments. Chalamaz et al. [11] introduced a limited shear stress model based on the Tresca law at the tool-chip interface. This Coulomb-Tresca friction model accounted for both sliding and sticking conditions: if the Coulomb friction force exceeded the Tresca shear limit, the model applied a cap on the shear stress [11]. Moufki and Molinari [12] focused on a thermomechanical cutting model, investigating the impact of dynamic friction on the tool-chip interaction and revealing its significantly affects on temperature distribution and tool wear. Klocke et al. [13] used a temperature-dependent friction model incorporating thermal softnning parameters of the Johnson-Cook model [14], which is widely used for chip formation simulations. However, they concluded that experimental tests are essential to determine the model parameters accurately [13]. Outeiro et al. [15] considered a velocity-dependent friction coefficient, determined through tribological tests, to analyze friction at the tool-chip interface based on Zorev’s model. Abouridouane et al. [16] developed a friction model for metal cutting based on Oxley’s shear zone model, where apparent friction coefficients depend on sliding velocity and are determined using a hybrid experimental-analytical approach.
To investigate complex tribological conditions, multi-scale models have been developed that integrate both macro- and micro-scale friction behavior [17]. Furthermore, finite element analysis has been employed to bridge the gap between experimental observations and numerical simulations [18]. Sauer et al. [19] introduced a multiscale simulation approach to predict the penetration depth of lubricants based on raynolds equation before full tool-chip contact during machining, offering new insights into lubrication effects at the tool-chip interface.
Metalworking fluids (MWFs) have been traditionally used in machining to reduce friction, dissipate heat, and improve surface finish [20, 21]. Extensive research has explored how MWFs reduce cutting temperatures, minimize tool wear, and enhance chip flow [22, 23]. One of the key challenges is that traditional lubricant supply methods fail to establish an effective lubrication film at the tool-chip interface, particularly at elevated cutting speeds, which has led to the development of advanced cooling strategies, such as targeted high-pressure coolant (HPC) supply [24]. Several studies have demonstrated the benefits of HPC compared to conventional flood lubrication, showing that:
  • HPC improves fluid penetration into the cutting zone, ensuring better lubrication even under extreme conditions [24, 25].
  • HPC enhances chip breakability and reduces built-up edge formation, preventing material adhesion to the tool [26].
  • HPC reduces tool-chip contact length and friction by forming tribochemical reaction layers of MWFs, lowering energy consumption [27, 28].
  • HPC facilitates chip deflection, leading to lower process forces and improved thermal stability, particularly in high-speed machining [29].
Due to the high normal stresses and vaporization of lubricants at elevated temperatures, the lubricant film is largely squeezed out, preventing the formation of a hydrodynamic or mixed lubrication layer [30]. This leads to direct metal-to-metal contact, causing strong adhesion between the chip and tool [31]. The boundary friction in the sticking zone is primarily governed by adhesive forces at the tool-chip interface and plastic deformation mechanisms rather than classical Coulomb friction [4]. However, understanding the precise conditions under which the lubricant may penetrate the sliding zone in the tool-chip contact, despite these high temperatures, can provide critical insights into optimizing machining processes [32]. Various techniques are also being developed to allow cooling lubricants to penetrate the sliding zone in the tool-chip interface [33]. Under HPC conditions, the contact length of the sticking zone is reduced, promoting better chip flow and lower process force [34]. Fluid-structure interaction (FSI) simulations provide an effective way to analyze frictional and lubrication mechanisms at multiple scales [19].
Apart from lubrication, surface roughness and plastic deformation also play a significant role in determining friction behavior. Previous studies have shown that plastic dissipation mechanisms can contribute to a reduction in the coefficient of friction [35, 36]. The locally varying surface morphology influences tribological interactions, as roughness significantly affects both friction and wear [37]. Higher roughness levels result in increased asperity interlocking and mechanical adhesion, amplifying frictional resistance [38]. Conversely, smoother surfaces promote the formation of a uniform lubrication film, thereby reducing friction and energy loss [39].
This study aims to close the gap in understanding local friction conditions in the secondary shear zone, in particular, under HPC, by developing a multi-scale simulation framework that couples chip formation and microscale contact analysis. A key aspect of this approach is the accurate representation of chip root surface geometry. This ensures a realistic contact interface for tribological simulations. The developed model serves as a foundation for future extensions, enabling a comprehensive analysis of MWF effects on tool-chip interactions under various machining conditions with HPC-jet application. By integrating chip formation models with microscale contact simulations, it will become possible to investigate how high-pressure coolant jets influence frictional behavior in the secondary shear zone.

2 Experimental setup

The experimental methods applied in this work served two fundamental purposes.
On the one hand, it is essential to characterize a chip root with a surface that is representative of the contacting surface in the secondary shear zone for implementation in the simulation model. To this end, chip roots were first produced using Buda’s method [40] and subsequently characterized in terms of surface roughness. This enabled the use of a representative idealized surface in the simulation, as discussed in Sect. 2.1.
On the other hand, reaction layers form on the surfaces of the chip root in the presence of a cutting fluid at high temperatures; it is necessary to measure the influence on friction by first producing samples with reaction layers and then measuring their influence on friction under defined conditions. The effect of the reaction layers was then also integrated into the simulation procedure, as detailed in Sect. 2.2.
The following section outlines the chip root production process and then characterizes the chip root surface. This is followed by the tribological studies related to the reaction layers.

2.1 Chip root surface: production and characterization

2.1.1 Experimental setup for production of the chip root

In order to generate chip roots according to the principle of accelerated workpiece segments a linear test bench was used. This test bench enables relative speeds of up to v = 500 m/min due to the linear direct drive. A planing process is realised due to the stationary tool. Cutting inserts of the type SNMA120408 K68 from Kennametal are applied. Modifications to the tool were necessary to set a neutral rake angle of \(\gamma = 0^{\circ}\). This was realized by applying a wedge angle of \(\beta = 75^{\circ}\) through grinding a clearance angle of \(\alpha = 15^{\circ}\). The new cutting edge was then prepared by brushing. After that a PVD-TiAlN-coating with a thickness of 3 µm was applied. The tools then have an average cutting edge rounding of \(\bar{S} = 37\) µm. The quenched and tempered steel AISI4140 was used as the workpiece material. In order to produce chip roots according to the principle of accelerated workpiece segments, modifications to the workpiece are necessary, which are shown in Fig. 1. A predetermined breaking point is realised by drilling a hole with a diameter d = 3 mm. In addition, a gap is created towards the hole. To prevent unwanted deformation of the workpiece, a hardened dowel pin is inserted into the hole. This ensures that the chip formation process is not influenced by the predetermined breaking point. The chip width was set to b = 2 mm, the cutting path to lc = 120 mm with a uncut chip thickness of h = 0.1 mm at a cutting speed of vc = 120 m/min. Every cutting experiment was repeated twice. In order to analyse the influence of cooling lubricants on the chip formation the planing test bench is equipped with a handpump and accumulator with a volume of 1.4 l. A detailed description of the setup can be found in [34]. This setup enables a pressure of up to p = 70 bar. The cooling lubricant is applied externaly using a nozzle with diameter d = 2 mm. The distance from the nozzle to the cutting edge is kept constant at 32 mm. The angle \(\lambda_{CL}\) between die rake face of the tool and the cooling lubricant jet was set to 35°. The semi-synthetic emulsion Zeller + Gmelin Zubora 67H Extra, mixed with deionized water at a concentration of 10%, was used as the cooling lubricant. The cooling lubricant supply is synchronised with the start of the linear test bench by means of a trigger signal from the linear drive. This signal controls a solenoid valve which enables switching times of 5 ms. In addition to the machining time of 60 ms, the valve is opened 15 ms before the cutting process starts and closed 5 ms after the cutting tol exits the workpiece. This releases 75 ml of cooling lubricant at a pressure of 70 bar. This corresponds to 5.3% of the volume of the accumulator. As a result, the disruptive effect of the pressure loss during cutting can be minimised. For all tests, the pressure was set constant at 70 bar.
Fig. 1
Left: planing test bench, right: workpiece preparation according to the principle of accelerated workpiece segments
Bild vergrößern

2.1.2 Surface measurement of the chip root and the tool

The surfaces of the chip roots and tools were analyzed using a laser scanning microscope (Keyence VK-X3000) with a 100X lens (Fig. 2). Due to the predefined breaking point being located deeper than the measured surface, it appears as a black region in the recorded data. This fracture surface forms as a result of the workpiece being cut at the breaking point. A closer examination of the chip root surface reveals that within a 183 µm region in wet cutting, the surface texture pattern closely resembles that of the cutting tool, as shown in Fig. 3. This similarity suggests that, the chip surface in this zone adheres to the rake face during the cutting process. In contrast, the remaining area exhibits noticeable wear due to sliding contact with the rake face, leading to a clear differentiation in surface texture. These observations allow a distinct separation between the sticking zone and the sliding zone based on surface characteristics. To assess the influence of metalworking fluids (MWF) on contact conditions, chip root surfaces from dry and wet cutting were compared using the same cutting wedge for every experiment in order to avoid an interference influence of different surface topographies of different tools. The sticking zone in wet cutting was found to be approximately 19 µm shorter than in dry cutting, indicating a modification in contact behavior due to HPC effects. Furthermore, the topographies of both the chip root and the tool rake face within the sticking zone are shown in Fig. 3b and c. In Fig. 4, the arithmetic average surface roughness values are presented along with regression lines and confidence intervals as a function of the distance from the cutting edge d. The analysis shows a 63% reduction in line roughness Ra and a 56% reduction by wet and 72% by dry in surface roughness Sa along the rake face for both machining processes. However, despite this general trend, the surface roughness remains higher in wet cutting compared to dry cutting. These differences in surface roughness and texture across the sticking and sliding zones indicate varying local roughness and stress distributions. Therefore, models incorporating distinct contact zones should be developed and simulated to accurately capture the tribological behavior under different lubrication conditions. The tool surface was also measured, revealing a roughness of approximately 0.06 µm. Compared to the chip root surface, the tool surface is largely smoother. Given this distinct difference, it is reasonable to assume a flat tool surface.
Fig. 2
Chip root and measured surface for dry cutting
Bild vergrößern
Fig. 3
Surfaces of the chip roots and the tool for dry and wet cutting: a The apparent contact length of the sticking zone, b Topography of the dry cutting chip root surface in the sticking zone, and c Topography of the used cutting tool rake face in the sticking zone
Bild vergrößern
Fig. 4
Roughness of the chip root surface: a arithmetical mean height Ra, b arithmetical mean height Sa
Bild vergrößern

2.2 Thermally formed reaction layer: generation and tribological testing

During the cutting process, thermal reaction layers of MWFs form on the chip surface due to high temperatures. These layers influence friction at the tool-chip interface, potentially altering tribological behavior. To investigate this effect, a controlled experiment was conducted to imitate and analyze the formation of such layers and their impact on friction.

2.2.1 Sample preparation and reaction layer formation

To investigate the formation of thermally induced boundary layers, AISI 4140 metal samples were prepared and subjected to controlled heating and cooling cycles. The production process of immersion samples is illustrated in Fig. 5, and experimental setup is outlined in Table 1. The samples, cut to dimensions of 16 mm × 10 mm × 3.3 mm, had an initial surface roughness of approximately 0.09 µm (Ra). Prior to thermal treatment, the samples were ultrasonically cleaned in isopropyl alcohol and gasoline for five minutes, dried with high-pressure gas, and placed in a ceramic crucible inside a laboratory oven (Nabertherm LE 6/11). They were heated to 200 °C, 400 °C, and 600 °C, stabilized, and maintained at the target temperature for 15 min. Immediately after heating, the samples were immersed in an emulsion of Zubora 67H (10%) to simulate the formation of reaction layers. This process aimed to imitate thermal-chemical interactions occurring at the chip-tool interface under HPC conditions.
Fig. 5
Process for the production of immersion samples to mimic the reaction layers of MWFs
Bild vergrößern
Table 1
Experimental setup for thermal-chemical reaction layer formation for each sample.
 
Sample 1
Sample 2
Sample 3
Material
AISI 4140
Sample size
16 mm × 10 mm × 3.3 mm
Fluids
Zubora 67H (10%)
Temperature
200 °C
400 °C
600 °C
Surface characterization was performed to assess layer formation and structural changes due to heat treatment. Finally, the samples were prepared for tribological testing under dry conditions to evaluate their frictional properties. Three samples were prepared for each temperature to ensure experimental repeatability. The surface of the immersion samples was recorded using a laser scanning microscope, showing the formation of reaction layers at different temperatures, as shown in Fig. 6.
  • (a) Pure material without a reaction layer: The untreated sample shows pure material surface, confirming the baseline material condition.
  • (b) Sample 1: The surface color is darker compared to the pure material sample, suggesting the formation of an initial reaction layer.
  • (c) Sample 2: The reaction layer appears much darker than sample 1, indicating a furtherprogression of thermal interactions.
  • (d) Sample 3: The surface is heavily blackened, suggesting that the oil in the emulsion has also burned off. The layer exhibits signs of roughening, indicating more advanced tribochemical reactions at higher temperatures and possible oxidation.
Fig. 6
Surface of the immersion samples recorded with microscopes: a pure material without reaction layer, b sample 1, layer formed at 200 °C, c sample 2, layer formed at 400 °C, and d sample 3, layer formed at 600 °C
Bild vergrößern
These observations confirm that the formation of reaction layers depends on temperature, with higher temperatures leading to darker surface layers. This suggests that thermochemical reaction layers develop more at elevated temperatures, which may influence the tribological behavior during machining.

2.2.2 Tribological testing using milli-tribometer

The tribological properties of the thermally formed reaction layers were evaluated under dry conditions using a Ball-on-Plate tribometer (TRIBOtechnic MILLI TRIBOtester and Scratch Tester PREMIUM). These tests were designed to imitate a reaction layer of the MWFs, providing insight into the frictional behavior of thermally treated surfaces. Before testing, the samples were cleaned and firmly mounted onto the tribometer platform to ensure stable and consistent contact. A tungsten carbide (WC) ball with a 6 mm diameter was used as the counterbody. The test parameters are outlined in Table 2.
Table 2
Friction test parameters at the Ball-on-Plate tribometer.
Test parameters
Setting
Ball material
Tungsten carbide (WC)
Sample material
AISI 4140 with reaction layer of Zubora 67H (10%)
Normal load
N
Sliding speed
8 mm/s
Temperature
22 °C (Room Temperature)
Condition
Dry testing to isolate the effect of the reaction layer
The tests were conducted under dry friction conditions to ensure that any observed tribological behavior was solely due to the thermally formed layers, without interference from external lubrication effects Fig. 7a. The friction coefficient was recorded continuously throughout the tests, providing insights into the frictional response of the reaction layers formed under different temperatures. Since a new tribological reaction layer is formed for each time, and the tool is constantly making new contacts with the newly formed layer during real cutting processes, only the initial friction coefficient values from the first five cycles of each of the three samples (totaling 15 data points per temperature) were considered to minimize the influence of substrate effects during wear progression. The measured friction coefficients for thermally formed layers at different treatment temperatures are presented in Fig. 7b. Each scatter point corresponds to an individual measurement from the tribometer tests. The superimposed box plots illustrate the mean friction coefficients at the respective temperatures, with whiskers indicating the 95% confidence intervals. This representation emphasizes both the average behavior and the experimental scatter. The observed trend suggests that a thermal-chemical reaction layer formed at higher temperature lead to higher coefficient of friction. Key findings include:
  • At 200 °C, the mean friction coefficient is relatively low, with minimal variance among the measurements.
  • At 400 °C, the friction coefficient appears more consistent, showing the lowest mean value and the smallest spread among individual results.
  • However, at 600 °C, the friction coefficient increases significantly, accompanied by a larger variability, suggesting a higher sensitivity of the tribological properties to the thermal treatment at this temperature.
Fig. 7
Tribological testing of reaction layers of the MWF: a Ball-on-Plate tribometer, b test results
Bild vergrößern
This increase in friction with temperature may be attributed to changes in surface chemistry, oxidation, or microstructural modifications of the reaction layer, leading to altered contact conditions during sliding. Given that the reaction layer thickness was in the nanometer range, further microscopic analysis (e.g., SEM) would help verify its composition and structure. These insights will improve the accuracy of friction simulations.
In the subsequent simulations under mixed and boundary lubrication conditions, a constant coefficient of friction of 0.15 was used, roughly corresponding to the values measured for the layers generated at 400 °C. This value was selected based on literature estimates for moderate cutting temperatures [18], under the assumption that the thermal load is insufficient to induce the formation of stable oxide-based reaction layers, as was observed for layers generated at 600 °C (see Fig. 6d).
It is important to note that these tribometer tests represent idealized, quasi-stationary conditions and are not directly comparable to the dynamic and transient nature of real machining processes. In cutting, the tool-chip contact times are extremely short, and the majority of the heat is removed by MWFs [21]. This limits the formation and stability of similar reaction layers. Moreover, the coefficient of friction often decreases at elevated temperatures due to material softening and increased plastic flow [12, 13, 41]. Therefore, the tribological trends observed here should be interpreted in the context of controlled laboratory testing.

3 Setup of tribological simulation model

In this section, the modelling of a micro-scale tribological simulation to study friction behaviors within the sliding zone of the tool-chip contact is explained. In a first step, a contact simulation model was used to investigate the friction behavior, considering plastic deformations due to contact. Ths model enables a detailed analysis of material deformation and the influence of mechanical stresses on friction properties. In a second step, the model was extended by coupling it with the Navier-Stokes equations to analyze the effects of MWFs on the tribological behavior. This extension allows the simulation of fluid-structure interactions, particularly the influences of flow dynamics and viscous effects on the contact mechanics.
In the following, we will first present the model used to analyze the dry cutting process, i.e., without the presence of a MWF. We will then go on to present the extended model using FSI to imitate the tool-chip contact during the wet cutting process.

3.1 Microscale solid contact simulation model using plasticity of materials

3.1.1 Geometry and meshing

To generate a mesh model, Python was utilized alongside various packages such as NumPy [42], pandas [43], and PyVista [44]. The first step to setting up the model was to geometrically model the chip root surface in the secondary shear zone. The local surface measurements, as described in Sect. 2.2.1, were imported and directly meshed for use in the simulation model. This process is shown in Fig. 8.
Fig. 8
Mesh generation: (a) Point cloud of the measured surface data near from the cutting edge (axis unit: µm), b structured surface before extrusion (axis unit: µm), c surface topography of a chip part interpolated from b in the sliding zone, and d contact simulation model including tool solid part
Bild vergrößern
To model only the chip root surfaces in the secondary shear zone, an initial offset of 20 µm from the cutting edge zone was selected, so that the fracture surfaces and the cutting edge zone were excluded. Additionally, increments of 50 µm, ranging from 50 to 350 µm, were established. The height from the bottom to the surface mean line was set to 2 µm.
The tool surface in the simulation was assumed to be flat, as its surface is drastically smoother than the chip root surface (see Sect. 2.1.2). The height of the tool part was set to 1 µm. Furthermore, the tool body was considered as a rigid body due to TiAlN coating, a metastable hard material layer, and as carbide is substantially stiffer than plastic deformed chip material. A node spacing of 0.2 µm was selected in the xz-plane and the yz-plane to ensure detailed stress calculations within the contact region. The generated mesh serves as the foundation for both dry and wet tribological simulations.
Within the tribological system, the chip is depicted in blue, while the tool is depicted in orange, as shown in Fig. 8d. This 3D solid model was implemented in COMSOL Multiphysics 6.2 [45] to simulate the tool-chip contact interaction under realistic conditions.

3.1.2 Equations and model parameters

To ensure an accurate representation of plastic deformation, the simulation incorporates plastic strain behavior based on the Johnson-Cook material model [14] (1), which describes the yield criterion as a function of strain rate \(\dot{\varepsilon}\) and temperature T. The constitutive parameters for AISI 4140 are detailed in Table 3. In accordance with previous measurements, a friction coefficient for asperity contact \(\mu_{\text{dry}}\) of 0.5 was assumed for dry friction conditions [28, 46]. Throughout the simulation, a portion of tangential forces lead to plastic deformation; as a result, the simulated tangential reaction force in the plastic deformation model is expected to be lower compared to a purely linear elastic deformation model. The Johnson-Cook model of temperature-dependent material plasticity was applied to model the yield stress, which is given in Eq. 1:
$$\sigma_{\text{Y}}=\left[A+B\cdot\varepsilon^{n}\right]\left[1+C\cdot\ln{\frac{\dot{\varepsilon}}{\varepsilon_{0}}}\right]\left[1-\left(\frac{T-T_{\text{r}}}{T_{\text{m}}-T_{\text{r}}}\right)^{m}\right]$$
(1)
Table 3
Johnson-Cook model parameters for AISI 4140 [47].
Property
Symbol
Value
Unit
Initial yield stress
A
595
MPa
Strength coefficient
B
580
MPa
Hardening exponent
n
0.133
Strain rate strength coefficient
C
0.023
Reference strain rate
\(\dot{\varepsilon}_{0}\)
1.0
1/s
Temperature exponent
m
1.03
Room temperature
Tr
25
°C
Melting temperature
Tm
1500
°C
The parameters used for the Johnson-Cook model are presented in Table 3.

3.1.3 Boundary conditions and solver settings

The boundary conditions applied in the simulation are represented in Fig. 8d and were selected to ensure a realistic representation of the tool-chip interaction. As shown in Fig. 8d, the chip (base body) and tool (counter body) were assigned specific constraints and loading conditions. The bottom surface of the chip was fixed in all direction to allow for reaction force evaluation. The contact simulation was performed in two load steps:
1.
Normal Loading Step
  • The tool moves in the negative z‑direction, applying a normal force Fnormal to establish contact with the chip surface.
  • A simulation time of 0.001 ms was defined, and the force was incremented using a smoothstep function, sigmoid-like interpolation, to apply the load step more gradually.
 
2.
Sliding Step:
  • After contact is established, the tool slides in the positive x‑direction; this is specified in the simulation with a displacement.
  • The displacement was calculated based on a simulation time of 0.001 ms and the measured sliding speed during chip formation, ranging from 0.8 m/s in sticking zone to 1.4 m/s in the sliding zone.
 
Time-dependent PARDISO Solver was used to later simulate the model with fluid dynamics in parallel and to to enable multithreading.
To simulate a full spectrum of tribological behaviors, the simulation was conducted at various temperatures (20 °C, 100 °C, 200 °C, …, 1000 °C) and different normal stresses (65 MPa, 100 MPa, 200 MPa, …, 2000 MPa).

3.1.4 Results and discussion

The tangential reaction forces from the fixed surface are evaluated during simulation. Although the local friction coefficient is predefined in the simulation model, shear stresses may decrease due to plastic deformation. Consequently, the tangential reaction force is assumed as the friction force Ffriction and used to calculate coefficient of friction (COF) (2). This is an output of the simulation.
$$\text{COF} = \frac{F_{\text{normal}}}{F_{\text{friction}}}$$
(2)
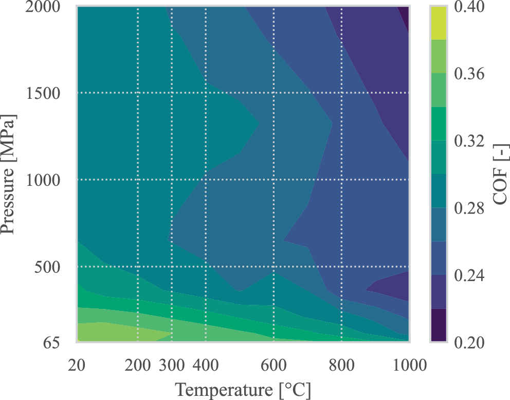
The simulation results are presented in Fig. 9 and reveal a decreasing trend in the coefficient of friction (COF) with increasing temperature and pressure (see Fig. 9). This behavior is primarily attributed to the dominant influence of plastic deformation, as modeled by the Johnson-Cook model. As temperature and contact pressure increase, material softening and plastic flow lead to a reduction in the tangential reaction force, thereby lowering the COF. This trend is consistent with findings from in friction studies for machining, where the coefficient of friction typically decreases with increasing temperature and contact pressure due to thermomechanically activated shear and material softening effects [5]. Additionally, differences in sliding speed in the contact influence friction. Lower sliding speeds promote material flow and decrease shear resistance, thereby reducing friction. This behavior occurs due to the Johnson-Cook model, as described in Sect. 3.1.2.
Fig. 9
Simulation results in dry condition
Bild vergrößern
In summary, we observe that temperature and pressure each influence the simulated friction behavior. As the basis of the simulation model was the Johnson-Cook material, we have demonstrated that the observed decrease in the coefficient of friction is primarily due to stress-induced material flow mechanisms that are dependent on temperature and strain rate. This is corroborated by the simulation results, which show that plastic deformation plays a critical role in reducing the tangential reaction force. With regards to a realistic cutting process, these results suggest that frictional behavior in high-temperature contact conditions cannot be solely attributed to surface contact area; instead, they must also include the effect of the material plasticity. These findings underscore the crucial role of plastic deformation in high-temperature tribological simulations.

3.2 Simulation of the wet cutting process with FSI

In this study, a coupled fluid-structure interaction (FSI) model was used to investigate the effects of MWFs on the tribological behavior of the tool-chip interface in the sliding zone. The model integrates solid mechanics and fluid dynamics; the tool exerts pressure and slides against the chip, requiring a moving mesh domain for the fluid.

3.2.1 Geometry and meshing

The solid contact model has been described in Sect. 3.1. To extend the contact simulation to FSI, a fluid domain (green) is introduced. The corresponding geometry and mesh are shown in Fig. 10. The fluid region is generated based on the gap height hfluid between the tool and the chip. The fluid part width is set to 10 µm, matching the width of the solid domains. Since the chip has a rough surface, the bottom boundary of the fluid domain follows the roughness profile of the chip. To prevent an element distortion at fluid inlet and outlet due to tool displacement, additional buffer regions with a length of 0.6 µm were introduced beyond the contact area. Along x‑ and y‑direction, a global mesh size is 0.2 µm like the solid domains. To accurately capture the interaction between the solid and fluid, the maximum mesh size at the inlet and outlet surfaces was defined as 0.15 µm along the z‑direction, and further refined to 0.1 µm at the fluid-solid boundary. This refinement ensures a precise enforcement of no-slip boundary condition at the contact. The fluid domain was then meshed using the sweep function.
Fig. 10
Geometry and meshing of the FSI-Model
Bild vergrößern

3.2.2 Equations and model parameters

The fluid was modeled using the Navier-Stokes equations and mass continuity (3).
$$\begin{aligned} \rho \left( \frac{\partial u}{\partial t} + u \cdot \nabla u \right) &= - \nabla p \\&+ \nabla \cdot \left( \mu ( \nabla u + \left(u\right)^{T}) - \frac{2}{3} \mu \left( \nabla \cdot u \right) I \right) \\&+ F \frac{\partial \rho}{\partial t} + \nabla \cdot \left( \rho \text{u} \right) = 0\end{aligned}$$
(3)
Here, \(\rho\) represents the fluid density, u denotes the fluid velocity field, and p corresponds to the fluid pressure. The parameter \(\eta\) is the dynamic viscosity of the fluid, while I is the identity tensor. The term F represents the external forces, which, in the context of FSI simulations, arise from the interaction forces between the fluid and solid domains. The simulation was carried out for an emulsion of Zubora 67H (10%); the corresponding fluid properties are given in Table 4.
Table 4
Fluid properties for Zubora 67H [48].
Temperature
Dynamic viscosity
Density
°C
mPa \(\cdot\) s
g/cm3
20
93.85
0.98
40
37.19
60
25.72
80
11.93
100
6.77
Although fluid data was only available for temperatures up to 100 °C due to measurement constraints, higher temperatures still play a crucial role in friction reduction, primarily due to their effect on plastic deformation, see Sect. 3.1.2 for the parameters of the Johnson-Cook model. Accordingly, friction is expected to decrease with increasing temperature due to enhanced material softening and plastic flow, which reduces the tangential reaction forces at the contact interface, as shown in Sect. 3.1.4. To phenomenologically account for the tribological effects observed in the experiments, a reduced friction coefficient of 0.15 was assumed at the tool-chip interface. This value reflects the influence of the reaction layer formed in the experimental setup (see Sect. 2.2), although the layer itself was not explicitly modeled in the simulation. Instead, the effect of reduced friction due to this layer was incorporated through the adjusted coefficient of friction.
In summary, the following assumptions were made:
1.
The MWF behaves as laminar, incompressible, and Newtonian fluids with a constant dynamic viscosity.
 
2.
Evaporation, phase transitions, temperature variations, and cavitation effect of the MWF were not considered.
 
3.
The inlet pressure pinlet remains constant at 10 atm, regardless of local variations in the fluid gap height, while the outlet pressure poutlet remains constant at 1 atm.
 
4.
The tribo-chemical reaction layer is assumed to have already formed on the tool surface due to high temperatures during the cutting process and affects the reduction of the friction coefficient [28].
 
5.
The tribo-chemical reaction layer of MWFs is assumed to be extremely thin, so its Young’s modulus and Poisson’s ratio were not explicitly defined in the model.
 

3.2.3 Boundary conditions and solver settings

Arbitrary Lagrangian-Eulerian (ALE) method was employed to couple solid and fluid domains. The Eulerian approach is used for fluid flow, while solid mechanics are modeled with a Lagrangian framework (Fig. 11). To address instabilities caused by lubricant pressure on the solid surfaces, the normal pressure on the tool model was replaced by a displacement-based approach.
Fig. 11
Boundary conditions of the FSI-model using ALE
Bild vergrößern
To prevent element distortion at the inlet and the outlet during the simulation, a moving mesh function for the fluid was utilized. A displacement of the upper surface elements at the inlet and outlet was defined as dupper,z, while a displacement of the outlet surface elements was set as doutlet,x to ensure that these elements move in sync with the tool (see (4)).
$$\begin{aligned} d_{\text{upper},z} &= U_{\text{normal}} \\ d_{\text{outlet},x} &= U_{x} \end{aligned}$$
(4)
All other surfaces’ elements remain fixed.
For fluid boundary conditions, the pressure pinlet was defined at the inlet, while pressure poutlet was set at the outlet. Both boundaries at 0 and 10 µm on the y‑axis were defined as symmetry planes. To prevent the fluid element collapse due to solid-solid contact, a contact offset of 0.02 µm was introduced between two solid domains.
In this study, a basic modeling approach was adopted, which led to the assumption of a one-phase flow and the exclusion of cavitation effects caused by asperities. This assumption is valid under the condition of a continuous fluid supply and the absence of evaporation effects under high pressure due to solid-solid contact. As a result, cavitation effects caused by asperities were not considered in this initial model.
1.
Normal Loading Step
  • The tool moves in the negative z‑direction, applying a displacement Unormal to establish contact with the chip surface.
  • A simulation time of 0.001 ms was defined.
  • The displacement was incremented using a smoothstep function (sigmoid-like interpolation).
  • pinlet was set at 10 atm regardless of local variations in the fluid gap height, while poutlet was at 1 atm. This boundary condition was selected based on a preliminary flow study of the macroscopic chip-tool gap geometry and roughly represents the pressure difference expected from the macroscopic geometry under fully flooded conditions.
 
2.
Sliding Step
  • After contact is established, the tool slides in the positive x‑direction; this is specified in the simulation with a displacement.
  • The displacement was calculated based on a simulation time of 0.001 ms and the measured sliding speed during chip formation, ranging from 0.8 m/s in sticking zone to 1.4 m/s in the sliding zone.
  • pinlet remains constant at 10 atm, and poutlet at 1 atm.
 
The resulting reaction forces in the z‑direction during Normal Loading Step were then used to determine the normal stress. To ensure numerical stability and mesh quality in the fluid domain, an automatic remeshing function was activated. This remeshing was triggered when element distortion occurred. Additionally, a time-dependent GMRES Solver was employed to simulate the fluid dynamics in parallel.
To simulate a full spectrum of tribological behaviors, the FSI-model was simulated at various temperatures (200 °C, 300 °C, and 400 °C) and different displacements generating contact stress (0.55 µm, 0.50 µm, 0.45 µm, …, 0.20 µm).

3.2.4 Results and discussion

The FSI simulation was performed only if a fluid gap remained after the Normal Loading Step, allowing for an analysis of the MWF behavior in the tool-chip contact. The simulation results, shown in Fig. 12, illustrate the relationship between normal pressure (in MPa) and the coefficient of friction (COF). The x‑axis represents the normal pressure, ranging from 0 to approximately 800 MPa, while the y‑axis represents the coefficient of friction, ranging from 0 to 0.10. Three curves correspond to different temperatures: 200 °C, 300 °C, and 400 °C.
Fig. 12
Simulation results in wet conditions
Bild vergrößern
The results indicate that the COF is dependent on both pressure and temperature. However, the slight variations in COF with temperature under lubricated conditions suggest a minor sensitivity to temperature changes. Below a pressure of about 200 MPa, the COF decreases significantly with decreasing pressure. This is because more fluid can flow due to the increasing gap between the tool and the chip. Between 200 and 600 MPa, the COF remains relatively stable with slight variations, indicating that the fluid has little effect on further reducing the frictional force in this range. Above a pressure of approximately 600 MPa, no remaining gap exists for fluid flow, transitioning the simulation to dry contact conditions. Adhesive contact likely dominates the entire contact area beyond this threshold. This transition occurs consistently across all tested temperatures (200 °C, 300 °C, and 400 °C).
The results can be summarized as follows:
  • The COF decreases with decreasing pressure due to an increase in the gap between the tool and chip, allowing more fluid flow.
  • These findings indicate the presence of mixed lubrication conditions at pressures below approximately 200 MPa.
  • Beyond approximately 600 MPa, any further fluid flow was prevented due to the closure of the gap, caused by solid-solid contact and plastic deformation.
  • This indicates that only dry conditions are applicable above this threshold, as no lubricant film remains.
Simulating contact in the secondary shear zone for a wet cutting process is a complex, multi-physics problem that is difficult to fully characterize. Therefore, some simplifying assumptions were made in this study to establish a foundational model. Effects such as vaporization due to high temperatures and cavitation were not considered; these effects should be incorporated into future models to more accurately simulate contact during chip formation, as they are expected to occur during the cutting process.

4 Conclusions and outlooks

The present study focused on the development of a microscale tribological simulation model to determine the local friction conditions in the secondary shear zone under both dry and wet machining conditions. A key challenge in metal cutting is the precise characterization of tool-chip contact phenomena, particularly the influence of MWFs on friction and plastic deformation in low-pressure contact regions. By combining experimental analysis with numerical simulations, this work provides new insights into the tribological behavior at the tool-chip interface and lays the foundation for future advancements in machining process optimization.
A novel approach was implemented to investigate local tribological conditions in the secondary shear zone. Chip roots were produced using Buda’s method and subsequently analyzed using laser scanning microscopy. The results enabled a clear distinction between the sticking and sliding zones based on surface texture analysis. The friction tests provided quantitative data on the coefficient of friction of thermally formed layers, revealing that temperature-induced reaction layers drastically influence contact conditions. Furthermore, tribometer experiments confirmed that reaction layers formed at different temperatures alter frictional properties. The tribological tests showed an increase in the coefficient of friction with rising temperature, which can be attributed to the formation of tribochemical layers with altered surface properties. However, under real machining conditions-characterized by shorter contact times and a dominant influence of plastic deformation-an opposite trend is typically observed. In such cases, the coefficient of friction tends to decrease with increasing temperature due to material softening and reduced shear stresses resulting from thermally assisted plastic flow mechanisms. This behavior is also reflected in commonly used constitutive models, such as the Johnson-Cook model. These findings emphasize the need to consider both mechanical and chemical interactions when modeling friction in machining processes. The numerical simulation model was developed in two stages. First, a solid contact model was created based on measured chip root surfaces and implemented using the Johnson-Cook plasticity model to account for plastic deformation under high contact pressures. The results demonstrated that, under dry conditions, the COF decreases with increasing normal stress and temperature due to the combined effects of plastic deformation and material softening. Second, a coupled FSI model was introduced to simulate the effects of MWFs on local friction. The results indicate that, under wet conditions, a transition from dry to mixed lubrication behavior was observed. It was observed that, at pressures below 200 MPa, the presence of MWFs leads to a significant reduction in friction, whereas at higher pressures, the COF approaches values similar to dry conditions, most likely due to lubricant film breakdown. These results highlight the importance of studying the local coefficient of friction in the secondary shear zone by considering both plastic deformation effects and fluid-solid interactions.
Although the developed simulation model provides a detailed representation of local contact conditions, several aspects require further refinement to enhance its predictive capabilities. Future work should focus on the following key areas:
1.
Advanced thermal modeling: Integrating a thermal solver is essential to capture phase transitions of MWFs, temperature gradients within the chip and tool, and heat dissipation mechanisms. Incorporating temperature-dependent thermal conductivity and specific heat capacity into the simulation will improve the accuracy of tribological simulations.
 
2.
Multi-scale coupling with chip formation models: Current simulations primarily address microscale contact interactions. Coupling these models with finite element simulations of chip formation will enable a more comprehensive representation of the tool-chip interface and allow for the investigation of dynamic friction variations during cutting.
 
3.
Experimental validation under HPC conditions: While this study provides valuable insights into wet machining, further validation is needed using high-speed in-situ visualization techniques. Analyzing lubricant penetration dynamics and reaction layer formation in real cutting environments will bridge the gap between simulations and industrial applications.
 
This study successfully combined experimental and numerical approaches to advance the understanding of local friction conditions in the secondary shear zone of metal cutting. The developed simulation framework provides a robust tool for analyzing the MWF effects on tool-chip interactions and offers a foundation for future research on tribological modeling in machining processes under HPC conditions. By addressing the outlined research directions, further improvements in predictive accuracy can be achieved, leading to more efficient and sustainable manufacturing technologies.

Acknowledgements

This research was funded within the Priority Program 2231 by the German Research Foundation (DFG)—project number 439904924.

Conflict of interest

M. Kim, Y. Xie, J. Schenzel, J. Kelley, V. Schneider, S. Dechant, B. Bergmann, B. Denkena, G. Poll and F. Pape declare that they have no competing interests.
Open Access Dieser Artikel wird unter der Creative Commons Namensnennung 4.0 International Lizenz veröffentlicht, welche die Nutzung, Vervielfältigung, Bearbeitung, Verbreitung und Wiedergabe in jeglichem Medium und Format erlaubt, sofern Sie den/die ursprünglichen Autor(en) und die Quelle ordnungsgemäß nennen, einen Link zur Creative Commons Lizenz beifügen und angeben, ob Änderungen vorgenommen wurden. Die in diesem Artikel enthaltenen Bilder und sonstiges Drittmaterial unterliegen ebenfalls der genannten Creative Commons Lizenz, sofern sich aus der Abbildungslegende nichts anderes ergibt. Sofern das betreffende Material nicht unter der genannten Creative Commons Lizenz steht und die betreffende Handlung nicht nach gesetzlichen Vorschriften erlaubt ist, ist für die oben aufgeführten Weiterverwendungen des Materials die Einwilligung des jeweiligen Rechteinhabers einzuholen. Weitere Details zur Lizenz entnehmen Sie bitte der Lizenzinformation auf http://creativecommons.org/licenses/by/4.0/deed.de.

Publisher’s Note

Springer Nature remains neutral with regard to jurisdictional claims in published maps and institutional affiliations.
Download
Titel
Investigation of local tribological conditions in the secondary shear zone for dry and wet machining using a microscale simulation model
Verfasst von
Minjae Kim
Yuxin Xie
Jan Schenzel
Josephine Kelley
Volker Schneider
Simon Dechant
Benjamin Bergmann
Berend Denkena
Gerhard Poll
Florian Pape
Publikationsdatum
01.12.2025
Verlag
Springer Berlin Heidelberg
Erschienen in
Engineering Research / Ausgabe 1/2025
Print ISSN: 0015-7899
Elektronische ISSN: 1434-0860
DOI
https://doi.org/10.1007/s10010-025-00898-9
1.
Zurück zum Zitat Ackroyd B, Chandrasekar S, Compton WD (2003) A model for the contact conditions at the chip-tool interface in machining. J Tribol 125(3):649–660. https://doi.org/10.1115/1.1537747CrossRef
2.
Zurück zum Zitat Bassett E, Köhler J, Denkena B (2012) On the honed cutting edge and its side effects during orthogonal turning operations of AISI1045 with coated WC-Co inserts. CIRP J Manuf Sci Technol 5(2):108–126. https://doi.org/10.1016/j.cirpj.2012.03.004CrossRef
3.
Zurück zum Zitat Bergmann B, Denkena B, Biermann D (2017) Grundlagen zur Auslegung von Schneidkantenverrundungen. PZH Verlag, Garbsen
4.
Zurück zum Zitat Shaw MC (2005) Metal cutting principles, 2nd edn. Oxford University Press, New York
5.
Zurück zum Zitat Liang X, Liu Z, Wang B et al (2023) Friction behaviors in the metal cutting process: state of the art and future perspectives. Int J Extrem Manuf 5(1):12002. https://doi.org/10.1088/2631-7990/ac9e27CrossRef
6.
Zurück zum Zitat Merchant ME (1945) Mechanics of the metal cutting process. II. Plasticity conditions in orthogonal cutting. J Appl Phys 16(6):318–324. https://doi.org/10.1063/1.1707596CrossRef
7.
Zurück zum Zitat Zorev NN (1963) Inter-relationship between shear processes occurring along tool face and shear plane in metal cutting. Int Res Prod Eng 49:143–152
8.
Zurück zum Zitat Childs T (2006) Friction modelling in metal cutting. Wear 260(3):310–318. https://doi.org/10.1016/j.wear.2005.01.052CrossRef
9.
Zurück zum Zitat Bahi S, Nouari M, Moufki A et al (2011) A new friction law for sticking and sliding contacts in machining. Tribol Int 44(7):764–771. https://doi.org/10.1016/j.triboint.2011.01.007CrossRef
10.
Zurück zum Zitat Özel T (2006) The influence of friction models on finite element simulations of machining. Int J Mach Tools Manuf 46(5):518–530. https://doi.org/10.1016/j.ijmachtools.2005.07.001CrossRef
11.
Zurück zum Zitat Calamaz M, Coupard D, Girot F (2008) A new material model for 2D numerical simulation of serrated chip formation when machining titanium alloy Ti-6Al-4V. Int J Mach Tools Manuf 48(3):275–288. https://doi.org/10.1016/j.ijmachtools.2007.10.014CrossRef
12.
Zurück zum Zitat Moufki A, Molinari A (2005) A new thermomechanical model of cutting applied to turning operations. Part II. Parametric study. Int J Mach Tools Manuf 45(2):181–193. https://doi.org/10.1016/j.ijmachtools.2004.07.005CrossRef
13.
Zurück zum Zitat Klocke F, Döbbeler B, Peng B et al (2018) Tool-based inverse determination of material model of direct aged alloy 718 for FEM cutting simulation. Procedia CIRP 77:54–57. https://doi.org/10.1016/j.procir.2018.08.211CrossRef
14.
Zurück zum Zitat Johnson GR, Cook WH (1983) A constitutive model and data for metals subjected to large strain, high strain rates and high temperatures. Proceedings of the 7th International Symposium on Ballistics, Hague, The Netherlands, pp 541–547
15.
Zurück zum Zitat Outeiro J, Campocasso S, Denguir L et al (2015) Experimental and numerical assessment of subsurface plastic deformation induced by OFHC copper machining. CIRP Ann 64(1):53–56. https://doi.org/10.1016/j.cirp.2015.04.080CrossRef
16.
Zurück zum Zitat Abouridouane M, Bergs T, Schraknepper D et al (2021) Friction behavior in metal cutting: modeling and simulation. Procedia CIRP 102:405–410. https://doi.org/10.1016/j.procir.2021.09.069CrossRef
17.
Zurück zum Zitat Vakis A, Yastrebov V, Scheibert J et al (2018) Modeling and simulation in tribology across scales: an overview. Tribol Int 125:169–199. https://doi.org/10.1016/j.triboint.2018.02.005CrossRef
18.
Zurück zum Zitat Liu H, Meurer M, Schraknepper D et al (2022) Investigation of the cutting fluid’s flow and its thermomechanical effect on the cutting zone based on fluid–structure interaction (FSI) simulation. Int J Adv Manuf Technol 121(1):267–281. https://doi.org/10.1007/s00170-022-09266-1CrossRef
19.
Zurück zum Zitat Sauer F, Codrignani A, Haber M et al (2023) Multiscale simulation approach to predict the penetration depth of oil between chip and tool during orthogonal cutting of AISI 4140. Procedia CIRP 117:426–431. https://doi.org/10.1016/j.procir.2023.03.072CrossRef
20.
Zurück zum Zitat Bergmann B, Denkena B, Poll G et al (2023) Reibkoeffizientenermittlung in der Zerspanung auf Basis von Hochgeschwindigkeitsaufnahmen. T+S 69(5):21–27. https://doi.org/10.24053/TuS-2022-0041CrossRef
21.
Zurück zum Zitat Klocke F (2018) Grundlagen der Zerspanung. Springer, Berlin, Heidelberg, pp 47–111 https://doi.org/10.1007/978-3-662-54207-1_3CrossRef
22.
Zurück zum Zitat Brinksmeier E, Meyer D, Huesmann-Cordes A et al (2015) Metalworking fluids—mechanisms and performance. CIRP Ann 64(2):605–628. https://doi.org/10.1016/j.cirp.2015.05.003CrossRef
23.
Zurück zum Zitat Osama M, Singh A, Walvekar R et al (2017) Recent developments and performance review of metal working fluids. Tribol Int 114:389–401. https://doi.org/10.1016/j.triboint.2017.04.050CrossRef
24.
Zurück zum Zitat Liu W, Liu Z (2018) High-pressure coolant effect on the surface integrity of machining titanium alloy Ti-6Al-4V: a review. Mater Res Express 5(3):32001. https://doi.org/10.1088/2053-1591/aab44fCrossRef
25.
Zurück zum Zitat Mia M, Dhar NR (2018) Effects of duplex jets high-pressure coolant on machining temperature and machinability of Ti-6Al-4V superalloy. J Mater Process Technol 252:688–696. https://doi.org/10.1016/j.jmatprotec.2017.10.040CrossRef
26.
Zurück zum Zitat Courbon C, Kramar D, Krajnik P et al (2009) Investigation of machining performance in high-pressure jet assisted turning of Inconel 718: an experimental study. Int J Mach Tools Manuf 49(14):1114–1125. https://doi.org/10.1016/j.ijmachtools.2009.07.010CrossRef
27.
Zurück zum Zitat Ellersiek L, Menze C, Sauer F et al (2022) Evaluation of methods for measuring tool-chip contact length in wet machining using different approaches (microtextured tool, in-situ visualization and restricted contact tool). Prod Eng Res Devel 16(5):635–646. https://doi.org/10.1007/s11740-022-01127-wCrossRef
28.
Zurück zum Zitat Pape F, Poll G, Ellersiek L et al (2023) Tribological effects of metalworking fluids in cutting processes. Lubricants 11(5):224. https://doi.org/10.3390/lubricants11050224CrossRef
29.
Zurück zum Zitat Denkena B, Liu H, Pape F et al (2023) Simulation of local contact conditions in the secondary shear zone in dry and wet metal cutting. Procedia CIRP 117:293–298. https://doi.org/10.1016/j.procir.2023.03.050CrossRef
30.
Zurück zum Zitat Godlevski VA, Volkov AV, Latyshev VN et al (1997) The kinetics of lubricant penetration action during machining. Lubr Sci 9(2):127–140. https://doi.org/10.1002/ls.3010090203CrossRef
31.
Zurück zum Zitat Hao G, Liu Z (2020) The heat partition into cutting tool at tool-chip contact interface during cutting process: a review. Int J Adv Manuf Technol 108(1):393–411. https://doi.org/10.1007/s00170-020-05404-9CrossRef
32.
Zurück zum Zitat Godlevskiy V (2012) Mechanisms of action of metalworking fluids in metal cutting. Metalworking fluids (MWFs) for cutting and grinding. Elsevier, pp 1–22 https://doi.org/10.1533/9780857095305.1CrossRef
33.
Zurück zum Zitat Astakhov V, Godlevskiy V (2012) Delivery of metalworking fluids in the machining zone. Metalworking fluids (MWFs) for cutting and grinding. Elsevier, pp 79–134 https://doi.org/10.1533/9780857095305.79CrossRef
34.
Zurück zum Zitat Denkena B, Krödel A, Ellersiek L (2022) Influence of metal working fluid on chip formation and mechanical loads in orthogonal cutting. Int J Adv Manuf Technol 118(9):3005–3013. https://doi.org/10.1007/s00170-021-08164-2CrossRef
35.
Zurück zum Zitat Rigney D, Hirth J (1979) Plastic deformation and sliding friction of metals. Wear 53(2):345–370. https://doi.org/10.1016/0043-1648(79)90087-5CrossRef
36.
Zurück zum Zitat Neugebauer R, Größer S, Burkhardt T (2010) Reduzierung von Reibung und Verschleiß durch Mikrostrukturierung und oberflächennahe plastische Verformung. Reibung, Schmierung und Verschleiß. GfT, Aachen
37.
Zurück zum Zitat Kubiak K, Liskiewicz T, Mathia T (2011) Surface morphology in engineering applications: influence of roughness on sliding and wear in dry fretting. Tribol Int 44(11):1427–1432. https://doi.org/10.1016/j.triboint.2011.04.020CrossRef
38.
Zurück zum Zitat Jiang J, Arnell R (2000) The effect of substrate surface roughness on the wear of DLC coatings. Wear 239(1):1–9. https://doi.org/10.1016/S0043-1648(99)00351-8CrossRef
39.
Zurück zum Zitat Sedlaček M, Podgornik B, Vižintin J (2009) Influence of surface preparation on roughness parameters, friction and wear. Wear 266(3):482–487. https://doi.org/10.1016/j.wear.2008.04.017CrossRef
40.
Zurück zum Zitat Buda J, Vasilko K, Stranava J (1968) Neue Methode der Spanwurzelgewinnung zur Untersuchung des Schneidvorganges. Ind Anz 90:78
41.
Zurück zum Zitat Hao M, Xu D, Wei F et al (2018) Quantitative analysis of frictional behavior of cupronickel B10 at the tool-chip interface during dry cutting. Tribol Int 118:163–169. https://doi.org/10.1016/j.triboint.2017.09.033CrossRef
42.
Zurück zum Zitat Harris CR, Millman KJ, van der Walt SJ et al (2020) Array programming with NumPy. Nature 585(7825):357–362. https://doi.org/10.1038/s41586-020-2649-2CrossRef
43.
Zurück zum Zitat McKinney W (2010) Data structures for statistical computing in python. Python in Science Conference, Austin, Texas, pp 56–61 https://doi.org/10.25080/Majora-92bf1922-00aCrossRef
44.
Zurück zum Zitat Sullivan C, Kaszynski A (2019) PyVista: 3D plotting and mesh analysis through a streamlined interface for the Visualization Toolkit (VTK). JOSS 4(37):1450. https://doi.org/10.21105/joss.01450CrossRef
45.
Zurück zum Zitat COMSOL incorporated (2023) COMSOL multiphysics
46.
Zurück zum Zitat Sterle L, Pušavec F, Kalin M (2019) Determination of friction coefficient in cutting processes: comparison between open and closed tribometers. Procedia CIRP 82:101–106. https://doi.org/10.1016/j.procir.2019.04.159CrossRef
47.
Zurück zum Zitat Pantalé O, Bacaria JL, Dalverny O et al (2004) 2D and 3D numerical models of metal cutting with damage effects. Comput Methods Appl Mech Eng 193(39):4383–4399. https://doi.org/10.1016/j.cma.2003.12.062CrossRef
48.
Zurück zum Zitat Nassef BG, Pape F, Poll G et al (2024) Evaluating the tribological behaviour in cutting operations using a modified ball-on-disc open tribotester. Lubricants 12(3):77. https://doi.org/10.3390/lubricants12030077CrossRef

    Marktübersichten

    Die im Laufe eines Jahres in der „adhäsion“ veröffentlichten Marktübersichten helfen Anwendern verschiedenster Branchen, sich einen gezielten Überblick über Lieferantenangebote zu verschaffen. 

    Bildnachweise
    MKVS GbR/© MKVS GbR, Nordson/© Nordson, ViscoTec/© ViscoTec, BCD Chemie GmbH, Merz+Benteli/© Merz+Benteli, Robatech/© Robatech, Ruderer Klebetechnik GmbH, Xometry Europe GmbH/© Xometry Europe GmbH, Atlas Copco/© Atlas Copco, Sika/© Sika, Medmix/© Medmix, Kisling AG/© Kisling AG, Dosmatix GmbH/© Dosmatix GmbH, Innotech GmbH/© Innotech GmbH, Hilger u. Kern GmbH, VDI Logo/© VDI Wissensforum GmbH, Dr. Fritz Faulhaber GmbH & Co. KG/© Dr. Fritz Faulhaber GmbH & Co. KG, ECHTERHAGE HOLDING GMBH&CO.KG - VSE, mta robotics AG/© mta robotics AG, Bühnen, The MathWorks Deutschland GmbH/© The MathWorks Deutschland GmbH, Spie Rodia/© Spie Rodia, Schenker Hydraulik AG/© Schenker Hydraulik AG