Zum Inhalt

Investigation on 3D printing and injection molding of intrauterine devices with antimicrobial and anticancer activity

  • Open Access
  • 02.03.2026
  • ORIGINAL ARTICLE

Aktivieren Sie unsere intelligente Suche, um passende Fachinhalte oder Patente zu finden.

search-config
loading …

Abstract

Diese Studie untersucht die Entwicklung intrauteriner Geräte (IUDs) mittels 3D-Druck und Spritzgusstechniken, wobei der Schwerpunkt auf ihren antimikrobiellen und krebshemmenden Eigenschaften liegt. Die Forschung integriert Kupfersulfat, Silbersulfadiazin und 5-Fluorouracil in Ethylen-Vinylacetat-Matrizen (EVA) und Polyethylen niedriger Dichte (LDPE). Zu den Schlüsselthemen zählen die Herstellungsprozesse, die Charakterisierung der Geräte und die Freisetzungsprofile von Medikamenten. Die Studie unterstreicht die Vorteile des Spritzgießens für eine homogene Medikamentenverteilung und kontrollierte Freisetzung, während 3D-Druck schnelles Prototyping und kundenspezifische Anpassungen ermöglicht. Die Ergebnisse zeigen das Potenzial dieser IUDs für eine lokalisierte, nachhaltige Behandlung in gynäkologischen Anwendungen mit Auswirkungen auf die Gesundheit von Frauen. Die Schlussfolgerung betont die Notwendigkeit weiterer biologischer Tests und der systematischen Bestimmung des Medikamentengehalts zur Beurteilung der therapeutischen Wirksamkeit.

Publisher’s note

Springer Nature remains neutral with regard to jurisdictional claims in published maps and institutional affiliations.

1 Introduction

Prioritizing women’s health is a key strategy for achieving universal health coverage and sustainable development. Investing in women’s health is important for global development because it improves health outcomes, economic productivity, and gender equality. Women’s health awareness topics include mental health, heart disease, osteoporosis, reproductive health (menstruation, pregnancy, birth control, menopause), and cancers in breast, cervical, and colon. Vaginal infections and related gynecological diseases remain a major global health concern, disproportionately affecting women of reproductive age. These conditions are primarily of microbial origin, caused by fungi, bacteria, and viruses, and are associated with significant morbidity and long-term reproductive health consequences. Among the most common are vulvovaginal candidiasis (VVC), bacterial vaginosis (BV), and viral infections such as human immunodeficiency virus (HIV) and human papillomavirus (HPV) [1, 2]. Cervical cancer is the fourth most commonly diagnosed cancer and the fourth leading cause of cancer-related mortality in women worldwide, while being strongly linked to persistent infection with high-risk HPV [3]. The pathogenesis of cervical cancer is closely tied to viral oncogene expression, which disrupts normal cell cycle regulation, with conventional treatments including surgery, radiotherapy and chemotherapy often carry systemic toxicity [3, 4]. In parallel, HIV infection continues as a global health burden, where HIV and HPV represent interlinked challenges in women’s reproductive health, requiring innovative, accessible and localized treatment and prevention strategies [5]. Additionally, current therapeutic approaches for BV, VVC and viral infections typically involve antibiotics, antifungals, antiviral or chemotherapeutic (antimicrobial) agents, however, these treatments generally lack the ability to simultaneously address multiple gynecological pathogens. Moreover, existing vaginal drug delivery systems reported in the pharmaceutics literature often rely on technologies such as hydrogels, films or suppositories, which face limitations in scalability, reproducibility and long term drug release control [6, 7]. To address these limitations, the present work developed of matrix-type multidrug intrauterine devices within antimicrobial and antifungal metallic (d-orbitals) agents, such as copper sulfate (CuSO4) and silver sulfadiazine (AgSD), and antiviral/anticancer (N-base) 5-fluorouracil (5-FU) on single and multidrug composition. Metalic d-orbitals base agents, CuSO₄ and AgSD are well documented for their broad-spectrum antimicrobial and antifungal activities interfering in DNA and RNA replications. On the other hand, 5-FU is well known for disrupting DNA replication, rendering it effective against virus and cell proliferations such as in HPV precancerous lesions and its viral replication pathways [79]. In this investigation, EVA and LDPE polymers were used as matrices due to their proven biocompatibility and wide use in the large-scale production of devices by the medical industry [10]. The 3D printing by fused filament fabrication (FFF) technique and injection molding (IM) were used as promisor industrial techniques capable of ensuring high quality, reproducibility and mass manufacturing potential. Unlike early-stage conventional drug delivery strategies, this approach positions the technology closer to Technology Readiness Levels (TRLs) aligned with industry adoption, bridging the gap between scientific innovation and commercial translation [11]. By integrating antiviral, antibiotic, antifungal and anticancer agents into a single controlled-release device with multiphase drug release, this work provides a holistic approach to prophylactic, prevention and long term treatment of several gynecological diseases, offering a scalability potential to improve patient’s quality of life worldwide.

2 Materials and methods

Ethylene-vinyl acetate (EVA) and low-density polyethylene (LDPE) were selected as polymeric matrices, while fluorouracil (FU), copper sulfate (CuSO₄), and silver sulfadiazine (AgSD) were used as active agents. Devices were produced by hot-melt extrusion combined with fused filament fabrication (FFF) for 3D printing, and by injection molding for scalable manufacturing.

2.1 Materials

Low density polyethylene (LDPE AT_280) with a density of 0.92 g/cm³ and a melting point of 105 °C and Ethylene-vinyl acetate (EVA) copolymer pellets (ATEVA® 1241) with 12% VA, density of 0.932 g/cm³, melt index of 10 g/10 min (190 °C/2.16 kg) and melting temperature of 95 °C were supplied by Celanese (USA). FU powder was sourced from Nantong Haiers Pharmaceutical exhibiting a water solubility of 12.2 mg/mL, and a melting point of 290 °C. CuSO4 was procured from NEON, with a melting point of 110 °C, and a molecular weight of 249.69 g/mol. AgSD powder was purchased from Henrifarma with grain size between 975 nm and 3.5 μm, and a melting temperature of 280 °C. The devices were manufactured by a combination of Hot Melt Extrusion and Fused Filament Fabrication which offer geometrical flexibility for prototypes but parts with less density and injection molding which offers high reproducibility and high scale processability.

2.2 Hot melt extrusion (HME)

A single-screw extruder (Filmaq3D, Filmaq, Brazil) with die extrusion of 1.75 mm and extrusion temperature of 145 °C was used. The extrusion process was carried out in EVA based samples. Extruded filaments were cooled to room temperature using a traction system from Filmaq3D. Drug powder and polymer pellets were manually agitated and fed into the extrusion hopper. Filaments with an average diameter of 1.65 ± 0.15 mm were used for printing. Drug and polymer were mixed in the filler and samples were produced with 10% CuSO4, 10% AgSD and 10% FU. Multidrug IUDs were 8% CuSO4 combined with 8% AgSD, and 8% CuSO4 with 8% FU.

2.3 3D printing by fused filament fabrication (FFF)

Fused filament fabrication (FFF) has been increasingly applied in pharmaceutical drug delivery and medical device manufacturing, enabling the fabrication of customized implants and dosage forms with tunable geometry, porosity, and drug release profiles. The 3D printed samples were manufactured using a Sethi 3D S3 machine. The build platform was set at 30 °C and a PE film was used to improve adherence [12, 13]. The parameters used in the 3D printing process are expressed in Table 1. The 3D printing was used with EVA based samples.
Table 1
Parameters used for printing EVA and drug samples
Parameter
EVA + single drug
EVA + multidrug
Nozzle Diameter (mm)
0.4
0.6
Layer (mm)
0.25
0.25
Extrusion Temperature (°C)
195
195
Printing Speed (mm/s)
2.5
2.5
Travel Speed (mm/s)
10
10

2.4 Injection molding

Aluminium molds were milled with pre-defined parameters from our laboratory, using a Roland MODELA MDX-540. Solidworks with an educational license was used to design the IUDs and molds. The geometry was chosen considering commercially available implant designs. An Arburg Allrounder 270 S was used to produce drug-loaded IUDs. LDPE was the material of choice for injection molding, where parameters were according to Table 2. Drug and polymer were mixed in the hopper and samples were produced with 20% CuSO4, 20% AgSD and 20% FU. Multidrug IUDs were 15% CuSO4 combined with 15% AgSD, and 15% CuSO4 with 15% FU, process was carried out according to our lab’s experience [14].
Table 2
Parameters for injection molding of LDPE
Parameter
LDPE
Injection Pressure (bar)
850
Injection Speed (cm³/s)
15
Injection Volume (cm³/)
4.1
Hold Pressure (bar)
200
Hold Time (s)
2
Force to hold the mold closed (kN)
200
Cooling Time (s)
Temperatures (°C)
60
Zone 1: 160
Zone 2: 170
Zone 3: 180
Zone 4: 190

2.5 Scanning electron microscopy

The morphology of the samples was evaluated by scanning electron microscopy (SEM) using a TESCAN Vega equipment at an acceleration of 8 kV. The samples were evaluated on the surface and in the cross section, after being covered by a thin layer of gold. Chemical characterization using energy-dispersive spectroscopy (EDS) was used to identify the drug particles.

2.6 Fourier-transform infrared spectroscopy (FTIR)

FTIR technique was used to identify the chemical structure of the polymers and drugs. The infrared spectra were acquired by a Perkin-Elmer Frontier MIR/NIR spectrophotometer (Waltham, Massachusetts, USA). Three samples of each concentration were evaluated with a resolution of 4 cm− 1, and in the wavenumber range of 400 and 4000 cm− 1.

2.7 Differential scanning calorimetry (DSC)

Differential scanning calorimetry (DSC) curves were obtained using a differential scanning calorimeter Perkin-Elmer 6000 (Waltham, Massachusetts, USA) based on ISO 11357-1 and ASTM D3418-15. The specimens were analyzed in an Analytical Nitrogen 99.99% pure atmosphere with a flow of 20 mL/min. The equipment was calibrated with Indium and Zinc standards provided by the equipment manufacturer. The experimental procedure for EVA based samples consisted of the following: (i) Isothermal at −40 °C for 1 min (ii) Heating from − 40 to 300 °C at 10 °C/min (iii) Isothermal at 300 °C for 1 min (iv) Cooling to −40 °C at 10 °C/min. The experimental procedure for LDPE based samples consisted of the following: (i) Isothermal at 20 °C for 1 min (ii) Heating from 20 to 300 °C at 10 °C/min (iii) Isothermal at 300 °C for 1 min (iv) Cooling to 20 °C at 10 °C/min. The average sample weight was 5 mg. Crystallinity was determined based on the theoretical value of 100% crystalline polyethylene, with a melt enthalpy of 293 J/g. The drug concentration was calculated by dividing the melting enthalpy of the drug incorporated in the polymer by the melting enthalpy of the pure sample.

2.8 Flexural tensile tests

A Dynamic Mechanical Analyzer model DMA Q800 (TA Instruments) with a single cantilever clamp was used for the mechanical test. A force rate of 1 N/min from 2 to 18 N was applied and performed at 25 ± 5 °C.

2.9 Drug release testing

Three replicates of each material were placed in pre-identified flasks containing the corresponding release medium. The flasks were subsequently incubated in a water bath maintained at 37 °C. Drug release studies were conducted under sink conditions using the central segment of the IUDs, with an average weight of 270 ± 50 mg. At predetermined time intervals, aliquots of the release medium were withdrawn and analyzed using UV-Vis spectrophotometry, HPLC, or conductivity. Following sampling, the withdrawn volume was replaced with fresh medium to maintain sink conditions. For samples containing CuSO₄, quantification was performed by conductivity measurements (DIST3, Hanna, 0–2000 µS/cm) using deionized water as the release medium. A calibration curve was established (R² = 0.9775), with aliquots collected daily during the first four days and subsequently on a weekly basis. For samples containing AgSD, the release medium consisted of deionized water supplemented with 30% ammonium hydroxide solution. A calibration curve (R² = 0.9963) was constructed, and quantification was performed by UV-Vis spectrophotometry (λ = 240 nm). ForFU, release studies were conducted in a PBS/ethanol (80:20, v/v) buffer, yielding a calibration curve with R² = 0.9969. Quantification was carried out by UV-Vis spectrophotometry (λ = 266 nm). For multidrug systems, different analytical approaches were employed. In CuSO₄/FU devices, release quantification was performed in deionized water, with CuSO₄ determined by conductivity and FU by UV-Vis spectrophotometry. In CuSO₄/AgSD systems, quantification was performed using a high-performance liquid chromatography (HPLC) system (Waters Alliance 2695 with 2998 Photodiode Array Detector). The chromatographic method employed a mobile phase of acetonitrile and 0.1% formic acid (50:50, v/v), a XSelect HSS T3 5 μm column (Waters), a flow rate of 0.6 mL/min, column and sample temperatures of 25 °C, injection volume of 10 µL, and detection at 290 nm, with a total run time of 3.5 min. The release medium consisted of 10 mL of deionized water supplemented with 30% ammonium hydroxide solution. Aliquots of 5 mL were withdrawn weekly for analysis. Prior to HPLC quantification, an EDTA solution was added to enable CuSO₄ detection via the photodiode array detector. Although phosphate-buffered saline (PBS) is frequently employed as a release medium in drug release studies, alternative media were selected in this work to account for the physicochemical properties of the tested compounds. Silver sulfadiazine exhibits poor solubility in PBS, which would hinder both release and detection; therefore, ammonium hydroxide was used to ensure solubilization and accurate quantification. In the case of CuSO₄, the compound does not absorb in the UV-Vis range, hindering spectrophotometric analysis; consequently, conductivity measurements in deionized water were employed or the addition of EDTA was used to form a compound and enable photodiode array detection. These methodological adaptations were necessary to generate reliable release profiles while preserving analytical accuracy.

2.10 Samples nomenclature

For the following analysis, a nomenclature corresponding to the type of drug and theoretical drug load was used (Table 3). EVA samples were fabricated by a combination of extrusion and FFF and LDPE samples were manufactured by injection molding.
Table 3
Samples nomenclature
Sample
CuSO4 (%)
AgSD (%)
FU (%)
Manufacturing process
EVA
-
-
-
FFF
EVA_Cu
10
  
FFF
EVA_Ag
 
10
 
FFF
EVA_FU
  
10
FFF
EVA_Cu_FU
8
-
8
FFF
EVA_Cu_Ag
8
8
 
FFF
LDPE
-
-
-
IM
LDPE_Cu
20
-
-
IM
LDPE_Ag
-
20
-
IM
LDPE_FU
-
-
20
IM
LDPE_Cu_FU
15
-
15
IM
LDPE_Cu_Ag
15
15
 
IM

3 Results and discussion

3.1 Manufacturing IUDs by 3D printing and injection molding

Figure 1 presents the IUDs on pure polymer, single and multi-drug devices, manufactured by a combination of extrusion and additive manufacturing. Figure 2 presents the IUDs on pure polymer, single and multi-drug devices, manufactured by injection molding. The manufacturing method directly influenced device density, structural integrity, and subsequent mechanical performance. The devices manufactured in pure polymer presented a translucent opaque gray colour, while the incorporation of CuSO₄ resulted in a light blue colour. The presence of AgSD in the samples resulted in dark yellow and the presence of FU resulted in a white/beige coloration. The 3D-printed EVA IUDs exhibited visible pores, layer discontinuities, and surface irregularities, which resulted in reduced interlayer adhesion and anisotropic structures, explaining the large variability and mechanical degradation. A more thorough process optimization should be conducted to improve the finishing and density of the 3D printed parts [13, 15]. The injection molded samples presented a high quality finishing, with no surface imperfections, uniform colors, no visual pores and higher density, demonstrating that injection molding provides superior mechanical reliability and reproducibility. The design presented herein was inspired by the commercially available IUDS such as Mirena®, Kyleena, and Silverflex.
Fig. 1
3D Printed (a) EVA; (b) EVA_Cu; (c) EVA_Ag; (d) EVA_FU; (e) EVA_Cu_FU; (f) EVA_Cu_Ag
Bild vergrößern
Fig. 2
Injection molded: (a) LDPE; (b) LDPE_Cu; (c) LDPE_Ag; (d) LDPE_FU; (e) LDPE_Cu_FU; (f) LDPE_Cu_Ag
Bild vergrößern
Zema et al. (2012) explored injection molding for manufacturing drug delivery systems and highlighted its suitability for high-quality, scalable implant manufacturing with a wide range of amorphous and semi crystalline polymers [11]. Usually, when compared to injection molded samples, the 3D printed parts present lower density with a higher amount of defects and pores, which leads to anisotropic mechanical resistance and much lower mechanical strength [16]. Also, the higher amount of pores increase drug dissolution, leading to higher release rates and less release period.

3.2 Characterization of IUDs

3.2.1 SEM for morphology analysis and EDS of drug particles

SEM analysis at 500x magnification revealed differences in surface morphology and drug dispersion between 3D-printed (Fig. 31) and injection-molded devices (Fig. 32). The 3D-printed samples displayed visible deposition lines and localized surface irregularities, indicating heterogeneity in drug incorporation, especially in dual-drug systems. Injection-molded samples showed denser and smoother surfaces, with fewer visible accumulations; fissures and cavities were occasionally observed, depending on the incorporated drug. EDS confirmed the presence of the expected elements and spectra can be supplied upon request. Presence of copper identified CuSO₄ incorporation, and fluorine detection confirmed fluorouracil, with low-intensity peaks consistent with dispersed particles. Silver signals confirmed silver sulfadiazine, appearing as isolated but distinct peaks. Sulfur was also detected, corroborating the presence of the sulfonamide group. In dual-drug devices, spectra showed both characteristic elements, with relative peak intensities reflecting differences in surface distribution [9, 17]. SEM of drug particles at 500x magnification (a) CuSO4; (b) FU and (c) SDAg are supplied as supplementary material.
Fig. 3
1) SEM images at 500x magnification of the 3D printed IUDs with EVA: (a) EVA_Cu; (b) EVA_FU; (c) EVA_Ag; (d) EVA_Cu_FU; EVA_Cu_Ag. 2) SEM images of Injection molded LDPE IUDs: (a) LDPE_Cu; (b) LDPE_FU; (c) LDPE_Ag; d) LDPE_Cu_FU; (e) LDPE_Cu_Ag
Bild vergrößern

3.2.2 Fourier transform infrared spectroscopy

The FTIR spectra of the IUDs, Fig. 4, revealed the characteristic absorptions of the polyethylene-based matrices together with the bands associated with the incorporated drugs. The polymer displayed the typical CH₂ stretching (2915–2848 cm⁻¹), CH₂ bending (1470–1460 cm⁻¹), and CH₂ rocking (730–720 cm⁻¹), with EVA also presenting additional absorptions at 1750 cm⁻¹ (C = O stretching) and 1100 cm⁻¹ (C–O stretching) from the vinyl acetate component. Drug incorporation was confirmed by the appearance of specific bands: broad absorptions at 3200–3600 cm⁻¹ and signals at 1650–1700 and 700 cm⁻¹ for fluorouracil (N–H/O–H, C = O, C–F); sulfate-related vibrations at 1450–1100 cm⁻¹ and a band near 600 cm⁻¹ for copper sulfate (SO₄²⁻ and Cu–O); and absorptions at 3200–3400, 1600–1650, and 1100 cm⁻¹ for silver sulfadiazine (N–H, C = O, S = O), together with a signal near 600 cm⁻¹ from aromatic C = C. In dual-drug formulations, overlapping of characteristic bands was observed, with moderate intensity reduction and band broadening, consistent with simultaneous incorporation of multiple compounds [18, 19]. From a processing standpoint, FTIR spectra of injection-molded and 3D-printed devices did not show chemical changes to the polymer matrices, confirming structural preservation. The main differences are due to drug presences: in 3D-printed samples, drug signals were sometimes more evident due to localized accumulation at the surface, while injection-molded samples showed relatively attenuated peaks, consistent with denser packing and more homogeneous drug distribution. Regarding the matrices, EVA consistently displayed clearer drug-related absorptions compared to LDPE, suggesting more favorable interactions between the polar functional groups of EVA and the incorporated drugs, whereas LDPE spectra indicated the presence of the actives but with lower band intensities, which may result not only from reduced chemical interactions but also from the denser, more compact structure of LDPE that limits spectral contribution of the incorporated drugs [17, 20].
Fig. 4
Infrared Spectroscopy of pure LDPE; EVA; CuSO4; FU and SDAg, combined with drug loaded LDPE_Cu; LDPE_FU; LDPE_Ag and LDPE_Cu_FU, LDPE_Cu_Ag, and EVA_Cu; EVA_FU; EVA_Ag and EVA_Cu_FU, EVA_Cu_Ag
Bild vergrößern

3.2.3 Differential scanning calorimetry

DSC analysis revealed that drug incorporation altered polymer crystallinity and thermal behavior. Injection-molded LDPE exhibited a melting peak at 125 °C with 33% crystallinity, which decreased to 25–28% upon drug loading, indicating partial disruption of the crystalline phase. FU melted at 290 °C, CuSO₄ showed peaks near 75 °C and 250 °C (dehydration), and AgSD was thermally undetected, consistent with amorphous dispersion. Dual-drug LDPE devices displayed overlapping peaks with reduced intensity, suggesting partial molecular dispersion and heterogeneous distribution within the dense matrix. 3D-printed EVA devices, containing 12% vinyl acetate, also exhibited reduced crystallinity upon drug incorporation, with slight shifts in melting temperatures [13, 21]. FU and CuSO₄ were detected at 290 °C and 260 °C, respectively, while AgSD remained amorphous. Compared to LDPE, EVA displayed slightly more pronounced drug-related endotherms, reflecting improved dispersion and interactions between the polar vinyl acetate segments and the incorporated drugs. Overall, DSC confirms successful incorporation of FU and CuSO₄ in both matrices, with AgSD remaining amorphously dispersed, and highlights the combined influence of polymer chemistry and fabrication method on thermal behavior and drug distribution. Figure 5 displays DSC information on LDPE and EVA samples, whereas Table 4 presents the data extracted from the curves.
Fig. 5
DSC curve from LDPE and EVA based samples during the first heating cycle
Bild vergrößern
Table 4
Data obtained from the DSC curves for drugs, HDPE and EVA samples
Sample
Tm1 (°C)
ΔH1 (J/g)
Tm2 (°C)
ΔH2 (J/g)
Tm3 (°C)
ΔH3 (J/g)
LDPE
97. 5
108
    
FU
    
290.3
181.07
CuSO4
  
292
362.2
  
LDPE_FU
132
88
  
300
14
LDPE_Cu
134
123
261.7
76.9
  
LDPE_Cu_Ag
132
89
292.5
6
  
LDPE_Cu_FU
133
76.1
261.4
23.8
299
14
EVA
96
108
    
EVA_Cu
101
38
252
18
  
EVA_Ag
97
97
    
EVA_FU
97
94
  
387
3
EVA_Cu_FU
102
2
270
2
291
3
EVA_Cu_Ag
98
41
273
7
  

3.2.4 Flexural tests

Flexural testing demonstrated that polymer type and drug incorporation significantly influence mechanical performance, in agreement with thermal and spectroscopic analyses (Fig. 6; Table 5). Injection-molded LDPE devices exhibited consistent behavior, with pure LDPE showing a flexural modulus of 31 ± 1 MPa and stress at 5% strain of 1.0 ± 0.3 MPa. Single-drug formulations slightly increased modulus and stress (LDPE_FU: 41 ± 1 MPa, 2.0 ± 0.3 MPa; LDPE_Cu: 38 ± 1 MPa, 2.0 ± 0.2 MPa), while dual-drug LDPE_Cu_FU maintained similar properties (36 ± 1 MPa, 2.0 ± 0.3 MPa). DSC analysis indicated reduced polymer crystallinity with drug incorporation, while FTIR confirmed successful incorporation of FU and CuSO₄, suggesting that uniform drug dispersion preserved structural integrity and mechanical resilience. In contrast, 3D-printed EVA devices showed higher stiffness for single-drug samples (EVA_FU: 116 ± 4 MPa, 4 ± 2 MPa; EVA_Ag: 95 ± 9 MPa, 3 ± 1 MPa), but dual-drug formulations exhibited dramatic reductions in modulus and stress (EVA_Cu_FU: 5.0 ± 0.5 MPa, 0.23 ± 0.10 MPa; EVA_Cu_Ag: 6.00 ± 0.67 MPa, 0.25 ± 0.10 MPa), reflecting heterogeneous drug incorporation, local agglomeration and porosity. DSC indicated partial amorphization and peak attenuation for dual-drug EVA, while FTIR revealed overlapping drug bands, supporting the conclusion that uneven dispersion compromised mechanical performance. Mechanical performance on 3D printed devices could be improved by increasing infill density, optimizing material flow, and adjusting printing temperature, however, a degree of porosity is intrinsic to fused filament fabrication. These results highlight the advantages of injection molding for dual-drug IUDs, providing homogeneous drug distribution, preserved polymer crystallinity, and reliable mechanical performance. In contrast, 3D printing requires careful optimization of drug loading and layer deposition to maintain structural integrity while achieving therapeutic efficacy [10].
Fig. 6
Stress versus strain for the (a) EVA and (b) LDPE samples on flexural testing
Bild vergrößern
Table 5
Tensile properties LDPE and EVA samples obtained from the tensile experiments
Sample
Flexural Modulus
(MPa)
Stress
(at 5% Strain)
EVA
58 ± 2
2 ± 0.6
EVA_Cu
76 ± 2
3 ± 0.9
EVA_Ag
95 ± 9
3 ± 1
EVA_FU
116 ± 4
4 ± 2
EVA_Cu_FU
5 ± 0.5
0.23 ± 0.1
EVA_Cu_Ag
6 ± 0.7
0.25 ± 0.1
LDPE
31 ± 1
1 ± 0.3
LDPE_Cu
38 ± 1
2 ± 0.2
LDPE_Ag
40 ± 1
2 ± 0.4
LDPE_FU
41 ± 1
2 ± 0.3
LDPE_Cu_FU
36 ± 1
2 ± 0.3
LDPE_Cu_Ag
30 ± 1
2 ± 0.4

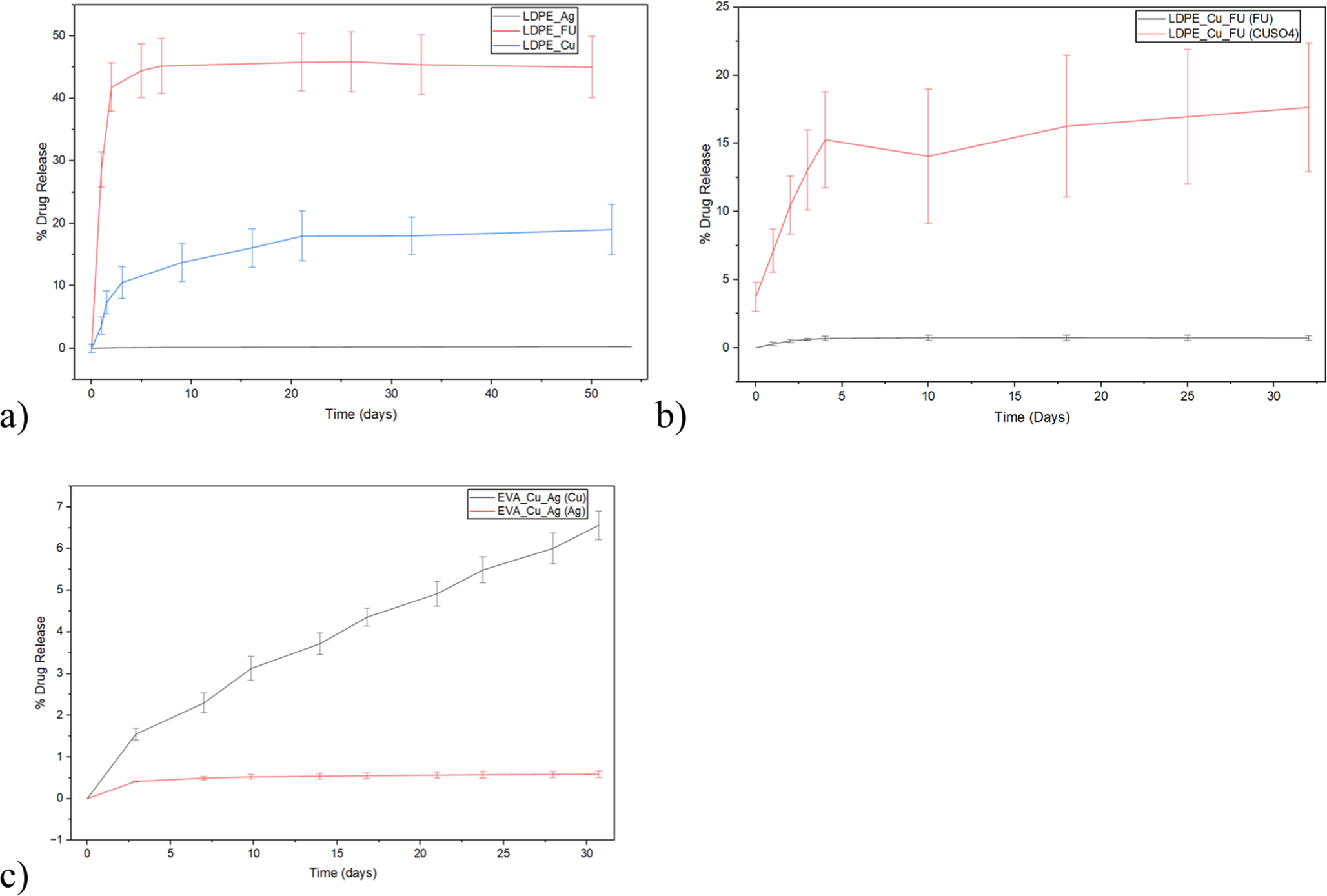
3.2.5 Drug release profile

On multidrug devices, a biphasic release pattern was observed, with an initial burst phase, followed by a slower, sustained release period. For 3D-printed EVA devices (Fig. 7), the burst effect was more pronounced, reaching approximately 15% release during the first days, followed by a near-linear release rate of 3% per day. In contrast, injection-molded LDPE devices (Fig. 8) exhibited a much smaller burst, indicating denser morphology and stronger polymer–drug interactions. After the initial phase, copper sulfate and fluorouracil presented slower release rates, consistent with improved drug encapsulation and limited pore formation in the molded systems. Among the single-drug devices, fluorouracil exhibited the highest cumulative release (8% in 50 days for EVA), followed by copper sulfate (3% in 30 days) and silver sulfadiazine (< 2% in 60 days). The slow and incomplete release of silver sulfadiazine can be attributed to its low aqueous solubility. This behavior is advantageous for prolonged antimicrobial protection, where initial burst release of copper or fluorouracil provides rapid prophylactic activity, while the persistent, contact-based effect of silver ensures long-term antimicrobial efficacy [22, 23]. In dual-drug formulations, release behavior reflected both solubility and medium-dependent effects. In the Cu/FU system, copper release (1.5% in 30 days for LDPE; 5% higher for EVA) was favored by the deionized-water medium, while fluorouracil release decreased due to lower solubility and competition for diffusion pathways. The opposite trend was observed for single-drug systems, where fluorouracil released faster in PBS/ethanol. These findings emphasize that drug to drug and drug to medium interactions can alter diffusion kinetics in complex formulations. The denser, less porous structure of injection-molded LDPE significantly reduced burst effects and extended the release period compared to 3D-printed EVA. This morphological compactness, corroborated by SEM and DSC analyses, leads to improved control over drug diffusion and enhanced reproducibility. Similar multiphase release kinetics have been reported for 3D-printed bone scaffolds and wound dressings [24], where an early burst enhances initial antimicrobial action, followed by a sustained therapeutic phase. Overall, the combination of an early, controlled burst and a prolonged release tail demonstrates the potential of these systems for dual-function intrauterine devices. Injection-molded LDPE offered superior control and predictability of drug release, while 3D-printed EVA provided higher initial output, which may be beneficial in applications requiring rapid local drug delivery. Balancing porosity, drug loading, and polymer density is critical to tailor release profiles for specific therapeutic needs [5]. These results demonstrate that drug loading capacity, mechanical stability, and release kinetics are strongly governed by the manufacturing route, with injection molding enabling higher loadings and more controlled release, while 3D printing prioritizes rapid prototyping and faster initial drug delivery. While the present study demonstrates the feasibility of manufacturing multidrug intrauterine devices with controlled release profiles of antimicrobial agents, establishing the relationship between device drug loading and effective local tissue concentration remains the most critical and challenging translational step. Defining therapeutic thresholds, cytotoxicity limits, and sustained antimicrobial efficacy requires dedicated biological, pharmacokinetic, and dose-response studies. This gap represents a key focus for future work aimed at tailoring drug content, release kinetics, and safety profiles toward clinical application. Nonetheless, from a translational perspective, advancing these drug-eluting intrauterine devices beyond laboratory feasibility (progressing from technology readiness level (TRL) 4 toward clinical (TRL 6) or commercial implementation (TRL 9)) requires strict compliance with Good Manufacturing Practices (GMP) and medical device quality systems (ISO 13845), including full traceability of raw materials, processing parameters, and batch records. Additive manufacturing presents inherent challenges for clinical translation, particularly in achieving batch-to-batch consistency due to intrinsic process variability, which complicates process validation and performance qualification across defined upper and lower operating limits. In contrast, injection molding offers clear advantages in scalability, reproducibility, and process control, being already well established for polymeric medical devices such as spinal cages and biodegradable orthopaedic screws. However, the incorporation of active pharmaceutical ingredients introduces additional regulatory complexity related to content uniformity. Addressing these regulatory, technical, and financial requirements through coordinated involvement of stakeholders is essential for successful clinical translation and commercialization.
Fig. 7
AgSD, CuSO4 and FU release from 3 d printed IUDs single (a) and multidrug formulations EVA_Cu_Fu b) and EVA_Cu_Ag c)
Bild vergrößern
Fig. 8
AgSD, CuSO4 and FU release from injection molded IUDs single (a) and multidrug formulations LDPE_Cu_Fu b) and LDPE_Cu_Ag c)
Bild vergrößern

4 Conclusion

The present work showed that it was possible to manufacture EVA and LDPE based IUDs with the incorporation of CuSO4, SDAg and FU through 3D printing and Injection Molding, with consistent drug loading in both single and multidrug devices.
The FTIR analysis confirmed successful drug incorporation, while DSC indicated reduced polymer crystallinity upon drug loading, particularly in multidrug formulations. Mechanical testing revealed consistent flexural performance for injection-molded LDPE, whereas 3D-printed EVA devices exhibited greater variability and significant mechanical modification in multidrug systems.
The drug release tests demonstrated significant differences on the use of EVA and LDPE matrices for, as expected, and that the processes also influence the drug release requirements due to drug content and dispersion effect. Drug release assays also demonstrated biphasic kinetics, with an initial burst followed by sustained release. The smaller burst effect and slower release observed in LDPE devices indicate more homogeneous drug dispersion and higher densities, enabling extended therapeutic profiles. These controlled-release characteristics, combined with mechanical robustness, suggest that injection-molded LDPE provides a more reliable platform for high production of long-term, multi-drug intrauterine delivery, while 3D-printed EVA remains suitable for rapid manufacturing of customized applications requiring faster initial drug release.
This work demonstrates the potential of multi-drug polymeric IUDs manufactured by 3D printing and Injection Molding as adaptable systems for localized, sustained treatment in gynecological antimicrobial and anticancer applications for improve women`s health. Forthcoming work including biological tests and systematic drug content determination, which could provide insights on device performance and therapeutic effectiveness.

Declarations

Competing Interests

The authors declare that they have no known competing financial interests or personal relationships that could have appeared to influence the work reported in this paper.The authors have no relevant financial or non-financial interests to disclose.
Open Access This article is licensed under a Creative Commons Attribution 4.0 International License, which permits use, sharing, adaptation, distribution and reproduction in any medium or format, as long as you give appropriate credit to the original author(s) and the source, provide a link to the Creative Commons licence, and indicate if changes were made. The images or other third party material in this article are included in the article’s Creative Commons licence, unless indicated otherwise in a credit line to the material. If material is not included in the article’s Creative Commons licence and your intended use is not permitted by statutory regulation or exceeds the permitted use, you will need to obtain permission directly from the copyright holder. To view a copy of this licence, visit http://creativecommons.org/licenses/by/4.0/.

Publisher’s note

Springer Nature remains neutral with regard to jurisdictional claims in published maps and institutional affiliations.
Download
Titel
Investigation on 3D printing and injection molding of intrauterine devices with antimicrobial and anticancer activity
Verfasst von
Tauana Batistella
Maria Johann Fensterseifer
Loise Silveira da Silva
Gustavo Ferrari
Gean Vitor Salmoria
Publikationsdatum
02.03.2026
Verlag
Springer London
Erschienen in
The International Journal of Advanced Manufacturing Technology
Print ISSN: 0268-3768
Elektronische ISSN: 1433-3015
DOI
https://doi.org/10.1007/s00170-026-17733-2
1.
Zurück zum Zitat Salmoria GV, Ghizoni GB, Gindri IM, Marques MS, Kanis LA (2019) Hot extrusion of PE/fluorouracil implantable rods for targeted drug delivery in cancer treatment. Polym Bull 76(4):1825–1838CrossRef
2.
Zurück zum Zitat Salmoria GV, Vieira FE, Muenz EA, Gindri IM, Marques MS, Kanis LA (2018) Additive manufacturing of PE/fluorouracil/progesterone intrauterine device for endometrial and ovarian cancer treatments. Polym Test 71:312–317CrossRef
3.
Zurück zum Zitat Moscicki AB, Flowers L, Huchko MJ, Long ME, MacLaughlin KL, Murphy J et al (2025) Updated review for guidelines for cervical cancer screening in immunosuppressed women without HIV infection. J Low Genit Tract Dis 29(2):168–179CrossRef
4.
Zurück zum Zitat Wang Y, Boyd P, Hunter A, Malcolm RK (2018) Intravaginal rings for continuous low-dose administration of cervical ripening agents. Int J Pharm 549(1):124–132CrossRef
5.
Zurück zum Zitat Ferrari G, Thives Mello A, Melo G, de Mello Roesler CR, Salmoria GV, de Souza Pinto LP et al (2021) Polymeric implants with drug-releasing capabilities: a mapping review of laboratory research. Drug Dev Ind Pharm 47(10):1535–45CrossRef
6.
Zurück zum Zitat AlAnsari R, Hasan B, Deen GR, Torsten U (2024) Hydrogel- and Nanocomposite-Based Drug-Delivery Strategies in the Treatment of Vaginal Infections. Polymers [Internet]. ;16(6). Available from: https://www.mdpi.com/2073-4360/16/6/775
7.
Zurück zum Zitat Boateng J, Burgos-Amador R, Okeke O, Pawar H (2015) Composite alginate and gelatin based bio-polymeric wafers containing silver sulfadiazine for wound healing. Int J Biol Macromol 79:63–71CrossRef
8.
Zurück zum Zitat Beattie DA, Chapelet JK, Gräfe M, Skinner WM, Smith E (2008) In situ ATR FTIR studies of SO4 adsorption on goethite in the presence of copper ions. Environ Sci Technol 42(24):9191–9196CrossRef
9.
Zurück zum Zitat Jangir DK, Charak S, Mehrotra R, Kundu S (2011) FTIR and circular dichroism spectroscopic study of interaction of 5-fluorouracil with DNA. J Photochem Photobiol B 105(2):143–148CrossRef
10.
Zurück zum Zitat Faker M, Razavi Aghjeh MK, Ghaffari M, Seyyedi SA (2008) Rheology, morphology and mechanical properties of polyethylene/ethylene vinyl acetate copolymer (PE/EVA) blends. Eur Polym J 44(6):1834–1842CrossRef
11.
Zurück zum Zitat Zema L, Loreti G, Melocchi A, Maroni A, Gazzaniga A (2012) Injection molding and its application to drug delivery. J Controlled Release 159(3):324–331CrossRef
12.
Zurück zum Zitat Genina N, Holländer J, Jukarainen H, Mäkilä E, Salonen J, Sandler N (2016) Ethylene vinyl acetate (EVA) as a new drug carrier for 3D printed medical drug delivery devices. Eur J Pharm Sci Off J Eur Fed Pharm Sci 90:53–63
13.
Zurück zum Zitat de Carvalho Rodrigues V, Guterres IZ, Savi BP, Silva IT, Fongaro G, Salmoria GV (2022) 3D-Printed EVA Devices for Antiviral Delivery and Herpes Virus Control in Genital Infection. Viruses [Internet]. ;14(11). Available from: https://www.mdpi.com/1999-4915/14/11/2501
14.
Zurück zum Zitat Gim J, Turng LS (2022) A review of current advancements in high surface quality injection molding: Measurement, influencing factors, prediction, and control. Polym Test 115:107718CrossRef
15.
Zurück zum Zitat Ferrari G, da Silva LS, Batistella T, Mannes S, Silveira JPV, Piva CP et al (2025) 3D printing of intrauterine device loaded with silver sulfadiazine to the treatment of fungal diseases. Int J Adv Manuf Technol 137(1):105–116CrossRef
16.
Zurück zum Zitat Podsiadły B, Skalski A, Rozpiórski W, Słoma M (2021) Are we able to print components as strong as injection molded?—comparing the properties of 3D printed and injection molded components made from ABS thermoplastic. Appl Sci. https://doi.org/10.3390/app11156946CrossRef
17.
Zurück zum Zitat de Melo DF, Guedes GG, de Carvalho Moreira LMC, Oshiro-Júnior JA, de Lima Damasceno BPG (2023) Physicochemical characterization of silver sulfadiazine in polymeric wound dressings. Curr Pharm Des 29(11):865–82CrossRef
18.
Zurück zum Zitat Tafti AA, Demers V, Vachon G, Brailovski V (2023) Influence of powder size on the moldability and sintered properties of irregular iron-based feedstock used in low-pressure powder injection molding. Powder Technol 420:118395CrossRef
19.
Zurück zum Zitat Ramírez-Hernández A, Aguilar-Flores C, Aparicio-Saguilán A (2019) Fingerprint analysis of FTIR spectra of polymers containing vinyl acetate. DYNA 86(209):198–205CrossRef
20.
Zurück zum Zitat Venkataraman M, Nagarsenker M (2013) Silver sulfadiazine nanosystems for burn therapy. AAPS PharmSciTech 14(1):254–264CrossRef
21.
Zurück zum Zitat Reyes-Labarta JA, Olaya MM, Marcilla A (2006) DSC and TGA study of the transitions involved in the thermal treatment of binary mixtures of PE and EVA copolymer with a crosslinking agent. Polymer 47(24):8194–8202CrossRef
22.
Zurück zum Zitat Aboelezz A, Kharouba M, Mahmoud SH (2025) Acyclovir dosing strategies in herpes encephalitis: a retrospective charts review. J Clin Neurosci 136:111230CrossRef
23.
Zurück zum Zitat Birkmann A, Saunders R (2025) Overview on the management of herpes simplex virus infections: current therapies and future directions. Antiviral Res 237:106152CrossRef
24.
Zurück zum Zitat Jariwala SH, Lewis GS, Bushman ZJ, Adair JH, Donahue HJ (2015) 3D printing of personalized artificial bone scaffolds. 3D Print Addit Manuf 2(2):56–64CrossRef

    Marktübersichten

    Die im Laufe eines Jahres in der „adhäsion“ veröffentlichten Marktübersichten helfen Anwendern verschiedenster Branchen, sich einen gezielten Überblick über Lieferantenangebote zu verschaffen. 

    Bildnachweise
    MKVS GbR/© MKVS GbR, Nordson/© Nordson, ViscoTec/© ViscoTec, BCD Chemie GmbH, Merz+Benteli/© Merz+Benteli, Robatech/© Robatech, Ruderer Klebetechnik GmbH, Xometry Europe GmbH/© Xometry Europe GmbH, Atlas Copco/© Atlas Copco, Sika/© Sika, Medmix/© Medmix, Kisling AG/© Kisling AG, Dosmatix GmbH/© Dosmatix GmbH, Innotech GmbH/© Innotech GmbH, Hilger u. Kern GmbH, VDI Logo/© VDI Wissensforum GmbH, Dr. Fritz Faulhaber GmbH & Co. KG/© Dr. Fritz Faulhaber GmbH & Co. KG, ECHTERHAGE HOLDING GMBH&CO.KG - VSE, mta robotics AG/© mta robotics AG, Bühnen, The MathWorks Deutschland GmbH/© The MathWorks Deutschland GmbH, Spie Rodia/© Spie Rodia, Schenker Hydraulik AG/© Schenker Hydraulik AG