Zum Inhalt

Measurement of the Tension Loss in a Cable Traveling Over a Pulley, for Low-Speed Applications

  • Open Access
  • 20.09.2024
  • Research paper
Erschienen in:

Aktivieren Sie unsere intelligente Suche, um passende Fachinhalte oder Patente zu finden.

search-config
loading …

Abstract

Der Artikel stellt eine Methode zur Messung des Zugverlustes in einem Seil vor, das über eine Umlenkrolle fährt, wobei der Schwerpunkt auf Anwendungen mit niedriger Geschwindigkeit liegt. Es wird die Konstruktion eines Messgeräts diskutiert, das Zugverluste minimiert und eine robuste Bewertungsmethode zur genauen Bestimmung des Reibungskoeffizienten auch bei Nichtlinearitäten darstellt. Der Artikel untersucht auch den Einfluss interner Reibung und hysteretischen Verhaltens auf den Zugverlust des Kabels und vergleicht die Messergebnisse mit theoretischen Modellen. Die vorgestellte Methode bietet neue Einblicke in den Zugverlust von Drahtseilen und einen praktischen Ansatz zur Messung und Charakterisierung des Kabelverhaltens.
A. Szekrényes contributed to this work.

Publisher's Note

Springer Nature remains neutral with regard to jurisdictional claims in published maps and institutional affiliations.

Introduction

The aim of this paper is to present a measurement method, through which the tension loss in a cable traveling through a pulley can be measured. The motivation for this project originated from the design of a measuring device in which cables should be able to move through a system of pulleys with the lowest tension loss possible. Since the friction itself cannot be eliminated the main goal was to reduce it to a minimum and to measure its value, so that it can be incorporated into the models later. However, as discussed later in the Introduction, cable drives are popular solutions for their light weight and versatility, which also supplied motivation for the present work.
Besides presenting a new measurement method, the article also discusses the linearity of the S-beam load cells for cases when the force that needs to be measured is not coinciding with the axis of the load cell. It is demonstrated that for moderate off-axis loads the load cell’s response can still be considered linear, and the error induced will be proportional to the measured force.
Further, it is proven that with an indirect method, the coefficient of friction (or coefficient of tension loss) can be determined accurately even for a setup that includes nonlinearities such as hysteretic cable behavior or nonlinear testing machine stiffness. The presented method provides a robust procedure that does not need calibrated measurement devices.
At the end of the article, a relationship is presented between the cable’s bending characteristic and the tension loss induced by the internal friction of the cable. This provides new insight into the tension loss of wire ropes moving over rotating sheaves. It is demonstrated that the tension loss caused by the wire rope itself can be approximated by the hysteretic energy dissipated during a bending cycle. The measurement evaluation focuses mainly on the tension loss caused by the cable itself; an overview of cables, wire ropes, and the literature related to measuring their behavior is given below.
Cables or wire ropes are built from thin metallic wires wound around a core to form a strand. A wire rope is created by laying several strands around a core [1], but simple ropes consisting of a single strand are available, too. The simplest of these nowadays is the 1x7-type cable consisting of a single strand [2]. In this article, theoretical calculations will be available for single-strand 1x7 and 1x19-type cables, although measurement results are presented for 7x19 and 7x7-type multi-strand cables, too. The reason for choosing the single-strand 1x7 and 1x19 cables was that multiple models are available in the literature that give solutions for their bending behavior [35] and the dissipated power when they are moving through a sheave [1, 6], thus the measurement results can be compared to theoretical calculations. The cable properties are listed in Table 2.
Cables made of helically wrapped wires have a wide variety of uses. They are used as support elements in construction, they are used for force transmission in lifting devices, and as electrical conductor cables.
Although ropes, cords, and cables in general are widely used because of their versatility and the ability to carry large axial loads with low bending and torsional stiffness [1], their mechanical behavior is hard to describe. Wire ropes in general have a hysteretic behavior that causes hardship in many applications. The hysteretic behavior may appear in every loading scenario because of the internal friction and relative movement between the wires that build up the cable [2].
It is also well known from the literature that helically wound cables traveling over sheaves will have a greater tension loss than the loss from the bearing friction. Feyrer defines in his book "Wire Ropes" [2] the rope efficiency as the ratio of output and input force (i. e. the ratio of the rope tensions on the two sides of the sheave, which will always be greater than one), and states that the tension loss is due to the energy lost to the bearing friction, the internal friction of the rope itself and the deformation in the contact zone of rope and sheave. Schraft et al. [7] derived an equation from the tension loss as a function of the cable diameter, sheave diameter, input tension, and some rope-specific constants. This is an empirical formula based on his measurement results and some from Rubin [8] and Hecker [9].
Cables are also used for force transmission in robotic drives; Liu et al. [10] designed an artificial ankle joint in which a cable pulley was proposed to imitate a human-like actuation that requires precise force- and displacement transmission. Miyasaka et al. [11] presented the friction measurement for a cable-driven surgical robotic system. The behavior of these cable drives is heavily investigated nowadays since they are cost-effective and can be used to build space-efficient, lightweight drives. However, they have a hysteretic behavior, which induces backlash and frictional losses. Lu et al. [12] investigated a cable drive where the cable bending stiffness was also included in the model. Miyasaka et al. [13] proposed a hysteresis model to describe the behavior of an axially loaded cable, which was then later used in the modeling of a cable-driven robot [14], which included the cable-pulley network friction and the cable hysteresis, too. Chen et al. [15] presented an experimental setup for measuring and characterizing the Bowden cable friction, which measured the tension force on both ends of the cable with the help of an optical tracking system and two springs.
In the present paper, the setup is somewhat similar to the one shown by Chen et al. since a cable is being moved through a dissipative machine element (Bowden cable sheath for Chen et al., bearing in this article) against a linear spring and cable tension is measured at both ends.

Measurement

Measurement Setup and Initial Results

The measurement of the frictional force on the rope is performed with a device shown in Figs. 1 and 5. The initial trials were made with a slightly different setup (load cells mounted on hooks to place the load cell under practically pure tension), which is presented in Fig. 4. Later, this was discarded, and every result presented in "Measurement Results" section is based on measurements made with the load cells fixed directly to the cross-head. The basis for building the setup was a biaxial tensile test machine developed at the Department of Applied Mechanics at the Budapest University of Technology and Economics. The reason for choosing this device as a basis was that it had sufficient load cells mounted already, which made it easy to build the setup. A similar measurement device can be seen in the work of Nabijou and Hobbs [16], without the spring, who measured the tension loss caused by the friction between the sheave and wire rope. In their setup, the rope was static, under tension, and the sheave was being turned so that relative movement occurred between them.
The idea behind this measurement is that the rope on one side of the pulley is considerably stiffer than the spring on the other side (in this case, there were two orders of magnitude between the two stiffnesses). Pulling upwards forces the pulley to rotate in a predefined direction (Fig. 1) due to the different stiffnesses of the rope ends. If the force is measured on both sides (or on one side and on the pulley), the exact frictional force exerted onto the rope by the bearing-pulley unit can be determined. Since the force on the pulley changes proportionally with the displacement \(\Delta u\), one can get many measurement points and check the linear proportionality between the bearing load P and the frictional force \(F_f\) in one measurement.
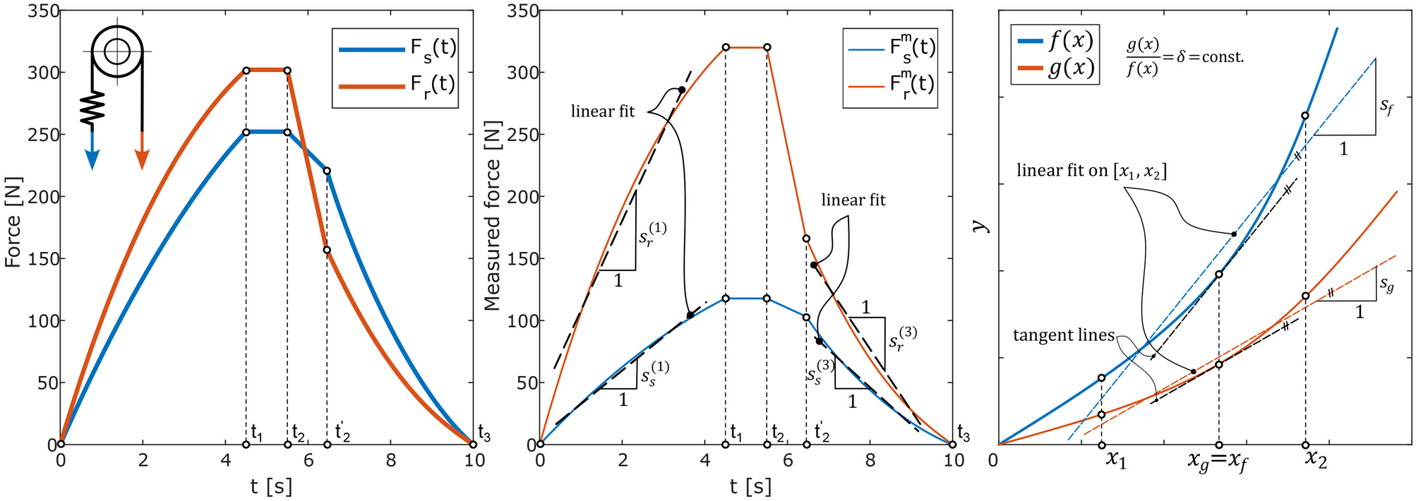
Fig. 1
The schematic diagram of the measurement setup (left) and the free-body diagrams of the rope-sheave system (right-top) and rope (right-bottom)
Bild vergrößern
Fig. 2
The prescribed pulley movement as a function of time for one measurement
Bild vergrößern
Theoretically, with an ideal rope, the only dissipative element is the bearing, which exerts a frictional moment on the sheave (\(M_f\)) proportional to its total radial load. The bearing’s axial loads are negligible in the present application. The frictional moment then can be divided by the rope centerline radius to get the tension loss in the rope line (\(F_f\)), as presented in equation (1):
$$\begin{aligned} F_f=\dfrac{M_f}{R}, \end{aligned}$$
(1)
where R is the radius of the rope centerline on the sheave (\(R=24 \text { mm}+d_c/2\) for all measurements presented here, \(d_c\) being the cable diameter). Different bearing manufacturers provide different calculational methods for the frictional moment of the bearings, which also highly depends on the rotational speed of the bearing. However, since the bearings used were manufactured by Koyo Seiko Co., Ltd., their calculation method was considered. The Koyo bearings catalog [17] suggests the formula given in equation (2):
$$\begin{aligned} M_f=\mu _b \cdot P \cdot \dfrac{d}{2}, \end{aligned}$$
(2)
where d is the shaft diameter and P is the load of the bearing. The reference value for the coefficient of friction according to the catalog is \(\mu _b \approx 0.001..0.0015\), which should be true at least for low-speed applications. In the application that required the tension loss measurement, the pulleys’ rotational speeds are around 5 r.p.m. During the measurements, the rotational speed of the sheave was 8 r.p.m. Both values can be considered negligible for a deep groove ball bearing. Thus, the speed component in the frictional moment of the bearing can be neglected. In the application, the bearing load (P) would be equal to the radial load since, theoretically, no axial loads are present (\(P=F_r+F_s\)).
The main interest lies in the coefficient of friction which is defined as the proportion of the frictional force on the rope and the load of the bearing, which for this measurement setup can be given as presented in equation (3):
$$\begin{aligned} \mu =\dfrac{\Vert F_f\Vert }{F_r+F_s} \end{aligned}$$
(3)
If one wants to calculate the bearing’s coefficient of friction, and no other losses are present, equation (4) shall be used:
$$\begin{aligned} \mu _b=\dfrac{2\cdot F_f\cdot R }{(F_r+F_s)\cdot d} \end{aligned}$$
(4)
In the configuration in Fig. 1, if the pulley is pulled upwards (positive y direction), it rotates clockwise; when it moves downwards, it rotates counterclockwise. For this, when the pulley moves downwards, the frictional force changes direction, and when calculated according to the formula given in equation (5), it will have a negative value.
$$\begin{aligned} F_f=F_r-F_s \end{aligned}$$
(5)
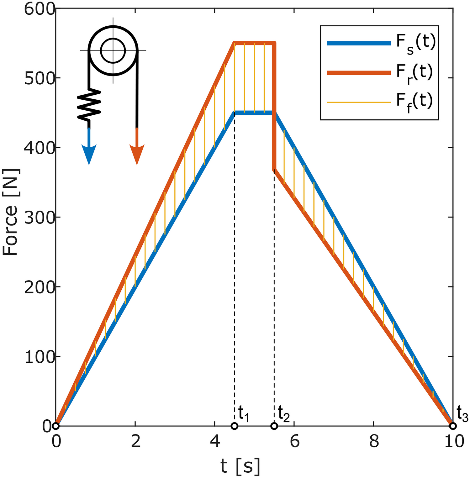
The pulley was moved on a zig-zag path in time, as presented in Fig. 2. This movement produces 6 up-down cycles which can be used as a measurement. The pulley is never lowered totally not to lose tension which would allow any relative movement of the parts. A theoretical time-force diagram is shown in Fig. 3 for an up-down movement of the pulley.
Fig. 3
The theoretical function of forces in time, for an arbitrary bearing coefficient of friction \(\mu _b=0.1\) and ideal rope
Bild vergrößern
Fig. 4
A hinged load cell installation is presented in the middle image. The photograph on the left side shows the installation for the tuning of the calibrational constants. On the right side, the top graph shows the measured tension loss and the bottom graph shows the result of the direct calculation of the tension loss factor (equation (3))
Bild vergrößern
S-beam load cells are sensitive to off-axis loading [18, 19] (usually they are not recommended for applications where high accuracy is required and the mounting of the load cells may change or they are not calibrated in situ); thus, as an initial trial to eliminate the possible issues caused by any bending moments present on the load cell’s body, a hinged installation of the cells was tried with hooks and lifting eyes, as recommended for tension force measurements [18]. The contact surfaces were greased to decrease friction. Theoretically, to obtain the frictional coefficient specified in equation (3), the load cells do not need to be calibrated to an absolute scale; only their response to a given load must be the same. Since the tension loss is expected to be small compared to the bearing load, a calibration process should first be conducted, which ensures the consistency of the measured cable tensions; this is presented on the left side of Fig. 4. This was done as follows: the load cells were connected through hooks and pulled against the spring, after which their calibration constants were tuned so that their output would be the same. In this process, one of the cells was selected as a reference, and the other cell’s calibration constant was adjusted so that its force output as a function of time would have the same slope as the reference cell’s force output.
After the calibration, the load cells were installed into their intended position, as shown in the middle of Fig. 4, and two consecutive measurements were carried out. The measured tension loss and the calculated tension loss factor are shown on the right side of Fig. 4 (No.1.1. and No.1.2. results). The calibration process was repeated, and again, two measurements were carried out (No.2.1. and No.2.2. results). Here, No.1. refers to the measurements after the first calibration, No.2. refers to the results after the second calibration.
As seen in Fig. 4, the tension loss right after the calibration process (beginning of No.1.1 and No.2.1 measurements) looks realistic. However, after the first few cycles, the measured tension loss function slips to one side and becomes asymmetric. Recalibrating the cells initiates a similar process: the first cycles are acceptable, but the symmetry is gradually lost as the machine keeps cycling. The second measurements after calibration (No.1.2 and No.2.2) are already unacceptable.
It is important to note that the two calibrations yielded different calibration factors, which means that the process is not entirely deterministic if there is an assembly process. This is likely coming from minor differences between the two assemblies. Using ball joints instead of hooks and lifting eyes would not necessarily eliminate this error, as the ball joint has friction, which may induce similar errors.
Fig. 5
The measurement setup is shown on the left, while the final load cell installation on the right
Bild vergrößern
The bottom plot in Fig. 4 represents the results for the tension loss factor obtained with a direct calculation, using equation (3). For these plots, a moving average smoothing was used on the data with a window of 10000 (the total number of measurement points was 595547). One can already see that the data is too noisy, even after smoothing, and that the tension loss factor (\(\mu\)) results tend to move around two different values for the loading and unloading phases. Although the repeatability of measuring a 400 N force was good (the peak cable tension measured in these measurements was in the range of [418, 425] N, and for one single run, the variation of the peak force was below 0.5 N), the tension loss (\(F_f\)) is so small that a different approach was needed to determine the tension loss factor. To be precise, the load cells were practically under pure tension if one considers that on the right side of Fig. 4 for the second runs, the peaks are about 0.5 N away from where they should be. Therefore, the overall precision was good (this is demonstrated in "Load Cell Response Linearity" and "Eliminating the Error of the Force Measurement" sections) but not good enough for direct calculation based on equation (3).
It was hypothesized that the S-type load cell’s sensitivity to cross-loads caused the weird tension loss functions and the different values of the tension loss factor for the loading and unloading phases. A clue for this hypothesis was that rotating the pulley 180° around the vertical axis yielded similar results. Thus, the bearing-pulley assembly did not contribute to the error of the results by an asymmetric behavior.
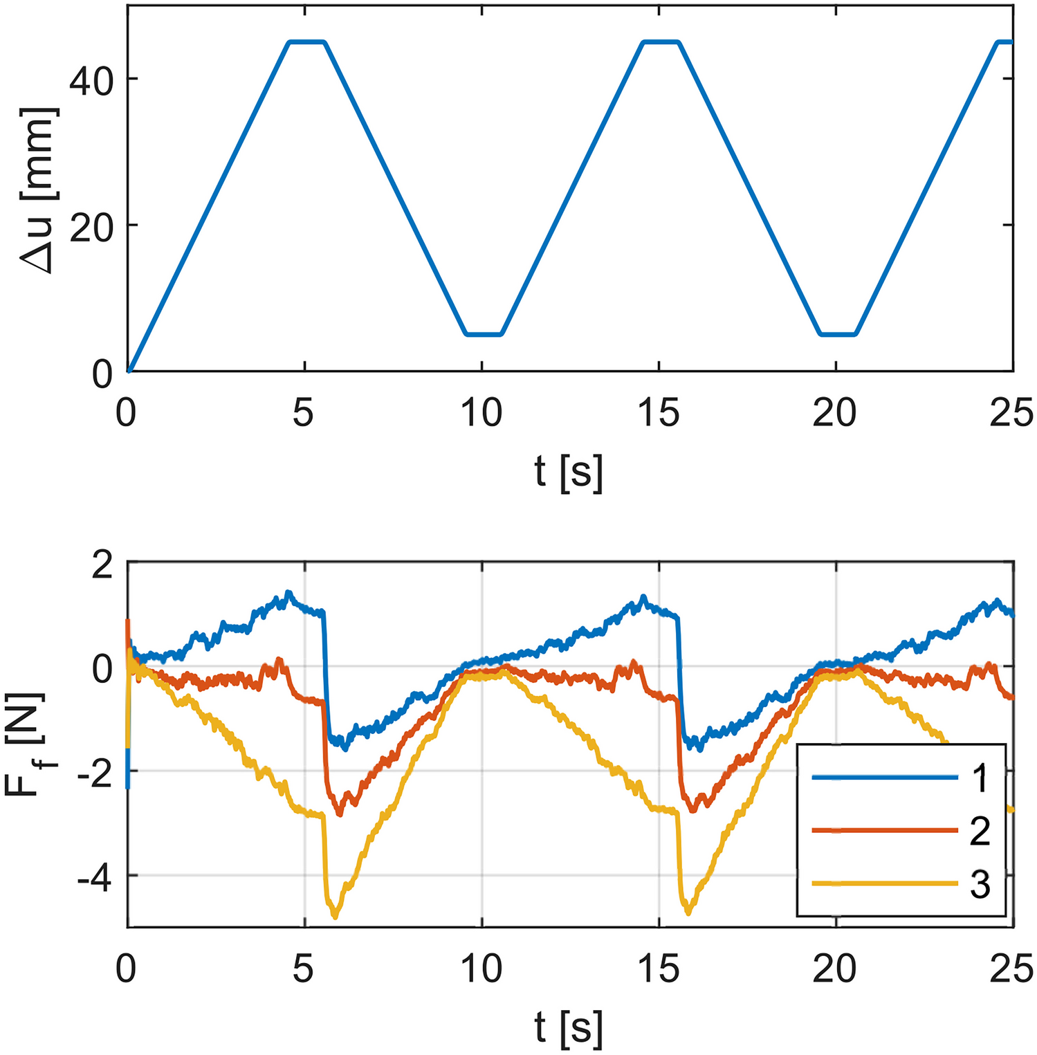
To investigate this issue further, the load cells were fixed to the cross-head. While this worsens the load quality of the cell (i.e., it increases the possibility that the cell undergoes bending, too), it makes the setup easier to handle and gives way to a deeper analysis of this issue. This setup is presented in Fig. 5. Several measurements were made with seemingly identical setups, where the rope seemingly did not deviate from the load cell’s axis. However, the setup was disassembled and reassembled several times, and the load cells were rotated around their axes. These setups theoretically should have been similar, but they yielded very different results for the tension loss function, from which three examples are presented in Fig. 6.
Fig. 6
Measurement results for three theoretically identical setups with fixed load cells. The upper plot is the pulley movement, and the lower one presents the measured tension loss
Bild vergrößern
One can see that the measurements could be considered incorrect since theoretically, the frictional force calculated by equation (5) should be increasing from zero until the maximum value, then it should have a jump, keep its absolute value but change the sign and then increase until it reaches zero again, as shown by the theoretical time-force diagram in Fig. 3. Instead, one can experience cases where the frictional force seemingly helps the rope’s movement or is not present at all. The first setup with the hinged load cells could never produce the last two results (No.2 and No.3 in Fig. 6).
An important finding of this experiment was that the error is systematic, and the results are repeatable for one assembly; while the results change after reassembly, they are repeatable if the load cells remain intact.
The only goal was to measure the \(\mu\) tension loss factor defined in equation (3), and the attempt to place the load cell under pure tension failed to provide suitable results. As later presented in "Theorethical Model" section, an evaluation method was found, which yields theoretically flawless results for any of the measurements presented above. Considering this, it was rational to keep the load cells fixed to the cross-head because, while the bending of the cell may cause greater errors in the tension loss, the whole setup is easier to handle. With proper evaluation, this measurement error does not impact the final results.

Load Cell Response Linearity

Before deriving methods in "Theoretical Model" section for correctly evaluating the seemingly flawed measurement results, it is necessary to prove that the load cell’s output is practically a linear function of the loading force, even if severe bending effects are present. This was done in two ways: by measuring the cell’s response to different cross-directional loads at different distances and by using finite element method to investigate the behavior of the load cell. The measurement setup can be seen in Fig. 7. The load cell was mounted on the wall so that its main axis (Z in Fig. 8) would be horizontal, and a threaded bar was fixed to its free end. The measurement consisted of hanging several weights (\(F_L\)) on the threaded bar at predefined distances from the cell’s edge while recording the response (\(F_E\)) to the cross-load. The process was repeated for every direction (defined as \(\{X_+,X_-,Y_+,Y_-\}\) in Fig. 8) four times, with four different \(F_L\) load values, which are indicated in the plot legends. The measured data is represented by "+", while the lines result from a linear fit. These show that the measured \(F_E\) value is practically a linear function of both the distance d and the applied cross-load \(F_L\).
Fig. 7
Measurement setup for the load cell’s sensitivity to cross-loads
Bild vergrößern
Fig. 8
Measurement results of the load cell’s \(F_E\) response to \(F_L\) cross-loads and a schematic diagram of the measurement setup
Bild vergrößern
According to the results in Fig. 8, the response is always proportional to the moment of the loading force about a given point, but one must differentiate between the load directions along axes X and Y. It can be seen that the response to the cross-load is a linear function of the distance, but the zero-response point and the slope of the characteristics may differ significantly. Since the responses for the cross-loads in the measured directions were practically linear according to Fig. 8, it can be hypothesized that the response to an arbitrary cross-load can be defined as their superposition presented in equation (6):
$$\begin{aligned} F_E=\alpha _X\cdot (d+d_{0X})\cdot F_X +\alpha _Y \cdot (d+d_{0Y})\cdot F_Y, \end{aligned}$$
(6)
where constants \(\alpha _X\),\(\alpha _Y\) and \(d_{0X}\),\(d_{0Y}\) are given in Table 1 for the used load cell, \(d_{0}\) defining the distance of the zero-response point from the edge of the cell in the negative Z direction (Fig. 8). For using equation (6), the cross-load in the X and Y directions should be given with a sign according to the coordinate system presented in Fig. 8.
Table 1
The cross-load constants of the examined load cell present in equation (6)
Direction
\(\alpha\) [1/mm]
\(d_0\) [mm]
\(X_{\pm }\)
\(3.606\,10^{-4}\)
66.94
\(Y_{\pm }\)
\(17.796\,10^{-4}\)
35.47
If the hypothesis of the superposition in the case of the cross loads’ output holds true, it could be used to superpose the axial load’s and the cross-loads’ output too, which would provide the measured force in the case when the loading force is not parallel with the load cell’s axis. Thus, in an arbitrary case, the measured force can be written as:
$$\begin{aligned} \begin{aligned} F^m&=\textbf{F} \cdot \textbf{k}+F_E \\&= \textbf{F}\cdot \textbf{k}+\alpha _X \cdot (d_{0,X}+d)\cdot \textbf{F}\cdot \textbf{i} \\&+\alpha _Y\cdot ( d_{0,Y}+d)\cdot \textbf{F}\cdot \textbf{j} \\ \implies F^m&=F \, \left[ \mathbf {e_F}\cdot \textbf{k}+\alpha _X \, (d_{0,X}+d) (\mathbf {e_F}\cdot \textbf{i}) \right. \\&\left. +\alpha _Y \, (d_{0,Y}+d)\, (\mathbf {e_F}\cdot \textbf{j} )\right] \end{aligned}, \end{aligned}$$
(7)
where \(\textbf{i}\)\(\textbf{j}\)\(\textbf{k}\) are the base vectors in the \(\{X,Y,Z\}\) coordinate system, and \(\mathbf {e_F}\) is the force’s direction vector.
In this measurement, it can be assumed that the direction of the rope does not change during the loading process. This would mean that the error of force measurement is proportional to the force thus the measured force (\(F_s^m\) and \(F_r^m\)) will also be proportional to the true force, as given in equation (8):
$$\begin{aligned} {\left\{ \begin{array}{ll} F_r^{m}=\alpha \cdot F_r \\ F_s^{m}=\beta \cdot F_s \\ \end{array}\right. } \end{aligned}$$
(8)
Although the measurements revealed that the load cell would have a linear response for the cross-loads, the superposabiltiy of the cell’s response to different loading directions has to be analyzed in depth. The linearity of the load cell response may be affected by geometrical nonlinearities and the Wheatstone bridge if the load is not purely axial.
To analyze the effect of the nonlinearity of the Wheatstone bridge and to examine the presence of possible geometrical nonlinearities, a nonlinear finite element analysis was conducted in ANSYS Workbench 2023 R1, and the results were used to estimate the error introduced by using superposition in equations (6) and (7). The FE model is presented in Fig. 9. The mesh consists of SOLID 187 type tetrahedron elements with a global size of 2 mm and 0.5 mm around the hole, where the strain is measured. The strain gauges are placed in the areas highlighted in green. The "measured" strains are the average of the tangential strains calculated at the nodes found on these green surfaces. A remote force load is applied to the surface of the threaded hole, highlighted in red. Similarly to the measurements, the force’s point of application was at \(d=40 \text {mm}\), and a fixture was applied to the bottom surface of the cell.
The strains were extracted for four different load cases. Because of the nonlinear analysis, the model was solved in 50 steps for every load case. The load cases are the following, with \(F_0=1000 \text {N}\) being the nominal maximum load of the load cell:
  • \(\mathrm {LC_1}\): only X directional load, \(F_x=0.1\, F_0\);
  • \(\mathrm {LC_2}\): only Y directional load, \(F_y=0.1\, F_0\);
  • \(\mathrm {LC_3}\): only Z directional load, \(F_z=F_0\);
  • \(\mathrm {LC_4}\): loads defined in \(\mathrm {LC_1-LC_3}\) acting simultaneously.
Fig. 9
The finite element model and the solution for the X directional strain in the third and fourth load cases. On the leftmost image, \(R_1, R_2, R_3, R_4\) represent the resistance of the strain gauges
Bild vergrößern
To get the strains \(\varepsilon _1,\varepsilon _2,\varepsilon _3,\varepsilon _4\) measured by the strain gauges, the tangential nodal strains on the green surfaces were averaged. The strain gauges are connected into a full Wheatstone bridge, the measured output voltage (V) as a function of the constant excitation voltage (\(V_{ex}\)) and strains is given in equation (9):
$$\begin{aligned} V=V_{ex}\cdot \left( \dfrac{1+GF\,\varepsilon _3}{2+GF\, (\varepsilon _3+\varepsilon _4)}-\dfrac{1+GF\,\varepsilon _2}{2+GF\, (\varepsilon _1+\varepsilon _2)}\right) , \end{aligned}$$
(9)
where GF is the gauge factor, and \(\varepsilon _i\) are the measured strains.
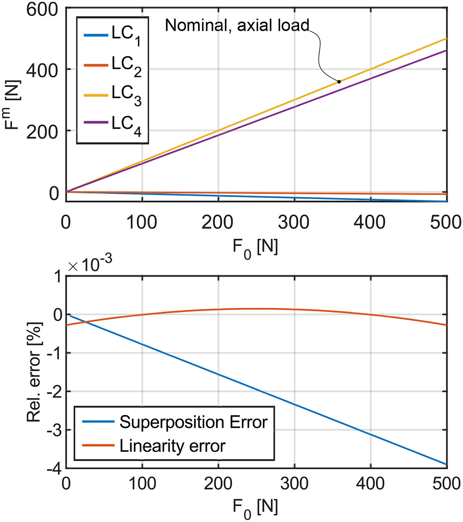
With the S-beam load cells, if the load is purely axial, then \(\varepsilon _3+\varepsilon _4=\varepsilon _1+\varepsilon _2=0\) which yields a linear response. However, if the strains in the denominator don’t balance each other, the response becomes theoretically nonlinear, which happens with the cross loads altering the character of the strain field. Since it is a good assumption that \(GF=2\) and that \(\varepsilon _i<< 1\), one can see that the nonlinearity is weak; this is demonstrated in Fig. 10. In the top graph, one can observe the force output for the four load cases separately. In the bottom graph, the relative error of the superposition is shown along with the relative error of the fourth load case compared to its linear regression. The latter represents the linearity of the force output in the case of a severely poor setup (for \(\mathrm {LC_4}\) the angle between the force and the Z axis is  8°), while the former shows the error introduced if one assumes that the superposition holds true for the force outputs.
Fig. 10
The measured force values \(F^m\) as a function of the axial load \(F_0\) for \(\mathrm {LC_1}-\mathrm {LC_4}\) (upper plot), and the relative error of the superposition along with the linearity error of the force output (lower plot)
Bild vergrößern
The lower graph in Fig. 10 clearly indicates that the deviation of the force output from a linear characteristic is extremely small and practically negligible. Furthermore, the data demonstrates that despite the output voltage being a nonlinear function of the load when it’s not on the Z axis, this nonlinearity is entirely negligible.

Theoretical Model

Model Formulation with Ideal Rope

To see the effect of the error parameters, one must build the theoretical model of the measurement process. For this, the mathematical description of one hunch was taken, similar to that in Fig. 3. The displacement of the spring endpoint is given in equation (10):
$$\begin{aligned} \Delta u_s(t)=\left\{ \begin{array}{ll} v\cdot t & , t \in [0,t_1]\\ v \cdot t_1 & , t \in (t_1, t_2) \\ v \cdot t_1-v\cdot (t-t_2) & , t \in [t_2,t_3] \\ \end{array},\right. \end{aligned}$$
(10)
where v is the velocity of the spring’s endpoint, and t is the time. The spring endpoint velocity v can be considered constant throughout the loading and unloading phases if the machine is rigid and the rope is an ideal, inextensible rope. The ends of the time intervals (\(t_1,t_2,t_3\)) are presented in Fig. 3. The spring force calculated from this is found in equation (11):
$$\begin{aligned} F_s(t)=\left\{ \begin{array}{ll} k_s\cdot v\cdot t & , t \in [0,t_1]\\ k_s\cdot v \cdot t_1 & , t \in (t_1, t_2) \\ k_s \cdot v\cdot (t_1+t_2-t) & , t \in [t_2,t_3] \\ \end{array}\right. , \end{aligned}$$
(11)
where \(k_s\) is the spring stiffness. From this, and the equilibrium of the rope, the force on the rope side can be written as given in equation (12):
$$\begin{aligned} F_r(t)=\left\{ \begin{array}{ll} \frac{1+\mu }{1-\mu }\,k_s\cdot v\cdot t & , t \in [0,t_1]\\[1ex] \frac{1+\mu }{1-\mu }\,k_s\cdot v \cdot t_1 & , t \in (t_1, t_2) \\[1ex] \frac{1-\mu }{1+\mu }\,k_s \cdot v\cdot (t_1+t_2-t) & , t \in [t_2,t_3] \\ \end{array},\right. \end{aligned}$$
(12)
\(\mu\) being the coefficient of friction for the frictional force \(F_f\) on the cable, calculated according to equation (3).
Using equations (5, 11, 12) along with the assumption made in equation (8) one can immediately recreate the physically impossible scenarios presented in Fig. 6 with only a slight deviation of the \(\alpha \text { and } \beta\) parameters from unity.
Expressing the formula for the measured coefficient of friction as a function of the true coefficient of friction and the error parameters \(\alpha\) and \(\beta\) from equations (35811) and (12) yields the following:
$$\begin{aligned} \mu ^m=\left\{ \begin{array}{ll} \dfrac{\alpha (1+ \mu ) +\beta ( \mu -1) }{\alpha (\mu +1)+\beta (1- \mu ) } & , t \in [0,t_1]\\[2ex] \dfrac{\alpha ( \mu -1)+\beta ( \mu +1)}{\alpha (1 -\mu ) +\beta (1 +\mu ) } & , t \in [t_2,t_3] \\ \end{array}.\right. \end{aligned}$$
(13)
As expected, the measured coefficient would be different from the true one, and the error depends on the two parameters: \(\alpha\) and \(\beta\).
Another issue with the measurements was the noise in the data, which, although small, had an impact on the tension loss function, even after significant smoothing (see Fig. 4). Equations (11) and (12) suggest that the measured data is expected to be a linear function of time or pulley displacement, which also suggests that it can be characterized by its linear regression. This is only true theoretically since it neglects the stiffness change on the two sides of the pulley and any other potential nonlinearities. However, the inextensible rope was a good approximation in these measurements because the rope was sufficiently stiff compared to the spring. For comparison, the spring had a stiffness of 5.471 N/mm, the total cable length was 650 mm, with 120 mm on the spring side and 450 mm on the rope side; the tensile testing results of the cables with their tangential stiffnesses are given in Fig. 11. The gauge length of the specimens was 100 mm.
Fig. 11
Tensile testing results (left) of the four cable types used in the measurements (see Table 2 and results of a linear fit to the loading phase (right, dashed lines)
Bild vergrößern
It is easy to see that based on the model with the inextensible rope, equation (3) holds true for the time or displacement derivatives of the rope- and spring-side cable tensions, too. This implies that for the calculation of the coefficient of friction, one could simply substitute the measured force values (\(F_s^m\) and \(F_r^m\)) with their displacement or time derivatives. For the sake of simplicity, the time derivative will be used from now on for the measurement evaluations, as specified in equation (14):
$$\begin{aligned} \left\{ \begin{array}{ll} s_r^{(1)}=\dfrac{d F_r^m(t)}{d t} & , t \in [0,t_1]\\[1ex] s_r^{(3)}=\dfrac{d F_r^m(t)}{d t} & , t \in [t_2,t_3]\\[1ex] s_s^{(1)}=\dfrac{d F_s^m(t)}{d t} & , t \in [0,t_1]\\[1ex] s_s^{(3)}=\dfrac{d F_s^m(t)}{d t} & , t \in [t_2,t_3]\\[1ex] \end{array},\right. \end{aligned}$$
(14)
where the upper index "m" of the force functions stands for "measured."The values specified in equation (14) in the case of real measurement data are the slopes of the linear functions fit to the measured force data. A differentiation between the loading and unloading phases will be introduced here: upper index "(1)" will be used for the loading phase, while "(3)" will be used for the unloading part.
To calculate \(\mu ^m\) from the slope of the measured data, equation (3) modifies to:
$$\begin{aligned} \left\{ \begin{array}{ll} \mu ^{m(1)}=\dfrac{s_r^{(1)}-s_s^{(1)}}{s_r^{(1)}+s_s^{(1)}} & , t \in [0,t_1]\\[2ex] \mu ^{m(3)}=\dfrac{s_s^{(3)}-s_r^{(3)}}{s_r^{(3)}+s_s^{(3)}} & , t \in [t_2,t_3] \\ \end{array}.\right. \end{aligned}$$
(15)
Note that the error coefficients are already included in the \(s_s^{(1,3)}\) and \(s_r^{(1,3)}\) values because they are based on the measured force functions. New names for the coefficient of friction measured in the loading and the unloading phase are also introduced (upper indices (1) and (3), respectively).

Eliminating the Error of the Force Measurement

Substituting values into equation (13) can show how huge the impact of a small error in the force measurement can be. This is demonstrated for \(\mu =0.002\) in Fig. 12. While it can give enormous errors, these functions have two important aspects: they seem to be symmetrical to the \(\mu ^m=\mu\) plane, and they have no error when \(\alpha =\beta\). The former is not true mathematically, although it makes a good approximation possible: if one approximates the coefficient of friction with the mean of the two measured coefficients, the error drops drastically. The formula for \(\overline{\mu }^m\) is given in equation (16):
$$\begin{aligned} \overline{\mu }^m=\dfrac{\mu ^{m(1)}+\mu ^{m(3)}}{2}= \frac{4 \alpha \beta \mu }{(\alpha +\beta )^2-\mu ^2 (\alpha -\beta )^2} \end{aligned}$$
(16)
The relative error of such a measurement is presented in Fig. 12. Note that for 10% error in the force measurement (worst combination), the coefficient of friction will have about 1% error.
Fig. 12
The effect of the \(\alpha\) and \(\beta\) parameters on the measured coefficient of friction (top), and the relative error of the mean measured coefficient of friction (bottom)
Bild vergrößern
The only issue is that one can only guess the error of the force measurements and, as such, may only have a guess about the error of the coefficient of friction.
However, there is a way to eliminate the \(\alpha\) and \(\beta\) parameters completely, and using the former equations, they can be determined. The method is the following: let us introduce a rat io of the force functions’ slopes named \(\gamma\), from which every error parameter would drop out:
$$\begin{aligned} \gamma =\dfrac{s_r^{(1)}/s_s^{(1)}}{s_r^{(3)}/s_s^{(3)}}=\frac{(\mu +1)^2}{(\mu -1)^2} \end{aligned}$$
(17)
This can be easily demonstrated by calculating the time derivatives of the measured force functions (defined in equations (12,11) and multiplied by the error parameters as in equation (8)), and substituting them into equation (17).
After a measurement one can easily calculate the \(\gamma\) parameter, from which equation (17) will yield two results, given in equation (18):
$$\begin{aligned} \mu _{1,2}=\dfrac{1 \pm 2\, \sqrt{\gamma }+\gamma }{\gamma -1} \end{aligned}$$
(18)
Considering that \(\mu<< 1\) and \(\mu >0\), \(\gamma > 1\) is true; however, it should be close to unity. From this, we can conclude that the denominator \(\gamma -1 < 1\) and it is positive. If one would take the \(1 + 2\, \sqrt{\gamma }+\gamma\) as the numerator of the solution, one would get a way higher value for \(\mu\) than expected since its value is already above 4. If one takes the other one, the numerator becomes small, smaller than 1, and thus, it will yield proper results for the coefficient of friction. It can also be easily proven that \(1 - 2\, \sqrt{\gamma }+\gamma\) is positive by using the inequality of arithmetic and geometric means for 1 and \(\gamma\). Thus, the final formula is given in equation (19):
$$\begin{aligned} \mu =\dfrac{1 - 2\, \sqrt{\gamma }+\gamma }{\gamma -1} \end{aligned}$$
(19)
Theoretically, it could be true that the force on the rope side is enough to measure the coefficient of friction because using only \(\gamma =-s_r^{(1)}/s_r^{(3)}\) drops parameter \(\alpha\) out and yields the same formula for \(\mu\) as equation (19). However, in practice, equation (17) gives a lot better results, with a lower variance, because the division with the spring side force slope compensates for any change in the stiffness. It is necessary because of the hysteretic behavior of the cables, which changes the stiffness of the cable between the loading and unloading phases. This is presented in Figs. 11 and 17.
Since the derivation of equation (19) was done with an ideal rope and rigid testing machine, it would raise the question of whether the calculation process works for the true, nonlinear system too, even if strong nonlinearities are present. The fact that using the data of only one load cell is not enough for an accurate measurement proves that the nonlinearities need to be addressed. This derivation provides a workaround that makes it possible to prove that the method presented here is able to eliminate the proportional measurement error, even in the case of a strong nonlinear behavior. It is important to note that the actual force-time functions will not be derived here. However, it will be demonstrated that for any nonlinearity of the rope or machine behavior, the method represented by equations (14), (17) and (19) works perfectly.
For this, let us consider the arbitrary, nonlinear force functions presented on the left side of Fig. 13. It is important to note that when the release starts, and the pulley starts moving downwards, it will not rotate instantly if the rope is allowed to stretch during the process. Because of the friction, the pulley is locked until the rope- and spring-side forces satisfy the condition of the rotation (namely \(\mu \,(F_r+F_s)=F_s-F_r\)). The difference between the static and kinetic frictional coefficients is of no concern here because it is not important to know the exact start of rotation, and a quasi-static model is being considered. This extra time interval (compared to Fig. 3) is \([t_2,t_2']\) in Fig. 13.
Fig. 13
A demonstration of the evaluation method for a system with strong nonlinearities: arbitrary nonlinear force functions (left) and their measurement results with a proportional error along with the linear fits (middle). Arbitrary nonlinear functions and their linear regression for demonstrational purposes are given on the right
Bild vergrößern
According to the calculation of \(\gamma\), one must fit a line to the measured force-time functions in the time intervals where the sheave is rotating, one for the loading and one for the unloading phase. Let us now consider the right side of Fig. 13. This is an analog model to the model of the spring-pulley system, with the consideration that the f(x) and g(x) functions are proportional to each other, which means that for any x value \(g(x)/f(x)=\delta =\textrm{const}\). Let these functions be given only in discrete sampling points \(x_i\in [x_1,x_2]\), with \(f(x_i)\) and \(g(x_i)\) values. If one fits a line to the discrete version of the functions on the same interval by using the same sampling points \(x_i\), then the slope of the lines will also be proportional to each other and \(s_g/s_f=\delta\). Another important aspect of the proportionality is that if the functions are proportional, then their derivatives (\(f'(x)\) and \(g'(x)\)) are proportional too. This is given in equation (20).
$$\begin{aligned} \dfrac{g(x)}{f(x)}=\dfrac{g'(x)}{f'(x)}=\dfrac{g(x_i)}{f(x_i)}=\dfrac{s_g}{s_f}=\delta =\mathrm {const.} \end{aligned}$$
(20)
Using the Mean Value Theorem, one can easily prove that there has to be a point in \([x_1,x_2]\), that is \(x_f\) for f(x) and \(x_g\) for \(g'(x_g)\) where \(s_f=f'(x_f)\) and \(s_g=g'(x_g)\). This would mean, that by using equation (20) one can express \(s_g=\delta \, s_f=\delta \, f'(x_f)\). However, \(s_g=g'(x_g)=\delta \,f'(x_g)\), which leads to:
$$\begin{aligned} \delta \cdot f'(x_f)=\delta \cdot f'(x_g) \implies x_f=x_g , \end{aligned}$$
(21)
since these force functions are expected to be injective on the fitting domain. This means that the slopes obtained from a linear fit on the same domain to two proportional functions return the derivatives of these functions at the same point. Thus, when \(\{s_r^{(1)},s_s^{(1)},s_r^{(3)},s_s^{(3)}\}\) are determined as the slopes of the linear fit, they will return the derivative of the nonlinear force functions at some points in time. These shall be named \(t_1^*\) and \(t_3^*\) for the loading and unloading phases, respectively. It is important that the fitting be performed on the same time intervals for the rope- and spring-side force functions; otherwise, \(t_1^*\) and \(t_3^*\) will not be the same for the two force functions. Then, equations (20) and (21) would mean in the case of a measurement the following:
$$\begin{aligned} \begin{array}{ll} \dfrac{F_r^m(t)}{F_s^m(t)}=\dfrac{\dfrac{d F_r^m(t_1^*)}{dt}}{\dfrac{d F_s^m(t_1^*)}{dt}}=\dfrac{ s_r^{(1)}}{ s_s^{(1)}}=\dfrac{\alpha }{\beta }\dfrac{1+\mu }{1-\mu } \, ,t\in [0,t_1]\\[4ex] \dfrac{F_r^m(t)}{F_s^m(t)}=\dfrac{\dfrac{d F_r^m(t_3^*)}{dt}}{\dfrac{d F_s^m(t_3^*)}{dt}}=\dfrac{ s_r^{(3)}}{ s_s^{(3)}}=\dfrac{\alpha }{\beta }\dfrac{1-\mu }{1+\mu } \, ,t\in [t_2',t_3]\\[1ex] \end{array} \end{aligned}$$
(22)
Substituting equation (22) into the definition of \(\gamma\) yields the same result as the linear, inextensible rope model in equation (17):
$$\begin{aligned} \gamma =\dfrac{\alpha \, (1+\mu )}{\beta \,(1-\mu )}\,\dfrac{\beta \,(1+\mu )}{\alpha \,(1-\mu )}=\dfrac{(1+\mu )^2}{(1-\mu )^2}, \end{aligned}$$
(23)
which prooves that the evaluation method works in the case of any nonlinear behavior, if the coefficient of friction can be treated as a constant.

Internal Friction of the Wire Rope

After a few measurements, it turned out that the energy loss due to the internal friction of the wire rope cannot be neglected. Using equation (4) for the measurement with the 7x19-type cable resulted in a bearing coefficient of friction (0.0053) that is almost four times higher than the maximum value specified by the Koyo catalog [17]. This energy loss is found to come mainly from the bending of the wire rope: when the rope reaches the sheave, it is bent to a certain curvature, and when it leaves the sheave, it is straightened again. The hysteretic energy of the cyclic bending procedure can only appear in the tension loss of the cable. This is presented in equation (24):
$$\begin{aligned} v_r\cdot F_f=\mu _b\cdot P\cdot \frac{d}{2}\cdot \frac{v_r}{R}+W_f \cdot \frac{ds}{dt}, \end{aligned}$$
(24)
where \(v_r\) is the rope’s tangential speed and \(W_f\) is the hysteretic energy lost to the bending to radius R and straightening of a ds long rope segment (in an infinitesimally short dt time a ds long segment is bent onto the sheave and the same length is straightened on the other side simultaneously). One can easily see that since \(ds/dt=v_r\), the hysteretic energy of the ds long segment will appear as tension loss.
A classical model with Coulomb friction is available for determining the hysteretic behavior of wire ropes under bending and tension by LeClair [20]. This model was improved upon by Raoof and Huang [21] and Mimoune et al. [22]; however, for small radii of curvature, these models tend to have similar results as the one derived by LeClair, thus for the sake of simplicity this model will be used.
Fig. 14
The structure and parameters of a single-strand cable (1x19-type), for which the bending characteristic and hysteretic energy can be calculated (the structure of the 1x7-type consists of the core and the first layer only)
Bild vergrößern
The solution presented by LeClair is for a 1x7-type strand in which there is contact either only between the core and the outer wires or only between the outer wires. In our case, we assume that the only contact is between the core and the outer wires. This assumption is based on cable geometry given in Table 2. The cross-section and parameters of such a cable are given in Fig. 14. The figure only shows a 1x19-type cable for the sake of simplicity, but by removing the second layer, one obtains a 1x7 cable. LeClair defines the power loss due to the cable traveling through a sheave as given in equation (25):
$$\begin{aligned} \frac{d\overline{W}_{12}}{dt}=\dfrac{4\, m \, (1+\nu \, \cos ^2\alpha _2)}{(2+ \nu \, \cos ^2\alpha _2)\, \cos \alpha _2}\, \mu \, \omega \, r_2 \, R_1 \, \text {|} X_{12} \text {|}, \end{aligned}$$
(25)
where \(\alpha _2\) is the initial helix angle of the outer wires, m is the number of the outer wires, \(\omega\) is the angular velocity of the sheave, \(r_2\) is the helix radius and \(R_1\) is the radius of the core wire. \(X_{12}\) is the contact force over a unit length between the outer and inner wires for a given \(\xi _1\) strain in the inner wire and the strand (these two are considered to be equal [6]). It is important to note that the absolute value is necessary for \(X_{12}\) as Costello defines it as a negative value [6].
Since \(\frac{d\overline{W}_{12}}{dt}\) is the power loss, the tension loss can be expressed by dividing \(\frac{d\overline{W}_{12}}{dt}\) by \(v_r=\omega \cdot R\), thus getting equation (26):
$$\begin{aligned} W_f=\dfrac{1}{R}\, \dfrac{4\, m \, (1+\nu \, \cos ^2\alpha _2)}{(2+ \nu \, \cos ^2\alpha _2)\, \cos \alpha _2}\, \mu \, r_2 \, R_1 \, \text {|} X_{12} \text {|} \end{aligned}$$
(26)
For now, the result only depends on the cable parameters, the coefficient of friction between the wires, and the normal force \(X_{12}\) between the layers, which is a linear function of the cable strain. To calculate \(X_{12}\) for this model, one should use the method proposed by Costello in his article [6]. Equations (1–15) from [6], one can calculate the normal force (named \(X_2\) in [6]) acting between the layers.
If one calculates \(X_{12}\) based on [6], it is revealed that it is proportional to the cable tension F. Using this in equation (26), it is revealed that \(W_f\) is proportional to the wire tension F and bending curvature (1/R), which is equal to the curvature of the wire rope’s centerline on the sheave. Since the tension loss due to bearing friction has similar proportionality, theoretically, it can’t be separated by using different cable tensions or different sheave sizes.
A different approach can be used, where one calculates the bending characteristic of the cable under tension (bending moment as a function of cable curvature), from which the hysteretic energy in the case of cyclic bending can be calculated. The bending behavior of helical structures has a wide bibliography since overhead conductors/high-tension cables are also made of helically wound structures. One of the first models for cable bending with variable bending stiffness was provided by Papailiou in his article [4] and Ph.D. Thesis [3], which calculates the variable bending stiffness of the cable as a function of tension and curvature. Many researchers adopted his model, like Hong et al. [23, 24] or Foti and Martinelli [525] who have improved on the model proposed by Papailiou and have made important clarifications. Based on this approach, several measurements were made that confirmed that the bending behavior of the helical strand resembles the behavior of an elastoplastic material with kinematic hardening and that the modeling method proposed by Papailiou is in good agreement with the measurements [2627].
The model given by Papailiou also does not include the contact between adjacent wires in the same layer (based on the work of Hong et al. [23], Khan et al. [28] give a solution for the case when there is contact between the adjacent wires in a layer), however, he gives a solution for multilayer cables too, which will be used here for the 1x7 and 1x19 cable types. Papailiou hypothesizes that in the beginning, for small curvatures, the wires do not slip because the interlayer friction can withstand this effect. However, the wires do start slipping eventually if the bending curvature exceeds a given value. This transition between the two states is not sharp, although a mean curvature value \(\kappa _{slip}\) can be given, above which the slipping solution can be used. In this state, the bending stiffness becomes curvature-dependent and asymptotically decreases to a minimum value. The bending stiffness values (\(EI_{max}\)\(EI_{min}\)\(EI(F,\kappa )\)) can be calculated as given in equations (2730):
$$\begin{aligned} EI_{min}=\sum _{i=1}^{n} E_i\,\frac{(2 R_i)^2 \, \pi }{64}\,\cos \beta _i \end{aligned}$$
(27)
$$\begin{aligned} EI_{max}=EI_{min}+\sum _{i=1}^{n} E_i\,A_i\,(r_i\cdot \sin \varphi _i)^2\,\cos ^3\beta _i \end{aligned}$$
(28)
$$\begin{aligned} EI_{i}^{slip}=\sigma _{T,i}\,A_i\,(e^{\mu \,\sin \beta _i\,\varphi _i}-1)\,r_i\,\sin \varphi _i\,\frac{\cos \beta _i}{\kappa } \end{aligned}$$
(29)
$$\begin{aligned} EI(F,\kappa )=EI_{min}+\sum _{i=1}^{n} EI_{i}^{slip}, \end{aligned}$$
(30)
where n is the total number of wires without the core wire. \(\beta _i\) is the lay angle of the individual \(\text {i}^\text {th}\) wire. \(A_i\), \(r_i\), \(R_i\), and \(E_i\) are the individual wire’s cross-section area, the distance of its centerline from the cable centerline, the wire’s radius, and the wire’s modulus of elasticity, respectively. \(\varphi _i\) gives the angular position of an individual outer wire in the cable’s cross-section plane, as presented in Fig. 14. \(\sigma _{T,i}\) is the axial stress in the \(\text {i}^\text {th}\) wire prior to bending, and can be calculated as given by Papailiou [4] in equation (31):
$$\begin{aligned} \sigma _{T,i}=\dfrac{E_i\,A_i\,\cos ^2 \beta _i}{\sum _{j=1}^{j=n}E_j\,A_j\,\cos ^3 \beta _j}\, F, \end{aligned}$$
(31)
where F is the tension in the cable.
It is important to note that \(EI_{max}\) and \(EI_{min}\) are tangent stiffnesses, while \(EI(F,\kappa )\) is a secant stiffness.
Using these, one can build a hysteretic bending moment-curvature characteristic for the wire. The envelope area will give the tension loss as stated in (32):
$$\begin{aligned} W_f=\oint M(F,\kappa ) d\kappa \end{aligned}$$
(32)
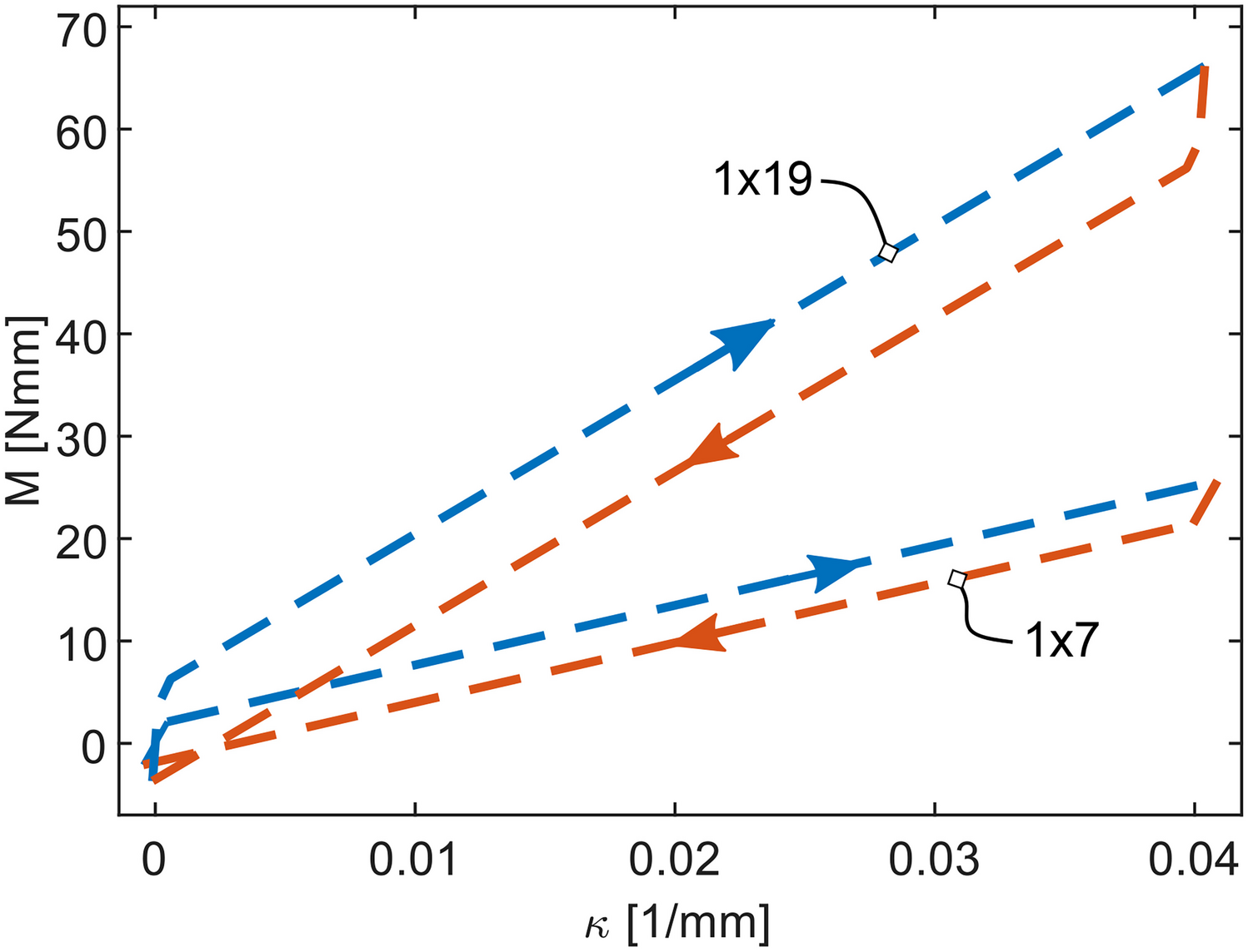
Such a characteristic is shown for the 1x7 type cable in Fig. 15 for assumed modulus of elasticity and coefficient of friction are \(E=210\) GPa and \(\mu =0.2\), respectively. The latter comes from the assumption that the cables leave the manufacturing process with a layer of lubricant on the wires for the reduction of wear and secondary tensile stresses in the cable [2].
Table 2
Cable and steel strip properties, as defined in Fig. 14
Name
Type
Size
Break strength
\(R_1\) [mm]
\(R_2\) [mm]
\(R_3\) [mm]
\(\alpha _2\) [°]
\(\alpha _3\) [°]
Cable 1
7x19
\(\varnothing\) 1.4 mm
146 kg
0.3
0.2
-
74.46
-
Cable 2
1x19
\(\varnothing\) 1.53 mm
190 kg
0.165
0.15
0.15
77.73
74.98
Cable 3
1x7
\(\varnothing\) 0.93 mm
70 kg
0.165
0.15
-
77.73
-
Cable 4
7x7
\(\varnothing\) 1 mm
57 kg
0.185
0.16
-
75.11
-
Steel strip
-
0.1x12 mm
145 kg
     
Fig. 15
The bending moment-curvature characteristic of the single-stranded cables undergoing cyclic bending, according to Papailiou’s model
Bild vergrößern
The solution for a two-layer 1x19 type cable is also given by Papailiou [4]; the results are presented in Fig. 15. According to this approach, the lay angles in the inner and outer layers can be considered similar, and since the material is the same for our case in the two layers and the core of the cable, the coefficient of friction between the layers is also the same (\(\mu =0.2\)).
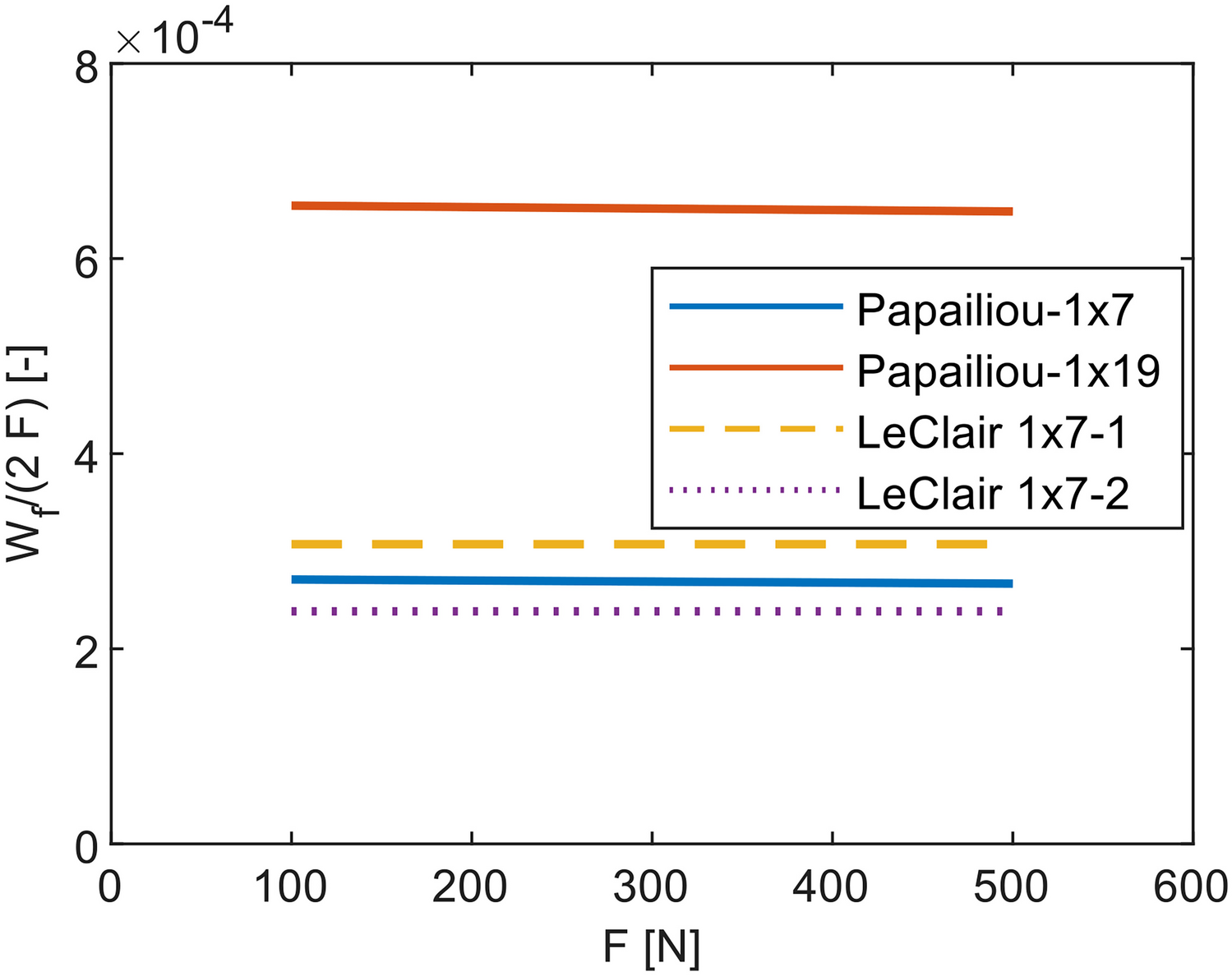
The part of the coefficient of friction that comes from the bending hysteresis is compared in Fig. 16 for the different models applied here. Note that \(W_f\) is divided by the double cable tension to be comparable to the measurements. With the model of LeClair only the 1x7-type can be used. Two results are given in the figure: the first (LeClair 1x7-1) is calculated with the cable strain based on the measured stiffness (given in Fig. 11), while the other (LeClair 1x7-2) is calculated with the strain calculated from the model of the strand [6], with an assumed elastic modulus of 210 GPa. The model of LeClair yield constant results, while Papailiou’s prediction slightly decreases with increasing cable tension.
Fig. 16
The prediction for the hysteretic energy over unit length lost to bending based on models from the literature
Bild vergrößern

Measurement Results

Several measurements were conducted on Koyo 6902-type bearings with five wire ropes of different types and a control measurement with a spring-grade steel strip. The measurements are valid for low-speed and low-force operational conditions since the rotational speed of the bearing was consistently below 4 rpm and the radial load never passed 500 N (according to the catalog, the basic static load rating for the bearing is 2.25 kN [17]). The properties of the cables are given in Table 2. The sheave outer diameter was 24 mm and the cable length without the hooks was 650 mm. The spring used during the measurements had a stiffness of 5.471 N/mm and an initial length of 330 mm. The movement of the pulley during the measurements is presented in Fig. 2.
Fig. 17
The comparison between the measurements made on a PA6 and a steel sheave (left) and the comparison between the different evaluation methods listed in "Eliminating the Error of the Force Measurement" section for measurements with the 7x19-type cable (right)
Bild vergrößern
Fig. 18
Measurement results for all measured cable types and the steel strip (left) and the comparison of the calculations based on the models of LeClair and Papailiou with the measurements for the single-strand cables (right)
Bild vergrößern
The spring-side force interval for the measurement evaluation was \([100, 350] \text {N}\) for every cable type. This means that the measurement data used to determine the \(s_r^{(1,3)}\) and \(s_s^{(1,3)}\) values should be from a time interval when the spring-side force is between 100 N and 350 N. By selecting these values it is guaranteed that the pulley is observed only in motion, thus the possible stick–slip and any transient effects due to load reversal could be eliminated.
The measurement (as presented in "Measurement" section) consists of two parts: the pulley is loaded and unloaded six times in a row, after which the sheave is turned around its axis with a random angle, and the measurement is repeated again. This is done ten times for a setup (for one cable). From one run, six coefficients of friction (cable and bearing combined) can be measured, which yields a mean value and a standard deviation (see the indicated \(\pm 2 \sigma\) range in Figs. 17 and 18). In Fig. 17 (right), the results of a single run are presented for the three different calculation methods: for the best solution, by using equations (17) and (19), for the simplified solution, using only one load-cell data with equation (19), and finally for the calculation of the mean coefficient of friction with equations (15) and (16). Note that the averaging method (\(\overline{\mu }^m\)) does not have an error bar because it completely overlaps with the other results. It is easy to see that the data from one load cell is not enough; it has a huge variance compared to the other two calculation methods. This comes from the different rope stiffnesses in the loading and unloading phases (see 11), which is compensated for in the \(\gamma\) parameter if the force on both sides of the pulley is taken into consideration.
The wire rope setup was tested on two sheaves; one was made of PA6 polymer, and the other was made of steel. For these relatively low-force applications (rope tension was consistently below 500 N), no difference was found between the results obtained with the polymer and the steel sheaves. This can be seen in Fig. 17 (left). All other measurements presented in this article were made with a steel sheave.
The results in Fig. 17 were obtained with the 7x19-type cable. The results summarized for the four cables and the steel strip are presented in Fig. 18 (left). The measurement made with the steel strip returned a mean value of \(\mu =4.82\cdot 10^{-3}\) which converted to bearing coefficient of friction yields \(\mu _b=\mu \frac{2\,R}{d}=1.5\cdot 10^{-3}\), which corresponds to the upper limit specified by the bearing catalog [17]. As expected, the cyclic bending of the steel strip does not significantly contribute to the tension loss. Since, theoretically, it has no hysteresis, a base measurement made with a steel strip measures the tension loss on the bearings, which can be used to determine the contribution of the cable within a measurement. However, it is important to ensure that no plastic deformation occurs during the process.
The measurement results for the simple strands (1x7 and 1x19-type cables) are compared to the calculations made with the models of LeClair and Papailiou in Fig. 18 (right). For this comparison in the case of Papailiou’s model, the mean tension force was used (225 N). The result of the steel strip measurement was added to the calculated tension loss for it to be comparable with the measurement results. It is important to note that in the case of the 1x19 strand (Cable 2), the comparison is not correct since, as it turned out after several measurements, the sheave radius was too small for the cable, and the cable was undergoing true plastic deformation, which lies outside of the current models’ boundaries. A plastic deformation that would induce a further flattening of the bending characteristic could indeed increase the hysteretic energy of the cable bending.

Conclusion

The article presents a novel measurement method for determining the coefficient of friction (or tension loss) for a cable traveling over a pulley. This method involves attaching one cable end to a spring with significantly lower stiffness than the cable. By introducing the spring, the pulley could rotate during cable displacement. The force at the two cable ends is measured using simple, S-type load cells.
Although the S-type load cells are highly sensitive to the off-axis loads, the measurement method showed high repeatability and robustness. It was proven that the S-type cells have a deterministic and proportional error when the load is not purely axial, which, even when seemingly negligible, heavily impacts the direct measurement evaluation (equation (3)). Proving that the S-type load cells’ error is proportional allowed for a measurement evaluation method that theoretically has no error even if strong nonlinear behavior is present in the measurement setup. Being able to eliminate the S-cell’s measurement error allows for a simple and cheap testing system. Although a simplified mechanical model of the system with ideal rope suggests that a single load cell is enough to evaluate the measurement, the tension at both cable ends must be measured to neutralize the cable’s tensile hysteresis.
A control measurement made with a steel strip returned the bearing’s coefficient of friction given in the Koyo catalog [17], which proved that the steel strip’s hysteretic energy lost to bending is negligible. This result could be subtracted from the measurement results to obtain the part of the tension loss factor caused by the hysteretic cable behavior.
A new finding of the study is that the tension lost to the cable’s internal friction can be calculated as the hysteretic energy lost to the cyclic bending of the cable, which can be determined based on available cable bending models [4, 5, 23, 28]. A comparison of the measurement results with cable bending [4] and cable energy dissipation [20] models (for the single-strand 1x7 and 1x19 cables) proved that the hysteretic energy predicted both by Papailiou’s [4] and LeClair’s model [20] can be used for an approximation of the tension loss in the cable caused by internal friction for the 1x7-type cable. For the 1x19-type cable, the prediction of Papailiou could not be compared to the measurement results because the cable underwent plastic deformation, as the sheave diameter was too small for this particular cable.
Further improvements to this measurement could be made by using different sheave diameters and smaller force spans. This would make it possible to investigate the effect of the sheave diameter and cable tension, and a comparison could be made with the models from these points of view. Based on the assumption that the cable’s bending behavior is analogous to the behavior of an elastoplastic material, one could determine the minimal bending stiffness and the average slipping curvature of a given cable. This could be done by performing the measurement presented in the article with a series of sheave diameters; the cable tension lost to the hysteretic behavior could be approximated as a linear function of the sheave curvature. Using the linear regression parameters, one can calculate the average slipping curvature and the minimal bending stiffness if the initial bending stiffness is known, which, in return, can be accurately calculated from the cable models.

Declarations

Conflict of Interest

The authors have no Conflict of interest to declare that are relevant to the content of this article.
Open Access This article is licensed under a Creative Commons Attribution 4.0 International License, which permits use, sharing, adaptation, distribution and reproduction in any medium or format, as long as you give appropriate credit to the original author(s) and the source, provide a link to the Creative Commons licence, and indicate if changes were made. The images or other third party material in this article are included in the article's Creative Commons licence, unless indicated otherwise in a credit line to the material. If material is not included in the article's Creative Commons licence and your intended use is not permitted by statutory regulation or exceeds the permitted use, you will need to obtain permission directly from the copyright holder. To view a copy of this licence, visit http://​creativecommons.​org/​licenses/​by/​4.​0/​.

Publisher's Note

Springer Nature remains neutral with regard to jurisdictional claims in published maps and institutional affiliations.
download
DOWNLOAD
print
DRUCKEN
Titel
Measurement of the Tension Loss in a Cable Traveling Over a Pulley, for Low-Speed Applications
Verfasst von
P. Máté
A. Szekrényes
Publikationsdatum
20.09.2024
Verlag
Springer US
Erschienen in
Experimental Mechanics / Ausgabe 9/2024
Print ISSN: 0014-4851
Elektronische ISSN: 1741-2765
DOI
https://doi.org/10.1007/s11340-024-01097-3
1.
Zurück zum Zitat Costello GA (1990) Theory of Wire Rope. Springer, New York. https://​doi.​org/​10.​1007/​978-1-4684-0350-3CrossRef
3.
Zurück zum Zitat Papailiou KO (1995) Die Seilbiegung mit einer durch die innere Reibung, die Zugkraft und die Seilkrümmung veränderlichen Biegesteifigkeit. Zürich, Switzerland: PhD thesis, Swiss Federal Institute of Technology (ETH). https://​doi.​org/​10.​3929/​ethz-a-001442538
4.
Zurück zum Zitat Papailiou KO (1997) On the bending stiffness of transmission line conductors. IEEE Transactions on Power Delivery 12(4):1576–1588. https://​doi.​org/​10.​1109/​61.​634178CrossRef
5.
Zurück zum Zitat Foti F, Martinelli L (2016) An analytical approach to model the hysteretic bending behavior of spiral strands. Applied Mathematical Modelling 40(13–14):6451–6467. https://​doi.​org/​10.​1016/​j.​apm.​2016.​01.​063MathSciNetCrossRef
6.
Zurück zum Zitat Costello GA (1983) Stresses in multilayered cables. Journal of Energy Resources Technology 105(3):337–340. https://​doi.​org/​10.​1115/​1.​3230924CrossRef
7.
Zurück zum Zitat Schraft O (1997) Die Biegesteifigkeit und der Wirkungsgrad laufender Rundlitzenseile. PhD thesis, Universität Stuttgart
8.
Zurück zum Zitat Rubin A (1920) Untersuchung über die Steifigkeit von Kran- und Aufzug-Seilen. PhD thesis, TH Karlsruhe
9.
Zurück zum Zitat Hecker HW (1936) Über den Biegewiderstand von Drahtseilen. PhD thesis, TH Hannover
10.
Zurück zum Zitat Liu H, Ceccarelli M, Huang Q (2016) Design and simulation of a cable-pulley-based transmission for artificial ankle joints. Frontiers of Mechanical Engineering 11(2):170–183. https://​doi.​org/​10.​1007/​s11465-016-0383-0CrossRef
11.
Zurück zum Zitat Miyasaka M, Matheson J, Lewis A, Hannaford B (2015) Measurement of the cable-pulley coulomb and viscous friction for a cable-driven surgical robotic system. 2015 IEEE/RSJ International Conference on Intelligent Robots and Systems (IROS). IEEE, Hamburg, Germany. https://​doi.​org/​10.​1109/​iros.​2015.​7353464CrossRef
12.
Zurück zum Zitat Lu Y-F, Fan D-P, Liu H, Hei M (2015) Transmission capability of precise cable drive including bending rigidity. Mechanism and Machine Theory 94:132–140. https://​doi.​org/​10.​1016/​j.​mechmachtheory.​2015.​07.​004CrossRef
13.
Zurück zum Zitat Miyasaka M, Haghighipanah M, Li Y, Hannaford B (2016) Hysteresis model of longitudinally loaded cable for cable driven robots and identification of the parameters. 2016 IEEE International Conference on Robotics and Automation. IEEE, Stockholm, Sweden. https://​doi.​org/​10.​1109/​icra.​2016.​7487596CrossRef
14.
Zurück zum Zitat Miyasaka M, Haghighipanah M, Li Y, Matheson J, Lewis A, Hannaford B (2020) Modeling cable-driven robot with hysteresis and cable-pulley network friction. IEEE/ASME Transactions on Mechatronics 25(2):1095–1104. https://​doi.​org/​10.​1109/​tmech.​2020.​2973428CrossRef
15.
Zurück zum Zitat Chen D, Yun Y, Deshpande AD (2014) Experimental characterization of bowden cable friction. 2014 IEEE International Conference on Robotics and Automation (ICRA). IEEE, Hong Kong, China. https://​doi.​org/​10.​1109/​icra.​2014.​6907732CrossRef
16.
Zurück zum Zitat Nabijou S, Hobbs RE (1995) Frictional performance of wire and fibre ropes bent over sheaves. The Journal of Strain Analysis for Engineering Design 30(1):45–57. https://​doi.​org/​10.​1243/​03093247v301045CrossRef
17.
Zurück zum Zitat Koyo Seiko Co. (2022) Ball and Roller Bearings catalog, CAT.NO.B2001E-7. [Date accessed: 26.06.2024]. https://​koyo.​jtekt.​co.​jp/​en/​support/​catalog-download/​
18.
Zurück zum Zitat Hance J (2018) S-Type Load Cell Do’s and Don’ts. [Date accessed: 26.06.2024]. https://​loadcellsys.​com/​s-type-load-cell-dos-and-donts/​
19.
Zurück zum Zitat Morehouse Instrument Company (2019) How to Calibrate S-Beam or S-Type Load Cells. [Date accessed: 26.06.2024]. https://​mhforce.​com/​how-to-calibrate-s-beam-or-s-type-load-cells/​
20.
Zurück zum Zitat LeClair RA (1989) Upper bound to mechanical power transmission losses in wire rope. Journal of Engineering Mechanics 115(9):2011–2019. https://​doi.​org/​10.​1061/​(asce)0733-9399(1989)115:​9(2011)CrossRef
21.
Zurück zum Zitat Raoof M, Huang YP (1991) Upper-bound prediction of cable damping under cyclic bending. Journal of Engineering Mechanics 117(12):2729–2747. https://​doi.​org/​10.​1061/​(asce)0733-9399(1991)117:​12(2729)CrossRef
22.
Zurück zum Zitat Mimoune AH, Cardou A, Chebair AE (1993) Free constant curvature bending of axially preloaded strands. Transactions of the Canadian Society for Mechanical Engineering 17(3):325–350. https://​doi.​org/​10.​1139/​tcsme-1993-0019CrossRef
23.
Zurück zum Zitat Hong K-J, Kiureghian AD, Sackman JL (2005) Bending behavior of helically wrapped cables. Journal of Engineering Mechanics 131(5):500–511. https://​doi.​org/​10.​1061/​(asce)0733-9399(2005)131:​5(500)CrossRef
24.
Zurück zum Zitat Hong K-J, Yi C, Lee Y-K (2012) Geometry and friction of helically wrapped wires in a cable subjected to tension and bending. International Journal of Steel Structures 12(2):233–242. https://​doi.​org/​10.​1007/​s13296-012-2007-9CrossRef
25.
Zurück zum Zitat Foti F, Martinelli L (2016) Mechanical modeling of metallic strands subjected to tension, torsion and bending. International Journal of Solids and Structures 91:1–17. https://​doi.​org/​10.​1016/​j.​ijsolstr.​2016.​04.​034CrossRef
26.
Zurück zum Zitat Hu H, Yan J, Sævik S, Ye N, Lu Q, Bu Y (2022) Nonlinear bending behavior of a multilayer copper conductor in a dynamic power cable. Ocean Engineering 250:110831. https://​doi.​org/​10.​1016/​j.​oceaneng.​2022.​110831CrossRef
27.
Zurück zum Zitat Chen Z, Yu Y, Wang X, Wu X, Liu H (2015) Experimental research on bending performance of structural cable. Construction and Building Materials 96:279–288. https://​doi.​org/​10.​1016/​j.​conbuildmat.​2015.​08.​026CrossRef
28.
Zurück zum Zitat Khan SW, Gencturk B, Shahzada K, Ullah A (2018) Bending behavior of axially preloaded multilayered spiral strands. Journal of Engineering Mechanics. https://​doi.​org/​10.​1061/​(asce)em.​1943-7889.​0001535CrossRef

    Marktübersichten

    Die im Laufe eines Jahres in der „adhäsion“ veröffentlichten Marktübersichten helfen Anwendern verschiedenster Branchen, sich einen gezielten Überblick über Lieferantenangebote zu verschaffen. 

    Bildnachweise
    MKVS GbR/© MKVS GbR, Nordson/© Nordson, ViscoTec/© ViscoTec, BCD Chemie GmbH, Merz+Benteli/© Merz+Benteli, Robatech/© Robatech, Hermann Otto GmbH/© Hermann Otto GmbH, Ruderer Klebetechnik GmbH, Xometry Europe GmbH/© Xometry Europe GmbH, Atlas Copco/© Atlas Copco, Sika/© Sika, Medmix/© Medmix, Kisling AG/© Kisling AG, Dosmatix GmbH/© Dosmatix GmbH, Innotech GmbH/© Innotech GmbH, Hilger u. Kern GmbH, VDI Logo/© VDI Wissensforum GmbH, Dr. Fritz Faulhaber GmbH & Co. KG/© Dr. Fritz Faulhaber GmbH & Co. KG, ECHTERHAGE HOLDING GMBH&CO.KG - VSE, mta robotics AG/© mta robotics AG, Bühnen