Zum Inhalt

Modelling Low-Frequency Vibration and Defect Detection in Homogeneous Plate-Like Solids

  • Open Access
  • 01.09.2024
Erschienen in:

Aktivieren Sie unsere intelligente Suche, um passende Fachinhalte oder Patente zu finden.

search-config
loading …

Abstract

Das Phänomen der lokalen Defektresonanz (LDR) wurde auf seine Bedeutung in der zerstörungsfreien Prüfung umfassend untersucht. Dieser Artikel befasst sich mit der Modellierung und Detektion von LDR in homogenen plattenartigen Festkörpern und betont dabei den Einsatz niederfrequenter Schwingungsmethoden. Es werden drei primäre Techniken diskutiert - die mechanische Impedanzmethode (MIA), die Resonanzmethode und die Pitch-Catch-Methode - jede davon wurde entwickelt, um Defekte durch die Überwachung von Veränderungen der Schwingungsamplitude oder Phase zu erkennen. Die MIA-Methode ist bei steifen Strukturen wirksam, aber durch Kontaktsteifigkeit begrenzt, während sich die Resonanz-Methode bei flachen Defekten auszeichnet. Die Pitch-Catch-Methode, die Anregungs- und Nachweisstellen trennt, bietet eine verbesserte Empfindlichkeit. Der Artikel stellt ein analytisches Modell zur Vorhersage der Resonanzfrequenz des grundlegenden LDR-Modus vor und validiert diese durch Experimente an einer Aluminiumplatte mit kreisförmigem Flachbodenloch (FBH). Er beleuchtet die Herausforderungen und Lösungen bei der Verbesserung der Übereinstimmung zwischen numerischen Modellen und experimentellen Ergebnissen, einschließlich der Berücksichtigung von Sondeneffekten wie zusätzlicher Steifigkeit und Dämpfung. Die Studie untersucht auch frequenzoptimierte Bildgebungs- und Größenverarbeitungstechniken, die eine genaue Fehlererkennung und Größenvermessung anhand von Kontrastfrequenzen nachweisen. Insgesamt bietet der Artikel eine umfassende Untersuchung der LDR-Erkennung und Bildgebung und liefert wertvolle Erkenntnisse und Methoden für den Bereich der zerstörungsfreien Prüfung.
Robert A. Smith, Tom Marshall and Bruce W. Drinkwater have contributed equally to this work.

Publisher's Note

Springer Nature remains neutral with regard to jurisdictional claims in published maps and institutional affiliations.

1 Introduction

The phenomenon of the local defect resonance (LDR) is one that has long been studied and described in various literatures [14]. Local defect resonance is described as the resonance that occurs when there is a decrease in the local stiffness and mass due to the presence of a defect. In non-destructive testing, this phenomenon is important because when the structure is excited the layer above the defect resonates, and when the frequency of the excitation matches the natural frequency of this layer, it gives rise to vibrations of increased amplitudes (compared to the surrounding regions) which can be detected and measured using various low-frequency vibration detection methods [57].
Low-frequency acoustic vibration methods (refers to methods that operate typically below 1 MHz) are well established techniques used for local defect resonance detection. Over the past 3 decades or more, these methods have been successfully applied to composite structures (particularly honeycomb panels), adhesive-bonded sheet metals and monolithic structures. Low-frequency vibration methods are usually favoured over conventional ultrasonic testing (UT) in material with relatively high attenuation or insufficient difference in response from the damaged area. The main advantages of using low-frequency vibration methods include the fact that they are relatively inexpensive and fast, and they do not require a couplant. This makes them suitable for use on composite structures with relatively thin skins. However, they typically can only detect relatively large and shallow defects. [8, 9]. Three types of low-frequency vibration techniques have been been developed and are implemented in various commercial instruments: mechanical Impedance method (MIA), resonance method, and the pitch-catch method [10, 11]. All these methods operate in a similar manner: when a structure is subjected to excitation, they monitor the amplitude or phase of the structure’s response, detecting any changes in the vibration amplitude or phase caused by a defect [2, 12].
The MIA method operates by identifying variations in the mechanical impedance of a vibrating structure, induced by the presence of a defect. It has been shown to have its best sensitivity on stiff structures, such as metals. This sensitivity is primarily limited by the stiffness of the dry-point contact between the transducer and the structure surface [2]. The resonance method operates by exciting the membrane above the defect, and is most sensitive to defects near to the test surface. It is most sensitive when the resonance frequency of the membrane being excited falls within the bandwidth of the excitation signal. The sensitivity of this method decreases with increasing defect depth, but its performance at defect depths above 4 mm is typically superior to the MIA method. This is attributed to the relative ease with which a flexible membrane can be excited. The pitch-catch method operates similarly to the resonance method, where the membrane above the defect is excited. The key distinction lies in the separation of the excitation point and the receiver point by a short distance. The overall sensitivity of all these methods is dependent on the defect depth and size, often limiting their application to relatively large or very shallow defects [10, 13]. Current industrial equipment that implement these methods are used for detection only; often they are not able to characterise the defect or give accurate estimation of the size, unless the defect is large. Moreover, classification of defect types (skin-delamination, disbond and core-crushing) and depth estimation is currently not implemented even though the information may be present in the response.
More recently, LDR based studies have been carried out around excitation, detection and imaging techniques. In [14], Solodov et al explored and validated the use of non-contact sonic excitation by using commercial acoustic loudspeakers (in the kHz range) as excitation devices. The loudspeakers apparatus were positioned at a distance of 30–150 cm from either the front or back surface of the specimen. Then using air-coupled vibrometry in the audible range (< 20kHz), the specimen was excited with normal and angled incidence; with the latter proving useful for avoiding heat flow from the sound source. This technique is claimed to be relatively inexpensive, and was successfully used to excite large areas and perform contactless inspection of different materials and various scale components. However, it remains inefficient at energy transfer compared to some other methods of low-frequency vibration excitation. In [15], a periodic chirp signal, which had a wide bandwidth (allowing for the excitation of unknown LDR) was used for defect excitation, and the detection of LDR frequencies was derived from both thermal responses (using an infared camera) and a laser vibrometer. The approach of using the frictional heat generated when delaminated surfaces rub against each other, was first reported by Solodov et al. [4], where it was shown that the maximum temperature occur at the LDR frequency. A stepped frequency sweep excitation approach was used in [16] and was shown to improve the recognition of superharmonics from far-side defects in sandwich structures. Segers et al have presented the possibility of detecting in-plane local defect resonance in [17], for polymers and composites at relatively high excitation frequencies(> 40 kHz in a PMMA/polystyrenen plate, > 60 kHz in a CFPR panel, and > 50 kHz in a laminated glass panel), where the defects have dominant out-of-plane interfaces (like a surface breaking crack).
Imaging the low-frequency vibration response has been accomplished using a scanning Laser Doppler vibrometer (SLDV) to measure and visualize the full-field out-of-plane vibrational surface response of structures containing local defect resonances (LDR). SLDV operates by measuring the out-of-plane velocity at a point addressed by a focused laser beam, utilizing the Doppler shift between the incident light and the scattered light returning to the measuring instrument. It carries the distinct advantage of avoiding loading the structure being tested and allows for the point addressed to be easily altered by interposing adjustable beam-directing mirrors [12, 1821].
Other common techniques for visualising the local defect resonance include interferometric techniques, like shearography, or thermal techniques like vibrothermography [5, 6, 2225]. Shearography is an interferometric method that enables the full-field observation of surface strains. It utilizes an image-shearing camera, which generates a pair of laterally sheared images in the viewing plane. When an object is illuminated with laser light, the two sheared images interfere, creating a speckled image. Comparing the two speckled images before and after deformation produces a fringe pattern depicting the surface strain distribution. Since defects usually cause induced strain concentration, shearography reveals defects by identifying defect-induced strain concentrations. The advantage of this method is its relative quickness compared to conventional ultrasonic testing (UT), and it is non-contact [26]. Vibrothermography is a non-destructive evaluation technique used to identify surface and near-surface defects, such as cracks and delaminations, by observing vibration-induced heat generated when these defects are excited. The heat generated diffuses away from these thermal sources and radiates from the surface; this radiated heat is then observed and measured using an infrared (IR) camera. The advantage of vibrothermography lies in its rapidity in detecting defects, although it is hindered by issues such as repeatability [27]. SLDV and other approaches for LDR detection and imaging, mentioned above, are among the readily available commercial solutions. However, some of these, like shearography, have been shown to have limited sensitivity to delamination defects in thick-section components. Furthermore, these equipments are relatively expensive and often require complex optics. Additionally, the measurement quality depends on the properties of the surface, with a rough surface needed for shearography [28, 29] and a smooth surface required for SLDV [30].
This paper focuses on the work done in using a pitch-catch probe to perform a wide frequency sweep, exciting various resonance modes of the structure, including the fundamental LDR mode, higher defect harmonics and other plate resonance modes, which are more sensitive to defects deep within the structure [10, 14]. The possibility of using a pitch-catch probe to detect and classify defects when a linear chirp signal is used for excitation, is demonstrated. This includes the ability to accurately size the defect, and image its resonance mode-shape through frequency-optimised imaging.
The first section of the paper describes the analytical model used to predict the resonance frequency of the fundamental LDR mode. Then, the experimental setup is described, which includes the use of the pitch-catch probe to excite and monitor the response of the test sample. The initial numerical model is subsequently described, and the process of developing and validating the model through experimentation is outlined and discussed. Finally, the exploration of a pitch-catch method for defect detection, sizing, and imaging is presented, along with solutions addressing the challenges encountered in establishing a valid numerical model.

2 Analytical Defect Model

The presence of a defect in a structure leads to a local reduction of stiffness and mass in the defective area. The layer above the defect can resonate, and is analytically considered as a spring whose stiffness is the static stiffness of the layer above the defect [2]. When this layer excited at it’s natural frequency, it gives rise to a large amplitude out-of plane vibration, as known as a local defect resonance. The frequency of the first mode of the LDR can be described by,
$$\begin{aligned} f_{LDR} = \frac{1}{2\pi } \sqrt{ \frac{K_{eff}}{M_{eff}} } \end{aligned}$$
(1)
where \(K_{eff}\) is the effective stiffness and \(M_{eff}\) is the effective mass of the defective region.
In the case of a circular flat bottom hole (FBH) like in Fig. 1, the effective stiffness is given by,
$$\begin{aligned} K_{eff} = \frac{192 \pi G}{r^2} \end{aligned}$$
(2)
where G is the flexural rigidity of the FBH and r is the radius of the FBH.
The effective mass, \(M_{eff}\), is approximated to be 1.8m (m being the mass of the layer above the defect) [3, 31].
Fig. 1
Schematic of a section through a circular flat bottom hole defect
Bild vergrößern
Fig. 2
The aluminium test sample with a FBH and the lab-tooling with a cut out for the pitch-catch probe. The red markers on the middle image indicates the position of the probe pins when it is placed in the cut-out (Color figure online)
Bild vergrößern
When the effective stiffness and effective mass are substituted into Eq. (1), the equation below is derived, describing the frequency of the first LDR mode. This equation is only valid for the fundamental LDR frequency. It also assumes thin plate conditions with a clamped boundary, further limiting its validity to defects with relatively large diameter to thickness ratio, such that \(d/t_{defect} > (\text {7 to 10})\) [18, 24, 32].
$$\begin{aligned} f_{LDR} = \frac{1.6 t}{r^2} = \sqrt{ \frac{E}{12\rho \left( 1 - v^2\right) } } \end{aligned}$$
(3)
where t is the thickness of the layer above the defect, r is the radius of defect, E is Young’s modulus, \(\rho \) is the density, and v is the Poisson’s ratio.

3 Experimental Procedure

The test sample used in the experiments is a 150 \(\times \) 150 \(\times \) 20 \(\text {mm}^3\) aluminium plate, made from 5083 grade aluminium alloy. A Ø40 mm diameter hole was machined to a depth of 19 mm to create a circular FBH, which represents a 1 mm skin-deep defect. A lab tool was manufactured with threaded inserts on the side walls and a cut-out for the pitch-catch probe. The dimensions of the lab tool are designed so that the probe is centered over the FBH defect and can be offset horizontally in a straight line, if necessary, to create a line scan through the mid-plane of the FBH defect. This adjustment is made possible using the screw-threaded inserts in the side walls of the lab tool (shown in Fig. 2). The probe used is a low-frequency pitch-catch probe, manufactured by Baugh & Weedon Ltd. It is one of the three types of low-frequency inspection probes available to use with their readily available Bondcheck Instrument (a low-frequency vibration inspection instrument). The probe has two pins, separated by 17 mm, that couple the transducers to the surface of the structure. One pin excites the structure, while the other monitors its response.
Fig. 3
Schematic of the experiment setup
Bild vergrößern
The schematic shown in Fig. 3 describes the experimental setup. A computer interface, with a MATLAB script, was used to generate and transmit a digital linear chirp signal (with a length of 500 ms, a sampling rate of 200 kHz and a bandwidth of 5–50 kHz) to the signal generator which converted the signal to an analog form to drive the probe. In the first instance, the sample was excited with the probe positioned over the centre of the defect. The sample’s response is filtered using a high pass filter (HPF) with a cut-off frequency of 2 kHz to filter out unwanted low-frequency noise of the scanning system. The filtered signal is sent to the analogue to digital converter (ADC) which has a sampling frequency of 200 kHz (far above the nyquist frequency limit of the highest frequency in the chirp signal). A computer interface with a script written in MATLAB was then used to capture the received signal and perform further signal processing and data analysis. A number of sequential excitation signals (Fig. 4a) are sent to the probe and a number of the structure’s responses (Fig. 4b) were captured and averaged coherently to reduce the random, time-varying noise of the signal. In this work, the average of a hundred time-traces was taken, which using Eq. (4), gives an SNR of 20.12dB at this specific location on the specimen (when the probe is centred over the defect).
$$\begin{aligned} SNR = 20~log_{10} \left( \frac{RMS_{signal}}{RMS_{noise}} \right) \end{aligned}$$
(4)
where \(RMS_{signal}\) is the root mean squared (RMS) value of the averaged signal within the frequency bandwidth of 5–50 kHz, and \(RMS_{noise}\) is the RMS value of the residual obtained by subtracting one averaged signal from another within the frequency bandwidth of 5–50 kHz.
Fig. 4
a The linear chirp signal of 5–50 kHz. b the time-domain response from the centre of the defect. c The spectrum of the defect response from 5 to 50 kHz
Bild vergrößern
Finally, a fast fourier transform (FFT) is performed on the averaged time-trace, to obtain a frequency response function (FRF) plot (Fig. 4c), which is the ratio between the response magnitude and the excitation magnitude, as a function of the excitation frequency [33]. This allows for direct comparison of the experimental results to the simulation results, which are also obtained in the frequency-domain.

4 The Finite-Element Model

The table below outlines the mechanical properties of 5083 grade aluminium. These properties are entered into in the finite-element model.
Fig. 5
a Schematics of the aluminium test sample, showing the excitation node Tx and receiver node Rx. b Showing the mesh
Bild vergrößern
In this section, the numerical model (Fig. 5) and its parameters are described. With the aim being to model the experimental setup as accurately as possible, an aluminium plate with a circular FBH, having identical dimensions to that of the test sample (seen in Fig. 2), was modelled using FEA (ABAQUS, 2018). The material properties in Table 1 were used, with an initial material damping ratio of 1%, at the fundamental LDR frequency. Rayleigh damping was used to implement the damping as a material damping. To define damping, two factors, \(\alpha _R\) for mass-proportional damping and \(\beta _R\) for stiffness-proportional damping, are used as part of the material property definition, such that for a given mode i the damping the ratio, \(\zeta _i\), can be expressed as:
$$\begin{aligned} \zeta _i = \frac{\alpha _R}{2\omega _i} + \frac{\beta _R \omega _i}{2} \end{aligned}$$
(5)
where (\(\omega _i\)) is the natural frequency at this mode [35]. In this case, the damping ratio was applied at the fundamental LDR frequency, so \(\omega _i = 2\pi f_{LDR}\).
The model boundary was unconstrained, and a sinusoidal force of 200N was applied at a selected node (Tx) highlighted in Fig. 5a, and the response of the structure was monitored at another node (Rx) 17 mm away from the input node (similar to the experiment). A modal analysis step was first performed in ABAQUS (using Lanczos solver) to extract the eigen-frequencies and mode shapes of the structure within a specified frequency bandwidth, in this case 5–50 kHz. Then, using mode-based steady state dynamic step, the selected frequency range was sub-divided using the extracted eigen-frequencies of the system in that range. Then a frequency sweep was performed by applying the loading at the extracted eigen-frequencies and recording the response of the structure. A swept mesh with quadratic hexahedral 20-node brick elements (C3D20R) was used, and a mesh convergence was carried out at a slightly higher frequency than the highest frequency of interest (50 kHz). An extracted eigen-frequency corresponding to ’mode 111’ (which has a natural frequency of 58.6 kHz) was chosen for the mesh convergence study. This ensured that the eigen-frequencies below the chosen frequency were converged. Based on the mesh convergence study, an element size of 2.5 mm was used, corresponding to approximately 25 elements per shear wavelength at the highest frequency of interest (50 kHz). The entire model contained a total of 35,561 elements.
Table 1
Material properties of 5083 aluminium alloy [34]
Material
Density (\(\text {kg/m}^3\))
Young’s modulus (\(\text {GPa}\))
Poisson’s ratio
5083 Aluminium
2650
72
0.33

5 Results and Discussion

5.1 Comparing the Experimental Result to the Finite Element Model Result

Fig. 6
Simulation and experiment result comparison for the sample and the defect a Frequency response function of the test sample (where, \(\bar{A}\) is the normalised amplitudes); the i–vi nomenclature corresponds to the LDR peaks, which have their mode-shapes displayed in Fig. 7. b Model-experiment resonance-frequency error quantification plot
Bild vergrößern
Fig. 7
LDR frequencies and mode-shapes for the simulation result, for the sample and defect in Fig. 5
Bild vergrößern
The plots in Fig. 6a are the frequency-dependent amplitude response of the test sample, when it is excited at point Tx and monitored at point Rx; these points are 17 mm apart, and equal distance about the origin centre of the defect as indicated in Fig. 5a. The out-of-plane resonances corresponding to the LDR modes have been highlighted using arrows, and cross-referenced to their corresponding mode-shapes in Fig. 7. The experimental and numerical results are plotted on the same graph for direct comparison. The frequencies corresponding to the global parent-plate resonance have been plotted as vertical dotted lines. These frequencies were obtained experimentally, by taking 10 measurements on a non-defective region of the test sample, and performing a Fast Fourier transform on the averaged time-trace.
The FRF plots in Fig. 6a show reasonable agreement between the simulation and experiment, in terms of the resonant frequencies. A number of observations can be made from this result. The resonance peaks corresponding to the global parent-plate resonant frequencies exhibit relatively good agreement between the model and experiment. This is evident from the good alignment of the resonance peaks (which corresponds to the plate modes) with the vertical dotted lines in both the simulation and experimental data. However, these peaks demonstrate a significant variation in damping ratio between the simulation and experimental results.
In the experimental result, the resonance peaks corresponding to the LDR modes occur at higher frequencies than numerically predicted. For example, the fundamental LDR frequency was calculated to be 6.38 kHz using Eq. (3) (similar to the FEA result), however, the experimental results shows this mode to be occurring at approximately 7.43 kHz. This is a 16.5% increase from the theoretical value, which means an error of approximately 1.05 kHz is produced between the simulation and the experiment.
Also, the experimental result show that the resonance peaks corresponding to the LDR modes have a significantly higher damping ratio than the resonance peaks corresponding to the parent plate resonances, even though the material damping of the aluminium is the same throughout. Using the half-power bandwidth method, which is a technique used to determine the bandwidth of a resonance peak in a frequency response function [36], it was found that the damping ratio corresponding to the parent plate resonance was 0.03% while the damping ratio corresponding to the LDR modes was 6%. This is indicated by the resonances which have a broad peak compared to the other peaks in experiment.
Lastly, the plot in Fig. 6a also shows that the amplitude agreement between the model and the experiment is relatively poor. This discrepancy is evident in the simulation, where there is a global gradual decrease in the response amplitude with increasing frequency. In contrast, the experimental data shows a global gradual increase in the response amplitude up to approximately 38 kHz, followed by a gradual decrease beyond this frequency.
In subsequent sections, the causes of the relatively poor model-experiment agreement are identified, and each of them is addressed individually to establish a valid model with improved agreement between the model and experiment.

5.1.1 The Minimum Difference Error

The minimum difference error, \(\epsilon (f)\), is used to quantify the error between the simulation result and experimental result as a function of the frequency. The resonance peaks in both the experimental and simulation data are identified using MATLAB’s ’findpeaks’ function, with a specified peak prominence. This process results in two arrays: g(f) for the experimental resonance peaks and s(f) for the simulation resonance peaks. Then, the entire array of elements in s(f) is subtracted from each successive element in g(f). The element with the smallest error magnitude in the resulting array is considered to be the corresponding resonance peak frequency in both the experiment and the simulation. This is expressed in Eq. (6),
$$\begin{aligned} \epsilon _{i}(f) = min\Vert g_{i}(f) - s(f) \Vert , \;\;\;\;\;\;\;\; i = 1,\ldots ,n \end{aligned}$$
(6)
where \(g_{i}(f)\) is each successive extracted resonance peak frequency in the experiment, s(f) is the complete array of extracted resonance peak frequencies from the numerical solution, n is the total number of extracted resonance peak frequencies in the experiment. This forms the foundation for potential defect classification through comparison with modelled responses. This is because the resonance frequencies depend on the shape, size, and depth of a defect. Thus, a resonance frequency error spectrum with relatively small errors, leading to an overall relatively low root mean square (RMS) value of the error spectrum, provides indications about the defect’s class and characteristics.
The minimum difference error plot in Fig. 6b quantifies the error between the resonant frequencies, seen in the experiment result and the simulation result, as a function of the frequency, as explained above. The plot shows that the resonance frequencies with relatively large error (> 0.5 kHz), mostly correspond to the LDR frequencies, while the parent plate resonance frequencies have relatively small errors (< 0.5 kHz). Although, above 45 kHz, the model-experiment error for the parent plate resonance is relatively large due to the model not capturing some of the resonance above this frequency. The RMS of the spectrum of resonance-frequency error is 0.93 kHz.

5.2 Improving the Model-Experimental Agreement

It is important to note that the measuring device (the pitch-catch probe, in the experiment), influences the measurements because it is part of the dynamic system and has an impulse response but it has not been modelled in the above simulations. Therefore, the observed effect of the measuring device can be modelled, to improve the model-experiment agreement.
One of the probe effects which was observed in this work is an increased stiffness on relatively flexible membranes, resulting in an apparent increase in the natural frequencies of the defect. Another probe effect which was observed is the multi-mode damping (which includes an increased damping on relatively flexible membranes), resulting in an increased damping for the defect resonances. The final probe effect is the probe impulse response, which was observed as an increased amplitude around the probe’s resonance frequency. This observation led to relatively poor agreement in model-experiment amplitudes and a lack of sensitivity further away from the probe resonance frequency. The observed probe effects can be explained by the presence of the probe on relatively flexible membranes, altering the deflection of the membrane and introducing additional stiffness to the vibrating system. Additionally, the rubbing contacts of the probe contribute additional damping to the system.

5.2.1 Adding Stiffness to the Model

Fig. 8
Schematic of a section through the model with added springs and dashpots attached to the defect
Bild vergrößern
To model the increased stiffness from the probe, springs which were attached to a node on one end and fixed on the other end, were added to the FEA model (shown in Fig. 8). Attaching the springs in this manner meant that only the defect resonances were influenced by their presence, and the parent-plate resonances remained unchanged (as observed experimentally). To enhance the accuracy of the model with springs, the stiffness of the vibrating mechanism of the probe (which contributes to the probe’s overall stiffness) was investigated. This was done by modeling the probe using FEA and plotting a force-displacement curve of the probe’s deflection under a 10N static force. By calculating the gradient of the force-displacement curve, a value for the theoretical static probe stiffness was obtained. This value, \(k_1 = k_2 = 400 \text {kN/m}\), was incorporated into the dynamic model (see Fig. 8) as the spring stiffness.
To further validate the theoretical probe stiffness value, the RMS of the resonance-frequency error between the model and the experiment was plotted across a range of values around the initial estimate of the probe’s stiffness. The results, presented in Fig. 9, confirm that the initial prediction of static probe stiffness corresponds to the minimum RMS resonance-frequency error between the model and the experiment.
Fig. 9
RMS of the spectrum of resonance-frequency error produced between the model and the experiment results (between 5 and 50 kHz) for varying spring stiffness’s, \(k_1 = k_2\)
Bild vergrößern
Fig. 10
Half-power bandwidth measurement, with indicated side-band frequencies (frequencies at which the amplitude drops to \(\frac{1}{\sqrt{2}}\) of the value at the resonance peak) a For the plate mode resonances in experiment. b For the LDR modes in experiment. Parameter \(\bar{A}\) is the normalised amplitude in both plots
Bild vergrößern

5.2.2 Investigating the Damping

To model the multi-mode damping from the probe, dashpots (viscous energy dissipation mechanisms) were included in the model in a similar manner to the springs (also shown in Fig. 8).
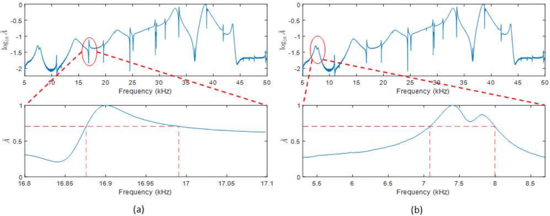
As previously stated, the appropriate material damping ratio for 5083 grade aluminium was investigated using the half-power bandwidth of the plate mode resonance peaks in experiment. As shown in Fig 10a, a resonance peak corresponding to a plate mode resonance at \(f_0 = 16.9\) kHz, was chosen, for which the side-band frequencies are \(f_1 = 16.876\) kHz and \(f_2 = 16.990\) kHz. Using the equation \(\zeta = \delta {f} / 2f_0\), where \(\delta {f} = f_2 - f_1\), the damping ratio is calculated to be \(\approx 3\%\) [36]. The damping ratio for the resonances corresponding to the LDR modes was calculated to be \(\approx 6\%\), when \(f_0 = 7.41\) kHz, \(f_1 = 7.085\) kHz and \(f_2 = 7.994\) kHz (Fig. 10b). However, Isolating the probe’s damping contribution posed challenges because of the nonlinear relationship between damping coefficients in the system. Additionally, converting damping ratios directly into dashpot coefficients lacked a straightforward method. Therefore, an iterative approach was adopted. This method involved adjusting the dashpot coefficient until the model’s half-power bandwidth matched the experimental data specifically for the LDR resonance modes.
In conclusion of the damping study, a material damping ratio of 0.3% and a dashpot coefficient of 3 Ns/m were identified as robust values, showing consistent agreement between simulation and experimental data. These values underwent rigorous testing and validation by comparing the amplitude responses at various scan positions, consistently yielding favorable agreement with experimental data.

5.2.3 Discussing & Quantifying the Improved Model-Experiment Agreement

Fig. 11
Improved FE results compared with experimental result a Frequency response function of the test sample (where, \(\bar{A}\) is the normalised amplitudes); the i–vi nomenclature corresponds to the LDR peaks, which have their mode-shapes displayed in Fig. 7. b Model-experiment error quantification plot
Bild vergrößern
The plots of amplitude response as a function of the frequency, in Fig. 11a show a much improved agreement between the simulation and experiment resonant frequency results. As previously plotted, the out-of-plane resonances corresponding to the LDR modes have been highlighted using arrows, and cross-referenced to their corresponding mode-shapes in Fig. 7. The experimental and numerical results are once again plotted on the same graph for direct comparison. The frequencies corresponding to the global parent-plate resonance have been plotted as vertical dotted lines.
In comparing the global parent-plate resonant frequencies of the simulation and the experiment, the former good model-experiment agreement of these smaller resonances has been maintained, but in addition, there is an improved agreement of the damping ratio between the experiment and the simulation.
The results in Fig. 11a also show a reduction in the model-experiment errors for modes corresponding to the LDR. For example, the fundamental LDR frequency, in simulation, occurs at 7.41 kHz, while in experiment this mode occurs at 7.43 kHz. This gives a 0.02 kHz error between the model and experiment, at this frequency. Using a dashpot coefficient of 3 Ns/m to model the probe’s damping effect on the LDR modes produces very good agreement. This can be observed in Fig. 11a, where the broadness of the peaks (indicated with arrows) qualitatively matches that of the experimental results.
The updated model yields an RMS resonance frequency error of 0.24 kHz, which is a 74.2% improvement when compared to the RMS resonance frequency error of 0.93 kHz, obtained from the initial FE model. Also, the peaks corresponding to both the defect and parent plate resonance now produce very good agreements with the experimental result, as the improved model was able to accurately capture the damping for the two types of resonances (LDR and plate resonances). Additionally, the plot in Fig. 11b shows that only two resonance peak frequencies have an error magnitude greater than 0.5 kHz, compared to the initial results, which had nine resonance peaks with error magnitudes greater than 0.5 kHz. One explanation of these relatively small discrepancies could be as a result of the simplification of modelled probe. However, these difference fall within the acceptable margin of error as they do not significantly affect the overall agreement with experiment.
Finally, very good amplitude agreement can be observed within a narrow bandwidth of 25–45 kHz. Outside this bandwidth, poor probe sensitivity in the experiment hindered any further improvement to the model-experiment amplitude agreement. It is important to note that for the intended use of the FE model, the agreement between the model and experiment LDR resonance frequencies was more critical. Therefore, no additional efforts were made in this instance to further improve the amplitude agreement between the model and the experiments.

5.3 Potential for Defect Classification

Defect characterization from frequency-sweep pitch-catch data is made possible through comparison with modelled responses. When the relevant frequency spectrum (25–45 kHz in this case) of the modelled responses is compared with the experimental data, the plots in Fig. 12 demonstrate how good agreement across the relevant resonant frequency spectrum can be used to characterise a defect.
Fig. 12
Comparison between the experimental and simulated responses for various scan positions and the corresponding resonance frequency error spectrum (a) when the probe is centred over the defect; as illustrated by the image (b) when one of the probe pin is over the defect and the other is over the non-defective plate; as illustrated by the image (c) when both the probe pins are over a non-defective region of the plate. (The parameter \(\bar{A}\) is the normalised amplitudes)
Bild vergrößern
Once the agreement between the experiment and simulation was deemed sufficient, further scans were performed on two additional locations on the test specimen. This allowed for a comprehensive comparison of the experimental and simulated responses across three different scan locations (from 25–45 kHz; the most sensitive bandwidth of the probe). The parameters used in the experimental setup and the FE model remained identical to those described in Sects. 3 and 4, respectively, except for the updated material damping ratio and the modelled probe damping and stiffness effects. The values for these parameters are those presented in Sects. 5.2.1 and 5.2.2.
Figure 12a contains two plots: the top plot shows the frequency-dependent normalized response when the probe is over the center of the defect (both in the experiment and in the model), and the plot below it is the corresponding resonance frequency error plot. Figure 12b and c are similar to Fig. 12a, but they show the model and experiment responses when only one of the probe pins is in contact with the defective region, and when both pins are over the non-defective region of the plate, respectively. Overall, these plots show relatively good agreement between the model and experiment for all three scan positions, due to the relatively low RMS of the error plots in all three cases (0.22 kHz, 0.14 kHz and 0.07 kHz). However, it can be noted that the agreement improves as you move away from the defective region and the RMS of the error plots decreases from 0.22 kHz over the defective region to 0.07 kHz over the non-defective region. One reason for this could be the simplification of the probe in the model, which leads to slight differences between the modelled response and the experimental data.
Furthermore, in the second and third scan positions (Fig. 12b and c, respectively), some resonance peak shapes are compromised in the experimental data due to the noise floor and relatively poor SNR at these locations in the experiment. However, this does not affect the integrity of the extracted resonance peaks and has little significance in the comparison of resonance frequency peaks with the simulated response.
Finally, the use of the resonance frequency error plots extends beyond simply quantifying the error of the resonance frequencies in experiment and simulation. This is because the resonance frequencies are a function of a defect’s shape, size, and depth, therefore, it is possible to use the minimum difference error of the resonance frequencies (across a relevant spectrum) to characterize any defect, regardless of its geometry, as long as it can be modelled accurately. By comparing the defect response to a database of modelled responses of likely defects or defects of interest, results with relatively low errors across the resonance frequency error spectrum can indicate the defect characteristics. The limiting factor of this method is the ability to accurately model more complex defective responses (such as those in a sandwich composite panel) and the computational resources needed to model the parent structure, which can sometimes be large in size and have complex damping coefficients.

6 Frequency-Optimised Sizing & Imaging

6.1 Contrast Frequencies

Frequency-optimised imaging and sizing is carried out by using contrast frequencies. The contrast frequencies, \(f_{c}\), are frequencies with amplitudes that maximise the difference between the defective region and the non-defective region, such that the response of the defective region differs greatly, by amplitude, when compared to the non-defective region. The structure is excited with a wide-band excitation signal, and the response is monitored. The benefit of using a wide-band excitation is to excite various resonances and anti-resonances of the structure, some of which are sensitive to relatively small changes in local mass and stiffness, giving rise to a change in the response amplitude for relatively small and deep defects, which could otherwise go undetected [10].
To obtain the contrast frequencies, an FFT is performed on two time-series, obtained from taking the mean of several scans over the defective region \(d_{d}(t)\) and the non-defective region \(d_{n}(t)\), to produce two resulting spectra \(D_{d}(f)\) and \(D_{n}(f)\), corresponding to the average FRF response over the defective region and the non-defective region, respectively.
Fig. 13
Frequency response function plots of a line scan through the centre of the defect in a simulation, b experiment. The vertical dashed lines indicate the boundary of the defect and its true size of 40 mm
Bild vergrößern
When the average response of the defective region \(D_{d}(f)\) is divided by the average response of the non-defective region \(D_{n}(f)\), a resulting spectrum h(f) is formed, which is the ratio comparing the average response of the defective region to the average response of the non-defective region. The peaks (local maxima) and troughs (local minima) of the resulting spectrum h(f), identifies frequencies that are able to contrast the defective amplitudes from the non-defective amplitudes of the parent structure. The expression below describes the contrast frequencies:
$$\begin{aligned} f_{c} = {\left\{ \begin{array}{ll} h(f) = \frac{\overline{D}(x_{d},y_{d},f)}{\overline{D}(x_{n},y_{n},f)}\\ where h'(f) = 0, &{} \;\;\;\; c = 1,\ldots ,n\\ h''(f) < 0 \;\; \text {or} \;\; h''(f) > 0 \end{array}\right. } \end{aligned}$$
(7)
where (xy) indicates a 2D scan position, \(\overline{D}\) is the mean amplitude of the displacement at a frequency f, which is within the range of the excitation frequency bandwidth.
Once the contrast frequencies have been obtained, they can be used to size or image the mode shape of the defect at specific frequencies, within the excitation signal bandwidth.

6.2 Sizing the Defect

The plots in Fig. 13a and b show the Frequency Response Function (FRF) of the test sample as a function of the scan position on the surface of the specimen, for the experiment and simulation, respectively. The sample was scanned through the center mid-plane of the defect using a point-by-point increment of 4.1 mm experimentally. The experimental setup and parameters are identical to those described in Sect. 3, with the only changes being the bandwidth of the analysis (25–45 kHz) and the position of the probe, which was shifted in this case. The first scan position is at the centre of the defect (0,0), and the final scan position is 57.5 mm away from the centre (57.5,0) mm. The average of 20 scans was taken at each 15 scan location. The test sample is symmetrical about the vertical centre-line, so only half of the sample was scanned and the result is mirrored about the vertical centre-line.
To replicate the experiment numerically, the transmit node (Tx) and receive node (Rx) were incrementally shifted together across the surface of the specimen, maintaining a fixed distance of 17 mm between them. This setup mimicked a point-to-point scan in a straight line through the center mid-plane of the FBH defect, with a scan increment of 4.1 mm. Again, the model parameters are identical to those described in Sect. 4, with the only exception being the validated model damping parameter and the addition of the probe stiffness and damping, for which these values are given in Sect. 5.2.1 and 5.2.2, respectively. Similarly to the experiment, the first scan position (0,0) is over the centre of the FBH defect and the final scan position is 57.5 mm away (57.5,0). The symmetrical nature of the test sample meant that response for half of the sample was taken and mirrored about the vertical centre-line.
Using the method described in Sect. 6.1, the contrast frequencies (frequencies at which peaks and troughs occur when the average response of the defective region is divided by the average response of the non-defective region) were identified and used to create the frequency-optimised normalised-amplitude plots in Fig. 14 below.
Fig. 14
Amplitude plots used to size the defect a In simulation, b In experiment. The vertical dashed lines indicate the boundary of the defect and its true size of 40 mm
Bild vergrößern
The plots in Fig. 14a and b, show the amplitude plots for selected frequencies which corresponds to the local maxima and local minima of the function h(f) in Eq. (7). The maxima occur due to either the defect resonance, or the parent plate anti-resonance, and the minima occur due to defect anti-resonance or the parent plate resonance. It was discovered that for this particular defect on this specimen (see Fig. 2), the maxima typically performed better at contrasting the defective regions from the non-defective region. This is because the plate resonance tended to have relatively small amplitudes (owing to the structure’s relatively high stiffness), so the vibrations from the defective region were more pronounced compared to the response of the rest of the structure (due to the defect’s relative thinness compared to the rest of the structure). In this case, the response from the defective region had a higher amplitude than the parent structure across the frequency bandwidth of 25–45 kHz. Due to the limited probe sensitivity in experiments, fewer of these contrast frequencies are observed. However, among those observable in the experiment, there is a clear similarity with the simulation in terms of the dB drop observed as a scan is performed incrementally across the sample. Both the simulation and experiment show approximately a − 20 dB drop when one of the probe pins touches the defect boundary edge (when the other pin is on the defect), compared to when the probe is centered over the defect. Therefore, it is possible to estimate the defect width by adding the probe pin-spacing (17 mm) to the size indicated by the − 20 dB drop. For example, in this case, a − 20 dB drop gives an indication of a defect width of approximately 23.3 mm. By adding the probe spacing (17 mm) to this indicated value, an estimated defect width of 40.3 mm is obtained. This method produces a 0.75% error magnitude when compared to the true defect size of 40 mm.
Fig. 15
Comparison of measured defect width against the true defect size. The blue curve (a smoothing spline fit) is the − 20dB width measurement, the solid red curve (a smoothing spline fit) is the estimated defect width when the pin-spacing is added to the − 20dB width measurement, and the \(\pm \text {5}\%\) error of the defect’s true size is indicated with dashed red lines (Color figure online)
Bild vergrößern
This sizing method (demonstrated in both [37, 38]) is based on the observation that the probe’s sensitivity to the defect resonance drops by approximately − 20dB, once one of the probe pins is placed on the boundary between the defect and the parent plate (while the other pin is on the defect). Therefore, a study was carried out to test the validity of this method. The plots in Fig. 15 show the result. The blue curve, is the − 20dB width measurement for various defects sizes (20–70 mm). To obtained the estimated defect width (the red curve), the pin-spacing (17 mm) is added to the values of the − 20dB width measurement. A line of \(x = y\) is also plotted with dashed black lines, and the \(\pm \text {5}\%\) error of the defect’s true size is plotted with dashed red lines.
As this method depends on the detection of an increased vibration activity over the defective region, it is important that a wide-band excitation signal is used. This is so that multiple defect resonances are excited, and in the cases of a parent-plate anti-resonance, deviations in the response in the form of increased vibration, can be captured. Then, the average of the frequency-optimised amplitude plots in Fig. 14 is taken, so that the variations in amplitude over the defective region, due to the mode-shapes of the defect at different frequencies, is compensated for.
The results show that for defects greater than 34 mm (two times the probe pin-spacing), the error of the estimated defect size is \(\le \) 5% of the true defect width; as indicated by the fact that defects from approximately 34 mm and above are reasonably closely fitted near the line of \(x = y\). For defects that are less than two times the pin-spacing, the shape of their amplitude line-scan differs when using a pitch-catch probe with a pin-spacing of 17 mm for sizing. This difference results in the production of two broad peaks instead of a single peak. Therefore, the − 20dB width plus the pin-spacing (17 mm) method is only valid for defects that are \(\ge \) two times the pin-spacing.
There is potential for defect mode-shape imaging using this method through the utilisation of a full-field out-of-plane C-scan data. This will also open the door for the potential use of image processing and segmentation to determine the size, geometry, and characteristics of the defect, as shown in [12].

7 Conclusions

This paper demonstrates the ability to accurately model LDR in homogeneous solids (aluminium in this case). The experimental and numerical methods were both used to measure the LDR amplitude as a function of the frequency at varying positions on the specimen. The numerical model consists of a modal analysis step which was used to extract all the eigen-modes present between 5 and 50 kHz, and then a steady state modal step was used to perform a frequency sweep by applying the loading at the extracted eigen-frequencies and recording the response of the structure. The experiments consisted of a pitch-catch probe, which was used to excite and monitor the response of the structure over a wide frequency range (5–50 kHz), using a linear chirp excitation signal. Following the recording of the structure’s response, a MATLAB script was written to perform further signal processing and data analysis. It was observed that the probe added stiffness and damping to the dynamic system, necessitating the inclusion of these effects in the numerical model to achieve accurate results when compared to the experimental data. After incorporating the probe effects into the model, a satisfactory level of agreement between the model and experiment was achieved, with an RMS resonance frequency error of 0.24 kHz. This represented a 74% improvement from the model without the probe effect, which had an RMS resonance frequency error of 0.93 kHz.
Amplitude comparison between the finite-element model and the experiment is possible within the probe’s most sensitive frequency bandwidth (25–45 kHz). However, outside of this bandwidth, poor probe sensitivity in the experiment hindered any further amplitude agreement that could have been obtained. Further improvement to the model-experiment amplitude agreement could potentially be achieved by either using a pitch-catch probe which has a flat response over the frequency bandwidth of interest (in experiment), or by modelling the probe’s frequency response.
The minimum difference error plot of the resonance frequency errors provides a method for quantifying the error between the experimental data and the simulated data. However, this method also has the potential to be extended to defect classification. This is because the resonance frequencies (across a relevant spectrum) are functions of the defect’s shape, size, and depth. Therefore, responses that produce a relatively low RMS error over the spectrum of resonance frequency errors can indicate the defect characteristics when compared to modeled responses.
The issue of unknown LDR frequencies can be improved by using a broadband excitation signal (5–50 kHz). This then allowed for frequency-optimised defect sizing and imaging (within the narrower bandwidth of 25–45 kHz), which when using the method described in Sect. 6.2, produced relatively accurate defect size measurements with relatively small error (0.75% for a 40 mm width defect). This method also proved capable of sizing defects that are greater than two times the probe pin-spacing of 17 mm to produce errors of \(\le \) 5% of the nominal defect width. Further work is required to explore the accuracy of this method for defects that are less than twice the size of the probe pin-spacing. Finally, a full-field scan creates the potential to visualise the defect mode-shape and plate vibration pattern using ’frequency-optimised imaging’, and since the mode-shape is a function of the defect’s characteristics, the geometry, size and depth of the defect can be estimated by comparison to modelled responses.

Acknowledgements

The author acknowledges the funding of Future Innovation in Non-Destructive evaluation (FIND) on behalf of Baugh & Weedon Ltd through the Engineering and Physical Sciences Research Council (EPSRC) Centre for Doctoral Training (EP/S023275/1).

Declarations

Competing interests

The authors declare no competing interests.
Open Access This article is licensed under a Creative Commons Attribution 4.0 International License, which permits use, sharing, adaptation, distribution and reproduction in any medium or format, as long as you give appropriate credit to the original author(s) and the source, provide a link to the Creative Commons licence, and indicate if changes were made. The images or other third party material in this article are included in the article’s Creative Commons licence, unless indicated otherwise in a credit line to the material. If material is not included in the article’s Creative Commons licence and your intended use is not permitted by statutory regulation or exceeds the permitted use, you will need to obtain permission directly from the copyright holder. To view a copy of this licence, visit http://creativecommons.org/licenses/by/4.0/.

Publisher's Note

Springer Nature remains neutral with regard to jurisdictional claims in published maps and institutional affiliations.
download
DOWNLOAD
print
DRUCKEN
Titel
Modelling Low-Frequency Vibration and Defect Detection in Homogeneous Plate-Like Solids
Verfasst von
Joshua O. Aigbotsua
Robert A. Smith
Tom Marshall
Bruce W. Drinkwater
Publikationsdatum
01.09.2024
Verlag
Springer US
Erschienen in
Journal of Nondestructive Evaluation / Ausgabe 3/2024
Print ISSN: 0195-9298
Elektronische ISSN: 1573-4862
DOI
https://doi.org/10.1007/s10921-024-01115-3
1.
Zurück zum Zitat Cawley, P.: The sensitivity of the mechanical impedance method of nondestructive testing. NDT Int. 20(4), 209–215 (1987). https://doi.org/10.1016/0308-9126(87)90243-4CrossRef
2.
Zurück zum Zitat Cawley, P.: The impedance method of non-destructive inspection. NDT Int. 17(2), 59–65 (1984). https://doi.org/10.1016/0308-9126(84)90045-2CrossRef
3.
Zurück zum Zitat Solodov, I., Bai, J., Busse, G.: Resonant ultrasound spectroscopy of defects: case study of flat-bottomed holes. J. Appl. Phys. 113(22), 223512 (2013). https://doi.org/10.1063/1.4810926CrossRef
4.
Zurück zum Zitat Solodov, I., Bai, J., Bekgulyan, S., Busse, G.: A local defect resonance to enhance acoustic wave-defect interaction in ultrasonic nondestructive evaluation. Appl. Phys. Lett. 99(21), 211911 (2011). https://doi.org/10.1063/1.3663872CrossRef
5.
Zurück zum Zitat Rahamme, M., Joas, S., Kreutzbruck, M.: The local defect resonance of elliptically shaped defects. e-J. Nondestruct. Test. (2018)
6.
Zurück zum Zitat Solodov, I., Rahammer, M., Gulnizkij, N.: Highly-sensitive and frequency-selective imaging of defects via local defect resonance. e-J. Nondestruct. Test. (2014)
7.
Zurück zum Zitat Roy, S., Bose, T., Debnath, K.: Detection of local defect resonance frequencies using bicoherence analysis. J. Sound Vib. 443, 703–716 (2019). https://doi.org/10.1016/j.jsv.2018.12.006CrossRef
8.
Zurück zum Zitat Carboni, M., Bruni, S., Crivelli, D., Guagliano, M., Rolek, P.: A study on the performance of acoustic emission and low frequency vibration methods to the real-time condition monitoring of railway axles. In: 12th International Conference of the Slovenian Society for NDT, pp. 559–566 (2014)
9.
Zurück zum Zitat Cawley, P.: Low frequency NDT techniques for the detection of disbonds and delaminations. Br. J. Nondestruct. Test. 32(9), 454–461 (1990). https://doi.org/10.1016/0963-8695(91)90825-NCrossRef
10.
Zurück zum Zitat Nelson, L.J., Dalton, R.P., Birt, E.A., Jones, L.D., Smith, R.A.: A new low-frequency vibration technique for blind-side inspections. Insight-Non-Destruct. Test. Cond. Monit. 48(3), 149–154 (2006). https://doi.org/10.1784/insi.2006.48.3.149CrossRef
11.
Zurück zum Zitat Roy, S., Bose, T., Debnath, K.: Detection of local defect resonance frequencies using bicoherence analysis. J. Sound Vib. 443, 703–716 (2019). https://doi.org/10.1016/j.jsv.2018.12.006CrossRef
12.
Zurück zum Zitat Hettler, J., Tabatabaeipour, M., Delrue, S., Van Den Abeele, K.: Detection and characterization of local defect resonances arising from delaminations and flat bottom holes. J. Nondestruct. Eval. 36(1), 2 (2016). https://doi.org/10.1007/s10921-016-0380-6CrossRef
13.
Zurück zum Zitat Cawley, P., Theodorakopoulos, C.: The membrane resonance method of non-destructive testing. J. Sound Vib. 130, 299–311 (1989). https://doi.org/10.1016/0022-460X(89)90555-5CrossRef
14.
Zurück zum Zitat Solodov, I., Rahammer, M., Gulnizkij, N., Kreutzbruck, M.: Noncontact sonic NDE and defect imaging via local defect resonance. J. Nondestruct. Eval. 35(3), 1–8 (2016). https://doi.org/10.1007/s10921-016-0364-6CrossRef
15.
Zurück zum Zitat Rahammer, M., Kreutzbruck, M.: Fourier-transform vibrothermography with frequency sweep excitation utilizing local defect resonances. NDT E Int. 86, 83–88 (2017). https://doi.org/10.1016/j.ndteint.2016.11.012CrossRef
16.
Zurück zum Zitat Zhang, S., Ma, C., Hu, H., Jiang, Y., Chen, X., Li, X.: Far-sided defect recognition of CFRP sandwich structures based on local defect resonance. J. Sandw. Struct. Mater. 23(2), 568–579 (2019). https://doi.org/10.1177/1099636219840250CrossRef
17.
Zurück zum Zitat Segers, J., Kersemans, M., Hedayatrasa, S., Calderon, J., Van, P.W.: Towards in-plane local defect resonance for non-destructive testing of polymers and composites. NDT E Int. 98, 130–133 (2018). https://doi.org/10.1016/j.ndteint.2018.05.007CrossRef
18.
Zurück zum Zitat Segers, J., Hedayatrasa, S., Poelman, G., Van, P.W., Kersemans, M.: Probing the limits of full-field linear local defect resonance identification for deep defect detection. Ultrasonics 105, 106130 (2020). https://doi.org/10.1016/j.ultras.2020.106130CrossRef
19.
Zurück zum Zitat Solodov, I., Döring, D., Busse, G.: Air-coupled laser vibrometry: analysis and applications. Appl. Opt. 48(7), C33–C37 (2008). https://doi.org/10.1364/ao.48.000c33CrossRef
20.
Zurück zum Zitat Derusova, D., Vavilov, V., Sfarra, S., Sarasini, F., Krasnoveikin, V., Chulkov, A., Pawar, S.: Ultrasonic spectroscopic analysis of impact damage in composites by using laser vibrometry. Compos. Struct. 211, 221–228 (2019). https://doi.org/10.1016/j.compstruct.2018.12.050CrossRef
21.
Zurück zum Zitat Stanbridge, A.B., Ewins, D.J.: Modal testing using a scanning laser doppler vibrometer. Mech. Syst. Signal Process. 13(2), 255–270 (1999). https://doi.org/10.1006/mssp.1998.1209CrossRef
22.
Zurück zum Zitat Tenek, L.H., Henneke, E.G., Gunzburger, M.D.: Vibration of delaminated composite plates and some applications to non-destructive testing. Compos. Struct. 23(3), 253–262 (1993). https://doi.org/10.1016/0263-8223(93)90226-gCrossRef
23.
Zurück zum Zitat Salerno, A., Dillenz, A., Wu, D., Rantala, J., Busse, G.: Progress in ultrasound lockin thermography. In: Proceedings of the 1998 International Conference on Quantitative InfraRed Thermography (1998) https://doi.org/10.21611/qirt.1998.024
24.
Zurück zum Zitat Solodov, I., Rahammer, M., Derusova, D., Busse, G.: Highly-efficient and noncontact vibro-thermography via local defect resonance. Quant. InfraRed Thermogr. J. 12(1), 98–111 (2015). https://doi.org/10.1080/17686733.2015.1026018CrossRef
25.
Zurück zum Zitat Kolappan Geetha, G., Roy Mahapatra, D.: Modeling and simulation of vibro-thermography including nonlinear contact dynamics of ultrasonic actuator. Ultrasonics 93, 81–92 (2019). https://doi.org/10.1016/j.ultras.2018.11.001CrossRef
26.
Zurück zum Zitat Hung, Y.Y.: Shearography for non-destructive evaluation of composite structures. Opt. Lasers Eng. 24(2), 161–182 (1996). https://doi.org/10.1016/0143-8166(95)00020-8CrossRef
27.
Zurück zum Zitat Renshaw, J., Chen, J.C., Holland, S.D., Bruce Thompson, R.: The sources of heat generation in vibrothermography. NDT E Int. 44(8), 736–739 (2011). https://doi.org/10.1016/j.ndteint.2011.07.012CrossRef
28.
Zurück zum Zitat Yang, R., He, Y.: Optically and non-optically excited thermography for composites: a review. Infrared Phys. Technol. 75, 26–50 (2016). https://doi.org/10.1016/j.infrared.2015.12.026CrossRef
29.
Zurück zum Zitat Yan, P., Wang, Y., Sun, F., Lu, Y., Liu, L., Zhao, Q.: Shearography for non-destructive testing of specular reflecting objects using scattered light illumination. Opt. Laser Technol. 112, 452–457 (2019). https://doi.org/10.1016/j.optlastec.2018.11.029CrossRef
30.
Zurück zum Zitat Rothberg, S.J., Allen, M.S., Castellini, P., Di Maio, D., Dirckx, J.J.J., Ewins, D.J., Halkon, B.J., Muyshondt, P., Paone, N., Ryan, T., Steger, H., Tomasini, E.P., Vanlanduit, S., Vignola, J.F.: An international review of laser doppler vibrometry: making light work of vibration measurement. Opt. Lasers Eng. 99, 11–22 (2017). https://doi.org/10.1016/j.optlaseng.2016.10.023CrossRef
31.
Zurück zum Zitat Solodov, I., Rahammer, M., Kreutzbruck, M.: Analytical evaluation of resonance frequencies for planar defects: effect of a defect shape. NDT E Int. 102, 274–280 (2019). https://doi.org/10.1016/j.ndteint.2018.12.008CrossRef
32.
Zurück zum Zitat Roy, S., Bose, T., Debnath, K.: Analytical and numerical study of local defect resonance frequencies in fibre metal laminates. In: 2018 2nd International Conference on Power, Energy and Environment: Towards Smart Technology (ICEPE) (2018) https://doi.org/10.1109/epetsg.2018.8658968
33.
Zurück zum Zitat Chapter 5—vibration of aerospace composites. In: Giurgiutiu, V. (ed.) Stress, Vibration, and Wave Analysis in Aerospace Composites, pp. 381–453. Academic Press, New York (2022). https://doi.org/10.1016/B978-0-12-813308-8.00005-3
34.
Zurück zum Zitat Smith Metals Ltd: Datasheet Manual for 5083 Aluminium. (2023). Smith Metals Ltd. Commercial Aluminium Alloy. https://www.smithmetal.com/pdf/aluminium/5xxx/5083.pdf
35.
Zurück zum Zitat Cruz, C., Miranda, E.: Evaluation of the rayleigh damping model for buildings. Eng. Struct. 138, 324–336 (2017). https://doi.org/10.1016/j.engstruct.2017.02.001CrossRef
36.
Zurück zum Zitat Thomson, W.T.: Theory of Vibration with Applications, 4th edn. Taylor & Francis, Abingdon (2010)
37.
Zurück zum Zitat Smith, R.A.: Ultrasonic defect sizing in carbon-fibre composites—an initial study. J. Br. Inst. NDT 36(8), 595–605 (1994)MathSciNet
38.
Zurück zum Zitat Smith, R.A., Marriot, A.B., Jones, L.D.: Delamination sizing in fibre-reinforced plastics using pulse-echo amplitude. J. Br. Inst. NDT 39(5), 330–336 (1997)