Zum Inhalt

Review of Current Trends and Uses of Machine Learning for Discrete Acoustic Emission Interpretation

  • Open Access
  • 01.09.2025
Erschienen in:

Aktivieren Sie unsere intelligente Suche, um passende Fachinhalte oder Patente zu finden.

search-config
loading …

Abstract

Dieser Beitrag untersucht die aktuellen Trends und Einsatzmöglichkeiten des maschinellen Lernens (ML) zur Interpretation diskreter akustischer Emissionssignale (AE) und konzentriert sich dabei auf Materialien wie Beton, Verbundwerkstoffe und Stahl. Es untersucht, wie ML-Methoden große AE-Datensätze effizient verarbeiten können, und bietet Werkzeuge wie PCA und SOM zur Visualisierung und Analyse von Daten. Der Bericht betont die Bedeutung von Datenbereinigung und Featureauswahl zur Verbesserung der Ergebnisqualität und diskutiert die Herausforderungen und Grenzen der Anwendung von ML auf AE, wie den Einfluss verschiedener Faktoren auf Signaleigenschaften und die Notwendigkeit robuster Validierungsmethoden. Sie unterstreicht auch das Potenzial von ML-Techniken zur Verbesserung der Schadenserkennung und -charakterisierung bei der strukturellen Gesundheitsüberwachung und zerstörungsfreien Testanwendungen. Der Bericht schließt mit einer Zusammenfassung der verschiedenen erwähnten Werkzeuge und Techniken, die einen umfassenden Überblick über den aktuellen Zustand und das zukünftige Potenzial der ML bei der Überwachung von Elektromobilität bieten.

Publisher's Note

Springer Nature remains neutral with regard to jurisdictional claims in published maps and institutional affiliations.
AE
Acoustic Emission
CWT
Continuous Wavelet Transform
DIC
Digital Image Correlation
DWT
Discrete Wavelet Transform
EMD
Empirical Mode Decomposition
FFT
Fast Fourier Transform
GMM
Gaussian Mixture Models
KNN
K-Nearest Neighbours
LDA
Linear Discriminant Analysis
LS
Laplacian Score
MCFS
Multi Cluster Feature Selection
ML
Machine Learning
PCA
Principal Component Analysis
RF
Random Forest
RMS
Root Mean Square
SCC
Stress Corrosion Cracking
SOM
Self Organising Maps
STFT
Short Time Fourier Transform
SVM
Support Vector Machine
WPT
Wavelet Packet Transform

1 Introduction

AE is defined as the propagation of transient elastic waves generated by the rapid release of energy from a localised source [1, 2]. It is a singular non-destructive testing method as the deterioration of the structure itself is responsible for the generation of the transient waves, making AE a passive technique. Two types of AE monitoring exist [2]: discrete AE, which is the study of the burst transient waves released during the deterioration, and continuous AE, which is the study of the continuous acoustic activity emitted by processes such as rotating bearings or metal cutting. While discrete signals range from hundreds of microseconds to a few milliseconds, the continuous signals typically have a duration of one second or longer. AE has been widely used in many domains: monitoring of pressure vessel [3], fault detection in rotating bearings [4], corrosion monitoring [5, 6] crack and corrosion detection in concrete [7, 8], composites damage monitoring [9, 10], boiling monitoring [11], or bridge damage monitoring [12]. AE evaluates the structure degradation in real time and allows for localisation of damages, making it particularly useful for structural health monitoring and non-destructive testing applications. As AE sensors have a high sensitivity, they require pre-amplification to reduce electronic-induced noise. This pre-amplification needs to be applied as close to the sensor as possible, and modern AE sensors tend to have integrated pre-amplification. In recent years, AE has been increasingly used to monitor complex structures and materials for the early detection of damage, degradation evaluation and failure prevention. Whether in a structural health monitoring context, where structures are monitored over a long period of time, or in a standard non-destructive testing context, the number of signals recorded during an AE test can grow rapidly. As a result of advances in sensors and recording systems, databases have grown bigger and bigger in recent years, making the usage of traditional AE methods more complex.
In the meantime, ML methods have become very popular and have been successfully applied in a variety of fields. Although ML methods have been investigated for AE as early as the 2000s [10, 1315], the increase of recording capability in AE systems and of calculations in modern computers democratised the usage of these techniques. This evolution can be seen through the steady increase of AE publications using ML since around 2015. One of the main contribution of ML to the study of AE is the possibility to perform multivariate analysis on a high number of characteristics for large databases. This allows to correlate multiple parameters and their evolution with ease, allowing for a deeper understanding of the degradation of materials and structures. When trying to identify the type of ongoing damage, the hypothesis is made that each kind of damage (e.g. fibre breaking or delamination of a composite structure) produces a specific acoustic signature. This unitary equivalence between damage mode and emitted acoustic signature is at the heart of AE monitoring and the terms ’acoustic signature’ and ’damage mode’ may be used interchangeably in this review. While theoretically equivalent, a number of factors, such as the mechanical constraints [16] of the structure, the sensor coupling [17] and the propagation [1820], alter the propagating elastic wave, making the correspondence from an acoustic signature to a damage mode more complex. This justifies the use of ML. Multiple studies have tried to classify damage modes manually, without usage of ML. Jirarungsatian et Prateepasen [21] proposed a separation of corrosion events based on physical considerations, Hamdi [22] proposed a classification flowchart for composite damages relying on the duration and frequency content of signals. While simple, those flowcharts offer a first point of view of the different phenomena. However, they rely on the ability of the operator to determine clear discrimination based on some features. If a too high number of features is available, the delimitation is not trivial or not along a simple feature but a combination of them, such an approach may fail. On the other hand, ML is a powerful tool that can enhance the accuracy and efficiency of such classifications. While it may not be necessary for every study, using ML with clear objectives can yield the best possible results.
Fig. 1
A schematic representation of an AE experiment
Bild vergrößern

1.1 Existing Reviews

Numerous reviews exist, describing AE and its various applications in details [23] and in regard to other NDT techniques [24]. Many reviews present the usage of AE on a specific material: concrete [25] and corrosion of reinforced concrete [28], composite damage [17, 29], and steel in the context of Stress Corrosion Cracking (SCC) [26]. While some reviews discuss in details the application of ML methods to specific materials [17, 26] there is, to the authors’ best knowledge, no review discussing the usage of ML methods on multiple materials trying to pinpoint common trends and intrinsic differences exist. This review will focus on discrete AE studies as the methods applied to discrete AE are distinct from those used for continuous AE. The discussed materials are concrete, composite and steel with a focus on corrosion evaluation, and some additional references to other domains such as wood or bearings. Despite important differences, methodologies developed for specific materials have been successfully generalized to different structures [30]. This review will try to explore how ML can help to interpret recorded AE signatures and datasets. The multiple contributions, requirements and limitations of ML will be discussed, such as the capacity to discriminate specific damage types or phases of deterioration, to correlate and evaluate the most pertinent characteristics as well as offer data cleaning and visualisation possibilities.

2 Acoustic Emission Monitoring

2.1 Experiments

AE is applied to a variety of applications and structures with a similar measurement chain, schematized in Fig. 1:
  • a sensor coupled directly to the structure or through a waveguide;
  • a pre-amplifier to increase the signal-to-noise ratio;
  • an acquisition system to record and analyse AE transient waves.
Although discrete AE aims at “listening” to occurring phenomena, especially degradation phenomena, independently of the considered material, they may have very different natures in practice. For composite structures, they include fibre cracks, matrix breaking, fibre-matrix debonding and delamination [17, 29, 36]. For concrete samples, shear cracks, tensile cracks as well as corrosion for reinforced concrete structure are expected phenomena [24, 28]. Regarding corrosion, various forms exist such as SCC, pitting corrosion, uniform corrosion, crevice corrosion, galvanic corrosion etc. [26]. For pure steel structures such as bridge cables or vessel, phenomena include plasticity [3], crack initiation or crack propagation [12, 37, 38]... In addition to the differences in the multiple damaging mechanisms, these materials have specific characteristics influencing the wave propagation: metallic structures tend to be homogeneous and isotropic, composite ones are anisotropic and concrete structures are inhomogeneous, inducing scattering effects and reducing the quality of the measured signal. Damping is also very different, as it tends to be high in composite and concrete and lower in steel structures, affecting the amplitude and the frequency components of the signal [3941]. To adjust to these differences and to record accurately the degradation of structures, several acquisition parameters need to be set. The value of these parameters depends on the physical characteristics of the structure (size, damping, elasticity) and environmental characteristics (temperature, background noise, etc.). To estimate the propagation of AE waves in the structure, Hsu-Nielsen tests are commonly realised at increasing distances of the sensors to determine temporal acquisition parameters such as peak detection time (PDT), hit definition time (HDT) and hit lockout time (HLT). The sampling frequency and the sensor can be chosen depending on the application using literature knowledge. If no knowledge is available, broadband sensors must be used as a first step. To determine the acquisition threshold, background noise must be measured before the test. The threshold must be fixed a few dB over the noise level to accommodate for noise instability. Noise measurement must not be neglected, and external noise sources must be investigated thoroughly to determine analogue and numerical filter’s frequency or more specific data cleaning strategies adapted to the studied case. Different data cleaning strategies are discussed in Section 2.3.
For long term monitoring, multiple experimental precautions can be taken to ensure the quality of measurements. A first necessity is to evaluate the noise sources over a representative period of time prior to testing. Background noise can also be recorded at fixed intervals when no event is measured during the entire test to control its stability and help adjust acquisition parameters if needed. Finally, an additional sensor can be added to the experiment al setup to record external noise and to help detect external events, as shown by Sibil et al. [32]. A two sensors setup was used to localize defects and to filter signals associated with background noise. This is important as noise and outliers can influence classification results. In particular, differences in the background noise may alter measured signals and induce a bias during training. The classification will hence represent experimental differences rather than the presence of multiple damage mechanisms. This has been pointed out by Pomponi and Vinogradov [45], who developed a real-time clustering method and showed that not taking background noise into account could significantly alter the results. This has also been investigated by Doan et al. [46], who proposed a ML framework that estimates and projects background noise in the feature space. Calabrese et al. [47] performed corrosion monitoring for approximately 7 months, demonstrating the influence of day and night cycles on AE data, and proposed a framework to filter experimental noise. Barat et al. [48] investigated different noise filtering strategies adapted to electromagnetic noise, mechanical impact and friction noises. Finally, sensor-structure coupling may also be monitored during the test, as the coupling quality has been noted to influence amplitude and frequency parameters [17, 49, 50]. As it is common to cluster datasets acquired from different experiments [4244], specific experimental precautions must be taken to perform repeatable sensor coupling and to have similar background condition. The impact of potential differences is discussed in Section 3.3.4.
Fig. 2
Examples of AE features commonly extracted on an AE signal (a) and its spectrum (b)
Bild vergrößern

2.2 Acoustic Emission Parameters

2.2.1 Traditional Acoustic Emission Parameters

AE signals are complex transient signals, with characteristics varying depending on the damage mode, the structure and fluctuating environmental conditions such as temperature or background noise. In large structures they may also be influenced by propagation or modified as the structures degrades. This makes AE signals hard to compare to each other, or to refer only to a few features as in traditional non-destructive testing techniques based on time-of-flight detection or amplitude for example. AE signals are described by a broad variety of features that can be classified in groups. First, time domain features such as amplitude, duration, energy, rise time, root mean squared error, counts, counts to peak, zero crossing rate have been used historically. Some of these features are illustrated in Fig. 2 (a). Then, frequency features extracted from the Fourier transform of the signal, most of the time computed using the Fast Fourier Transform (FFT), are standard features used in most commercial AE systems or studies. It comprises peak frequency, frequency centroid, partial spectral powers, roll-on frequency, roll-off frequency. These features are illustrated in Fig. 2 (b). In recent studies [30], the addition of the energy per wavelet packet is also used.
As AE signals often have a high noise level, some features are defined around the threshold to only represent characteristics of the principal mode such as the average frequency, the reverberation frequency or the initiation frequency [2]. Domain specific features also exist: for example, the RA parameter (ratio of rise time over amplitude [51, 52]) is commonly used in concrete related applications as it can help distinguish between shear and tensile cracks. Other notable material-specific parameters are the b-values or Ib-values [53, 54]. Audio-inspired parameters have also been used in [30], adding parameters such as the temporal centroid, temporal decrease, spectral spread, spectral skewness, spectral kurtosis, spectral slope, spectral spread to peak, spectral skewness to peak, spectral kurtosis to peak. Details of those parameters are given in [55]. Additional specific parameters can also be found in studies, such as rise angle and signal strength [28]. It should be noted that some of these parameters are prone to be highly correlated, e.g. wavelet packet energy and partial power or counts and duration are very similar by definition. The impact of these redundancies will be discussed in Section 3.2.
From a ML point of view, extracting these features helps reducing the dimension of the input data, as AE signals can have a length of the order of 10,000 samples. In this review, the term “signals” will be used to refer to the recorded transient signals, and “data” for their corresponding feature vectors as each signal \(x_i(t)\) has an associated n-dimensional data vector \(X_i = [f_1\ldots f_n]\). When extracting features from the transient signal, a significant portion of the information contained in the signal is lost, following the reduction of dimensions [38]. This loss has been pointed out by Ech-Choudany et al. [56], who noted that different AE signals may have the same representation through standard features, resulting in a poor representation of mechanisms. In addition to these techniques, various feature extraction strategies have been developed to retain a greater portion of information, including Short Time Fourier Transform (STFT) [57], Continuous Wavelet Transform (CWT) [58] and EMD [59] or dissimilarity [60]. The choice of the used AE parameters must be made accordingly to the a priori knowledge and objective of the study. A good comprehension of the parameters is required for good analysis and interpretation of classification results.

2.2.2 Time Frequency Parameters

STFT is a widely used signal processing technique which, like CWT, decomposes a signal in a time-frequency plane, allowing to analyse the complex nature of AE signals in details, especially in cases where multiple damage modes can be contained in the same signal. While STFT is largely used in continuous AE [14, 62, 63], it can also be used for Discrete AE [38, 61], allowing for a deeper understanding of the temporal dynamic and to isolate the potential multiple contributions in the recorded waveform.
Fig. 3
A signal and its STFT representation. The signal is decomposed in 300 steps of time and 50 steps of frequency, resulting in 15000 coefficients representation with many coefficients close to zero. The colour scale represents the amplitude
Bild vergrößern
However, as STFT decomposes signals on a time-frequency grid, the number of dimensions becomes very high. In [61], the 20,000 sample-long signals are divided in eight windows with no overlap, resulting in an 8 per 1,250 time-frequency decomposition. An example of STFT of an AE signal is visible in Fig. 3. It can be seen that a majority of coefficients are close to 0, making STFT and CWT representations almost sparse. This characteristic will be further explored in Section 3.2.
Wavelet decomposition consists in the projection of the signals over a wavelet basis defined by the wavelet transform
$$\begin{aligned} W_\Psi x (a,b)&= \frac{1}{\sqrt{|a|}}\int _{-\infty }^{\infty }x(t)\overline{\Psi \left( \frac{t-b}{a}\right) }\textrm{d}t, \end{aligned}$$
where a is the scale of the wavelet function, b the translation factor and \(\Psi \) the mother wavelet used to generate scaled and translated wavelets, called daughter wavelets. Depending on the way this decomposition is computed, three main methods exist:
  • CWT, for which the scale and translation factors a and b are chosen freely, leading to a redundant representation of the signal;
  • Wavelet Packet Transform (WPT), for which the scale and translation factors are chosen as \(a=2^j\) and \(b=k2^j\), \((k,j)\in \mathbb {N}^2\). This can also be seen as, at each level, the composition of components of the signal into a high-pass and a low-pass filtered components, respectively called detail and approximation coefficients. The number of computed coefficients is then \(2^n\), with n the number of levels.
  • Discrete Wavelet Transform (DWT), which is a special case of WPT in which only the approximation coefficient of a given level is further decomposed in the next level.
These decompositions are mainly present in AE studies in two forms: CWT or WPT. The low number of dimensions in WPT allows for good interpretability and doesn’t add computational complexity compared to standard AE features, however features may be harder to interpret physically as characteristics like temporal decrease and rise time are lost when using only WPT features, as the global time evolution of the signal is not directly retrieved. Finding the most representative basis for AE signals has been investigated by Dijck et al. [64, 65] to classify uniform corrosion, pitting corrosion, SCC and noise. WPT has also been used generally for corrosion regimes classification [66], composite damages identification [67] and grinding phenomena classification [62].
$$\begin{aligned} CWT(x) = \frac{1}{\sqrt{|a|}}\int _{-\infty }^{\infty }x(t)\overline{\Psi \left( \frac{t-b}{a}\right) }dt, \end{aligned}$$
In CWT, by using various scaling factors a, the signal can be analysed at multiple frequencies, with a greater temporal and frequency precision compared to STFT. This increased precision is reflected in an even larger number of features, and a greater proportion of coefficients equal to zero. Composite damages such as matrix-cracking, fibre-matrix debonding and fibre-breakage were identified in a unsupervised learning process through the usage of CWT [69, 70]. Specifically, Marec et al. [70] compared the usage of traditional AE parameters with specific time-scale parameters (such as the sum or maximum of the moduli of CWT and DWT coefficients), demonstrating that time-scale parameters allowed for a better segmentation of classes in their study case.
Fig. 4
Representation of an EMD. Each row represents an intrinsic mode function
Bild vergrößern
EMD [59] is a signal processing technique that decomposes a signal based on its content rather than following a fixed basis like CWT or WPT, making it particularly adapted to non-stationary and non-linear signals. EMD decomposes signals on a set of orthogonal functions called intrinsic mode functions and a residue. An example of EMD is visible in Fig. 4. The EMD decomposition is particularly pertinent for AE signals as they are transient and can be composed on more than one mode. EMD has been notably used for glass-fibre reinforced polymer composite monitoring [71], corrosion identification [72], and in many continuous AE monitoring of rolling bearing or gearbox diagnosis [7376]. In discrete AE, the technique remains briefly explored, and further studies could be pursued. As EMD is a data-driven method, it is difficult to generalise across studies, as determined intrinsic mode functions cannot be directly compared with each other. This may be an obstacle to a broader usage of EMD for AE monitoring other than for data exploration purposes.

2.3 Data Cleaning

To ensure the quality of data, data filtering process may be applied during or after the acquisition. Most commercial acquisition systems offer many tools to clean up data as to avoid recording signals of bad quality. The triggering of acquisition based on an amplitude threshold is a first form of filter by itself, but other criteria can be added freely based on extracted parameters: an example is the amplitude-duration-based filter known as Swansong II, which is used in many concrete studies [78, 79] originating from Fowler et al. [80, 81]. The hypothesis behind this filter is that signals with high amplitude will naturally have a higher duration. Signals not following this hypothesis may originate from external unwanted noises such as mechanical friction or electrical noise. This filter has been refined by Zheng [82] to include peak frequency. Comparable data filtering strategies exist: Van Steen et al. [60] proposed a filtering method based on the ratio of amplitude between two time window of a signal. If the ratio is smaller than 2, the signal is considered noisy. Appalla et al. [83] considered the Root Mean Square (RMS) and the average frequency to filter out noisy signals following observations during their experiments. Calabrese et al. [47] proposed a noise filtering method based on the frequency of events, removing events during high activity periods. Data filtering strategies using thresholds should be implemented with precautions: first, thresholds in the literature are only relevant for the studied structure and environmental conditions and may not be reusable for different structures and conditions. In particular, these thresholds rely on the distance between the source and the sensors. Furthermore, removing signals outside a specific range may result in a loss of important information to assess the structure degradation. Nonetheless, because AE sensors have a high sensitivity, they are very prone to record experimental noise which can alter the results of classification or clustering and data cleaning techniques must be considered.

3 Machine Learning for Acoustic Emission Monitoring

As discussed in Section 2.2, data acquired from AE experiments can be characterized by various types of parameters. However, interpreting these parameters, especially when dealing with a large volume of data, can be challenging. This challenge has motivated the integration of ML techniques, which are capable of uncovering hidden patterns and relationships within AE datasets. In the following section, we review how different ML algorithms have been applied to AE-related tasks, leveraging the parameters introduced earlier as input features.

3.1 Data Preparation

Modern ML frameworks for AE are composed of multiple important steps: data acquisition, cleaning and preparation, processing and interpretation. Many unsupervised and supervised models require the data to be normalised in order to ensure that all features are dimensionless and on comparable scales. There are several standardisation strategies such as standard scaling, robust scaling or min-max scaling. This step is important as this will alter the distances between samples, impacting clustering and classification algorithms. The importance of data cleaning is linked to the necessity of normalisation as outliers will impact the normalisation process because of the statistical bias they create. As a result, the data structure may not be representative without data cleaning. The impact of different normalisation strategies on classification performances has been explored by Singh and Singh [84]. The most common scalers are the standard scaler, especially for composite [44, 85], corrosion [86] and ceramics [32] damage monitoring and the min-max scaler, with applications to composite [35] and metal damage [87]. The min-max scaler is used whenever authors wanted a common limited range of values across features, while the standard scaler is used traditionally to obtain dimensionless, comparable, and centered features. The standardisation of data is also a mandatory step when using Principal Component Analysis (PCA).

3.2 Feature Selection

Among current weaknesses of clustering for AE, Muir et al. [17] remarked in particular the lack of quality of some extracted features. The importance of selected subset of feature was also demonstrated by Sibil et al. [32] by comparing classification results over several subsets of features. A first solution to select an optimal subset is to remove the worst features or to keep only the best ones. Many feature selection strategies exist, with no clear agreement on the best one for AE purposes. It is important to separate the different strategies: dimensionality reduction algorithms will aim at resuming information in newer dimensions, feature suppression algorithms will remove features of low quality (for example of low variance) and, finally, feature selection algorithms will aim at selecting the best features. All these procedures are referred to as feature selection, which can bring confusion. In a supervised learning context, Ai et al. [18, 68] proposed a simple feature selection process involving the use of backward elimination, whereby classification performance is evaluated on all possible subsets of features iteratively, demonstrating an improved accuracy after suppression. In an unsupervised learning context, a basic procedure for selecting the best feature partition has been proposed by Sause et al. [88] based on the test of all possible feature combinations. For each number of clusters to investigate, the clustering performances are evaluated for each combination of features, resulting in a costly but thorough exploration of all feature partitions. However, it is preferable to use data-driven feature selection algorithms which do not rely on clustering performances, as a method relying on clustering metrics such as the silhouette score or the Davies-Bouldin index may not achieve the desired partition [46]. This is further discussed later on in Section 3.4.4. For example, Almeida et al. [35] used datasets containing only specific types of damage and Kendall’s Tau correlation to identify features highly correlated with identified damage mechanisms before using only this optimized subset of feature to perform unsupervised clustering. However, having access to datasets with distinct damages is difficult and cannot be generalized. An example of a simple data-driven feature selection algorithm was proposed by Traore [89], which is designed to remove redundant features. This algorithm suppresses iteratively features if they can be described as a linear combination of the others by checking whether the \(R^2\) value of the linear regression is greater than a given threshold. The complete algorithm is described in Appendix.
This can be seen as a generalisation of feature analysis through Pearson correlation [66, 90], where correlation matrices are used to remove highly correlated features and to evaluate feature importance. A parallel can be made with the PCA, a common dimension reduction technique which produces a reduced number of uncorrelated dimensions. These new dimensions are a linear combination of input features that aims to maximise the variance. By grouping correlated features and reducing the number of dimensions, PCA can improve classification results and interpretability. It was used in many AE studies, such as corrosion classification [42], composite damage clustering [10, 32, 91, 92] or concrete crack monitoring [54]. PCA is also notably used before applying the k-means algorithm as the two tools are linked, as demonstrated by Ding and He [93]. However, PCA relies on variance as a criterion for meaningfulness, which may not always be the most suitable approach. As highlighted by Placet et al. [94], PCA did not yield satisfactory results in their case study.
The Laplacian score (LS) algorithm is another popular feature selection algorithm that assigns a score to each feature based on their locality preserving power. The Laplacian score can be defined as [96]:
$$\begin{aligned} L_r = \dfrac{\sum {_{ij}(f_{ri}-f_{rj})^2S_{ij}}}{Var(f_r)}, \end{aligned}$$
where \(f_{ri}\) is the r-th feature of data point i and S is a weighted nearest neighbour graph.
As explained by the authors [96], \(\sum {_{ij}(f_{ri}-f_{rj})^2S_{ij}}\) is minimum when \(S_{ij}\) is maximum and \((f_{ri}-f_{rj})\) is minimum, meaning there is an edge between data points, and they are close to each other for this feature. Furthermore, this criterion prefers features with high variance. A good feature is then defined by a feature that respects the graph structure and has a high variance, resulting in a low Laplacian score. Note that another formulation has been used by authors and is in particular implemented in MATLAB, leading to having the most relevant features having the highest scores instead of the lowest ones. As this algorithm is dependent on the neighbour graph and distances, it is susceptible to the curse of dimensionality [95]. Therefore, different distances such as the Manhattan, Euclidean or Mahalanobis distances may be used. One difficulty of the Laplacian score is knowing which features to select once they are ranked. Most studies will select a subset of an arbitrary number of features corresponding to the best clustering scores. The Laplacian score has been successfully applied in recent works for concrete crack monitoring [54] and composite damage classification [87, 97, 98] to reduce the number of dimensions and for steel crack damage monitoring [99] in combination with a random forest framework. However, the proper choice of the number of dimensions, which should be the best trade-off between loss of information and reduction of the number of dimensions, is still an open question.
Xu et al. [31] compared the Laplacian score to other feature selection methods such as the Multi Cluster Feature Selection (MCFS) score and infinite feature selection for composite wind turbine monitoring. The MCFS score is a modern score first introduced in [100] by Deng Cai, Xiaofei He and Chiyuan Zhang. For reference, Deng Cai and Xiaofei He also authored the original Laplacian score paper [96]. It is presented as an improvement compared to Laplacian score or maximum variance based indices that may fail in multi-cluster scenarios. Based on spectral analysis techniques, this algorithm assumes that the characteristics have different powers to distinguish the separate clusters. Infinite feature selection is a novel graph-based feature selection method presented in [101] based around Markov chains. The original paper proposes not only a feature ranking method but also a subset selection method, which is lacking for the Laplacian score and MCFS. Xu et al. [31] demonstrated that 5 out of 15 features were described as relevant for their study case by all three algorithms, including RMS and average signal level. These two feature are exponentially correlated as noted by the authors, which is not accounted for by the feature selection algorithm. To avoid input ting the same information twice and altering clustering results, Xu et al. recommended filtering the correlated features to reduce redundancy. The impact of redundancy is detailed in Section 3.4.
As previously stated, one of the limitations of employing time-frequency representations is the large number of features that must be analysed and interpreted. A significant proportion of these features may contain little or no information, making time-frequency representations almost sparse. To reduce the number of dimensions and select the best or most relevant wavelet coefficients, many studies explored the use of Shannon’s entropy [74, 102]. Satour et al. [69] proposed a method based on CWT to characterise composite damage mechanisms, representing signals using the k most representative coefficients according to Shannon’s entropy and setting the rest of coefficients to 0. Zhang et al. [103] compared multiple wavelets by computing the ratio of energy to entropy, determining the most informative wavelets for rail defect detection. Ekici et al. [104] used Shannon’s entropy to determine the level of decomposition required to represent precisely the signal, increasing the frequency resolution until the entropy reached a fixed threshold and using wavelet packet energy and entropy as inputs for defect location. These techniques do not improve feature’s quality on their own, but allow creating a more representative set, eliminating redundancy and low added value features such as invariant features.

3.3 Supervised Learning

3.3.1 Introduction

Supervised learning is a class of ML techniques in which a model is trained on labelled data to learn the mapping between input features and corresponding target outputs. This approach encompasses various algorithmic families, each relying on distinct principles to perform classification or regression tasks. Instance-based methods, such as K-Nearest Neighbours (KNN) [105], operate by comparing new data points to stored training examples and assigning a class based on the majority class among the most similar instances (typically using a distance metric like Euclidean distance). Margin-based classifiers, like Support Vector Machine (SVM) [106], aim to find the optimal decision boundary that maximises the margin between classes in the feature space. They are particularly effective in high-dimensional or non-linearly separable problems when used with appropriate kernel functions. Tree-based ensemble methods, such as Random Forest (RF) [107], build multiple decision trees on different subsets of the data and combine their outputs to improve generalisation. These models split data recursively on features that maximise class separation using criteria like the Gini impurity.
In the context of AE, supervised learning is predominantly applied to classification tasks, such as identifying damage signatures or characterising the degradation states of materials or structures. Once trained, these models can be used to determine the most influential features contributing to classification, thereby offering valuable insights into the physical characteristics of different damage mechanisms. However, the reliability of such models is highly dependent on the quality of the data labelling. Inaccurate or inconsistent annotations can compromise the interpretability of the results and may lead to misleading conclusions.

3.3.2 Application to AE

Many supervised algorithms have been studied in AE applications, with no consensus on the most adapted ones. The simple KNN has been applied in damage classification for corrosion [64] and composite [35, 56, 108]. The SVM algorithm has been successfully applied for composites [56, 67, 90]. In recent works, the RF model demonstrated good performances for damage classification of corrosion [30, 66], concrete [109], steel [37], composite [110] and bearing monitoring [111]. Being based on the usage of decision trees, RF allows for measuring feature importance through the Gini coefficient [18, 109]. RF models are particularly advantageous because they do not rely on distance measurements for clustering, thus eliminating the need for scaling and preserving the data structure entirely. The various algorithms and case studies are summarized in Table 1.
Table 1
Summary of supervised studies
Classification algorithm
Input Data
Material
Preprocessing
Author
Classes
SVM
WPT
Steel
Feature Selection
Dijck et al. [112]
Noise, Pitting, SCC, Uniform corrosion
   
ø
May et al. [66]
Corrosion rate regimes
  
Composite
ø
Zhao et al. [67]
Fibres breaking, Matrix cracking
 
AE Features
Composite
PCA, Pearson correlation
Malik et al. [90]
ø
   
Pearson correlation
Ech-Choudany et al. [56]
Fibre breakage, Interface debonding, Matrix cracking
  
Concrete
PCA, Laplacian Score
Mandal et al. [54]
Micro cracks, Shear cracks, Tensile cracks
KNN
AE Features
Composite
ø
Godin et al. [108]
Fibre breakage, Interfacial decoherence, Matrix cracking
  
Steel
LDA
Traore [89]
Electronic noise, Non electronic noise, Rupture, Rupture initiation
 
WPT
Composite
Pearson correlation
Ech-Choudany et al. [56]
Fibre breakage, Interface debonding, Matrix cracking
   
Kendall correlation
Almeida et al. [35]
Fibre breakage, Fibre-matrix debonding, Fibre pullout, Friction, Matrix cracking
  
Steel
Feature Selection
Dijck et al. [112]
Noise, Pitting, SCC, Uniform corrosion
RF
AE Features
Concrete
ø
Shimamoto [109]
Macro scale damage, Mezzo-scale damage, Micro-scale damage
  
Steel
Laplacian Score
Song et al. [99]
Compressor blade cracking
 
AE Features - WPT
Steel
ø
Morizet [30]
Crevice corrosion
 
AE Features
Simulated nuclear fuel bars
LDA
Traore [89]
Electronic noise, Non electronic noise, Rupture, Rupture initiation
 
Spectrogram Coefficients
Composite
ø
Wang et al. [110]
Cutting orientation
 
CWT, AE Features
Concrete
ø
Ai et al. [18]
Macro-crack extension, Macro-crack initiation, Micro-crack
 
Wavelet
Steel
ø
Biswas [37]
Bolt loosening, Metal crack
GMM
WPT
Steel
Feature Selection
Dijck et al. [112]
Noise, Pitting, SCC, Uniform corrosion
Naive Bayes
WPT
Steel
Feature Selection
Dijck et al. [112]
Noise, Pitting, SCC, Uniform corrosion
Multinomial logistic regression
AE Features
Steel
LDA
Traore [89]
Electronic noise, Non electronic noise, Rupture, Rupture initiation
LDA
AE Features
Stainless Steel
EMD
Chai et al. [72]
Corrosion, Cracks, Noise

3.3.3 Labelling Databases

Labelling of the data is mandatory for supervised ML. A first possibility for AE data is to design experimental protocols to distinguish damage signatures. In steel corrosion applications, the use of different corrosive solutions of varying pH, temperatures, concentrations or alloys allows the creation of a range of corrosion forms [30, 112, 113]. However, it should be noted that variations in the materials used or the acids employed may alter the characteristics of the recorded signals. Such differences are crucial to ensure that the model learns to discriminate between damages rather than between materials or solutions. For composite applications, using adapted samples such as non-hybrid composite materials or unidirectional fibre composites allows the creation of databases containing only one or two AE damage modes at a time [35, 56, 67, 108]. The final labelling can be completed with physical considerations (amplitude, central frequency, relative time of measurement). A similar methodology is possible for concrete: Van Steen et al. [114] made usage of dummy concrete samples designed to favour specific damages, such as macro-cracking, steel corrosion, hydration or micro-cracking. Finally, data can also be labelled according to the experimental steps, such as the loading or corrosion rates [54, 66]. It should be noted that this methodology may be complex to interpret, since multiple phenomena may occur during each step and phenomena may be common to multiple phases. Therefore, the separation between steps may not be linked to different mechanisms. Instead, it may be related to damage to the structure or the kinetics of events.

3.3.4 Limitations

Supervised learning can be used to characterise degradation, to identify different damage mechanisms and to determine which parameters are the most discriminative. However, results obtained on laboratory data in controlled conditions cannot be transferred to complex structures in industrial conditions in general as pointed out by Sibil et al. [32]. For example, Saeedifar and Zarouchas reported [36] considerable variations in the frequency range of similar damage modes in different composite structures. Many parameters can indeed influence the obtained signals: characteristics [34] and dimensions of the structure, wave path, mode conversions [38], mechanical loading of the structure [16], source-sensor distance and type of sensors [18, 115, 117], the coupling between the sensor and the structure [49, 50] or the degradation of the structure itself [34, 118]. These factors may influence both the signals and the classification results, leading to poor performances if they are not accounted for [34, 117]. To transfer a supervised model to real-world applications, it may be beneficial to consider model tuning techniques, as well as implementing model drift supervision. It is recommended that these techniques are explored, as supervised learning can be highly effective when the necessary conditions are met.

3.4 Unsupervised Learning

3.4.1 Introduction

Unsupervised learning, also known as clustering, is an ML technique that operates without the use of labels and is frequently employed for data exploration. Clustering algorithms can be grouped in different categories: centroid-based algorithms like k-means [119] or fuzzy clustering [120], density-based like DBSCAN [121] or OPTICS [122], hierarchy-based like agglomerative or divisive models [123] and distribution-based like Gaussian Mixture Models (GMM) [124]. Those models are presented in depth by Gareth James et al. [125]. A last notable example is the SOM algorithm, which is an unsupervised algorithm that uses competitive learning [126]. This algorithm is notably useful because it produces a 2D representation of the data, allowing further insights and comprehension of databases. A notable feature of algorithms such as Fuzzy C-Means and GMM is their ability to assign probabilities of observations belonging to each class, thereby facilitating a more profound and nuanced understanding of the classification outcomes. Clustering is used to overcome the experimental difficulties of creating confidently labelled databases, or to explore with more precision the various damage mechanisms. Experiments designed for clustering are simpler because they do not require labelling of the data. However, it is more difficult to assess the quality of the clustering result as no reference is available most of the time. Nevertheless, any physical knowledge about the damage modes may help in interpreting and verifying the clustering results such as frequency domains of damage, expected proportions of damage signals relative to each other, temporal characteristics, as discussed in Section 3.4.4. Data normalisation is mandatory for all those models as they rely on distance metrics to evaluate the similarity between data. For AE applications, the most used is the standard Euclidean distance [70, 88, 127, 128], but Ramasso et al. [34, 46, 94] have been using the Mahalanobis distance in many of their works through the years for better robustness to outliers and to model the noise in their experiments. Unlike supervised learning, where the weight of features is adjusted during training according to their discriminative power, each feature has the same weight in clustering (manual weighting is possible). This is important and implies that the user should be particularly cautious to which features are given to the unsupervised model: inputting multiple features carrying the same information will induce a bias in the training process, resulting in a poor classification. Solutions to this problem are discussed in Section 3.2.

3.4.2 Application to AE

Clustering has been applied to AE signals since early 2000s on composite damage signals [10, 13, 108] or laboratory-created signals (pencil breaks, sparks, ...) [15]. Similarly to supervised learning, no consensus has been reached on the best clustering model. Many studies use the popular k-means algorithm: for composite applications [13, 69, 85, 88, 92, 97, 98, 108, 128131], steel corrosion applications [132, 133], concrete monitoring [47, 54, 109], or wood damage evaluation [134], it is also used as a reference for comparison with advanced clustering algorithms [32]. The Fuzzy C-Means is another popular algorithm which has been applied to monitor composite structures [43, 70, 91, 135], metal cracks [45] and concrete structures [127]. Hierarchical clustering has been used for composite damage monitoring [131, 136] as well as in concrete monitoring [60, 114] to differentiate macro-cracking from micro-cracking and steel corrosion. GMM has been used mainly for composite monitoring [90, 137, 138] and concrete crack clustering [139]. Finally, Self Organising Maps (SOM) has been used to cluster cracks and noise and to cluster fatigue steps during a mechanical test [14], to monitor corrosion [42, 140, 141], composites [128, 130] and concrete damage evaluation [113]. The algorithm was either applied across the different studies as a data preparation step before applying the k-means algorithm to the low-dimensional representation produced [130] [128] or directly to cluster data and identify the number of groups [42, 140, 141]. The various algorithms and case studies are summarized in Table 2.
Table 2
Summary of unsupervised studies
Clustering Algorithm
Input Data
Material
Preprocessing
Author
Identified Events
k-means
AE Features
Composite
ø
Anastassopoulos et Philippidis [13]
Fibre breaks, Fibre/matrix debonding, Matrix breaks, Noise
   
PCA
Johnson [10]
Delamination, Delamination initiation, Matrix cracking, Matrix cracking initiation
   
ø
Godin et al. [108]
Interfacial decohesion, Matrix cracking
   
ø
Godin et al. [128]
Delamination, Fibre/matrix debonding, Matrix cracking
   
ø
De Oliveira et Marques [130]
Decohesion, Delamination, Longitudinal matrix splitting and fibre fracture, Noise, Transverse matrix cracking
   
PCA
Moevus et al. [131]
Fibre-matrix interfacial debonding, Fracture, Matrix cracking
   
Feature selection
Sause et al. [88]
Fibre breakage, Interface failure, Matrix cracking
   
PCA
Pashmforoush et al. [44]
Core failure, Failure of adhesive bond, Fibre breakage, Matrix cracking
   
PCA, Laplacian Score
Li, L. et al. [97]
Delamination, Fibre breakage, Fibre/matrix debonding, Matrix cracking
   
Entropy-based selection
Ramasso et al. [34]
Delamination, Debonding, Fibre pull-out, Matrix cracking
   
ø
Kharrat et al. [129]
Debonding, Fibre breakage, Matrix cracking
   
Laplacian Score, PCA, Correlation
Carvelli et al. [98]
Intra-yarn matrix cracks
   
Laplacian Score, PCA
Dong, X. et al. [85]
Delamination, Fibre breakage, Fibre/matrix interface debonding, Matrix cracking, Shear failure
   
PCA
Zhang et al. [92]
Fibre breakage, Fibre/matrix stripping, Interface layering, Matrix cracking
   
Laplacian Score, MCFS, Ranking Score, Centrality Scores
Dong, X. et al. [31] (2022)
Debonding, Fibre Breakage, Matrix Cracking
   
Laplacian Score
Smolnicki et al. [87]
Delamination, Fibre breaking, Fibre kinking, Fibre/matrix debonding, Matrix cracking
   
Source reconstruction
Recoquillay et al. [117] (2024)
Matrix cracking, Fibre debonding, Fibre breakage
  
Steel
ø
Omkar et al. [15]
Noise, Pencil break, Pulse, Sparks
   
ø
Du et al. [132]
Bubble break-up, Cracking, Pitting
   
ø
Li, J. et al. [133]
Bubble break-up, Cracking, Pitting
   
ø
Pomponi et al. [45]
Ductile crack growth, Particle fracture, Plastic deformation
  
Concrete
PCA, SOM
Calabrese et al. [47]
Noise
   
PCA, SOM
Calabrese et al. [140]
Steel corrosion phases
   
PCA, Laplacian Score
Mandal et al. [54]
Friction, Tensile and shear cracking, Tensile cracking
   
ø
Shimamoto et al. (2022)
Degree of damage
 
AE Features
Wood
ø
Diakhate et al. [134]
Crack tip growth, Micro-cracks, Wood-fibre breaks
 
EMD Features
Composite
ø
Hamdi et al. [71]
Delamination, Fibre breakage, Fibre/matrix debonding, Matrix cracking
Fuzzy C-Means
AE Features
Composite
PCA
Sibil et al. [32]
Noise isolation, Synthetic events
   
PCA
Oskouei et al. [91]
Fibre failure, Fibre–matrix debonding, Matrix cracking
   
ø
Saeedifar et al. [136]
Delamination, Fibre breakage, Matrix cracking
   
ø
Malik et al. [90]
Delamination, Fibre breakage, Matrix cracking
   
ø
Zhao et al. [135]
Fibre breakage, Fibre/matrix debonding, Matrix cracking
   
PCA
Behnia et al. [127]
Delamination, Fibre Breakage, Matrix Cracking
   
Laplacian Score
Smolnicki et al. [87]
Delamination, Fibre breaking, Fibre kinking, Fibre/matrix debonding, Matrix cracking
 
CWT
Composite
Shannon Entropy
Satour et al. [69]
Fibre breakage, Fibre-matrix debonding, Matrix cracking
  
Steel
ø
Pomponi et al. [45]
Ductile crack growth, Particle fracture, Plastic deformation
  
Concrete
ø
Farhidzadeh et al. [139]
Shear cracks, Tensile cracks
 
CWT, DWT
Composite
ø
Marec et al. [70]
Fibre-matrix debonding, Matrix cracking
 
WPT, AE Features
Composite
PCA
Fotouhi et al. [43]
Fibre breakage, Fibre/matrix debonding, Matrix cracking
SOM
AE Features
Composite
PCA
Godin et al. [108]
Interfacial decohesion, Matrix cracking
   
ø
De Oliveira et Marques [130]
Decohesion, Delamination, Longitudinal matrix splitting and fibre fracture, Noise, Transverse matrix cracking
   
ø
Godin et al. [128]
Delamination, Fibre/matrix debonding, Matrix cracking
   
PCA, SOM
Placet et al. [94]
Delamination, Fibre breakage, Matrix cracking
   
PCA, SOM
Calabrese et al. [47]
Noise
   
PCA
Calabrese et al. [42]
Crevice/pitting corrosion, SCC, Uniform corrosion
  
Concrete
PCA, SOM
Calabrese et al. [140]
Steel corrosion phases
   
ø
Das et al. [142]
Shear cracks, Tensile cracks
 
STFT
Concrete
PCA
Emamian et al. [14] (2000)
Cracks, Noise
Gustafson-Kessel
AE Features
Composite
ø
Placet et al. [94]
Delamination, Fibre breakage, Matrix cracking
   
Noise modeling, Feature Selection
Doan et al. [46]
Fibre-matrix interface failure, Fibre pull-out, Friction, Micro/macro cracking, Noise
   
ø
Ramasso et al. [34]
Delamination, Debonding, Fibre cracking, Fibre pull-out, Matrix cracking
   
ø
Kharrat et al. [129]
Debonding, Fibre breakage, Matrix cracking
GMM
AE features
Composite
ø
Sawan et al. [137]
Fibre failure, Propagating cracks
   
ø
Sobhani et al. [138]
Delamination, Fibre breakage, Matrix cracking
   
PCA, Correlation
Malik et al. [90]
Delamination, Fibre breakage, Matrix cracking
   
Source reconstruction
Recoquillay et al. [117]
Matrix cracking, Fibre debonding, Fibre breakage
 
AE Features
Concrete
ø
Farhidzadeh et al. [139]
Shear cracks, Tensile cracks
Hierarchical Clustering
AE features
Composite
PCA
Moevus et al. [131]
Fibre-matrix interfacial debonding, Fracture, Matrix cracking
   
Source reconstruction
Recoquillay et al. [117]
Matrix cracking, Fibre debonding, Fibre breakage
 
AE Signals
Concrete
Cross-Correlation-based distance
Van Steen et al. [60]
Shear Cracks, Tensile Cracks
 
AE features
 
ø
Van Steen et al. [114]
Corrosion, Electromagnetic interference, Macro-cracking, Micro-cracking
Swarm Particle Optimisation
AE features
Steel wires
PCA
Li, D. et al. [149]
Cable fracture, Crack extension, Detachment of the corrosion product, Hydrogen bubble evolution, Passive film breakdown
Ant Colony Optimisation
AE features
Steel
PCA, SOM
Li, D. et al. [141]
Crack initiation and propagation, Hydrogen release, Pitting initiation, Rupture of the passive film
SVM
AE features
Concrete
SOM
Das et al. [142]
Shear cracks, Tensile cracks
Spectral Clustering
AE Features
Composite
Laplacian Score
Smolnicki et al. [87]
Delamination, Fibre breaking, Fibre kinking, Fibre/matrix debonding, Matrix cracking

3.4.3 Model Selection

Most of the time, there is a lack of justification for selecting the model type, as only few studies have conducted a comparison of different clustering algorithms to determine the most appropriate one. Saeedifar et al. [136] compared k-means, Fuzzy C-means, genetic k-means, hierarchical and SOM algorithms, finding that hierarchical clustering performed best on their study case for evaluating damage on a composite structure. Similarly, Smolnicki et al. [87] applied k-means, Fuzzy C Means and spectral clustering to assess fractures in composites, cross-referencing the results of the three methods to analyse the data. Das et al. [142] compared DBSCAN, Fuzzy C-Means, k-means and GMM to identify the most suitable model for concrete crack classification. Their findings demonstrated that GMM is the most effective algorithm for their study. Saeedifar et al. [136] also stated that clustering stability is a determinant factor for structural health monitoring applications, rendering genetic k-means and Fuzzy C-Means unsuitable despite their performance due to their instability. Ramasso et al. [34] proposed a novel method to explore datasets using multiple models and multiple configurations (distances, hyperparameters, feature subsets), combining multiple partitions selected through the maximum entropy principle. The optimal number of clusters is then determined through normalised mutual information. When applied to a ring-shaped carbon fibre reinforced polymer composite, their study showed that the Gustafson-Kessel algorithm provided the most relevant results, but the method is also adaptable to other clustering algorithms. The combination of multiple feature subsets is highlighted as a key factor to discriminate damage modes.
Model selection can be done in many ways such as by comparing various clustering subsets and evaluating their performances through clustering indices like the silhouette score [143], the Davies-Bouldin index [144] or the Calinski-Harabasz index [145] as realised by Saeedifar et al. for composite applications [136]. This method is common in many ML applications, nonetheless it should be kept in mind that the use of those criteria requires certain precautions discussed in 3.4.4. Another possible approach is to match clustering results with knowledge from the literature, as done by Das et al. [142] for concrete crack mode classification. For composite monitoring, Smolnicki et al. [87] observed that physical values of AE features cannot be directly compared, making comparison with existing literature challenging. Van Steen et al. [114] noted that hierarchical clustering is sensitive to noise and outliers making data cleaning essential for its effective use. Hierarchical clustering should therefore be avoided if cleaning datasets is not feasible. The choice of a clustering model is usually made by validating the clustering results, which can be carried out in different ways discussed thereafter.
Fig. 5
Clustering results from 5 popular algorithms on 4 different data geometries. First row: noisy moons, second row: irregular blobs, third row: anisotropic clusters, fourth row: regular blobs. The colors corresponds to the different clusters, with black points labelled as noise. Data from [146]
Bild vergrößern
Fig. 6
Evaluation of the classification in Fig. 5 through 3 popular clustering metrics. From left to right: silhouette score, Calinski-Harabasz score and Davies-Bouldin index. The x axis represents the different clustering algorithms
Bild vergrößern

3.4.4 Validating Clustering Results

Muir et al. [17] pointed out that limited work has been done in verifying cluster labels. Many studies [46, 88] rely on standard clustering indices such as the silhouette score, the Davies-Bouldin index, the Calinski-Harabasz or the Dunn index, but these metrics may not be suitable for AE purposes. In Fig. 5, five different clustering algorithms have been tested on four synthetic geometries of clusters obtained from the scikit-learn package documentation [146] representing different data structures of varying density and geometry. Figure 6 presents clustering metrics calculated on previously plotted clusters. The first metric is the silhouette score, which measures the difference in the distance between points in the same group and points in other groups. It ranges from -1 to 1, with 1 representing well-defined and separated clusters, 0 representing overlapping clusters and -1 mixed clusters. Then, the Calinski-Harabasz score is the ratio of the inter-group variance to the intra-group variance, ranging from 0 to \(+\infty \) and must be as high as possible. Finally, the Davies-Bouldin score is the average of the maximum ratio between the distance from a point to the centre of its group and the distance between two group centres, ranging from 0 to \(+\infty \) and must be as low as possible. Considering the results in Fig. 6, the mini-batch k-means algorithm seems to perform best based on clustering metrics, regardless of the configuration. However, the clustering plots in Fig. 5 show that for the noisy moons and anisotropic clusters, the mini-batch k-means results are not appropriate. The spectral clustering algorithm seems best suited for the noisy moons configuration, along with DBSCAN. For the varied and anisotropic configurations, the gaussian mixture algorithm offers the best results. This is due to the formulation of the indices , which tends to favour spherical clusters.
For example, the silhouette score follows the traditional definition of a cluster, where points from the same class are close to each other and do not overlap with other classes. To reduce the biases from a single metric, Sause et al. [88] proposed to combine the different clustering indices, resulting in a more robust selection. They used the silhouette, Calinski-Harabasz and Davies-Bouldin scores, but their method can be generalised to any metric.
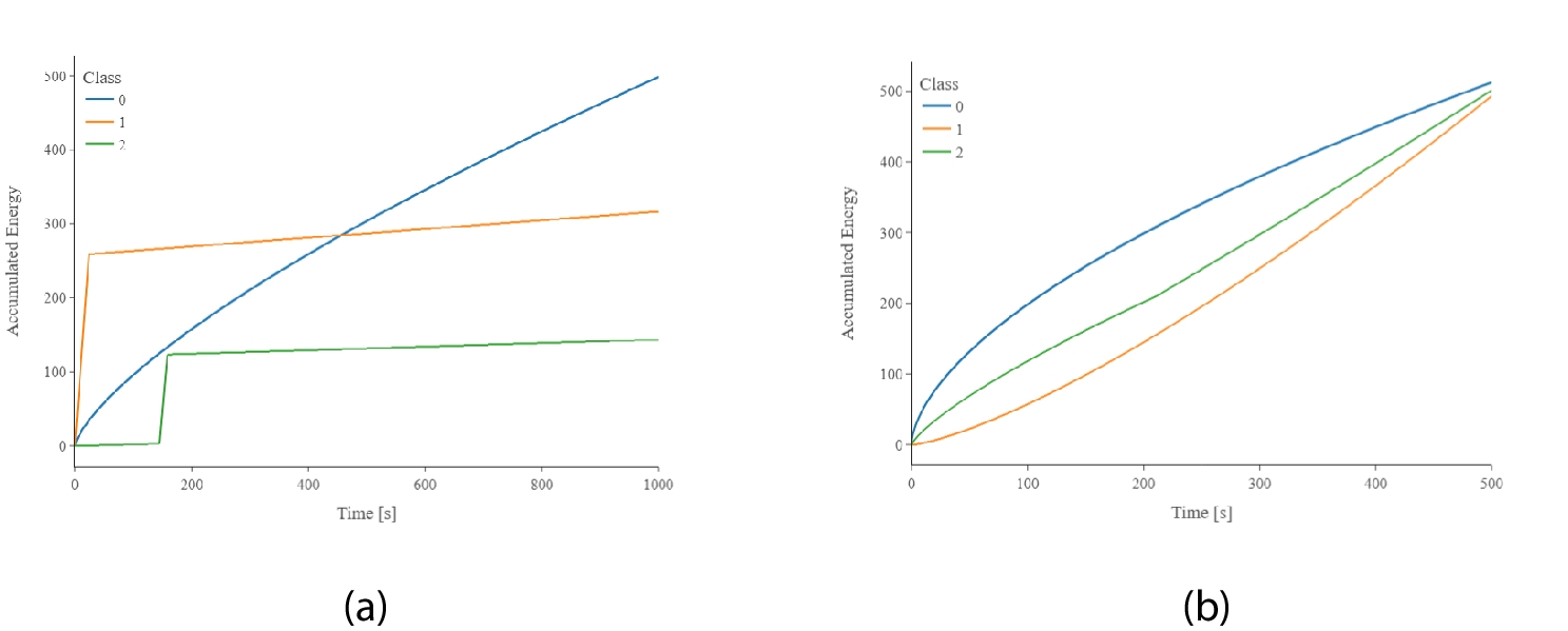
Fig. 7
Examples of temporal distributions of events with respect to the assigned clusters. a Temporal distributions of events inspired from [45], demonstrating the presence of three distinct kinetics during the tests. Correlating this information with the evolution of experimental conditions (e.g. mechanical load, temperature...) may help interpreting clustering results and deducting the physical nature of clusters. b Example of a temporal distribution possibly inconsistent with physical expectations as all events starts together and are evenly distributed between clusters
Bild vergrößern
Round clusters as represented in the last row of Fig. 5 are an ideal definition of good clusters that may not be suitable for AE data. From a distribution perspective, spherical clusters imply that features follow similar distributions. However, some AE features tend to follow asymmetrical normal distributions due to their mathematical definition, e.g. Partial powers, or have a distribution containing multiple normal distributions, with various kurtosis and skewness coefficients. It is reasonable to assume that clusters will tend to have a more complex geometry, rather than plain spheres. In such scenarios, clustering algorithms such as k-means may not be suited any more.
Many other techniques have been used to validate or invalidate clustering results. A first simple example is the proportion of signals: in composite structures, the proportion of the damage mechanisms relative to each other can be estimated by considering the geometry and materials used [131, 136]. This consideration helped [87] to invalidate their results, as the use of Spectral Clustering, Fuzzy C-Means and k-means tend to produce clusters of similar sizes, contradicting their physical expectations. Van Steen et al. [114] also used concrete dummy samples to favour specific damage modes, correlating clustering results with the originating sample to discriminate macro-cracking from hydration, micro-cracking and corrosion. Kinetic aspects can also be considered: Pomponi and Vinogradov [45] compared the evolution of the cumulated energy during the test for each class. This allowed them to validate the assignment of clustersas they correlated signal measurement times with mechanical observation of the deformation. A representation inspired from their results is visible in Fig. 7a. It clearly appears that the number of events of each cluster follows different evolutions over time. In particular, events of some clusters start appearing at later times, and some stop appearing after some time, which is coherent with some mechanisms taking place at specific times of the test. In contrast, Fig. 7b illustrates a result from clustering that may not be representative of the experimental process as all clusters start at the beginning of the test without variations in trends. Such a behaviour is not expected for damage mechanisms in the considered materials. For concrete samples, assuming that the monitored structure is in pristine state at the beginning of the test, damages can be broken down into several phases: [54, 139] both observed multiple phases of degradation beginning with a majority of tensile cracks, an intermediate mixed phase and a majority of shear cracks in the final stages of loading. The same applies for steel corrosion related applications [141, 147], or steel damage [45]. Composite structures also tend to deteriorate in a known order, as reported by Zhang et Al. [92], which is as follows for carbon fibre reinforced polymer composite: matrix cracking, fibre pull out, interface delamination, fibre breakage. It appears clearly that correlating the evolution of the number of events in the obtained clusters with experimental conditions and observations (loading rate, appearance of cracks, deformation monitoring) allows a better interpretation of results [13, 69, 131, 138, 148].
Before interpreting the clusters, it is important to gather all information available by analysing the structures after the experiments. It is common to use scanning electron microscopy or optical microscopy to examine damaged composites or steel structures [18, 43, 44, 72] to list and identify visible damages. Zhao and Zhou [135] used Digital Image Correlation (DIC) to evaluate displacement and strain fields on the exterior surface of the composite specimen. Deeper insight about the damages was deducted about the stability of the structure by correlating this analysis with AE activity and features. Van Steen et al. [60] performed X-ray computed tomography to localise and analyse damages in a concrete structure during the experiment to validate the localisation and characterisation of corrosion damages, highlighting the capacity of AE to quantify the amount of corrosion damage and validating the performance of their localisation process. A similar technique was used by Sibil et al. [32] to correlate the cooling of a material with its AE activity.
Finally, using physical observation and literature knowledge, the physical parameters of the clusters can be manually analysed. Fotouhi et al. [43] compared the use of AE features through a ML framework consisting of three steps: feature extraction, PCA and Fuzzy C-Means clustering with manual analysis of WPT coefficients. The authors correlated the physical parameters of ML-generated classes with their observations to identify damage modes. Smolnicki et al. [87] cross-referenced the results from multiple models and from the literature to assign labels to identified clusters, revealing that k-means results were the least realistics. To analyse the clustering results, Smolnicki et al. plotted the scatter matrix grid of the most relevant 5 features determined by the Laplacian score. A similar analysis is performed in [43] to verify the discriminative power of features. While this analysis is powerful, it can become challenging to interpret when more than ten features are used or when working with very large datasets. In such cases, data visualisation techniques such as PCA or SOM may be more suitable.
Fig. 8
Representation of the first three principal components of a dataset where various clusters are visible
Bild vergrößern
PCA can indeed be used for data visualisation by plotting the first principal components [54, 91, 140], allowing to identify potential clusters and trends, as illustrated in Fig. 8. This was performed by Calabrese et al. [42, 140] by plotting the first PCA components with the contribution of each feature to the PCA dimensions, allowing for a direct correlation of AE features and clusters, and by Johnson [10] to identify various forms of delamination and matrix cracking in a composite sample. A particular attention must be given to the percentage of variance shown by these graphs, as they only depict the first components of the decomposition. They hence may only represent a rather small fraction of the variance, which can be misleading to the unaware user. Using SOM, it is also possible to map AE parameters to the low representation output, allowing to visually correlate SOM clusters with physical parameters and identify specificities. This was performed by Calabrese et al. [140] to identify rupture initiation, propagation and damage in reinforced concrete. The same methodology was applied to corrosion monitoring to identify phenomena such as pitting, uniform corrosion, crevice corrosion [42] and various forms of SCC [141].
Table 3
Summary of discussed tools
Decomposition
Preparation
Feature selection
Supervised classification
Clustering
Results validation
EMD
Feature Based Filters
Backwards Elimination
KNN
DBSCAN
Clustering Metrics
STFT
Scalers
Correlation
Naive Bayes
Fuzzy C-Means
Feature Distribution
Traditional Parameters
Source Reconstruction
Infinite Feature Selection
Random Forest
Gustafson Kessel
Literature Correlation
WPT / CWT
 
Laplacian Score
SVM
Hierarchical
Multiple Models Correlation
  
MCFS
 
k-means
PCA
  
PCA
 
Optics
SOM
  
Shannon’s Entropy
 
PCA
Time Repartition
    
SOM
 
    
Spectral Clustering
 

4 Conclusion

In this review, we discussed the conditions, precautions and the important potential of ML techniques for a better and deeper comprehension of damage modes for a range of applications such as concrete, composite or steel corrosion damage monitoring. Modern data exploration, processing and classification techniques have shown significant results in a variety of structures such as bridges, panels, pipes, plates, vessels, etc. ML allows for the processing of very large databases efficiently [47], as well as the visualisation, analysis and interpretation through tools such as PCA [54, 91, 140] or SOM [10, 42, 141]. Studies investigated the importance of refining data processing chains in AE studies to make studies even more pertinent. Notably, data cleaning [4547] and feature selection [31, 32, 68, 88] methods seem particularly important to improve the quality of results. The current challenges about ML for AE are common to ML in general: Jain [150] stated that no clustering algorithm is perfect. Issues linked to the presence of outliers, the determination of the number of clusters and the validation of partition are common questions discussed in many general ML reviews [150152]. As noted by Sibil et al. [32] and Van Steen et al. [114], no perfect methodology can be developed as the correspondence of acoustic signatures to physical events is unique to each structure and study because of the many factors of influence discussed in Section 3.3.4 [16, 18, 36, 38, 115], and correlating multiple analysis methods together can be tedious [87]. Furthermore, as it has been demonstrated that damages influence the content of AE signals [34, 118], the acoustic signatures’ characteristics are not constant in time. Time evolving clustering techniques could also be investigated as kinetic considerations proved to be critical in determining the nature of damages [36, 45]. We rejoin the conclusions from Muir et al. [17] about current issues regarding the lack of physical justification with feature selection. Many studies have relied on the Laplacian score as a feature selection algorithm, while it has been demonstrated to potentially fail in multi-cluster scenario [100] and novel methods could be explored [31]. Few studies have demonstrated clearly the benefits of their choice of representative parameters [70], classification algorithm [136] or preprocessing techniques [31] by comparing multiple techniques while more effort could be pursued in this direction.
Despite important experimental challenges, validation difficulties and physical limitations, supervised and unsupervised methods demonstrated efficient classification capacities over a large range of material and damages, justifying their rising popularity. Considering the typical number of input parameters of AE studies, ML methods offer an important interpretability compared to deep-learning methods, making ML methods very strong candidates for large deployments of robust, interpretable and efficient monitoring frameworks in the near future.
Finally, the various tools and techniques mentioned in this review are listed in Table 3 and grouped by categories.

Declarations

Competing Interests

The authors declare no competing interests.
Open Access This article is licensed under a Creative Commons Attribution 4.0 International License, which permits use, sharing, adaptation, distribution and reproduction in any medium or format, as long as you give appropriate credit to the original author(s) and the source, provide a link to the Creative Commons licence, and indicate if changes were made. The images or other third party material in this article are included in the article’s Creative Commons licence, unless indicated otherwise in a credit line to the material. If material is not included in the article’s Creative Commons licence and your intended use is not permitted by statutory regulation or exceeds the permitted use, you will need to obtain permission directly from the copyright holder. To view a copy of this licence, visit http://creativecommons.org/licenses/by/4.0/.

Publisher's Note

Springer Nature remains neutral with regard to jurisdictional claims in published maps and institutional affiliations.
download
DOWNLOAD
print
DRUCKEN
Titel
Review of Current Trends and Uses of Machine Learning for Discrete Acoustic Emission Interpretation
Verfasst von
Maël Pénicaud
Florence Lequien
Clément Fisher
Arnaud Recoquillay
Publikationsdatum
01.09.2025
Verlag
Springer US
Erschienen in
Journal of Nondestructive Evaluation / Ausgabe 3/2025
Print ISSN: 0195-9298
Elektronische ISSN: 1573-4862
DOI
https://doi.org/10.1007/s10921-025-01247-0

Appendix Traore Feature Selection Algorithm

Algorithm 1
Selection of least dependent variables.
Bild vergrößern
1.
Zurück zum Zitat Eitzen, D.G., Wadley, H.N.G.: Acoustic Emission: Establishing the Fundamentals. J. Res. Natl. Bureau Stand. 89(1), 75 (1984). https://doi.org/10.6028/jres.089.008CrossRef
2.
Zurück zum Zitat Grosse, C.U., Ohtsu, M., Aggelis, D.G., Shiotani, T.: Acoustic Emission Testing: Basics for Research – Applications in Engineering. Springer Nature (2021)
3.
Zurück zum Zitat Ennaceur, C., Laksimi, A., Hervé, C., Cherfaoui, M.: Monitoring crack growth in pressure vessel steels by the acoustic emission technique and the method of potential difference. Int. J. Press. Vessels Piping 83(3), 197–204 (2006). https://doi.org/10.1016/j.ijpvp.2005.12.004CrossRef
4.
Zurück zum Zitat Morhain, A., Mba, D.: Bearing defect diagnosis and acoustic emission. Proc. Inst. Mech. Eng. Part J: J. Eng. Tribol. 217(4), 257–272 (2003). https://doi.org/10.1243/135065003768618614
5.
Zurück zum Zitat Mazille, H., Rothea, R., Tronel, C.: An acoustic emission technique for monitoring pitting corrosion of austenitic stainless steels. Corros. Sci. 37(9), 1365–1375 (1995). https://doi.org/10.1016/0010-938X(95)00036-JCrossRef
6.
Zurück zum Zitat Rettig, T.W., Felsen, M.J.: Acoustic Emission Method for Monitoring Corrosion Reactions. Corrosion 32(4), 121–126 (2013). https://doi.org/10.5006/0010-9312-32.4.121CrossRef
7.
Zurück zum Zitat Weng, M.S., Dunn, S.E., Hartt, W.H., Brown, R.P.: Application of Acoustic Emission to Detection of Reinforcing Steel Corrosion in Concrete. Corrosion 38(1), 9–14 (1982). https://doi.org/10.5006/1.3577322CrossRef
8.
Zurück zum Zitat Yoon, D.-J., Weiss, W.J., Shah, S.P.: Assessing Damage in Corroded Reinforced Concrete Using Acoustic Emission. J. Eng. Mech. 126(3), 273–283 (2000). https://doi.org/10.1061/(ASCE)0733-9399(2000)126:3(273)CrossRef
9.
Zurück zum Zitat Huguet, S., Godin, N., Gaertner, R., Salmon, L., Villard, D.: Use of acoustic emission to identify damage modes in glass fibre reinforced polyester. Compos. Sci. Technol. 62(10–11), 1433–1444 (2002). https://doi.org/10.1016/S0266-3538(02)00087-8CrossRef
10.
Zurück zum Zitat Johnson, M.: Waveform based clustering and classification of ae transients in composite laminates using principal component analysis. NDT ‘I & E Int. 35, 367–376 (2002). https://doi.org/10.1016/S0963-8695(02)00004-X
11.
Zurück zum Zitat Nishihara, H., Bessho, Y.: Acoustic Emission in Subcooled Nucleate Pool Boiling. J. Nuclear Sci. Technol. 14(6), 407–415 (1977). https://doi.org/10.1080/18811248.1977.9730779CrossRef
12.
Zurück zum Zitat Pahlavan, P.L., Paulissen, J., Pijpers, R., Hakkesteegt, H., Jansen, R.: Acoustic Emission Health Monitoring of Steel Bridges. EWSHM - 7th European Workshop on Structural Health Monitoring, Nantes, France (2014). IFFSTTAR, Inria, Université de Nantes. https://inria.hal.science/hal-01021221
13.
Zurück zum Zitat Anastassopoulos, A.A., Philippidis, T.P.: Clustering methodology for the evaluation of acoustic emission from composites. J. Acoust. Emission 13, 11–22 (1995)
14.
Zurück zum Zitat Emamian, V., Kaveh, M., Tewfik, A.H.: Robust clustering of acoustic emission signals using the Kohonen network. In: 2000 IEEE International Conference on Acoustics, Speech, and Signal Processing. Proceedings (Cat. No.00CH37100), vol. 6, pp. 3891–38946 (2000). https://doi.org/10.1109/ICASSP.2000.860253
15.
Zurück zum Zitat Omkar, S.N., Suresh, S., Raghavendra, T.R., Mani, V.: Acoustic emission signal classification using fuzzy c-means clustering. In: Proceedings of the 9th International Conference on Neural Information Processing, 2002. ICONIP ’02., vol. 4, pp. 1827–18314 (2002). https://doi.org/10.1109/ICONIP.2002.1198989
16.
Zurück zum Zitat Wirtz, S.F., Bach, S., Söffker, D.: Experimental Results of Acoustic Emission Attenuation Due toWave Propagation in Composites. Ann. Conf. PHM Soc. 11(1) (2019). https://doi.org/10.36001/phmconf.2019.v11i1.821
17.
Zurück zum Zitat Muir, C., Swaminathan, B., Almansour, A.S., Sevener, K., Smith, C., Presby, M., Kiser, J.D., Pollock, T.M., Daly, S.: Damage mechanism identification in composites via machine learning and acoustic emission. NPJ Comput. Mater. 7(1), 1–15 (2021). https://doi.org/10.1038/s41524-021-00565-xCrossRef
18.
Zurück zum Zitat Ai, L., Soltangharaei, V., Ziehl, P.: Developing a heterogeneous ensemble learning framework to evaluate Alkali-silica reaction damage in concrete using acoustic emission signals. Mech. Syst. Signal Process. 172, 108981 (2022). https://doi.org/10.1016/j.ymssp.2022.108981CrossRef
19.
Zurück zum Zitat Dubuc, B., Ebrahimkhanlou, A., Livadiotis, S., Salamone, S.: Inversion algorithm for lamb-wave-based depth characterization of acoustic emission sources in plate-like structures. Ultrasonics 99, 105975 (2019). https://doi.org/10.1016/j.ultras.2019.105975CrossRef
20.
Zurück zum Zitat Ebrahimkhanlou, A., Dubuc, B., Salamone, S.: A generalizable deep learning framework for localizing and characterizing acoustic emission sources in riveted metallic panels. Mech Syst Signal Process 130, 248–272 (2019). https://doi.org/10.1016/j.ymssp.2019.04.050CrossRef
21.
Zurück zum Zitat Jirarungsatian, C., Prateepasen, A.: Pitting and uniform corrosion source recognition using acoustic emission parameters. Corrosion Sci. 52, 187–197 (2010). https://doi.org/10.1016/j.corsci.2009.09.001CrossRef
22.
Zurück zum Zitat Hamdi, S.E.: Contribution au traitement du signal pour le contrôle de santé in situ de structures composites : application au suivi de température et à l’analyse des signaux d’émission acoustique. PhD thesis (2012). Thèse de doctorat dirigée par Simon, LaurentBen Ghozlen, Mohamed Hédi et Le Duff, Alain Acoustique Le Mans 2012. http://www.theses.fr/2012LEMA1017
23.
Zurück zum Zitat Gholizadeh, S., Leman, Z., Baharudin, B.T.H.T.: A review of the application of acoustic emission technique in engineering. Struct. Eng. Mech. 54(6), 1075–1095 (2015). https://doi.org/10.12989/SEM.2015.54.6.1075
24.
Zurück zum Zitat Zaki, A., Chai, H.K., Aggelis, D.G., Alver, N.: Non-destructive evaluation for corrosion monitoring in concrete: a review and capability of acoustic emission technique. Sensors 15(8), 19069–19101 (2015). https://doi.org/10.3390/s150819069CrossRef
25.
Zurück zum Zitat Behnia, A., Chai, H.K., Shiotani, T.: Advanced structural health monitoring of concrete structures with the aid of acoustic emission. Construct. Build. Mater. 65, 282–302 (2014). https://doi.org/10.1016/j.conbuildmat.2014.04.103CrossRef
26.
Zurück zum Zitat Calabrese, L., Proverbio, E.: A Review on the Applications of Acoustic Emission Technique in the Study of Stress Corrosion Cracking. Corros. Mater. Degrad. 2(1), 1–30 (2021). https://doi.org/10.3390/cmd2010001CrossRef
27.
Zurück zum Zitat Ciaburro, G., Iannace, G.: Machine-Learning-Based Methods for Acoustic Emission Testing: A Review. Appl. Sci. 12(20), 10476 (2022). https://doi.org/10.3390/app122010476CrossRef
28.
Zurück zum Zitat Van Steen, C., Vandecruys, E., Wevers, M.: Steel corrosion damage monitoring in reinforced concrete structures with the acoustic emission technique: A review. Construct. Build. Mater. 349, 128732 (2022). https://doi.org/10.1016/j.conbuildmat.2022.128732CrossRef
29.
Zurück zum Zitat Zhou, W., Pan, Z.-b., Wang, J., Qiao, S., Ma, L.-h., Liu, J., Ren, X.-y., Liang, Y.-z.: Review on acoustic emission source location, damage recognition and lifetime prediction of fiber-reinforced composites. J. Mater. Sci. 58(2), 583–607 (2023). https://doi.org/10.1007/s10853-022-08063-1
30.
Zurück zum Zitat Morizet, N., Godin, N., Tang, J., Maillet, E., Fregonese, M., Normand, B.: Classification of acoustic emission signals using wavelets and Random Forests: Application to localized corrosion. Mech. Syst. Signal Process. 70–71, 1026–1037 (2016). https://doi.org/10.1016/j.ymssp.2015.09.025CrossRef
31.
Zurück zum Zitat Xu, D., Liu, P., Chen, Z., Cai, Q., Leng, J.: Dynamic feature evaluation on streaming acoustic emission data for adhesively bonded joints for composite wind turbine blade. Struct. Health Monitor. 21(2), 387–406 (2022). https://doi.org/10.1177/14759217211001704CrossRef
32.
Zurück zum Zitat Sibil, A., Godin, N., R’Mili, M., Maillet, E., Fantozzi, G.: Optimization of Acoustic Emission Data Clustering by a Genetic Algorithm Method. J. Nondestruct. Eval. 31(2), 169–180 (2012). https://doi.org/10.1007/s10921-012-0132-1CrossRef
33.
Zurück zum Zitat Noipitak, M., Prateepasen, A.: Effects of Wave Propagation Paths and System Calibration on Uniform Corrosion Monitoring Using Acoustic Emission. Corrosion 67(11), 115003–11500310 (2011). https://doi.org/10.5006/1.3659503CrossRef
34.
Zurück zum Zitat Ramasso, E., Placet, V., Boubakar, M.L.: Unsupervised Consensus Clustering of Acoustic Emission Time-Series for Robust Damage Sequence Estimation in Composites. IEEE Trans. Instrum. Meas. 64(12), 3297–3307 (2015). https://doi.org/10.1109/TIM.2015.2450354CrossRef
35.
Zurück zum Zitat Almeida, R.S.M., Magalhães, M.D., Karim, M.N., Tushtev, K., Rezwan, K.: Identifying damage mechanisms of composites by acoustic emission and supervised machine learning. Mater. Design 227, 111745 (2023). https://doi.org/10.1016/j.matdes.2023.111745CrossRef
36.
Zurück zum Zitat Saeedifar, M., Zarouchas, D.: Damage characterization of laminated composites using acoustic emission: A review. Compos. Part B: Eng. 195, 108039 (2020). https://doi.org/10.1016/j.compositesb.2020.108039CrossRef
37.
Zurück zum Zitat Biswas, A.K., Datta, A.K., Topdar, P., Sengupta, S.: Acoustic Emission-based Damage Detection and Classification in Steel Frame Structure Using Wavelet Transform and Random Forest. Period. Polytech. Civil Eng. 66(4), 1183–1198 (2022). https://doi.org/10.3311/PPci.20447CrossRef
38.
Zurück zum Zitat Kaphle, M.R.: Analysis of acoustic emission data for accurate damage assessment for structural health monitoring applications. PhD thesis, Queensland University of Technology (2012)
39.
Zurück zum Zitat Maillet, E., Baker, C., Morscher, G.N., Pujar, V.V., Lemanski, J.R.: Feasibility and limitations of damage identification in composite materials using acoustic emission. Compos. Part A: Appl. Sci. Manuf. 75, 77–83 (2015). https://doi.org/10.1016/j.compositesa.2015.05.003CrossRef
40.
Zurück zum Zitat Sause, M.G., Horn, S.R.: Influence of specimen geometry on acoustic emission signals in fiber reinforced composites: Fem-simulations and experiments (2010). https://www.ndt.net/?id=9737
41.
Zurück zum Zitat Ospitia, N., Aggelis, D.G., Tsangouri, E.: Dimension effects on the acoustic behavior of trc plates. Materials 13(4), 955 (2020). https://doi.org/10.3390/ma13040955CrossRef
42.
Zurück zum Zitat Calabrese, L., Galeano, M., Proverbio, E., Pietro, D.D., Donato, A., Cappuccini, F.: Advanced signal analysis of acoustic emission data to discrimination of different corrosion forms. Int. J. Microstruct. Mater. Prop. 12(3–4), 147–164 (2017). https://doi.org/10.1504/IJMMP.2017.091095CrossRef
43.
Zurück zum Zitat Fotouhi, M., Sadeghi, S., Jalalvand, M., Ahmadi, M.: Analysis of the damage mechanisms in mixed-mode delamination of laminated composites using acoustic emission data clustering. J. Thermoplas. Compos. Mater. 30(3), 318–340 (2017). https://doi.org/10.1177/0892705715598362CrossRef
44.
Zurück zum Zitat Pashmforoush, F., Khamedi, R., Fotouhi, M., Hajikhani, M., Ahmadi, M.: Damage Classification of Sandwich Composites Using Acoustic Emission Technique and k-means Genetic Algorithm. J. Nondestruct. Eval. 33(4), 481–492 (2014). https://doi.org/10.1007/s10921-014-0243-yCrossRef
45.
Zurück zum Zitat Pomponi, E., Vinogradov, A.: A real-time approach to acoustic emission clustering. Mech. Syst. Signal Process. 40(2), 791–804 (2013). https://doi.org/10.1016/j.ymssp.2013.03.017CrossRef
46.
Zurück zum Zitat Doan, D.D., Ramasso, E., Placet, V., Zhang, S., Boubakar, L., Zerhouni, N.: An unsupervised pattern recognition approach for AE data originating from fatigue tests on polymer-composite materials. Mech. Syst. Signal Process. 64–65, 465–478 (2015). https://doi.org/10.1016/j.ymssp.2015.04.011CrossRef
47.
Zurück zum Zitat Calabrese, L., Campanella, G., Proverbio, E.: Noise removal by cluster analysis after long time AE corrosion monitoring of steel reinforcement in concrete. Construct. Build. Mater. 34, 362–371 (2012). https://doi.org/10.1016/j.conbuildmat.2012.02.046CrossRef
48.
Zurück zum Zitat Barat, V., Borodin, Y., Kuzmin, A.: Intelligent ae signal filtering methods. J. Acoust. Emis. 28, 109–119 (2010)
49.
Zurück zum Zitat Theobald, P., Zeqiri, B., Avison, J.: Couplants and their influence on ae sensor sensitivity. J. Acoust. Emiss 26, 91–97 (2008). https://www.ndt.net/?id=14501
50.
Zurück zum Zitat Ono, K.: Through-transmission characteristics of ae sensor couplants. J. Acoust. Emiss 34, 1–11 (2017). https://www.ndt.net/?id=21550
51.
Zurück zum Zitat Aggelis, D.G.: Classification of cracking mode in concrete by acoustic emission parameters. Mech. Res. Commun. 38(3), 153–157 (2011). https://doi.org/10.1016/j.mechrescom.2011.03.007CrossRef
52.
Zurück zum Zitat RILEM Technical Committee (Masayasu Ohtsu): Recommendation of RILEM TC 212-ACD: Acoustic emission and related NDE techniques for crack detection and damage evaluation in concrete: Test method for classification of active cracks in concrete structures by acoustic emission. Mater. Struct. 43(9), 1187–1189 (2010). https://doi.org/10.1617/s11527-010-9640-6
53.
Zurück zum Zitat Colombo, I.S., Main, I.G., Forde, M.C.: Assessing Damage of Reinforced Concrete Beam Using “b -value’’ Analysis of Acoustic Emission Signals. J. Mater. Civil Eng. 15(3), 280–286 (2003). https://doi.org/10.1061/(ASCE)0899-1561(2003)15:3(280)CrossRef
54.
Zurück zum Zitat Mandal, D.D., Bentahar, M., El Mahi, A., Brouste, A., El Guerjouma, R., Montresor, S., Cartiaux, F.-B.: Acoustic Emission Monitoring of Progressive Damage of Reinforced Concrete T-Beams under Four-Point Bending. Materials 15(10), 3486 (2022). https://doi.org/10.3390/ma15103486CrossRef
55.
Zurück zum Zitat Peeters, G.: A large set of audio features for sound description (similarity and classification) in the cuidado project. CUIDADO Ist Project Rep. 54, 1–25 (2004)
56.
Zurück zum Zitat Ech-Choudany, Y., Scida, D., Assarar, M., Bellach, B., Morain-Nicolier, F.: Implementation of Supervised Classification Method of Acoustic Emission Signals: Damage Mechanisms Identification of Non-hybrid and Hybrid Flax Fibre Composites. J. Nondestruct. Eval. 41(1), 19 (2022). https://doi.org/10.1007/s10921-022-00850-9CrossRef
57.
Zurück zum Zitat Gabor, D.: Theory of communication. Part 1: The analysis of information. J. Inst. Electr. Eng.-Part III: Radio Commun. Eng. 93(26), 429–441 (1946). https://doi.org/10.1049/ji-3-2.1946.0074
58.
Zurück zum Zitat Grossmann, A., Morlet, J.: Decomposition of hardy functions into square integrable wavelets of constant shape. SIAM J. Math. Anal. 15(4), 723–736 (1984). https://doi.org/10.1137/0515056MathSciNetCrossRef
59.
Zurück zum Zitat Huang, N.E., Shen, Z., Long, S.R., Wu, M.C., Shih, H.H., Zheng, Q., Yen, N.-C., Tung, C.C., Liu, H.H.: The empirical mode decomposition and the Hilbert spectrum for nonlinear and non-stationary time series analysis. Proc. R. Soc. London. Ser. A: Math. Phys. Eng. Sci. 454(1971), 903–995 (1998). https://doi.org/10.1098/rspa.1998.0193MathSciNetCrossRef
60.
Zurück zum Zitat Van Steen, C., Pahlavan, L., Wevers, M., Verstrynge, E.: Localisation and characterisation of corrosion damage in reinforced concrete by means of acoustic emission and X-ray computed tomography. Construct. Build. Mater. 197, 21–29 (2019). https://doi.org/10.1016/j.conbuildmat.2018.11.159CrossRef
61.
Zurück zum Zitat Mukherjee, A., Maurya, A.: Identification of Different Acoustic Emission Signal Sources. In: 2018 International Conference on Applied Electromagnetics, Signal Processing and Communication (AESPC), pp. 1–6. IEEE. Bhubaneswar, India (2018). https://doi.org/10.1109/AESPC44649.2018.9033226
62.
Zurück zum Zitat Griffin, J.M., Chen, X.: Multiple classification of the acoustic emission signals extracted during burn and chatter anomalies using genetic programming. Int. J. Adv. Manuf. Technol. 45(11), 1152 (2009). https://doi.org/10.1007/s00170-009-2026-7CrossRef
63.
Zurück zum Zitat Ito, K., Enoki, M.: Acquisition and Analysis of Continuous Acoustic Emission Waveform for Classification of Damage Sources in Ceramic Fiber Mat. Mater. Trans. 48(6), 1221–1226 (2007). https://doi.org/10.2320/matertrans.I-MRA2007850CrossRef
64.
Zurück zum Zitat Van Dijck, G., Van Hulle, M.M.: Genetic algorithm for informative basis function selection from the wavelet packet decomposition with application to corrosion identification using acoustic emission. Chemometr. Intell. Laborat. Syst. 107(2), 318–332 (2011). https://doi.org/10.1016/j.chemolab.2011.05.001CrossRef
65.
Zurück zum Zitat Van Dijck, G., Van Hulle, M.M.: Information Theory Filters for Wavelet Packet Coefficient Selection with Application to Corrosion Type Identification from Acoustic Emission Signals. Sensors (Basel, Switzerland) 11(6), 5695–5715 (2011). https://doi.org/10.3390/s110605695CrossRef
66.
Zurück zum Zitat May, Z., Alam, M.K., Nayan, N.A., Rahman, N.A.A., Mahmud, M.S.: Acoustic emission corrosion feature extraction and severity prediction using hybrid wavelet packet transform and linear support vector classifier. Plos One 16(12), 0261040 (2021). https://doi.org/10.1371/journal.pone.0261040CrossRef
67.
Zurück zum Zitat Zhao, J., Wang, K., Guo, Y.: Acoustic emission signals classification based on support vector machine. In: 2010 2nd International Conference on Computer Engineering and Technology, vol. 6, pp. 6–3006304 (2010). https://doi.org/10.1109/ICCET.2010.5486240
68.
Zurück zum Zitat Ai, L., Flowers, S., Mesaric, T., Henderson, B., Houck, S., Ziehl, P.: Acoustic Emission-Based Detection of Impacts on Thermoplastic Aircraft Control Surfaces: A Preliminary Study. Appl. Sci. 13(11), 6573 (2023). https://doi.org/10.3390/app13116573CrossRef
69.
Zurück zum Zitat Satour, A., Montrésor, S., Bentahar, M., Boubenider, F.: Wavelet Based Clustering of Acoustic Emission Hits to Characterize Damage Mechanisms in Composites. J. Nondestruct. Eval. 39(2), 37 (2020). https://doi.org/10.1007/s10921-020-00678-1CrossRef
70.
Zurück zum Zitat Marec, A., Thomas, J.-H., El Guerjouma, R.: Damage characterization of polymer-based composite materials: Multivariable analysis and wavelet transform for clustering acoustic emission data. Mech. Syst. Signal Process. 22(6), 1441–1464 (2008). https://doi.org/10.1016/j.ymssp.2007.11.029CrossRef
71.
Zurück zum Zitat Hamdi, S.E., Le Duff, A., Simon, L., Plantier, G., Sourice, A., Feuilloy, M.: Acoustic emission pattern recognition approach based on Hilbert-Huang transform for structural health monitoring in polymer-composite materials. Appl. Acoust. 74(5), 746–757 (2013). https://doi.org/10.1016/j.apacoust.2012.11.018CrossRef
72.
Zurück zum Zitat Chai, M., Gao, Z., Li, Y., Zhang, Z., Duan, Q., Chen, R.: An approach for identifying corrosion damage from acoustic emission signals using ensemble empirical mode decomposition and linear discriminant analysis. Meas. Sci. Technol. 33(6), 065018 (2022). https://doi.org/10.1088/1361-6501/ac4ed7CrossRef
73.
Zurück zum Zitat Qin, X., Li, Q., Dong, X., Lv, S., 10.1155/2017/262308: The Fault Diagnosis of Rolling Bearing Based on Ensemble Empirical Mode Decomposition and Random Forest. Shock Vibration 2017, 2623081 (2017)
74.
Zurück zum Zitat Liu, L., Chen, L., Wang, Z., Liu, D.: Early Fault Detection of Planetary Gearbox Based on Acoustic Emission and Improved Variational Mode Decomposition. IEEE Sensors J. 21(2), 1735–1745 (2021). https://doi.org/10.1109/JSEN.2020.3015884CrossRef
75.
Zurück zum Zitat Kedadouche, M., Thomas, M., Tahan, A.: A comparative study between empirical wavelet transforms and empirical mode decomposition methods: Application to bearing defect diagnosis. Mech. Syst. Signal Process. 81, 88–107 (2016). https://doi.org/10.1016/j.ymssp.2016.02.049CrossRef
76.
Zurück zum Zitat Wang, K., Hao, Q., Zhang, X., Tang, Z., Wang, Y., Shen, Y.: Blind source extraction of acoustic emission signals for rail cracks based on ensemble empirical mode decomposition and constrained independent component analysis. Measurement 157, 107653 (2020). https://doi.org/10.1016/j.measurement.2020.107653CrossRef
77.
Zurück zum Zitat Quinn, A.J., Lopes-dos-Santos, V., Dupret, D., Nobre, A.C., Woolrich, M.W.: EMD: Empirical Mode Decomposition and Hilbert-Huang Spectral Analyses in Python. J. Open Sourc. Softw. 6(59), 2977 (2021). https://doi.org/10.21105/joss.02977
78.
Zurück zum Zitat Vélez, W., Matta, F., Ziehl, P.: Acoustic emission monitoring of early corrosion in prestressed concrete piles. Struct. Control Health Monitor. 22(5), 873–887 (2015). https://doi.org/10.1002/stc.1723CrossRef
79.
Zurück zum Zitat ElBatanouny, M.K., Mangual, J., Ziehl, P.H., Matta, F.: Early Corrosion Detection in Prestressed Concrete Girders Using Acoustic Emission. J. Mater. Civil Eng. 26(3), 504–511 (2014). https://doi.org/10.1061/(ASCE)MT.1943-5533.0000845CrossRef
80.
Zurück zum Zitat Fowler, T., Blessing, J., Conlisk, P., Swanson, T.: The MONPAC system. J. Acoust. Emission 8, 1 (1989)
81.
Zurück zum Zitat Tinkey, B.V., Fowler, T., Klingner, R.E.: Nondestructive testing of prestressed bridge girders with distributed damage. Res. Rep. 1857 (2002)
82.
Zurück zum Zitat Zheng, Y., Zhou, Y., Zhou, Y., Pan, T., Sun, L., Liu, D.: Localized corrosion induced damage monitoring of large-scale RC piles using acoustic emission technique in the marine environment. Construct. Build. Mater. 243, 118270 (2020). https://doi.org/10.1016/j.conbuildmat.2020.118270CrossRef
83.
Zurück zum Zitat Appalla, A., ElBatanouny, M.K., Velez, W., Ziehl, P.: Assessing Corrosion Damage in Posttensioned Concrete Structures Using Acoustic Emission. J. Mater. Civil Eng. 28(2), 04015128 (2016). https://doi.org/10.1061/(ASCE)MT.1943-5533.0001389CrossRef
84.
Zurück zum Zitat Singh, D., Singh, B.: Investigating the impact of data normalization on classification performance. Appl. Soft Comput. 97, 105524 (2020). https://doi.org/10.1016/j.asoc.2019.105524CrossRef
85.
Zurück zum Zitat Xu, D., Liu, P.F., Li, J.G., Chen, Z.P.: Damage mode identification of adhesive composite joints under hygrothermal environment using acoustic emission and machine learning. Composite Struct. 211, 351–363 (2019). https://doi.org/10.1016/j.compstruct.2018.12.051CrossRef
86.
Zurück zum Zitat Calabrese, L., Galeano, M., Proverbio, E., Pietro, D.D., Cappuccini, F., Donato, A.: Monitoring of 13% Cr martensitic stainless steel corrosion in chloride solution in presence of thiosulphate by acoustic emission technique. Corrosion Sci. 111, 151–161 (2016). https://doi.org/10.1016/j.corsci.2016.05.010CrossRef
87.
Zurück zum Zitat Smolnicki, M., Duda, Sz., Stabla, P., Zielonka, P., Lesiuk, G.: Acoustic emission with machine learning in fracture of composites: Preliminary study. Arch. Civil Mech. Eng. 23(4), 254 (2023). https://doi.org/10.1007/s43452-023-00795-4
88.
Zurück zum Zitat Sause, M.G.R., Gribov, A., Unwin, A.R., Horn, S.: Pattern recognition approach to identify natural clusters of acoustic emission signals. Pattern Recognit. Lett. 33(1), 17–23 (2012). https://doi.org/10.1016/j.patrec.2011.09.018CrossRef
89.
Zurück zum Zitat Traoré, O.I.: Méthodologie de traitement et d’analyse de signaux expérimentaux d’Émission Acoustique : Application au comportement d’un élément combustible en situation accidentelle. PhD thesis, Aix-Marseille Université (2018). https://theses.hal.science/tel-03337702
90.
Zurück zum Zitat Malik, S., Rouf, R., Mazur, K., Kontsos, A.: The Industry Internet of Things (IIoT) as a Methodology for Autonomous Diagnostics in Aerospace Structural Health Monitoring. Aerospace 7, 64 (2020). https://doi.org/10.3390/aerospace7050064CrossRef
91.
Zurück zum Zitat Refahi Oskouei, A., Heidary, H., Ahmadi, M., Farajpur, M.: Unsupervised acoustic emission data clustering for the analysis of damage mechanisms in glass/polyester composites. Mater. Des. 37, 416–422 (2012). https://doi.org/10.1016/j.matdes.2012.01.018CrossRef
92.
Zurück zum Zitat Zhang, Y., Zhou, B., Yu, F., Chen, C.: Cluster analysis of acoustic emission signals and infrared thermography for defect evolution analysis of glass/epoxy composites. Infrared Phys. Technol. 112, 103581 (2021). https://doi.org/10.1016/j.infrared.2020.103581CrossRef
93.
Zurück zum Zitat Ding, C., He, X.: K -means clustering via principal component analysis. In: Twenty-First International Conference on Machine Learning - ICML ’04, p. 29. ACM Press, Banff, Alberta, Canada (2004). https://doi.org/10.1145/1015330.1015408
94.
Zurück zum Zitat Placet, V., Ramasso, E., Boubakar, L., Zerhouni, N.: Online segmentation of acoustic emission data streams for detection of damages in composites structures in unconstrained environments. In: 11th International Conference on Structural Safety & Reliability, France, pp. 1–8 (2013). https://hal.science/hal-00993426
95.
Zurück zum Zitat Aggarwal, C.C., Hinneburg, A., Keim, D.A.: On the Surprising Behavior of Distance Metrics in High Dimensional Space. pp. 420–434. Springer, Berlin, Heidelberg (2001). https://doi.org/10.1007/3-540-44503-X_27
96.
Zurück zum Zitat He, X., Cai, D., Niyogi, P.: Laplacian score for feature selection. Adv. Neural Inf. Process. Syst. 18 (2005)
97.
Zurück zum Zitat Li, L., Lomov, S.V., Yan, X., Carvelli, V.: Cluster analysis of acoustic emission signals for 2D and 3D woven glass/epoxy composites. Compos. Struct. 116, 286–299 (2014). https://doi.org/10.1016/j.compstruct.2014.05.023CrossRef
98.
Zurück zum Zitat Carvelli, V., D’Ettorre, A., Lomov, S.V.: Acoustic emission and damage mode correlation in textile reinforced PPS composites. Compos. Struct. 163, 399–409 (2017). https://doi.org/10.1016/j.compstruct.2016.12.012CrossRef
99.
Zurück zum Zitat Song, D., Xu, F., Ma, T.: Crack damage monitoring for compressor blades based on acoustic emission with novel feature and hybridized feature selection. Struct. Health Monit. 21(6), 2641–2656 (2022). https://doi.org/10.1177/14759217211068107CrossRef
100.
Zurück zum Zitat Cai, D., Zhang, C., He, X.: Unsupervised feature selection for multi-cluster data. In: Proceedings of the 16th ACM SIGKDD International Conference on Knowledge Discovery and Data Mining, pp. 333–342. ACM, Washington DC USA (2010). https://doi.org/10.1145/1835804.1835848
101.
Zurück zum Zitat Roffo, G., Melzi, S., Castellani, U., Vinciarelli, A., Cristani, M.: Infinite feature selection: A graph-based feature filtering approach. IEEE Trans. Pattern Anal. Mach. Intell., 1–1 (2020) https://doi.org/10.1109/TPAMI.2020.3002843
102.
Zurück zum Zitat Piotrkowski, R., Castro, E., Gallego, A.: Wavelet power, entropy and bispectrum applied to AE signals for damage identification and evaluation of corroded galvanized steel. Mech. Syst. Signal Process. 23(2), 432–445 (2009). https://doi.org/10.1016/j.ymssp.2008.05.006CrossRef
103.
Zurück zum Zitat Zhang, X., Feng, N., Wang, Y., Shen, Y.: Acoustic emission detection of rail defect based on wavelet transform and Shannon entropy. J. Sound Vibration 339, 419–432 (2015). https://doi.org/10.1016/j.jsv.2014.11.021CrossRef
104.
Zurück zum Zitat Ekici, S., Yildirim, S., Poyraz, M.: Energy and entropy-based feature extraction for locating fault on transmission lines by using neural network and wavelet packet decomposition. Expert Syst. Appl. 34(4), 2937–2944 (2008). https://doi.org/10.1016/j.eswa.2007.05.011CrossRef
105.
Zurück zum Zitat Cover, T., Hart, P.: Nearest neighbor pattern classification. IEEE Trans. Inf. Theory 13(1), 21–27 (1967). https://doi.org/10.1109/TIT.1967.1053964CrossRef
106.
Zurück zum Zitat Cortes, C., Vapnik, V.: Support-vector networks. Mach. Learn. 20(3), 273–297 (1995). https://doi.org/10.1023/A:1022627411411CrossRef
107.
Zurück zum Zitat Breiman, L.: Random Forests. Mach. Learn. 45(1), 5–32 (2001). https://doi.org/10.1023/A:1010933404324CrossRef
108.
Zurück zum Zitat Godin, N., Huguet, S., Gaertner, R., Salmon, L.: Clustering of acoustic emission signals collected during tensile tests on unidirectional glass/polyester composite using supervised and unsupervised classifiers. NDT ‘I & E Int. 37(4), 253–264 (2004). https://doi.org/10.1016/j.ndteint.2003.09.010
109.
Zurück zum Zitat Shimamoto, Y., Tayfur, S., Alver, N., Suzuki, T.: Identifying effective AE parameters for damage evaluation of concrete in headwork: A combined cluster and random forest analysis of acoustic emission data. Paddy Water Environ. (2022). https://doi.org/10.1007/s10333-022-00910-wCrossRef
110.
Zurück zum Zitat Wang, Z., Chegdani, F., Yalamarti, N., Takabi, B., Tai, B., El Mansori, M., Bukkapatnam, S.: Acoustic Emission Characterization of Natural Fiber Reinforced Plastic Composite Machining Using a Random Forest Machine Learning Model. J. Manuf. Sci. Eng. 142(031003) (2020). https://doi.org/10.1115/1.4045945
111.
Zurück zum Zitat Tian, J., Liu, L., Zhang, F., Ai, Y., Wang, R., Fei, C.: Multi-Domain Entropy-Random Forest Method for the Fusion Diagnosis of Inter-Shaft Bearing Faults with Acoustic Emission Signals. Entropy 22(1), 57 (2020). https://doi.org/10.3390/e22010057MathSciNetCrossRef
112.
Zurück zum Zitat Dijck, G., Wevers, M., Van Hulle, M.: Wavelet Packet Decomposition for the Identification of Corrosion Type from Acoustic Emission Signals. IJWMIP 7, 513–534 (2009). https://doi.org/10.1142/S0219691309003069CrossRef
113.
Zurück zum Zitat Calabrese, L., Campanella, G., Proverbio, E.: Use of cluster analysis of acoustic emission signals in evaluating damage severity in concrete structures. J. Acoust. Emission 28, 129–142 (2010). https://www.ndt.net/?id=10831
114.
Zurück zum Zitat Van Steen, C., Verstrynge, E.: Signal-Based Acoustic Emission Clustering for Differentiation of Damage Sources in Corroding Reinforced Concrete Beams. Appl. Sci. 12(4), 2154 (2022). https://doi.org/10.3390/app12042154CrossRef
115.
Zurück zum Zitat Hamam, Z., Godin, N., Reynaud, P., Fusco, C., Carrère, N., Doitrand, A.: Transverse Cracking Induced Acoustic Emission in Carbon Fiber-Epoxy Matrix Composite Laminates. Materials 15(1), 394 (2022). https://doi.org/10.3390/ma15010394CrossRef
116.
Zurück zum Zitat Ebrahimkhanlou, A., Dubuc, B., Salamone, S.: A generalizable deep learning framework for localizing and characterizing acoustic emission sources in riveted metallic panels. Mech. Syst. Signal Process. 130, 248–272 (2019). https://doi.org/10.1016/j.ymssp.2019.04.050CrossRef
117.
Zurück zum Zitat Recoquillay, A., Pénicaud, M., Serey, V., LeFeuve, C.: Source reconstruction for acoustic emission signals clustering and events nature identification. application to a composite sample bending test. Mech. Syst. Signal Process. 111954 (2024). https://doi.org/10.1016/j.ymssp.2019.04.050
118.
Zurück zum Zitat Kharrat, M., Placet, V., Ramasso, E., Boubakar, M.L.: Influence of damage accumulation under fatigue loading on the AE-based health assessment of composite materials: Wave distortion and AE-features evolution as a function of damage level. Compos. Part A: Appl. Sci. Manuf. 109, 615–627 (2018). https://doi.org/10.1016/j.compositesa.2016.03.020CrossRef
119.
Zurück zum Zitat Lloyd, S.: Least squares quantization in pcm. IEEE Trans. Inf. Theory 28(2), 129–137 (1982). https://doi.org/10.1109/TIT.1982.1056489MathSciNetCrossRef
120.
Zurück zum Zitat Zadeh, L.A.: Fuzzy sets. Inf. Control 8(3), 338–353 (1965). https://doi.org/10.1016/S0019-9958(65)90241-XCrossRef
121.
Zurück zum Zitat Ester, M., Kriegel, H.-P., Sander, J., Xu, X., et al.: A density-based algorithm for discovering clusters in large spatial databases with noise. In: Kdd, vol. 96, pp. 226–231 (1996)
122.
Zurück zum Zitat Ankerst, M., Breunig, M.M., Kriegel, H.-P., Sander, J.: Optics: ordering points to identify the clustering structure. In: Proceedings of the 1999 ACM SIGMOD International Conference on Management of Data. SIGMOD ’99, pp. 49–60. Association for Computing Machinery, New York, NY, USA (1999). https://doi.org/10.1145/304182.304187
123.
Zurück zum Zitat Sibson, R.: SLINK: An optimally efficient algorithm for the single-link cluster method. Comput. J. 16(1), 30–34 (1973). https://doi.org/10.1093/comjnl/16.1.30MathSciNetCrossRef
124.
Zurück zum Zitat Dempster, A.P., Laird, N.M., Rubin, D.B.: Maximum likelihood from incomplete data via the em algorithm. J. R. Stat. Soc.: Ser. B (Methodological) 39(1), 1–22 (1977). https://doi.org/10.1111/j.2517-6161.1977.tb01600.x
125.
Zurück zum Zitat Sohil, F., Sohali, M.U., Shabbir, J.: An introduction to statistical learning with applications in R: By Gareth James, Daniela Witten, Trevor Hastie, and Robert Tibshirani, New York, Springer Science and Business Media, 2013, $41.98, eISBN: 978-1-4614-7137-7. Stat. Theory Relat. Fields 6(1), 87–87 (2022). https://doi.org/10.1080/24754269.2021.1980261
126.
Zurück zum Zitat Kohonen, T.: The self-organizing map. Proc. IEEE 78(9), 1464–1480 (1990). https://doi.org/10.1109/5.58325CrossRef
127.
Zurück zum Zitat Behnia, A., Chai, H.K., GhasemiGol, M., Sepehrinezhad, A., Mousa, A.A.: Advanced damage detection technique by integration of unsupervised clustering into acoustic emission. Eng. Fract. Mech. 210, 212–227 (2019). https://doi.org/10.1016/j.engfracmech.2018.07.005CrossRef
128.
Zurück zum Zitat Godin, N., Huguet, S., Gaertner, R.: Integration of the Kohonen’s self-organising map and k-means algorithm for the segmentation of the AE data collected during tensile tests on cross-ply composites. NDT ‘I & E Int. 38(4), 299–309 (2005). https://doi.org/10.1016/j.ndteint.2004.09.006
129.
Zurück zum Zitat Kharrat, M., Ramasso, E., Placet, V., Boubakar, M.L.: A signal processing approach for enhanced Acoustic Emission data analysis in high activity systems: Application to organic matrix composites. Mech. Syst. Signal Process. 70–71, 1038–1055 (2016). https://doi.org/10.1016/j.ymssp.2015.08.028CrossRef
130.
Zurück zum Zitat de Oliveira, R., Marques, A.T.: Health monitoring of FRP using acoustic emission and artificial neural networks. Comput. Struct. 86(3), 367–373 (2008). https://doi.org/10.1016/j.compstruc.2007.02.015CrossRef
131.
Zurück zum Zitat Moevus, M., Godin, N., R’Mili, M., Rouby, D., Reynaud, P., Fantozzi, G., Farizy, G.: Analysis of damage mechanisms and associated acoustic emission in two SiCf/[Si-B-C] composites exhibiting different tensile behaviours. Part II: Unsupervised acoustic emission data clustering. Compos. Sci. Technol. 68(6), 1258–1265 (2008). https://doi.org/10.1016/j.compscitech.2007.12.002
132.
Zurück zum Zitat Du, G., Li, J., Wang, W.K., Jiang, C., Song, S.Z.: Detection and characterization of stress-corrosion cracking on 304 stainless steel by electrochemical noise and acoustic emission techniques. Corros. Sci. 53(9), 2918–2926 (2011). https://doi.org/10.1016/j.corsci.2011.05.030CrossRef
133.
Zurück zum Zitat Li, J., Du, G., Jiang, C., Jin, S.: The classification of acoustic emission signals of 304 stainless steel during stress corrosion process based on K-means clustering. Anti-Corros. Methods Mater. 59(2), 76–80 (2012). https://doi.org/10.1108/00035591211210848CrossRef
134.
Zurück zum Zitat Diakhate, M., Bastidas-Arteaga, E., Moutou Pitti, R., Schoefs, F.: Cluster analysis of acoustic emission activity within wood material: Towards a real-time monitoring of crack tip propagation. Eng. Fract. Mech. 180, 254–267 (2017). https://doi.org/10.1016/j.engfracmech.2017.06.006CrossRef
135.
Zurück zum Zitat Zhao, W.-Z., Zhou, W.: Cluster analysis of acoustic emission signals and tensile properties of carbon/glass fiber-reinforced hybrid composites. Struct. Health Monit. 18(5–6), 1686–1697 (2019). https://doi.org/10.1177/1475921719833467CrossRef
136.
Zurück zum Zitat Saeedifar, M., Najafabadi, M.A., Zarouchas, D., Toudeshky, H.H., Jalalvand, M.: Clustering of interlaminar and intralaminar damages in laminated composites under indentation loading using Acoustic Emission. Compos. Part B: Eng. 144, 206–219 (2018). https://doi.org/10.1016/j.compositesb.2018.02.028
137.
Zurück zum Zitat Sawan, H.A., Walter, M.E., Marquette, B.: Unsupervised learning for classification of acoustic emission events from tensile and bending experiments with open-hole carbon fiber composite samples. Compos. Sci. Technol. 107, 89–97 (2015). https://doi.org/10.1016/j.compscitech.2014.12.003CrossRef
138.
Zurück zum Zitat Sobhani, A., Saeedifar, M., Najafabadi, M.A., Fotouhi, M., Zarouchas, D.: The study of buckling and post-buckling behavior of laminated composites consisting multiple delaminations using acoustic emission. Thin-Walled Struct. 127, 145–156 (2018). https://doi.org/10.1016/j.tws.2018.02.011CrossRef
139.
Zurück zum Zitat Farhidzadeh, A., Salamone, S., Singla, P.: A probabilistic approach for damage identification and crack mode classification in reinforced concrete structures. J. Intell. Mater. Syst. Struct. 24(14), 1722–1735 (2013). https://doi.org/10.1177/1045389X13484101
140.
Zurück zum Zitat Calabrese, L., Campanella, G., Proverbio, E.: Identification of corrosion mechanisms by univariate and multivariate statistical analysis during long term acoustic emission monitoring on a pre-stressed concrete beam. Corrosion Sci. 73, 161–171 (2013). https://doi.org/10.1016/j.corsci.2013.03.032CrossRef
141.
Zurück zum Zitat Li, D., Tan, M., Zhang, S., Ou, J.: Stress corrosion damage evolution analysis and mechanism identification for prestressed steel strands using acoustic emission technique. Struct. Control Health Monit. 25(8), 2189 (2018). https://doi.org/10.1002/stc.2189CrossRef
142.
Zurück zum Zitat Das, A.K., Suthar, D., Leung, C.K.Y.: Machine learning based crack mode classification from unlabeled acoustic emission waveform features. Cement Concr. Res. 121, 42–57 (2019). https://doi.org/10.1016/j.cemconres.2019.03.001
143.
Zurück zum Zitat Rousseeuw, P.J.: Silhouettes: A graphical aid to the interpretation and validation of cluster analysis. J. Comput. Appl. Math. 20, 53–65 (1987). https://doi.org/10.1016/0377-0427(87)90125-7CrossRef
144.
Zurück zum Zitat Davies, D.L., Bouldin, D.W.: A Cluster Separation Measure. IEEE Trans. Pattern Anal. Mach. Intell. PAMI 1(2), 224–227 (1979). https://doi.org/10.1109/TPAMI.1979.4766909
145.
Zurück zum Zitat Caliński, T., Harabasz, J.: A dendrite method for cluster analysis. Commun. Stat. 3(1), 1–27 (1974). https://doi.org/10.1080/03610927408827101MathSciNetCrossRef
146.
Zurück zum Zitat Pedregosa, F., Varoquaux, G., Gramfort, A., Michel, V., Thirion, B., Grisel, O., Blondel, M., Prettenhofer, P., Weiss, R., Dubourg, V., Vanderplas, J., Passos, A., Cournapeau, D., Brucher, M., Perrot, M., Duchesnay, E.: Scikit-learn: Machine learning in Python. J. Mach. Learn. Res. 12, 2825–2830 (2011)MathSciNet
147.
Zurück zum Zitat Jirarungsatian, C., Prateepasen, A.: Pitting and uniform corrosion source recognition using acoustic emission parameters. Corros. Sci. 52(1), 187–197 (2010). https://doi.org/10.1016/j.corsci.2009.09.001CrossRef
148.
Zurück zum Zitat Zhang, T., Mahdi, M., Issa, M., Xu, C., Ozevin, D.: Experimental study on monitoring damage progression of basalt-frp reinforced concrete slabs using acoustic emission and machine learning. Sensors 23(20) (2023). https://doi.org/10.3390/s23208356
149.
Zurück zum Zitat Li, D., Yang, W., Zhang, W.: Cluster analysis of stress corrosion mechanisms for steel wires used in bridge cables through acoustic emission particle swarm optimization. Ultrasonics 77, 22–31 (2017). https://doi.org/10.1016/j.ultras.2017.01.012
150.
Zurück zum Zitat Jain, A.: Data clustering: 50 years beyond k-means. Pattern Recognit. Lett. 31, 651–666 (2010). https://doi.org/10.1016/j.patrec.2009.09.011CrossRef
151.
Zurück zum Zitat Luxburg, U., Williamson, R.C., Guyon, I.: Clustering: Science or Art? In: Proceedings of ICML Workshop on Unsupervised and Transfer Learning, pp. 65–79. JMLR Workshop and Conference Proceedings (2012)
152.
Zurück zum Zitat Arbelaitz, O., Gurrutxaga, I., Muguerza, J., Pérez, J.M., Perona, I.: An extensive comparative study of cluster validity indices. Pattern Recognit. 46(1), 243–256 (2013). https://doi.org/10.1016/j.patcog.2012.07.021
Bildnachweise
Wagner Logo/© J. Wagner GmbH, Harter Drying Solutions/© HARTER GmbH, Cenaris Logo/© CENARIS GmbH, Ecoclean Logo/© SBS Ecoclean Group, Eisenmann Logo/© EISENMANN GmbH, L&S Logo/© L&S Oberflächentechnik GmbH & Co. KG, FreiLacke Logo/© Emil Frei GmbH & Co. KG, Afotek Logo/© @AFOTEK Anlagen für Oberflächentechnik GmbH, Fischer Logo/© Helmut Fischer GmbH, Venjakob Logo/© VENJAKOB Maschinenbau GmbH & Co. KG, Nordson Logo/© Nordson Deutschland GmbH, JOT - Journal für Oberflächentechnik, Chemetall und ZF optimieren den Vorbehandlungsprozess/© Chemetall