Zum Inhalt

„ReWaste4.0“ – Abfallwirtschaftliches Kompetenzzentrum am AVAW der Montanuniversität Leoben

  • Open Access
  • 05.11.2021
  • Originalarbeit
Erschienen in:

Aktivieren Sie unsere intelligente Suche, um passende Fachinhalte oder Patente zu finden.

search-config
loading …

Zusammenfassung

ReWaste4.0 ist ein langfristig orientiertes Projekt, das die Anwendung von Industrie 4.0-Ansätzen in der Abfallwirtschaft untersucht. Es zielt darauf ab, die Behandlung von nicht gefährlichen gemischten Abfällen zu optimieren und eine 'Smart Waste Factory' zu entwickeln. Das Projekt umfasst umfassende strategische und wissenschaftlich-technische Bereiche, die durch digitale Vernetzung und dynamische Prozesssteuerung miteinander verbunden sind. Besonderes Augenmerk wird auf die Reduzierung und Entfernung von Schadstoffen, die Nutzung von Sekundärrohstoffen und die Digitalisierung der Abfallcharakterisierung gelegt. Durch die experimentelle Entwicklung und Analyse von Abfallbehandlungsanlagen wird die Transformation der Branche hin zu einer nachhaltigen Kreislaufwirtschaft vorangetrieben.
Der vollständige englische Beitrag ist hier verfügbar: Sarc, R. The „ReWaste4.0“ Project—A Review. Processes, 2021, 9 (5), 764, https://​doi.​org/​10.​3390/​pr9050764.

Hinweis des Verlags

Der Verlag bleibt in Hinblick auf geografische Zuordnungen und Gebietsbezeichnungen in veröffentlichten Karten und Institutsadressen neutral.

1 Einleitung

ReWaste4.0 ist ein langfristig orientiertes, innovatives sowie kooperatives K‑Projekt (Anm.: Competence Centers for Excellent Technologies (COMET) ist eine nationale Förderlinie der Österreichischen Forschungsförderungsgesellschaft (FFG), die darauf abzielt, qualitativ hochwertige Forschung in Wissenschaft und Wirtschaft zusammenzuführen (Austrian Research Promotion Agency 2021)) mit jeweils zwei Partnern aus der Wissenschaft (Montanuniversität Leoben und FH Münster, Deutschland) und acht aus der Wirtschaft (BT-Wolfgang Binder GmbH-REDWAVE, IFE Aufbereitungstechnik GmbH, Ingenieurgemeinschaft Innovative Umwelttechnik GmbH, Komptech GmbH, Lafarge Zementwerke GmbH, Mayer Recycling GmbH, M‑U‑T Maschinen-Umwelttechnik-Transportanlagen GmbH, Saubermacher Dienstleistungs AG). Das übergeordnete Innovationsziel ist es, die neuen Ansätze der „Industrie 4.0“ (z. B. digitale Vernetzung, Wechselwirkung zwischen Abfallqualität und Anlagenleistung, dynamische Prozesssteuerung und -optimierung etc.) erstmals zu untersuchen und umzusetzen. Diese innovative Entwicklung der Abfallbehandlung von nicht gefährlichen gemischten Abfällen wird die Branche in Richtung einer Kreislaufwirtschaft transformieren und hochwertige Recycling- und Verwertungsprozesse ermöglichen. Durch ReWaste4.0 wird die experimentelle datenbasierte Entwicklung von Abfallbehandlungsanlagen zur sogenannten „Smart Waste Factory“ unterstützt. Auf stofflicher Ebene liegt der Fokus auf der Behandlung von nicht gefährlichen gemischten Abfällen (d. h. gemischte Siedlungs- und gemischte Gewerbeabfälle sowie ausgewählte nicht gefährliche gemischte Fraktionen, die als „Output“ mechanischer Behandlungsverfahren deklariert werden, wie z. B. Ersatzbrennstoffe (EBS) die in der Zementindustrie eingesetzt werden). ReWaste4.0 besteht aus einem umfassenden strategischen Projekt und zwei wissenschaftlich-technischen Bereichen mit sechs untergeordneten spezifischen Projekten, die durch die zuvor erwähnten Ansätze der Industrie 4.0 miteinander verbunden sind, siehe Abb. 1 (Sarc 2017).
Abb. 1
Ganzheitlicher Ansatz von ReWaste4.0 – Die Wechselwirkungen des strategischen Projekts und beide Bereiche verbunden durch die Ansätze von Industrie 4.0 (Sarc 2017)
Bild vergrößern
Zum Zeitpunkt der Entwicklung des Projektantrags (im Jahr 2016) hatte die Europäische Kommission ein ehrgeiziges neues Paket (am 2. Dezember 2015) zur Kreislaufwirtschaft vorgelegt, welches Recyclingziele für Siedlungs- (65 % bis 2030) und Verpackungsabfälle (75 % bis 2030) enthält (EC 2015).
In der Zwischenzeit war die wichtigste Maßnahme in der europäischen Abfallwirtschaft die Anpassung des Pakets zur Kreislaufwirtschaft, das 2018 in Kraft trat (EC 2018). Der überarbeitete Rechtsrahmen für Abfälle trat im Juli 2018 in Kraft und setzt unter anderem klare Ziele für ausgewählte Abfälle:
  • 65 % Recycling von Siedlungsabfällen bis 2035;
  • 70 % Recycling von Verpackungsabfällen bis 2030.
Im Jahr 2019 wurde der Europäische Green Deal (EC 2019) veröffentlicht. Er ist ein Fahrplan für eine nachhaltige Wirtschaft in der EU. Klimawandel und Umweltschädigung sind eine existenzielle Bedrohung für Europa und die Welt. Um diese Herausforderungen zu bewältigen, braucht Europa eine neue Wachstumsstrategie, die die Union in eine moderne, ressourceneffiziente und wettbewerbsfähige Wirtschaft wandelt, in der
  • bis 2050 keine Nettoemissionen von Treibhausgasen entstehen,
  • das Wirtschaftswachstum von der Ressourcennutzung abgekoppelt wird,
  • kein Mensch und kein Ort vernachlässigt werden.

1.1 Siedlungs- und gewerbliche Abfallwirtschaft

Im Jahr 2016 fielen weltweit 2,01 Mrd. Tonnen feste Siedlungsabfälle aus Haushalten, Gewerbebetrieben und Institutionen an. Es wird erwartet, dass diese Zahl bis 2050 erheblich, auf 3,4 Mrd. Tonnen, ansteigen wird (Kaza et al. 2018).
In der EU28 wurden im Jahr 2018 etwa 252 Mio. Tonnen Siedlungsabfälle erzeugt, d. h. 491 kg/Kopf, von denen 47 % recycelt wurden (Eurostat 2021). Weißenbach et al. (2020) berichten, dass bis zum Jahr 2040 ein zusätzliches Recyclingpotenzial von rund 46,3 Mio. Tonnen Siedlungsabfällen vorhanden ist.
In Österreich gibt es auf Bundesebene keine spezifischen Rechtsvorschriften für gemischte Gewerbeabfälle. Der Begriff „Gewerbeabfall“ ist weder in der Bundes- noch in den Landesgesetzgebungen definiert. Im österreichischen Abfallkatalog (ÖNORM S 2100 2005), basierend auf der Abfallverzeichnisverordnung werden Gewerbeabfälle der Abfallgruppe 91 „Feste Siedlungsabfälle, einschließlich ähnlicher Gewerbeabfälle“ zugeordnet. Eine klare Definition von Gewerbemüll gibt es z. B. in Deutschland, welche in der Gewerbeabfallverordnung (BMU 2017) festgehalten ist. Dort ist Gewerbemüll ein nicht kommunaler Restmüll, der nicht getrennt gesammelt wird, wie z. B. Büroabfälle, Industrieabfälle etc. Typische Gewerbeabfälle zeichnen sich durch einen geringen Feuchtigkeitsgehalt, einen hohen Heizwert, einen geringen organischen Anteil und einen hohen Anteil an Wertstoffen aus (Weißenbach 2021; Weißenbach et al. 2019). Aufgrund seines energetisch nutzbaren Heizwerts, der höher ist als der von gemischtem Siedlungsabfall, wird er zur Herstellung von Ersatzbrennstoffen verwendet (Sarc Lorber 2013; Sarc et al. 2014, 2019a, 2020).
Die für diese Arbeit relevante Definition von gemischten Siedlungsabfällen findet sich in § 2, Nummer 4, Punkt 2 des österreichischen Abfallwirtschaftsgesetzes 2002 (BKA 2002). Unbehandelte gemischte Siedlungsabfälle sind dort „Abfälle aus privaten Haushalten und andere Abfälle, die auf Grund ihrer Beschaffenheit oder Zusammensetzung den Abfällen aus privaten Haushalten ähnlich sind; bei der Zuordnung ist das Europäische Abfallverzeichnis im Sinne des Art. 7 der Richtlinie 2008/98/EG über Abfälle, ABl. Nr. L 312 vom 22.11.2008 S 3 berichtigt durch ABl. Nr. L 127 vom 26.05.2009 S 24, zu berücksichtigen. Gemischte Siedlungsabfälle im Sinne des Europäischen Abfallverzeichnisses gelten auch dann weiterhin als gemischte Siedlungsabfälle, wenn sie einem Behandlungsverfahren unterzogen worden sind, das ihre Eigenschaften nicht wesentlich verändert hat.“ Im Gegensatz zu gemischten Gewerbeabfällen haben gemischte Siedlungsabfälle einen höheren Feuchtigkeitsgehalt, einen niedrigeren Heizwert, einen höheren Gehalt an organischen Stoffen und einen deutlich geringeren Anteil an verwertbaren Stoffen (Möllnitz et al. 2020a). Die Zusammensetzung von gemischten Siedlungsabfällen hängt von verschiedenen Faktoren ab, u. a. vom vorhandenen Abfallsammelsystem, der sozioökonomischen Struktur der Bevölkerung und/oder der Lage der Haushalte (städtisch oder ländlich).
Die Anteile der potenziell recycelbaren Materialien Kunststoff, Papier/Karton, Glas und Metall belaufen sich auf 41,1 %, was einer Gesamtmenge von 590.372 t im Jahr 2018 entspricht. Die Erfahrung zeigt jedoch, dass viele dieser Materialien aufgrund ihrer geringen Qualität (z. B. Verunreinigungen mit Staub, biologisch abbaubaren Stoffen oder Feuchtigkeit) tatsächlich nicht recycelt werden können (Weißenbach 2021). Gemäß dem Bundesabfallwirtschaftsplan (BMK 2020) werden gemischte Abfälle (Siedlungs- und Gewerbeabfälle) und gemischte Stoffströme aus Behandlungsanlagen für getrennte Fraktionen wie Papier/Pappe oder Kunststoffe in mechanischen und mechanisch-biologischen Behandlungsanlagen behandelt und dort EBS und andere Stoffströme erzeugt. Die zweite Option für die Behandlung von gemischten Abfällen ist die energetische Verwertung in Müllverbrennungsanlagen.
Wie bereits erwähnt, ist in gemischten Siedlungs- und Gewerbeabfällen sowie in Ersatzbrennstoffen noch eine große Menge an Kunststoffen enthalten, die ein wichtiges Potenzial für weitere Recyclingprozesse darstellen.

1.2 Kunststoffe und ihre Bedeutung in der EU

Die europäische Strategie für Kunststoffe (European Commission 2018) zielt darauf ab, die lineare (make-use-dispose) Kunststoffwirtschaft in ein stärker zirkuläres, ressourceneffizientes System umzuwandeln. Um dieses Ziel zu erreichen, wurden verschiedene Maßnahmen ergriffen: z. B. das Verbot bestimmter Einweg-Kunststoffprodukte, die Eindämmung leichter Plastiksackerl oder die Schaffung von Qualitätsstandards für Sekundärkunststoffe. Unter anderem wurden verbindliche Recyclingquoten für Kunststoffverpackungen (d. h. 50 % bis 2025 und 55 % bis 2030) eingeführt. Um diese ehrgeizigen Recyclingziele zu erreichen, reicht das Recycling von getrennt gesammelten Kunststoffverpackungen nicht aus. Kunststoffe müssen auch aus anderen Abfallströmen zurückgewonnen werden. Aufgrund des großen Abfallvolumens und des hohen Anteils an ungenutzten Kunststoffen wären gemischte Siedlungs- und Gewerbeabfälle hierfür geeignet (Möllnitz et al. 2020a).

1.3 Digitalisierung in der Abfallwirtschaft

Um ein gemeinsames Verständnis der verwendeten Definitionen zu erhalten, wurde nach Tschandl et al. erklärt (2019): „Digitalisierung“ beschreibt allgemein die Integration digitaler Technologien in das tägliche Leben. Diese Integration wird „Industrie 4.0“ genannt, weil sie die vierte industrielle Revolution verkörpert. Der englische Begriff ist „Internet of Things“ (IoT) und wird in zwei Teile geteilt: „Industrial Internet of Things“ und „Consumer Internet of Things“.
Anschließend zeigen Tschandl et al. (2019), dass sich noch keine einheitliche Definition für den Begriff „Industrie 4.0“ durchgesetzt hat. Aus den unterschiedlichen Definitionen lässt sich jedoch die folgende allgemeine Definition ableiten: „Industrie 4.0 beschreibt die flächendeckende Einführung von Informations- und Kommunikationstechnologie (IKT) sowie deren Verbindung zu einem Internet der Dinge, Dienste und Daten mit dem Ziel der Echtzeitsteuerung von Produktions- und Wertschöpfungsnetzwerken.“
Weiter fasst Tschandl et al. (2019) den Begriff „Smart Factory“ wie folgt zusammen:
Einzelne Unternehmen oder Konzerne nutzen die IKT für Produktentwicklung, Produktion, Logistik und Schnittstellenkoordination mit Kunden, um flexibler auf eingehende Anfragen reagieren zu können. Eine smart factory beherrscht die Komplexität, ist weniger störanfällig und ermöglicht eine effizientere Produktion. Die Kommunikation zwischen Menschen, Maschinen und Ressourcen ist selbstverständlich und vergleichbar mit einem sozialen Netzwerk.
Curtis und Sarc (2018) sowie Sarc et al. (2019b) haben den Begriff „Smart Waste Factory Network“ (SWFN) eingeführt, der Teil des ReWaste4.0-Projekts ist und wie folgt definiert wird:
Das SWFN4.0 beschreibt ein System, das aus mehreren Abfallbehandlungsanlagen (z. B. Sortieranlagen, Produktionsanlagen für feste Ersatzbrennstoffe usw.) besteht, die unterschiedliche Aufgaben in der Abfallwirtschaft wahrnehmen und über Datenströme und Logistiksysteme miteinander verbunden sind. Die einzelnen Prozesse und Maschinen innerhalb der Anlagen sowie die einzelnen Anlagen sind digital miteinander verbunden. Diese Vernetzung der einzelnen Maschinen und Anlagen und die Echtzeitanalyse der Abfallströme ermöglichen eine dynamische Prozesssteuerung und verschiedene Aktorsysteme greifen aktiv in die Prozesse ein. Darüber hinaus kann der Mensch interaktiv mit der ihn umgebenden Technik zusammenarbeiten.
Um den Stand der Digitalisierung in der Abfallwirtschaft zu definieren, sammelten Sarc et al. (2019b) relevante Beiträge in der Literatur über Datenbanken mit den folgenden relevanten Suchbegriffen (Keywords): „digitalisation“, „robotics“, „smart waste“, „smart factory“, „industry 4.0“, „internet of things“, „waste management“ und „circular economy“. Diese Suchbegriffe wurden einzeln und in allen möglichen Kombinationen für die Suche verwendet. Für die Auswertung der Ergebnisse dieses wissenschaftlichen Beitrags konnten relevante Publikationen über den Zeitraum von 2001 bis 2019 gefunden werden, wobei der Großteil aus den letzten drei Jahren (2017 bis 2019) stammt, siehe Abb. 2. Darüber hinaus wurden ausführliche Recherchen zu bestehenden Technologien im Umweltbereich durchgeführt, wobei der Schwerpunkt auf der Abfallwirtschaft lag (Sarc et al. 2019b).
Abb. 2
Anzahl der rezensierten Literaturquellen nach Art, zugeordnet zu peer-reviewten oder nicht peer-reviewten Arbeiten in den Jahren 2001 bis 2019 (Sarc et al. 2019b)
Bild vergrößern
Insgesamt konnten 115 Literaturquellen herangezogen werden. Dabei ist zu beachten, dass nur Quellen mit abfallwirtschaftlich relevantem Inhalt in den Grafiken berücksichtigt wurden, so dass sich insgesamt 85 relevante Literaturquellen ergeben haben. Darüber hinaus wurden für die Erstellung des Beitrags gesetzliche Regelungen herangezogen, die in den dargestellten Abbildungen nicht berücksichtigt sind. Die Ergebnisse zeigen, dass die Themen Digitalisierung und intelligente Robotik in der Abfallwirtschaft bisher noch nicht intensiv in Fachartikeln diskutiert wurden und die meisten Informationen von Technologie- und Plattformherstellern stammen (Webseiten, Broschüren u. a.) (Sarc et al. 2019b).
Um digitale Prozesse in Abfallbehandlungsanlagen zu simulieren oder durchzuführen, werden schließlich große Mengen an qualitativ hochwertigen Online/Ontime-Daten als Grundlage benötigt. Diese Daten wurden im Rahmen von ReWaste4.0 auf der Grundlage von praktischen, experimentellen sowie großtechnischen Versuchen in Abfallbehandlungsanlagen gewonnen.
Wie beschrieben, konzentriert sich ReWaste4.0 hauptsächlich auf die Behandlung von gemischten Abfällen unter Anwendung von Industrie 4.0-Ansätzen und der Schwerpunkt des vorliegenden Übersichtsartikels liegt auf drei Kategorien von untersuchten Themen:
1.
Schadstoffe in gemischten Abfällen und technische Möglichkeiten zu ihrer Reduzierung und Entfernung;
 
2.
Sekundärrohstoffe und Energieträger in gemischten Abfällen;
 
3.
Digitalisierung der Abfallcharakterisierung und der Behandlungsprozesse für gemischte Abfälle.
 
Ziel des vorliegenden Übersichtsartikels ist es, die wichtigsten Themen und Ergebnisse des K‑Projekts zusammenzufassen, zu verknüpfen und zu diskutieren sowie die wichtigsten Erkenntnisse und ihre Relevanz und Bedeutung für die weitere Entwicklung des Abfallbehandlungssektors zu erörtern. Der Beitrag basiert hauptsächlich auf den von Experten begutachteten Papern, die im Rahmen des Projekts veröffentlicht wurden.

2 Methodische Vorgehensweise

Es wurde eine Literaturrecherche durchgeführt, die hauptsächlich auf den begutachteten Publikationen und ausgewählten Konferenzbeiträgen basiert, die im Rahmen des Projekts ReWaste4.0 (Zeitraum: 2017–2021) veröffentlicht wurden, um sich auf ausgewählte wichtige Ergebnisse und Erkenntnisse aus vier Jahren kooperativer Forschung und Entwicklung zu konzentrieren und diese zu diskutieren. Darüber hinaus wurden auch einige Konferenzbeiträge und Peer-Review-Paper berücksichtigt, die nicht aus dem Projekt ReWaste4.0 stammen, aber relevante Informationen und Auswirkungen auf die Themen von ReWaste4.0 haben.

3 Ergebnisse und Diskussion

Wie bereits dargestellt, stehen gemischte Abfälle (gemischte Siedlungsabfälle und gemischte Gewerbeabfälle) im Forschungsmittelpunkt des ReWaste4.0-Projekts. Das Wissen über die Eigenschaften solcher Abfälle, die als Input für mechanische Abfallbehandlungsanlagen dienen, ist wichtig, um die Anzahl und Verarbeitungstiefe der erforderlichen Behandlungsschritte zu definieren, sowie die erreichbare Qualität der Outputfraktionen zu beurteilen. Um den Input und Output der Anlage zu charakterisieren und wichtige Parameter, wie z. B. Schwermetallgehalte, stoffliche Zusammensetzung oder den Massenanteil an Wertstoffen, zu bestimmen, ist nach dem Stand der Technik eine Probenahme nach wie vor unumgänglich. Das Hauptkriterium, das ein Probenahmeverfahren erfüllen muss, ist die Repräsentativität. Mit zunehmender Heterogenität des Materials und zunehmender Korngröße (Achtung: bei gemischten Abfällen sind diese sehr groß) werden ausgearbeitete Probenahmeverfahren benötigt. Die Probenahmeverfahren müssen daher den Grundsätzen der Theorie der Probenahme folgen, die ein integraler Bestandteil vieler international anerkannter Normen für die Probenahme von Abfällen ist (z. B. EN15442:2011) (ASI 2011; Viczek 2021). Khodier et al. (2019) und Viczek et al. (2021a) haben die relative Probenahmevariabilität für Materialklassen und chemische Elemente in verschiedenen Korngrößenklassen von grob zerkleinertem gemischtem Gewerbeabfall mit einem Replikationsversuch bestimmt.

3.1 Schadstoffe in gemischten Abfällen und technische Möglichkeiten zu ihrer Reduktion und Entfernung

Schadstoffe spielen bei allen Abfallbehandlungsmöglichkeiten eine wichtige Rolle, unabhängig von der Art des Behandlungsverfahrens als Verwertungs- oder Beseitigungsverfahren gemäß EU (European Union 2008). Für die österreichische Ersatzbrennstoff(EBS)-Industrie sind vor allem As, Cd, Co, Cr, Hg, Ni, Pb, Sb und Cl aufgrund von gesetzlichen Grenzwerten (BMLFUW 2002) oder technischen Anforderungen (Lorber et al. 2012) relevant. Viczek et al. (2020a) haben die Materialfraktionen oder Produkte identifiziert, die in gemischten Siedlungs- und Gewerbabfällen landen und signifikante Mengen der oben genannten neun Elemente, d. h. Schadstoffträger enthalten,. Ihre Übersicht zeigt, dass die Schadstoffträger in Siedlungsabfällen und Hausmüll sehr vielfältig sind. Für die österreichische Situation relevante Schadstoffträger sind PVC (Cl, Cd, Sb, Pb), flammhemmende Kunststoffe oder Textilien (Sb), Gummi (Sb, Cl), Glas (As, Co, Pb, Ni), Leder (Sb, Cr), bestimmte Hölzer (As, Pb, Hg, Ni), elektronische Geräte und Batterien (As, Cd, Cl, Cr, Co, Pb, Hg, Ni), Schuhe (Cd, Cl, Cr, Pb) oder Metalle (Cr, Co, Pb, Ni). Da viele dieser Elemente (Cd, Sb, Cr, Co, Pb) als Pigmente für Keramiken oder Kunststoffe verwendet werden, können auch diese Produkte Schadstoffträger sein. Darüber hinaus wurde in der Literaturübersicht von (Viczek et al. 2020a) häufig die Feinfraktion mit unterschiedlichen Korngrößen als relevanter Schadstoffträger für verschiedene Elemente, z. B. Pb, Hg oder Ni, identifiziert. Dies deutet darauf hin, dass die relevanten Schadstoffe nicht nur in bestimmten Stoffen, sondern auch in bestimmten Korngrößenklassen angereichert sind, weshalb die Verteilung verschiedener chemischer Elemente auf unterschiedliche Korngrößenfraktionen von gemischten Gewerbeabfall untersucht wurden (Viczek et al. 2021b).
Viczek et al. (2021b) gliedern verschiedene Elemente aufgrund ihrer korngrößenabhängigen Verteilung in drei Gruppen:
  • A: Negative lineare Korrelation – höhere Konzentrationen in kleineren Korngrößenklassen,
  • B: Keine lineare Korrelation – niedrige Konzentrationen in den kleinsten und größten Korngrößenklassen,
  • C: positive lineare Korrelation – höhere Konzentrationen in den mittleren und großen Korngrößenklassen.
Während As, Cr, Co, Pb, Hg und Ni zur Gruppe A gehören, ist Cd der Gruppe B zuzuordnen und Cl, Sb sowie der Heizwert Gruppe C. Die Muster für Hg und Heizwert sind in den Abb. 3 und 4 dargestellt. Ähnliche Ergebnisse wurden auch von Curtis et al. (2019) berichtet, die vier Korngrößenklassen verschiedener Proben von gemischen Gewerbeabfall untersuchten und die Konzentrationen in diesen Korngrößenklassen mit den Grenzwerten der österreichischen Abfallverbrennungsverordnung 2002 (BMLFUW 2002) verglichen.
Abb. 3
Hg-Konzentrationen in verschiedenen Korngrößenklassen von gemischten Gewerbeabfällen und Beitrag jeder Korngrößenfraktion zur gesamten Hg-Belastung (Viczek et al. 2021b)
Bild vergrößern
Abb. 4
Unterer Heizwert verschiedener Korngrößenklassen von gemischtem Gewerbeabfall und Beitrag jeder Korngrößenfraktion zum gesamten Heizwert (Viczek et al. 2021b)
Bild vergrößern
Wie bereits erwähnt, haben die experimentellen Untersuchungen von Viczek et al. (2021c) gezeigt, dass eine Kombination aus Siebung und NIR-Sortierung den Sb‑, Cl- und Cd-Gehalt im verbleibenden Abfallstrom verringern kann. Insbesondere die Entfernung der PVC-Fraktion in Kombination mit der Entfernung der Feinfraktion, z. B. < 20 mm, kann gute Ergebnisse in Bezug auf die Analyten liefern. Die Entfernung von PET hatte im Vergleich dazu eher geringe Auswirkungen auf die Schadstoffkonzentrationen im verbleibenden Abfallstrom. Die Entfernung von PET und PVC, nicht aber die Entfernung der Feinfraktion, kann dagegen zu einem Anstieg der Konzentrationen einiger Schadstoffe führen. Eine weitere Fraktion, die große Mengen an Cl, Sb und Co enthielt, waren schwarze und graue Materialien, die jedoch mit herkömmlichen NIR-Sortern, die im Bereich von 900 bis 1700 nm arbeiten, nicht identifiziert oder nachgewiesen werden können. Es gibt jedoch andere Technologien, mit denen diese Stoffe möglicherweise entfernt werden können. Diese Stoffe erfordern in Zukunft mehr Aufmerksamkeit in der Forschung (Viczek et al. 2021c).
Zusammenfassend lässt sich sagen, dass Verunreinigungen häufig in einer breiten Palette von Produkten vorkommen und die Abfallwirtschaft daher täglich damit konfrontiert wird. Aus diesem Grund müssen bestehende, entstehende und zukünftige Recyclingkonzepte, z. B. chemisches Recycling, hohe Recyclingraten ermöglichen und gleichzeitig ein qualitätsorientiertes Recycling bieten.

3.2 Sekundäre Rohstoffe und Energieträger in gemischten Abfällen

Der Fokus in diesem Abschnitt liegt auf Kunststoffen und Ersatzbrennstoffen (EBS) sowie deren Mitverbrennung, vor allem bei der Klinkerherstellung in der Zementindustrie.

3.2.1 Kunststoffe

Der Gehalt an Kunststoffen in gemischten Siedlungs- und Gewerbeabfällen liegt nach Weißenbach et al. (2019) und Möllnitz et al. (2020a) bei ca. 15 % für gemischte Siedlungsabfälle und zwischen 15 % und 23 % für gemischte Gewerbeabfälle. Beide Abfallarten werden in Splittinganlagen oder mechanisch-biologischen Anlagen u. a. zur Herstellung von EBS oder in thermischen Anlagen (mit und ohne energetische Verwertung) behandelt (Anmerkung: In ausgewählten EU-Ländern einschließlich Österreich ist die direkte Deponierung von unbehandelten gemischten Siedlungs- und Gewerbeabfällen gesetzlich verboten). Für eine weitere, effizientere Verwertung der in diesen Abfällen enthaltenen Kunststoffen ist es notwendig zu wissen und zu verstehen, in welcher geometrischen Dimension (zweidimensional/dreidimensional) und in welchem Korngrößengrößenbereich sie nach der Vorzerkleinerung – die üblicherweise der erste Verarbeitungsschritt in der mechanischen Aufbereitung ist und auf die Zerkleinerung und Freisetzung der Abfallpartikel abzielt – vorliegen (Khodier et al. 2020).
Die Untersuchungen zur Gesamtzusammensetzung des Kunststoffgehalts in gemischten Siedlungs- und Gewerbeabfällen nach einer Vorzerkleinerung und Siebung der Feinfraktion haben gezeigt, dass ein Siebschnitt von 20 mm etwa ein Drittel (Siedlungsabfall: 33 %; Gewerbeabfall: 37 %) des Gesamtmaterials nach der Vorzerkleinerung entfernt. Diese Feinfraktion hat einen hohen Gehalt an Inertstoffen, Verunreinigungen und organischen Stoffen (Möllnitz et al. 2020a; Viczek et al. 2020a) und ist daher für die Kunststoffverwertung ungeeignet.
Die in Abb. 5 dargestellten Ergebnisse zeigen, dass gemischte Gewerbeabfälle einen doppelt so hohen Kunststoff-3D-Gehalt aufweisen wie gemischte Siedlungsabfälle. Der Kunststoff-2D-Gehalt (z. B. Folien) ist dagegen in beiden gemischten Abfallarten ähnlich. Für beide Abfälle ist auch eine Abhängigkeit der Dimensionalität der Kunststoffpartikel von der Korngröße zu erkennen: Der Anteil der 3D-Partikel ist in kleinen Korngrößenklassen höher, während in großen Größenklassen mehr 2D-Kunststoffe zu finden sind. Diese Information ist relevant, um den Abfallstrom gezielt und effizient zu behandeln und die gewünschte Fraktion im richtigen Prozessschritt abtrennen zu können. Auch für die Weiterverarbeitung ist die Partikelform von großer Bedeutung für den Trenn- und Sortiererfolg und die damit verbundene Reinheit der Zielfraktion (z. B. Flugverhalten von Folien in der NIR-Sortierung) (Möllnitz et al. 2020a).
Abb. 5
Gehalt an Kunststoff-2D und Kunststoff-3D in gemischtem Gewerbeabfall (a) und gemischtem Siedlungsabfall (b) in verschiedenen Korngrößen (Möllnitz et al. 2020a)
Bild vergrößern
Abb. 6 zeigt die Ergebnisse der sensorgestützten NIR-Sortierung jeder einzelnen Korngrößenklasse in ihre Kunststoffarten am Beispiel von gemischten Gewerbeabfällen (Möllnitz et al. 2020a). Die Ergebnisse zeigen, dass bestimmte Kunststofftypen in bestimmten Korngrößenklassen häufiger vorkommen als in anderen und dass dies auch dimensionsabhängig ist. Diese Informationen sind wichtig, um die Reinheit der extrahierten Kunststoffe weiter zu erhöhen, indem diejenigen Materialströme, die hohe Konzentrationen an bestimmten Kunststoffarten aufweisen, effizient geleitet werden.
Abb. 6
Korngrößengrößenverteilung in den untersuchten Materialtypen für Kunststoffe-2D (a) und Kunststoffe-3D (b) normiert auf 100 % für gemischten Gewerbeabfall (Möllnitz et al. 2020a)
Bild vergrößern
Diese Ergebnisse zeigen deutlich, dass in den beiden untersuchten gemischten Abfallarten ein hohes, noch ungenutztes Potenzial an Kunststoffen vorhanden ist. Für die effiziente Verwertung bestimmter Kunststoffarten ist eine frühzeitige Absiebung der Feinfraktion nach der Vorzerkleinerung sinnvoll, um Verunreinigungen und Störstoffe zu entfernen (siehe auch Möllnitz et al. 2020b).
Zusammenfassend zeigen alle Ergebnisse dieses Kapitels, dass die Rückgewinnung, Behandlung und Aufbereitung von Kunststoffen aus nicht gefährlichen, gemischten, festen Abfällen für ein mechanisches oder chemisches Recycling möglich sind. Durch die Überführung dieser Kunststoffe aus der thermischen Behandlung in die stoffliche Verwertung wird ein wichtiger Beitrag zur Erreichung der Recyclingziele, zur Ressourcenschonung und zur Reduzierung von Treibhausgasen geleistet.

3.2.2 Ersatzbrennstoffe (EBS)

EBS wurde vom CEN/TC 343 in der Norm EN 15359:2011 (CEN 2010) als Brennstoff (rechtlich „Abfall“) definiert, der die folgenden vier Kriterien erfüllt:
1.
Er ist ein fester Brennstoff;
 
2.
Er wird ausschließlich aus nicht gefährlichen Abfällen hergestellt;
 
3.
Er ist für die Energierückgewinnung in Verbrennungs- oder Mitverbrennungsanlagen zu verwenden;
 
4.
Er muss bestimmte Qualitätskriterien erfüllen (d. h. Heizwert (ausgedrückt als Mittelwert), Chlorgehalt (ausgedrückt als Mittelwert) und Quecksilbergehalt (ausgedrückt als Median- und 80er-Perzentil)) und in Abhängigkeit von den gemessenen Werten für jeden der genannten Parameter einer von insgesamt fünf Klassen zugeordnet werden.
 
In Österreich werden Ersatzbrennstoffe definiert als „… Abfälle, die vollständig oder in relevantem Ausmaß zur Energieerzeugung genutzt werden und die die festgelegten Qualitätskriterien erfüllen …“. (BMLFUW 2002, 2008). Die Qualitätskriterien sind Grenzwerte für Antimon, Arsen, Blei, Kadmium, Chrom, Kobalt, Nickel und Quecksilber und werden als Menge pro Energiegehalt ausgedrückt (d. h. Schadstoffgehalt pro Heizwert bezogen auf die Trockensubstanz-mg/MJTS) (BMLFUW 2002).
Sarc et al. (2019a) berichten über zwei Haupttypen von EBS für die Zementindustrie, nämlich EBS PREMIUM-Qualität und EBS MEDIUM-Qualität, und Viczek et al. (2020b) geben zusätzlich die folgende Definition dieser beiden Typen:
  • EBS für die Sekundärfeuerung (EBS „sekundär“): Sekundärbrennstoffe mit einem Heizwert zwischen 12 und 18 MJ/kgOS (entsprechend der Klasse NCV 3 oder 4 in EN 15359), die für den Einsatz in der Sekundärfeuerung (Kalzinator, Ofeneinlauf, Brennkammer mit hot-disc usw.) im Ofensystem von Zementwerken geeignet sind. Die Korngrößen können bis zu 80 mm betragen, wenn sie in einem Kalzinator oder am Ofeneinlauf verwendet werden, und bis zu 300 mm für eine Brennkammer mit hot-disc.
  • EBS für die Primärfeuerung (EBS „primär“): EBS mit einem Heizwert zwischen 18 und 25 MJ/kgOS (entsprechend der Klasse NCV 1, 2 oder 3 in EN 15359) und Korngrößen unter 30 (35) mm, die für die Verwendung als Hauptbrennstoff im Drehrohrofen von Zementherstellungsanlagen geeignet sind.

3.2.3 Co-Processing von EBS-Aschen, Bestandteile von EBS als wertvoller Sekundärrohstoff

Die Hauptrohstoffe, die für die Herstellung von Zementklinker benötigt werden, sind CaO, SiO2, Al2O3 und Fe2O3. Eine typische Zusammensetzung von Rohmehl für die Herstellung von Portlandzementklinker ist: 77,36 Gew.-% CaCO3, 13,73 Gew.-% SiO2, 2,93 Gew.-% Al2O3, 1,84 Gew.-% Fe2O3, 1,83 Gew.-% MgO, 1,08 Gew.-% SO3, 0,85 Gew.-% K2O, 0,14 Gew.-% Na2O, 0,02 Gew.-% P2O5, 0,15 Gew.-% TiO2, 0,06 Gew.-% Cl und 0,01 Gew.-% ZnO (Hökfors et al. 2015). Ein Teil der benötigten Rohstoffe kann auch durch EBS-Asche bereitgestellt werden, die bei der Mitverarbeitung von EBS in der Zementindustrie in den Klinker eingearbeitet und damit recycelt wird.
Um den stofflich verwertbaren Anteil (R-Index) von EBS zu bestimmen, haben Aldrian et al. (2020) eine analytische Methode zur Bestimmung der Aschezusammensetzung entwickelt und validiert und eine Formel zur Berechnung dieses R‑Index vorgeschlagen. Die durchschnittliche Aschezusammensetzung (arithmetisches Mittel) von primären- und sekundären EBS ist in Abb. 7 dargestellt. Unterschiedliche R‑Indizes werden erreicht, wenn verschiedene Elementoxide berücksichtigt werden (Viczek et al. 2020b): Werden z. B. nur Al2O3, CaO, SiO2 und Fe2O3 berücksichtigt, werden R‑Indizes von 13,9 % (EBS sekundär) bzw. 13,3 % (EBS primär) erreicht. Wenn zusätzlich MgO, TiO2, K2O, Na2O und SO3 berücksichtigt werden, steigen die R‑Indizes auf 16,2 % für EBS sekundär oder 15,9 % für EBS primär. Wird der gesamte Ascheanteil als recycelt betrachtet, beträgt der R‑Index 17,7 % (EBS sekundär) und 17,6 % (EBS primär).
Abb. 7
Durchschnittliche Aschezusammensetzung (arithmetisches Mittel) von primären (a) und sekundären (b) Ersatzbrennstoffen in Massenprozent Trockenmasse (Viczek et al. 2020b)
Bild vergrößern
Das durchschnittliche SiO2: CaO: Fe2O3 + Al2O3-Verhältnis, das von Viczek et al. (2020b) beschrieben wird, ist in Abb. 8 dargestellt. Im Durchschnitt ist der Anteil von SiO2 in sekundären EBS etwas höher als in primären EBS. Im Allgemeinen ist das Verhältnis dieser Elementoxide in der EBS-Asche ähnlich wie in Braunkohle, EBS-Primär hat sogar ein ähnliches Verhältnis wie Klärschlamm. Ein hoher CaO-Anteil vieler Proben verschiebt das Verhältnis in Richtung zum gewünschten Verhältnis im Klinker.
Abb. 8
Ternärdiagramm, welches die Zusammensetzung der Asche von 80 untersuchten EBS-Proben und ihre durchschnittliche Zusammensetzung im Vergleich zu anderen relevanten Roh- und Brennstoffen zeigt (Viczek et al. 2020b)
Bild vergrößern
Folglich kommt es bei der Verwertung von Ersatzbrennstoffen in der Klinkerproduktion nicht nur zu einer thermischen, sondern auch zu einer stofflichen Verwertung, da auch Mineralien aus der Ersatzbrennstoff-Asche in den Zementklinker eingebracht werden. Dies bedeutet, dass das lokal oder regional organisierte Recycling und die thermische Verwertung von EBS in der Zementindustrie, allgemein als EBS-Mitverwertung bezeichnet, einen bedeutenden Beitrag zum Abfallmanagement für die weltweit produzierende Zementindustrie darstellt.

3.3 Digitalisierung der Abfallcharakterisierung und der Behandlungsprozesse für gemischte Abfälle

Sarc et al. (2019b) berichten, dass die Digitalisierung in der Abfallwirtschaft im Vergleich zu anderen Industriezweigen noch in den Kinderschuhen steckt. Dennoch sind „Digitalisierung“ und „Industrie 4.0“-Ansätze in der Abfallwirtschaft von hohem Interesse und eine 2017 durchgeführte Umfrage zeigt, dass 63 % der Unternehmen die Digitalisierung als Chance für eine Weiterentwicklung sehen (Sarc Hermann 2018).
Im Folgenden werden ausgewählte Ergebnisse auf verschiedenen Ebenen der Digitalisierung dargestellt:
  • Digitalisierung als modernes Werkzeug zur innovativen datenbasierten Entwicklung von Smart Processes;
  • Online-Ontime-Partikelcharakterisierung und Qualitätssicherung;
  • Experimentelle Überwachung von Abfallströmen und Maschinenleistung in Abfallbehandlungsanlagen.

3.3.1 Digitalisierung als modernes Werkzeug zur innovativen datenbasierten Entwicklung von Smart Processes

Eine intelligente Echtzeit-Prozesssteuerung für Abfallverwertungsanlagen – aber auch allgemein – erfordert nach Khodier (2021) drei grundlegende Elemente (siehe Abb. 9): „Messtechnik, die den Zustand und die Leistung des Prozesses misst, Algorithmen, die aus den Messungen optimale Faktoreinstellungen berechnen, und Aktoren, wie z.B. die Spaltweite eines Zerkleinerers, die als veränderbare Faktoren zur Beeinflussung des Prozesses dienen“. Aufgrund der Vielfalt und Komplexität des Abfalls ist die Frage der Online-Messung von Materialqualitäten ein hochrelevantes Thema in der aktuellen Forschung.
Abb. 9
Trinität der Echtzeit-Prozesssteuerung (Khodier 2021)
Bild vergrößern
Bei der mechanischen Aufbereitung gemischter fester Abfälle kommen verschiedene Aufbereitungsmaschinen zum Einsatz, z. B. Zerkleinerer, Siebe und Magnetabscheider. Das Verständnis des Einflusses ihrer Parameter (wie z. B. der Spaltweite eines Grobzerkleinerers) auf den Prozess ist für den optimierten Betrieb der Aufbereitungsanlagen von entscheidender Bedeutung – sowohl im Hinblick auf die Prozesseigenschaften wie z. B. den Durchsatz, als auch auf die Qualität des erzeugten Materials.
Dennoch werden Abfallaufbereitungsmaschinen oft mit festen Parametereinstellungen getestet und betrieben, welche nach Erfahrung und Intuition gewählt werden, ohne dass ein physikalischer oder statistischer Nachweis der Optimalität vorliegt, wie Khodier (2021) für die Grobzerkleinerung aufzeigt. Ein Hauptgrund für diesen unbefriedigenden Status quo ist die Komplexität, welche mit der Untersuchung von gemischten festen Abfällen einhergeht.
Die Arbeit von Khodier et al. (2020) gibt eine allgemeine Einführung in die Methode, zur Untersuchung von nicht gefährlichen gemischten festen Abfällen, wobei auch die Wahl des Versuchsplans und das Versuchsplanmodell ausführlich erörtert wird. Diese Veröffentlichung ist daher eine wichtige Referenz für die Einbeziehung der empirischen Modellierung in mechanische Abfalluntersuchungen.
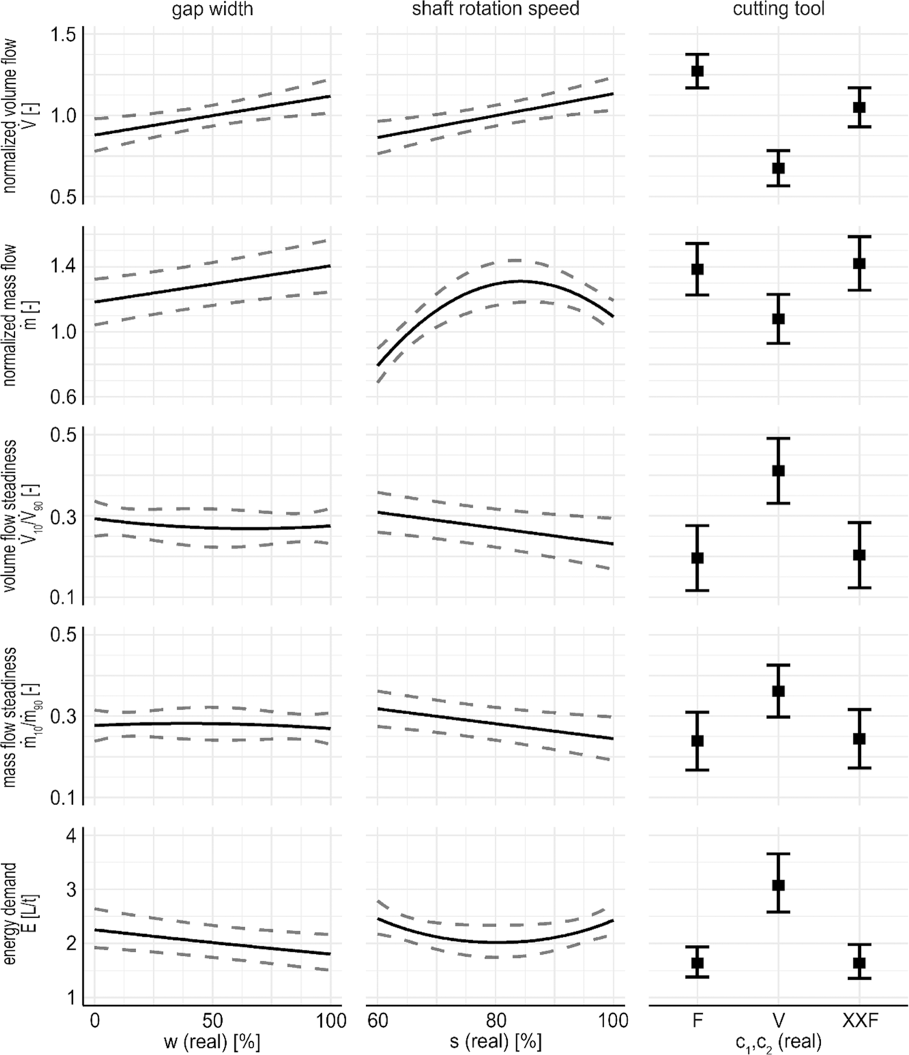
Neben dem Nachweis des Potenzials der gewählten Methoden liefert die Arbeit auch quantitative Aussagen zu den Einflüssen bestimmter Faktoren (Spaltweite, Wellendrehzahl, Schneidewerkzeuggeometrie) auf den Durchsatz (in Masse und Volumen), die Durchsatzstetigkeit (als Quotient aus 10er- und 90er-Perzentil des Massen- und Volumenstroms) und den spezifischen Energiebedarf. Die Ergebnisse für jeden Faktor – unter durchschnittlichen Einstellungen der entsprechenden anderen beiden Faktoren – sind in Abb. 10 dargestellt.
Abb. 10
Effektdiagramme mit Konfidenzbereichen für den Einfluss von Spaltweite, Wellendrehzahl und Schneidwerkzeuggeometrie auf Durchsatz, Durchsatzstabilität und spezifischen Energiebedarf bei mittleren Einstellungen der jeweils anderen Faktoren (Khodier et al. 2020)
Bild vergrößern
Schließlich kommen Khodier et al. (2020) zu dem Schluss, dass die Schneidwerkzeuggeometrie der Faktor mit dem größten Einfluss ist und nicht durch die leicht veränderbaren Einstellungen von Spaltweite und Wellendrehzahl kompensiert werden kann.

3.3.2 Online-Ontime-Partikelcharakterisierung und Qualitätssicherung

Kandlbauer et al. (2021) befassen sich mit der Online-Messung der Korngrößenverteilung von zerkleinertem gemischtem Gewerbeabfall, bestimmt durch ein Trommelsieb. In ihrem Ansatz werden die Korngrößen durch ein PLSR-Modell (Partial Least Square Regression) bestimmt, das auf geometrischen Beschreibungen der Partikelformen basiert, die aus zweidimensionalen RGB-Bildern (Rot-Grün-Blau) einzelner Partikel abgeleitet wurden. Solche zweidimensionalen Bilder können in realen Verarbeitungsanlagen durch den Zugriff auf RGB-Sensoren auf dem Beschleunigungsband von sensorgestützten Sortieranlagen gewonnen werden. Potenzielle geometrische Deskriptoren wurden in einer Literaturrecherche gesammelt: Dazu gehören beispielsweise die kleinsten geschlossenen Polygone (z. B. Dreiecke, Kreise, Rechtecke) und Feret-Durchmesser. Eine PLSR verwendet diese in einem kombinierten Modell, das die Anzahl der empirischen Modellkonstanten gering hält. Kandlbauer et al. (2021) stellen abschließend fest, dass – obwohl es noch offene Fragen, z. B. bezüglich der Bildqualität gibt – bei der individuellen Betrachtung verschiedener Materialfraktionen die Leistung der Modelle sehr vielversprechend ist. Sie motivieren aber auch zu weiterführender Forschung, um die Genauigkeit der Messungen einzelner Partikel zu erhöhen, damit eine gute verteilungsunabhängige Performance der Methode gewährleistet werden kann – z. B. durch Auswertung der Performance mittels maschinellen Lernens.
Wie bereits beschrieben, sind zeitnahe und qualitativ hochwertige Daten wichtig für die Entwicklung von digitalisierten Lösungen in der Abfallwirtschaft bis hin zu einer Anlage der Zukunft. Zur Messung von Abfalldaten werden verschiedene Sensoren eingesetzt. Daher wurde mit ReWaste4.0 eine neue Ebene der Abfallstoffcharakterisierung für gemischte Abfälle eingeführt, nämlich die Charakterisierung auf Partikelebene. Das Ziel ist es, diesen Ansatz online (d. h. in Echtzeit) und zeitnah (d. h. direkt vor und nach jedem Verarbeitungsschritt) anzuwenden. Somit kann einerseits eine Überwachung der Abfallbehandlungsprozesse erfolgen und andererseits ein Qualitätssicherungskonzept für Abfallstoffe durchgeführt werden. Dieser Ansatz würde Daten für eine „intelligente Kommunikation“ zwischen Materialqualität und Maschinen- sowie Anlagenleistung liefern, wie sie von Re-Waste4.0 (Sarc 2017) angestrebt wurde.
Wie von Weißenbach und Sarc (2021a, b) beschrieben, wurde die Untersuchung auf der Ebene einzelner Partikel durchgeführt und insgesamt acht Fraktionen charakterisiert, nämlich: Papier/Karton, Holz und Getränkeverbundstoffe sowie die Kunststofffraktionen PE, PP, PS, PET und Polyvinylchlorid (PVC). Ausgewählte Parameter sind die projizierte Partikelfläche und die Partikelmasse. Insgesamt wurden 15.542 Partikel aus feinem EBS (< 30 mm) untersucht. Anschließend wurden einzelne Partikel aus EBS mit einer Korngröße von 30 bis 80 mm (1078 Partikel) sowie eine vorbehandelte Gewerbeabfall-Fraktion mit einer Korngröße von 80 bis 500 mm (1268 Partikel) untersucht (Weißenbach Sarc 2021b). Alle Daten wurden statistisch ausgewertet und führen zusammenfassend zu den folgenden Ergebnissen. Wie gezeigt, ist der projizierte Flächeninhalt für vorbehandelten Gewerbeabfall 10-mal größer als der Wert für EBS sekundär und dieser wiederum 3‑ bis 4‑mal größer als der Wert für EBS primär. Für die Masse haben die Werte Faktoren von 13 bis 14 (vorbehandelte Gewerbeabfälle vs. EBS sekundär) und von etwa 6 (EBS sekundär vs. EBS primär) ergeben (Weißenbach 2021; Weißenbach Sarc 2021a, b).

3.3.3 Experimentelle Überwachung von Abfallströmen und Maschinenleistung in Abfallbehandlungsanlagen

Curtis et al. (2021) und Curtis und Sarc (2021) haben Durchsatzschwankungen in einer semi-großen „Technikumslinie4.0“ (technische Produktionslinie 4.0) und in großtechnischen Experimenten eingehend untersucht und anhand der Ergebnisse eine Unterscheidung getroffen in:
  • Kurzfristige Schwankungen (ausgedrückt als Durchsatzänderung in Intervallen < 15 s);
  • Mittelfristige Schwankungen (ausgedrückt als Durchsatzänderung in Intervallen von 15 bis 600 s);
  • Langfristige Schwankungen (ausgedrückt als Durchsatzänderung in Intervallen > 600 s).
Wie die Experimente von Curtis et al. (2021) und Curtis und Sarc (2021) zeigen, resultieren die kurzfristigen Schwankungen vor allem aus der Materialzusammensetzung, der Beschaffenheit und den Korngrößenmerkmalen des Materials sowie aus maschinenspezifischen Parametern (z. B. Trommelsiebgeschwindigkeit, Reversierintervalle der Shredder). Mittelfristige Schwankungen resultierten vor allem aus einer diskontinuierlichen Beschickung mit dem Radlader oder anderen Beschickungsmaschinen. Langfristige Schwankungen liegen in einem Bereich von > 600 s und resultieren aus Änderungen der Maschinenparameter – während der Versuche wurden keine derartigen Schwankungen registriert, da alle Shredderparameter konstant gehalten wurden. Zusätzlich wurden Schwankungen hinsichtlich ihres Einflusses auf die Leistung ausgewählter (nachfolgend positionierter) Maschinen wie der sensorgestützten Sortiermaschine sowie einer Überwachungseinheit nach einem Zerkleinerungsschritt untersucht. Auf diese Weise konnten die gemessenen Daten der Volumenstromschwankungen mit der Leistungsaufnahme des Shredders kombiniert werden. Die Ergebnisse zeigen, dass Schwankungen im Durchsatz mithilfe von Volumenstrommesssystemen ermittelt werden können, was die Verfügbarkeit ausgewählter Informationen für ein besseres Verständnis des Aufbereitungsprozesses und seiner Bedingungen gewährleistet. Weiters haben Schwankungen auch einen signifikanten Einfluss auf die Leistung der nachfolgenden Maschinen und können die Produktqualität und den damit verbundenen Marktwert des Produkts direkt beeinflussen. Schließlich kann die Kombination von Online- und On-Time-Überwachungssystemen des Materialflusses, der Maschinen, Verbrauch, Maschineneinstellungen und Leistungskontrolle, mit geeigneter Datenerfassung, -analyse und -verwaltung sowie digitalen Vernetzungswerkzeugen, zur Weiterentwicklung zu einer Smart Waste Factory für den Abfallbehandlungssektor beitragen.

4 Zusammenfassung

Im Rahmen des FFG-geförderten COMET K‑Projekts „ReWaste4.0“ initiierten 2017 zwei wissenschaftliche und acht Unternehmenspartner den ambitionierten und notwendigen Umschwung für die Transformation der nicht gefährlichen gemischten Siedlungs- und Gewerbeabfallwirtschaft hin zu einer Circular Economy 4.0. ReWaste4.0 und das genehmigte Nachfolgeprojekt „Recycling and Recovery of Waste for Future (ReWaste F‑2021–2025)“ sind zukunftsweisende Projekte, die auf den gesetzlichen Entwicklungen in der EU, insbesondere dem Circular Economy Package von 2015 und 2018 und dem European Green Deal von 2019, sowie den Marktentwicklungen hinsichtlich Digitalisierung und Industrie 4.0-Ansätzen basieren.
Kreislaufwirtschaft 4.0 beinhaltet ein besseres Verständnis der in Produkten und Abfällen enthaltenen Schadstoffe (Anmerkung: Jedes Produkt wird letztendlich zu einem Abfall werden – es ist nur eine Frage der Zeit!), vertieftes Know-how über Sekundärrohstoffe und Energieträger und die Anwendung von Digitalisierungs- und Industrie‑4.0‑Ansätzen bei der Abfallcharakterisierung und in der Abfallbehandlung.
Beim Umgang mit gemischten Abfällen wie gemischten Siedlungs- und Gewerbeabfällen mit hoher stofflicher Heterogenität und verschiedenen Korngrößen ist eine repräsentative Probenahme und Analyse solcher Abfälle von hoher Priorität, da die Ergebnisse alle weiteren Schritte beeinflussen. Daher wurden im Rahmen von ReWaste4.0 die Grundsätze der Probenahme und international anerkannte Standards für die Probenahme von Abfällen angewandt. Die Ergebnisse lassen den Schluss zu, dass die Erhöhung der Anzahl der Einzelproben für die Herstellung von Mischproben eine größere positive Wirkung auf die Probenahmequalität hat als die Erhöhung der Masse der Mischprobe.
Die erzielten Ergebnisse zeigen, dass der Gehalt an wertvollen Kunststoffen etwa 15 % in gemischten Siedlungsabfällen und 15 bis 23 % in gemischten Gewerbeabfällen beträgt. Aus verfahrenstechnischer Sicht ist für eine effiziente Rückgewinnung dieser Kunststoffe eine Absiebung der Feinfraktion nach der Vorzerkleinerung sinnvoll, um Verunreinigungen und Störstoffe zu entfernen. Darüber hinaus ist nach einer Stoffstromaufteilung auf Basis der Partikeldimensionierung eine weitere Siebklassierung in gezielte Korngrößenklassen erforderlich, um höhere Kunststoffkonzentrationen zu erreichen und die Anlagenkapazitäten effizienter zu nutzen. Die vorgestellten Ergebnisse zeigen, dass alle untersuchten Kunststofftypen und -gemische für die Herstellung von Kunststoff-Flakes und Granulaten geeignet sind und nach einer geeigneten und qualitätsorientierten Aufbereitung zu einem wertvollen Sekundärrohstoff werden können.
Hinsichtlich der Schadstoffe in den untersuchten Abfällen kann festgestellt werden, dass diese nicht nur in bestimmten Materialien, sondern auch in ausgewählten Korngrößenklassen angereichert sind. Nichtsdestotrotz sind Schadstoffe in einer breiten Palette von Produkten vorhanden und die Abfallwirtschaft muss mit ihnen richtig umgehen, um qualitätsgesicherte Sekundärrohstoffe und Energieträger aus gemischten Abfällen für den Recycling‑, Verwertungs- und Co-Processing-Sektor herzustellen.
Digitalisierung und Industrie‑4.0‑Ansätze stehen erst am Anfang ihrer Einführung in den Abfallbehandlungssektor. Insbesondere die Echtzeit-Überwachung, die Datenanalyse und -verwaltung sowie die Prozesssteuerung für Abfallbehandlungsanlagen sollen in Zukunft entwickelt werden. Der Bereich der gemischten Abfallbehandlung hat spezifische Herausforderungen, wie die sich ständig ändernde Abfallqualität sowie material- und maschinenbedingte Schwankungen. Diese sollten bei der Entwicklung von intelligenten Behandlungslösungen berücksichtigt werden. Die im Rahmen von ReWaste4.0 gewonnenen Ergebnisse unterstützen schließlich die Entwicklung weiterer digitalisierter Lösungen für die Abfallbehandlung und insbesondere für den Fall einer sogenannten Smart Waste Factory.
ReWaste F – Recycling and Recovery of Waste for Future – ist die konsequente, qualitativ hochwertige F&E-Fortsetzung für den Zeitraum 2021 bis 2025 – aufbauend auf dem umfangreichen Know-how und den weitreichenden Ergebnissen von ReWaste4.0, unter Berücksichtigung aktueller und zukünftiger Abfallströme (d. h. nicht gefährliche gemischte Abfälle), Technologie- (Maschinen, Sensoren, Kameras) und Digitalisierungsentwicklungen (Datenanalytik, Simulation sowie intelligente Material-Maschine-Maschine-Digitalverknüpfung).
ReWaste F wurde mit einem erweiterten Konsortium (d. h. vier wissenschaftlichen und 14 Unternehmenspartnern) und vertiefter Daten‑, Sensor- und digitaler Vernetzungsexpertise entwickelt, um eine partikel-, sensor- und datenbasierte Kreislaufwirtschaft zu schaffen und umzusetzen. In ReWaste F werden die Partner die Branche auf dem Weg zu einer Kreislaufwirtschaft und -technologie im Sinne des neu veröffentlichten Europäischen Green Deals 2019 für eine nachhaltige und ressourceneffiziente Entwicklung der Abfall‑, Sekundärrohstoff- und Energiewirtschaft voranbringen. Darüber hinaus sind partikel-, sensor- und datenbasierte Technologien (Maschinen und Prozesse werden zu cyber-physical-systems) und die digitale und intelligente Vernetzung (einschließlich der Entwicklung einer herstellerunabhängigen „digitalen Plattform“) entscheidend, um die Online‑/Ontime-Kommunikation von Material-Maschine-Maschine innerhalb neuer „Smart Waste Factory-Lösungen“ zu ermöglichen und einen Mehrwert entlang der gesamten Wertschöpfungskette zu generieren.

Danksagung

Der Autor dankt dem gesamten ReWaste4.0-Team (insbesondere seinem PhD-Team: Alexander Curtis, Karim Khodier, Selina Möllnitz, Sandra Viczek und Thomas Weißenbach), sowie allen Projektpartnern für die ausgezeichnete und sehr erfolgreiche Zusammenarbeit.

Förderung

Das Kompetenzzentrum Recycling and Recovery of Waste 4.0 – ReWaste4.0 – (860884) wird im Rahmen von COMET – Competence Centers for Excellent Technologies durch BMK, BMDW und Land Steiermark gefördert. Das Programm COMET wird durch die FFG abgewickelt.

Interessenkonflikt

R. Sarc und R. Pomberger geben an, dass kein Interessenkonflikt besteht.
Open Access Dieser Artikel wird unter der Creative Commons Namensnennung 4.0 International Lizenz veröffentlicht, welche die Nutzung, Vervielfältigung, Bearbeitung, Verbreitung und Wiedergabe in jeglichem Medium und Format erlaubt, sofern Sie den/die ursprünglichen Autor(en) und die Quelle ordnungsgemäß nennen, einen Link zur Creative Commons Lizenz beifügen und angeben, ob Änderungen vorgenommen wurden.
Die in diesem Artikel enthaltenen Bilder und sonstiges Drittmaterial unterliegen ebenfalls der genannten Creative Commons Lizenz, sofern sich aus der Abbildungslegende nichts anderes ergibt. Sofern das betreffende Material nicht unter der genannten Creative Commons Lizenz steht und die betreffende Handlung nicht nach gesetzlichen Vorschriften erlaubt ist, ist für die oben aufgeführten Weiterverwendungen des Materials die Einwilligung des jeweiligen Rechteinhabers einzuholen.
Weitere Details zur Lizenz entnehmen Sie bitte der Lizenzinformation auf http://​creativecommons.​org/​licenses/​by/​4.​0/​deed.​de.

Hinweis des Verlags

Der Verlag bleibt in Hinblick auf geografische Zuordnungen und Gebietsbezeichnungen in veröffentlichten Karten und Institutsadressen neutral.
download
DOWNLOAD
print
DRUCKEN
Titel
„ReWaste4.0“ – Abfallwirtschaftliches Kompetenzzentrum am AVAW der Montanuniversität Leoben
Verfasst von
DI Dr. Renato Sarc
Univ.-Prof. DI Dr. Roland Pomberger
Publikationsdatum
05.11.2021
Verlag
Springer Vienna
Erschienen in
Österreichische Wasser- und Abfallwirtschaft / Ausgabe 1-2/2022
Print ISSN: 0945-358X
Elektronische ISSN: 1613-7566
DOI
https://doi.org/10.1007/s00506-021-00814-9
Zurück zum Zitat Aldrian, A.; Viczek, S.A.; Pomberger, R.; Sarc, R. Methods for identifying the material-recyclable share of SRF during co-processing in the cement industry. Methods X 2020, 7, 100837, https://​doi.​org/​10.​1016/​j.​mex.​2020.​100837.CrossRef
Zurück zum Zitat ASI (Austrian Standards Institute). ÖNORM EN 15442—Solid Recovered Fuels—Methods for Sampling; ASI: Vienna, Austria, 2011.
Zurück zum Zitat Austrian Research Promotion Agency (FFG). COMET—Competence Centers for Excellent Technologies—General Information, Factsheets and Success Stories. 2021. Available online: https://​www.​ffg.​at/​en/​comet-competence-centers-excellent-technologies (accessed on 18.04.2021).
Zurück zum Zitat Austrian Standard Institute (ASI). ÖNORM S 2100: 2005 10 01, 2005. Abfallverzeichnis [Waste List].
Zurück zum Zitat BKA (Bundeskanzleramt Österreich). Bundesgesetz über eine Nachhaltige Abfallwirtschaft (Abfallwirtschaftsgesetz 2002 – AWG 2002) [Waste Management Act]. BGBl. I Nr. 102/2002, as Amended BGBl. I Nr. 24/2020. Available online: https://​www.​ris.​bka.​gv.​at/​GeltendeFassung.​wxe?​Abfrage=​Bundesnormen&​Gesetzesnummer=​20002086 (accessed on 01.03.2021).
Zurück zum Zitat BMK. Die Bestandsaufnahme der Abfallwirtschaft in Österreich, Statusbericht 2020 (Referenzjahr 2018) [Inventory of Waste Management in Austria, Status Report 2020 (Reference Year 2018)]; Federal Ministry for Climate Protection, Environment, Energy, Mobility, Innovation and Technology: Vienna, Austria, 2020.
Zurück zum Zitat BMLFUW. Richtlinie für Ersatzbrennstoffe [Guideline for Waste Fuels]; BMLFUW: Vienna, Austria, 2008.
Zurück zum Zitat BMLFUW. Verordnung des Bundesministers für Land- und Forstwirtschaft, Umwelt und Wasserwirtschaft und des Bundesministers für Wirtschaft, Familie und Jugend über die Verbrennung von Abfällen (Abfallverbrennungsverordnung – AVV) [Waste Incineration Ordinance] BGBl. II Nr. 389/2002, as Amended BGBl. II Nr. 135/2013. Available online: https://​www.​ris.​bka.​gv.​at/​GeltendeFassung.​wxe?​Abfrage=​Bundesnormen&​Gesetzesnummer=​20002239 (accessed on 01.03.2021).
Zurück zum Zitat BMU. Verordnung über die Bewirtschaftung von Gewerblichen Siedlungsabfällen und von Bestimmten Bau- und Abbruchabfällen (Gewerbeabfallverordnung) [Commercial Waste Ordinance]. Amendment 2017: BGBl. I S. 896. Available online: https://​www.​gesetze-im-internet.​de/​gewabfv_​2017/​BJNR089600017.​html (accessed on 01.03.2021)
Zurück zum Zitat CEN. CENprEN 15359:2010 Solid Recovered Fuels—Specifications and Classes; CEN: Brussels, Belgium, 2010.
Zurück zum Zitat Curtis, A.; Sarc, R. Definition of the Term „Smart Waste Factory Network“ within the Project ReWaste4.0, Montanuniversitaet Leoben on 8 October 2018.
Zurück zum Zitat Curtis, A.; Sarc, R. Real-Time Monitoring of Volume Flow, Mass Flow and Shredder Power Consumption in Mixed Solid Waste Processing. Waste Management 2021, 131, 41–49, https://​doi.​org/​10.​1016/​j.​wasman.​2021.​05.​024.CrossRef
Zurück zum Zitat Curtis, A.; Adam, J.; Pomberger, R.; Sarc, R. Grain size-related Characterization of Various Non-hazardous Municipal and Commercial Waste for Solid Recovered Fuel (SRF) Production. Detritus 2019, 7, 55–67, https://​doi.​org/​10.​31025/​2611-4135/​2019.​13847.CrossRef
Zurück zum Zitat Curtis, A.; Küppers, B.; Möllnitz, S.; Khodier, K.; Sarc, R. Real time material flow monitoring in mechanical waste processing and the relevance of fluctuations. Waste Manag. 2021, 120, 687–697, https://​doi.​org/​10.​1016/​j.​wasman.​2020.​10.​037.CrossRef
Zurück zum Zitat EC (European Commission). A European Green Deal. 2019. Available online: https://​ec.​europa.​eu/​info/​node/​123797 (accessed on 01.03.2021).
Zurück zum Zitat EC (European Commission). Circular Economy Package. 2018. Available online: https://​ec.​europa.​eu/​environment/​circular-economy/​first_​circular_​economy_​action_​plan.​html (accessed on 01.03.2021).
Zurück zum Zitat EC (European Commission). Closing the Loop: Commission Adopts Ambitious New Circular Economy Package to Boost Competitiveness, Create Jobs and Generate Sustainable Growth. 2015. Available online: http://​europa.​eu/​rapid/​press-release_​IP-15-6203_​en.​htm (accessed on 01.03.2021).
Zurück zum Zitat European Commission. Communication from the Commission to the European Parliament, The Council, The European Economic and Social Committee and the Committee of the Regions a European Strategy for Plastics in a Circular Economy (SWD [2018] 16 Final). 2018. Available online: https://​eur-lex.​europa.​eu/​legal-content/​EN/​TXT/​?​qid=​1516265440535&​uri=​COM:​2018:​28:​FIN (accessed on 01.03.2021).
Zurück zum Zitat European Union (EU). Directive 2008/98/EC of the European Parliament and of the Council of 19 November 2008; Waste and Repealing Certain Directives: Brussels, Belgium, 2008.
Zurück zum Zitat Eurostat. Municipal Waste by Waste Management Operations, Last Updated: 16-02-2021. 2021. Available online: http://​appsso.​eurostat.​ec.​europa.​eu/​nui/​submitViewTableA​ction.​do (accessed on 01.03.2021).
Zurück zum Zitat Hökfors, B.; Boström, D.; Viggh, E.; Backman, R. On the phase chemistry of Portland cement clinker. Adv. Cement Res. 2015, 27, 50–60, https://​doi.​org/​10.​1680/​adcr.​13.​00071.CrossRef
Zurück zum Zitat Kandlbauer, L.; Khodier, K.; Ninevski, D.; Sarc, R. Sensor-based Particle Size Determination of Shredded Mixed Commercial Waste based on two-dimensional Images. Waste Manag. 2021, 120, 784–794, https://​doi.​org/​10.​1016/​j.​wasman.​2020.​11.​003.CrossRef
Zurück zum Zitat Kaza, S.; Yao, L.C.; Bhada-Tata, P.; van Woerden, F. What a Waste 2.0: A Global Snapshot of Solid Waste Management to 2050; World Bank: Washington, DC, USA, 2018.CrossRef
Zurück zum Zitat Khodier, K. Empirical Modelling for the Optimized Operation and Real-Time Control of Coarse Shredders for Mixed Commercial Waste. Ph.D. Thesis, Montanuniversitaet Leoben, Leoben, Austria, 2021.
Zurück zum Zitat Khodier, K.; Feyerer, C.; Möllnitz, S.; Curtis, A.; Sarc, R. Efficient derivation of significant results from mechanical processing experiments with mixed solid waste: Coarse-shredding of commercial waste. Waste Manag. 2020, 121, 164–174, https://​doi.​org/​10.​1016/​j.​wasman.​2020.​12.​015.CrossRef
Zurück zum Zitat Khodier, K.; Viczek, S.A.; Curtis, A.; Aldrian, A.; O’Leary, P.; Lehner, M.; Sarc, R. Sampling and Analysis of Coarsely Shredded Mixed Commercial Waste. Part I: Procedure, Particle Size and Sorting Analysis. Int. J. Environ. Sci. Technol. 2019, 17, 959–972, https://​doi.​org/​10.​1007/​s13762-019-02526-w.CrossRef
Zurück zum Zitat Lorber, K.E.; Sarc, R.; Aldrian, A. Design and quality assurance for solid recovered fuel. Waste Manag. Res. 2012, 30, 370–380, https://​doi.​org/​10.​1177/​0734242X12440484​.CrossRef
Zurück zum Zitat Möllnitz, S.; Khodier, K.; Pomberger, R.; Sarc, R. Grain size dependent distribution of different plastic types in coarse shredded mixed commercial and municipal waste. Waste Manag. 2020a, 103, 388–398, https://​doi.​org/​10.​1016/​j.​wasman.​2019.​12.​037.CrossRef
Zurück zum Zitat Möllnitz, S.; Küppers, B.; Curtis, A.; Khodier, K.; Sarc, R. Influence of Pre-Screening on Down-Stream Processing for the Production of Plastic Enriched Fractions for Recycling from Mixed Commercial and Municipal Waste. Waste Manag. 2020b, 119, 365–373, https://​doi.​org/​10.​1016/​j.​wasman.​2020.​10.​007.CrossRef
Zurück zum Zitat Sarc, R. ReWaste4.0—Recycling and Recovery of Waste 4.0. Application K‑Project, Project Description, Version 1.1. 9 February 2017.
Zurück zum Zitat Sarc, R.; Lorber, K.E. Production, quality and quality assurance of refuse derived fuels (RDFs). Waste Manag. 2013, 33, 1825–1834, https://​doi.​org/​10.​1016/​j.​wasman.​2013.​05.​004.CrossRef
Zurück zum Zitat Sarc, R.; Curtis, A.; Kandlbauer, L.; Khodier, K.; Lorber, K.E.; Pomberger, R. Digitalisation and Intelligent Robotics in Value Chain of Circular Economy Oriented Waste Management—A Review. Waste Manag. 2019b, 95, 476–492, https://​doi.​org/​10.​1016/​j.​wasman.​2019.​06.​035.CrossRef
Zurück zum Zitat Sarc, R.; Kandlbauer, L.; Lorber, K.E.; Pomberger, R. Production and Characterisation of SRF Premium Quality from Municipal and Commercial Solid non-hazardous Wastes in Austria, Croatia, Slovenia and Slovakia. Detritus 2020, 9, 125–137, https://​doi.​org/​10.​31025/​2611-4135/​2019.​13871.CrossRef
Zurück zum Zitat Sarc, R.; Lorber, K.E.; Pomberger, R.; Rogetzer, M.; Sipple, E.M. Design, quality and quality assurance of solid recovered fuels (SRF) for the substitution of fossil feedstock in the cement industry. Waste Manag. Res. 2014, 32, https://​doi.​org/​10.​1177/​0734242X14536462​.CrossRef
Zurück zum Zitat Sarc, R.; Seidler, I.M.; Kandlbauer, L.; Lorber, K.E.; Pomberger, R.; Design, quality and quality assurance of solid recovered fuels for the substitution of fossil feedstock in the cement industry—Update 2019. Waste Manag. Res. 2019a, 37, 885–897, https://​doi.​org/​10.​1177/​0734242X19862600​.CrossRef
Zurück zum Zitat Sarc, R.; Hermann, R. Unternehmensbefragung zum Thema Abfallwirtschaft 4.0 [Company Survey to the Topic Waste Management 4.0]; Pomberger, R., Adam, J., Aldrian, A., Curtis, A., Friedrich, K., Kranzinger, L., Küppers, B., Lorber, K.E., Möllnitz, S., Neuhold, S., et al., Eds.; Recy&DepoTech: Leoben, Austria, 2018.
Zurück zum Zitat Tschandl, M.; Peßl, E.; Sorko, S.; Lenart, K. Roadmap Industrie 4.0 für Unternehmen aus dem Umwelt- bzw. Abfallbereich (Roadmap industry 4.0 for companies in the environmental and waste management sector). 2019.
Zurück zum Zitat Viczek, S. Origins, Distribution, and Fate of Contaminants and Ash Constituents in Waste for SRF Production and Co-Processing. Ph.D. Thesis, Montanuniversitaet Leoben, Leoben, Austria, 2021.
Zurück zum Zitat Viczek, S.A.; Aldrian, A.; Pomberger, R.; Sarc, R. Origins and carriers of Sb, As, Cd, Cl, Cr, Co, Pb, Hg, and Ni in mixed solid waste—A literature-based evaluation. Waste Manag. 2020a, 103, 87–112, https://​doi.​org/​10.​1016/​j.​wasman.​2019.​12.​009.CrossRef
Zurück zum Zitat Viczek, S.A.; Aldrian, A.; Pomberger, R.; Sarc, R. Determination of the material-recyclable share of SRF during co-processing in the cement industry. Resour. Conserv. Recycl. 2020b, 156, 104696, https://​doi.​org/​10.​1016/​j.​resconrec.​2020.​104696.CrossRef
Zurück zum Zitat Viczek, S.A.; Kandlbauer, L.; Khodier, K.; Aldrian, A.; Sarc, R. Sampling and analysis of coarsely shredded mixed commercial waste. Part II: Particle size-dependent element determination. International Journal of Environmental Science and Technology 2021a, https://​doi.​org/​10.​1007/​s13762-021-03567-w.CrossRef
Zurück zum Zitat Viczek, S.A.; Khodier, K.; Kandlbauer, L.; Aldrian, A.; Redhammer, G.; Tippelt, G.; Sarc, R. The particle size-dependent distribution of chemical elements in mixed commercial waste and implications for enhancing SRF quality. Sci. Total Environ. 2021b, 776, 145343, https://​doi.​org/​10.​1016/​j.​scitotenv.​2021.​145343.CrossRef
Zurück zum Zitat Viczek, S.A.; Lorber, K.E.; Pomberger, R.; Sarc, R. Production of contaminant-depleted solid recovered fuel from mixed commercial waste. Fuel 2021c, 294, 120414, https://​doi.​org/​10.​1016/​j.​fuel.​2021.​120414.CrossRef
Zurück zum Zitat Weißenbach, T. Development of an Online/Ontime Method for the Characterization of Waste Streams in Waste Pre-Treatment Plants. Ph.D. Thesis, Montanuniversitaet Leoben, Leoben, Austria, 2021.
Zurück zum Zitat Weißenbach, T.; Sarc, R. Investigation of particle-specific characteristics of non-hazardous, fine shredded mixed waste. Waste Manag. 2021a, 119, 162–171, https://​doi.​org/​10.​1016/​j.​wasman.​2020.​09.​033.CrossRef
Zurück zum Zitat Weißenbach, T., Sarc, R. Investigation of particle-specific characteristics of coarse-shredded waste. Waste Manag. 2021b, 119, 162–171.CrossRef
Zurück zum Zitat Weißenbach, T.; Graf, J.; Pomberger, R.; Sarc, R. Calculation of the additional recycling potential in the European Union by implementing the Circular Economy Package. Environ. Waste Manag. Recycl. 2020, 3, 1–9.
Zurück zum Zitat Weißenbach, T.; Pomberger, R.; Sarc, R. Composition of mixed commercial waste with focus on recyclable fractions. In Proceedings of the 7th International Conference on Sustainable Solid Waste Management, Heraklion, Greece, 26–29 June 2019.