Zum Inhalt

Satellite Gravimetry in Studies of Permafrost Thawing and Vegetation Productivity in the Cryolithozone

  • Open Access
  • 30.11.2024
Erschienen in:

Aktivieren Sie unsere intelligente Suche, um passende Fachinhalte oder Patente zu finden.

search-config
loading …

Abstract

Der Artikel geht der entscheidenden Rolle des Permafrosttauens bei der Gestaltung der Vegetationsproduktivität des Kryolithozons nach und konzentriert sich dabei auf den nördlichen Teil Zentralsibiriens. Durch den Einsatz von Satellitengravimetrie zeigt die Studie einen signifikanten Rückgang der Bodenfeuchtigkeit seit 2006-2007, der eng mit einem Anstieg der Bodentemperatur und des Vegetationswachstums verknüpft ist. Die Forschung zeigt, dass das Schmelzen der Permafrostböden, angetrieben durch die globale Erwärmung, das hydrothermale Regime und die Brutto-Primärproduktivität (GPP) der Vegetationsdecke verbessert. Bemerkenswert ist, dass der durchschnittliche jährliche Wasserabfluss aufgrund des Permafrosttauens bei etwa 6,4 kg / m ² liegt, mit erheblichen regionalen Unterschieden. Die Analyse unterstreicht auch die Bedeutung der Korrektur gravimetrischer Daten für die Zersetzung von Biomasse und Kohlenstoffverluste durch Brände. Die Ergebnisse unterstreichen die entscheidende Rolle des Permafrosttauens bei der Aufrechterhaltung des Status der Kryolithozone als Kohlenstoffsenke, trotz zunehmender Brandaktivität. Der Einsatz von Satellitengravimetrie bietet eine neue Perspektive für das Verständnis der komplexen Wechselwirkungen zwischen Klimawandel, Permafrostdynamik und Vegetationsproduktivität in der Arktis.

Publisher’s Note.

Pleiades Publishing remains neutral with regard to jurisdictional claims in published maps and institutional affiliations.
AI tools may have been used in the translation or editing of this article.

INTRODUCTION

The area of permafrost soils, the cryolithozone, plays an important role in global climate change and in the functioning of northern ecosystems. The temperature of the upper permafrost soil layer and the dynamics of the active layer are key climate variables reflecting various factors of the Arctic plant habitat (Anisimov et al., 2013; Romanovsky et al., 2017).
In Siberia, the increase in air temperature at high latitudes, which is four times higher than the global average, entails significant changes in the hydrological and thermal growth regimes of woody plants and vegetation cover in general (Liljedahl et al., 2016; Nitzbon et al., 2020; Hu et al., 2021; Rantanen et al., 2022). The melting of permafrost soils, along with an increase in air temperature, is the most important factor in the dynamics of vegetation in the cryolithozone. An increase in the depth of the root zone is observed, the availability of biogenic elements increases, the temperature of the soil increases, and the hydrothermal regime of the soils generally improves. Melting permafrost serves as an additional source of moisture during periods of seasonal water stress, as well as in the highlands on the southern border of the cryolithozone (Zhang et al., 2016). An increase in air temperature of 1°C, according to forecast estimates, may result in a 25% reduction in the volume of permafrost in the upper 3-m layer of soil (Fox-Kemper et al., 2021). Along with gradual melting, the melting of ice-rich soils is accompanied by thermokarst, including the formation of reservoirs. At the same time, despite the documented melting of the permafrost layer, in a number of parts of the cryolithozone, including in the northeastern Arctic, soils with high ice and organic content are predicted to remain stable beyond 2100, even under the most pessimistic global warming scenarios (Nitzbon, 2020).
Climate warming at high latitudes is accompanied by an increase in the productivity of vegetation, including the phenomenon of tundra “greening” (Heijmans et al., 2022; Kharuk et al., 2023a). At the same time, the frequency, area, and intensity of fires in the Arctic is increasing (Kharuk et al., 2022). In general, the melting of the permafrost layer is considered the most important environmental factor determining the dynamics of the vegetation cover of the cryolithozone (Heijmans et al., 2022).
Estimates of the impact of global warming on permafrost thawing and soil moisture are based primarily on ground-based measurements and microwave satellite sensing data. In addition, the possibility of using gravimetric surveys carried out by the GRACE series satellites for these purposes is being considered. Gravimetry is sensitive to all factors that influence local anomalies in the land surface mass, including water mass anomalies. The most significant applications of satellite gravimetry are related to research in the field of glaciology and in assessing the dynamics of melting of glaciers in Greenland and Antarctica (Barletta et al., 2013; Wang et al., 2023). There are indications of the applicability of gravimetry in assessing the impact of global warming on the hydrological regime of soils and on the growth of woody plants (Larix spp.) (Kharuk et al., 2023a, 2023b).
Geographically, the impact of permafrost thawing on vegetation has been studied primarily in the western part of the North American permafrost zone, while large areas in Siberia and Canada are poorly studied (Heijmans et al., 2022).
This paper examines the impact of permafrost thawing on the vegetation cover of the northern part of Central Siberia. The following hypotheses are tested: (1) satellite gravimetry data are applicable in the analysis of the dynamics of permafrost layer thawing and the hydrological regime of soils in the cryolithozone; (2) thawing of the permafrost layer, caused by global warming, promotes an increase in the growth of larch trees (Larix sibirica Ledeb. and L. gmelinii (Rupr.) Kuzen.), the main forest-forming species in the cryolithozone, as well as an increase in the GPP of the vegetation cover.
The purpose of the work is (1) to assess the dynamics of soil thawing in the cryolithozone of the north of Central Siberia and (2) analyze the impact of permafrost thawing on the growth index of larch trees and on the GPP and net primary productivity (NPP) of the vegetation cover.

MATERIALS AND METHODS

The study area (the Arctic sector) includes forest, forest-tundra, and tundra communities of the cryolithozone of the Arctic Circle of Central Siberia and is located mainly in the continuous permafrost zone (Fig. 1).
Fig. 1.
The study area is bounded to the south by the Arctic Circle. Range of larch (marked in brown) and cryolithozone map. Ground research locations are indicated by disks ((1, 2, 3) key sections of Ary-Mas, Pyasina, and Kotuy, respectively).
Bild vergrößern
The climate of the region is harsh, Subarctic, and sharply continental. It is characterized by long winters and short summers. Cyclones and anticyclones are often observed. Polar night has frosts and snowstorms, and polar day has strong insolation. Cloudy weather and prolonged drizzling rains are also typical. Precipitation is distributed extremely unevenly throughout the year; most of it falls from the end of May to the end of September. A stable snow cover falls in the third ten days of September and melts in the first half of June. The height of the snow cover on the hills fluctuates between 0.4–0.8 m, and at the foot of the mountains and in the flat part of the territory it can reach 8–9 m. Permafrost reaches a thickness of up to 1 km. Taliks are developed under the beds of large rivers. In summer, an active layer reaching 2 m in thickness is formed. The depth of seasonal soil freezing depends on the slope exposure, vegetation cover, moisture content, and soil type. Flat tundra landscapes are characterized by high water content, thin soils, marine and accumulative deposits, polygonal-ridge swamps, and bajdzharakhs. The northernmost distribution of tree and shrub vegetation has been noted on Taimyr (Matveyeva, 1998; Yakushkin et al., 2012). Woody vegetation in the forest tundra, sparse forests, and closed forests is represented by larch (Larix gmelinii, L. sibirica), as well as birch (Betula spp.). In the stands of the southwestern part of the sector there is an admixture of Siberian pine (Pinus sibirica Du Tour) and spruce (Picea obovata Ledeb.).
The research methods used in the work included satellite gravimetry data, expeditionary research data, dendrochronological analysis of the radial growth of larch trees, and estimates of the GPP and NPP values of the vegetation cover obtained on the basis of MODIS satellite imagery.

GRACE and MODIS Satellite Imagery Data

The gravimetry data from the GRACE and GRACE-FO satellites used in the analysis were obtained from the following database: (https://podaac-opendap.jpl.nasa.gov/opendap/hyrax/allData/tellus), period 2002–2022, temporary permit 1 month. Gravimetric data contains information about all mass anomalies within the instrument’s field of view (1° × 1°), including water equivalent mass (in m) over the entire depth of moisture content.
In general, the anomalies in the gravimetric mass in the sector are caused mainly by the dynamics of the water mass. Further in the text, along with the terms “mass anomalies” and “total mass anomalies,” the terms “water mass, relative units” and “soil moisture, relative units” are also used where this does not violate the logic of presentation, since the latter is closely related to water mass.
Gravimetric data were calculated for a hydrological year—from October of the previous year to September of the current year, inclusively, since during the growing season the growth of trees and vegetation as a whole is affected by moisture accumulated over the entire cold period (Kharuk et al., 2023b).
The dynamics of GPP and NPP primary productivity is calculated on the basis of (Running and Zhao, 2021) and databases (https://doi.org/10.5067/ MODIS/MOD17A2H.061; https://doi.org/10.5067/ MODIS/MOD17A3HGF.06).
When mapping fires, a geospatial database created at the Forest Institute of the Siberian Branch of the Russian Academy of Sciences was used. The database uses satellite data obtained from the NOAA/AVHRR, TERRA/AQUA/MODIS, and SNPP/NOAA-20/VIIRS platforms. To exclude thermal anomalies of anthropogenic origin, data on the localization of settlements were used (Open Street Map, https://www.openstreetmap.org). Using high-resolution Google Earth data, thermal anomalies associated with oil and gas fields were excluded from the analysis.

Methodology for Calculating the Flow of Water Released during the Thawing of Soils

The methodology for calculating the melting of the permafrost layer included two stages. First, the difference in the values of the gravimetric mass anomalies (ΔGm) at the beginning (average values for 2007–2009) and at the end (average values for 2020–2023) of the analyzed period was calculated:
$$\Delta {{G}_{m}} = {{G}_{{m(2007 - 2009)}}} - {{G}_{{m(2020 - 2022)}}},$$
(1)
where Gm(2007–2009) and Gm(2020–2022) are average values Gm for 2007–2009 and 2020–2022, respectively. The choice of the first year in the calculations (2007) is due to the fact that the trend of decreasing mass anomalies begins from this date (Fig. 2a).
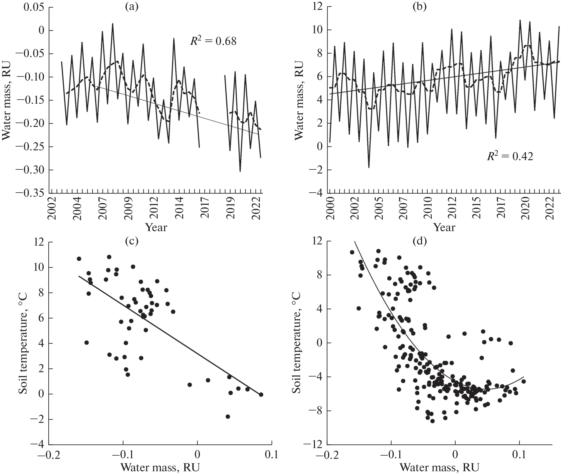
Fig. 2.
(a) In the cryolithozone, a decrease in average annual and average summer anomalies of water mass is observed. The maximums correspond to the annual values (January–December); the minimums correspond to the average summer values (ASP). Data include NPP adjustment. (b) There is an increase in the average summer temperature of the soil (layer 0–100 cm). The mean values in (a) and (b) are indicated by dotted lines. (c, d) Dependence of soil temperature on average summer (c) (r = –0.48) and average annual (d) (r = –0.71) water mass anomalies (p < 0.005). The maxima and minima correspond to the maximum and minimum summer temperatures.
Bild vergrößern
The main component that determines the dynamics of mass within the study area is the mass of water (in solid and liquid state). Along with the loss of gravimetric mass due to meltwater runoff, there was an increase in it due to an increase in NPP. In this regard, the gravimetric data were adjusted for the NPP value taking into account the biogenic decomposition coefficient (k) of its parts. There are few existing estimates of magnitude k for cryolithozone conditions. The value used in the analysis is k = 0.9, determined based on data in the article (Camill et al., 2001), in which the annual destruction of biomass is estimated to be less than 10%.
At the same time, an increase in the frequency, area, and intensity of fires is observed in the cryolithozone (Kharuk et al., 2022). Pyrogenic carbon emissions were estimated based on previously published data. In the case of larch stands in northern Siberia, emission estimates ranged from 3 to 3.44 kg C m–2 (Tsvetkov, 2006; Delcourt et al., 2021; Veraverbeke et al., 2021). The final assessment of carbon emissions was carried out based on the data of Tsvetkov (2006), since these data were obtained specifically in the sector under study. To estimate pyrogenic emissions in the tundra, a value of 1.13 kg C m–2 was used, obtained in studies in northeastern Siberia (Webb et al., 2024).
Taking into account the indicated amendments, the melt water runoff was calculated using the formula
$$\Delta S = \Delta {{G}_{m}} + k\sum {{\text{NPP}}} -\sum F ,$$
(2)
where ΔS is water runoff; \(\sum {{\text{NPP}}} \) and \(\sum F \) are biomass and carbon losses due to fires, respectively, for 2007–2022; and k is the “preservation coefficient” of biomass, taking into account the rate of its destruction. In order to reduce errors in the magnitude of water mass runoff, areas of large water surfaces (lakes and reservoirs) were excluded from analysis. The calculation method of ΔS included the following stages: the generation of map diagrams for the study area (1) ΔGm, (2) \(\sum {{\text{NPP}}} \) and \(\sum F \), (3) maps of ΔS, and (4) statistical analysis. The rasters were transformed to a conditional resolution of 30 km using the bilinear interpolation method and presented in the Albers equal-area conic projection.
It should be noted that, along with gravimetric data, the so-called “closed” water balance equations could be used in calculating meltwater runoff (Gronewold et al., 2020; Cao et al., 2021; Bongioannini et al., 2022), taking into account the values of annual precipitation, evaporation, and runoff. However, this approach is associated with significant errors due to the inaccuracy of the original variables presented in modern databases, for example, in ERA5-Land (Muñoz-Sabater, 2021).

Dendrochronology Data

Dendrochronological analysis was carried out at three key sites: Ary Mas (3 test plots, 60 model trees), Kotui (2 test plots, 66 model trees), and Pyasino (10 test plots, 242 model trees) (Fig. 1). Measurements of wood samples were carried out on a LINTAB 6 platform with an accuracy of 0.01 mm (Rinn, 1996). As a result, time series of radial growth for each tree (in millimeters) were obtained. The TSAP and COFECHA programs were used to check the quality of the dating (Holmes, 1983). To remove the age trend, a detrending procedure was used, which transforms the time series of tree-ring widths into time series of dimensionless indices with a mean of 1.0 and a relatively constant variance (Speer, 2010). To obtain indexed generalized tree-ring chronologies at key sites, tree-ring chronologies of individual trees were averaged. For each key site, an indexed tree-ring chronology was constructed using the ARSTAN program; detrending was performed using linear regression or a negative exponential curve (Cook and Kairiukstis, 1990).

Climate Variables

The values of air and soil temperature (at a depth of 0–100 cm), precipitation, and vapor pressure deficit (VPD) are taken from the ERA5-Land database (https://cds.climate.copernicus.eu/cdsapp#!/datase). The data are presented with a spatial resolution of 0.1° × 0.1° and a monthly temporal resolution; the period is 2000–2022. The soil temperature was considered for the 0–100 cm layer, since the root zone is predominantly localized in this interval. VPD values were calculated using the DewtoVPD function of the R package plantecophys based on dew point temperature and air and surface barometric pressure (Duursma, 2015).

Statistical Analysis

StatSoft Statistica (http://statsoft.ru), R Project (https://www.r-project.org), and RStudio (https:// posit.co/download/rstudio-desktop) were used. Correlation dependencies were calculated using Pearson and Spearman statistics. The significance of correlation coefficients and regression equations was evaluated using the t-test and F-test. When creating trend maps of productivity (GPP) and climatic variables, the nonparametric Theil-Sen method was applied to fit a trend line to sample points by selecting the median slopes of all lines between pairs of points (Sen, 1968). Trends were calculated using the Python library pymannkendall 1.4.2 (https://pypi.org/project/pymannkendall, cited February 6, 2023), imported into ESRI ArcGIS Desktop 10.8.1 (https://www.esri-cis.com/ru-ru/arcgis/products/arcgis-desktop/overview). As a result, sets of raster trend maps were generated and P levels were assessed.

RESULTS

Dynamics of Soil Moisture and Productivity of Vegetation Cover

In the cryolithozone, a significant trend of decreasing average summer period (ASP) water mass in soils has been observed since 2006–2007, while the soil temperature has increased (Figs. 2a, 2b).
Soil temperature is related by correlation dependencies with water mass both in the summer period and throughout the year (Figs. 2c, 2d). In the latter case, the connection is closer, since the snow cover acts as a thermal insulator, contributing to an increase in the average annual soil temperature. Soil temperature, as is known, is closely related to air temperature. At the same time, overwatering slows down the warming of the soil due to the high heat capacity of water.
A decrease water mass and an increase in soil temperature is accompanied by an increase in the GPP of the vegetation cover (Fig. 3a). It is noteworthy that the dates of occurrence of significant trends (increasing for GPP and decreasing for water mass) are synchronized (2007).
Fig. 3.
(a) Dynamics of average (over the entire territory) GPP. An increasing trend in GPP is observed (p < 0.05). (b) The GPP value (average for the Arctic sector) is closely inversely correlated with the water mass in soils (2003–2022; r = –0.67; p < 0.001).
Bild vergrößern
The GPP value is closely negatively correlated with the water mass in soils (Fig. 3b). Overall, for the Arctic sector, increasing and decreasing GPP trends are observed in 26 and 0.1% of the territory, respectively, and are insignificant in the rest of the sector (Fig. 4a). Maximum GPP values exceeding 0.7 kg С m–2 are observed in the southern part of the sector; minimum ones are in the Byrranga Mountains (Taimyr Peninsula) and on the Putorana Plateau (∼0.01 kg C m–2). Average values for the GPP sector make up ~0.23 kg C m–2 (Fig. 4b).
Fig. 4.
Maps of the magnitudes (a) and trends (b) of GPP and correlations (c) of GPP with water mass (Gm). (a) The average GPP value is 0.23 kg cm–2 (maximum 0.7, minimum 0.01 kg cm–2). (b) Increasing and decreasing GPP trends are observed in 26 and 0.1% of the sector territory, respectively (p < 0.1). In the rest of the territory, the trends are insignificant. (c) A decrease in water mass leads to an increase in GPP over a larger (72%) part of the sector. The maximum correlation value is r = –0.9; the average correlation value for the entire territory is r = –0.46 (p < 0.1). Positive correlations are not significant. Period: 2001–2022.
Bild vergrößern
Negative relationships are observed between GPP and soil moisture (over >70% of the territory), while significant positive relationships are not observed (Fig. 4c). The positive impact of reducing the water mass on GPP is associated with an increase in the temperature of the root zone; improved drainage and aeration of soils; an increase in the depth of thawing and, accordingly, the thickness of the root zone; and an increase in the availability of biogenic elements. It should be noted that, in the southern part of Siberia, predominantly positive relationships are observed between GPP and moisture parameters, including precipitation and soil moisture (Kharuk et al., 2023c).

Dynamics of Soil Moisture and Radial Growth of Larch

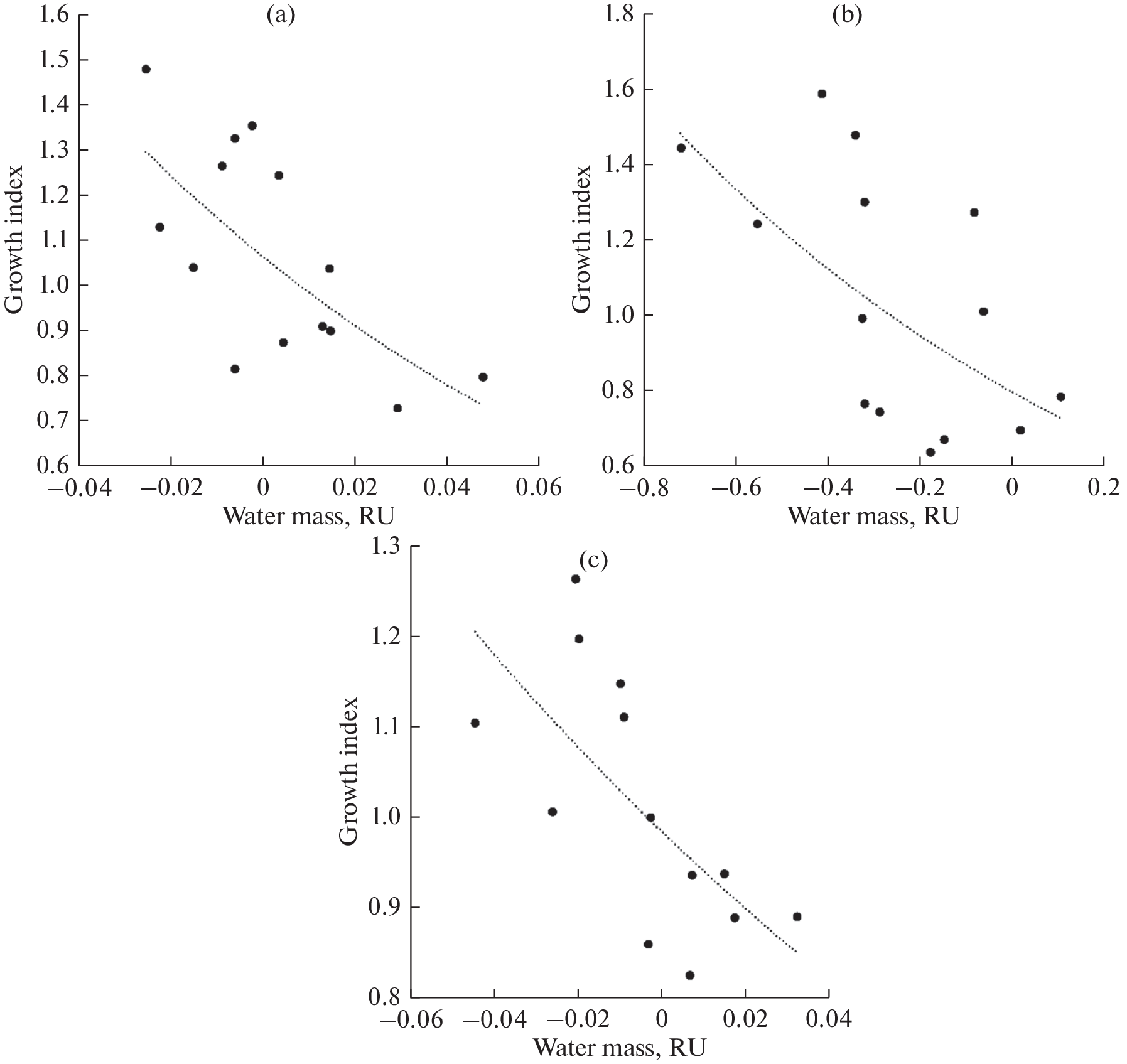
There is a correlation between the growth index (GI) of larch and the water mass in the soil: a decrease in soil moisture leads to an increase in the GI of larch (Figs. 4a–4c). The indicated dependencies were observed in all areas where larch tree cores were obtained (Pyasina, Ary-Mas, and Kotuy; Fig. 1). Thus, the improvement of the hydrological regime in larch habitats due to the reduction of waterlogging of soils stimulates the growth of trees.
Along with soil moisture, larch growth also depends on other climatic variables. An increase in air and soil temperature, as well as VPD, stimulates growth, while precipitation (the Kotuy site) negatively affects its size (Fig. 6).
Fig. 5.
With a decrease in the amount of water mass in soils, the index of radial growth of larch increases. (a) Pyasina section (r = –0.68, p < 0.01), (b) Ary-Mas (r = –0.6, p < 0.03), and (c) Kotuy (r = –0.68, p < 0.02). The water mass is calculated for the hydrological year.
Bild vergrößern
Fig. 6.
Spearman’s correlation coefficients between the larch growth index and average summer climatic parameters. Air and soil temperature, as well as VPD, stimulate growth, while precipitation (Kotuy site) inhibits it. Wood samples were collected at the Ary‑Mas, Pyasina, and Kotuy sites (Fig. 1). Significance levels at p > 0.1 and p > 0.05 are marked with one and two asterisks, respectively.
Bild vergrößern

Estimation of Water Runoff Released by Permafrost Thawing

The maximum values of gravitational mass anomalies are observed in the northeastern part of the Arctic sector, and the minimum values are observed in the southwestern part (Fig. 7a). Water mass anomalies obtained after adjusting for NPP and fire carbon emissions (Eq. (2)) are shown in Fig. 7b. Average annual melt water runoff (ΔS) is 6.4 ± 2.3 kg m–2 per year. Minimum values are estimated at 0.23 kg m–2 per year and are observed mainly on the Putorana plateau and the northern part of Taimyr; maximum values reach at 13.1 kg m–2 per year (southern and southwestern parts of the sector) (Table 1). It should be noted that the average annual carbon losses due to fires are two orders of magnitude lower than the NPP of vegetation cover (0.001 and 0.24 kg/m2, respectively; Table 1).
Fig. 7.
Maps of (a) ΔGm (difference between the average values of gravitational mass anomalies for 2020–2022 and 2007–2009) and (b) ΔS (amount of melt water runoff).
Bild vergrößern
Table 1.  
Statistical indicators of variables (kg/m2/year) within the sector in Fig. 7 (area ~1.2 million km2)
Variable
Min
Max
Average
σ
% of average ΔS
ΔS
0.233
13.069
6.409
2.339
100
ΔGm
0.084
13.320
6.210
2.394
96.9
\(\sum {{\text{NPP}}} \)
0.000
0.578
0.198
0.091
3.1
\(\sum F \)
0.000
0.059
0.001
0.004
<0.02

DISCUSSION

In the cryolithozone of Central Siberia, long-term trends of decreasing water mass in soils and increasing GPP of plant cover, synchronized and closely related to soil moisture (r = –0.9), are observed. A similar relationship has been established for the growth index of larch trees (r = –0.7). Overall, in the Arctic sector, negative relationships between GPP and soil moisture predominate (over 70% of the area), with no significant positive correlations. The results confirm previously published data on the stimulating effect of decreasing soil moisture on larch GI and vegetation GPP in the Arctic (Kharuk et al., 2023a, 2023b). A stimulating effect of permafrost thawing on the growth of larch (L. gmelinii) was also recorded in the mountains of northeastern China (Zhang et al., 2016; Zhu et al., 2024). However, despite the waterlogging typical for Arctic soils, woody plants can experience water stress at the beginning of the growing season, since the moisture necessary for metabolism is blocked in the permafrost layer (Kharuk et al., 2015; Zhang et al., 2016).
The temperature of the root zone, along with the air temperature, limits the growth of woody plants in the cryolithozone, where so-called “cold soils” are widespread. Soil temperature is determined by both air temperature and soil moisture due to the high heat capacity of water. The trends of decreasing humidity and increasing soil temperature indicate an improvement in the hydrothermal regime of vegetation growth in the Arctic.
Overall, the improvement of the hydrothermal regime of soils, along with an increase in air temperature, is a trigger for an increase in the growth index of larch trees and the GPP of the vegetation cover. At the same time an increase in GPP leads to the emergence of a feedback loop, since the ground cover is a thermal insulator that prevents the heating and, consequently, the melting of the permafrost layer (Heijmans et al., 2022).
Melting of permafrost leads to an increase in the depth of the root zone and is accompanied by the flow of released water, the average value of which is 6.4 ± 2.3 kg m–2 per year. It should be noted that precipitation anomalies do not affect the result, since in general there are no significant precipitation trends in the study area. Reducing the level of over-watering improves soil drainage and enriches the root layer with oxygen and biogenic elements. For example, in the zone of noncontinuous permafrost (Western Siberia), the thawing depth reaches 2–8 m (Vasiliev et al., 2020). Along with the melt water runoff, its “conservation” is observed due to swamping and the formation of reservoirs, especially when melting of ice-rich soils and accompanied by thermokarst (Nitzbon, 2020). Warming also stimulates solifluction processes and the flow of waterlogged soils on slopes (Kharuk et al., 2016; Heijmans et al., 2022). In particular, in the last decade in Taimyr, the frequency of landslides has increased by more than an order of magnitude, which was accompanied by a sharp (>20-fold) increase in carbon fixation (Bernhard et al., 2022).
In a number of regions, along with air temperature, the melting of permafrost soils is significantly affected by increase in “warm rains” (Heijmans et al., 2022). However, increasing precipitation leads to a decrease in the GI in hyperwetted larch habitats (Fig. 6).
The main factors determining the dynamics of gravitational mass in the cryolithozone include, along with the mass of water (in solid and liquid state), the increasing biomass of the plant cover. The correction for the destruction and consumption of biomass by consumers of different orders (k is the “preservation coefficient” of biomass; Eq. (2)) was adopted based on the data given in the article (Camill et al., 2001), equal to k = 0.9. The indicated correction may differ in different phytocenoses, but its reliable values are not available in the available literature. Note that, outside the cryolithozone, anomalies in gravitational mass may depend primarily on the dynamics of vegetation productivity. Another important factor affecting gravitational mass is carbon loss due to periodic fires. The estimated pyrogenic carbon emissions were unexpectedly lower (by two orders of magnitude) compared to net primary biomass (NPP, Table 1). It should be noted that, despite the increasing fire activity at high latitudes, the bulk of pyrogenic emissions are observed in closed forest stands growing south of the Arctic Circle (de Groot et al., 2013; Kharuk et al., 2022).
In general, the melting of permafrost soils in the cryolithozone, caused by global warming, contributes to an increase in the productivity of vegetation and, despite the increasing flammability, to the preservation of the cryolithozone’s status as a carbon sink.

CONCLUSIONS

Satellite gravimetry allows us to assess the dynamics of water mass in soils and the flow of water released during the thawing of permafrost in the cryolithozone. A long-term trend of decreasing soil moisture in the north of Central Siberia has been identified, and the average amount of water flow released during permafrost thawing has been estimated. In conditions of over-moistening, typical for the cryolithozone, a decrease in soil moisture led to an increase in the growth index of larch trees, the main forest-forming species in the cryolithozone, and an increase in the productivity of the vegetation cover. In general, with climate warming and melting of permafrost, the hydrothermal regime of soils improves and GPP increases, which helps to maintain the cryolithozone’s status as a carbon sink.
This work does not contain any studies involving human and animal subjects.

CONFLICT OF INTEREST

The authors of this work declare that they have no conflicts of interest.
Open Access.This article is licensed under a Creative Commons Attribution 4.0 International License, which permits use, sharing, adaptation, distribution and reproduction in any medium or format, as long as you give appropriate credit to the original author(s) and the source, provide a link to the Creative Commons license, and indicate if changes were made. The images or other third party material in this article are included in the article’s Creative Commons license, unless indicated otherwise in a credit line to the material. If material is not included in the article’s Creative Commons license and your intended use is not permitted by statutory regulation or exceeds the permitted use, you will need to obtain permission directly from the copyright holder. To view a copy of this license, visit http://creativecommons.org/licenses/by/4.0/

Publisher’s Note.

Pleiades Publishing remains neutral with regard to jurisdictional claims in published maps and institutional affiliations.
AI tools may have been used in the translation or editing of this article.
Download
Titel
Satellite Gravimetry in Studies of Permafrost Thawing and Vegetation Productivity in the Cryolithozone
Verfasst von
V. I. Kharuk
A. S. Golyukov
M. L. Dvinskaya
S. T. Im
I. A. Petrov
E. G. Shvetsov
Publikationsdatum
30.11.2024
Verlag
Pleiades Publishing
Erschienen in
Contemporary Problems of Ecology / Ausgabe 6/2024
Print ISSN: 1995-4255
Elektronische ISSN: 1995-4263
DOI
https://doi.org/10.1134/S1995425524700628
1.
Zurück zum Zitat Anisimov, O., Kokorev, V. and Zhil’tsova, Y., Temporal and spatial patterns of modern climatic warming: case study of Northern Eurasia, Clim. Change, 2013, vol. 118, pp. 871–83.CrossRef
2.
Zurück zum Zitat Barletta, V.R., Sørensen, L.S., and Forsberg, R., Scatter of mass changes estimates at basin scale for Greenland and Antarctica, Cryosphere, 2013, vol. 7, pp. 1411–1432. www.the-cryosphere.net/7/1411/2013/. https://doi.org/10.5194/tc-7-1411-2013CrossRef
3.
Zurück zum Zitat Bernhard, P., Zwieback, S., and Hajnsek, I., Accelerated mobilization of organic carbon from retrogressive thaw slumps on the northern Taymyr Peninsula, Cryosphere, 2022, vol. 16, pp. 2819–2835. https://doi.org/10.5194/tc-16-2819-2022CrossRef
4.
Zurück zum Zitat Bongioannini, C.P., Saraceni, M., Silvestri, L., Meniconi, S., and Brunone, B., Monitoring the water mass balance variability of small shallow lakes by an ERA5-land reanalysis and water level measurement-based model. An application to the Trasimeno Lake, Italy, Atmosphere, 2022, vol. 13, p. 49. https://doi.org/10.3390/atmos13060949CrossRef
5.
Zurück zum Zitat Camill, P., Lynch, J.A., Clark, J.S., Adams, J.B. and Jordan, B., Changes in biomass, aboveground net primary production, and peat accumulation following permafrost thaw in the boreal peatlands of Manitoba, Canada, Ecosystems, 2001, vol. 4, pp. 461–478. https://doi.org/10.1007/s10021-001-0022-3CrossRef
6.
Zurück zum Zitat Cao, Y., Fu, C., Wang, X., Dong, L., Yao, S., Xue, B., Wu, H., and Wu, H., Decoding the dramatic hundred-year water level variations of a typical great lake in semi-arid region of northeastern Asia, Sci. Total Environ., 2021, vol. 770, p. 145353. https://doi.org/10.1016/j.scitotenv.2021.145353CrossRefPubMed
7.
Zurück zum Zitat Cook, E.R. and Kairiukstis, L.A., Methods of Dendrochronology: Applications in the Environmental Science, Doredrecht: Kluwer Academic, 1990.
8.
Zurück zum Zitat de Groot, W.J., Flannigan, M.D., and Cantin, A.S., Climate change impacts on future boreal fire regimes, For. Ecol. Manage., 2013, vol. 294, pp. 35–44. https://doi.org/10.1016/j.foreco.2012.09.027CrossRef
9.
Zurück zum Zitat Delcourt, C., Akhmetzyanov, L., Combee, A., Izbicki, B.J., Kukavskaya, E., Mack, M.C., Maximov, T.C., Petrov, R.E., Rogers, B.M., Sass-Klaassen, U., Scholten, R., Shestakova, T., van Wees, D., and Veraverbeke, S., Fire severity and carbon combustion in larch forest ecosystems of Northeast Siberia, AGU Fall Meet., 2021, p. B25M-1649.
10.
Zurück zum Zitat Duursma, R.A., Plantecophys - An R Package for Analysing and Modelling Leaf Gas Exchange Data, PLoS One, 2015, vol. 10, p. e0143346. https://doi.org/10.1371/journal.pone.0143346CrossRefPubMedPubMedCentral
11.
Zurück zum Zitat Fox-Kemper, B., Hewitt, H.T., Xiao, C., Aðalgeirsdóttir, G., Drijfhout, S.S., Edwards, T.L., Golledge, N.R., Hemer, M., Kopp, R.E., Krinner, G., Mix, A., Notz, D., Nowicki, S., Nurhati, I.S., Ruiz, L., Sallée, J.-B., Slangen, A.B.A., and Ocean, Y.Yu., Cryosphere and Sea Level Change, in Climate Change 2021: The Physical Science Basis. Contribution of Working Group I to the Sixth Assessment Report of the Intergovernmental Panel on Climate Change, Masson-Delmotte, V., Zhai, P., Pirani, A., Connors, S.L., Péan, C., Berger, S., Caud, N., Chen, Y., Goldfarb, L., Gomis, M.I., Huang, M., Leitzell, K., Lonnoy, E., Matthews, J.B.R., Maycock, T.K., Waterfield, T., Yelekçi, O., Yu, R., and Zhou, B., Eds., Cambridge: Cambridge Univ. Press, 2021, pp. 1211–1362. https://doi.org/10.1017/9781009157896.011CrossRef
12.
Zurück zum Zitat Gronewold, A.D., Smith, J.P., Read, L.K., and Crooks, J.L., Reconciling the water balance of large lake systems, Adv. Water Resour., 2020, vol. 137, p. 103505. https://doi.org/10.1016/j.advwatres.2020.103505CrossRef
13.
Zurück zum Zitat Heijmans, M.M.P.D., Magnússon, R.Í., Lara, M.J., Frost, G.V., Myers-Smith, I.H., van Huissteden, J., Jorgenson, M.T., Fedorov, A.N., Epstein, H.E., Lawrence, D.M., and Limpens, J., Tundra vegetation change and impacts on permafrost, Nat. Rev. Earth Environ., 2022, vol. 3, pp. 68–84. https://doi.org/10.1038/s43017-021-00233-0CrossRef
14.
Zurück zum Zitat Holmes, R.L., Computer-assisted quality control in tree-ring dating and measurement, Tree-Ring Bul., 1983, vol. 44, pp. 69–75.
15.
Zurück zum Zitat Hu, G., Zhao, L., Wu, T., Wu, X., Park, H., Fedorov, A., Wei, Y., Li, R., Zhu, X., Sun, Z., Ni, J., and Zou, D., Spatiotemporal variations and regional differences in air temperature in the permafrost regions in the Northern Hemisphere during 1980–2018, Sci. Total Environ., 2021, vol. 791, p. 148358, ISSN 0048-9697. https://doi.org/10.1016/j.scitotenv.2021.148358
16.
Zurück zum Zitat Kharuk, V.I., Ranson, K.J., Im, S.T., and Petrov, I.A., Climate-induced larch growth response within Central Siberian permafrost zone, Environ. Res. Lett., 2015, vol. 10, p. 125009. https://doi.org/10.1088/1748-9326/10/12/125009CrossRef
17.
Zurück zum Zitat Kharuk, V.I., Shushpanov, A.S., Im, S.T., and Ranson, K.J., Climate-induced landslides within the larch dominant permafrost zone of Central Siberia, Environ. Res. Lett., 2016, vol. 11. https://doi.org/10.1088/1748-9326/11/4/045004
18.
Zurück zum Zitat Kharuk, V.I., Dvinskaya, M.L., Im, S.T., Golyukov, A.S., and Smith, K.T., Wildfires in the Siberian Arctic, Fire, 2022, vol. 5, no. 4, p. 106. https://doi.org/10.3390/fire5040106CrossRef
19.
Zurück zum Zitat Kharuk, V.I., Petrov, I.A., Krivobokov, L.V., Golyukov, A.S., Dvinskaya, M.L., Im, S.T., Shushpanov, A.S., and Smith, K.T., Larch response to warming in northern Siberia, Reg. Environ. Change, 2023a, vol. 23, p. 17. https://doi.org/10.1007/s10113-022-02016-9CrossRef
20.
Zurück zum Zitat Kharuk, V.I., Petrov, I.A., Im, S.T. Golyukov, A.S., Dvinskaya, M.L., Shushpanov, A.S., Savchenko, A.P., and Temerova, V.L., Subarctic vegetation under the mixed warming and air pollution influence, Forests, 2023b, vol. 14, no. 3, p. 615. https://doi.org/10.3390/f14030615CrossRef
21.
Zurück zum Zitat Kharuk, V.I., Petrov, I.A., Golyukov, A.S., Dvinskaya, M.L., Im, S.T., and Shushpanov, A.S., Larch growth across thermal and moisture gradients in the Siberian Mountains, J. Mt. Sci., 2023c, vol. 20, pp. 101–114. https://doi.org/10.1007/s11629-022-7433-3CrossRef
22.
Zurück zum Zitat Liljedahl, A.K., Boike, J., Daanen, R.P., Fedorov, A.N., Frost, G.V., Grosse, G., Hinzman, L.D., Iijma, Y., Jorgenson, J.C., Matveyeva, N., Necsoiu, M., Raynolds, M.K., Romanovsky, V.E., Schulla, J., Tape, K.D., Walker, D.A., Wilson, C.J., Yabuki, H., and Zona, D., Pan-Arctic ice-wedge degradation in warming permafrost and its influence on tundra hydrology, Nat. Geosci., 2016, vol. 9, pp. 312–318. https://doi.org/10.1038/ngeo2674CrossRef
23.
Zurück zum Zitat Matveeva, N.V., Zonal’nost’ v rastitel’nom pokrove Arktiki (Zoning in the Vegetation Cover of the Arctic), St. Petersburg: Bot. Inst. Ross. Akad. Nauk, 1998, vol. 21.
24.
Zurück zum Zitat Muñoz-Sabater, J., ERA5-Land monthly averaged data from 1950 to 1980, Copernicus Climate Change Service (C3S) Climate Data Store (CDS), 2021. https://doi.org/10.24381/cds.68d2bb3
25.
Zurück zum Zitat Nitzbon, J., Westermann, S., Langer, M., Martin, L.C.P., Strauss, J., Laboor, S., and Boike, J., Fast response of cold ice-rich permafrost in northeast Siberia to a warming climate, Nat. Commun., 2020, vol. 11, p. 2201. https://doi.org/10.1038/s41467-020-15725-8CrossRefPubMedPubMedCentral
26.
Zurück zum Zitat Rantanen, M., Karpechko, A.Y., Lipponen, A., Nordling, K., Hyvärinen, O., Ruosteenoja, K., Vihma, T., and Laaksonen, A., The Arctic has warmed nearly four times faster than the globe since 1979, Commun. Earth Environ., 2022, vol. 3, p. 168. https://doi.org/10.1038/s43247-022-00498-3CrossRef
27.
Zurück zum Zitat Rinn, F., TSAP V 3.6. Reference Manual: Computer Program for Tree-Ring Analysis and Presentation, Germany: Heidelberg, Frank Rinn Distrib., 1996.
28.
Zurück zum Zitat Romanovsky, V., Isaksen, K., Drozdov, D., Anisimov, O., Instanes, A., Leibman, M., McGuire, A., Shiklomanov, N., Smith, S., and Walker, D., Changing permafrost and its impacts, in Snow, Water, Ice and Permafrost in the Arctic (SWIPA), 2017, pp. 65–102
29.
Zurück zum Zitat R-Studio 2024.04.1 build 748 https://​posit.​co/​download/​rstudio-desktop/​
30.
Zurück zum Zitat Running, S. and Zhao, M., MODIS/Terra Net Primary Production Gap-Filled Yearly L4 Global 500m SIN Grid V061, 2021. https://doi.org/10.5067/MODIS/MOD17A3HGF.061
31.
Zurück zum Zitat Running, S., Mu, Q., and Zhao, M., MODIS/Terra Gross Primary Productivity 8-Day L4 Global 500m SIN Grid V061 [Data set], NASA EOSDIS Land Processes Distributed Active Archive Center, 2021. https://doi.org/10.5067/MODIS/MOD17A2H.061
32.
Zurück zum Zitat Sen, P.K., Estimates of the regression coefficient based on Kendall’s tau, J. Am. Stat. Assoc., 1968, vol. 63, pp. 1379–1389.CrossRef
33.
Zurück zum Zitat Speer, J.H., Fundamentals of Tree-Ring Research, Univ. of Arizona Press, 2010. StatSoft Statistica. https://​www.​r-project.​org
34.
Zurück zum Zitat Tsvetkov, P.A., Study of the nature of fires in the northern taiga of Central Siberia, Khvoinye Boreal’noi Zony, 2006, no. 23, pp. 186–195.
35.
Zurück zum Zitat Vasiliev, A., Drozdov, D.S., Gravis, A.G., Malkova, G.V., Nyland, K.E., and Streletskiy, D.A., Permafrost degradation in the Western Russian Arctic, Environ. Res. Lett., 2020, vol. 15, p. 045001. https://doi.org/10.1088/1748-9326/ab6f12CrossRef
36.
Zurück zum Zitat Veraverbeke, S., Delcourt, C.J.F., Kukavskaya, E., Mack, M., Walker, X., Hessilt, T., Rogers, B., and Scholten, R.C., Direct and longer-term carbon emissions from arctic-boreal fires: A short review of recent advances, Curr. Opin. Environ. Sci. Health, 2021, vol. 23, p. 100277. https://doi.org/10.1016/j.coesh.2021.100277CrossRef
37.
Zurück zum Zitat Wang, Z., Zhang, B., Yao, Y., and Zhang, W., GRACE and mass budget method reveal decelerated ice loss in east Greenland in the past decade, Remote Sens. Environ., 2023, vol. 286. https://doi.org/10.1016/j.rse.2023.113450
38.
Zurück zum Zitat Webb, L.E., Alexander, H.D., Paulson, A.K., Loranty, M.M., DeMarco, J., Talucci, A.C., Spektor, V., Zimov, N., and Lichstein, J.W., Fire-induced carbon loss and tree mortality in siberian larch forests, Geophys. Res. Lett., 2024, vol. 51, p. e2023GL105216. https://doi.org/10.1029/2023GL105216
39.
Zurück zum Zitat Yakushkin, G.D., Kokorev, Ya.I., and Kolpashchikov, L.A., Prirodnye zony i mir zhivotnykh Taimyra (Natural Areas and the Animal World of Taimyr), Belgorod: LitKaraVan, 2012.
40.
Zurück zum Zitat Zhang, X., Ba, X., Chang, Y., and Chen, Z., Increased sensitivity of Dahurian larch radial growth to summer temperature with the rapid warming in Northeast China, Trees, 2016, vol. 30, pp. 1799–1806. https://doi.org/10.1007/s00468-016-1413-6CrossRef
41.
Zurück zum Zitat Zhu, L., Wang, M., Camarero, J.J., Cooper, D.J., Yuan, D., Chen, Z., Wang, X., and Cherubini, P., Permafrost melting enhances growth but leads to less intra-annual density fluctuations in boreal Larix gmelinii forests at its southernmost limit in northeast China, Ecol. Indic., 2024, vol. 164, p. 112158. https://doi.org/10.1016/j.ecolind.2024.112158CrossRef