Zum Inhalt

Short-Range Order in Gallium Solid Solutions in α-Iron

  • Open Access
  • 01.07.2024
  • STRUCTURE, PHASE TRANSFORMATIONS, AND DIFFUSION
Erschienen in:

Aktivieren Sie unsere intelligente Suche, um passende Fachinhalte oder Patente zu finden.

search-config
loading …

Abstract

Der Artikel geht auf die kurzfristige Ordnung (SO) in Fe-Ga-Legierungen ein und betont den Einfluss des Galliumgehalts und der Wärmebehandlung auf die magnetischen Eigenschaften. Es wird das Phasendiagramm von Fe-Ga-Legierungen diskutiert, wobei der Schwerpunkt auf der Bildung ungeordneter substitutioneller fester Lösungen und geordneter Phasen wie α1 und α2 liegt. Die Studie verwendet ab initio-Berechnungen und Monte-Carlo-Simulationen, um die Energiewechselwirkungen und bevorzugten atomaren Konfigurationen zu verstehen. Außerdem werden experimentelle Daten aus der Mössbauer-Spektroskopie und der Röntgenbeugung präsentiert, die das komplexe Zusammenspiel zwischen Galliumatomen und magnetischen Eigenschaften aufzeigen. Die Ergebnisse geben Aufschluss über die Mechanismen hinter der Magnetostriktion und die Rolle der Kurzstreckenordnung bei der Bestimmung des magnetischen Verhaltens dieser Legierungen.
Translated by E. Oborin

Publisher’s Note.

Pleiades Publishing remains neutral with regard to jurisdictional claims in published maps and institutional affiliations.

INTRODUCTION

Precision soft magnetic Fe–X alloys, where X = Si, Al, Ga, and Ge, characterized by high magnetic permeability and low coercive force, draw the significant interest in view of their wide application to radioelectronic industry. Fe–Si and Fe–Al alloys are used as materials for magnetic conductors in transformer cores, electromagnets, and rotors and stators of electrical machines [13]. Fe–Ga and Fe–Ge alloys are perspective magnetostriction materials applied as converters of electromagnetic energy to mechanical energy [4, 5].
A special interest in alloys of the Fe–Ga system is associated with unordinary high value of tetragonal magnetostriction 3/2λ100 = 400 × 10–6 obtained in an alloy containing about 17 at % Ga [6]. The value of magnetostriction depends on the thermal prehistory of the specimen [5]. Specimens subjected to quenching have magnetostriction values 20–25% higher than specimens slowly cooled after annealing, which indicates the role of microstructure in the formation of magnetic properties in Fe–Ga alloys. According to the phase diagram [7, 8], disordered substitutional solid solutions with the bcc crystal lattice of α-phase (structure A2) form at low gallium concentrations (up to 15 at %). As the Ga concentration increases in alloy with 15–22 at %, the phases α + α1 (structure D03) form the two-phase region. After that, we have the ordered α1-phase of stoichiometric composition Fe3Ga [9, 10]. At the temperature range of 700°C and above, when the concentration is higher than 23 at % Ga, the α2-phase region takes place (the structure of B2 type, CsCl) [9].
In work [11], using ab initio calculations of the magnetostriction coefficients, Wu showed that formation of the B2-type structure in the Fe–Ga alloy provides (unlike the D03 structure) the observed increase in the magnetostriction coefficient as the Ga content grows. According to ideas formulated in work [12], the presence of pairs of gallium atoms, being second neighbors and an element of the short-range B2 order, is the cause of magnetostriction increase. Here, the value of magnetostriction grows in linear proportion to the square of gallium concentration as its content increases up to 17 at %. Currently, such point of view remains highly disputable [1315]. The results of studying the structure and properties of Fe–Ga alloys show [7, 10, 1726] that practically important magnetic properties of Fe–Ga alloys that are in the range of disordered solid solution are due to the peculiarities of short-range order (SO) in Ga localization. At the same time, the grounds of formation of a particular SO and its effect on magnetoelastic properties of Fe–Ga alloys remain a topic of discussion.
One of the indirect attributes of the effect of local ordering on the magnetostriction value is its difference in quenched and annealed specimens of alloy at gallium concentration in the range 17–20 at % [23]. In works [27, 28], the authors point out that a significant increase in magnetostriction in quenched Fe–Ga alloys is due to local ordering of Ga atoms along the crystallographic directions \(\left\langle {100} \right\rangle \), accompanied by tetragonal distortion of the matrix. As a result, a modified D03 structure forms, in which the neighboring pairs of gallium atoms placed along the easy magnetization axis \(\left\langle {100} \right\rangle \) are second neighbors. In contrast to quenched specimens, precipitatates with a usual (cubic) D03 structure form at slow cooling.
Ab initio studies of the chemical ordering in Fe–Ga alloys demonstrated [29] that, as the alloy transits from the paramagnetic to ferromagnetic state, the effective energy of Ga–Ga interaction at distances of first and third neighbors decreases, whereas the energy at distances of second neighbors increases. This result predicts preferred formation of the B2-type structure in the paramagnetic state. The Monte Carlo simulation of the alloy structure at 18 at % Ga using calculated interatomic interactions showed that in the ferromagnetic state the short-range D03 order must form, in which gallium atoms are third neighbors.
In works [3032], the atomic structure of single-crystal specimens of Fe–Ga alloy containing 4, 9, and 18 at % Ga was studied by the X-ray diffraction method. Analysis of diffraction patterns allowed concluding that the short-range order of the D03 type is formed in alloy with 18 at % Ga, whereas the volume fraction of regions of the D03 phase significantly increases upon annealing. In alloys with 4 and 9 at % Ga, the short-range order D03 is absent. For all compositions near reflections (001), (003), and (111), diffuse peaks are observed whose intensity is independent of the heat-treatment regime (quenching or slow cooling). It was shown that their appearance is associated with the presence and stability of small clusters of the B2 type. Such variation in the SO (B2–D03) with increasing alloying element concentration was earlier observed also in Fe–Si [3338] and Fe–Al [39] alloys.
Clusters of B2 phase occur in Fe–Ga alloys at small Ga concentrations (4 and 9 at %) and are independent of the heat-treatment conditions (quenching or annealing). Because the probability of generating a Ga–Ga pair is in linear proportion to the square of concentration of gallium atoms, CGa, apparently, the presence of B2 clusters and their positive effect on the magnetostriction increase determine the quadratic growth in the coefficient λ100 as CGa increases up to 18 at %.
The numerical simulation of diffuse scattering by means of the software package DISCUS [40, 41] allowed determining the quantitative relationships for the short-order atomic structure, namely, the number and type of atoms and their displacements from the nodes of the ideal lattice that agree with the experiment. Simulation also showed that B2 clusters are the core consisting of two B2 cells having a common face surrounded by extended cells of α-iron. B2 clusters have an anisotropic shape—they are more elongated along one of the easy magnetic axes \(\left\langle {100} \right\rangle \).
In work [39], we studied the atomic structure of soft magnetic Fe–Al alloys by the X-ray diffraction and Mössbauer spectroscopy methods. Approximation of γ-resonant spectra using several sextets enabled determining such SO parameters as the proportion of Fe nuclei in configurations without Al atoms and with one, two, and three Al atoms in the first and second coordination shells (CSs). Deviation of these values from the average probabilities indicate the presence of the chemical order in the arrangement of atoms. The largest deviations are observed at 12 and 15 at % Al. The preliminary heat-treatment conditions, such as quenching from the paramagnetic state and holding in the ferromagnetic state, yield close values of the SO parameters.
Studies of the hyperfine structure of Mössbauer spectra of α-FeGa alloys have rather a long history. For instance, in a work written in 1964 [42], Wertheim et al. investigated the effect of small amounts of dissolved substitution admixtures, including Ga, in the α‑iron on the structure of magnetic splitting of Mössbauer spectra. It was for the first time showed that hyperfine field decreases by a value proportional to the number of atoms of admixture of first- and second-nearest neighbors. Later, Nerkirk and Tsuei established [43] that in Mössbauer spectra, the relation between the hyperfine field, isomer shift (IS), and the number of atoms of the dissolved substance is linear in a specific CS, the effect of different CSs is additive, and there is no quadrupole splitting. The hyperfine field and IS are completely determined by the configuration of Ga atoms in the first and second CSs.
The structure of specimens of rapidly quenched Fe–Ga alloys containing from 8.3 to 23.3 at % Ga was studied in work [44]. Using the method of X-ray diffraction, Dunlap et al. specified the disordered state as the A2 phase. The Mössbauer spectra measured at room temperature have magnetic splitting. Analysis of distributions of hyperfine fields P(H) showed the following: the random distribution of Ga atoms in the local surrounding of Fe atoms at 8.3 at % Ga, presence of two types of locally ordered gallium surroundings of iron at 17.9 and 20.5 at % Ga, and three ones at 23.3 at % Ga.
The regularities of forming Mössbauer spectrum of disordered Ga solutions in bcc iron were studied in work [45]. The contributions to the hyperfine field at iron nuclei and IS made by individual Ga admixture in two or three nearest CSs were determined in dependence on the concentration up to 37 at % Ga. In [45], Błachowski et al. showed that accounting for only two CSs is insufficient for qualitative description of spectra, whereas the model with three CSs is completely sufficient at Ga concentrations up to 21 at %.
Earlier studies demonstrated [35, 36, 39, 42‒45] that the Mössbauer spectroscopy is characterized by rather a high precision of determining the relative areas of subspectra corresponding to the individual configurations in the nearest surrounding of Fe atoms and is highly informative in studying SO in iron alloys.
The current work is aimed at studying the concentration dependence of short order in soft magnetic Fe–Ga alloys and the effect on it of heat-treatment regimes such as quenching after holding in the paramagnetic state or long-term annealing in the ferromagnetic state. We need to reveal the principal possibility of determining the short-range order parameters in Fe–Ga alloys due to discrete approximation of Mössbauer spectra and their dependence on the Ga concentration. Analysis of the results allow interpreting fine peculiarities of the atomic structure in the studied alloys.

MATERIALS AND METHODS

Iron–gallium alloys with content of 3, 6, 9, 12, 15, 17, 21, and 25 at % Ga were obtained by the method of induction casting of Fe (99.95%) and Ga (99.7%) in argon atmosphere and were cast in form of polycrystalline bars approximately 10 mm in diameter. Using spark eroding machine, we cut disks with diameters of 9–10 mm and thicknesses of 0.24–0.64 mm from the bars. For refining and release of internal mechanical stresses, we annealed all specimens in vacuum of 10–5 mm Hg at a temperature of 1050°С during 4 h with subsequent slow cooling with the furnace. After that, one specimen of each composition was annealed during 1 h at a temperature Tan = 450°C not exceeding the Curie temperature of the alloy (TC decreases from 770 to 735°C as CGa increases) and slowly cooled together with the furnace. After the 10‑min annealing at a temperature Tan = 850°C in the paramagnetic state, the second specimen was quenched in room-temperature water (with a quenching rate of ~400 deg/s). It is assumed that high-temperature holding must lead to disordering of gallium atoms in the iron bcc lattice (or to their ordering corresponding to the paramagnetic state), whereas the quenching must fix this state. The annealing temperature 450°С is well below the Curie point of the alloy, but is insufficient for activation of gallium diffusion in iron and reaching of equilibrium state at ferromagnetic ordering. For subsequent Mössbauer experiments, we thinned the specimens by mechanical and electrochemical grinding to 20 μm.
We tested the chemical composition by the energy-dispersive X-ray spectroscopy (EDS) using a scanning electron microscope Tescan Mira LMS (TESCAN, Czech Republic) with an accelerating voltage up to 30 kV equipped with a silicon drift detector Ultim Max 100 (Oxford Instruments, United Kingdom). To process the EDS spectra, we used the AZtecCrystal software. The elemental microanalysis carried out at the Electron Microscopy Department of the Collaborative Access Center “Testing Center of Nanotechnology and Advanced Materials” of the M.N. Mikheev Institute of Metal Physics, Ural Branch of the Russian Academy of Sciences (CSU IMP UB RAS) demonstrated that the composition of the specimens corresponds to the specified one.
We measured the Mössbauer absorption spectra using the СМ1101М spectrometer operating in the mode of constant accelerations. As a source, we used 57Со in a metallic Rh matrix. In measurements the specimen and the source were at room temperature. We registered the spectra using 512 channels of the analyzer memory. We calibrated the scales of velocities by means of a reference α-Fe absorber. The values of ISs are given relative to α-Fe at 295 K. To obtain information about hyperfine interactions of 57Fe nuclei, we processed the experimental spectra by superposition of subspectra (spectrum components) using the SPECTR program, part of the MSTOOLS software package [46]. We varied the following parameters: the isomer and quadrupole shifts, the hyperfine magnetic field (HFF), the widths of absorption lines, and the relative areas of subspectra. We measured the Mössbauer spectra and processed them in the Department of Mössbauer Spectroscopy of the CSU IMP UB RAS.
Interpretation of the results of processing the Mössbauer spectra is based on the data on the HFF and IS dependences on the number of nonmagnetic gallium atoms in the nearest CSs of iron atom given, e.g., in [42, 43, 45]. In addition, we also use the results of classical works by Stearnes et al. on the impact of atoms of such nonmagnetic admixtures as Si and Al on the Mössbauer spectra of alloys with α-Fe [47‒49] and the experience acquired in the determination of SO parameters from the Mössbauer spectra of disordered α-FeSi (5‒8 at % Si) and α-FeAl (3‒18 at % Al) alloys [35, 36, 39].

RESULTS AND DISCUSSION

Figure 1 shows the Mössbauer spectra of Fe–Ga alloy specimens containing from 3 to 25 at % Ga and subjected to the following heat treatment regimes: (1) quenching in room-temperature water after holding during 10 min at a temperature 850°C in the paramagnetic state and (2) annealing during 1 h at a temperature of 450°C in the ferromagnetic state.
Fig. 1.
Experimental spectra of specimens of Fe–Ga alloys (indicated by dots) containing (from top to bottom) 3, 6, 9, 12, 15, 17, 21, and 25 at % Ga (left panels) quenched in water after holding in the paramagnetic state and (right panels) slowly cooled after ferromagnetic annealing. The solid envelope of the points is the result of fitting of the experimental spectrum with subspectra (thin solid curves). Under each spectrum the difference spectrum is provided: the difference between the experimental spectrum and the result of its approximation.
Bild vergrößern
As iron atoms are substituted by nonmagnetic gallium atoms, there occurs a sophistication of the Mössbauer spectrum. Broadening of spectral lines is explained as follows: in addition to the coordination n1 = 0 (ni is the number of gallium atoms in the ith CS around the absorbing iron nucleus), in the alloy spectrum there arise configurations including one, two, and more (n1 = 1, 2, 3, …) admixture atoms in the first CS containing eight atoms [47, 48]. The relative variations in the HFF and IS for the case of gallium atoms in α-iron were given in work [42], where it was shown that the HFF decreases by 7.4(5) or 5(1)% if one Ga atom appears in the first or second CS, respectively. In addition, the IS increases by 0.08(1) mm/s.
We can trace the detailed variation in the HFF at an iron nucleus when a p element appears in its neighborhood on example of the Fe–Al alloy [39]. When one Al atom appears in the first CS of iron atom, the HFF decreases by ΔH ≈ 0.07 × HFe, or approximately by 7%, where HFe is the HFF value in pure α-iron [47]. The total decrease in the HFF is in linear proportion to the number of Al atoms in the first CS of iron atom (n1). We need to take into account the contributions of the second and third CSs [47]. Therefore, in the coordination n1 = 0, we can distinguish the configurations: n1 n2 n3 = 000, 010, 001, 011; in the coordination n1 = 1, n1 n2 = 10, 11, 12; and in the coordination n1 = 2, n1 n2 = 20, 21. In work [43], Newkirk and Tsuei established the variations in the magnetic field value at 57Fe nuclei (HFF): ΔH ≈ ‒7.0, –3.7, +1.3, and –0.1% of НFe for a single Al atom in the first, second, third, and fourth CS, respectively. It was multiply demonstrated that the dependence of ΔH on the distance between iron and metalloid atoms have oscillating and rapidly decaying character [35, 39, 47, 50]. When a Ga atom appears (in the same manner, as in the case of an Al atom [47]) in the first CS of iron nucleus (57Fe), the effective HFF decreases and so does the splitting of the corresponding sextet [42, 43, 45].
As the gallium content grows, the relative area of the subspectrum corresponding to the coordination 8 : 0 (n1 = 0) decreases, and we have a growth in both the portion of coordinations with n1 ≠ 0 and the number of gallium atoms in the first (n1), second (n3), and further CSs. As a result, as was shown earlier [52, 53], the Mössbauer spectrum is determined by the superposition of subspectra each of which corresponds to a configuration with a specific set of n1, n2, n3.
Thus, the Mössbauer spectra of Fe–Ga alloy are described by superposition of magnetic sextets each of which corresponds to a certain configuration of iron and p element atoms in the local neighborhood of the iron atom [35, 36, 39, 42, 43, 47]. Earlier, such approach was successfully used to process spectra of iron–silicon alloy specimens containing 3, 5, 6, and 8 at % Si [35, 36] and iron–aluminum alloy specimens containing from 3 to 18 at % Al [39]. The results of approximation of each spectrum of the Fe–Ga alloys with subspectra (sextets) and the difference between experiment and fitting are given in Fig. 1. It appeared that eight components (subspectra) are sufficient for a qualitative description of the experimental spectrum. As a result of variation, the width of the first line of the Zeeman sextet, Γ, corresponding to the nuclear transition –1/2 → –3/2, was from 0.27 to 0.35 mm/s (which was 17–50% larger than Γ = 0.23 mm/s in α‑iron). The relative error of determinig the width, ΔΓ/Γ, when fitting, is no larger than 2.5%. Broadening of the line is most probably explained by the effect of local deformations of the bcc lattice observed in the X-ray diffraction of the alloys [30]. The quadrupole shift was near zero and is not discussed below. The uncertainties of determining the relative areas of the spectrum components are no larger than 1%.
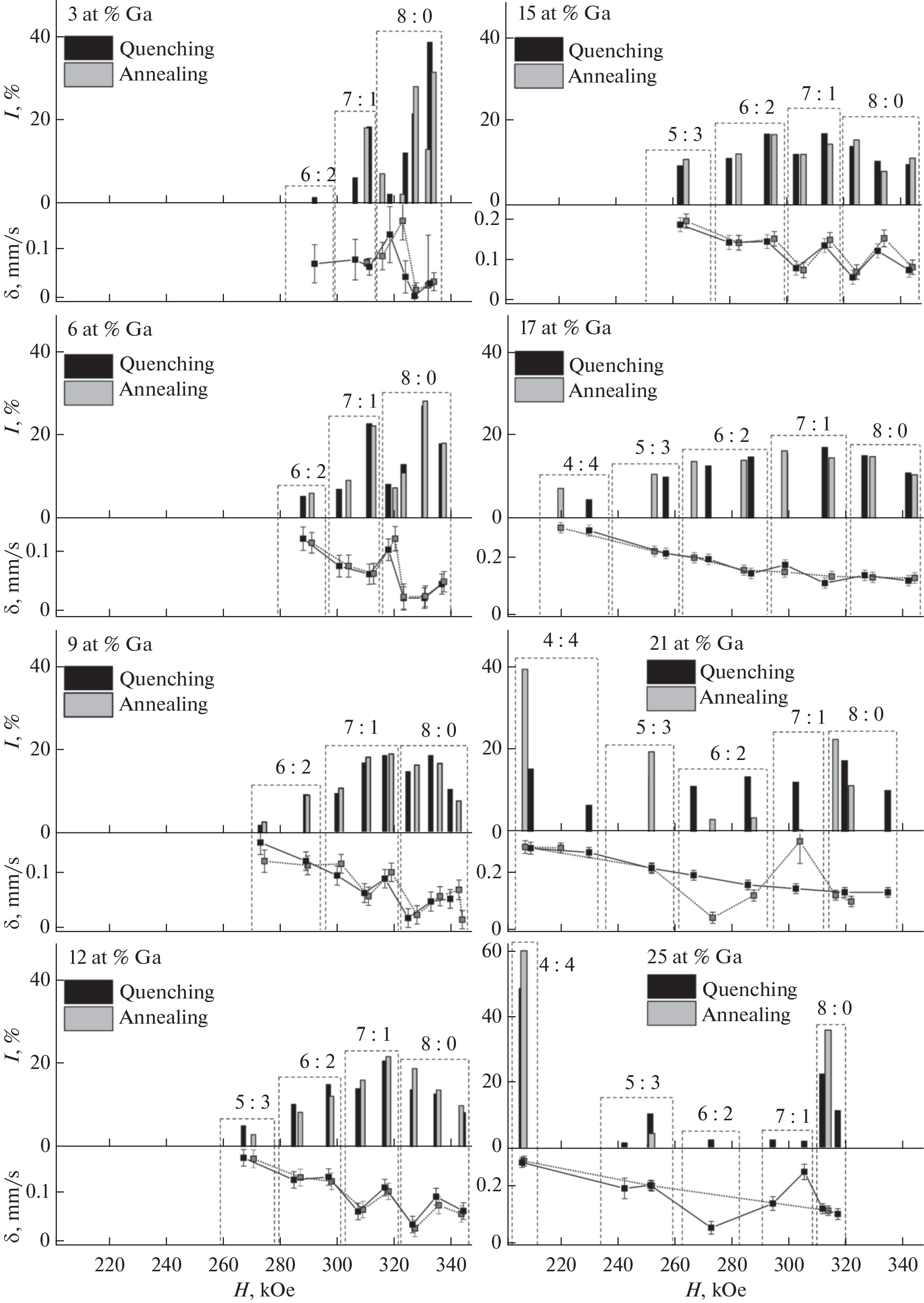
Figure 2 shows the histograms of the relative areas of individual subspectra (sextets) in the form of rectangular bars (the hight of the bar corresponds to the subspectrum area) distributed over the value of the corresponding HFF. We assume the equality of the probabilities of the Mössbauer effect for all 57Fe nuclei in different nonequivalent positions (surroundings). The relative area of each individual sextet is a proportion (probability) of certain configuration of Ga atoms in the local surrounding of iron atom with the resonance absorbing nucleus 57Fe and the corresponding HFF value (H, kOe). The IS values are given under the histograms in Fig. 2 (δ, mm/s).
Fig. 2.
Histograms of distribution of relative areas (I) and isomer shifts (δ) corresponding to contributions of main coordinations around iron nuclei such as 8 : 0, 7 : 1, 6 : 2, 5 : 3, and 4 : 4 (joined by dashed rectangles) over the HFF value (H), obtained by subspectra approximation of the Mössbauer spectra of iron–gallium alloy specimens containing 3, 6, 9, 12, 15, 17, 21, and 25 at % Ga.
Bild vergrößern
In the distribution of probabilities over the number of Ga atoms in the CS (or over the configurations), we used the following rule: one Ga atom in the first CS reduces the HFF at iron nucleus by approximately 6‒7%, two Ga atoms decrease the HFF by 12‒14%, and so on; one Ga atom in the second CS decreases the HFF by 2‒3%, two atoms reduce the HFF by 4‒6%, and so on; one atom in the third CS increases the HFF by 1‒2%, approximately similar to the way it was established for gallium [42, 43] or aluminum [47] atoms. It is also worth noting that certain configurations are more probable for a given concentration of gallium atoms. For instance, at a concentration of 3 at %, the configuration n1 n2 n3 = 000 is more probable than n1 n2 n3 = 010, n1 n2 = 10, or n1 n2 = 11. It is natural that, as the concentration CGa increases, the probability of coordination 8 : 0 must decrease, while the probabilities of other coordinations must increase. The values of the relative areas (probabilities) and ISs of subspectra corresponding to 57Fe nuclei occurring in the coordinations 8 : 0 (i.e., the number n1 = 0 of Ga atoms in the first CS), 7 : 1 (n1 = 1), 6 : 2 (n1 = 2), 5 : 3 (n1 = 3), and 4 : 4 (n1 = 0), consisting of one or several bars in the histograms given in Fig. 2 are joined by rectangles bounded by dashed lines.
The sum of relative areas of individual sextets included in the coordination 8 : 0 is its proportion I0; in the coordination 7 : 1, I1; in the coordination 6 : 2, I2; etc. In other words, the proportion of Ii is the probability of configuration with i Ga atoms in the first CS and any their numbers in the second and third CSs. The concentration dependences of the probability of appearance of coordinations 8 : 0, 7 : 1, 6 : 2, 5 : 3, and 4 : 4, in the spectra of quenched and annealed specimens of alloys containing from 3 to 25 at % Ga (CGa), compared to their values calculated by the binomial distribution for the case of statistical (random) distribution of Ga in the α-Fe lattice, are provided in Table 1 and in Fig. 3.
Table 1.  
Concentration dependence of probabilities of main configurations in iron‒gallium alloys: calculated for the case of random distribution of atoms over the sites of bcc lattice (random) and experimentally obtained for specimens of alloys subjected to heat treatments (quenching (from 850°C) and annealing (450°C, during 1 h))
CGa, %
Heat treatment
I0 (8 : 0), %
I1 (7 : 1), %
I2 (6 : 2), %
I3 (5 : 3), %
I4 (4 : 4), %
3
Random
78.4
19.4
2.1
Quenching
74.3
24.3
1.2
Annealing
81.1
18.0
6
Random
61.0
31.1
7.0
Quenching
65.2
29.3
5.0
Annealing
63.4
30.8
5.7
9
Random
47.0
37.2
12.9
2.5
Quenching
44.0
45.1
11.0
Annealing
40.6
47.9
11.5
12
Random
36.0
39.2
18.7
5.1
Quenching
34.6
34.7
25.2
5.0
Annealing
42.2
37.7
20.3
2.8
15
Random
27.2
38.5
23.8
8.4
1.8
Quenching
33.7
29.0
27.9
9.2
Annealing
34.2
26.1
28.7
10.7
 
17
Random
22.5
36.9
26.5
10.8
2.8
Quenching
25.8
32.6
27.2
9.8
4.3
Annealing
25.0
30.5
27.3
10.4
7.0
21
Random
15.2
32.3
30.0
16.0
5.3
Quenching
27.6
12.2
24.7
13.4
20.0
Annealing
33.8
0.6
6.6
19.5
39.5
25
Random
10.0
26.7
31.2
20.8
8.6
Quenching
33.6
4.0
2.2
11.5
48.6
Annealing
35.8
4.1
60.1
Fig. 3.
Concentration dependences of probabilities of contributions to Mössbauer spectra of Fe–Ga alloys made by configurations 8 : 0, 7 : 1, 6 : 2, 5 : 3, and 4 : 4, compared to their probabilities for the case of random Ga distribution. The results obtained after quenching form the paramagnetic state and annealing in the ferromagnetic state are given. The probabilities for random Ga distribution (calculated using binomial law) are indicated in the graph by dashed curves.
Bild vergrößern
To obtain a more detailed information about the character of short-range order of gallium atoms in soft magnetic iron–gallium alloys, we should take into account the following: (1) in the iron-rich part of the phase diagram Fe–Ga there are В2 and D03 phases, for which the configuration when the Ga–Ga pair of atoms are first neighbors is not typical, and, vice versa, in the regions of B2 phase, the pairs of gallium atoms are the second neighbors and in the regions of D03 phase, they are the third neighbors; (2) the data of X‑ray diffraction at a Ga concentration of 4 and 9 at % show the short-range order of only В2 type [51]; and (3) the results of ab initio calculations [29, 52] also reject the possibility of localization of gallium atoms at a distance of first neighbors in α-iron. In addition, the magnetic state plays an important role in forming the short-range order (SO) in binary alloys of iron with silicon, aluminum, or gallium: the SO of В2 forms at Т > ТС and is fixed by quenching, whereas in the ferromagnetic state the SO of D03 type is more preferred [53].
If in Fe–Ga alloys (similar to alloys iron with silicon or aluminum [35‒39]) the B2 pairs of Ga atoms form, then they yield the main contribution to the coordination 6 : 2. In the nearest neighborhood of such pair, 4 Fe atoms have two Ga atoms in the first CS. This is the contribution to the coordination 6 : 2, I2. And 8 Fe atoms have one Ga atom in the first CS (contribution to 7 : 1 is I1). The ratio of probabilities is I2/I1 = 4/8 = 0.5.
In the case of establishing the SO of D03 type (Ga–Ga pairs are third neighbors), the ratio must be I2/I1 = 2/12 ≈ 0.17. When a pair of Ga–Ga atoms placed at the ends of diagonal of the bcc unit cell (fifth neighbors) forms, only one Fe atom simultaneously is the first neighbor for two Ga atoms (coordination 6 : 2) and fourteen Fe atoms are in the coordination 7 : 1. The ratio is I2/I1 = 1/14 ≈ 0.07.
The IS values are given in Fig. 2 right under the bars of the histogram of the relative areas of subspectra. The IS is determined by the density of s electrons at a 57Fe nucleus and characterizes the valent/spin state of iron atom. The IS grows as the number of gallium atoms in the nearest surrounding of iron atom increases. The minimal value δ = 0–0.02 mm/s is observed at concentrations of 3–9 at % Ga, which corresponds to the configurations without gallium atoms. As the concentration CGa increases, the number of Ga atoms in several first CSs grows of course. In addition, the IS increases stepwise. The maximal value of δ about 0.3 mm/s is reached in the coordinations 4 : 4 at the highest concentrations of gallium (21 and 25 at %).
When the concentration is 3 at % Ga, in the spectrum of the quenched specimen there are four bars in the main coordination 8 : 0, whereas in the spectrum of the annealed specimen there are five bars (Fig. 2). Since there are few gallium, the highest bars are apparently caused by the configuration n1n2n3 = 000. Other columns of this coordination with smaller values of HFF are contributions of configurations in which gallium atoms are in the second, third, and, probably, fourth CS, but this point requires further investigation. One Ga atom in the first CS yields the contribution to the coordination 7 : 1, which in the spectrum of the quenched specimen is represented by two bars n1n2 = 10 and 11, whereas in the spectrum of the annealed specimen, it is represented by one bar n1n2 = 10. Because gallium atoms cannot be nearest neighbors for eath other in the α-iron lattice, the configuration n1n2 = 11 is formed by the pair of gallium atoms when the first atom in the first CS of iron atom and the second one in the second CS, and they are fourth neighbors to each other. The probability of coordination 6 : 2, which appears at a level of uncertainty (1.2%), occurs only in the spectrum of the quenched specimen. Probably, this is the contribution of B2 pairs, which in the ferromagnetic state are not energetically favorable [29].
At 6 at % of gallium, four bars are separated in the coordination 8 : 0, most probably, with numbers n1n2n3 = 020, 010, 000, and 001, among which the bar n1n2n3 = 000 is the largest and has the smallest value of IS. The largest HFF value has bars of configurations with one atom in the third CS or n1n2n3 = 001, which corresponds to the above described rule. In the coordination 8 : 0, the largest IS value is for the smallest bars of the configuration n1n2n3 = 020 (two Ga atoms in the second CS). This IS value is close by the value to the IS value of the coordination 6 : 2. In the coordination 7 : 1, the spectra contain two subspectra n1n2 = 10 and 11 with close probabilities. In the spectrum of the annealed specimen, the contribution n1n2 = 11 is somewhat larger than that in the spectrum of the quenched one. Consequently, after annealing, the short-range ordering at which the pair of gallium atoms are fourth neighbors enhances. By the data of our X‑ray structural analysis in specimens of alloys containing from 4 to 9 at % Ga, there are just the clusters of the B2 phase centered by pairs of Ga atoms [51].
Since the ratio is I2/I1 ≈ 0.18, for such Ga–Ga pairs we can estimate the proportion of gallium atoms making contribution to the coordination 7 : 1 equal to 0.36 from pairs and 0.64 from individual atoms. Recalculation to individual gallium atoms yields 2 × 0.36/(2 × 0.36 + 0.64) ≈ 0.53 atoms in the Ga–Ga pairs, while the proportion of the rest atoms (that is, more distant from each other) is 0.47. Thus, at a concentration of 6 at %, approximately 3 at % Ga appears in the pairs and the same amount in the form of individual atoms.
When the spectra of alloy specimens containing 9 at % Ga were approximated, in the coordinations 8 : 0 and 7 : 1 we obtained three subspectra (three bars in the histogram), and in the coordination 6 : 2 we obtained two ones. The highest bar in the coordination 8 : 0 is the configuration n1n2n3 = 000. At a larger HFF value is the bar of configuration with Ga atom in the third CS (n1n2n3 = 001), and at a smaller HFF value, the bar of configuration with Ga atom in the second CS (n1n2n3 = 010). The IS values point out the presence of gallium atoms in the nearest neighborhood, for instance, in the fourth CS, and these atoms have no corresponding contributions to the histograms. Three bars in the coordination 7 : 1 are contributions of the configuration n1n2 = 10, 11, and 12, and the corresponding IS values indicate three, two, and again three gallium atoms in the nearest neighborhood of the iron atom. The configuration n1n2 = 11 is formed by the pair of gallium atoms: the first is in the first CS of the iron atom and the second is in the second CS; these gallium atoms are fourth neighbors to each other. The coordination n1n2 = 12 is formed by a triple of gallium atoms: the first one in the first CS, and the second and third atoms are in the second CS of the iron atom. For the first Ga atom, the second and the third ones are fourth neighbors, and these atoms are third neighbors to each other (SO of D03 type). In the coordination 6 : 2 there are two bars in both the cases of the quenched and annealed specimens (the configurations n1n2 = 20, 21); the latter is realized by a pair of Ga atoms, the second neighbors (SO of B2 type), and one Ga atom, the fourth neighbor for both atoms of the pair.
The IS values correspond to the identical numbers of gallium atoms (most probably, three Ga atoms) in the nearest neighborhood of Fe in the annealed specimen, and they correspond to different numbers of gallium atoms in the spectrum of the quenched specimen: three (n1n2 = 20) and four (n1n2 = 21) atoms. The ratio of the probabilities I2/I1 ≈ 0.24 allows, as in the previous case of concentration of 6 at % Ga, computing the proportion of atoms in the pairs as 65% and the proportion of individual Ga atoms as 35%. In the alloy there are approximately 5.8 at % gallium atoms in pairs and ~3.2 at % in the form of individual atoms.
In the fit of the Mössbauer spectra for the specimens of the alloy with 12 at % Ga, in the coordination 8 : 0, we observe three sextets; two sextets in both the coordinations 7 : 1 and 6 : 2 and one new sextet in the coordination 5 : 3. All these sextets have identical IS values in the spectra of both quenched and annealed specimens of the alloy. The probabilities of coordinations 6 : 2 (I2) and 5 : 3 (I3) in the spectra of the quenched specimen are higher (by 20% and by 44%, respectively) than in the spectra of the annealed specimen, whereas the probabilities of coordinations 8 : 0 are higher for the annealed specimen (I0 by 22%) and 7 : 1 (I1 by 9%). If we assume that the main SO type is B2, then the portion of B2 phase decreases by approximately 20% after annealing in the ferromagnetic state. The ratio is I2/I1 = 0.73 after quenching and I2/I1 = 0.54 after annealing, which exceeds the value of I2/I1 = 0.5 typical of B2 Ga–Ga pairs. It is natural to assume that in the alloy there are triples of atoms elongated along the crystallographic axes \(\left\langle {100} \right\rangle \) for which the value I2/I1 can reach 1.0. As a result of combinations of gallium atoms oriented along the lines \(\left\langle {100} \right\rangle \) of Ga–Ga pairs and Ga–Ga–Ga triples, the ratios I2/I1 observed experimentally are realized, and their significant decrease after annealing testifies to a reduction in the propotrions of both Ga–Ga pairs and Ga–Ga–Ga triples in the alloy. If we assume that at Ga concentration of 12 at % in the alloy there are no single Ga atoms, whereas due to pairs the value I2/I1 = 0.5 is reached, the difference of ratios [(I2/I1)quench ‒ (I2/I1)ann] = 0.23 and 0.04 in the case of quenched and annealed specimens, respectively, is explained by a reduction in the proportion of only triples. Perhaps, in the alloy there are “broken” triples consisting of three gallium atoms belonging to the same face of the bcc lattice; in addition to contribution in the coordinations 7 : 1 (I1) and 6 : 2 (I2), they make a contribution to the probability I3 of the coordination 5 : 3. Judging by the decrease in the probability of the contribution of 5 : 3 after annealing, the proportion of such triples declines.
The distribution of bars by the HFF in histograms of alloy specimens containing 15 at % Ga is close to the distribution for 12 at % Ga specimens. There are three bars in the coordination 8 : 0: two bars in both 7 : 1 and 6 : 2, and one bar in 5 : 3. Correlation of the IS and HFF values repeats their correlation in the specimens with 12 at % Ga. To interpret the results of approximation of the spectra of alloy specimens containing 15 at % Ga with subspectra, we can use the reasoning from the previous consideration for 12 at %. The difference is that the results of approximation are almost independent of the heat approximation conditions.
The ratios I2/I1 = 0.96 after quenching and I2/I1 = 1.09 after annealing differ insignificantly and are explained by the presence of Ga–Ga B2 pairs and Ga–Ga–Ga triples oriented along the axes \(\left\langle {100} \right\rangle \). In the spectra of the alloy at 15 at % Ga there also is a contribution of the coordination 5 : 3, which after annealing in the ferromagnetic state increases little more than by 10%. It is probably that in the case of 15 at % Ga, the small defect clusters of the D03 phase make a contribution to the coordination 5 : 3.
The main difference of the results of proccesing of the spectra of quenched and annealed specimens of alloy containing 17 at % Ga consists in an increase after annealing of the proportion of coordination 4 : 4 by more than 60%, which completely corresponds to the results of X-ray structural analysis [30] and simultaneously explains a decrease in the magnetostriction in slowly cooled specimens in comparison with the quenched ones [4, 5] due to negative effect of the D03-type SO on the magnetostriction.
The probability of other coordinations is almost independent of the heat treatment conditions; the relative variations fluctuate in the range 3–6%, which is slightly larger than the threshold of method sensitivity (1%). The coordination 8 : 0 occurs in the regions of alloy with a decreased Ga content and in cells of the D03 phase. If the portion of the D03 phase increases after annealing, then, probably, the contribution of gallium-poor regions simultaneously decreases; the probability I0 decreases by 3%. The coordination 6 : 2 mainly occurs due to pairs or triples of gallium atoms of second neighbors. The ratio of probabilities I2/I1 = 0.5 is typical of such pairs, and I2/I1 = 1.0 is typical of triples. At 17 at % Ga the ratio I2/I1 is 0.83 after quenching and 0.90 after annealing. A small number of iron atoms in the coordinations 7 : 1 and 6 : 2 may appear on the surface of regions of the D03 phase, whereas the coordination 5 : 3 may occur both on the surface and in the bulk of the regions of the D03 phase when the population of the lattice sites has violated periodicity.
The spectra of alloy specimens containing 21 at % Ga (Fig. 1) and the results of their approximation, histograms (Fig. 2), depend on the heat treatment conditions. The quenched specimen looks like a more disordered one, because its spectrum is fitted with eight components (sextets), which have relative areas from 7 to 20%. Here, the most probable are the coordinations 8 : 0, 6 : 2, and 4 : 4, whose probability sequentially decreases: 28, 25, and 20%. The probabilities of coordinations 7 : 1 and 5 : 3 are at the level of 12–13%.
The coordinations 8 : 0 and 4 : 4 indicate the presence of the D03-type regions with a proportion reaching 20% because the coordination 4 : 4 (I4 = 20%) occurs only in the D03 cells. At the same time, the SO of B2 type preserves, although the value I2 = 25% (coordination 6 : 2) has a more complex origin because, in addition to pairs and triples of Ga atoms, the boundaries of the D03-phase regions make a contribution to the SO. After ferromagnetic annealing, the spectrum is approximated with seven subspectra. Compared to the quenched specimen, the probability of coordination 4 : 4 (I4 = 39.5%) increases approximately twice and the probability of coordination 8 : 0 increases by 22% and reaches 34%, which occurs due to one subspectrum corresponding to the configuration with a large number of gallium atoms in the second CS. Both these peculiarities testify to a substantial growth of the D03-phase regions, which is due to individual Ga atoms and B2 clusters.
At the same time, we have a sharp decrease in the probabilities of coordinations 7 : 1 and 6 : 2, reaching 0.6% and 6.6%, that is, by 95 and 63%, respectively. The coordination 5 : 3, whose probability after ferromagnetic annealing increases by 46% and reaches 19.5%, occurs due to regions of the D03 phase, in which the periodicity of population of the Ga sublattice is violated because of insufficient number of Ga atoms. In the first CS of iron atom, we need one more Ga atom to form the coordination 4 : 4, characteristic of the D03 phase. The point is that the ratio of I0/I4 = 0.5 (the probability of coordination 8 : 0 referred to the probability of coordination 4 : 4) is typical of regions of the D03 phase. After annealing, the ratio is I0/I4 = 0.856. However, if we add the contributions of coordinations 5 : 3 and 4 : 4, taking into account that the coordination 5 : 3 is affected by the regions of the D03 phase, but having defects of the site population periodicity, the ratio I0/(I4 + I3) = 0.58 becomes closer to the anticipated one.
The largest degree of the D03-type order is reached in alloy specimens containing 25 at % Ga. Whereas the spectrum of the quenched specimen is fitted with seven subspectra, the spectrum of the annealed one is fitted with three subspectra. In the quenched alloy specimen, the most probable coordinations are 8 : 0 (34%), 5 : 3 (12%), and 4 : 4 (49%), and the least probable ones are 7 : 1 and 6 : 2 (4 and 2%, respectively), which indicates the predominance of the D03-phase regions. The ratio is I0/(I4 + I3) = 34/(12+49) = 0.56. B2 clusters are most probably absent as a result of their absorption by the regions of the D03 phase. After annealing in the ferromagnetic state, the coordinations 7 : 1 and 6 : 2 are absent, and the probability of coordination 5 : 3 decreases to 4%, whereas the probabilities of coordinations 8 : 0 and 4 : 4 grow by 6 and 24%, reaching 36 and 60%, respectively. Consequently, after annealing, rather large regions of the D03 phase form in the alloy. Most probably, the long-range order of the D03 type is induced in the alloy specimen.
The results of the Mössbauer spectroscopy of Fe–Ga alloy specimens containing from 3 to 25 at % Ga do not contradict the phase diagram [7, 8] and the results of the X-ray structural analysis [32, 51]. At the same time, they allow obtaining the parameters of the chemical short-range order of Fe–Ga alloys in the region of disordered solid solution (the A2 phase) and important quantitative relationships between them.

CONCLUSIONS

We used the Mössbauer spectroscopy method to study the short-range order in Fe–Ga alloys with a Ga content from 3 to 25 at % subjected to quenching from the paramagnetic state or holding in the ferromagnetic state. The approximation of the Mössbauer spectra using set of subspectra allowed determining the proportions of Fe atoms in both main coordination with Ga atoms in the first CS (8 : 0, 7 : 1, 6 : 2, 5 : 3, and 4 : 4) and configurations corresponding to different numbers of Ga atoms in the second and third CSs of the absorbing Fe nuclei.
We showed that in the region of solid solution (α‑phase, 3‒17 at % Ga), the short-range order is almost independent of the heat-treatment conditions and is characterized by the presence of pairs of Ga atoms in the position of second neighbors for each other. The effect of the heat treatments of the specimens (quenching or annealing) on the character of local ordering of gallium atoms appears beginning with 17 at % Ga; the portion of B2-type clusters after quenching turns out to be substantially higher than that after annealing, and there appears a considerable portion of coordination 4 : 4 typical only of the D03 phase. At Ga concentrations of 21 and 25 at %, the amount of regions of the D03 phase increases as the gallium content grows and as a result of annealing in the ferromagnetic state. After annealing of the alloy specimen containing 25 at % Ga, the D03 long-range order is established.
The Mössbauer spectroscopy method is sufficiently sensitive to small variations in the number of gallium atoms in the first CS of iron nuclei and also “sees” the atoms of the second coordination shell. For instance, in the coordinations 7 : 1 and 6 : 2, that is, those with one and two Ga atoms in the first CS of iron atom, we also observe the contributions without Ga or with one (two) Ga atoms in the second CS. Moreover, gallium atoms are fourth neighbors to each other. It was established that at 6 at % Ga, approximately the half of atoms is represented by B2 pairs (Ga–Ga are second neighbors) and approximately the half of atoms is represented by individual atoms (more distant to each other), whereas at 9 at %, two thirds of them exist in pairs and approximately one third of atoms is separated.

CONFLICT OF INTEREST

The authors of this work declare that they have no conflicts of interest.
Open Access.This article is licensed under a Creative Commons Attribution 4.0 International License, which permits use, sharing, adaptation, distribution and reproduction in any medium or format, as long as you give appropriate credit to the original author(s) and the source, provide a link to the Creative Commons license, and indicate if changes were made. The images or other third party material in this article are included in the article’s Creative Commons license, unless indicated otherwise in a credit line to the material. If material is not included in the article’s Creative Commons license and your intended use is not permitted by statutory regulation or exceeds the permitted use, you will need to obtain permission directly from the copyright holder. To view a copy of this license, visit http://creativecommons.org/licenses/by/4.0/
Translated by E. Oborin

Publisher’s Note.

Pleiades Publishing remains neutral with regard to jurisdictional claims in published maps and institutional affiliations.
Download
Titel
Short-Range Order in Gallium Solid Solutions in α-Iron
Verfasst von
N. V. Ershov
N. M. Kleinerman
Yu. N. Gornostyrev
V. A. Lukshina
D. A. Shishkin
A. V. Timofeeva
S. P. Naumov
A. E. Svirid
Publikationsdatum
01.07.2024
Verlag
Pleiades Publishing
Erschienen in
Physics of Metals and Metallography / Ausgabe 7/2024
Print ISSN: 0031-918X
Elektronische ISSN: 1555-6190
DOI
https://doi.org/10.1134/S0031918X24600738
1.
Zurück zum Zitat V. V. Druzhinin, Magnetic Properties of Electrical Steel (Energiya, Moscow, 1974).
2.
Zurück zum Zitat V. A. Zaikova, I. E. Startseva, and B. N. Filippov, Domain Structure and Magnetic Properties of Electrical Steels (Nauka, Moscow, 1992).
3.
Zurück zum Zitat A. S. Freitas, D. F. De Albuquerque, I. P. Fittipaldi, and N. O. Moreno, “Magnetic properties of Fe–Al for quenched diluted spin-1 Ising model,” J. Magn. Magn. Mater. 362, 226–228 (2014). https://doi.org/10.1016/j.jmmm.2014.03.055CrossRef
4.
Zurück zum Zitat A. E. Clark, K. B. Hathaway, M. Wun-Fogle, J. B. Restorff, T. A. Lograsso, V. M. Keppens, G. Petculescu, and R. A. Taylor, “Extraordinary magnetoelasticity and lattice softening in bcc Fe–Ga alloys,” J. Appl. Phys. 93, 8621–8623 (2003). https://doi.org/10.1063/1.1540130CrossRef
5.
Zurück zum Zitat D. Wu, Q. Xing, R. W. Mccallum, and T. A. Lograsso, “Magnetostriction of iron-germanium single crystals,” J. Appl. Phys. 103, 07B307 (2008). https://doi.org/10.1063/1.2829393
6.
Zurück zum Zitat J. R. Cullen, A. E. Clark, M. Wun-Fogle, J. B. Restorff, and T. A. Lograsso, “Magnetoelasticity of Fe–Ga and Fe–Al alloys,” J. Magn. Magn. Mater. 226–230, 948–949 (2001). https://doi.org/10.1016/s0304-8853(00)00612-0CrossRef
7.
Zurück zum Zitat O. Kubaschewski, Iron-Binary Phase Diagrams (Springer, Berlin, 1982).
8.
Zurück zum Zitat O. Ikeda, R. Kainuma, I. Ohnuma, K. Fukamichi, and K. J. Ishida, “Phase equilibria and stability of ordered b.c.c. phases in the Fe-rich portion of the Fe–Ga system,” J. Alloys Compd. 347, 198–205 (2002). https://doi.org/10.1016/s0925-8388(02)00791-0CrossRef
9.
Zurück zum Zitat T. A. Lograsso and E. M. Summers, “Detection and quantification of D03 chemical order in Fe–Ga alloys using high resolution X-ray diffraction,” Mater. Sci. Eng., 416, 240–245 (2006). https://doi.org/10.1016/j.msea.2005.10.035CrossRef
10.
Zurück zum Zitat A. K. Mohamed, V. V. Cheverikin, S. V. Medvedeva, I. A. Bobrikov, A. M. Balagurov, and I. S. Golovin, “First- and second-order phase transitions in Fe–(17–19) at % Ga alloys,” Mater. Lett. 279, 128508 (2020). https://doi.org/10.1016/j.matlet.2020.128508CrossRef
11.
Zurück zum Zitat R. Wu, “Origin of large magnetostriction in FeGa alloys,” J. Appl. Phys. 91, 7358–7360 (2002). https://doi.org/10.1063/1.1450791CrossRef
12.
Zurück zum Zitat J. Cullen, P. Zhao, and M. Wuttig, “Anisotropy of crystalline ferromagnets with defects,” J. Appl. Phys. 101, 123922 (2007). https://doi.org/10.1063/1.2749471CrossRef
13.
Zurück zum Zitat J. Boisse, H. Zapolsky, and A. G. Khachaturyan, “Atomic-scale modeling of nanostructure formation in Fe–Ga alloys with giant magnetostriction: Cascade ordering and decomposition,” Acta Mater. 59, 2656–2668 (2011). https://doi.org/10.1016/j.actamat.2011.01.002CrossRef
14.
Zurück zum Zitat M. Huang and T. A. Lograsso, “Short range ordering in Fe–Ge and Fe–Ga single crystals,” Appl. Phys. Lett. 95, 171907 (2009). https://doi.org/10.1063/1.3254249CrossRef
15.
Zurück zum Zitat H. Wang, Y. N. Zhang, R. Q. Wu, L. Z. Sun, D. S. Xu, and Z. D. Zhang, “Understanding strong magnetostriction in Fe100 − xGax alloys,” Sci. Rep. 3, 3521 (2013). https://doi.org/10.1038/srep03521CrossRefPubMedPubMedCentral
16.
Zurück zum Zitat G. A. Marchant, Ch. D. Woodgate, Ch. E. Patrick, and J. B. Staunton, “Ab initio calculations of the phase behavior and subsequent magnetostriction of Fe1−xGax within the disordered local moment picture,” Phys. Rev. B 103, 094414 (2021). https://doi.org/10.1103/physrevb.103.094414CrossRef
17.
Zurück zum Zitat M. C. Zhang, H. L. Jiang, X. X. Gao, J. Zhu, and S. Z. Zhou, “Magnetostriction and microstructure of the melt-spun Fe83Ga17 alloy,” J. Appl. Phys. 99, 023903 (2006). https://doi.org/10.1063/1.2164528CrossRef
18.
Zurück zum Zitat S. Pascarelli, M. P. Ruffoni, R. Sato Turtelli, F. Kubel, and R. Grössinger, “Local structure in magnetostrictive melt-spun Fe80Ga20 alloys,” Phys. Rev. B 77, 184406 (2008). https://doi.org/10.1103/physrevb.77.184406CrossRef
19.
Zurück zum Zitat G. Petculescu, R. Wu, and R. McQueeney, “Magnetoelasticity of bcc Fe–Ga Alloys,” in Handbook of Magnetic Materials, Ed. by K. H. J. Buschow (Elsevier, Oxford, 2012), pp. 123–226. https://doi.org/10.1016/b978-0-444-56371-2.00003-9
20.
Zurück zum Zitat H. Wang, Y. N. Zhang, R. Q. Wu, L. Z. Sun, D. S. Xu, and Z. D. Zhang, “Understanding strong magnetostriction in Fe100 − xGax alloys,” Sci. Rep. 3, 3521 (2013). https://doi.org/10.1038/srep03521CrossRefPubMedPubMedCentral
21.
Zurück zum Zitat D. Viehland, J. F. Li, T. A. Lograsso, A. Ross, and M. Wuttig, “Structural studies of Fe0.81Ga0.19 by reciprocal space mapping,” Appl. Phys. Lett. 81, 3185–3187 (2002). https://doi.org/10.1063/1.1516231CrossRef
22.
Zurück zum Zitat H. Cao, P. M. Gehring, C. P. Devreugd, J. A. Rodriguez-Rivera, J. Li, and D. Viehland, “Role of nanoscale precipitates on the enhanced magnetostriction of heat-treated galfenol (Fe1 – xGax) alloys,” Phys. Rev. Lett. 102, 127201 (2009). https://doi.org/10.1103/PhysRevLett.102.127201CrossRefPubMed
23.
Zurück zum Zitat Y. Du, M. Huang, S. Chang, D. L. Schlagel, T. A. Lograsso, and R. J. Mcqueeney, “Relation between Ga ordering and magnetostriction of Fe–Ga alloys studied by X-ray diffuse scattering,” Phys. Rev. B 81, 54432 (2010). https://doi.org/10.1103/physrevb.81.054432CrossRef
24.
Zurück zum Zitat Y. Du, M. Huang, T. A. Lograsso, and R. J. McQueeney, “X-ray diffuse scattering measurements of chemical short-range order and lattice strains in a highly magnetostrictive Fe0.813Ga0.187 alloy in an applied magnetic field,” Phys. Rev. B 85, 214437 (2012). https://doi.org/10.1103/physrevb.85.214437CrossRef
25.
Zurück zum Zitat Yu. Ke, C. Jiang, J. Tao, and H. Duan, “Local inhomogeneous structural origin of giant magnetostriction in Fe–Ga alloys,” J. Alloys Compd. 725, 14–22 (2017). https://doi.org/10.1016/j.jallcom.2017.05.180CrossRef
26.
Zurück zum Zitat N. Rahman, M. Li, T. Ma, and M. Yan, “Microstructural origin of the magnetostriction deterioration in slowly cooled Fe81Ga19,” J. Alloys Compd. 786, 300–305 (2019). https://doi.org/10.1016/j.jallcom.2019.01.331CrossRef
27.
Zurück zum Zitat T. A. Lograsso, A. R. Ross, D. L. Schlagel, A. E. Clark, and M. Wun-Fogle, “Structural transformations in quenched Fe–Ga alloys,” J. Alloys Compd. 350, 95–101 (2003). https://doi.org/10.1016/s0925-8388(02)00933-7CrossRef
28.
Zurück zum Zitat Ya. He, X. Ke, Ch. Jiang, N. Miao, H. Wang, J. M. D. Coey, Yu. Wang, and H. Xu, “Interaction of trace rare-earth dopants and nanoheterogeneities induces giant magnetostriction in Fe–Ga alloys,” Adv. Funct. Mater. 28, 1800858 (2018). https://doi.org/10.1002/adfm.201800858CrossRef
29.
Zurück zum Zitat M. V. Petrik, O. I. Gorbatov, and Yu. N. Gornostyrev, “Role of magnetism in the formation of a short-range order in an Fe–Ga alloy,” JETP Lett. 98, 809–812 (2013). https://doi.org/10.1134/s002136401325019xCrossRef
30.
Zurück zum Zitat Yu. P. Chernenkov, N. V. Ershov, and V. A. Lukshina, “Effect of annealing in a ferromagnetic state on the structure of an Fe–18 at % Ga alloy,” Phys. Solid State 60, 2370–2380 (2018). https://doi.org/10.1134/S1063783419010050CrossRef
31.
Zurück zum Zitat Yu. P. Chernenkov, N. V. Ershov, and V. A. Lukshina, “Finding a new B1-type phase in single crystals of Fe–Al and Fe–Ga soft magnetic alloys,” Phys. Solid State 61, 1960–1968 (2019). https://doi.org/10.1134/s1063783419110118CrossRef
32.
Zurück zum Zitat Yu. P. Chernenkov, O. P. Smirnov, V. A. Lukshina, A. V. Timofeeva, M. V. Petrik, A. R. Kuznetsov, N. V. Ershov, Yu. N. Gornostyrev, and D. A. Shishkin, “Short-range order and its stability in a soft-magnetic iron–gallium alloy,” Phys. Met. Metallogr. 125, 78–86 (2024). https://doi.org/10.1134/s0031918x23602536CrossRef
33.
Zurück zum Zitat Yu. P. Chernenkov, O. P. Smirnov, V. A. Lukshina, A. V. Timofeeva, M. V. Petrik, A. R. Kuznetsov, N. V. Ershov, Yu. N. Gornostyrev, and D. A. Shishkin, “Short-range order and its stability in a soft-magnetic iron–gallium alloy,” Phys. Met. Metallogr. 125, 78–86 (2024). https://doi.org/10.1134/s0031918x23602536CrossRef
34.
Zurück zum Zitat Yu. P. Chernenkov, V. I. Fedorov, V. A. Lukshina, B. K. Sokolov, and N. V. Ershov, “X-ray diffuse scattering from α-Fe and α-Fe1 – xSix single crystals,” Phys. Met. Metallogr. 100, 235–243 (2005).
35.
Zurück zum Zitat N. V. Ershov, Yu. P. Chernenkov, V. A. Lukshina, and V. I. Fedorov, “X-ray diffraction studies of specific features in the atomic structure of Fe–Si alloys in the α area of the phase diagram,” Phys. Solid State 51, 441–447 (2009). https://doi.org/10.1134/s1063783409030019CrossRef
36.
Zurück zum Zitat N. V. Ershov, N. M. Kleinerman, V. A. Lukshina, V. P. Pilyugin, and V. V. Serikov, “Specific features of the local atomic structure of a Fe–Si alloy in the α area of the phase diagram,” Phys. Solid State 51, 1236–1242 (2009). https://doi.org/10.1134/s1063783409060250CrossRef
37.
Zurück zum Zitat V. V. Serikov, N. M. Kleinerman, V. A. Lukshina, and N. V. Ershov, “Short-range order in Fe1 − xSix (x = 0.05−0.08) alloys with induced magnetic anisotropy,” Phys. Solid State 52, 339–345 (2010). https://doi.org/10.1134/s1063783410020198CrossRef
38.
Zurück zum Zitat N. V. Ershov, Yu. P. Chernenkov, V. A. Lukshina, and V. I. Fedorov, “Structure of α-FeSi alloys with 8 and 10 at % silicon,” Phys. Solid State 54, 1935–1942 (2012). https://doi.org/10.1134/s1063783412090107CrossRef
39.
Zurück zum Zitat N. V. Ershov, Yu. P. Chernenkov, V. A. Lukshina, and O. P. Smirnov, “Short-range order in α-FeAl soft magnetic alloy,” Phys. Solid State 60, 1661–1673 (2018). https://doi.org/10.1134/s106378341809010xCrossRef
40.
Zurück zum Zitat N. V. Ershov, N. M. Kleinerman, V. A. Lukshina, Y. P. Chernenkov, D. A. Shishkin, O. P. Smirnov, and V. G. Semenov, “Short-range order in "disordered” aluminum solid solutions in α-iron,” Phys. Solid State, No. 3, 366 (2023). https://doi.org/10.21883/PSS.2023.03.55576.558
41.
Zurück zum Zitat T. H. Proffen and R. B. Neder, “DISCUS: A program for diffuse scattering and defect-structure simulation,” J. Appl. Crystallogr. 30, 171–175 (1997). https://doi.org/10.1107/s002188989600934xCrossRef
42.
Zurück zum Zitat Yu. P. Chernenkov, N. V. Ershov, V. A. Lukshina, V. I. Fedorov, and B. K. Sokolov, “An X-ray diffraction study of the short-range ordering in the soft-magnetic Fe–Si alloys with induced magnetic anisotropy,” Phys. B: Condens. Matter 396, 220–230 (2007). https://doi.org/10.1016/j.physb.2007.04.008CrossRef
43.
Zurück zum Zitat G. K. Wertheim, V. Jaccarino, J. H. Wernick, and D. N. E. Buchanan, “Range of the exchange interaction in iron alloys,” Phys. Rev. Lett. 12, 24–27 (1964). https://doi.org/10.1103/physrevlett.12.24CrossRef
44.
Zurück zum Zitat L. R. Newkirk and C. C. Tsuei, “Mössbauer study of BiF3-type ordering in metastable FeGa alloys,” J. Appl. Phys. 42, 5250–5253 (1971). https://doi.org/10.1063/1.1659931CrossRef
45.
Zurück zum Zitat R. A. Dunlap, J. D. McGraw, and S. P. Farrell, “A Mössbauer effect study of structural ordering in rapidly quenched Fe–Ga alloys,” J. Magn. Magn. Mater. 305, 315–320 (2006). https://doi.org/10.1016/j.jmmm.2006.01.020CrossRef
46.
Zurück zum Zitat A. Błachowski, K. Ruebenbauer, J. Żukrowski, and J. Przewoźnik, “Charge and spin density on iron nuclei in the BCC Fe–Ga alloys studied by Mössbauer spectroscopy,” J. Alloys Compd. 455, 47–51 (2008). https://doi.org/10.1016/j.jallcom.2007.01.063CrossRef
47.
Zurück zum Zitat B. C. Rusakov, Messbauer Spectroscopy of Locally Inhomogeneous Systems (OPNI IYaF NYaTs RK, Almaty, 2000).
48.
Zurück zum Zitat M. B. Stearns, “Model for the origin of ferromagnetism in Fe: Average-moment internal-field variations in FeSi and FeAl alloys,” Phys. Rev. B 6, 3326–3331 (1972). https://doi.org/10.1103/physrevb.6.3326CrossRef
49.
Zurück zum Zitat M. B. Stearns, “Internal magnetic fields, isomer shifts, and relative abundances of the various Fe sites in FeSi alloys,” Phys. Rev. 129, 1136–1144 (1963). https://doi.org/10.1103/physrev.129.1136CrossRef
50.
Zurück zum Zitat M. B. Stearns, “Spin-density oscillations in ferromagnetic alloys. I. ʻLocalizedʼ solute atoms: Al, Si, Mn, V, and Cr in Fe,” Phys. Rev. 147, 439–453 (1966). https://doi.org/10.1103/physrev.147.439CrossRef
51.
Zurück zum Zitat A. K. Arzhnikov and L. V. Dobysheva, “Local magnetic moments and hyperfine magnetic fields in disordered metal-metalloid alloys,” Phys. Rev. B 62, 5324–5326 (2000). https://doi.org/10.1103/physrevb.62.5324CrossRef
52.
Zurück zum Zitat Yu. P. Chernenkov, N. V. Ershov, Yu. N. Gornostyrev, V. A. Lukshina, O. P. Smirnov, and D. A. Shishkin, “X‑ray analysis of short-range order in iron–gallium solid solutions,” Phys. Met. Metallogr. 123, 987–995 (2022). https://doi.org/10.1134/s0031918x22600944CrossRef
53.
Zurück zum Zitat O. I. Gorbatov, A. R. Kuznetsov, Yu. N. Gornostyrev, A. V. Ruban, N. V. Ershov, V. A. Lukshina, Yu. P. Chernenkov, and V. I. Fedorov, “Role of magnetism in the formation of a short-range order in iron-silicon alloys,” J. Exp. Theor. Phys. 112, 848–859 (2011). https://doi.org/10.1134/s1063776111040066CrossRef