Zum Inhalt

The Role of Parenthood for Life Satisfaction of Older Women and Men in Europe

  • Open Access
  • 08.11.2022
  • Research Paper
Erschienen in:

Aktivieren Sie unsere intelligente Suche, um passende Fachinhalte oder Patente zu finden.

search-config
loading …

Abstract

Previous research has widely addressed the gap in well-being between parents and childless individuals. While cross-sectional studies have regularly reported lower levels of well-being for parents, recent longitudinal studies suggest a short-term positive effect with a back-to-baseline adaptation. Whether, why, and how parenthood may affect well-being in older age is, however, still largely unclear. In this paper, a holistic view of well-being developments across the process of aging is combined with a transition-centered, gender sensitive approach to analyze the effects of health decline on the self-reported life satisfaction of parents and childless individuals. Life satisfaction in older age is hypothesized to be influenced by the onset of and coping with health limitations, which themselves may differ by parental status and gender. Using group-specific growth curve analysis based on data from the Survey of Health, Ageing and Retirement in Europe (SHARE) and accounting for selection into parenthood, we demonstrate how the life satisfaction of men and women evolves in the later life depending on parental status. Results show that from age 50 onwards, parents’ life satisfaction develops somewhat less favorably compared to that of childless individuals, but this difference is not significant. However, fathers' health evolves more favorably while they react less negatively to health limitations than childless men. Our results thus suggest that children are a source of social control with long-term positive effects on health and a coping resource in the face of health limitations for fathers but not for mothers.

Publisher's Note

Springer Nature remains neutral with regard to jurisdictional claims in published maps and institutional affiliations.

1 Introduction

Until recently, the “parental happiness gap” was one of the big puzzles in empirical research on well-being (Kohler & Mencarini, 2016). Despite the firm and untested common belief that parents should be happier than childless individuals (Hansen, 2012), “almost all empirical studies on the association between parenthood and subjective well-being, however, have ascertained that parents of minor children are no happier or are even less happy than childless people” (Pollmann-Schult, 2014, p. 319). Mothers, in particular, were shown to “suffer in paradise” (César et al., 2018). Along with the “regretting motherhood” movement (Donath, 2015), such studies have attracted a lot of public attention. Research identifying negative effects of parenthood are mainly based on between-comparisons; in other words, comparisons of parents with childless individuals. The differences found in these studies are likely not entirely due to parenthood, but also to other unobserved factors that influence (self-)selection into parenthood. In contrast, studies relying on panel data and within-comparisons (i.e., changes in well-being for the same respondent before and after the birth of the first child) report short-term positive effects (e.g. Myrskylä & Margolis, 2014). In the medium term, the transition to parenthood appears to have neither a lasting positive nor negative effect on life satisfaction, which might be at least partly due to adaption processes (see e.g. Clark & Georgellis, 2013).
There are still many open questions about differential mechanisms within different parenting contexts, both methodologically as well as substantially, not least from a life course perspective (Nomaguchi & Milkie, 2020). How well-being trajectories evolve over time, especially in old age when the role of children for their parents might change dramatically, is for example still unknown. Generally, well-being trajectories seem to follow a clear age pattern: In mid-life, when many transition to parenthood, different individuals report different (arbitrary) levels of well-being, but the well-being trajectory over age is more or less flat (when health is controlled for, e.g. Gwozdz & Sousa-Poza, 2010) or decreases slightly (when health is not controlled for, e.g. Kratz & Brüderl, 2021). In older age, and after a possible “retirement hump” (e.g. Horner, 2014), well-being decreases continuously, presumably as limitations due to declining health increase (e.g. Borg et al., 2006).
It is likely that differences between parents and childless individuals in this decline are present if children constitute an investment that pays off at this later stage of life. Becoming a parent might thus be linked to lower initial levels of well-being (e.g., due to parenting stress, economic strains, etc.), but may be an investment in future well-being and an insurance against loneliness and lack of support later in life. This argument is also in line with the few studies showing that the “parental happiness gap” diminishes with age and eventually becomes positive (see Hansen, 2012; Stanca, 2012). Moreover, having children may impact the behavior of (mid-age) parents, which could have a positive effect on their well-being trajectory in later life. Alternatively, becoming a parent may have cost a significant amount of resources and causing stress, which would have a negative impact on health development in old age (Pripp et al., 2010; Umberson, 1987).
Age trajectories are also likely to vary considerably between men and women. Related to gendered (care, family, work) roles, the costs and returns to investments of children may be unequally shared between fathers and mothers at different stages of the life course (e.g. Bianchi, 2000). Moreover, men and women differ in their levels of life satisfaction as well as in their vulnerability and exposure to many relevant dimensions such as health decline or supportive networks in older age (e.g. McLaughlin et al., 2010; Schmitz & Brandt, 2019).
In the following, we draw upon (in part inconclusive) results of previous research (for an overview see Nomaguchi & Milkie, 2020) and ask: How does well-being develop for parents and childless men and women in later life? How do the well-being trajectories of parents differ from those of childless individuals? This analysis thus examines whether parenthood affects the development of well-being in terms of life satisfaction in older age. Further, it investigates whether possible differences in well-being trajectories can be explained (or are obscured) by differences in the incidence of health-related limitations in older age or by differences in individuals’ responses to these limitations. Children might attenuate negative consequences of the onset of disruptive health events in older age as they constitute a source of socio-emotional and instrumental support to their older parents. At the same time, health itself may be a consequence of parental status and related life styles earlier in life. Rich longitudinal data from the Survey of Health, Ageing and Retirement (SHARE) are utilized in order to assess whether the earlier “parental happiness gap” may become a “parental happiness premium” in later life when observing life (satisfaction) trajectories of parents and childless individuals aged 50 and over across Europe.

2 Theoretical Background and Empirical Findings: Pathways to Life Satisfaction of Parents and Childless Individuals in Older Age

Research on the “parental happiness gap” has been criticized due to the fact that the causal effect of children on parental well-being is neither theoretically nor empirically well defined. When assuming rational, well-informed actors, one would expect no differences in the life satisfaction of individuals who have deliberately decided to have children from that of those who have deliberately decided not to have children (Deaton & Stone, 2014). The key point here is that the choice to become a parent is a function of the expected effectiveness and efficiency of children as a means of generating well-being.
One may argue that at the time decisions surrounding family formation are made, individuals are hardly able to fully assess or evaluate the consequences, which occur many years or decades later. Nevertheless, the expected insurance utility from children for maximizing parents' comfort in old age features prominently in the “value of children” (VOC) literature (Nauck, 2014). One reason for ex post incorrect beliefs is rooted in unforeseen shocks. Actual well-being trajectories will then deviate from expected trajectories. In reaction, inventive actors will try to adapt to the new situation by searching for substitutes. However, they may not be able to find one equally effective and efficient. For example, parents confronted with their child unexpectedly moving abroad may increasingly invest in extended kin or friendship relations–who may be less committed than children.
For the sake of completeness, even with correct beliefs about the future, people may differ in their future orientation (or time preferences), in particular the degree to which they prefer immediate compared to future well-being (Frederick et al., 2002). The more an individual discounts the future, the more willing they are to accept lower life satisfaction in old age in favor of higher satisfaction at a younger age.
Both mechanisms (i.e., imperfect information/false beliefs and low future orientation/myopia) may thus impact the way in which well-being develops in later life–and differently so for parents and childless individuals if they differ systematically in their beliefs or future orientation. This could be the case if those with over-optimistic beliefs about adult children’s supportiveness, over-pessimistic beliefs about their own care dependency in old age, or higher future orientation are more likely to become parents. Against the backdrop of these assumptions, which imply an image of man as resourceful, restricted, expecting, evaluating, and maximizing (Lindenberg, 1985), the following sections elaborate the various pathways through which the effects of parenthood on well-being in old age might unfold.

2.1 Pathways via Health Over the Life Course

Physical decline and limitations due to declining health status have a negative impact on life satisfaction as physical well-being is an essential factor in the production of overall well-being (Lindenberg, 1989; Smith, 1776). Two opposing mechanisms provide explanations for both slowing down and accelerating the deterioration of parents’ health over time in order to explain why parenthood may affect the health-age profile many years or even decades after the birth of a child (see Fig. 1).
Fig. 1
Analytical frame
Bild vergrößern
(a) Having children may slow down age-related health decline via health behavior (e.g., healthy nutrition, regular sleep, physical exercise, abstaining from alcohol, tobacco, and other drugs). Durkheim (1951) stated that parenthood (and marriage) integrates individuals into society and that having children structures a parent’s daily life, providing them with regular obligations. This commitment to the well-being of one’s children can positively influence the health behavior of both mothers and fathers. According to a theoretical model proposed by Umberson (1987), social control and health behavior mediate the effect of having children on physical health and mortality. In short, social control increases with family relationships and affects health behavior both indirectly through the internalization of norms and through positive role models, and directly through sanctions (c.f. Umberson, 1987). Some of these social processes take place when children and parents are young. Positive health behaviors in mid-life generate “health capital” (Grossman, 1972), which pays off later in life by slowing down age-related health decline. Moreover, adult children can still remind their older parents to adopt positive health behaviors. These mechanisms open up possibilities for unexpected long-term effects of children on health and well-being that occur as a byproduct of behavior that is primarily oriented toward children's well-being.
(b) While social control could have unforeseen positive effects on health trajectories via health behavior, the stress argument predicts the opposite. Parenting may relate to psychological distress, as stressful conditions are often associated with parenting young children (Umberson & Williams, 1999, p. 245), especially for mothers. Such stressors are hardly predictable and likely underestimated (Kravdal, 2014). As female labor force participation increases while women remain the predominant caregivers within families (Bianchi, 2000), conflicts between work and family life are among the most significant stressors today (Umberson et al., 2010, p. 618). Stressful parenting experiences and family-work strain not fully anticipated could lead to a steeper health-related decline for parents compared to their childless counterparts.

2.2 Pathways via Parenthood and Supportive Networks

A second set of hypotheses is related to social networks, which might moderate the effect of health decline on life satisfaction. In the second half of life, intergenerational relations and support flows change fundamentally (e.g. Mudrazija, 2014). With increasing age, close (family) relations become more important for older individuals (Wrzus et al., 2013). This might be an active decision due to a change in needs (“socio-emotional selectivity”; Carstensen, 1992), or also a passive experience due to changes in the personal “convoy” along with life events such as the death of a partner (Antonucci et al., 2014). Close confidants not only constitute an important source of potential instrumental support, but often also provide the companionship needed in older age (Hoffmann & Hoffmann, 1973).
(c) As friendship networks tend to thin out in old age, adult children constitute the most important support network for older parents (Deindl & Brandt, 2017). These relationships might buffer the negative effects of health decline on life satisfaction.
(d) However, a negative consequence for well-being might occur if no support is available from adult children in the case of illness or need for care. The effects of health-related limitations on life satisfaction could therefore be amplified by the disappointment from the lack of expected returns from investment in children. These unfulfilled hopes and expectations might impact life satisfaction the most, partly due to the lack of adaptive strategies (see Easterlin, 2005; Loewenstein & Schkade, 1999).
Buffering or disappointment effects may thus occur in the face of false beliefs about children's supportiveness (relative to extended kin or friendship networks) or if need for care in old age is over- or underestimated. The reason is simply that people living longer than expected profit more than expected from any support given.

2.3 Empirical Findings: Gender, Parenthood and Well-being

A large body of research deals with the general links between social networks and health in later life, showing that social relations influence well-being in different ways and on different levels (Deindl et al., 2016), with substantial differences between men and women (Fuhrer et al., 1999, 2002). Across Europe, older individuals who mainly confide in their children reported the highest levels of well-being (Litwin & Stoeckel, 2014), and older parents reported better mental health than their childless counterparts (Buber & Engelhardt, 2008)–even though childless individuals seemed to (at least partly) compensate their lack of children with their support network (Deindl & Brandt, 2017). Among the childless, gender differences are evident in such compensatory mechanisms: Childless men are more likely to compensate for the lack of informal support provided by adult children with formal service providers than are childless women. The latter, also commonly referred to as the “kinkeepers” of the family (Rosenthal, 1985), seem to invest more in broader informal support networks than their male counterparts (McLaughlin et al., 2010). Moreover, research shows that the effect of social ties and support on mortality is stronger for men than for women, which could be attributed to differences in gender roles (Shye et al., 1995; Umberson, 1987). In addition, a large number of studies have recently looked at the effects of the double, and even triple burden on mothers that includes young (grand-)children, older parents, and employment (e.g. Bucher-Koenen et al., 2020; Herlofson & Brandt, 2020; Martire & Stephens, 2003; Vlachantoni et al., 2020), which may result in long-term health effects (Ridker et al., 2000). All in all, men and women do not only differ in their life situations and exposure to different risk factors concerning (mental) health in different contexts, but also in their reactions to them (e.g. Schmitz & Brandt, 2019).
The findings concerning the differential well-being effects of mother- and fatherhood are, however, inconclusive and the (possibly competing) mechanisms still very much under discussion, especially when analyzed in different contexts and over time (see e.g. Mu & Xie, 2016; Musick et al., 2016; Nelson-Coffey et al., 2019; Radó, 2020; Yu et al., 2019). They have also rarely been assessed systematically for parents in late life (but see e.g. Hank & Wagner, 2013; Umberson et al., 2010). From a theoretical perspective, however, these studies do not take into account that child-related stressors (in family and work) and benefits are (at least partially) expected. Thus, differences in realized costs and benefits cannot be used to infer differences in well-being. Rather, it is unexpected changes that matter, for example, in the form of changing (gender) role expectations (Preisner et al., 2018) or changes in family law with possibly unintended consequences (Kneip et al., 2014).

2.4 Analytical Frame and Hypotheses

According to the above-mentioned mediating mechanisms, being a mother or father may have long-term effects on the incidence of health limitations and, therefore, also life satisfaction in old age that are not foreseeable. Those could be (a) positive according to social control or (b) negative according to parenting stress (which could also offset each other). Moreover, parenthood could moderate the effects of health limitations on life satisfaction for both genders, either through a (c) buffering or (d) disappointment mechanism, and thus weaken or strengthen the effect of age-related health limitations (see Fig. 1).
The present analysis examines these competing mechanisms in order to fill the research gaps surrounding the effects of parenthood on well-being in later life, as well as to propose explanations for previous contradictory findings. The following section describes the methodological procedure to test the competing hypotheses as summarized in Fig. 1.

3 Data & Method

3.1 Data

We used data from the Survey of Health, Ageing and Retirement in Europe (SHARE), a longitudinal, multi-disciplinary and cross-national European study containing information on health, socioeconomic status, and social and family networks of individuals aged 50 or older (Börsch-Supan et al., 2013). The original 2004/2005 SHARE baseline sample included nationally representative samples from 11 European countries (Austria, Belgium, Denmark, France, Germany, Greece, Italy, Netherlands, Spain, Sweden and Switzerland) plus Israel, drawn from population registries or from multi-stage sampling. The original sample was followed at two-year intervals and complemented with refreshment samples to maintain sample size and representativity and was also extended to newly participating countries (Czech Republic, Poland, Ireland, Hungary, Portugal, Slovenia, Estonia, Luxembourg, Croatia). By the sixth wave, SHARE included 21 countries and collected more than 100,000 personal interviews. A detailed description of sampling and sample development is available in Bergmann and colleagues (2019).

3.2 Sample Construction

Data from waves 2, 4, 5, and 6 of the SHARE panel were utilized for this analysis. Data from wave 1 was excluded as information on life satisfaction was only collected from wave 2 onward. As our analyses are longitudinal in nature and employ differencing methods, we had to exclude countries that had only participated in one regular panel wave from wave 2 onward (Ireland, Hungary, Croatia). This resulted in a total sample of 222,690 observations from 106,078 respondents. The sample was further restricted to respondents between 50 and 85 years old, resulting in the omission of 13,176 observations from 5,191 respondents (roughly 5% of available cases). Further restricting the sample to only respondents who participated repeatedly, as required for longitudinal analyses, reduced the sample by 27,064 observations (including 7,881 interviewed in wave 6 for the first time), corresponding to a loss of about 13% of observations and 27% of respondents. Finally, complete data for all variables used in the estimation models were only available for 88% of cases, resulting in the exclusion of 22,458 observations from 13,959 respondents. The final sample consists of 159,992 observations from 59,864 respondents (33,510 women and 26,354 men) with at least two interviews with complete information.

3.3 Central Variables

The central variable of interest is subjective well-being; more specifically, overall satisfaction with life. Life satisfaction represents a cognitive assessment of the present situation (Diener, 1984). It is typically assessed via short questionnaires, such as the Satisfaction with Life Scale (SWLS), or with so-called “single items measures”, yielding very similar results (Cheung & Lucas, 2014). The single-item measure employed in SHARE is utilized here: “On a scale from 0 to 10, where 0 means completely dissatisfied and 10 means completely satisfied, how satisfied are you with your life?”.
For the purpose of this analyses, parental status is defined as a time-constant variable based on the mention of at least one (living) child at the time of the first observation. Compliant with parenthood as a social rather than biological construct, biological, foster, adopted, and stepchildren are included in this definition.
In addition to parental status, age represents the other central explanatory variable. For growth curve analyses, a piecewise linear spline specification (from 50 to 85 in 5-year brackets) is implemented to avoid strong impositions concerning the functional form of the age profile. At the same time, this specification maintains reasonable efficiency and allows for a straightforward contrast of parents and childless individuals.
To trace potential differences in well-being trajectories between parents and childless individuals back to potentially different incidence rates of and vulnerability to health issues and related limitations, a set of respective indicators were included. The variables included in SHARE contain information on diagnosed conditions and limitations in (instrumental) activities of daily living as well as self-reported measures on health status and perceived severity of limitations. As these are all highly correlated and in order to facilitate the interpretation of results, this information was used to construct the variables for analysis by means of factor analysis. Resulting scores largely mirrored the original dimensions for the objective measures; the subjective dimension (self-rated health and severity of limitations) was reflected in a separate factor (see Table 5 in the appendix). In sum, the following measures were generated: limitations in (instrumental) activities of daily living ((I)ADL), chronic illness, and subjective impairment.

3.4 Analytic Strategy

The present research questions are addressed within the framework of a growth curve analysis. Growth curves are (multilevel) regression models that include a function of “process time” (typically age) that models how the (average) outcome of interest evolves over the life course. Growth curve analyses can thus be seen as a holistic approach, as they examine (partial) life course trajectories as a whole. The advantage of these models is that complete (or partial) life courses can be analyzed within a multivariate regression framework that allows for comparing differences in trajectories over groups and testing for statistical difference.
Several biases might distort the estimation of growth curves, including specification bias, omitted variable bias, selection bias, and over-control bias (Brüderl et al., 2019; Kratz & Brüderl, 2021). Specification bias results from imposing a functional form (e.g., quadratic) on an age trend that does not reflect the true process. Omitted variable bias occurs when variables affecting both age and the outcome of interest are not controlled for. This pertains to all characteristics that are non-randomly distributed over age and potentially affect well-being, such as gender, social origin, or region. Additionally, cohort and period effects must also be accounted for. Selection bias results from respondents’ “survival” over time being related to the outcome of interest (here: life satisfaction). If individuals with higher life satisfaction live longer (E. Diener & Chan, 2011) or drop out of the panel less often, they will be over-represented in the sample at older ages (Frijters & Beatton, 2012). Notably, if this affects parents and childless differently, differences in growth curves will also be biased (see Kratz & Patzina, 2020). Finally, over-control bias occurs when controlling for post-treatment (mediating) variables, thus absorbing part of the explanatory mechanisms that generate the age effect. For instance, if health is included, it will largely absorb the contribution of biological aging. In this sense, over-control bias is an issue when the aim is to identify the total effect. If this has been accomplished, mediating mechanisms can be investigated in a second step.
To assess the age trajectories for parents and childless individuals accommodating for the aforementioned issues, linear spline fixed effects models are estimated. We assume that life satisfaction can be treated as cardinal, despite being measured on an ordinal scale (Ferrer‐i‐Carbonell and Frijters 2004). Age trends are modeled (relatively) flexibly via spline specification, thus avoiding specification bias. Employing fixed effects regression effectively controls for all unobserved time-constant confounding variables (including, for example, cohort) and removes selection bias related to life satisfaction levels (Kratz & Brüderl, 2021).
The resulting regression specification is given by:
$${y}_{\text{it }}= \text{ } {\mathrm{\alpha }}_{i}^{1}+{\upbeta }^{1}{X}_{\text{it}}\text{ } + {\upgamma }^{1}{d}_{i}{X}_{it}\text{+}{\zeta }^{1}{C}_{i}{X}_{it}\text{+}{\upmu }^{1}{p}_{t}+ \text{ } {\upvarepsilon }_{it}^{1},$$
(1)
where y is the time-varying measure of well-being (i.e., life satisfaction), α is a person-specific intercept, X is a set of age splines, and d indicates parental status. C is a set of (time-constant) variables that may be correlated with parental status. While controlling for variables in C is neither necessary nor possible as they are absorbed by α, it is important to control for potentially different time trends induced by C. If we assume that time trends differ between parents and childless individuals, they could, for similar reasons, also differ by marital status (as the mechanisms of social control and buffering outlined above also apply to spouses). Since marital status is correlated with parental status (and, thus, CX with dX), β and γ will suffer from omitted variable bias when this is not accounted for. We include marital status, education and country of residence upon entering the panel in C. We do not include other time-varying variables to avoid over-control bias. Finally, p is an indicator that captures potential period effects on life satisfaction induced by the financial crisis that took place during the observation window. Completely controlling for period and cohort effects when estimating age effects is not possible due to their perfect linear dependence. Effectively, this specification assumes the absence of period effects (over and above p). If this assumption is violated, estimated age profiles will be confounded by the period effect.
Model 1 describes how life satisfaction develops over the course of later adult life and how these trajectories differ between parents and childless individuals. The growth curve for childless individuals is determined by β1, the growth curve for parents by β1 + γ1. Importantly, they refer to the (counterfactual, model-based) age profiles, adjusted for initial differences in C. The parameter γ1 then informs about differences in trajectories between parents and childless individuals, i.e. the effect of parenthood as it evolves over age. Note that by employing fixed effects, group-specific intercepts cannot be estimated.
In a second step, time-varying measures of health and related limitations (H) are included into the model to account for a potential mediating mechanism that may differentially contribute to how well-being develops over time for parents and childless individuals. This leads to the following model specification:
$${y}_{\text{it }}= \text{ } {\mathrm{\alpha }}_{i}^{2}+{\upbeta }^{2}{X}_{\text{it}}\text{ } + {\upgamma }^{2}{d}_{i}{X}_{it}\text{+}{\upzeta }^{2}{C}_{i}{X}_{it}\text{+}{\upeta }^{2}{H}_{it}\text{+}{\upmu }^{2}{p}_{t}+ \text{ } {\upvarepsilon }_{it}^{2},$$
(2)
A comparison of γ1 and γ2 allows for the assessment of whether parents’ life satisfaction has developed more or less favorably than it would have without children due to maintained health; in other words, whether support for the social control or stress hypotheses is found. Note that, in order for this interpretation of β2 and γ2 to be valid, we have to further assume that there are no unmeasured confounders of the H-y relationship. Violations of this assumption will result in collider stratification bias (VanderWeele, 2015).
Finally, we relax the assumption imposed by specification (2) that the life satisfaction of parents and childless individuals responds to occurring health limitations in the same way by additionally including interactions of health and parental status:
$${\mathrm{y}}_{\text{it }}= \text{ } {\mathrm{\alpha }}_{i}^{3}+{\upbeta }^{3}{X}_{\text{it}}\text{ } + {\upgamma }^{3}{d}_{i}{X}_{it}\text{+}{\upzeta }^{3}{C}_{i}{X}_{it}\text{+}{\upeta }^{3}{H}_{it}\text{+}{\mathrm{\vartheta }}^{3}{d}_{i}{H}_{it}\text{+}{\upmu }^{3}{p}_{t}+ \text{ } {\upvarepsilon }_{it}^{3},$$
(3)
ϑ3 represents whether health deterioration affects parents’ life satisfaction differently than that of childless individuals, or whether support for the buffering or disappointment hypothesis is present. γ3 reflects how parents’ life satisfaction would have developed relative to childless individuals if they neither differed in their health profiles nor their response to present health limitations.
The following section reports slope coefficients of the age splines and their differences by parental status, along with the respective significance tests. In addition, a (graphical) presentation of differences in age trends of life satisfaction (relative to age 50) by parental status, computed from models 1–3, is shown and tested against the null as well as against each other. Following the theoretical expectations, all analyses were conducted separately for men and women in order to accommodate for and analyze gender-specific differences in influencing factors as well as mechanisms.

4 Results

The following is a description of the analytical sample. The group of parents (91%) is substantially larger than the group of childless individuals (9%) for both women and men, also given its cohort structure. Still, for the final analyses we are left with 7,394 observations for childless women and 6,868 observations for childless men. Overall, parents report 0.23 points higher life satisfaction, face slightly fewer limitations (both ADL and IADL), but are somewhat more likely to be chronically ill. Thus, there are no clear health (dis-)advantages of parenthood. Self-reported health also does not differ between the two groups. It is clear that parents are much more likely to be (or to have been) married. As being in a partnership may also influence the well-being trajectory, this control variable is included as an interaction effect with the age trends in the growth curve analysis. Table 1 shows the distribution of educational level and countries included.
Table 1
Summary statistics of the analytic sample
 
Childless
Parents
Total
t-test
Mean
SD
Mean
SD
Mean
SD
Δ
s.e
Life satisfaction [0,10]
7.45
(1.87)
7.67
(1.77)
7.66
(1.78)
0.23***
(0.02)
Female
0.52
(0.50)
0.57
(0.50)
0.56
(0.50)
0.05***
(0.00)
Age [50,85]
65.74
(9.05)
66.14
(8.74)
66.15
(8.78)
0.40***
(0.08)
ADL
0.10
(0.30)
0.09
(0.29)
0.09
(0.29)
− 0.01***
(0.00)
#ADL
0.21
(0.77)
0.18
(0.69)
0.18
(0.69)
− 0.03***
(0.01)
IADL
0.16
(0.37)
0.15
(0.35)
0.15
(0.36)
− 0.02***
(0.00)
#IADL
0.36
(1.06)
0.29
(0.92)
0.30
(0.94)
− 0.07***
(0.01)
Chronic disease
0.62
(0.49)
0.64
(0.48)
0.63
(0.48)
0.02***
(0.00)
#Chronic disease
1.12
(1.21)
1.17
(1.22)
1.17
(1.22)
0.05***
(0.01)
Limitations
0.45
(0.50)
0.45
(0.50)
0.45
(0.50)
0.00
(0.00)
Severe limitations
0.15
(0.36)
0.14
(0.34)
0.14
(0.34)
− 0.02***
(0.00)
Self− rated health [1,5]
3.14
(1.06)
3.13
(1.06)
3.13
(1.06)
− 0.01
(0.01)
Married when 1st observed
0.40
(0.49)
0.78
(0.41)
0.75
(0.44)
0.38***
(0.00)
Educational level
None
0.04
(0.18)
0.03
(0.18)
0.03
(0.18)
0.00
(0.00)
ISCED- 97 1
0.17
(0.38)
0.19
(0.39)
0.18
(0.39)
0.01***
(0.00)
ISCED- 97 2
0.16
(0.37)
0.18
(0.38)
0.17
(0.38)
0.01***
(0.00)
ISCED- 97 3
0.32
(0.47)
0.33
(0.47)
0.33
(0.47)
0.01*
(0.00)
ISCED-97 4
0.05
(0.22)
0.05
(0.21)
0.05
(0.21)
0.00
(0.00)
ISCED- 97 5
0.24
(0.42)
0.21
(0.41)
0.21
(0.41)
− 0.02***
(0.00)
ISCED- 97 6
0.01
(0.11)
0.01
(0.09)
0.01
(0.09)
0.00***
(0.00)
Other
0.01
(0.07)
0.00
(0.06)
0.00
(0.06)
0.00**
(0.00)
Country
Austria
0.08
(0.28)
0.07
(0.25)
0.07
(0.25)
− 0.02***
(0.00)
Germany
0.08
(0.27)
0.07
(0.25)
0.07
(0.25)
− 0.02***
(0.00)
Sweden
0.05
(0.21)
0.06
(0.25)
0.06
(0.24)
0.02***
(0.00)
Netherlands
0.04
(0.19)
0.04
(0.19)
0.04
(0.19)
0.00
(0.00)
Spain
0.08
(0.28)
0.08
(0.27)
0.08
(0.27)
− 0.01**
(0.00)
Italy
0.08
(0.28)
0.07
(0.26)
0.07
(0.26)
− 0.01***
(0.00)
France
0.08
(0.28)
0.08
(0.27)
0.08
(0.27)
− 0.01**
(0.00)
Denmark
0.06
(0.23)
0.06
(0.25)
0.06
(0.24)
0.01***
(0.00)
Greece
0.02
(0.16)
0.02
(0.15)
0.02
(0.15)
0.00*
(0.00)
Switzerland
0.09
(0.29)
0.05
(0.22)
0.06
(0.23)
− 0.04***
(0.00)
Belgium
0.12
(0.32)
0.09
(0.29)
0.09
(0.29)
− 0.03***
(0.00)
Israel
0.01
(0.10)
0.03
(0.17)
0.03
(0.16)
0.02***
(0.00)
Czech Republic
0.04
(0.20)
0.09
(0.29)
0.09
(0.28)
0.05***
(0.00)
Poland
0.01
(0.12)
0.03
(0.16)
0.03
(0.16)
0.01***
(0.00)
Luxemburg
0.02
(0.13)
0.01
(0.11)
0.01
(0.11)
− 0.01***
(0.00)
Portugal
0.01
(0.11)
0.02
(0.12)
0.02
(0.12)
0.00***
(0.00)
Slovenia
0.03
(0.17)
0.04
(0.20)
0.04
(0.20)
0.01***
(0.00)
Estonia
0.08
(0.27)
0.09
(0.29)
0.09
(0.29)
0.01***
(0.00)
(I)ADL: limitations in (instrumental) activities of daily living; ISCED: International Standard Classification of Education
No evidence of a “parental happiness gap” is found in the SHARE data on a descriptive level. When the sample is split by age and gender, however, a parental well-being premium for men in all age groups, except for the oldest, and for women in four of seven age groups is found (Fig. 2 and Table 2). Adjusting for cohort, country, marital status, education, and period, the advantages of parents over the childless are reduced, but remain statistically significant in some age categories. It is likely that parents and childless individuals differ in other (unobserved) characteristics that could account for the correlation between parenthood and well-being. In the fixed effects growth curve models that follow, such time-constant unobserved heterogeneity is eliminated by design. These results therefore focus on differences in trajectories, rather than differences in well-being levels.
Fig. 2
Differences in subjective well-being between parents and childless individuals by gender and age category
Bild vergrößern
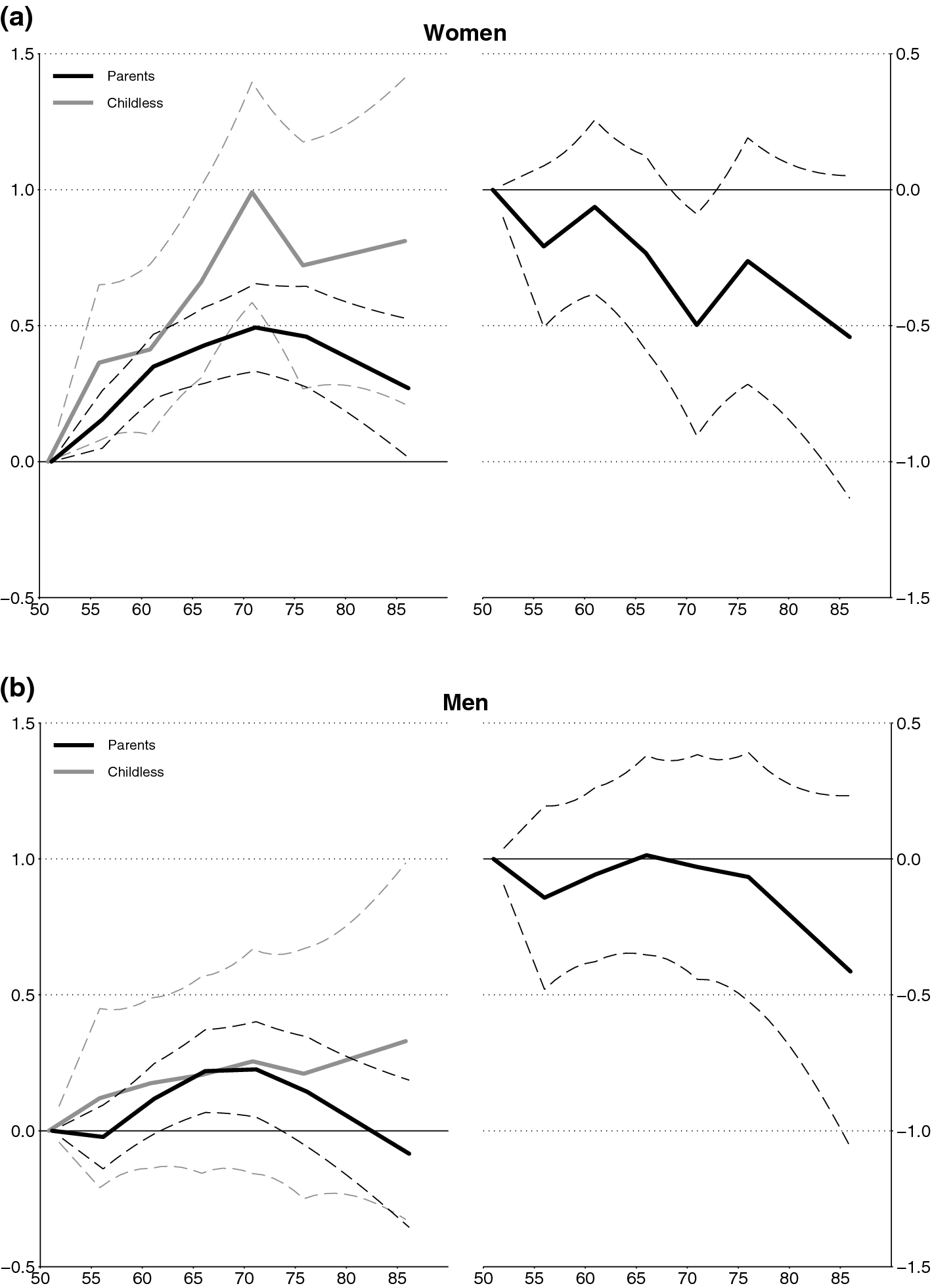
Figure 3 (left) shows how well-being develops for women (top) and men (bottom) as a function of age and parenthood (model 1). The graph shows the relative trajectories of the groups to each other, without initial level differences, as these are absorbed by the individual fixed effect in the model. However, the goal here is to explain differences in trajectories, irrespective of differences that already existed at age 50. Moreover, as trajectories should differ only due to parenthood, Fig. 3 shows group-specific growth curves that would have occurred if marital status, education, and country of residence were evenly distributed over parental status.
Fig. 3
Age-trajectories in subjective well-being (left) and differences in trajectories by parental status (right)
Bild vergrößern
Figure 3 (left) shows a reverse U-shaped relationship between age and well-being for parents. In the age range analyzed here, maximum life satisfaction occurs around age 70. Thereafter, well-being gradually declines with age. When comparing childless women with mothers, the increase around 70 is more pronounced for childless women and the subsequent decline is less steep. Overall, well-being in old age develops somewhat more favorably for childless women than for mothers.
However, the differences in the predicted life satisfaction scores are only statistically significant around age 70. In this age range, the slopes of the age splines also differ significantly (for more details, see Table 3), resulting in different age trajectories in some age groups. This is not the case for men, where the age trajectories of fathers and childless individuals are quite similar. Some differences emerge at older ages, but are statistically insignificant. Between age 75 and 85, the well-being of childless men develops somewhat more favorably than that of fathers.
The next step aims to explain the observed differences in age trajectories (Fig. 3, right) and investigate whether differences in health are a cause of the different trajectories of parents and childless individuals, which will test the stress and the social control hypotheses. Table 4 documents the results of models 2 and 3. Looking at the main effects of health limitations, we find, as expected, negative effects on well-being. Model (2) assumes (due to the restriction of the functional form) that health constraints affect the well-being of parents and the childless equally.
To test whether the difference in age trajectories between parents and childless individuals can be explained by the health variables, the corresponding coefficients from models 1 and 2 are compared and reported as differences in Table 5, column 2 (“Δ”). Neither systematic nor statistically significant differences are found for women. For men, differences are consistently negative, meaning that fathers fare somewhat better than they would if they did not differ from childless men with regard to health-related limitations. The joint effect is also significant. However, only one spline-parenthood-interaction (61/65) shows a statistically significant reduction when controlling for health limitations.
Figure 4 illustrates how the differences in age trajectories change when controlling for health. The baseline specification (top) corresponds to model 1, as shown in Fig. 3. In the lower part, it serves as reference to assess whether incidence of and reaction to health limitations account for statistically significant differences in trajectories between parents and childless individuals. While life satisfaction in oldest age develops more favorably for childless men than for fathers, fathers still benefit from children through better overall health. Without this health advantage, the age trajectories would thus differ even more (Fig. 4, bottom). For women, health does not seem to play a role, as it is not very systematically related to parental status in the first place (see Fig. 5 in appendix).
Fig. 4
Differences in well-being trajectories; counterfactual model predictions Top: Test against life satisfaction at age 50 Bottom: Test against baseline specification
Bild vergrößern
Fig. 5
Health trajectories and differences by parental status; counterfactual model predictions
Bild vergrößern
Model 3 tests the disappointment and buffering hypotheses, examining whether health restrictions have a stronger or weaker impact on the well-being of parents than on their childless counterparts. Significant differences are found only for IADL: If instrumental limitations are present, they have a stronger negative effect on mothers than on childless women (Table 4, column 3), a possible confirmation of the disappointment hypothesis. For men, parenthood seems to weaken the effect of IADL, which can be seen as supporting evidence for the buffering hypothesis (Table 4, column 7). However, significance is not maintained when adjusted for multiple testing, neither for women not men. Particularly for men, though, allowing for differential response to health decline changes the differences in age profiles between fathers and childless individuals (Fig. 4, Table 4, last column). Fathers’ well-being would develop even more unfavorably compared to childless men if children did not have a buffering effect. The differences in the age trajectories of mothers and childless women are hardly changed by heterogeneous health effects.

4.1 Robustness Check: Attrition

As noted earlier, fixed effects models rely on weaker assumptions than approaches using between-person variation, also with regard to selective dropout. If low levels of life satisfaction are related to mortality or to panel dropout, fixed effects estimations will remain unbiased. If, however, attrition is related to well-being trajectories, results from fixed effects models will also be biased. To check for a possible influence of selective attrition, two tests were performed: one related to initial dropout (i.e., being observed only once and thus not entering the longitudinal analysis) and one related to subsequent panel retention. First, analyses were replicated applying inverse probability weights, effectively putting more weight on panel respondents who were more similar to the initial dropouts on observable characteristics. As shown in the Appendix (Tables 6 and 7), this hardly affected our findings.
Second, a formal test for possible attrition bias was implemented, based on the idea that a significant effect for a variable indicating dropout in the next wave points to a selective sample with respect to life satisfaction (Wooldridge, 2010, p. 581). Selective dropout was found to be a concern for this analysis, likely related to chronic conditions (see Fig. 5). However, there was little indication that this selection operates differently for parents and childless individuals (c.f. Kratz & Patzina, 2020). Although not statistically significant (p = 0.07), selective dropout may be more likely for childless men then for fathers. In this case, well-being trajectories are expected to be distorted, most likely upwards, but their differences to be hardly affected as the biases would cancel each other out.

4.2 Robustness Check: The APC Problem

Identifying age effects involves tackling the issue of the perfect collinearity of age (A), period (P), and cohort (C): A = P–C. No technical solution to this problem exists, and identification will necessarily rest on (strong) assumptions that must be made explicit (see e.g. Bell, 2020). As this analysis already controls for cohort by employing fixed effects regression, completely controlling for period is not possible. Completely omitting period would yield compound effects of age and period unless the true period effect is zero. While the absence of systematic period trends in the relatively short observation window covered (over and above a possible shock due to the financial crisis, which is accounted for) may not be completely implausible, it remains an assumption. However, similar to the issue of attrition discussed above, differences in age effects will be identified under the weaker assumption that possible period effects do not systematically differ for older parents and childless individuals. To evaluate the robustness of these findings, the model specification used was compared to one without the financial crisis indicator. This resulted in the growth curves being shifted slightly upwards (slope coefficients increased by roughly 0.003), while differences between parents and childless individuals remained virtually identical.

4.3 Robustness Check: Treatment-induced Confounding

As mentioned above, our approach relies on the assumption of no omitted confounders of health and well-being. While this assumption is rarely challenged, it could be violated if, for example, becoming a grandparent or losing the spouse (due to widowhood or divorce) or a child affects both, health and life satisfaction (other than through health). The seemingly straightforward approach would be to control for such variables, if observed. However, since such events are themselves a function of parental status, this would induce overcontrol bias. This is the case of treatment-induced confounding (VanderWeele, 2015). To address this issue, we replicated our mediation analysis in a linear SEM framework and reassessed indirect effects via health (De Stavola et al., 2015; Pearl, 2014). We included grandchildren, loss of a child, divorce, and widowhood as potential confounders. Obtained estimates were almost identical. While we cannot rule out the existence of other unobserved confounders, this increases confidence in the robustness of our results against potential bias due to treatment-induced confounding.

5 Discussion

This article investigated potential differences between parents and childless women and men in the development of life satisfaction over the course of aging. Theoretically, while having children should not affect life-time well-being of well-informed rational actors, it may affect well-being in later life through affecting health decline and the coping therewith in a way not fully anticipated. These mechanisms could operate in either direction and potentially differ for men and women. Children can be considered both sources of social control (promoting healthy behavior) and stress, and they may exceed or disappoint their parents’ expectations. Likewise, those choosing to remain childless may neglect or underestimate the lack of support in old age and they may or may not be able to successfully compensate for this deficit through investments in other social relations. The total effect of children on mothers’ and fathers’ well-being trajectories is thus hardly predictable–as is also reflected in the mixed findings produced by previous research (Hansen, 2012). Our results now show that parenthood tends to have a negative effect on the development of life satisfaction at older ages, albeit not at statistically significant level. Without considering health indicators, the life satisfaction of childless women increased somewhat more between the ages of 50–70 and then declined more gradually compared to the life satisfaction of mothers. For men, the same models revealed little difference between fathers and childless individuals, but fathers’ well-being developed somewhat more negatively after age 75.
As found in other studies (e.g., Gwozdz & Sousa-Poza, 2010), age-related health limitations reduce life satisfaction. We could now show that this contributes to explaining the differences between parents and childless individuals, especially with regard to limitations on IADL. IADL acts as an anticipatory indicator, signaling that more severe health limitations may arise in the future. For women, on average, the onset of such limitations were not shown to be buffered by children. At specific ages, IADL deteriorated mothers’ life satisfaction more than that of childless women. This finding could be interpreted as a confirmation of the disappointment hypothesis. Controlling for health, it appears that mothers’ life satisfaction would have developed slightly more positively in old age if they had not had children. For men, the findings were the opposite: Fathers appear to benefit from having children in the long term via maintained health and better coping with limitations once they occurred–to roughly the extent that their otherwise less favorable developmental trajectories converge to those of childless men.
It is important to stress that the differences in life satisfaction trajectories across age were quite small for individuals with and without children. Thus, our results are quite consistent with the notion of rational actors that can foresee possible long-term consequences of parenthood: Those who believe they will benefit from their adult children are more likely to self-select into parenthood, while those who expect to maintain a higher level of life satisfaction in the long term without children decide to not have children. The latter invest in alternatives such as more robust friendship networks and/or apartments in retirement homes to prevent loneliness in old age and maintain well-being as childless individuals (Kohli et al., 2009).
These results suggest that for fathers, other mechanisms are at play that lead to a less favourable development of life satisfaction if not offset by the mechanisms of social control and buffering. What exactly drives this finding remains to be explained. Children’s behavior may affect parental well-being in many ways (Greenfield & Marks, 2006), including their own marriage, transition to parenthood, unemployment episodes, separations from a partner, illness or even death prior to their parent(s). The goal of this analysis was not to examine all potential pathways, but to focus on the child–health–well-being nexus. However, the present findings could also reflect a selection into fatherhood such that those expecting to profit most from having children become fathers.
As with any empirical analysis, the present research is not without limitations. First, the focus is on life satisfaction, which reflects only one aspect of human well-being (Busseri & Sadava, 2011; C. Diener & Esch, 2012; Diener 2009). However, it can be argued that life satisfaction is particularly well suited to test the hypotheses proposed here. The question of whether children positively influence other dimensions of well-being in old age is also of interest, but beyond the present scope. Eudaemonic measures of satisfaction (e.g. Ryff & Singer, 2008) could be used to further investigate whether children contributed to a sense of fulfillment in retrospect, for example as they provide parents with the assurance that some part of them will remain after their death (e.g., genes and memories).
Second, while we provide theoretical reasoning and refer to previous findings, we did not test the hypothesized mechanisms explicitly. Future research should examine the mechanisms of social control, disappointment and support in more detail. This would involve analyzing whether children in fact influence stress and specific health behaviors, and whether they support their parents in case of health-related limitations or whether–and which–parents are left on their own in times of need. This is not a trivial exercise, as help and support are endogenous: Whether and to which extent children provide help to their older parents depends on the level of need, which likely also affects life satisfaction. A related point would be to investigate potential effect heterogeneity. While this analysis found no evidence for the stress hypothesis on average, it may still be a relevant mechanism for working mothers in specific welfare regimes.
Third, estimating group-specific age trajectories is ambitious, particularly if groups are endogenously determined, as is the case with parental status. More specifically, it must be assumed that there are no omitted age trends generated by variables correlated with parental status. We allow for heterogeneous age trends over countries, marital status, and education, but there may be more. In addition, the validity of the growth curve estimates relies on the absence of a period trend over and above a potential shock generated by the financial crisis as well as attrition bias, both of which cannot be taken for granted: A positive period trend would distort growth curves upwards, as would likely attrition bias. Still, these biases will only carry over to growth curve differences (i.e., the effect of parenthood) if they affect parents and childless individuals differently.
Fourth, contextual influences on the meso and macro level present a promising research direction (Nomaguchi & Milkie, 2020), also in terms of possible differences between motherhood and fatherhood in different contexts as introduced above, but were beyond the scope of our analyses. Note that it is not sufficient to consider contemporary welfare-state features (e.g. defamilialization, care facilities) but rather changes in these features that hit individuals unexpectedly.
Notwithstanding the above limitations, this investigation has shown that parenthood does not seem to play a major role in the overall development of well-being in older age. Rather, these results support the notion of reasonably rational, well-informed, actors who invest in children when expecting (long-term) well-being returns and otherwise decide against having children and who are adaptive to unforeseen shocks.

Acknowledgements

This paper uses data from SHARE Waves 1, 2, 3, 4, 5, 6 and 7 (DOIs: https://​doi.​org/​10.​6103/​SHARE.​w1.​800, https://​doi.​org/​10.​6103/​SHARE.​w2.​800, https://​doi.​org/​10.​6103/​SHARE.​w3.​800,https://​doi.​org/​10.​6103/​SHARE.​w4.​800,https://​doi.​org/​10.​6103/​SHARE.​w5.​800 ,https://​doi.​org/​10.​6103/​SHARE.​w6.​800 ,https://​doi.​org/​10.​6103/​SHARE.​w7.​800).. The SHARE data collection has been funded by the European Commission, DG RTD through FP5 (QLK6-CT-2001-00360), FP6 (SHARE-I3: RII-CT-2006-062193, COMPARE: CIT5-CT-2005-028857, SHARELIFE: CIT4-CT-2006-028812), FP7 (SHARE-PREP: GA N°211909, SHARE-LEAP: GA N°227822, SHARE M4: GA N°261982, DASISH: GA N°283646) and Horizon 2020 (SHARE-DEV3: GA N°676536, SHARE-COHESION: GA N°870628, SERISS: GA N°654221, SSHOC: GA N°823782, SHARE-COVID19: GA N°101015924) and by DG Employment, Social Affairs & Inclusion through VS 2015/0195, VS 2016/0135, VS 2018/0285, VS 2019/0332, and VS 2020/0313. Additional funding from the German Ministry of Education and Research, the Max Planck Society for the Advancement of Science, the U.S. National Institute on Aging (U01_AG09740-13S2, P01_AG005842, P01_AG08291, P30_AG12815, R21_AG025169, Y1-AG-4553-01, IAG_BSR06-11, OGHA_04-064, HHSN271201300071C, RAG052527A) and from various national funding sources is gratefully acknowledged (see www.​share-project.​org).

Declarations

Conflict of interest

The authors have no conflicts of interest to declare that are relevant to the content of this article.

Data availability

Data are freely available to registered users through the SHARE Research Data Center, subject to the SHARE conditions of use. See http://​www.​share-project.​org.

Code availability

All Stata code used to produce the reported results are available at https://​osf.​io/​p4635/​?​view_​only=​8350bca076484636​a6672f34cb420d7f​
Open AccessThis article is licensed under a Creative Commons Attribution 4.0 International License, which permits use, sharing, adaptation, distribution and reproduction in any medium or format, as long as you give appropriate credit to the original author(s) and the source, provide a link to the Creative Commons licence, and indicate if changes were made. The images or other third party material in this article are included in the article's Creative Commons licence, unless indicated otherwise in a credit line to the material. If material is not included in the article's Creative Commons licence and your intended use is not permitted by statutory regulation or exceeds the permitted use, you will need to obtain permission directly from the copyright holder. To view a copy of this licence, visit http://​creativecommons.​org/​licenses/​by/​4.​0/​.

Publisher's Note

Springer Nature remains neutral with regard to jurisdictional claims in published maps and institutional affiliations.
download
DOWNLOAD
print
DRUCKEN
Titel
The Role of Parenthood for Life Satisfaction of Older Women and Men in Europe
Verfasst von
Gerrit Bauer
Martina Brandt
Thorsten Kneip
Publikationsdatum
08.11.2022
Verlag
Springer Netherlands
Erschienen in
Journal of Happiness Studies / Ausgabe 1/2023
Print ISSN: 1389-4978
Elektronische ISSN: 1573-7780
DOI
https://doi.org/10.1007/s10902-022-00600-8

Appendix

See Tables 2, 3, 4, 5, 6, 7 and Fig. 5.
Table 2
Life satisfaction by parental status and age group
 
Women
Men
Without controls
With controls
Without controls
With controls
Parent
0.195*
0.143
0.624***
0.369***
(0.077)
(0.075)
(0.077)
(0.075)
Age 55–59
0.146
0.167*
0.154
0.137
(0.083)
(0.080)
(0.083)
(0.079)
Age 60–64
0.161
0.219*
0.427***
0.347***
(0.093)
(0.091)
(0.091)
(0.087)
Age 65–69
0.129
0.301**
0.538***
0.406***
(0.095)
(0.096)
(0.095)
(0.096)
Age 70–74
 − 0.140
0.240
0.510***
0.421***
(0.103)
(0.108)
(0.099)
(0.104)
Age 75–79
 − 0.234*
0.280*
0.233*
0.257*
(0.113)
(0.119)
(0.119)
(0.127)
Age 80– 85
 − 0.241
0.373**
0.422**
0.461*
(0.136)
(0.141)
(0.150)
(0.161)
Parent×Age 55–59
 − 0.182*
 − 0.117
 − 0.191*
 − 0.168*
(0.086)
(0.082)
(0.087)
(0.082)
Parent×Age 60– 64
 − 0.121
 − 0.058
 − 0.375***
 − 0.299***
(0.097)
(0.091)
(0.095)
(0.088)
Parent×Age 65– 69
 − 0.100
 − 0.107
 − 0.423***
 − 0.335***
(0.097)
(0.093)
(0.100)
(0.100)
Parent×Age 70– 74
0.088
0.010
 − 0.434***
 − 0.359***
(0.107)
(0.101)
(0.104)
(0.097)
Parent×Age 75– 79
0.009
 − 0.029
 − 0.281*
 − 0.273*
(0.118)
(0.110)
(0.124)
(0.117)
Parent×Age 80– 85
0.054
0.000
 − 0.510**
 − 0.464 **
(0.142)
(0.130)
(0.157)
(0.149)
Cohort(df = 6)
 
1.810
 
0.279
Country(df = 17)
 
290.812***
 
212.692***
Marital status(df = 5)
 
192.813***
 
109.898***
Education(df = 7)
 
71.660***
 
54.527***
Post crisis(df = 1)
 
21.383***
 
13.468***
Intercept
7.450 ***
7.370***
7.115***
7.422***
* (0.074)
(0.108)
(0.073)
(0.115)
R2
0.003
0.130
0.006
0.127
Number of persons
32,346
32,388
25,580
25,580
Number of person– years
87,339
87,339
68,090
68,090
F-statistics reported for controls; df: (numerator) degrees of freedom
*p < 0.05, **p < 0.01, ***p < 0.001; clustered standard errors in parentheses
Table 3
Age trends in life satisfaction by parental status, FE regression using age splines
 
Women
Men
AME
Δ
AME
Δ
Childless: 50/55
0.073 *
 − 0.042
0.024
 − 0.029
(0.029)
(0.030)
(0.034)
(0.034)
Parents: 50/55
0.031**
 
 − 0.005
 
(0.011)
 
(0.012)
 
Childless: 56/60
0.010
0.029
0.011
0.017
(0.022)
(0.022)
(0.022)
(0.023)
Parents: 56/60
0.039 ***
 
0.028 ***
 
(0.008)
 
(0.008)
 
Childless: 61/65
0.050*
 − 0.034
0.006
0.014
(0.021)
(0.022)
(0.021)
(0.022)
Parents: 61/65
0.016*
 
0.020**
 
(0.007)
 
(0.008)
 
Childless: 66/70
0.066**
 − 0.053*
0.010
 − 0.009
(0.025)
(0.026)
(0.025)
(0.026)
Parents: 66/70
0.013
 
0.001
 
(0.007)
 
(0.008)
 
Childless: 71/75
 − 0.054*
0.047
 − 0.009
 − 0.007
(0.027)
(0.027)
(0.028)
(0.029)
Parents: 71/75
 − 0.007
 
 − 0.016
 
(0.008)
 
(0.009)
 
Childless: 76/85
0.009
 − 0.028
0.012
 − 0.035
(0.021)
(0.022)
(0.025)
(0.026)
Parents: 76/85
 − 0.019*
 
 − 0.023**
 
(0.008)
 
(0.008)
 
Post crisis
0.035
 
0.043
 
(0.027)
 
(0.028)
 
Marital status × age(df = 6)
6.562***
 
2.610*
 
Education × age(df = 42)
1.303
 
1.000
 
Country × age(df = 102)
1.569***
 
1.897***
 
All(df = 150)
1.808***
 
1.615***
 
Overall test (χ2(6))
 
13.408*
 
3.97
R2
0.008
 
0.008
 
Number of persons
33,510
 
26,354
 
Number of person- years
90,081
 
69,911
 
F-statistics reported for control trends; df: (numerator) degrees of freedom
*p < 0.05, **p < 0.01, ***p < 0.001; clustered standard errors in parentheses; columns Δ report the differerences in average marginal effects (AME) for parents and childless
Table 4
Health limitations and life satisfaction by parental status over age
 
Women
Men
Coef
Δ
Coef
Δ
Coef
Δ
Coef
Δ
ADL
 − 0.128***
 
 − 0.106**
 
 − 0.129***
 
 − 0.185***
 
(0.010)
 
(0.036)
 
(0.012)
 
(0.043)
 
IADL
 − 0.142***
 
 − 0.063
 
 − 0.180***
 
 − 0.268***
 
(0.010)
 
(0.038)
 
(0.013)
 
(0.044)
 
Chronic illness
 − 0.093***
 
 − 0.063
 
 − 0.099***
 
 − 0.116**
 
(0.011)
 
(0.037)
 
(0.012)
 
(0.039)
 
Subjective impairment
 − 0.269***
 
 − 0.244***
 
 − 0.260***
 
 − 0.262***
 
(0.012)
 
(0.042)
 
(0.013)
 
(0.048)
 
Parent × ADL
   
 − 0.019
     
0.073
 
   
(0.038)
     
(0.045)
 
Parent×IADL
   
 − 0.081*
     
0.100*
 
   
(0.039)
     
(0.047)
 
Parent × chronic
   
 − 0.029
     
0.023
 
   
(0.039)
     
(0.042)
 
Parent × subjective impairment
   
 − 0.032
     
0.009
 
   
(0.044)
     
(0.051)
 
Age 50– 55
0.080**
 
0.081**
 
0.030
 
0.030
 
(0.029)
 
(0.029)
 
(0.033)
 
(0.033)
 
Age 56– 60
0.015
 
0.010
 
0.016
 
0.020
 
(0.022)
 
(0.021)
 
(0.022)
 
(0.022)
 
Age 61– 65
0.050*
 
0.049*
 
0.016
 
0.019
 
(0.021)
 
(0.021)
 
(0.021)
 
(0.021)
 
Age 66– 70
0.071**
 
0.065**
 
0.027
 
0.034
 
(0.025)
 
(0.024)
 
(0.025)
 
(0.024)
 
Age 71–75
 − 0.036
 
 − 0.036
 
0.014
 
0.019
 
(0.026)
 
(0.026)
 
(0.027)
 
(0.027)
 
Age 76– 85
0.033
 
0.025
 
0.045
 
0.058*
 
(0.021)
 
(0.021)
 
(0.025)
 
(0.025)
 
Parent × 50–55
 − 0.045
 − 0.003
 − 0.046
 − 0.004
 − 0.030
 − 0.001
 − 0.028
0.000
(0.030)
(0.004)
(0.030)
(0.005)
(0.034)
(0.004)
(0.034)
(0.006)
Parent × 56–60
0.025
 − 0.005
0.030
0.001
0.019
0.002
0.014
 − 0.003
(0.022)
(0.003)
(0.022)
(0.004)
(0.023)
(0.003)
(0.023)
(0.004)
Parent × 61–65
 − 0.030
0.004
 − 0.030
0.004
0.007
 − 0.007*
0.004
 − 0.010*
(0.022)
(0.003)
(0.022)
(0.003)
(0.022)
(0.003)
(0.022)
(0.005)
Parent × 66–70
 − 0.049
0.004
 − 0.044
0.009*
 − 0.017
 − 0.008*
 − 0.025
 − 0.017**
(0.025)
(0.003)
(0.025)
(0.004)
(0.026)
(0.004)
(0.025)
(0.006)
Parent × 71–75
0.042
 − 0.005
0.043
 − 0.004
 − 0.015
 − 0.008
 − 0.021
 − 0.014
(0.027)
(0.004)
(0.027)
(0.005)
(0.028)
(0.004)
(0.028)
(0.007)
Parent × 76–85
 − 0.029
 − 0.001
 − 0.021
0.007
 − 0.041
 − 0.006
 − 0.056*
 − 0.021**
(0.021)
(0.003)
(0.022)
(0.006)
(0.025)
(0.004)
(0.026)
(0.008)
Post crisis
0.052
 
0.051
 
0.060
 
0.058
 
(0.027)
 
(0.027)
 
(0.028)
 
(0.028)
 
Marital status × age(df = 6)
7.015***
 
8.213***
 
2.929**
 
2.868**
 
Education × age(df = 42)
1.408*
 
1.372
 
1.024
 
1.113
 
Country × age(df = 102)
1.565***
 
1.583***
 
1.819***
 
1.734***
 
Marital status × health(df = 4)
   
2.695*
     
0.609
 
Education × health(df = 28)
   
1.078
     
1.590*
 
Country × health(df = 68)
   
2.544***
     
1.493**
 
Overall test (χ2(6))
 
8.297
 
11.602
 
19.583**
 
16.223*
R2
0.025
 
0.030
 
0.028
 
0.033
 
Number of persons
33,510
 
33,510
 
26,354
 
26,354
 
Number of person − years
90,081
 
90,081
 
69,911
 
69,911
 
F-statistics reported for control trends; (I)ADL: limitations in (instrumental) activities of daily living; df: (numerator) degrees of freedom
*p < 0.05, **p < 0.01, ***p < 0.001; clustered standard errors in parentheses; columns Δ report changes in coefficients compared with the specification in Table 4
Table 5
Rotated factor loadings
Variable
ADL
Chronic illness
IADL
Subjective impairment
Uniqueness
Some limitations
0.162
0.237
0.194
0.578
0.546
Severe limitations
0.275
0.124
0.281
0.471
0.608
# ADLs
0.833
0.072
0.309
0.080
0.199
At least 1 ADL
0.799
0.095
0.226
0.150
0.279
# IADLs
0.438
0.092
0.748
0.100
0.230
At least 1 IADL
0.287
0.123
0.733
0.187
0.330
Self-perceived health
0.187
0.336
0.206
0.535
0.524
# chronic diseases
0.121
0.783
0.129
0.164
0.329
 ≥ 1 chronic disease
0.046
0.783
0.054
0.087
0.375
(I)ADL: limitations in (instrumental) activities of daily living
Table 6
Age trends in life satisfaction by parental status, FE regression using age splines adjusted for initial dropout using inverse probability weights
 
Women
Men
AME
Δ
AME
Δ
Childless: 50/55
0.084**
 − 0.048
0.019
 − 0.016
(0.031)
(0.033)
(0.034)
(0.035)
Parents: 50/55
0.036**
 
 − 0.002
 
(0.011)
 
(0.012)
 
Childless: 56/60
0.023
0.018
0.015
0.014
(0.024)
(0.023)
(0.023)
(0.024)
Parents: 56/60
0.041***
 
0.031***
 
(0.008)
 
(0.008)
 
Childless: 61/65
0.039
 − 0.022
0.015
0.015
(0.022)
(0.023)
(0.022)
(0.024)
Parents: 61/65
0.017*
 
0.022**
 
(0.007)
 
(0.008)
 
Childless: 66/70
0.083**
 − 0.069*
0.009
 − 0.018
(0.026)
(0.027)
(0.026)
(0.027)
Parents: 66/70
0.014
 
0.004
 
(0.008)
 
(0.008)
 
Childless: 71/75
 − 0.056*
0.053
 − 0.003
 − 0.003
(0.026)
(0.027)
(0.029)
(0.030)
Parents: 71/75
 − 0.003
 
 − 0.013
 
(0.008)
 
(0.009)
 
Childless: 76/85
0.021
 − 0.039
0.021
 − 0.045
(0.022)
(0.023)
(0.026)
(0.027)
Parents: 76/85
 − 0.018*
 
 − 0.019*
 
(0.008)
 
(0.008)
 
Post crisis
0.050
 
0.069*
 
(0.028)
 
(0.030)
 
Marital status × age(df = 6)
6.208***
 
2.562*
 
Education × age(df = 42)
1.469*
 
1.099
 
Country × age(df = 102)
1.617***
 
2.010***
 
All(df = 150)
1.878***
 
1.707***
 
Overall test (χ2(6))
 
14.615*
 
3.636*
R2
0.010
 
0.009
 
Number of persons
33,509
 
26,352
 
Number of person- years
90,078
 
69,904
 
F-statistics reported for control trends; df: (numerator) degrees of freedom
*p < 0.05, **p < 0.01, ***p < 0.001; clustered standard errors in parentheses; columns Δ report the differerences in average marginal effects (AME) for parents and childless
Table 7
Health limitations and life satisfaction by parental status over age, adjusted for initial dropout using inverse probability weights
 
Women
Men
Coef
Δ
Coef
Δ
Coef
Δ
Coef
Δ
ADL
 − 0.137***
 
 − 0.130***
 
 − 0.131***
 
 − 0.190***
 
(0.011)
 
(0.038)
 
(0.013)
 
(0.045)
 
IADL
 − 0.145***
 
 − 0.081*
 
 − 0.175***
 
 − 0.251***
 
(0.010)
 
(0.040)
 
(0.014)
 
(0.045)
 
Chronic illness
 − 0.097***
 
 − 0.067
 
 − 0.100***
 
 − 0.117**
 
(0.011)
 
(0.037)
 
(0.012)
 
(0.041)
 
Subjective impairment
 − 0.275***
 
 − 0.268***
 
 − 0.266***
 
 − 0.270***
 
(0.013)
 
(0.044)
 
(0.014)
 
(0.049)
 
Parent × ADL
   
0.003
     
0.078
 
 
(0.040)
     
(0.047)
 
Parent × IADL
   
 − 0.063
     
0.089
 
 
(0.042)
     
(0.048)
 
Parent × chronic
   
 − 0.028
     
0.024
 
 
(0.039)
     
(0.044)
 
Parent × subjective impairment
   
 − 0.013
     
0.011
 
 
(0.046)
     
(0.052)
 
Age 50/55
0.090**
 
0.091**
 
0.025
 
0.022
 
(0.031)
 
(0.031)
 
(0.033)
 
(0.033)
 
Age 56/60
0.027
 
0.022
 
0.019
 
0.024
 
(0.022)
 
(0.023)
 
(0.022)
 
(0.023)
 
Age 61/65
0.040
 
0.039
 
0.024
 
0.026
 
(0.022)
 
(0.022)
 
(0.022)
 
(0.022)
 
Age 66/70
0.086***
 
0.080**
 
0.026
 
0.032
 
(0.026)
 
(0.026)
 
(0.025)
 
(0.025)
 
Age 71/75
 − 0.036
 
 − 0.035
 
0.019
 
0.024
 
(0.026)
 
(0.026)
 
(0.028)
 
(0.028)
 
Age 76/85
0.046*
 
0.042
 
0.053*
 
0.064*
 
(0.022)
 
(0.022)
 
(0.026)
 
(0.026)
 
Parent × 50/55
 − 0.051
 − 0.003
 − 0.052
 − 0.004
-0.023
 − 0.001
 − 0.020
0.002
(0.032)
(0.005)
(0.032)
(0.006)
(0.034)
(0.005)
(0.034)
(0.006)
Parent × 56/60
0.014
 − 0.004
0.019
0.001
0.019
0.002
0.013
 − 0.003
(0.023)
(0.003)
(0.023)
(0.004)
(0.023)
(0.004)
(0.024)
(0.005)
Parent × 61/65
 − 0.019
0.003
 − 0.018
0.005
0.000
 − 0.007
 − 0.002
 − 0.009
 
(0.023)
(0.003)
(0.023)
(0.004)
(0.023)
(0.003)
(0.023)
(0.005)
Parent × 66/70
 − 0.063*
 
0.006
 − 0.058*
0.011*
 − 0.013
 − 0.008
 − 0.021
 − 0.016**
(0.027)
(0.004)
(0.026)
(0.005)
(0.026)
(0.004)
(0.026)
(0.006)
Parent × 71/75
0.046
 − 0.007
0.045
 − 0.008
 − 0.018
 − 0.008
 − 0.022
 − 0.013
(0.027)
(0.004)
(0.027)
(0.006)
(0.029)
(0.005)
(0.029)
(0.008)
Parent × 76/85
 − 0.042
 − 0.003
 − 0.038
 − 0.001
 − 0.047
 − 0.007
 − 0.060*
 − 0.020*
(0.022)
(0.003)
(0.023)
(0.006)
(0.027)
(0.004)
(0.027)
(0.008)
Post crisis
0.070*
 
0.065*
 
0.087**
 
0.084*
 
(0.028)
 
(0.028)
 
(0.030)
 
(0.030)
 
Marital status × age(df = 6)
6.549***
 
7.623***
 
2.670*
 
2.493*
 
Education × age (df = 42)
1.564*
 
1.532*
 
1.093
 
1.187
 
Country × age (df = 102)
1.639***
 
1.653***
 
1.914***
 
1.829***
 
Marital status × health health (df = 4)
   
2.830*
     
0.543
 
Education × health (df = 28)
   
1.158
     
2.302***
 
Country × health (df = 68)
   
2.523***
     
1.566**
 
Overall test (χ2(6))
 
10.318
 
9.296
 
18.935**
 
14.651*
R2
0.028
 
0.033
 
0.030
 
0.035
 
Number of persons
33,509
 
33,509
 
26,352
 
26,352
 
Number of person-years
90,078
 
90,078
 
69,904
 
69,904
 
F-statistics reported for control trends; (I)ADL: limitations in (instrumental) activities of daily living; df: (numerator) degrees of freedom
*p < 0.05, **p < 0.01, ***p < 0.001; clustered standard errors in parentheses; columns Δ report changes in coefficients compared with the specification in Table 6
Zurück zum Zitat Antonucci, T. C., Ajrouch, K. J., & Birditt, K. S. (2014). The convoy model: Explaining social relations from a multidisciplinary perspective. The Gerontologist, 54(1), 82–92. https://​doi.​org/​10.​1093/​geront/​gnt118CrossRef
Zurück zum Zitat Bell, A. (2020). Age period cohort analysis: A review of what we should and shouldn’t do. Annals of Human Biology, 47(2), 208–217. https://​doi.​org/​10.​1080/​03014460.​2019.​1707872CrossRef
Zurück zum Zitat Bergmann, M., Kneip, T., De Luca, G., & Scherpenzeel, A. (2019). Survey participation in the Survey of Health, Ageing and Retirement in Europe (SHARE), wave 1–7. Based on release 7.0.0. SHARE working paper series. (No. 41–2019). Munich: MEA, Max Planck Institute for Social Law and Social Policy.
Zurück zum Zitat Bianchi, S. M. (2000). Maternal employment and time with children: Dramatic change or surprising continuity? Demography, 37(4), 401–414. https://​doi.​org/​10.​1353/​dem.​2000.​0001CrossRef
Zurück zum Zitat Borg, C., Hallberg, I. R., & Blomqvist, K. (2006). Life satisfaction among older people (65+) with reduced self-care capacity: The relationship to social, health and financial aspects. Journal of Clinical Nursing, 15(5), 607–618. https://​doi.​org/​10.​1111/​j.​1365-2702.​2006.​01375.​xCrossRef
Zurück zum Zitat Börsch-Supan, A., Brandt, M., Hunkler, C., Kneip, T., Korbmacher, J., Malter, F., et al. (2013). Data resource profile: The survey of health, ageing and retirement in Europe (SHARE). International Journal of Epidemiology, 42(4), 992–1001. https://​doi.​org/​10.​1093/​ije/​dyt088CrossRef
Zurück zum Zitat Brüderl, J., Kratz, F., & Bauer, G. (2019). Life course research with panel data: An analysis of the reproduction of social inequality. Advances in Life Course Research, 41, 100247. https://​doi.​org/​10.​1016/​j.​alcr.​2018.​09.​003CrossRef
Zurück zum Zitat Buber, I., & Engelhardt, H. (2008). Children’s impact on the mental health of their older mothers and fathers: Findings from the survey of health, ageing and retirement in Europe. European Journal of Ageing, 5(1), 31–45. https://​doi.​org/​10.​1007/​s10433-008-0074-8CrossRef
Zurück zum Zitat Bucher-Koenen, T., Farbmacher, H., Guber, R., & Vikstrom, J. (2020). Double trouble: The burden of child-rearing and working on maternal mortality. Demography, 57(2), 559–576. https://​doi.​org/​10.​1007/​s13524-020-00868-6CrossRef
Zurück zum Zitat Busseri, M. A., & Sadava, S. W. (2011). A review of the tripartite structure of subjective well-being: Implications for conceptualization, operationalization, analysis, and synthesis. Personality and Social Psychology Review, 15(3), 290–314. https://​doi.​org/​10.​1177/​1088868310391271​CrossRef
Zurück zum Zitat Carstensen, L. L. (1992). Social and emotional patterns in adulthood: Support for socioemotional selectivity theory. Psychology and Aging, 7(3), 331–338. https://​doi.​org/​10.​1037/​0882-7974.​7.​3.​331CrossRef
Zurück zum Zitat César, F., Costa, P., Oliveira, A., & Fontaine, A. M. (2018). “To suffer in paradise”: Feelings mothers share on Portuguese Facebook sites. Frontiers in Psychology, 9, 1797. https://​doi.​org/​10.​3389/​fpsyg.​2018.​01797CrossRef
Zurück zum Zitat Cheung, F., & Lucas, R. E. (2014). Assessing the validity of single-item life satisfaction measures: Results from three large samples. Quality of Life Research, 23(10), 2809–2818. https://​doi.​org/​10.​1007/​s11136-014-0726-4CrossRef
Zurück zum Zitat Clark, A. E., & Georgellis, Y. (2013). Back to baseline in Britain: Adaptation in the British household panel survey. Economica, 80(319), 496–512. https://​doi.​org/​10.​1111/​ecca.​12007CrossRef
Zurück zum Zitat De Stavola, B. L., Daniel, R. M., Ploubidis, G. B., & Micali, N. (2015). Mediation analysis with intermediate confounding: Structural equation modeling viewed through the causal inference lens. American Journal of Epidemiology, 181(1), 64–80. https://​doi.​org/​10.​1093/​aje/​kwu239CrossRef
Zurück zum Zitat Deaton, A., & Stone, A. A. (2014). Evaluative and hedonic wellbeing among those with and without children at home. Proceedings of the National Academy of Sciences, 111(4), 1328–1333. https://​doi.​org/​10.​1073/​pnas.​1311600111CrossRef
Zurück zum Zitat Deindl, C., & Brandt, M. (2017). Support networks of childless older people: Informal and formal support in Europe. Ageing and Society, 37(8), 1543–1567. https://​doi.​org/​10.​1017/​S0144686X1600041​6CrossRef
Zurück zum Zitat Deindl, C., Brandt, M., & Hank, K. (2016). Social networks, social cohesion, and later-life health. Social Indicators Research, 126(3), 1175–1187. https://​doi.​org/​10.​1007/​s11205-015-0926-5CrossRef
Zurück zum Zitat Diener, C., & Esch, T. (2012). The neurobiology of happiness: How positive psychology has changed medicine. Neuroforum, 18(2), 229–230.
Zurück zum Zitat Diener, E. (1984). Subjective well-being. Psychological Bulletin, 95(3), 542–575. https://​doi.​org/​10.​1037/​0033-2909.​95.​3.​542CrossRef
Zurück zum Zitat Diener, E., & Chan, M. Y. (2011). Happy people live longer: Subjective well-being contributes to health and longevity. Applied Psychology: Health and Well-Being, 3(1), 1–43. https://​doi.​org/​10.​1111/​j.​1758-0854.​2010.​01045.​xCrossRef
Zurück zum Zitat Donath, O. (2015). Regretting motherhood: A sociopolitical analysis. Signs Journal of Women in Culture and Society, 40(2), 343–367. https://​doi.​org/​10.​1086/​678145CrossRef
Zurück zum Zitat Durkheim, E. (1951). Suicide. A study in sociology. The Free Press.
Zurück zum Zitat Easterlin, R. A. (2005). A puzzle for adaptive theory. Journal of Economic Behavior & Organization, 56(4), 513–521. https://​doi.​org/​10.​1016/​j.​jebo.​2004.​03.​003CrossRef
Zurück zum Zitat Diener, E. (Ed.). (2009). Assessing well-being. The collected works of Ed Diener. Social indicators research series. Dordrecht Heidelberg London New York: Springer.
Zurück zum Zitat Ferrer-i-Carbonell, A., & Frijters, P. (2004). How important is methodology for the estimates of the determinants of happiness? The Economic Journal, 114(497), 641–659. https://​doi.​org/​10.​1111/​j.​1468-0297.​2004.​00235.​xCrossRef
Zurück zum Zitat Frederick, S., Loewenstein, G., & O’Donoghue, T. (2002). Time discounting and time preference: A critical review. Journal of Economic Literature, 40(2), 351–401. https://​doi.​org/​10.​1257/​0022051023201613​11CrossRef
Zurück zum Zitat Frijters, P., & Beatton, T. (2012). The mystery of the U-shaped relationship between happiness and age. Journal of Economic Behavior & Organization, 82(2), 525–542. https://​doi.​org/​10.​1016/​j.​jebo.​2012.​03.​008CrossRef
Zurück zum Zitat Fuhrer, R., Shipley, M. J., Chastang, J. F., Schmaus, A., Niedhammer, I., Stansfeld, S. A., et al. (2002). Socioeconomic position, health, and possible explanations: A tale of two cohorts. American Journal of Public Health, 92(8), 1290–1294. https://​doi.​org/​10.​2105/​ajph.​92.​8.​1290CrossRef
Zurück zum Zitat Fuhrer, R., Stansfeld, S. A., Chemali, J., & Shipley, M. J. (1999). Gender, social relations and mental health: Prospective findings from an occupational cohort (Whitehall II study). Social Science & Medicine, 48(1), 77–87. https://​doi.​org/​10.​1016/​S0277-9536(98)00290-1CrossRef
Zurück zum Zitat Greenfield, E. A., & Marks, N. F. (2006). Linked lives: Adult children’s problems and their parents’ psychological and relational well-being. Journal of Marriage and Family, 68(2), 442–454. https://​doi.​org/​10.​1111/​j.​1741-3737.​2006.​00263.​xCrossRef
Zurück zum Zitat Grossman, M. (1972). On the concept of health capital and the demand for health. Journal of Political Economy, 80(2), 223–255. https://​doi.​org/​10.​1086/​259880CrossRef
Zurück zum Zitat Gwozdz, W., & Sousa-Poza, A. (2010). Ageing, health and life satisfaction of the oldest old: An analysis for Germany. Social Indicators Research, 97(3), 397–417. https://​doi.​org/​10.​1007/​s11205-009-9508-8CrossRef
Zurück zum Zitat Hank, K., & Wagner, M. (2013). Parenthood, marital status, and well-being in later life: Evidence from SHARE. Social Indicators Research, 114(2), 639–653. https://​doi.​org/​10.​1007/​s11205-012-0166-xCrossRef
Zurück zum Zitat Hansen, T. (2012). Parenthood and happiness: A review of folk theories versus empirical evidence. Social Indicators Research, 108(1), 29–64. https://​doi.​org/​10.​1007/​s11205-011-9865-yCrossRef
Zurück zum Zitat Herlofson, K., & Brandt, M. (2020). Helping older parents in Europe: The importance of grandparenthood, gender and care regime. European Societies, 22(3), 390–410. https://​doi.​org/​10.​1080/​14616696.​2019.​1694163CrossRef
Zurück zum Zitat Hoffmann, L. W., & Hoffmann, M. L. (1973). The value of children to parents. In J. T. Fawcett (Ed.), Psychological perspectives on population (pp. 19–76). Basic Books.
Zurück zum Zitat Horner, E. M. (2014). Subjective well-being and retirement: Analysis and policy recommendations. Journal of Happiness Studies, 15(1), 125–144. https://​doi.​org/​10.​1007/​s10902-012-9399-2CrossRef
Zurück zum Zitat Kneip, T., Bauer, G., & Reinhold, S. (2014). Direct and indirect effects of unilateral divorce law on marital stability. Demography, 51(6), 2103–2126.CrossRef
Zurück zum Zitat Kohler, H.-P., & Mencarini, L. (2016). The parenthood happiness puzzle: An introduction to special issue. European Journal of Population, 32(3), 327–338. https://​doi.​org/​10.​1007/​s10680-016-9392-2CrossRef
Zurück zum Zitat Kohli, M., Hank, K., & Künemund, H. (2009). The social connectedness of older Europeans: Patterns, dynamics and contexts. Journal of European Social Policy, 19(4), 327–340. https://​doi.​org/​10.​1177/​1350506809341514​CrossRef
Zurück zum Zitat Kratz, F., & Brüderl, J. (2021). The age trajectory of happiness. https://​doi.​org/​10.​31234/​osf.​io/​d8f2z
Zurück zum Zitat Kratz, F., & Patzina, A. (2020). Endogenous selection bias and cumulative inequality over the life course: Evidence from educational inequality in subjective well-being. European Sociological Review, 36(3), 333–350. https://​doi.​org/​10.​1093/​esr/​jcaa003CrossRef
Zurück zum Zitat Kravdal, Ø. (2014). The estimation of fertility effects on happiness: Even more difficult than usually acknowledged. European Journal of Population, 30(3), 263–290. https://​doi.​org/​10.​1007/​s10680-013-9310-9CrossRef
Zurück zum Zitat Lindenberg, S. (1985). An assessment of the new political economy: Its potential for the social sciences and for sociology in particular. Sociological Theory, 3(1), 99–114. https://​doi.​org/​10.​2307/​202177CrossRef
Zurück zum Zitat Lindenberg, S. (1989). Social production functions, deficits, and social revolutions prerevolutionary France and Russia. Rationality and Society, 1(1), 51–77. https://​doi.​org/​10.​1177/​1043463189001001​005CrossRef
Zurück zum Zitat Litwin, H., & Stoeckel, K. J. (2014). Confidant network types and well-being among older Europeans. The Gerontologist, 54(5), 762–772. https://​doi.​org/​10.​1093/​geront/​gnt056CrossRef
Zurück zum Zitat Loewenstein, G., & Schkade, D. (1999). Wouldn’t it be nice? Predicting future feelings. In D. Kahnemann, E. Diener, & N. Schwarz (Eds.), Well-being: The foundations of hedonic psychology (pp. 85–105). Russel Sage Foundation.
Zurück zum Zitat Martire, L. M., & Stephens, M. A. P. (2003). Juggling parent care and employment responsibilities: The dilemmas of adult daughter caregivers in the workforce. Sex Roles, 48(3/4), 167–173. https://​doi.​org/​10.​1023/​A:​1022407523039CrossRef
Zurück zum Zitat McLaughlin, D., Vagenas, D., Pachana, N. A., Begum, N., & Dobson, A. (2010). Gender differences in social network size and satisfaction in adults in their 70s. Journal of Health Psychology, 15(5), 671–679. https://​doi.​org/​10.​1177/​1359105310368177​CrossRef
Zurück zum Zitat Mu, Z., & Xie, Y. (2016). ‘Motherhood penalty’ and ‘fatherhood premium’? Fertility effects on parents in China. Demographic Research, 35, 1373–1410. https://​doi.​org/​10.​4054/​DemRes.​2016.​35.​47CrossRef
Zurück zum Zitat Mudrazija, S. (2014). The balance of intergenerational family transfers: A life-cycle perspective. European Journal of Ageing, 11(3), 249–259. https://​doi.​org/​10.​1007/​s10433-013-0302-8CrossRef
Zurück zum Zitat Musick, K., Meier, A., & Flood, S. (2016). How parents fare: Mothers’ and fathers’ subjective well-being in time with children. American Sociological Review, 81(5), 1069–1095. https://​doi.​org/​10.​1177/​0003122416663917​CrossRef
Zurück zum Zitat Myrskylä, M., & Margolis, R. (2014). Happiness: Before and after the kids. Demography, 51(5), 1843–1866. https://​doi.​org/​10.​1007/​s13524-014-0321-xCrossRef
Zurück zum Zitat Nauck, B. (2014). Value of children and the social production of welfare. Demographic Research, 30(66), 1793–1824. https://​doi.​org/​10.​4054/​DemRes.​2014.​30.​66CrossRef
Zurück zum Zitat Nelson-Coffey, S. K., Killingsworth, M., Layous, K., Cole, S. W., & Lyubomirsky, S. (2019). Parenthood is associated with greater well-being for fathers than mothers. Personality and Social Psychology Bulletin, 45(9), 1378–1390. https://​doi.​org/​10.​1177/​0146167219829174​CrossRef
Zurück zum Zitat Nomaguchi, K., & Milkie, M. A. (2020). Parenthood and well-being: A decade in review. Journal of Marriage and Family, 82(1), 198–223. https://​doi.​org/​10.​1111/​jomf.​12646CrossRef
Zurück zum Zitat Pearl, J. (2014). Interpretation and identification of causal mediation. Psychological Methods, 19(4), 459–481. https://​doi.​org/​10.​1037/​a0036434CrossRef
Zurück zum Zitat Pollmann-Schult, M. (2014). Parenthood and life satisfaction: Why don’t children make people happy? Journal of Marriage and Family, 76(2), 319–336. https://​doi.​org/​10.​1111/​jomf.​12095CrossRef
Zurück zum Zitat Preisner, K., Neuberger, F., Posselt, L., & Kratz, F. (2018). Motherhood, employment, and life satisfaction: Trends in Germany between 1984 and 2015. Journal of Marriage and Family, 80(5), 1107–1124. https://​doi.​org/​10.​1111/​jomf.​12518CrossRef
Zurück zum Zitat Pripp, A. H., Skreden, M., Skari, H., Malt, U., & Emblem, R. (2010). Underlying correlation structures of parental stress, general health and anxiety. Scandinavian Journal of Psychology, 51(6), 473–479. https://​doi.​org/​10.​1111/​j.​1467-9450.​2010.​00841.​xCrossRef
Zurück zum Zitat Radó, M. K. (2020). Tracking the effects of parenthood on subjective well-being: Evidence from Hungary. Journal of Happiness Studies, 21(6), 2069–2094. https://​doi.​org/​10.​1007/​s10902-019-00166-yCrossRef
Zurück zum Zitat Ridker, P. M., Hennekens, C. H., Buring, J. E., & Rifai, N. (2000). C-reactive protein and other markers of inflammation in the prediction of cardiovascular disease in women. New England Journal of Medicine, 342(12), 836–843. https://​doi.​org/​10.​1056/​NEJM200003233421​202CrossRef
Zurück zum Zitat Rosenthal, C. J. (1985). Kinkeeping in the familial division of labor. Journal of Marriage and Family, 47(4), 965–974. https://​doi.​org/​10.​2307/​352340CrossRef
Zurück zum Zitat Ryff, C. D., & Singer, B. H. (2008). Know thyself and become what you are: A eudaimonic approach to psychological well-being. Journal of Happiness Studies, 9(1), 13–39. https://​doi.​org/​10.​1007/​s10902-006-9019-0CrossRef
Zurück zum Zitat Schmitz, A., & Brandt, M. (2019). Gendered patterns of depression and its determinants in older Europeans. Archives of Gerontology and Geriatrics, 82, 207–216. https://​doi.​org/​10.​1016/​j.​archger.​2019.​02.​015CrossRef
Zurück zum Zitat Shye, D., Mullooly, J. P., Freeborn, D. K., & Pope, C. R. (1995). Gender differences in the relationship between social network support and mortality: A longitudinal study of an elderly cohort. Social Science & Medicine, 41(7), 935–947. https://​doi.​org/​10.​1016/​0277-9536(94)00404-HCrossRef
Zurück zum Zitat Smith, A. (1776). The wealth of nations: An inquiry into the nature and causes of the wealth of nations. London: Strahan and Cadell
Zurück zum Zitat Stanca, L. (2012). Suffer the little children: Measuring the effects of parenthood on well-being worldwide. Journal of Economic Behavior & Organization, 81(3), 742–750. https://​doi.​org/​10.​1016/​j.​jebo.​2010.​12.​019CrossRef
Zurück zum Zitat Umberson, D. (1987). Family status and health behaviors: Social control as a dimension of social integration. Journal of Health and Social Behavior, 28(3), 306–319. https://​doi.​org/​10.​2307/​2136848CrossRef
Zurück zum Zitat Umberson, D., Pudrovska, T., & Reczek, C. (2010). Parenthood, childlessness, and well-being: A life course perspective. Journal of Marriage and Family, 72(3), 612–629. https://​doi.​org/​10.​1111/​j.​1741-3737.​2010.​00721.​xCrossRef
Zurück zum Zitat Umberson, D., & Williams, K. (1999). Family status and mental health. In C. S. Aneshensel & J. C. Phelan (Eds.), Handbook of the sociology of mental health (pp. 225–253). Boston, Massachusetts: Springer, US. https://​doi.​org/​10.​1007/​0-387-36223-1_​12CrossRef
Zurück zum Zitat VanderWeele, T. (2015). Explanation in causal inference: Methods for mediation and interaction. University Press.
Zurück zum Zitat Vlachantoni, A., Evandrou, M., Falkingham, J., & Gomez-Leon, M. (2020). Caught in the middle in mid-life: Provision of care across multiple generations. Ageing & Society, 40(7), 1490–1510. https://​doi.​org/​10.​1017/​S0144686X1900004​7CrossRef
Zurück zum Zitat Wooldridge, J. M. (2010). Econometric analysis of cross section and panel data (2nd ed.). MIT Press.
Zurück zum Zitat Wrzus, C., Hänel, M., Wagner, J., & Neyer, F. J. (2013). Social network changes and life events across the life span: A meta-analysis. Psychological Bulletin, 139(1), 53–80. https://​doi.​org/​10.​1037/​a0028601CrossRef
Zurück zum Zitat Yu, Q., Zhang, J., Zhang, L., Zhang, Q., Guo, Y., Jin, S., & Chen, J. (2019). Who gains more? The relationship between parenthood and well-being. Evolutionary Psychology, 17(3), 147470491986046. https://​doi.​org/​10.​1177/​1474704919860467​CrossRef