Zum Inhalt

Ultra-Wideband PIN-PD THz Emitter with > 5.5 THz Bandwidth

  • Open Access
  • 24.07.2024
  • Research
Erschienen in:

Aktivieren Sie unsere intelligente Suche, um passende Fachinhalte oder Patente zu finden.

search-config
loading …

Abstract

Der Artikel stellt einen neuartigen PIN-PD THz-Emitter vor, der entwickelt wurde, um die Beschränkungen aktueller THz-Quellen zu überwinden. Durch den Einsatz eines dünnen InP-Substrats und eines optimierten Herstellungsprozesses erreichen die neuen Strahler eine Rekordbandbreite von über 5,5 THz und bis zu 4 dB höhere Ausgangsleistung. Diese Fortschritte versprechen, die Leistung von THz-Funkverbindungen und Spektroskopieanwendungen zu verbessern und einen neuen Maßstab im Bereich der THz-Technologie zu setzen.

Publisher's Note

Springer Nature remains neutral with regard to jurisdictional claims in published maps and institutional affiliations.

1 Introduction

Research on terahertz (THz) radiation has gained increasing relevance in recent decades due to its wide range of applications in industry and science. These applications include spectroscopy, non-destructive testing and wireless communications [16]. Consequently, significant efforts have been dedicated to the development of THz sources that cover the electromagnetic spectrum from 100 GHz to 10 THz. Photonic systems, which utilize photomixers to convert optical signals to the THz frequency range, have emerged as a prominent solution due to their extensive bandwidth and tunability [1, 2, 7, 8].
There are two main approaches for generating THz radiation with photonic devices, pulsed and continuous wave (cw). In the former case, the photomixers convert femtosecond laser pulses into ultra-short electromagnetic pulses that cover a broad frequency spectrum reaching far into the THz range. For cw THz photomixers, an optical beat-note generated by two cw lasers is converted into an electrical photocurrent, which is radiated into free space by an antenna. Pulsed systems, also known as time-domain spectroscopy (TDS) systems, have demonstrated extremely large bandwidths. Up to 10 THz [9] have been achieved with optoelectrinc TDS systems. So far, however, cw THz systems, known as frequency-domain spectroscopy (FDS) systems, have achieved a bandwidth of only 4.5 THz [10]. On the other side, FDS systems offer distinct advantages: i) they can achieve much higher frequency resolution, ii) they do not require mechanical components like optical delay-shakers, and iii) they can utilize mature, compact, edge-coupled optical components, which are available in the 1550 nm telecommunications technology. This holds the promise of enabling cost-effective, small form-factor and even photonic integrated THz systems. However, improvements are needed in cw THz photomixers to achieve bandwidths comparable to TDS systems.
Two types of photomixers are typically considered for photonic cw THz sources: photoconductive antennas (PCA) and high-speed PIN- or UTC-photodiodes (PD). Cw THz PCAs are simple in fabrication since they only consist of a planar antenna patterned onto a photoconductor. They are, however, very limited in their output power, as they cannot handle high photocurrents due to the geometry of the interdigitated finger contacts, which interface the antenna and the semiconductor. PCAs furthermore require doping of the photoconductive material to achieve high bandwidths, which reduces the device’s responsivity and thus the optical to electrical (O/E) conversion efficiency. PD-based emitters on the other hand consist of a vertical layer stack with an un-doped absorber between a p- and an n-doped layer. This geometry allows for larger contact areas, which enables the PD to handle much higher photocurrents. Additionally, no doping of the absorber material is required due to short carrier transit-time in the thin absorber layer. Therefore, PDs can achieve much higher O/E conversion efficiencies. Consequently, PD-based THz emitters are the most common choice for cw THz systems [2, 7, 1114].
The bandwidth of such a PD emitter is on the one hand limited by its parasitic capacitance (RC-cut-off) and by its absorber thickness (transit-time-cut-off) [7, 13]. On the other hand, however, research has shown that indium phosphide (InP), which is commonly used as a substrate for photomixers operating in the 1550 nm wavelength range, strongly absorbs radiation above approximately 3 THz [9]. This imposes a major limitation on the bandwidth of THz systems. To address this issue, we present a new generation of PIN-PD THz emitters with a thinned InP substrate and an improved manufacturing process. These novel PIN-PD THz emitters have up to -0.53 dBm of output power and enable more than 5.5 THz bandwidth in an FDS THz system, which is an improvement of 4 dB and 1 THz over the state-of-the-art (SotA), respectively.

2 PIN-PD Design and Fabrication

The antenna-integrated indium-gallium-arsenide (InGaAs) based PIN-PDs are SotA, commercially available cw THz emitters [12, 13, 15]. Such photodiodes are typically manufactured from InGaAs and quarternary indium gallium arsenide phosphide (InGaAsP), lattice-matched grown on InP substrates. However, InP exhibits strong absorption of THz radiation at frequencies above 3 THz as shown in Fig. 1. To reduce this absorption, the InP substrate needs to be removed [9], or at least thinned.
Fig. 1
THz-absorption of a 350 µm thick InP sample over frequency as measured in [9]. The absorption starts from about 1.5 THz and becomes very severe for frequencies above 3 THz
Bild vergrößern
Our state-of-the-art PIN-PD THz emitters are comprised of a PIN heterostructure made of an un-doped InGaAs absorber between a p- and an n-doped InGaAsP layer. Underneath the diode, an optical waveguide made of alternating layers of InP and InGaAs is located, through which the optical excitation is coupled evanescently into the PD. The whole layer stack as outlined in Fig. 2a) is grown onto a 500 µm-thick semi-insulating InP substrate by metal–organic vapor phase epitaxy. A planar, broadband bow-tie antenna, as shown in Fig. 2b), which is connected to the PIN diode, radiates the THz field into the substrate. From there, the radiation is coupled to free space through a hyper-hemispheric silicon lens, which is shown as part of the fiber-pigtailed module in the inset of Fig. 2b).
Fig. 2
a) Layer stack of the PIN photodiode and optical waveguide, b) scanning electron micrograph (SEM) of the bow-tie antenna with the photodiode in its feedpoint. A fiber-pigtailed THz module is shown in the inset
Bild vergrößern
To improve the performance of our emitters, we fabricated PIN-PDs as outlined above with a few modifications. First, we increased the doping concentration of the n-mesa and changed from silicon to sulfur as dopant in order to reduce the bulk- and contact resistance. This enabled us to increase the distance between the n-contact metal and the PD mesa by 0.75 µm, which, in turn, allowed us to use less chemical under-etching of the undoped absorber region without risking a short-circuit. Due to the therefore increased absorber cross-section by about 10%, we expect a higher photo responsivity of the diode at the cost of a slightly increased capacitance.
We then used mechanical polishing on the wafer's back-side to thin down the substrate by half to 250 µm in order to reduce the InP thickness while maintaining the functionality of the optical waveguide and the mechanical stability of the wafer. Finally, we diced the wafer into individual chips and packaged three of them into fiber-coupled modules as the one seen in Fig. 2b).

3 DC Characterization

First, we compare our new PIN-PD THz emitter (Tx) to three of our SotA modules [13, 15] in terms of the DC photoresponse. To this end, we illuminate the PDs at 1540 nm with optical power between 0 and 40 mW and measure the photocurrent at a bias voltage of -1.5 V. The dark currents all devices are very similar, i.e. on average 10.9 µA for the SotA PDs and 10.2 µA for the new PDs. The results in Fig. 3, however, show that two of the new PDs exhibit an increased photoresponse with the best device achieving a 33% higher photocurrent. The third device, however, performs slightly worse than the SotA modules, which all have a very similar response. We attribute the stronger variation among the new diodes to fabrication inhomogeneity over the wafer, since the novel manufacturing process is not yet as stable as for the conventional devices. Nonetheless, the results show the potential of the new emitters for an improved optical to THz conversion efficiency.
Fig. 3
DC photocurrent of six PIN-PD-based THz emitters at -1.5 V bias as a function of optical power. The new PIN-PDs show the potential for higher responsivity compared to SotA modules
Bild vergrößern

4 THz Performance

4.1 THz Output Power

To investigate the impact of the improved photoresponse on the THz performance of the PDs, we measured the output power of the PDs with a calibrated pyroelectric detector [16] in a face-to-face setup as described in [13]. For this measurement, we bias the PDs with -1.5 V and illuminate them with a 40 mW optical beating of two external cavity lasers (ECL). By tuning the wavelength of one of the lasers, we vary the THz frequency from 50 GHz to 1.2 THz.
The results in Fig. 4 show an output power of -0.53, -12.08, -19.20 and -28.54 dBm of the new emitters at 115, 300, 500 and 1000 GHz, respectively. This is an improvement of up to 4 dB at 115 GHz. Since the power radiated by the emitter’s antenna is proportional to the square of the exciting current, one would have only expected about 2.5 dB improvement from the 33% increase in photocurrent. Additionally, all three new modules show almost identical output powers despite their different photocurrents.
Fig. 4
Power spectra of the THz emitters at -1.5 V bias and 16 dBm optical excitation. All emitters of the same type show very comparable THz power, with the new modules reaching up to 4 dB-higher THz peak power. At 115 GHz, we measure up to -0.53 dBm with the new PIN-PD THz emitters. Note that the calibrated pyroelectric detector used here only allows for measurements up to 1.5 THz
Bild vergrößern
To investigate this further, we measured the output power of the modules at 100 GHz for optical powers between 0 and 16 dBm as seen in Fig. 5a. Here, the new emitters show a slightly increased output power for optical powers below 14 dBm, which correlates well with the findings from the DC photocurrents in Fig. 3. At higher powers, however, the SotA PDs start to saturate only reaching -5.14 dBm peak power, whilst the new emitters achieve up to -0.83 dBm. The saturation explains the strong difference in output power observed in the spectra from Fig. 4. and is in line with the results of our previous work [13]. This behavior becomes even more clear when we plot the output power over the photocurrent as in Fig. 5b. Here, we observe that the curves of emitters of the same type are congruent and only differ in the maximum current they reach at 16 dBm optical power: between 14 and 20 mA for the new emitters and 15 mA for the SotA PDs. Now it can be seen, that the new emitters also show saturation of the output power, for currents higher than about 13 mA. This explains their equal output powers despite the different photocurrents between 14 and 20 mA. We furthermore conclude, that there could be a decreased optical coupling of the diodes in the new Tx#2 and #3 compared to the first module due to the aforementioned process inhomogeneities. This would lead to less photocurrent at the same optical input power, but equal THz output power at the same photocurrent due to the saturation as observed in the measurement.
Fig. 5
THz output power of the emitters at 100 GHz as a function of optical power (a) and photocurrent (b). The new emitters #1 and #2 show higher output power for all optical powers compared to the SotA modules as expected from their photoresponses. When plotted against the photocurrent, however, all emitters perform similarly up to about 8 mA. The new modules, however, saturate later and thus have a higher peak output power of up to -0.83 dBm
Bild vergrößern
Below the saturation, all emitters behave equally. However, in comparison to the SotA, the new modules start to saturate at a higher photocurrent, i.e. at 13 mA instead of 9 mA, which explains the 4 dB increase in output power. We attribute this improvement to the modification in the microfabrication of the PIN mesa, in particular the aforementioned reduced etching undercut in the mesa. The difference in output power, however, decreases with the THz frequency and vanishes after about 500 GHz. This aligns with our previously formulated expectation of an increased diode capacitance, which results in a lower RC cut-off frequency.

4.2 Coherent THz Spectroscopy

Since the pyroelectric detector only allows for measurements up to about 1 THz, we investigate the performance of the emitters for higher frequencies using a coherent setup with a PCA receiver (Rx) [10]. To this end, we align the best of each emitter type (New Tx#1 and SotA Tx#1) and the Rx through two parabolic mirrors at a distance of approximately 30 cm and drive them with 16 dBm (Tx) and 15 dBm (Rx) optical power. Further details on the setup can be found in [10] and references therein. All measurements are recorded in a nitrogen-purged environment to eliminate water vapor absorption lines.
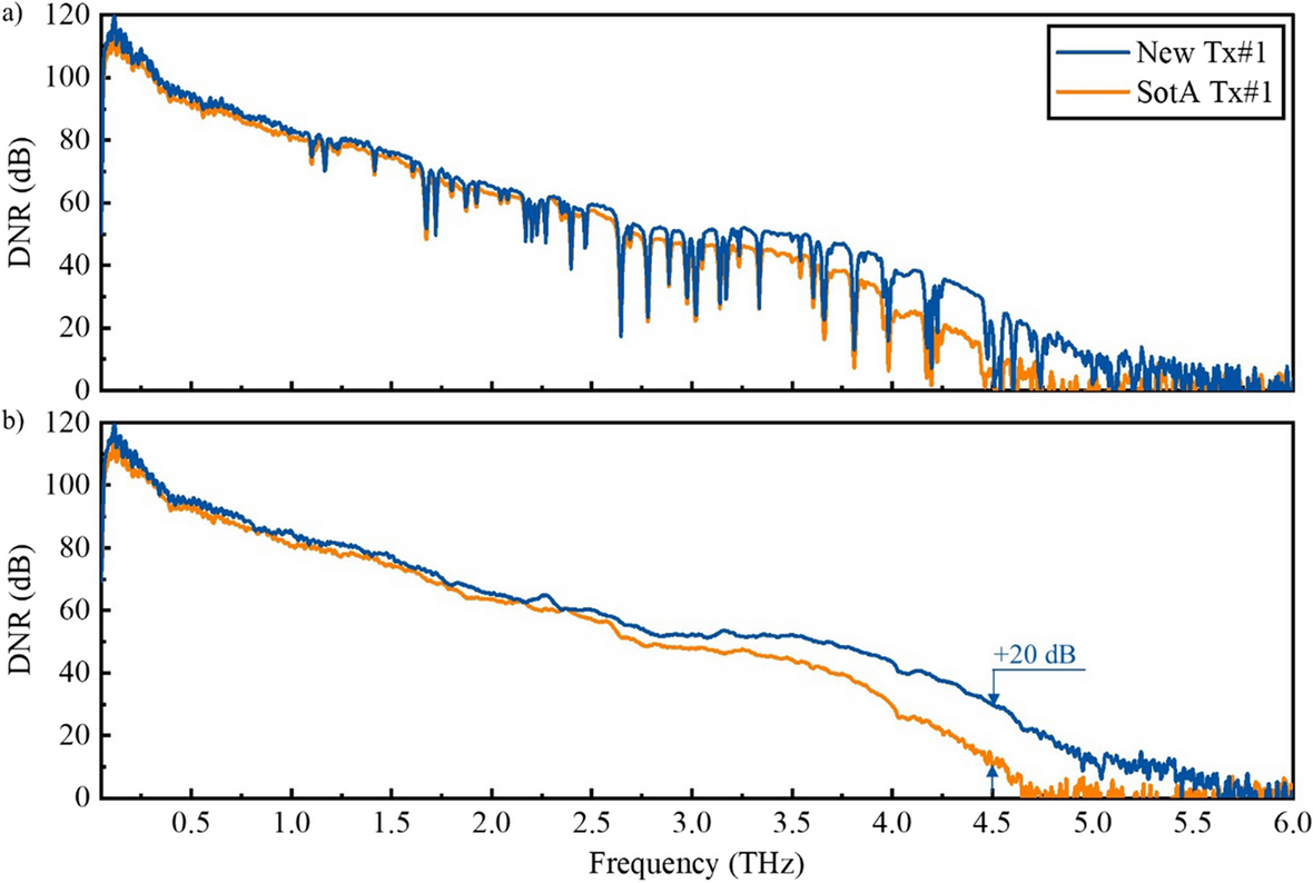
The spectra in Fig. 6 reflect the higher output power of the new emitter at low frequencies. More significantly, however, the influence of the thinner emitter substrate becomes visible at frequencies above 3 THz, as expected from the absorption measurement in Fig. 1. In this frequency region, the spectrum measured with the new emitter shows up to 10 times higher amplitude and reaches a record bandwidth of more than 5.5 THz, while the other emitter reaches 4.6 THz bandwidth. This corresponds to about 20 dB higher dynamic range at 4.5 THz.
Fig. 6
Coherent spectra recorded with the best module of each emitter type at 40 mW optical power in air (a) and in a nitrogen purged environment (b). The new Tx not only shows higher amplitudes at low frequencies but a significant improvement at high frequencies above 3 THz due to the reduced substrate thickness. This results in about 20 dB higher dynamic range and 1 THz more spectral bandwidth
Bild vergrößern
We furthermore investigate the frequency-dependent saturation of the emitters in the coherent measurement setup. Figure 7 shows the system DNR at 100 GHz, 2 THz and 4 THz as a function of the Tx’s photocurrent. At 100 GHz and 2 THz, both emitters behave equally until the onset of the saturation, which happens earlier for the SotA Tx as observed earlier. At 4 THz, the effect of the InP-absorption is very visible as the SotA Tx signal is very noisy and about 10 dB below that of the new Tx for almost all currents. Another interesting observation is, that the saturation point appears to shift towards higher currents for higher frequencies. A possible explanation for this unintuitive finding could be the lower peak values of the AC-photocurrent at higher frequencies due to the transit-time and RC-dampening. This, however, requires further investigation.
Fig. 7
System DNR of the coherent setup with the new and SotA Tx as a function of photocurrent for 100 GHz (a), 2 THz (b) and 4 THz (c). At 100 GHz and 2 THz, the differences observed in the full spectrum are only due to the different saturation points of the emitter types. At 4 THz, the InP-absorption strongly reduces the DNR achieved with the SotA emitter resulting in about 10 dB higher DNR of the new emitter
Bild vergrößern

5 Conclusion

We demonstrate improved PIN-PDs for cw THz generation, which we fabricated with a modified manufacturing process and a thinner InP substrate. As a result of the new process, the devices exhibit less output saturation for higher optical power compared to state-of-the-art devices, leading to up to 4 dB higher output power for lower frequencies around 100 GHz. At the same time, due to the reduced THz absorption of the thinned InP substrate, the new emitters show a strongly increased performance at frequencies above 3 THz. In a coherent measurement setup, this enables us to measure THz spectra with up to 20 dB higher dynamic range and a record bandwidth of more than 5.5 THz, which is an increase of 1 THz compared to the previous record. All photonic cw THz systems and all applications will benefit from these new THz emitters. In particular, the increased output power at low frequencies could be used to achieve higher data rates or link distances in THz wireless links between 100 and 300 GHz. Furthermore, the increased bandwidth may improve measurement accuracy and resolution in THz spectroscopy and non-destructive testing. We expect further improvements in THz bandwidth by realizing even thinner InP substrate thicknesses for photonic THz transmitters and receivers.

Declarations

Competing Interests

The authors declare no conflict of interest.
Open Access This article is licensed under a Creative Commons Attribution 4.0 International License, which permits use, sharing, adaptation, distribution and reproduction in any medium or format, as long as you give appropriate credit to the original author(s) and the source, provide a link to the Creative Commons licence, and indicate if changes were made. The images or other third party material in this article are included in the article's Creative Commons licence, unless indicated otherwise in a credit line to the material. If material is not included in the article's Creative Commons licence and your intended use is not permitted by statutory regulation or exceeds the permitted use, you will need to obtain permission directly from the copyright holder. To view a copy of this licence, visit http://​creativecommons.​org/​licenses/​by/​4.​0/​.

Publisher's Note

Springer Nature remains neutral with regard to jurisdictional claims in published maps and institutional affiliations.
download
DOWNLOAD
print
DRUCKEN
Titel
Ultra-Wideband PIN-PD THz Emitter with > 5.5 THz Bandwidth
Verfasst von
Milan Deumer
Simon Nellen
Sebastian Lauck
Shahram Keyvaninia
Shaffi Berrios
Matti Kieper
Martin Schell
Robert B. Kohlhaas
Publikationsdatum
24.07.2024
Verlag
Springer US
Erschienen in
Journal of Infrared, Millimeter, and Terahertz Waves / Ausgabe 9-10/2024
Print ISSN: 1866-6892
Elektronische ISSN: 1866-6906
DOI
https://doi.org/10.1007/s10762-024-01001-z
1.
Zurück zum Zitat M. Tonouchi, “Cutting-edge terahertz technology,” Nat. Photonics, vol. 1, pp. 97–105, 2007, https://​doi.​org/​10.​1038/​nphoton.​2007.​3.CrossRef
2.
Zurück zum Zitat M. Naftaly, N. Vieweg, and A. Deninger, “Industrial Applications of Terahertz Sensing: State of Play,” Sensors, vol. 19, p. 4203, Sep. 2019, https://​doi.​org/​10.​3390/​s19194203.CrossRef
3.
Zurück zum Zitat J. Chen, Y. Chen, H. Zhao, G. J. Bastiaans, and X.-C. Zhang, “Absorption coefficients of selected explosives and related compounds in the range of 0.1-2.8 THz.,” Opt. Express, vol. 15, no. 19, pp. 12060–12067, 2007, https://​doi.​org/​10.​1364/​OE.​15.​012060.CrossRef
4.
Zurück zum Zitat D. M. Mittleman, J. Cunningham, M. C. Nuss, and M. Geva, “Noncontact semiconductor wafer characterization with the terahertz Hall effect,” Appl. Phys. Lett., vol. 71, no. 1, pp. 16–18, 1997, https://​doi.​org/​10.​1063/​1.​119456.CrossRef
5.
Zurück zum Zitat G. Ducournau et al., “THz Communications using Photonics and Electronic Devices: the Race to Data-Rate,” J. Infrared, Millimeter, Terahertz Waves, vol. 36, no. 2, 2015, https://​doi.​org/​10.​1007/​s10762-014-0112-x.
6.
Zurück zum Zitat I. F. Akyildiz, A. Kak, and S. Nie, “6G and Beyond: The Future of Wireless Communications Systems,” IEEE Access, vol. 8, pp. 133995–134030, 2020, https://​doi.​org/​10.​1109/​ACCESS.​2020.​3010896.CrossRef
7.
Zurück zum Zitat S. Preu, G. H. Döhler, S. Malzer, L. J. Wang, and A. C. Gossard, “Tunable, continuous-wave Terahertz photomixer sources and applications,” J. Appl. Phys., vol. 109, no. 6, p. 061301, 2011, https://​doi.​org/​10.​1063/​1.​3552291.CrossRef
8.
Zurück zum Zitat H.-J. Song and T. Nagatsuma, Handbook of Terahertz Technologies: Devices and Applications. 2015. https://​doi.​org/​10.​1201/​b18381
9.
Zurück zum Zitat R. B. Kohlhaas et al., “Ultrabroadband terahertz time-domain spectroscopy using III-V photoconductive membranes on silicon,” Opt. Express, vol. 30, no. 13, pp. 23896–23908, Jun. 2022, https://​doi.​org/​10.​1364/​OE.​454447.CrossRef
10.
Zurück zum Zitat M. Deumer et al., “Continuous wave terahertz receivers with 4.5 THz bandwidth and 112 dB dynamic range,” Opt. Express, vol. 29, no. 25, p. 41819, 2021, https://​doi.​org/​10.​1364/​oe.​443098.CrossRef
11.
Zurück zum Zitat A. J. Deninger, A. Roggenbuck, S. Schindler, and S. Preu, “2.75 THz tuning with a triple-DFB laser system at 1550 nm and InGaAs photomixers,” J. Infrared, Millimeter, Terahertz Waves, vol. 36, no. 3, pp. 269–277, 2015, https://​doi.​org/​10.​1007/​s10762-014-0125-5.CrossRef
12.
Zurück zum Zitat S. Nellen, B. Globisch, R. B. Kohlhaas, L. Liebermeister, and M. Schell, “Recent progress of continuous-wave terahertz systems for spectroscopy, non-destructive testing, and telecommunication,” in Terahertz, RF, Millimeter, and Submillimeter-Wave Technology and Applications XI, 2018, vol. 10531, p. 105310C, https://​doi.​org/​10.​1117/​12.​2290207.CrossRef
13.
Zurück zum Zitat S. Nellen et al., “Experimental Comparison of UTC- and PIN-Photodiodes for Continuous-Wave Terahertz Generation,” J. Infrared, Millimeter, Terahertz Waves, vol. 41, no. 4, pp. 343–354, 2020, https://​doi.​org/​10.​1007/​s10762-019-00638-5.CrossRef
14.
Zurück zum Zitat L. Liebermeister et al., “Optoelectronic frequency-modulated continuous-wave terahertz spectroscopy with 4 THz bandwidth,” Nat. Commun., vol. 12, no. 1, p. 1071, 2021, https://​doi.​org/​10.​1038/​s41467-021-21260-x.CrossRef
15.
Zurück zum Zitat S. Nellen et al., “Radiation pattern of planar optoelectronic antennas for broadband continuous-wave terahertz emission,” Opt. Express, vol. 29, no. 6, p. 8244, 2021, https://​doi.​org/​10.​1364/​oe.​416844.CrossRef
16.
Zurück zum Zitat A. Steiger, M. Kehrt, C. Monte, and R. Müller, “Traceable terahertz power measurement from 1 THz to 5 THz,” Opt. Express, vol. 21, no. 12, p. 14466, 2013, https://​doi.​org/​10.​1364/​oe.​21.​014466.CrossRef