Zum Inhalt

When the Burden Lifts: The Effect of School and Day Care Reopenings on Parents’ Life Satisfaction

  • Open Access
  • 01.01.2025
  • Research Paper
Erschienen in:

Aktivieren Sie unsere intelligente Suche, um passende Fachinhalte oder Patente zu finden.

search-config
loading …

Abstract

Der Artikel untersucht, wie sich die Wiedereröffnung von Schulen und Kindertagesstätten während der COVID-19-Pandemie auf die Lebenszufriedenheit der Eltern auswirkte. Mithilfe eines Differenz-in-Differenzen-Ansatzes (DiD) und eines Differenz-in-Differenz-in-Differenzen-Ansatzes (DDD) analysiert die Studie Daten aus Deutschland, um die spezifischen Auswirkungen dieser Wiedereröffnungen auf das Wohlbefinden der Eltern zu ermitteln. Die Forschung zielt darauf ab zu verstehen, ob die Erleichterung der Pflegelasten durch Wiedereröffnungen einen signifikanteren Effekt auf Mütter hatte als auf Väter. Die Ergebnisse bieten wertvolle Einblicke in die politischen Auswirkungen von Schließungen und Wiedereröffnungen von Schulen und Kindertagesstätten, insbesondere im Kontext des Wohlergehens der Eltern.

Publisher's Note

Springer Nature remains neutral with regard to jurisdictional claims in published maps and institutional affiliations.

1 Introduction

Parenthood and parental care responsibilities have been shown to affect well-being (Aassve et al., 2012; Dotti Sani, 2022; Nomaguchi & Milkie, 2020; Offer, 2014). A country’s institutional context, such as the opportunity to take parental leave or the availability of publicly funded childcare, is important in shaping parental well-being (e.g. Aassve et al., 2012; Glass et al., 2016; Pollmann-Schult, 2018). Research suggests that the availability of childcare facilities has a positive effect, especially on mothers’ well-being (Schmitz, 2020; Schober & Schmitt, 2017; Schober & Stahl, 2016). Hence, restrictions on the availability of childcare services may be detrimental to parental well-being.
In early 2020, parents were faced with an unforeseen change of previous care arrangements due to the restrictions imposed during the COVID-19 lockdown. With the sudden closure of schools and day care facilities, parents had to bear the extra burden of home-schooling and childcare. Several studies have suggested that the well-being of parents, and particularly that of mothers, decreased during the period when these restrictions were in place, and school and day care closures are often mentioned as one of the main reasons for this decline (see e.g. Heers & Lipps, 2022; Kowal et al., 2020).
Given the extensive literature addressing school and day care closures during the pandemic and their potential influence on parental well-being, surprisingly few studies have attempted to empirically determine how the increase in childcare burden caused by these closures affected parental well-being (however, see Schüller & Steinberg, 2022, for an analysis of parents in Germany with and without access to so-called ‘emergency’ childcare). The overall decrease in well-being cannot necessarily be attributed solely to the additional childcare burden but could also result from other factors, such as fear of job loss (e.g. Fan & Qian, 2023) or fear of infection, as well as other considerations. Nonetheless, amongst the plethora of studies postulating an association between school and day care closures and parental well-being (e.g. Cheng et al., 2021; Heers & Lipps, 2022; Hiekel & Kühn, 2022; Huebener et al., 2021; Li et al., 2022), an analysis of the actual effect of the policy remains a research gap. Beyond the analytical interest in disentangling the effects of school and day care closures from effects that result from other factors, estimating the effect of these closures is highly relevant from a policy perspective as the closures have been the subject of intense public debate. So far, research has mainly evaluated the effects of school closures on health (e.g. Haug et al., 2020; Tan, 2021) and employment outcomes (e.g. Fervers et al., 2023), but evidence for the impact of school closures on well-being remains rare.
Against this background, we aim to extend the existing literature on parental well-being by explicitly analysing the effect of school and day care closures, which have been the most prominent explanation offered for the observed decrease in parental well-being. To perform such analyses, Germany constitutes a quite suitable case: instead of looking at closures (which were put in place simultaneously across the country), we exploit the temporal variability of school and day care reopenings in different federal states, which has led to nationwide variation in the level of parents’ care responsibilities. This allows us to single out the effect of school and day care reopenings and thus answer the following question: 1) How did the relief of care burdens resulting from the reopening of schools and childcare institutions affect parents’ well-being? Next, we build on previous literature showing that the well-being of mothers, who tend to be the main caregivers and carry the greater part of parental responsibility, decreased more than the well-being of fathers (for Germany, see e.g. Hiekel & Kühn, 2022; Hipp & Bünning, 2021; Möhring et al., 2021; Vicari et al., 2022). Consequently, the increase in well-being due to reopenings could be expected to be stronger for mothers than for fathers— which leads us to our second research question: 2) Was the effect of reopenings particularly strong for mothers, that is to say, do we observe a larger increase in mothers’ well-being than in fathers’?
To answer these questions, we use overall life satisfaction as our measure of well-being and employ a difference-in-differences (DiD) as well as a difference-in-difference-in-differences (DDD) approach to analyse the effect of school and day care reopenings on life satisfaction. The idea of the research design is to exploit state-level variation in reopening policies. To do so, we focus on two time points: May 2020, when schools and childcare facilities were still in lockdown virtually everywhere in Germany; and June 2020, when reopening was taking place to different extents and at varying paces across German federal states. In these analyses, we use this state-level variation to compare the progression of parental life satisfaction in states where schools and childcare facilities were still closed in June 2020 (control group) to the progression of life satisfaction of parents in states where these institutions had already been reopened (treatment group) between the two time points (DiD).
While this accounts for structural differences between states, it is still possible that the timing of the reopening of schools and day care facilities is correlated with the regional spread of COVID-19 or a change in other containment measures, which could have been relaxed together with the reopening (see e.g. Hale et al., 2021). To disentangle the effect of school and day care reopenings from other regional or pandemic-related influences that could affect life satisfaction, we extended the research design to a DDD design. To accomplish this, we estimate a placebo effect of school and day care reopenings on people who did not have children under the age of 15 (non-parents). While for non-parents, the reopening of schools and day care facilities should not have had any effect, they were still affected by all other regional or pandemic-related influences. Therefore, subtracting the placebo effect from the DiD estimator would yield an estimate of the treatment effect that accounted for structural differences between the treatment and control groups as well as for time-varying regional factors that might bias the treatment effect (DDD; for formal development, see Sect. 3.1).
In our empirical analyses, we use individual data from the German IAB-HOPP study (Haas et al., 2021; Volkert et al., 2021a), which is unique in that it provides repeated monthly measures of life satisfaction at the onset of the pandemic. We merge this survey data with data on the exact reopening dates of schools and childcare institutions, which allow us to measure the immediate effect of these reopenings on well-being.
With this analysis, we contribute to the literature by quantifying the effect of reopenings, thereby going beyond theoretical propositions of the measure’s effect on well-being. In doing so, we provide policy-relevant answers for a full evaluation of closure and reopening measures, which balances epidemiological concerns with alternative negative social outcomes. At a more general level, we add to the literature on the impact of childcare responsibilities on well-being as we exploit unforeseen and exogenous variation in childcare availability, thereby avoiding the endogeneity problem common in the study of childcare availability and use.

2 Background

In spring 2020, many countries introduced lockdowns to contain the COVID-19 virus. These lockdowns, along with several other COVID-related stressors, such as fear of contagion, reduced social interaction and employment insecurities, negatively affected many people’s well-being (e.g. Adams-Prassl et al., 2022; Bimonte et al., 2022; Bittmann, 2022; Czymara et al., 2021; Fan & Qian, 2023; Hettich et al., 2022; Kim et al., 2023; Möhring et al., 2021; Windsteiger et al., 2022).
However, for parents in particular, the lockdowns presented an unprecedented challenge: in Germany, schools and childcare facilities closed in mid-March (Hale et al., 2021; see also Anger et al., 2020).1 Moreover, regulations limiting social contact restricted informal childcare provided by grandparents or alternative childcare providers (such as nannies). With the lockdown in place, parents thus faced an unexpected and abrupt increase in their full-time childcare responsibilities. In particular, mothers acted as the main caregivers during the lockdown (Boll et al., 2021; Chung et al., 2021; Hank & Steinbach, 2021; Hjálmsdóttir & Bjarnadóttir, 2021; Sevilla & Smith, 2020). Consequently, studies concerned with parents’ life satisfaction or well-being report a decline in related measures during the COVID-19 lockdown period in many countries and in particular among mothers (e.g. Craig & Churchill, 2021, for Australia; Hiekel & Kühn, 2022, Hipp & Bünning, 2021, Li et al., 2022, and Vicari et al., 2022, for Germany; Hjálmsdóttir & Bjarnadóttir, 2021, for Iceland; Del Boca et al., 2020, for Italy; Heers & Lipps, 2022, for Switzerland; Hudde et al., 2023, and Cheng et al., 2021, for the UK; Zamarro & Prados, 2021, for the US; Kowal et al., 2020, for several countries).
While many studies reference the overall reduction in life satisfaction for parents during the COVID-19 crisis, most merely discuss, on a theoretical basis, that school and day care closures are important reasons for this reduced satisfaction. Beyond such descriptions of the decrease in parental well-being in the first phase of the pandemic, the question of whether and to what extent the closures had a direct effect on parents’ well-being has not been examined thoroughly. An exception is the study of Schüller and Steinberg (2022), which used a DDD design and exploited variations in eligibility for emergency childcare at the state level to analyse the well-being of parents working in essential jobs. Despite arguing that parents in essential jobs should have been less affected by the closures, the authors found no significant impact of eligibility for emergency childcare on well-being among parents in essential jobs but rather a general crisis effect that resulted in an overall decrease in well-being. What they did find, however, was that eligibility for emergency childcare might reduce harsh parenting behaviour (Schüller & Steinberg, 2022), which could support the argument that the sudden increase in care responsibilities during lockdown was stressful for parents. In this article, we provide a more direct answer by systematically disentangling school and day care closure effects from other influences.
Against this background, we derive the following hypotheses: We expect that the reopening of schools and day care centres relieved some of the care burden of parents and hence led to an increase in parental well-being (H1). Further, we expect that reopenings were particularly beneficial for mothers’ well-being compared to fathers’ (H2).
While these hypotheses may seem quite evident given their discussion in previous research, this research has usually simply assumed that the unforeseen childcare demands caused by the pandemic negatively affected parental well-being. In contrast, our analytical approach allows us to empirically examine the effects of (being relieved of) childcare burdens, distinguishing them from the effects of other pandemic measures and influences that could also have affected life satisfaction.

3 Method

3.1 Treatment Status and Identification

To analyse the effect of the closures and reopenings of schools and childcare facilities, we must identify treatment and control groups, that is, a group of parents who was exposed to a certain childcare regulation and a control group that was not (for a general discussion of control group designs and the potential outcome framework, see Imbens & Rubin, 2015). As schools and childcare facilities closed almost simultaneously in all of Germany in mid-March 2020, there was no variation we could exploit to identify who was ‘treated’ and who was not. Therefore, we focus on the respective reopenings,2 as their timings varied between the German federal states depending on pandemic developments and state-level political preferences (Hale et al., 2021; see also Anger et al., 2020). Thus, instead of focusing on the decrease in parents’ life satisfaction during the lockdown, we focus on changes in their life satisfaction between the time of the lockdown and the reopenings. In this way, we are able to single out the effect the reopenings had on parents by comparing parents in different federal states with different reopening times. A similar methodological approach to the one described in this section was already described and used in Fervers et al. (2023).
Parents who experienced the reopenings of schools and childcare facilities constitute our treatment group, while parents who did not experience such reopenings make up the control group. The treatment varies not only between federal states (between-state variation) but also between individuals (within-state variation): as described above, between-state variation in time and pace of reopenings depends on the regional development of the pandemic as well as on political preferences of the state governments; on the individual level, within-state variation depends on the exact point in time at which each respondent answered the survey. For some people who answered the survey earlier, reopenings may have not yet occurred, whereas for other respondents in the same federal state, who were interviewed at a later date in the data-collection period, schools and day care facilities had already reopened. By making use of both types of variation, we are able to compare treated parents (in states where schools and childcare facilities had reopened at the time of the interview) with control parents (in states where schools and childcare facilities had not yet reopened at the time of the interview). We perform this comparison using a DiD estimator, as shown in Eq. 1. The subscripts T and C denote the treatment and control groups, while the subscripts 1 and 0 denote the two time points bracketing the treatment period.
$$\widehat{{\delta }_{DiD}}=(\overline{{y }_{T,1}}-\overline{{y }_{T,0}})-(\overline{{y }_{C,1}}-\overline{{y }_{C,0}})$$
(1)
We can estimate this parameter by an OLS regression model that includes treatment and period dummies plus their interaction as well as covariates (Eq. 2a) or by a more parsimonious two-way fixed effects (FE) model (Eq. 2b). By design, this model accounts for time-consistent covariates; time-varying covariates can be added.
$${y}_{it}= {{x}^{\prime}} \beta +{\delta }_{1}*{treat}_{i}+{\delta }_{2}\cdot {post}_{i}+ {{\varvec{\delta}}}_{3}\boldsymbol{*}{{\varvec{t}}{\varvec{r}}{\varvec{e}}{\varvec{a}}{\varvec{t}}}_{{\varvec{i}}}\cdot {{\varvec{p}}{\varvec{o}}{\varvec{s}}{\varvec{t}}}_{{\varvec{i}}}+{u}_{it}$$
(2a)
$${y}_{it}= {\mu }_{i}+ {{\theta }_{t}+\boldsymbol{ }{\varvec{\delta}}}_{3}\boldsymbol{*}{{\varvec{t}}{\varvec{r}}{\varvec{e}}{\varvec{a}}{\varvec{t}}}_{{\varvec{i}}{\varvec{t}}}+{u}_{it}$$
(2b)
Although the DiD design is commonly applied to estimate causal effects, it is important to note that it relies on the assumption of parallel trends: In the absence of the treatment, treatment and control group would have developed in the same way (Imbens & Rubin, 2015). Only if this assumption holds, the DiD estimator can be interpreted as a causal treatment effect. In our case, this would imply that the life satisfaction of treated and control parents would not have diverged due to reasons other than the reopening of schools and childcare facilities. However, apart from these reopenings, other regional and pandemic-related influences might also have affected life satisfaction, such as the relaxation of social contact restrictions or the reopening of shops, restaurants or bars. This could potentially bias our DiD results. It should be noted that a parallel development before the re-opening of schools would not refute this concern as the confounding of the treatment is time-varying and only occurs in the post-treatment period. Therefore, we extend our design to employ a DDD approach. The DDD estimates the regular DiD estimator for the affected group (parents) as well as a placebo-DiD for a group that is not affected by the treatment to capture further pandemic and regional influences. For our research question, we use non-parents as our placebo group, for whom the reopening of schools and day care facilities should have no (treatment) effect but who were, nevertheless, affected by all other regional or pandemic-related influences. The placebo test therefore estimates the bias that occurs due to these other influences and that would violate the common trend assumption. By subtracting the coefficient for non-parents (second square bracket in Eq. 3) from the coefficient for parents (first square bracket in Eq. 3), we obtain a DiD estimator of the effect of reopenings that is further stripped of other biasing influences. The subscripts T and C in Eq. 3 again denote the treatment and control groups, while the subscripts 1 and 0 denote the treatment period. P indicates being a parent, and NP indicates being a non-parent.
$$\widehat{{\delta }_{DDD}}=[\left(\overline{{y }_{T,1,P}}-\overline{{y }_{T,0,P}}\right)-\left(\overline{{y }_{C,1,P}}-\overline{{y }_{C,0,P}}\right)]-[\left(\overline{{y }_{T,1,NP}}-\overline{{y }_{T,0,NP}}\right)-\left(\overline{{y }_{C,1,NP}}-\overline{{y }_{C,0,NP}}\right)]$$
(3)
Again, the treatment effect can be estimated in an OLS regression model using covariates (Eq. 4a) or an FE-model already accounting for time-constant covariates (Eq. 4b).
$$\begin{aligned} { }y_{it} = & { }x^{\prime}{ }\beta + \delta_{1} {*}treat_{i} + \delta_{2} \cdot post_{i} + { }\delta_{3} {*}parent_{i} { } + { }\delta_{4} {*}treat_{i} \cdot post_{i} \\ + { }\delta_{5} {*}treat_{i} \cdot parent_{i} { } + { }\delta_{6} {*}post_{i} \cdot parent_{i} + { }{\varvec{\delta}}_{7} *{\varvec{treat}}_{{\varvec{i}}} \cdot {\varvec{post}}_{{\varvec{i}}} { } \cdot {\varvec{parent}}_{{\varvec{i}}} + u_{it} \\ \end{aligned}$$
(4a)
$$y_{it} = \mu_{i} + \theta_{t} + \delta_{4} *treat_{it} + \delta_{6} *parent_{it} + \varvec{ \delta }_{7} \varvec{*treat}_{{{\varvec{it}}}} \cdot {\varvec{parent}}_{{{\varvec{it}}}} \varvec{ } + u_{it}$$
(4b)
In the DDD approach, the triple-interaction effect (in bold) gives us the treatment effect for parents cleaned from confounding co-treatments.

3.2 Data and Sample

To answer our research question, we use individual high-frequency panel data from the IAB-HOPP study (Haas et al., 2021; Volkert et al., 2021a) as provided by the Research Data Centre (FDZ) of the Federal Employment Agency (BA).3 The monthly survey was set up in May 2020, soon after the onset of the COVID-19 pandemic, and focused on topics relevant in the context of the COVID-19-pandemic, such as work, family life and well-being. The sample of the IAB-HOPP survey was drawn from the Integrated Employment Biographies, which are registry data collected by the BA including all people in and out of dependent employment.4 Excluded are those who are inactive in the labour market as well as civil servants and the self-employed, who are not covered by the German unemployment insurance system. Upon participants’ consent, the data were linked to these registry data to access additional information, such as individuals’ employment history and their federal state of residency. We further combined the dataset with information on school and day care reopenings obtained from press releases issued by the federal states’ education ministries and additional media releases. Using official statistics on the number of children in day care facilities (Destatis, 2020a) and different school types and grades (Destatis, 2020b), we calculated the daily shares of students that were still in lockdown, back in regular care or schooling, or at least experiencing partial reopenings in each federal state. Moreover, we added information on the pandemic development by combining the dataset with federal state-level data from the Robert Koch-Institute (RKI) on the 7-day incidence rate (RKI, 2022) and weekly mortalities (RKI, 2024), from which we calculated the mortality rate using official population data (Destatis, 2024).
The analysis sample consists of n = 4006 people who participated in the first IAB-HOPP survey wave in May 2020 as well as in the second wave in June 2020.5 This allows us to compare the two time points and analyse developments between the lockdown and the reopening phase. We excluded individuals with missing information on age, gender, parental status or children’s age, federal state or life satisfaction in either of the two survey waves. Moreover, we excluded individuals born before 1954 from our analysis. We provide an overall and group-specific (treatment versus control group for parents and non-parents) descriptive overview of the sample and variables in Table 2 in the Appendix.

3.3 Variables

We measure life satisfaction (our dependent variable) on an 11-point scale [0–10] based on a question about overall satisfaction with one’s life in general.6 We analyse the change in people’s reported life satisfaction between May 2020 (survey wave 1), when the first lockdown was still in place (‘before’), and June 2020 (survey wave 2), during which the federal states were reopening their schools and childcare facilities and variation in the extent of reopenings was high (‘after’). With regard to people’s treatment status, we define an individual as being treated if all children in their state of residence had experienced at least partial reopening by one week prior to the interview: that is, the treatment value is 1 if the share of children in complete lockdown was 0. People living in states in which at least some children were still in lockdown one week prior to the interview constitute the control group. Therefore, treatment status depends on the federal state of residence (between-state variation) and the time of the interview (within-state variation).
We define parents as individuals that have at least one child under the age of 15. Therefore, people with no children, as well as people with children aged 15 or older are—by this definition— defined as people without children (non-parents). We employ this definition because the childcare burden that we assume to have influenced parents’ life satisfaction during the lockdown period should, in general, be much lower for older children.
In models that include covariates, we control for age, migration background (defined as having at least one parent who was born abroad) and education, measured according to the 2011 International Standard Classification of Education: 1–3 (lower education level), 4–5 (intermediate-high education level) and 6 or higher (high education level). In addition, we include a dummy variable for whether the respondent worked from home before COVID-19. We further include respondents’ employment histories (i.e. months in contributory employment and months in marginal employment from 2015 to 2019) from the records of the Integrated Employment Biographies. All of these control variables are time-invariant. Additionally, we specify models using the 7-day incidence rate and the weekly mortality rate on the federal state level as time-varying control variables.

3.4 Estimation strategy

For our baseline specification, we use a fixed-effects (FE) implementation to control for person-specific characteristics by design. As a first step, we estimate the effect of reopenings on parents compared to non-parents in general. As we expect the effects of reopenings to differ between mothers and fathers, we estimate separate models for mothers and fathers compared to non-mothers and non-fathers in a second step. For all groups, we start by presenting DiD effects for parents/mothers/fathers compared to non-parents/non-mothers/non-fathers and proceed by presenting DDD effects in models for the entire sample (parents plus non-parents), women (mothers plus non-mothers) and men (fathers plus non-fathers). Moreover, we calculate additional models that distinguish parents/mothers/fathers by different age groups of their children and the number of children.
We perform additional sensitivity analyses to ensure that our results are robust to different model specifications, variable definitions, sample specifications, and using weighted data. Specifically, we check for a potential time-varying influence of the pandemic’s development by estimating additional models controlling for the 7-day incidence rate and the mortality rate on the federal state level. Moreover, we present DDD models without an FE implementation that do and do not control for incidence and mortality rates as well as time-invariant individual characteristics. Further, we apply alternative sample restrictions to our models and estimate a selection equation. In addition, we re-estimate the models with wild-cluster bootstrapped standard errors with both the Rademacher and Webb-distribution in order to refute concerns about downward-biased standard errors due to the small number of clusters.
As we aim to make use of as many observations as possible, sample sizes vary across models that do not include control variables (basic specification using FE) and models that include control variables, which is due to missing values in the control variables.

4 Results

4.1 Main results

We first discuss descriptive results on parents’ life satisfaction before moving to the DiD and DDD regression results. Figure 1 shows the average life satisfaction of parents (Panel A) and non-parents (Panel B) before and after school and day care reopenings. Our first hypothesis predicts that parents’ life satisfaction would increase once schools and day cares reopened. We find weak support for this expectation. Life satisfaction of all parents increased between the first and the second interview, but there was a small additional increase for parents in states in which schools and day care facilities had reopened. For parents, life satisfaction increased by approximately 0.27 scale points in treated states (i.e. states where all children received at least some kind of part-time schooling or childcare) and about 0.16 scale points in control states (i.e. states where at least some children remained fully at home). To rule out other pandemic-related developments, such as the relaxation of other containment measures, we consider life satisfaction of non-parents in treated and control states, who should not have been affected by school and day care reopenings. Indeed, these groups showed almost no increase in life satisfaction after school and day care reopenings.
Fig. 1
Life satisfaction for treated vs. control parents and treated vs. control non-parents (placebo) between May 2020 (before) and June 2020 (after).
Bild vergrößern
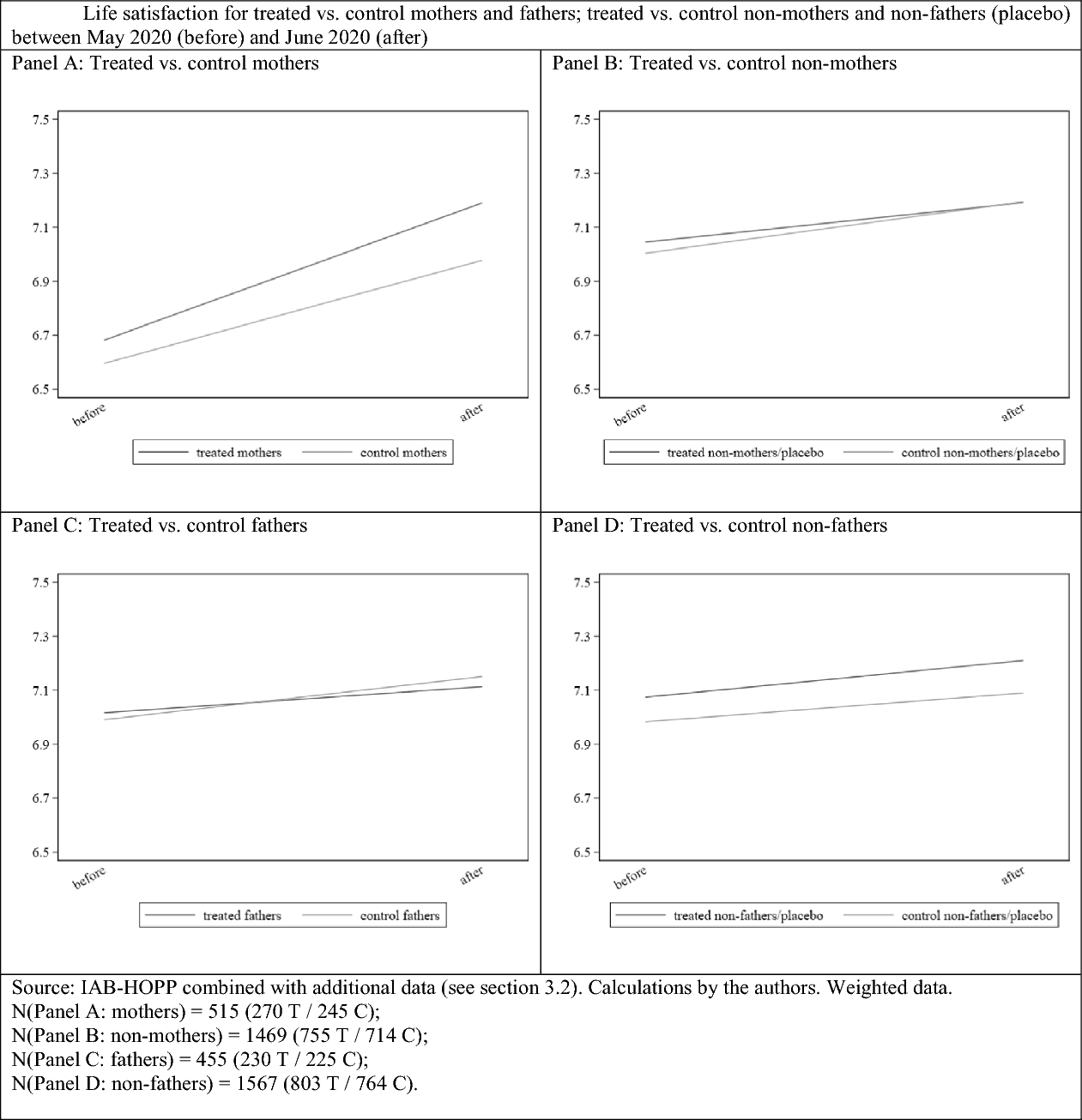
When looking at the life satisfaction of women and men separately (Fig. 2), we observe more pronounced differences. In line with our second hypothesis, mothers’ life satisfaction increased considerably with school and day care reopenings (Panel A). Mothers in treated states, where all children were at least partly in school or day care by the second interview, showed a 0.45 scale point increase in life satisfaction compared to a 0.16 scale point increase for mothers in the control condition, in which schools and day care facilities were not yet at least partly open to all children by the second interview.7 Fathers under the treatment condition did not show a higher life satisfaction at the second interview than fathers in control states; rather, fathers under the control condition fared slightly better (Panel C). Non-mothers and non-fathers seem to be almost unaffected by the reopenings (Panels B and D).
Fig. 2
Life satisfaction for treated vs. control mothers and fathers; treated vs. control non-mothers and non-fathers (placebo) between May 2020 (before) and June 2020 (after).
Bild vergrößern
To extend these descriptive results, we run regression models (DiD and DDD), the results of which we show in Table 1. The effect of the time dummy is strongly positive, implying that all parents’ life satisfaction was higher in June 2020 than it was in May 2020. The treatment effect of school and day care reopenings was positive but insignificant (Column 1, DiD parents). To separate this treatment effect from other regional and pandemic-related influences that were correlated with school and day care reopenings, we calculate a DDD model that subtracts the treatment effect for non-parents (who should only have been influenced by such other influences) from the treatment effect for parents (who should have been susceptible to the reopenings and other influences). This allows us to isolate the actual effect of the reopenings. Our DDD model (Column 3) reveals a modest treatment effect for parents (presented in bold) that narrowly misses statistical significance (t-value = 1.72).
Table 1
The effect of re-openings of school and childcare facilities on the life satisfaction of parents versus non-parents, mothers versus non-mothers and fathers versus non-fathers and (DiD and DDD specifications using fixed effects).
Source: IAB-HOPP combined with additional data (see Sect. 3.2). Calculations by the authors
 
(1) DiD (parents)
(2) DiD (non-parents)
(3) DDD (overall)
(4) DiD (mothers)
(5) DiD (non-mothers)
(6) DDD (women)
(7) DiD (fathers)
(8) DiD (non-fathers)
(9) DDD (men)
June 2020 (after)
0.164***
0.069
0.069
0.155
0.120+
0.120+
0.173*
0.021
0.021
 
(4.59)
(1.66)
(1.66)
(1.66)
(1.78)
(1.78)
(2.35)
(0.47)
(0.47)
TG* June 2020 (after)
0.102
− 0.041
− 0.041
0.297*
− 0.082
− 0.082
− 0.126
− 0.004
− 0.004
 
(1.24)
(− 0.97)
(− 0.97)
(2.25)
(− 0.88)
(− 0.88)
(− 1.35)
(− 0.08)
(− 0.08)
June 2020 (after) *parent
  
0.095+
  
0.035
  
0.152
   
(1.95)
  
(0.27)
  
(1.51)
TG*parent* June 2020 (after)
  
0.144
  
0.379+
  
− 0.122
   
(1.72)
  
(2.10)
  
(− 1.28)
Constant
7.091***
7.265***
7.223***
6.924***
7.210***
7.136***
7.279***
7.316***
7.308***
 
(351.38)
(424.78)
(491.08)
(229.69)
(305.62)
(349.00)
(246.79)
(477.47)
(576.68)
R2
0.016
0.001
0.005
0.032
0.003
0.012
0.006
0.000
0.002
Observations
1940
6072
8012
1030
2938
3968
910
3134
4044
The coefficient June 2020 (after) refers to the time of interview of the second panel wave. Treatment group (TG) denotes individuals that live in states in which all children received at least some schooling or day care. Parents are individuals with children younger than 15 years. t statistics in parentheses
+ p < 0.10, * p < 0.05, ** p < 0.01, *** p < 0.001
Again, when we consider mothers and fathers separately, the picture becomes more differentiated. As expected, mothers appear to have experienced a lifting of burdens with school and day care reopenings (Column 4, DiD mothers), with a positive and significant effect in treated states. In contrast, we see an insignificant effect for fathers (Column 7, DiD fathers). The results of the DDD models (Column 6 and Column 9) broadly confirm the DiD results. Thus, even when we – by using the DDD model – control for other correlated influences, the positive effect of reopenings for mothers is 0.38 and remains significant at the 10% level. As the point estimate of the placebo effect (for treated non-mothers) is negative; the point estimate for treated mothers in the DDD models is even larger. In contrast, the DDD estimate for treated fathers is insignificant (and the point estimate negative), hence we conclude that the reopenings did not increase fathers’ life satisfaction.
In sum, with regard to our hypotheses, we find no significant average effect of school and day care reopenings on parents’ life satisfaction (H1). However, we do find differential effects for mothers compared to fathers, supporting our second hypothesis. In particular, mothers’ life satisfaction was strongly and significantly positively affected once children were at least partly able to return to school and day care, while fathers’ life satisfaction remained unaffected (H2).
In addition to our baseline models, we calculate models that distinguish parents by the different age groups of their children (Table 3 in the Appendix) and by the number of children (Table 4 in the Appendix). With regard to the age of the children, we find the effect to be strongest among school-age children (compared to younger children), indicating that the treatment effect we see in our baseline models is driven by this group. Looking at the number of children, we find the effects to be more pronounced for parents with more than one child compared to parents with only one child.

4.2 Sensitivity analyses

To ensure that our results are robust to different model specifications and variable definitions, we perform a number of robustness checks. First, we include the (time-varying) 7-day incidence rate by federal state in our DDD-FE models for the overall sample as well as in the separate models for women and men (Table 5 in the Appendix). The results show minimal changes, except for the treatment effect for mothers, which becomes significant at the 5% level, further supporting the premise that life satisfaction increased for mothers but not fathers. In addition to incidence rates, we also estimate models including (time-varying) weekly mortality rates (Table 5 in the Appendix). We find no substantial difference in the treatment effects between the models using incidence rates, mortality rates or both rates.
Second, we re-calculate our DDD models without using the FE implementation but retaining the group and time dummy. We provide versions with and without control variables (Table 6 in the Appendix). Again, results are stable to these alternative specifications, with the effect for treated mothers being larger and significant at the 1% level in both versions (with and without controls).
Third, we apply various sample restrictions (using the baseline DDD-FE specification) to ensure that our results are robust (Table 7 in the Appendix). In separate calculations, we exclude respondents who (a) took more than five days to answer the survey, (b) lived in states in which children were at home due to one or two weeks of school holidays (Pentecost), (c) worked in essential jobs (as different rules of childcare access applied to essential workers)8 and (d) responded to the first survey late in May (when some states already started to relax the lockdown so that there was some variation in treatment status already in the first wave). To exclude late survey respondents, we restricted the sample to cases from states where the closure share was larger than or equal to 80% or, in a more restrictive version, 90%. All alternative restrictions provide robust results that, if anything, furnish even stronger evidence by means of larger effect sizes and/or smaller significance levels for treated mothers. For treated fathers, the effects remain small and insignificant.
One result of our sensitivity analysis should be highlighted here: when we exclude respondents with essential jobs from the analysis, the positive effect for treated mothers almost doubles. The negative effect for treated fathers also becomes larger and gains significance. Hence, under this sample restriction, the disparity in life satisfaction between fathers and mothers increases beyond what we observe in our initial model specification. This is probably due to greater childcare burdens for parents in non-essential jobs that have not been eligible to emergency child care during the lockdowns.
Fourth, we use probability and calibrated weights to check whether our results are robust to different weighting strategies (Table 7 in the Appendix).9 For men, the negative coefficient of the triple interaction is slightly larger, while for women, the positive coefficient of the triple interaction is slightly smaller. While these weighted results are substantively similar to the basic specification, they lose statistical significance. This is due to the larger standard errors caused by weighting the data. Given that the use of weighting in multivariate estimations is highly controversial due to the associated loss of efficiency (Solon et al., 2015), the fact that the point estimates are rather similar substantiates that the results are not strongly driven by selection into survey. This suggests that while there is indeed some attrition on observables, this does not substantively change the results. For sake of completeness, we show the results for sample attrition in Table 8 in the Appendix.
Finally, we re-estimate the p-values by means of wild-cluster bootstrapping. For the sake of robustness, we use both the Rademacher as well as the Webb distribution as the basis for the models. Results are presented in Table 9 in the Appendix. As expected, the p-values increase slightly. However, this never leads to a loss of significance and differences are moderate, implying that the results of the main specifications do not suffer substantially from downward-biased standard errors.
Overall, we conclude that with small variations in effect sizes and significance levels, our results are robust to different sample, variable and model specifications.

5 Conclusion and Discussion

In this article, we analysed how the (non-)provision of school and day care affects parents’ life satisfaction, in particular that of mothers, who still bear the larger share of childcare duties in most families. The COVID-19 pandemic provided researchers with a unique opportunity to study the impact of the closure of these institutions on parental well-being. However, the closure of schools and day care facilities was often only one among several containment measures. To more precisely estimate the effect of school and day care availability, we exploited the temporal variability of school and day care reopenings in different German federal states to examine subsequent changes in life satisfaction. We assumed that the reopening of facilities would lift at least some of the unforeseen childcare burden. By considering school and day care reopenings and their effects on non-parents as a placebo group, we were able to separate the effect of these reopenings from other regional and pandemic-related influences, such as the reopening of shops, restaurants and bars, that may also have influenced individuals’ life satisfaction. In our analyses, we found a moderately positive average effect of school and day care reopenings on parents. However, when looking at men and women separately, we found that mothers’ well-being did particularly benefit from school and day care reopenings, while there was no effect on fathers. We interpret this finding as indicating that a lack of institutionalised schooling and childcare was particularly burdensome for mothers.
To interpret our estimate in substantive terms, we consider our point estimate for mothers, which was 0.45 points on the scale – respective 0.23 standard deviations of the pre-treatment period. Hence, the reopenings affected mothers’ life satisfaction to a remarkable extent, in particular when one bears in mind that schools and day care facilities had only partly reopened by the time of the respondents’ second interview. At this stage of the pandemic, parents may still have been concerned as to how long children might remain in school and day care, as individual children might soon be back in quarantine or local incidence rates might lead to sudden renewed closures. Moreover, while we assumed that reopenings would increase life satisfaction, negative effects on parental life satisfaction could simultaneously be at work, e.g. due to parental worries that their children could get infected. Our results, however, indicate that the positive (average) effect of reopenings predominates.
Our additional analyses differentiating parents by the number and age of their children furthermore showed that treatment effects appear to be driven by parents with more than one child and parents of school-aged children. Possible explanations for the unexpectedly stronger effect on parents with older children could be that parents of very young children did not have to adjust as much during the lockdown as babies and toddlers were not in any care facility anyway or because more possibilities for emergency day care exemptions for young children existed in Germany. The larger effect for parents with more than one child is likely due to the larger excess burden during the closures.
With regard to research on parenthood and life satisfaction, our paper contributes to previous research that has consistently shown that family-related policies, such as the provision of public childcare, play an important role in parents’ life satisfaction (e.g. Aassve et al., 2012; Glass et al., 2016; Pollmann-Schult, 2018; Schmitz, 2020; Schober & Schmitt, 2017; Schober & Stahl, 2016). These studies used cross-country comparisons or explored historical changes in the provision of public childcare. Such studies might, however, be confounded with specific national or historical circumstances on the macro level as well as with the endogeneity of care, work and family life arrangements on the micro level. We add a specific situation to this strand of research: the sudden and unforeseen closure of schools and public childcare facilities to prevent the spread of the COVID-19 virus in spring 2020, which required massive changes to both family care arrangements and family life. We used the reopening of schools and day care facilities to examine parents’ subsequent life satisfaction. Our results corroborate previous findings: in particular, mothers benefit from institutionalised schooling and the provision of public childcare.
Our study also contributes to research on the unequal division of unpaid labour and childcare in families. We found that fathers’ life satisfaction was less susceptible to the reopenings than that of mothers. Pre-COVID-19 research on how mothers and fathers spend time with their children may shed light on these results. This research shows that fathers tend to prefer interactive tasks – e.g. playing with their children – that is, activities that are more meaningful to them (Roeters & Gracia, 2016). In contrast, mothers are more likely to engage in day-to-day childcare tasks than fathers (Craig & Mullan, 2011; Steinbach & Schulz, 2022); mothers are more likely to combine childcare with other domestic activities (Gracia & Esping-Andersen, 2015; Kurowska, 2020); and, as a consequence, mothers feel stressed by their childcare activities more often than fathers (see e.g. Offer, 2014; Roeters & Gracia, 2016). Accordingly, research found that employed fathers tend to enjoy childcare – especially interactive childcare – more than employed (and non-employed) mothers (Dotti Sani, 2022). Hence, our results may stimulate further research on the provision of childcare, family care arrangements and gendered challenges in work–family reconciliation. In addition, the increasing availability of work-from-home and remote work arrangements raises new research questions regarding work–family reconciliation and its association with parental well-being.
Our findings are subject to several limitations. First, our analysis is limited to two points in time, as we do not have information on life satisfaction before the pandemic, nor do we include the development of life satisfaction during later closures and reopenings in winter 2020–21. Interestingly, results presented by Hudde et al. (2023) for the UK indicated that mothers’ life satisfaction declined considerably in the later lockdowns and the decline was steeper for mothers than for fathers. Second, we did not consider the mechanisms by which reopenings affected life satisfaction. Children returning, at least partly, to school or day care might relieve mothers of routine childcare and household chores or lead to decreased stress and trouble in the family. It is also possible that mothers’ life satisfaction increased under these circumstances simply because their children were happier being once again among their peers and friends. This being noted, it is equally or even more important to pay close attention to the well-being of children during periods of school and day care closure (see e.g. Steinmayr et al., 2022; Viner et al., 2022). Finally, our dataset does not include people who are inactive in the labour market, self-employed persons or civil servants. Therefore, we cannot make definitive statements about these groups. It seems reasonable to assume, for example, that the reopening effect should be smaller for the inactive, as they did not experience the double burden of having to balance work and care responsibilities. In contrast, for the self-employed, effects may have been larger due to more economic insecurities during the lockdown period and a stronger relief due to the reopenings. For civil servants, we would not expect any differences, though this remains speculative to a certain extent.
From a policy perspective, our results suggest that psychosocial side effects (e.g. well-being) should be considered when deciding on lockdown measures. Obviously, this does not mean that negative side effects imply that a certain prevention measure should be abandoned completely. At the same time, however, it suggests that policy-makers should balance the gains of a measure in terms of health protection against the negative side effects. A more complete picture of these effects could, therefore, support policy-makers in finding the optimal solution in such situations. While our paper constitutes a step towards such a basis for informed decision-making, much work remains to be done.

Acknowledgements

We wrote this article using data from the IAB High-frequency Online Personal Panel (IAB-HOPP). Data access was provided by the Research Data Centre (FDZ) of the German Federal Employment Agency (BA) at the Institute for Employment Research (IAB). We are grateful to the project team that conducted the study. The data are now available as SUF (Volkert et al., 2021; DOI: 10.5164/IAB.HOPP_W01-W07.de.en.v2 ) and SUF with administrative data included (Bellmann et al. 2021; DOI: 10.5164/IAB.HOPP-ADIAB7519.de.en.v1 ) . We further want to thank Veronika Knize, who was involved in the main project and therefore contributed to the data preparation process.

Declarations

Conflict of interest

The authors report no conflicts of interest.
Open Access This article is licensed under a Creative Commons Attribution 4.0 International License, which permits use, sharing, adaptation, distribution and reproduction in any medium or format, as long as you give appropriate credit to the original author(s) and the source, provide a link to the Creative Commons licence, and indicate if changes were made. The images or other third party material in this article are included in the article's Creative Commons licence, unless indicated otherwise in a credit line to the material. If material is not included in the article's Creative Commons licence and your intended use is not permitted by statutory regulation or exceeds the permitted use, you will need to obtain permission directly from the copyright holder. To view a copy of this licence, visit http://creativecommons.org/licenses/by/4.0/.

Publisher's Note

Springer Nature remains neutral with regard to jurisdictional claims in published maps and institutional affiliations.
Download
Titel
When the Burden Lifts: The Effect of School and Day Care Reopenings on Parents’ Life Satisfaction
Verfasst von
Lina Tobler
Bernhard Christoph
Lukas Fervers
Marita Jacob
Publikationsdatum
01.01.2025
Verlag
Springer Netherlands
Erschienen in
Journal of Happiness Studies / Ausgabe 1/2025
Print ISSN: 1389-4978
Elektronische ISSN: 1573-7780
DOI
https://doi.org/10.1007/s10902-024-00819-7

Appendix

See Figs.
Fig. 3
Life satisfaction for treated vs. control parents and treated vs. control non-parents (placebo) between May 2020 (before) and June 2020 (after).
Source: IAB-HOPP combined with additional data (see Sect. 3.2). Calculations by the authors. Weighted data. N(Panel A) = 970 (500 T / 470 C); N(Panel B) = 3036 (1558 T / 1478 C)
Bild vergrößern
3 and
Fig. 4
Life satisfaction for treated vs. control mothers and fathers; treated vs. control non-mothers and non-fathers (placebo) between May 2020 (before) and June 2020 (after).
Source: IAB-HOPP combined with additional data (see Sect. 3.2). Calculations by the authors. Weighted data. N(Panel A: mothers) = 515 (270 T / 245 C); N(Panel B: non-mothers) = 1469 (755 T / 714 C); N(Panel C: fathers) = 455 (230 T / 225 C); N(Panel D: non-fathers) = 1567 (803 T / 764 C)
Bild vergrößern
4.
See Tables 2, 3, 4, 5, 6, 7, 8, 9.
Table 2
Summary statistics.
Source: IAB-HOPP combined with additional data (see Sect. 3.2). Calculations by the authors
 
Unweighted data
Weighted data
Variable
Obs
Aver
SD
Min
Max
Aver
SD
Overall sample
Life satisfaction (Wave 1)
4006
7.22
1.89
0
10
6.98
2.05
Life satisfaction (Wave 2)
4006
7.31
1.77
0
10
7.16
1.89
Female
4006
0.50
0.50
0
1
0.50
0.50
Parent (child(ren) under 15)
4006
0.24
0.43
0
1
0.23
0.42
Age
4006
47.03
12.37
19
67
45.09
13.12
Education: ISCED 1–3
4003
0.31
0.46
0
1
0.47
0.50
Education: ISCED 4–5
4003
0.20
0.40
0
1
0.20
0.40
Education: ISCED 6 + 
4003
0.49
0.50
0
1
0.32
0.47
Migration background
3990
0.13
0.34
0
1
0.17
0.38
Working from home before COVID-19
3419
0.25
0.43
0
1
0.18
0.38
Months in contributory employment
4006
50.25
17.07
0
60
44.99
20.90
Months in marginal employment
4006
5.03
13.28
0
60
7.32
15.55
Essential job (BMAS definition)
3806
0.29
0.46
0
1
0.33
0.47
7-day-incidence rate, by fed. state
4006
6.60
2.41
0.72
25
6.50
2.50
Weekly mortality rate, by fed. state
4006
7.91
4.49
0.00
19
7.73
4.51
Treated parents
Life satisfaction (wave 1)
500
7.07
1.89
0
10
6.84
1.99
Life satisfaction (wave 2)
500
7.34
1.74
0
10
7.15
1.89
Female
500
0.54
0.50
0
1
0.54
0.50
Parent (child(ren) under 15)
500
1.00
0.00
1
1
1.00
0.00
Age
500
41.75
7.05
23
62
40.73
7.29
Education: ISCED 1–3
499
0.23
0.42
0
1
0.41
0.49
Education: ISCED 4–5
499
0.20
0.40
0
1
0.21
0.41
Education: ISCED 6 + 
499
0.56
0.50
0
1
0.37
0.48
Migration background
497
0.13
0.33
0
1
0.18
0.38
Working from home before COVID-19
444
0.33
0.47
0
1
0.26
0.44
Months in contributory employment
500
51.10
14.78
0
60
45.74
19.08
Months in marginal employment
500
3.50
11.48
0
60
5.38
13.79
Essential job (BMAS definition)
485
0.28
0.45
0
1
0.34
0.47
7-day-incidence rate, by fed. state
500
6.06
2.43
0.72
24
5.91
2.61
Weekly mortality rate, by fed. state
500
6.85
4.09
0.00
19
6.50
4.12
Treated non-parents
Life satisfaction (wave 1)
1558
7.30
1.84
0
10
7.06
2.00
Life satisfaction (wave 2)
1558
7.33
1.75
0
10
7.20
1.81
Female
1558
0.48
0.50
0
1
0.49
0.50
Parent (child(ren) under 15)
1558
0.00
0.00
0
0
0.00
0.00
Age
1558
49.14
12.91
19
67
47.00
13.77
Education: ISCED 1–3
1558
0.32
0.47
0
1
0.48
0.50
Education: ISCED 4–5
1558
0.22
0.41
0
1
0.20
0.40
Education: ISCED 6 + 
1558
0.47
0.50
0
1
0.31
0.46
Migration background
1551
0.12
0.33
0
1
0.16
0.36
Working from home before COVID-19
1321
0.20
0.40
0
1
0.14
0.35
Months in contributory employment
1558
50.47
17.19
0
60
45.46
20.88
Months in marginal employment
1558
5.13
13.36
0
60
7.43
15.69
Essential job (BMAS definition)
1477
0.31
0.46
0
1
0.34
0.47
7-day-incidence rate, by fed. state
1558
6.47
2.29
0.72
24
6.37
2.40
Weekly mortality rate, by fed. state
1558
6.99
4.08
0.00
19
6.89
4.10
Untreated parents
Life satisfaction (wave 1)
470
7.11
1.99
0
10
6.77
2.18
Life satisfaction (wave 2)
470
7.27
1.83
0
10
7.06
2.03
Female
470
0.52
0.50
0
1
0.56
0.50
Parent (child(ren) under 15)
470
1.00
0.00
1
1
1.00
0.00
Age
470
41.93
7.13
22
64
39.83
7.27
Education: ISCED 1–3
469
0.23
0.42
0
1
0.40
0.49
Education: ISCED 4–5
469
0.18
0.38
0
1
0.22
0.41
Education: ISCED 6 + 
469
0.59
0.49
0
1
0.38
0.49
Migration background
469
0.17
0.38
0
1
0.22
0.41
Working from home before COVID-19
411
0.34
0.47
0
1
0.23
0.42
Months in contributory employment
470
51.00
14.46
0
60
46.89
17.74
Months in marginal employment
470
4.12
11.88
0
60
6.07
13.92
Essential job (BMAS definition)
451
0.24
0.43
0
1
0.28
0.45
7-day-incidence rate, by fed. state
470
6.78
2.21
1.19
23
6.68
2.20
Weekly mortality rate, by fed. state
470
8.82
4.57
0.62
19
8.69
4.51
Untreated non-parents
Life satisfaction (wave 1)
1478
7.23
1.92
0
10
6.99
2.08
Life satisfaction (wave 2)
1478
7.30
1.79
0
10
7.14
1.92
Female
1478
0.48
0.50
0
1
0.49
0.50
Parent (child(ren) under 15)
1478
0.00
0.00
0
0
0.00
0.00
Age
1478
48.21
13.51
19
67
45.96
14.43
Education: ISCED 1–3
1477
0.34
0.48
0
1
0.51
0.50
Education: ISCED 4–5
1477
0.20
0.40
0
1
0.20
0.40
Education: ISCED 6 + 
1477
0.46
0.50
0
1
0.30
0.46
Migration background
1473
0.14
0.35
0
1
0.18
0.38
Working from home before COVID-19
1243
0.23
0.42
0
1
0.17
0.37
Months in contributory employment
1478
49.48
18.37
0
60
43.67
22.26
Months in marginal employment
1478
5.72
14.12
0
60
8.20
16.32
Essential job (BMAS definition)
1393
0.30
0.46
0
1
0.33
0.47
7-day-incidence rate, by fed. state
1478
6.87
2.54
1.12
25
6.80
2.60
Weekly mortality rate, by fed. state
1478
8.95
4.71
0.00
19
8.80
4.76
For dummy variables, means indicate shares. 7-day-incidence rate: used as provided by the RKI. Weekly mortality rate: based on RKI-data on the number of registered COVID-19 related deaths, we calculated: mortality rate = deaths/(population/1000)
Table 3
DDD-FE specification, parents with children of different age groups.
Source: IAB-HOPP combined with additional data (see Sect. 3.2). Calculations by the authors
Children aged 0–6 years
(1) DiD (parents)
(2) DiD (non-parents)
(3) DDD (overall)
(4) DiD (mothers)
(5) DiD (non-mothers)
(6) DDD (women)
(7) DiD (fathers)
(8) DiD (non-fathers)
(9) DDD (men)
June 2020 (after)
0.328**
0.069
0.069
0.471*
0.120 + 
0.120 + 
0.189
0.021
0.021
 
(3.52)
(1.66)
(1.66)
(2.57)
(1.78)
(1.78)
(1.34)
(0.47)
(0.47)
TG* June 2020 (after)
0.055
− 0.041
− 0.041
0.146
− 0.082
− 0.082
− 0.058
− 0.004
− 0.004
 
(0.39)
(− 0.97)
(− 0.97)
(0.61)
(− 0.88)
(− 0.88)
(− 0.32)
(− 0.08)
(− 0.08)
June 2020 (after) *parent
   
0.259*
   
0.350 + 
   
0.168
     
(2.64)
   
(1.89)
   
(0.96)
TG*parent* June 2020 (after)
   
0.096
   
0.228
   
− 0.055
     
(0.75)
   
(0.89)
   
(− 0.27)
Constant
7.024***
7.265***
7.231***
6.885***
7.210***
7.163***
7.167***
7.316***
7.296***
 
(156.69)
(424.78)
(431.83)
(108.17)
(305.62)
(309.40)
(145.97)
(477.47)
(506.45)
R2
0.040
0.001
0.008
0.087
0.003
0.017
0.009
0.000
0.002
Observations
994
6072
7066
504
2938
3442
490
3134
3624
Children aged 7–10 years
(1) DiD (parents)
(2) DiD (non-parents)
(3) DDD (overall)
(4) DiD (mothers)
(5) DiD (non-mothers)
(6) DDD (women)
(7) DiD (fathers)
(8) DiD (non-fathers)
(9) DDD (men)
June 2020 (after)
0.223*
0.069
0.069
0.181 + 
0.120 + 
0.120 + 
0.271
0.021
0.021
 
(2.72)
(1.66)
(1.66)
(1.85)
(1.78)
(1.78)
(1.66)
(0.47)
− 0.47
TG* June 2020 (after)
0.069
− 0.041
− 0.041
0.327*
− 0.082
− 0.082
− 0.271
− 0.004
− 0.004
 
(0.50)
(− 0.97)
(− 0.97)
(2.28)
(− 0.88)
(− 0.88)
(− 1.29)
(− 0.08)
(− 0.08)
June 2020 (after) *parent
   
0.154 + 
   
0.060
   
0.25
     
(1.80)
   
(0.78)
   
− 1.34
TG*parent* June 2020 (after)
   
0.110
   
0.409**
   
− 0.267
     
(0.84)
   
(3.22)
   
(− 1.17)
Constant
7.038***
7.265***
7.239***
6.755***
7.210***
7.152***
7.389***
7.316***
7.323***
 
(296.16)
(424.78)
(474.31)
(193.44)
(305.62)
(328.72)
(156.09)
(477.47)
− 586.18
R2
0.019
0.001
0.004
0.036
0.003
0.009
0.014
0.000
0.002
Observations
782
6072
6854
432
2938
3370
350
3134
3484
Children aged 11–14 years
(1) DiD (parents)
(2) DiD (non-parents)
(3) DDD (overall)
(4) DiD (mothers)
(5) DiD (non-mothers)
(6) DDD (women)
(7) DiD (fathers)
(8) DiD (non-fathers)
(9) DDD (men)
June 2020 (after)
− 0.011
0.069
0.069
− 0.134
0.120 + 
0.120 + 
0.120
0.021
0.021
 
(− 0.08)
(1.66)
(1.66)
(− 0.68)
(1.78)
(1.78)
(0.84)
(0.47)
(0.47)
TG* June 2020 (after)
0.215
− 0.041
− 0.041
0.571*
− 0.082
− 0.082
− 0.204
− 0.004
− 0.004
 
(1.33)
(− 0.97)
(− 0.97)
(2.92)
(− 0.88)
(− 0.88)
(− 0.92)
(− 0.08)
(− 0.08)
June 2020 (after) *parent
   
− 0.080
   
− 0.254
   
0.099
     
(− 0.57)
   
(− 1.06)
   
(0.79)
TG*parent* June 2020 (after)
   
0.256
   
0.653*
   
− 0.200
     
(1.46)
   
(2.59)
   
(− 1.04)
Constant
7.245***
7.265***
7.263***
7.100***
7.210***
7.197***
7.411***
7.316***
7.325***
 
(165.53)
(424.78)
(468.42)
(99.36)
(305.62)
(335.70)
(156.19)
(477.47)
(497.61)
R2
0.008
0.001
0.002
0.032
0.003
0.007
0.005
0.000
0.001
Observations
750
6072
6822
400
2938
3338
350
3134
3484
The coefficient June 2020 (after) refers to the time of interview of the second panel wave; Treatment group (TG) denotes individuals that live in states in which all children received at least some schooling or day care; Parents are individuals with children younger than 15 years. In the different model specifications, the two different parent groups were compared against the same group of non-parents, while the respective other parent group was excluded from the analysis. In addition, analyses exclude parents that have children in different age groups. t statistics in parentheses. + p < 0.10, * p < 0.05, ** p < 0.01, *** p < 0.001
Table 4
DDD-FE specification, parents with a different number of children.
Source: IAB-HOPP combined with additional data (see Sect. 3.2). Calculations by the authors
One child under 15
(1) DiD (parents)
(2) DiD (non-parents)
(3) DDD (overall)
(4) DiD (mothers)
(5) DiD (non-mothers)
(6) DDD (women)
(7) DiD (fathers)
(8) DiD (non-fathers)
(9) DDD (men)
June 2020 (after)
0.065
0.069
0.069
0.022
0.120 + 
0.120 + 
0.115
0.021
0.021
 
(0.73)
(1.66)
(1.66)
(0.12)
(1.78)
(1.78)
(1.34)
(0.47)
(0.47)
TG* June 2020 (after)
0.081
− 0.041
− 0.041
0.134
− 0.082
− 0.082
0.017
− 0.004
− 0.004
 
(0.50)
(− 0.97)
(− 0.97)
(0.52)
(− 0.88)
(− 0.88)
(0.09)
(− 0.08)
(− 0.08)
June 2020 (after) *parent
   
− 0.004
   
− 0.098
   
0.094
     
(− 0.06)
   
(− 0.47)
   
(0.83)
TG*parent* June 2020 (after)
   
0.122
   
0.216
   
0.020
     
(0.76)
   
(0.73)
   
(0.11)
Constant
7.163***
7.265***
7.250***
7.083***
7.210***
7.190***
7.260***
7.316***
7.309***
 
(237.66)
(424.78)
(439.94)
(109.28)
(305.62)
(297.51)
(143.40)
(477.47)
(546.45)
R2
0.005
0.001
0.002
0.004
0.003
0.003
0.007
0.000
0.001
Observations
1006
6072
7078
552
2938
3490
454
3134
3588
More than one child under 15
(1) DiD (parents)
(2) DiD (non-parents)
(3) DDD (overall)
(4) DiD (mothers)
(5) DiD (non-mothers)
(6) DDD (women)
(7) DiD (fathers)
(8) DiD (non-fathers)
(9) DDD (men)
June 2020 (after)
0.275***
0.069
0.069
0.318**
0.120 + 
0.120 + 
0.232*
0.021
0.021
 
(4.50)
(1.66)
(1.66)
(3.27)
(1.78)
(1.78)
(2.51)
(0.47)
(0.47)
TG* June 2020 (after)
0.117
− 0.041
− 0.041
0.457**
− 0.082
− 0.082
− 0.267 + 
− 0.004
− 0.004
 
(1.21)
(− 0.97)
(− 0.97)
(3.16)
(− 0.88)
(− 0.88)
(− 2.02)
(− 0.08)
(− 0.08)
June 2020 (after) *parent
   
0.206*
   
0.198
   
0.211 + 
     
(2.14)
   
(1.41)
   
(1.87)
TG*parent* June 2020 (after)
   
0.158
   
0.539*
   
− 0.263 + 
     
(1.57)
   
(2.93)
   
(− 1.81)
Constant
7.013***
7.265***
7.231***
6.741***
7.210***
7.145***
7.298***
7.316***
7.314***
 
(277.48)
(424.78)
(498.06)
(162.01)
(305.62)
(363.34)
(188.13)
(477.47)
(502.69)
R2
0.034
0.001
0.007
0.088
0.003
0.019
0.010
0.000
0.002
Observations
934
6072
7006
478
2938
3416
456
3134
3590
The coefficient June 2020 (after) refers to the time of interview of the second panel wave. Treatment group (TG) denotes individuals that live in states in which all children received at least some schooling or day care. Parents are individuals with children younger than 15 years. In the different model specifications, the two different parent groups were compared against the same group of non-parents, while the respective other parent group was excluded from the analysis. t statistics in parentheses. + p < 0.10, * p < 0.05, ** p < 0.01, *** p < 0.001
Table 5
DDD-FE specification, controlling for 7-day incidence rate and weekly mortality rate.
Source: IAB-HOPP combined with additional data (see Sect. 3.2). Calculations by the authors
 
Overall (incidence rate)
Overall (mortality rate)
Overall (incidence + mortality)
Women (incidence rate)
Women (mortality rate)
Women (incidence + mortality)
Men (incidence rate)
Men (mortality rate)
Men (incidence + mortality)
June 2020 (after)
0.046
0.024
0.021
0.051
0.062
0.038
0.044
− 0.015
0.005
 
(0.73)
(0.34)
(0.28)
(0.54)
(0.49)
(0.31)
(0.83)
(− 0.25)
(0.08)
TG* June 2020 (after)
− 0.035
− 0.035
− 0.034
− 0.063
− 0.075
− 0.062
− 0.009
0.002
− 0.006
 
(− 0.74)
(− 0.77)
(− 0.70)
(− 0.68)
(− 0.75)
(− 0.67)
(− 0.22)
(0.05)
(− 0.15)
June 2020 (after)*parent
0.096+
0.096+
0.096+
0.033
0.035
0.033
0.150
0.154
0.150
 
(1.93)
(1.95)
(1.93)
(0.26)
(0.27)
(0.26)
(1.52)
(1.53)
(1.51)
TG*parent* June 2020 (after)
0.143
0.143
0.143
0.382*
0.379+
0.382*
− 0.120
− 0.123
− 0.119
 
(1.73)
(1.71)
(1.72)
(2.15)
(2.09)
(2.13)
(− 1.28)
(− 1.27)
(− 1.26)
7-day-incidence rate, by fed. state
− 0.006
 
− 0.002
− 0.018
 
− 0.016
0.005
 
0.012
 
(− 0.61)
 
(− 0.22)
(− 1.67)
 
(− 1.41)
(0.61)
 
(1.53)
Weekly mortality rate, by fed. state
 
− 6.241
− 5.583
 
− 8.558
− 3.114
 
− 4.802
− 9.138
   
(− 0.73)
(− 0.60)
 
(− 0.62)
(− 0.21)
 
(− 0.73)
(− 1.18)
Constant
7.260***
7.272***
7.279***
7.250***
7.202***
7.262***
7.271***
7.347***
7.299***
 
(117.49)
(108.60)
(101.25)
(102.13)
(70.08)
(76.61)
(122.75)
(124.71)
(110.84)
R2
0.005
0.006
0.006
0.013
0.012
0.013
0.002
0.002
0.002
Observations
8012
8012
8012
3968
3968
3968
4044
4044
4044
The coefficient June 2020 (after) refers to the time of interview of the second panel wave. Treatment group (TG) denotes individuals that live in states in which all children received at least some schooling or day care. Parents are individuals with children younger than 15 years. 7-day-incidence rate: used as provided by the RKI. Weekly mortality rate: based on RKI-data on the number of registered COVID-19 related deaths, we calculated: mortality rate = deaths/(population/1000). t statistics in parentheses. + p < 0.10, * p < 0.05, ** p < 0.01, *** p < 0.001
Table 6
DDD without FE, with and without control variables.
Source: IAB-HOPP combined with additional data (see Sect. 3.2). Calculations by the authors
 
DDD (overall)
DDD (women)
DDD (men)
DDD (women)
DDD (men)
TG*parent* June 2020 (after)
0.169*
0.461**
− 0.138
0.460**
− 0.130
 
(2.16)
(2.98)
(− 1.17)
(2.99)
(− 1.15)
TG* June 2020 (after)
− 0.022
− 0.067
0.024
− 0.080
0.004
 
(− 0.51)
(− 0.79)
(0.44)
(− 0.92)
(0.08)
TG*parent
− 0.102
− 0.156
− 0.042
− 0.155
− 0.056
 
(− 1.25)
(− 1.36)
(− 0.32)
(− 1.42)
(− 0.42)
TG
0.031
0.078
− 0.001
0.104+
− 0.007
 
(0.62)
(1.50)
(− 0.01)
(1.99)
(− 0.08)
June 2020 (after)
− 0.015
0.045
− 0.081
0.089
− 0.008
 
(− 0.25)
(0.51)
(− 1.24)
(1.35)
(− 0.18)
Parent
− 0.156+
− 0.208*
− 0.130
− 0.266**
− 0.045
 
(− 1.86)
(− 2.29)
(− 1.20)
(− 3.58)
(− 0.40)
June 2020 (after)*parent
0.071
− 0.054
0.195
− 0.055
0.187
 
(1.12)
(− 0.40)
(1.66)
(− 0.40)
(1.65)
Female
− 0.111**
0.000
0.000
   
 
(− 3.15)
(.)
(.)
   
Age
0.007*
0.009
0.004*
   
 
(2.66)
(1.55)
(2.44)
   
Education (Ref.: ISCED 1–3)
         
ISCED 4–5
0.223*
0.169
0.300+
   
 
(2.14)
(1.68)
(2.09)
   
ISCED 6 or higher
0.329***
0.241**
0.433***
   
 
(5.91)
(3.43)
(6.27)
   
Migration background
− 0.119*
− 0.150
− 0.079
   
 
(− 2.16)
(− 1.42)
(− 1.21)
   
Home office before COVID-19
0.097+
− 0.066
0.218*
   
 
(1.90)
(− 0.94)
(2.55)
   
Months in contributory employment
0.005**
0.001
0.009***
   
 
(2.95)
(0.56)
(5.27)
   
Months in marginal employment
0.005+
0.003
0.005
   
 
(1.86)
(1.17)
(1.08)
   
7-day-incidence-rate, by fed. state
− 0.013
− 0.011
− 0.017+
   
 
(− 1.51)
(− 0.94)
(− 1.89)
   
Constant
6.611***
6.647***
6.471***
7.222***
7.388***
 
(35.90)
(19.29)
(59.29)
(150.65)
(165.30)
R2
0.016
0.013
0.024
0.006
0.001
Observations
6804
3416
3388
3416
3388
The coefficient June 2020 (after) refers to the time of interview of the second panel wave. Treatment group (TG) denotes individuals that live in states in which all children received at least some schooling or day care. Parents are individuals with children younger than 15 years. t statistics in parentheses. + p < 0.10, * p < 0.05, ** p < 0.01, *** p < 0.001
Table 7
Alternative sample specifications (DDD-FE implementation).
Source: IAB-HOPP combined with additional data (see Sect. 3.2). Calculations by the authors
 
Weighted estimation (trimmed probability weights)
Weighted estimation (trimmed calibrated weights)
Long survey duration excluded
States with holidays excluded
Only non-essential parents
Only cases from states with closure-share in W1 >  = 80%a
Only cases from states with closure share in W1 >  = 90%a
Women
June 2020 (after)
0.162+
0.154
0.123+
0.148
0.180**
0.126
0.148+
 
(− 1.91)
(− 1.62)
(1.78)
(1.53)
(3.67)
(1.72)
(1.89)
TG* June 2020 (after)
− 0.102
− 0.106
− 0.063
− 0.109
− 0.112
− 0.098
− 0.120
 
(− 0.94)
(− 0.95)
(− 0.67)
(− 1.01)
(− 1.14)
(− 0.94)
(− 1.14)
June 2020 (after)*parent
0.082
0.050
0.001
− 0.058
− 0.193
0.035
0.032
 
(− 0.40)
(− 0.26)
(0.01)
(− 0.39)
(− 1.27)
(0.28)
(0.24)
TG*parent* June 2020 (after)
0.259
0.305
0.393*
0.471*
0.609*
0.411+
0.392+
 
(− 1.01)
− 1.25
(2.19)
(2.49)
(2.21)
(2.08)
(1.82)
Constant
7.003***
6.982***
7.141***
7.140***
7.178***
7.133***
7.129***
 
(− 304.55)
(− 305.73)
(330.26)
(330.23)
(284.03)
(341.76)
(325.30)
R2
0.012
0.011
0.012
0.013
0.015
0.013
0.013
Observations=
3968
3968
3924
3701
2460
3890
3688
Men
June 2020 (after)
0.024
0.012
0.021
0.042
− 0.068
0.017
0.011
 
(− 0.35)
(− 0.24)
(0.47)
(0.55)
(− 1.27)
(0.37)
(0.25)
TG* June 2020 (after)
0.032
0.026
0.000
− 0.025
0.118+
− 0.008
− 0.014
 
(− 0.58)
(− 0.56)
(0.01)
(− 0.34)
(1.91)
(− 0.19)
(− 0.35)
June 2020 (after)*parent
0.104
0.100
0.152
0.135
0.289**
0.171
0.187+
 
(− 0.66)
(− 0.64)
(1.51)
(0.91)
(3.17)
(1.61)
(1.85)
TG*parent* June 2020 (after)
− 0.164
− 0.181
− 0.104
− 0.104
− 0.393**
− 0.118
− 0.096
 
(− 0.88)
(− 0.90)
(− 1.09)
(− 0.78)
(− 3.06)
(− 1.23)
(− 0.94)
Constant
7.104***
7.111***
7.303***
7.312***
7.344***
7.302***
7.297***
 
− 369.03
− 422.22
(599.52)
(484.78)
(342.74)
(562.60)
(523.07)
R2
0.001
0.001
0.002
0.002
0.004
0.002
0.002
Observations
4044
4044
4028
3741
2908
3960
3782
The coefficient June 2020 (after) refers to the time of interview of the second panel wave. Treatment group (TG) denotes individuals that live in states in which all children received at least some schooling or day care. Parents are individuals with children younger than 15 years. t statistics in parentheses. + p < 0.10, * p < 0.05, ** p < 0.01, *** p < 0.001
alagged: week before
Table 8
Selection on observables: effects on dropping out in the second wave (logit regression)
 
Dropout
Female
− 0.163**
 
(− 3.17)
Age (up to 35)
0.593***
 
(8.78)
Age (56 plus)
0.243***
 
(4.03)
Education (Ref.: ISCED 1–3)
 
 ISCED 4–5
− 0.190**
 
(− 2.65)
 ISCED 6 or higher
− 0.366***
 
(− 6.03)
Migration background
0.110
 
(1.48)
Home office before COVID-19
0.064
 
(1.04)
Months in contributory employment
0.003
 
(1.57)
Months in marginal employment
0.003
 
(1.54)
7-day-incidence-rate, by fed. state
− 0.076**
 
(− 2.58)
7-day-incidence-rate, lag + 40 days, by fed. state
0.071***
 
(3.43)
Constant
0.074
 
(0.31)
Observations
6466
Model controls for federal state-level differences
t statistics in parentheses. + p < 0.10, * p < 0.05, ** p < 0.01, *** p < 0.001
Source: IAB-HOPP combined with additional data (see Sect. 3.2). Calculations by the authors
Table 9
Comparison between regularly clustered and WCB p-values.
Source: IAB-HOPP combined with additional data (see Sect. 3.2). Calculations by the authors
Implementation
Reg. clustered
WCB (Rademacher)
WCB (Webb)
Overall sample
DDD FE
.105187
.1281281
.1171171
DDD without covariates
.0478685
.0700701
.0780781
DDD with covariates
.0476456
.0710711
.0790791
Women
DDD FE
.0534826
.0840841
.0800801
DDD without covariates
.0091745
.014014
.022022
DDD with covariates
.0092633
.014014
.021021
Men
DDD FE
.2213074
.1781782
.1781782
DDD without covariates
.2699853
.2452452
.2542543
DDD with covariates
.2592419
.2292292
.2362362
WCB wild cluster bootstrap
1
For intuitive visualisations of the research by Hale et al. (2021), see Mathieu et al. (2020).
 
2
Reopening strategies included successive returns to the classroom of different student groups (usually starting with older children) or rotating systems in which different groups of students took turns being home-schooled or receiving classroom teaching. However, exact configurations, timings and pace varied across federal states as the lockdowns were coordinated by Germany’s respective state governments (see also Fuchs-Schündeln, 2022: 616f.).
 
3
For our calculations, we used an internal version of the IAB-HOPP data. The dataset is now available as a Scientific Use File at the FDZ of the BA (Volkert et al., 2021b).
 
4
As the data sample was drawn from individual records of the Integrated Employment Biographies, the IAB-HOPP is not a household dataset. This means that it does not include information on both parents of the same child. However, this does not undermine the validity of our research design.
 
5
n = 3402 in the model specification using control variables; Response rate in wave 1: 5.7% (11,311 respondents); wave 2: 48.7% (4746 respondents); respondents with record linkage consent in wave 2: 4258 (Volkert et al., 2021a: 12f.).
 
6
Original question in German: ‘Wie zufrieden sind Sie gegenwärtig, alles in allem, mit Ihrem Leben? ‘ (Volkert et al., 2021a; Volkert et al., 2021b).
 
7
We re-produced all graphs using weighted data (Figs. 3 and 4 in the Appendix). Although the weighted versions looks slightly different from the unweighted versions shown in Figs. 1 and 2, the substantive result that mothers reported lower life satisfaction than other groups in May and that mothers in treated states were the most (positively) affected group in June remained stable.
 
8
For the definition of working in an essential job, we used the classification from the Federal Ministry of Labour and Social Affairs as presented in Giesing and Hofbauer (2020).
 
9
Calibration was based on a combination of employment status, age and sex, plus federal state, occupation, occupational position and sector (Volkert et al., 2021a: 31ff.).
 
Zurück zum Zitat Aassve, A., Goisis, A., & Sironi, M. (2012). Happiness and childbearing across Europe. Social Indicators Research, 108(1), 65–86.CrossRef
Zurück zum Zitat Adams-Prassl, A., Boneva, T., Golin, M., & Rauh, C. (2022). The impact of the coronavirus lockdown on mental health: Evidence from the United States. Economic Policy, 37(109), 139–155.CrossRef
Zurück zum Zitat Anger S, Dietrich H, Patzina A, Sander M, Lerche A, Bernhard S, et al. (2020) School closings during the COVID-19 pandemic: findings from German high school students. 15 May 2020. IAB-Forum. Nuremberg: Institute for Employment Research (IAB). Available from: https://www.iab-forum.de/en/school-closings-during-the-covid-19-pandemic-findings-from-german-high-school-students/ (Accessed 5 July 2023).
Zurück zum Zitat Bimonte, S., Bosco, L., & Stabile, A. (2022). In Virus Veritas lockdown and happiness under COVID-19. Social Indicators Research, 164(2), 823–842.CrossRef
Zurück zum Zitat Bittmann, F. (2022). Is there a dose-response relationship? Investigating the functional form between COVID-19 incidence rates and life satisfaction in a multilevel framework. Journal of Happiness Studies, 23(7), 3315–3330.CrossRef
Zurück zum Zitat Boll C, Schüller S, and Müller D (2021) Neither backlash nor convergence: dynamics of intracouple childcare division after the first COVID-19 lockdown and subsequent reopening in Germany. IZA Discussion Paper Series, No. 14375: Institute of Labor Economics (IZA). Available from: https://docs.iza.org/dp14375.pdf (Accessed 5 July 2023).
Zurück zum Zitat Cheng, Z., Mendolia, S., Paloyo, A. R., Savage, D. A., & Tani, M. (2021). Working parents, financial insecurity, and childcare: Mental health in the time of COVID-19 in the UK. Review of Economics of the Household, 19(1), 123–144.CrossRef
Zurück zum Zitat Chung, H., Birkett, H., Forbes, S., & Seo, H. (2021). Covid-19, flexible working, and implications for gender equality in the United Kingdom. Gender and Society, 35(2), 218–232.CrossRef
Zurück zum Zitat Craig, L., & Churchill, B. (2021). Dual-earner parent couples’ work and care during COVID-19. Gender, Work, and Organization, 28(S1), 66–79.CrossRef
Zurück zum Zitat Craig, L., & Mullan, K. (2011). How mothers and fathers share childcare: A cross-national time-use comparison. American Sociological Review, 76(6), 834–861.CrossRef
Zurück zum Zitat Czymara, C. S., Langenkamp, A., & Cano, T. (2021). Cause for concerns: Gender inequality in experiencing the COVID-19 lockdown in Germany. European Societies, 23(sup1), S68–S81.CrossRef
Zurück zum Zitat Del Boca, D., Oggero, N., Profeta, P., & Rossi, M. (2020). Women’s and men’s work, housework and childcare, before and during COVID-19. Review of Economics of the Household, 18(4), 1001–1017.CrossRef
Zurück zum Zitat Destatis (2020a) Kindertagesbetreuung: Kindertageseinrichtungen nach Altersgruppen und Bundesländern. Kinder in Kindertageseinrichtungen zum 1. März 2020 nach Bundesländern. 30/09/2020. Available from: https://www.destatis.de/DE/Themen/Gesellschaft-Umwelt/Soziales/Kindertagesbetreuung/Tabellen/kinder-kindertageseinrichtungen-2018.html (Accessed 27 January 2021).
Zurück zum Zitat Destatis (2020b) Bildung und Kultur: Allgemeinbildende Schulen. Fachserie 11, Reihe 1. Schuljahr 2019/2020. Available from: https://www.destatis.de/DE/Themen/Gesellschaft-Umwelt/Bildung-Forschung-Kultur/Schulen/Publikationen/Downloads-Schulen/allgemeinbildende-schulen-2110100207005.html (Accessed 28 July 2023).
Zurück zum Zitat Destatis (2024) Genesis Online. Tabelle 12411–0010: Bevölkerung: Bundesländer, Stichtag. (Bevölkerung zum 31.12.2019). https://www-genesis.destatis.de/genesis/online (Accessed 22 May 2024)
Zurück zum Zitat Dotti Sani, G. M. (2022). The intrinsic value of childcare: Positive returns of childcare time on parents’ well-being and life satisfaction in Italy. Journal of Happiness Studies, 23(5), 1901–1921.CrossRef
Zurück zum Zitat Fan, W., & Qian, Y. (2023). State contexts, job insecurity, and subjective well-being in the time of COVID-19. Journal of Happiness Studies, 24(6), 2039–2059.CrossRef
Zurück zum Zitat Fervers, L., Tobler, L., Knize, V., Christoph, B., & Jacob, M. (2023). Kids back to school – parents back to work? School and daycare opening and parents’ employment in the early phase of the COVID-19 pandemic. Journal of European Social Policy, 33(3), 373–387.
Zurück zum Zitat Fuchs-Schündeln, N. (2022). Covid-induced school closures in the United States and Germany: Long-term distributional effects. Economic Policy, 37(112), 609–639.CrossRef
Zurück zum Zitat Giesing Y, Hofbauer M (2020) Wie wirkt sich Covid-19 auf Migration und Integration aus? ifo Schnelldienst, ISSN 0018-974X, 73 (07): 41–46. München: ifo Institut – Leibniz-Institut für Wirtschaftsforschung an der Universität München. Available from: http://hdl.handle.net/10419/225152 (Accessed 16 September 2022).
Zurück zum Zitat Glass, J., Simon, R. W., & Andersson, M. A. (2016). Parenthood and happiness: Effects of work-family reconciliation policies in 22 OECD countries. American Journal of Sociology, 122(3), 886–929.CrossRef
Zurück zum Zitat Gracia, P., & Esping-Andersen, G. (2015). Fathers’ child care time and mothers’ paid work: A cross-national study of Denmark, Spain, and the United Kingdom. Family Science, 6(1), 270–281.CrossRef
Zurück zum Zitat Haas, G.-C., Müller, B., Osiander, C., Schmidtke, J., Trahms, A., Volkert, M., et al. (2021). Development of a new COVID-19 panel survey: The IAB high-frequency online personal panel (HOPP). Journal for Labour Market Research, 55(16), 1–14.
Zurück zum Zitat Hale, T., Angrist, N., Goldszmidt, R., Kira, B., Petherick, A., Phillips, T., et al. (2021). A global panel database of pandemic policies (Oxford COVID-19 government response tracker). Nature Human Behaviour, 5(4), 529–538.CrossRef
Zurück zum Zitat Hank, K., & Steinbach, A. (2021). The virus changed everything, didn’t it? Couples’ division of housework and childcare before and during the Corona crisis. Journal of Family Research, 33(1), 99–114.CrossRef
Zurück zum Zitat Haug, N., Geyrhofer, L., Londei, A., Dervic, E., Desvars-Larrive, A., Loreto, V., et al. (2020). Ranking the effectiveness of worldwide COVID-19 government interventions. Nature Human Behaviour, 4(12), 1303–1312.CrossRef
Zurück zum Zitat Heers, M., & Lipps, O. (2022). Overwhelmed by learning in lockdown: Effects of Covid-19-enforced homeschooling on parents’ wellbeing. Social Indicators Research, 164(1), 323–343.CrossRef
Zurück zum Zitat Hettich, N., Entringer, T. M., Kroeger, H., Schmidt, P., Tibubos, A. N., Braehler, E., et al. (2022). Impact of the COVID-19 pandemic on depression, anxiety, loneliness, and satisfaction in the German general population: A longitudinal analysis. Social Psychiatry and Psychiatric Epidemiology, 57(12), 2481–2490.CrossRef
Zurück zum Zitat Hiekel, N., & Kühn, M. (2022). Mental Health before and during the COVID-19 pandemic: The role of partnership and parenthood status in growing disparities between types of families. Journal of Health and Social Behavior, 63(4), 594–609.CrossRef
Zurück zum Zitat Hipp, L., & Bünning, M. (2021). Parenthood as a driver of increased gender inequality during COVID-19? Exploratory Evidence from Germany. European Societies, 23(sup1), S658–S673.
Zurück zum Zitat Hjálmsdóttir, A., & Bjarnadóttir, V. S. (2021). “I have turned into a foreman here at home”: Families and work-life balance in times of COVID-19 in a gender equality paradise. Gender, Work, and Organization, 28(1), 268–283.CrossRef
Zurück zum Zitat Hudde, A., Hank, K., & Jacob, M. (2023). Parenthood and dynamics of life satisfaction in times of COVID-19. The British Journal of Sociology, 74(3), 419–432.
Zurück zum Zitat Huebener, M., Waights, S., Spiess, C. K., Siegel, N. A., & Wagner, G. G. (2021). Parental well-being in times of Covid-19 in Germany. Review of Economics of the Household, 19(1), 91–122.CrossRef
Zurück zum Zitat Imbens, G. W., & Rubin, D. B. (2015). Causal Inference for Statistics, Social, and Biomedical Sciences: An Introduction. Cambridge University Press.CrossRef
Zurück zum Zitat Kim, J., Park, S., Subramanian, S. V., & Kim, T. (2023). The Psychological costs of the COVID-19 pandemic and heterogeneous effects in South Korea: Evidence from a difference-in-differences analysis. Journal of Happiness Studies, 24(2), 455–476.CrossRef
Zurück zum Zitat Robert Koch-Institut (2022): 7-Tage-Inzidenz der COVID-19-Fälle nach Bundesland [Inzidenzen_BL_0520-0422.xlsx]. (Accessed 12 April 2022).
Zurück zum Zitat Robert Koch-Institut (2024): COVID-19-Todesfälle in Deutschland. Berlin: Zenodo. DOI: https://zenodo.org/doi/10.5281/zenodo.7127831 (Accessed 22 May 2024)
Zurück zum Zitat Kowal, M., Coll-Martín, T., Ikizer, G., Rasmussen, J., Eichel, K., Studzińska, A., et al. (2020). Who is the most stressed during the COVID-19 pandemic? Data From 26 countries and areas. Applied Psychology: Health and Well-Being, 12(4), 946–966.
Zurück zum Zitat Kurowska, A. (2020). Gendered effects of home-based work on parents’ capability to balance work with non-work: Two countries with different models of division of labour compared. Social Indicators Research, 151(2), 405–425.CrossRef
Zurück zum Zitat Li, J., Bünning, M., Kaiser, T., & Hipp, L. (2022). Who suffered most? Parental stress and mental health during the COVID-19 pandemic in Germany. Journal of Family Research, 34(1), 281–309.CrossRef
Zurück zum Zitat Mathieu E, Ritchie H, Rodés-Guirao L, Appel C, Giattino C, Hasell J, et al. (2020) Coronavirus Pandemic (COVID-19). School and Workplace Closures. Our World in Data. Available from: https://ourworldindata.org/covid-school-workplace-closures (Accessed 1 August 2023).
Zurück zum Zitat Möhring, K., Naumann, E., Reifenscheid, M., Wenz, A., Rettig, T., Krieger, U., et al. (2021). The COVID-19 pandemic and subjective well-being: Longitudinal evidence on satisfaction with work and family. European Societies, 23(sup1), S601–S617.CrossRef
Zurück zum Zitat Nomaguchi, K., & Milkie, M. A. (2020). Parenthood and well-being: A decade in review. Journal of Marriage and Family, 82(1), 198–223.CrossRef
Zurück zum Zitat Offer, S. (2014). Time with children and employed parents’ emotional well-being. Social Science Research, 47, 192–203.CrossRef
Zurück zum Zitat Pollmann-Schult, M. (2018). Parenthood and life satisfaction in Europe: The role of family policies and working time flexibility. European Journal of Population, 34(3), 387–411.CrossRef
Zurück zum Zitat Roeters, A., & Gracia, P. (2016). Child care time, parents’ well-being, and gender: Evidence from the American time use survey. Journal of Child and Family Studies, 25, 2469–2479.CrossRef
Zurück zum Zitat Schmitz, S. (2020). The impact of publicly funded childcare on parental well-being: Evidence from cut-off rules. European Journal of Population, 36(2), 171–196.CrossRef
Zurück zum Zitat Schober, P., & Schmitt, C. (2017). Day-care availability, maternal employment and satisfaction of parents: Evidence from cultural and policy variations in Germany. Journal of European Social Policy, 27(5), 433–446.CrossRef
Zurück zum Zitat Schober, P. S., & Stahl, J. F. (2016). Expansion of full-day childcare and subjective well-being of mothers: Interdependencies with culture and resources. European Sociological Review, 32(5), 593–606.CrossRef
Zurück zum Zitat Schüller, S., & Steinberg, H. S. (2022). Parents under stress: Evaluating emergency childcare policies during the first COVID-19 lockdown in Germany. Labour Economics, 78(102217), 1–19.
Zurück zum Zitat Sevilla, A., & Smith, S. (2020). Baby steps: The gender division of childcare during the COVID-19 pandemic. Oxford Review of Economic Policy, 36(S1), S169–S186.CrossRef
Zurück zum Zitat Solon, G., Haider, S. J., & Wooldridge, J. M. (2015). What are we weighting for? Journal of Human Resources, 50(2), 301–316.CrossRef
Zurück zum Zitat Steinbach, A., & Schulz, F. (2022). Stability and change in German parents’ childcare patterns across two decades. Social Politics: International Studies in Gender, State & Society, 29(2), 428–445.CrossRef
Zurück zum Zitat Steinmayr, R., Paschke, P., & Wirthwein, L. (2022). Elementary school students’ subjective well-being before and during the COVID-19 pandemic: A longitudinal study. Journal of Happiness Studies, 23(6), 2985–3005.CrossRef
Zurück zum Zitat Tan, W. (2021). School closures were over-weighted against the mitigation of COVID-19 transmission: A literature review on the impact of school closures in the United States. Medicine, 100(30), e26709.CrossRef
Zurück zum Zitat Vicari, B., Zoch, G., & Bächmann, A.-C. (2022). Childcare, work or worries? What explains the decline in parents’ well-being at the beginning of the COVID-19 pandemic in Germany? Journal of Family Research, 34(1), 310–332.CrossRef
Zurück zum Zitat Viner, R., Russell, S., Saulle, R., Croker, H., Stansfield, C., Packer, J., et al. (2022). School closures during social lockdown and mental health, health behaviors, and well-being among children and adolescents during the first COVID-19 wave: A systematic review. JAMA Pediatrics, 176(4), 400–409.CrossRef
Zurück zum Zitat Volkert M, Haas G-C, Zins S, Bellmann L, Dummert S, Hensgen S, et al. (2021a) Dokumentation und Codebuch für das Hochfrequente Online Personen Panel „Leben und Erwerbstätigkeit in Zeiten von Corona“ (IAB-HOPP, Welle 1–7). FDZ-Datenreport, 04/2021 (de). Nürnberg: Institute for Employment Research (IAB). Available from: https://doi.org/10.5164/IAB.FDZD.2104.de.v1 (Accessed 16 September 2022).
Zurück zum Zitat Volkert M, Haas G-C, Zins S, Bellmann L, Dummert S, Hensgen S, et al. (2021b) “High-frequency Online Personal Panel (IAB-HOPP)”. Research Data Centre of the Federal Employment Agency (BA) at the Institute for Employment Research (IAB). Available from: https://doi.org/10.5164/IAB.HOPP_W01-W07.de.en.v2 (Accessed 16 September 2022).
Zurück zum Zitat Windsteiger, L., Ahlheim, M., & Konrad, K. A. (2022). Curtailment of civil liberties and subjective life satisfaction. Journal of Happiness Studies, 23(5), 2157–2170.CrossRef
Zurück zum Zitat Zamarro, G., & Prados, M. J. (2021). Gender differences in couples’ division of childcare, work and mental health during COVID-19. Review of Economics of the Household, 19(1), 11–40.CrossRef