Zum Inhalt

Who (Really) Wins with Basic Income: Personality and Values as Predictors of Happiness Trajectories

  • Open Access
  • 01.01.2025
  • Research Paper
Erschienen in:

Aktivieren Sie unsere intelligente Suche, um passende Fachinhalte oder Patente zu finden.

search-config
loading …

Abstract

Die Studie untersucht, wie Persönlichkeitsmerkmale und persönliche Werte das Glück von Empfängern von Grundeinkommen über ein Jahr beeinflussen. Mithilfe eines longitudinalen Designs untersucht die Studie Lebenszufriedenheit und Veränderungen des Wohlbefindens und zeigt, dass bestimmte Persönlichkeitsmerkmale und Werte Schwankungen in der Zufriedenheitskurve vorhersagen können. Die Ergebnisse tragen zum Verständnis interindividueller Unterschiede bei der Anpassung an wichtige Lebensereignisse wie den Bezug eines Grundeinkommens bei und bieten Einblicke in die psychologischen und sozialen Auswirkungen dieser Politik.

Publisher's Note

Springer Nature remains neutral with regard to jurisdictional claims in published maps and institutional affiliations.

1 Introduction

Research on adaptation to major life events shows that personality and personal values are related to changes in happiness. As far as we can say, there exist interindividual differences that allow certain people to more easily adapt to change (for a meta-analysis, see Luhmann et al., 2012). Yet, our understanding of the impact of life events on happiness in accordance with people’s personality or values is still incomplete. Due to a lack of studies on the impacts of Universal Basic Income (UBI), we have chosen to look at basic income payments as one such life-changing event. It might very well be associated with happiness of recipients in various and unexpected ways while it is accompanied by, for example greater financial security, wider freedom of choice regarding the consumption of goods or services, supply of labor, or enhanced resources for education. However, against the backdrop of a performance-oriented society, basic income might also be perceived as a burden at first glance, because individuals have been socialized to earn money instead of receiving it as a gift.
As opposed to other life events such as marriage, birth, retirement, unemployment, divorce, or death, UBI is not automatically accompanied by challenging social issues or a new role distribution. Therefore, results of other fields are only transferable to a very limited extent. Furthermore, in contrast to a lottery win, it does not drastically change one’s life: UBI means regular payments of an amount of money that is just sufficient to cover normal living costs. As such, it is one of the most popular candidates for an alternative social security system with regard to poverty prevention in Western societies. Moreover, various sciences and fields, including social policy, philosophy, economics, and a growing community of psychologists are currently debating its potential utility. There exist few empirical studies focused on psychological effects of UBI (for an overview, see Gibson et al., 2020). In fact, we are not yet able to quantify the impact of UBI on happiness in dependence of interindividual differences. Will people with particular interindividual differences benefit or suffer from UBI payment over the period of one year in special ways? To our knowledge, no empirical study so far has investigated this question, likewise from a longitudinal perspective. To close this gap, we focused the trajectories in life satisfaction and well-being during basic income payment under consideration of a) personality traits and b) personal values of individuals. The question that was not investigated in the current study is the trajectory compared to a control group, as this was not available. We combine several fields of research by investigating personality psychology, positive psychology, and societal issues of basic income and deepen the understanding of interindividual differences that might be related to trajectories of happiness due to and during basic income payment.

1.1 Basic Income and Happiness

There are many different definitions of UBI. We follow the understanding of Hoynes and Rothstein (2019), who determined three key features of UBI: a sufficient and generous cash benefit that covers a living without other earnings, independence of amount and duration of other incomes, and the availability for a wide population rather than the concentration on a particular group that tends to neediness. It is called “universal” because it is paid to all usual residents of a community, region or country. In fact, it must be acknowledged at this point that the selective and temporary design of our study lack this universal character. We decided to use the term basic income when referring to our study.
Only a few studies have investigated the influence of basic income on happiness so far. For example, one Finnish experiment on a randomized controlled trial of long-term unemployed has shown significantly higher levels of general life satisfaction as well as less distress and depression among people receiving basic income (Kangas et al., 2021). In a study conducted in Kenya, unconditional cash transfers given to the poorest of the population, increased subjective well-being, besides other outcomes (Haushofer & Shapiro, 2016). In western countries, for example in the Netherlands (Roosma, 2022), Spain (García, 2022; Sekulova et al., 2023), or Canada (Ferdosi & McDowell, 2020), projects have been restricted to samples from socially disadvantaged environments and concentrate on participants of low socioeconomic status. Therefore, their results have been shown to apply to issues of welfare assistance, but not to wider populations more generally.
Overall, income is associated with happiness (Frijters et al., 2004; Schyns, 2001; Sirgy, 2021). Utilizing longitudinal cross-lagged models, Mund et al. (2021) found strong evidence supporting a positive directional effect of income on life satisfaction, but not the other way around. Clark et al. (2008) in an economic literature review focusing on subjective well-being data from various countries, confirmed that an increase in individual income leads to an increase in well-being, up to a certain income level where subjective well-being levels off (Diener & Seligman, 2009; Helliwell, 2003; Pinquart & Sörensen, 2000). Similarly, research on well-being and wealth has suggested that a sufficient amount of money is a necessary but insufficient condition for well-being (Diener & Biswas-Diener, 2011; Kesebir & Diener, 2008). This indicates that once a moderate level of affluence is attained, income increases no longer contribute significantly to addressing personal needs. This point of satiation seems to vary across nations (Jebb et al., 2018). Conversely, inadequate financial security and resulting economic stress has been shown to pose a significant threat to happiness (Pinquart & Sörensen, 2000). For individuals experiencing this, acquiring additional income ensures access to commercial goods, social status, diverse leisure options, a sense of personal control, and unique opportunities to make meaningful contributions to society, all of which have been found to contribute to happiness (Clark et al., 2008; Diener & Biswas-Diener, 2011; Pinquart & Sörensen, 2000).

1.2 Changeability and Influences on Happiness

Many attempts have been made to understand what influences happiness and if it might be accomplished volitionally. The term happiness is commonly used to describe a specific pleasant state, mostly synonymous with subjective well-being (Kesebir & Diener, 2008). Subjective well-being has been found empirically to consist of two distinct components, usually referred to as cognitive and emotional well-being (Diener, 1984; Eid & Randy, 2008). The cognitive component covers the evaluation of life satisfaction, and the emotional component refers to positive and negative affect. These components have been described as related yet distinct factors for measures of subjective well-being (Arthaud-day et al., 2005; Lucas et al., 1996). Another distinction was made with the tripartite model of well-being differing between emotional (or subjective) well-being, psychological and social well-being. This has been empirically corroborated in several studies (Gallagher et al., 2009; Keyes, 2005; Kokko et al., 2013). In this understanding, emotional well-being captures happiness and life satisfaction, psychological well-being manifested as one’s attempt at self-actualization and personal growth (Ryff, 1989), and social well-being (Keyes, 1998) as one’s determination in social tasks and encounters. We refer to well-being as the emotional component and to life satisfaction as the cognitive component.
Hence, longitudinal studies typically report moderate general stability in happiness on the whole (Eid & Diener, 2004; Lucas & Donnellan, 2007). Studies that take the components separately, however, have revealed inconsistencies for happiness across the lifespan. Whereas cognitive judgements of life satisfaction have tended toward stability in adulthood and resistance to situational influence (Diener & Larsen, 1984; Diener et al., 2006; Fujita & Diener, 2005; Lucas et al., 2004), the emotional components of well-being have been revealed to be much more vulnerable to change and fluctuation (Chow et al., 2005; Diener & Larsen, 1984). A meta-analysis by Anusic and Schimmack (2016) found that, for both components, the rank-order stability with increasing time intervals shows an asymptotic course that levels off at around r = 0.30 in retest correlation.
Studies addressing the influence of major life events on happiness have shifted in their approaches over the decades. For a long time, the prevailing idea was that life events influence happiness to a certain degree, unless individuals adapt or habituate quite rapidly and return to a similar level regardless of the new circumstances (Brickman et al., 1978; Diener et al., 2006; Headey & Wearing, 1989). For example, set point theory was determining in this research context (Lykken & Tellegen, 1996). Based on the observation that people tend to revert to a baseline of happiness within a relatively short time after experiencing a positive or negative life event, a set point in life satisfaction and well-being was assumed for each individual. This was strongly supported by the Easterlin Paradox in economic life domains, i.e., the observation that people who become financially better are temporarily happier but soon habituate (Easterlin, 1974). Approaches that led in this direction were revised in their general validity by a number of studies (Diener et al., 2006; Headey et al., 2010; Luhmann et al., 2012; Yap et al., 2012). These more recent studies have shown rather that adaptation to life events might indeed proceed slowly over years, and in some cases, the process of adaptation is never completed. In addition to the research mentioned so far, studies that evaluated a variety of interventions that deliberately tried to increase well-being and mental health showed significant improvements for some intervention types (van Agteren et al., 2021).
In summary, research results have so far delivered evidence that happiness is indeed changeable. Additionally, however, evidence suggests that people adapt differently to life events and therefore vary in stability and change of their happiness, according to interindividual differences (Diener et al., 2006; Lucas, 2008; Luhmann et al., 2021).

1.3 Personality and Happiness

For several decades, researchers have investigated whether there exists a happy personality. A large body of research has documented that the Big Five traits are associated with happiness. Most studies have found neuroticism and extraversion to be the key predictors for happiness (for an overview, see Larsen & Prizmic, 2008). In general, higher neuroticism is associated with lower life satisfaction, less well-being, and negative affect (Costa & McCrae, 1980; DeNeve & Cooper, 1998; Diener et al., 2003; Larsen & Ketelaar, 1991; Luhmann & Eid, 2009; Steel et al., 2008). Higher extraversion, on the other hand, relates to higher life satisfaction, more well-being, and positive affect (Costa & McCrae, 1980; DeNeve & Cooper, 1998; Lucas, 2008; Lucas & Fujita, 2000; Steel et al., 2008; Vaidya et al., 2002). In addition to the common results shown for neuroticism and extraversion, DeNeve and Cooper (1998) reported in their meta-analysis positive associations between openness to new experiences, agreeableness, and conscientiousness with various components of happiness. Conscientiousness seems to play a very important role as empirical results indicate that conscientious people generally achieve higher levels of education (Poropat, 2009), professional success (Barrick & Mount, 1991; Judge et al., 1999), higher incomes (Sutin et al., 2009), and are less likely to experience divorce, unemployment, or poor health (Roberts et al., 2007). Therefore, it is more likely for conscientious people to be satisfied with their lives (DeNeve & Cooper, 1998). Meanwhile, agreeableness and openness to new experience have proven much more ambivalent with regard to changes in well-being (Hill et al., 2014).
Less consistent research results can be derived from the relation between personality traits and happiness under changing life conditions so far (Luhmann & Eid, 2009; Yap et al., 2012). Particularly for changes in well-being accompanying shifts in income, Soto and Luhmann (2013) reported a moderating role of neuroticism on life satisfaction due to income increases. People with higher expressions in neuroticism reported even greater life satisfaction gains upon receiving an income increase than their emotional stable peers; meanwhile, those neurotic individuals also suffered more in terms of life satisfaction correspondingly due to income decreases. In contrast, Syrén et al. (2020) found no evidence for the moderating role of neuroticism in the relation between monthly income and different facets of well-being (mental, emotional and psychological), but reported mediation effects of neuroticism in the relation of income and social well-being, that is one’s determination in social tasks and encounters.
In another study by Boyce et al. (2010), conscientious people obtained more well-being in case of income increases, and on the contrary, they were suffering from unemployment in terms of life satisfaction. Therefore, we propose taking into account changes in happiness in view of the Big Five personality traits during basic income payment. Another component we consider are personal values.

1.4 Values and Happiness

Values have been defined as cognitive representations of desirable, abstract, and enduring goals which motivate actions (Roccas et al., 2002; Schwartz, 1992, 2012). The most striking distinction between traits and values concerning their content comes down to “what people are like” versus “what people consider important” (Roccas et al., 2002). While some traits and values are related to each other, they are distinct constructs (Parks-Leduc et al., 2015). Schwartz’ Theory of Basic Human Values (Schwartz, 1992) is the most influential to date and has widely confirmed ten values that can be recapped into four higher-order values (Sagiv & Schwartz, 1995; Schwartz, 2012). These are self-transcendence (universalism and benevolence), self-enhancement (achievement and power), openness to change (stimulation, self-direction, hedonism), and conservation (tradition, conformity, and security). The general idea is that people differ in activities they find satisfying or not depending on their expressions in the ten values (Oishi et al., 1999a, b). Various perspectives have emerged in accordance with the connections between these separate values and happiness (Sagiv et al., 2004, 2015), namely the healthy values point of view, value-oriented living or goal attainment, and the matching perspective.
The healthy values perspective assumes values to exist that directly enhance happiness, whereas others inhibit happiness. This view is strongly related to Self-Determination Theory. Therein, intrinsic values (e.g., finding skill development important, building strong bonds, taking on social responsibility) are oriented toward personal development and growth (Kasser, 2016; Kasser & Ryan, 1996), while external value alignment (e.g., striving for power, financial success, and status) emerges in response to negative events or when personal growth gets actively blocked (Deci & Ryan, 2000). Studies have found positive associations between components of happiness and the healthy growth-oriented values stimulation, self-direction, hedonism, and benevolence (Bobowik et al., 2011; Fetvadjiev & He, 2019; Grosz et al., 2021; Sortheix & Lönnqvist, 2014). Although the association between healthy values and well-being is mostly consistent, some studies also reported contrary results, for example, stronger reverse effects from well-being to values (Fetvadjiev & He, 2019) or no longitudinal linkages at all (Joshanloo, 2021).
A second perspective is value-oriented living and its promotion of mental health (Ostermann et al., 2017), that is, living according to one’s personal values and realizing one’s own goals. This perspective focuses on the degree to which important individual values are attained. In a German sample, Ostermann et al. (2017) distinguished between the importance and realization of personal values and implemented a measurement of realization in their study. They identified the realization of the openness-to-change values stimulation and hedonism as significant predictors for enhanced mental health and higher levels of life satisfaction. In another study, Brunstein et al. (1998) found a positive moderating effect of motive-congruent goals on well-being by differing between goal commitment and goal attainability, whereas the effect of motive incongruent goals on well-being was negative.
Besides this, the matching perspective as a third approach considers people’s personal values to fit values in the external environment and therefore suggests that congruence of both internal and external factors are crucial for well-being. On the contrary, dissonance between personal values and prevailing context causes dissatisfaction. The idea is based on the person-environment fit perspective (e.g., Kaplan, 1983; van Vianen, 2018). The evidence of matching perspective derives from different studies (Oishi et al., 1999a, b; Sagiv & Schwartz, 2000).
Hence, past research found evidence for all these perspectives, so each could be interesting in basic income context in particular. According to healthy values, there might exist some values that show associations with growth in happiness during basic income payment because they are important to people and basic income might help to easier attain (e.g., hedonism or stimulation due to greater freedom in spending behavior). There might also be values that fit the basic income context better, for example, in line with a recipient’s belief about inequalities, lifestyle, or self-determination, and therefore trajectories in happiness develop in a positive way. On the other side, some values might inhibit trajectories in happiness due to people’s desirable goals standing in contrast to what basic income implies. Although different perspectives might be useful in classifying and interpreting our findings, it is not our scope and lies beyond our possibilities to conclusively establish their plausibility, or vice versa.
To sum up, empirical studies have addressed the debate regarding associations between personality traits respectively personal values and happiness. Overall, they have led to inconsistent findings for both of our predictors. Therefore, we intend to examine personality traits and personal values and their influences on trajectories in life satisfaction and well-being in our study of basic income recipients, and we do this in an exploratory way.

1.5 The Current Study

The question of whether trajectories in life satisfaction and well-being relate to individuals’ personality traits or personal values deserves further investigation given the paucity of previous studies on this topic. This study aims to provide first insights into empirical data of basic income recipients and asks whether there are people who benefit (or suffer) in a special way in their trajectories of life satisfaction and well-being while receiving 1,000 Euros per month for the duration of one year as part of a basic income lottery. Based on their interindividual differences, namely on personality traits and personal values, we examine the role of these typical happiness predictors vis-à-vis basic income. We want to investigate in whether there is a relation between personality traits or personal values and happiness. More specifically, we posed two general research questions:
Do personality traits predict changes in happiness?
Do personal values predict changes in happiness?
We will control for the effects of demographics age, gender, and education. Age in general is associated with well-being (Argyle, 2001; Becker & Trautmann, 2022; Blanchflower & Oswald, 2008). Whereas some research indicates a slightly to no increase throughout lifespan (Argyle, 2001; Diener et al., 1999), new work reports a U-shape with a minimum of happiness levels in middle age (Blanchflower & Oswald, 2008). Therefore, we consider age as a covariate as it might be confounded with the dependent outcomes.
UBI is considered to favor women as it might fill the income gap and protect against poverty, especially in easing the situation of women due to the expanding opportunities to balance childcare duties and work (McKay et al., 2023). In contrast, some see women incentivized for traditional caring tasks (Robeyns, 2008). Some empirical evidence leads in the direction that an universal empowering effect on individual capacities and confidence in different areas of life can be observed (Kangas & Ylikännö, 2023). To control for this, we include gender as a covariate.
Education is considered to be linked with well-being (Diener et al., 1999; Witter et al., 1984; Yakovlev, 2012). Desjardins (2008) describes mechanisms for this. These are, at first, the direct link between education and well-being due to capabilities and resources, second the relative position of individuals in society and third that certain effects of education only materialise amongst peers with similar levels of education.

2 Methods

2.1 Sample and Procedure

The sample consisted of 573 participants. All of them were German residents and recipients of basic income given by the crowdfunding association “Mein Grundeinkommen e. V.” (English: My Basic Income Assoc.).1 The association ran a lottery every month. Therein, approximately 20 people were randomly selected out of a pool of voluntarily registered persons. The number of people participating in the first survey varied between nine and 46 adult recipients per cohort and was dependent on two uncontrollable events during data collection. First, the number of people who were selected relied on the previous funding of the association’s community. Second, children who won – while allowed to register online at their parents’ will – were excluded from the survey.
Each participant received 1,000 Euros per month for the duration of one year via cash transfer to their bank account. There were no exclusion criteria for the registration, although people receiving social security (named “Hartz IV” in Germany) were advised to register with a cooperating administrative body, because receiving any additional income would lower their already meager social welfare payments. Data collection was operated between October 2019 and October 2022. The sample size was only determined by the financial means that were available for the lottery, but we did not limit or enhance sample size during this period. We reported all data exclusions (not applicable), all manipulations (not applicable), and all measures in the study.
The study was designed as web-based panel study. Participants were invited from the association via email on four different occasions, of which we analyzed three waves according to the research question. These were before the payment after people were informed about the win (wave 1), in month 6 during payment (wave 2), and finally in month 12 at the time nearing the end of the payment (wave 3).
Due to the commitment of the participants to the research topic, the response rate was high with 74.1% in wave 1, 71.5% in wave 2, and 54.3% in wave 3, respectively. To further ensure a high response rate, we incentivized participation by offering a personality test with included feedback of a personal profile, made available after completion of the last survey.
Descriptive statistics for the researched variables and demographics are displayed in Table 1. Mean age was M = 39.11 (SD = 13.12) at wave 1; M = 39.59 (SD = 13.37) at wave 2; M = 41.01 (SD = 12.92) at wave 3. Gender status differed between the waves (56.4% female, 43.6% male, no nonbinary gender at wave 1; 57.6% female, 42.0% male, 0.5% nonbinary gender at wave 2; 58.0% female, 42.0% male, no nonbinary gender at wave 3). Among the participants of our study, only one person had no high school diploma at wave 1, few had absolved an apprenticeship (21.9%), while most held an academic degree (41.6%). For further descriptives, see the Supplementary Material (https://osf.io/5nhkx/?view_only=f4b21f16429c4bd5a0fb6d54bda5cba8). The raw data sample is published via https://doi.org/10.18452/28129.
Table 1
Descriptives
Study variables at wave 1
M or n
SD or %
Age
39.11
13.12
Female gender
292
56.4%
Education:
No graduation
1
0.2%
Lower secondary school certificate
16
3.1%
Secondary school certificate
56
10.8%
High school graduation (Abitur)
110
21.3%
Apprenticeship
113
21.9%
Academic degree
215
41.6%
PhD
6
1.2%
Income (excluding basic income):
 < 900 €
121
23.6%
901–1,300 €
98
19.1%
1,301–1,500 €
52
10.2%
1,501–2,000 €
83
16.2%
2,001–2,600 €
83
16.2%
2,601–3,200 €
43
8.4%
3,201–4,500 €
23
4.5%
4,501–6,000 €
8
1.6%
 > 6,000 €
1
0.2%
Minor household members:
None
360
70.3%
1
79
15.4%
2
66
12.9%
 > 2
7
1.4%
N = 573
Our sample is comparable to the German population. It consists of a slightly larger proportion of women (sample 56.5%, population 50.7%; Destatis, 2021) and it is younger than the average of the German population in 2021 (39.1 years vs. 44.7 years; Destatis, 2024). Furthermore, it is difficult to compare education level with official survey data for several reasons. First, data collection of the German Federal Statistical Office (Destatis, 2021) started at the age of 25 years, our sample captures people from the age of majority.
Second, we simply asked for the highest education with a mixture of general graduation and vocational qualification. In contrast, statistical surveys distinguish between these categories. At least, we could compare marginal categories with data provided by the German Federal Statistical Office (Destatis, 2021) and those who are over 25 years of age. Among these, less people of our sample have no graduation (sample 0.2%, population 4.1%), less absolved an apprenticeship (sample 21.7%, population 61.5%), more have a graduate degree (sample 43.8%, population 18.5%), and the quota of PhD is the same (both 1.3%). Due to the higher rate of graduated participants in our study, we seem to assess higher educated people of the German population.

2.2 Measures

Measurements in this study were administered in three waves. For an overview of the included items and metrics, see Appendix Table 6. For reasons of survey effectiveness we decided to give preference to commonly validated short scales. Due to language reasons, the research group translated the scale from English to German in collaboration with a bilingual expert if no German version was available.
Life satisfaction was assessed at every measurement occasion by a single item with L1 (Beierlein et al., 2014) with the question “All things considered, how satisfied are you with your life these days?” Respondents answered on an 11-point rating scale, ranging from 0 – not at all satisfied to 10 – absolutely satisfied. Mean scores ranged from M1 = 6.16 (SD1 = 1.85), M2 = 6.83 (SD2 = 1.86), to M3 = 6.81 (SD3 = 1.93). Rank order stability differed from r12 = 0.42, r23 = 0.46, to r13 = 0.31.
Well-being was measured at every measurement occasion with the WHO-5 Well-Being Index (Brähler et al., 2007, for an English version, see Topp et al., 2015) with five items on a 6-point rating scale from 1 – not at any time to 6 – all the time. They included descriptions of one’s emotional state in the last two weeks (ω = 0.86 at wave 1, ω = 0.85 at wave 2, and ω = 0.87 at wave 3).
The Big Five domains on personality traits were measured in wave 1 and wave 3 following the personality dimensions outlined by Goldberg (1990) and using the German version of BFI-S by Schupp and Gerlitz (2014). The scale includes 15 items, three for each dimension of Neuroticism, Extraversion, Openness, Agreeableness, and Conscientiousness. The items on the description of oneself are answered on a 6-point rating scale from 1 – does not apply at all to 6 – applies fully. Retest reliability (r13) was 0.74 for neuroticism, 0.81 for extraversion and openness, 0.75 for agreeableness, and 0.67 for conscientiousness.
Personal values were assessed at every measurement occasion with a short version of Schwartz’s Portraits Value Questionnaire (Schmidt et al., 2007, for an English Version, see Schwartz, 2003). Each item was introduced with the wording “How much like you is this person?” followed by a person’s description. Answers ranged from 1 – not like me at all to 6 – very much like me. For reasons of survey length and priority of other items, we used 15 out of 21 items to assess seven of ten personal values (self-direction, power, universalism, achievement, stimulation, hedonism, benevolence). Therefore, we did not assess the higher order dimension “conservation”, which contains the scales conformity, tradition, and security. In contrast to the original version of the questionnaire, we used a gender-neutral version to address everyone regardless of gender. Retest reliability was calculated with Heise’s path analytic formula, while three time points were observed (Heise, 1969; McCrae et al., 2011) and indicated reliability estimates of 0.67 for self-direction, 0.62 for power, 0.87 for universalism, 0.70 for achievement, 0.71 for stimulation, 0.79 for hedonism, and 0.69 for benevolence.
All covariates were treated as time-invariant with measurements from the first wave. We controlled for age, gender, and education. The age of a person was assessed as continuous variable. Gender status was measured with the three categories “male,” “female,” or “nonbinary”, and education was assessed with seven categories of formal education, indicating higher education status according to the number of years spent for education.

2.3 Data Analyses

All descriptive statistics, mean level differences, and rank-order stabilities of the assessed scales were estimated (see Table 2). Correlations among the observed variables are summarized in Appendix Table 7. To examine longitudinal changes in life satisfaction and well-being, we fit Latent Growth Curve Modeling (LGCM, McArdle & Grimm, 2010; Meredith & Tisak, 1990) in R with the lavaan package (Rosseel, 2012). LGCM estimate growth trajectories by modeling an increase or decrease over time. They consist of two latent factors reflecting the initial level represented by an intercept factor, and a change factor represented by the slope. The LGCM for the measures of life satisfaction and well-being were estimated separately. Script files can be found in the online Supplementary Material.
Table 2
Means, standard deviations, effect sizes, and rank-order stability of the scales
Scales
Wave 1
 
Wave 2
 
Wave 3
 
Effect size
 
Rank-order stability
 
M
SD
 
M
SD
 
M
SD
 
d12
d23
d13
 
r12
r23
r13
Life satisfaction
6.16
1.85
 
6.83
1.86
 
6.81
1.93
 
.40
-.02
.36
 
.42
.46
.31
Well-being
3.44
0.92
 
3.78
0.89
 
3.85
0.93
 
.41
.02
.48
 
.34
.40
.22
Neuroticism
4.35
1.24
    
4.23
1.25
   
-.26
   
.74
Extraversion
4.62
1.28
    
4.56
1.26
   
.04
   
.81
Openness
5.04
1.24
    
5.09
1.22
   
.02
   
.81
Agreeableness
5.39
0.95
    
5.36
0.87
   
-.14
   
.75
Conscientiousness
5.36
0.98
    
5.42
0.84
   
-.03
   
.67
Self-Direction
4.61
0.93
 
4.73
0.92
 
4.67
0.87
 
.22
-.14
.00
 
.67
.68
.68
Power
2.92
1.04
 
2.90
1.03
 
3.05
1.05
 
.02
.20
.26
 
.67
.66
.71
Universalism
5.04
0.73
 
5.05
0.76
 
5.02
0.75
 
.00
-.07
-.11
 
.69
.72
.57
Achievement
3.59
1.18
 
3.58
1.16
 
3.58
1.16
 
-.01
.06
.06
 
.71
.69
.70
Stimulation
3.35
1.12
 
3.41
1.14
 
3.40
1.18
 
.11
.04
.11
 
.72
.68
.69
Hedonism
3.82
1.13
 
3.92
1.14
 
3.91
1.14
 
.14
.02
.20
 
.72
.75
.68
Benevolence
5.13
0.71
 
5.11
0.75
 
5.08
0.72
 
-.09
-.08
-.13
 
.61
.66
.58
N ranges from 208 to 532. Values of d-coefficients indicate standardized mean-level differences between measurement points. All stability coefficients are significant on p < .01
First, we specified changes in life satisfaction and well-being as latent outcomes. Therefore, we created a linear and a nonlinear latent growth models with fixed loadings for both the intercept and the slope. These models were assumed to reconstruct the shape of the empirical data. We tested these models against intercept-only models wherein modeling growth was omitted. After establishing the better fitting model between the intercept only model, linear growth, or nonlinear growth, we added the predictors and covariates. For purposes of interpretation, we included age as mean-centered variable in the LGCMs. Overall fit of the models was determined using the Comparative Fit Index (CFI), the Standardized Root Mean Square Residual (SRMR), and the Root Mean Square Error of Approximation (RMSEA) with 90% confidence interval. We considered models with CFI values > .95, SRMR < .08 in combination with a maximum upper bound of the RMSEA’s 90% confidence interval of < .08 to have good fit (Beauducel & Wittmann, 2005; Heene et al., 2011; Hu & Bentler, 1999). The likelihood ratio χ2 statistic is also reported for the sake of completeness. Model comparison was furthermore based on the Bayesian Information Criterion (BIC) difference (Raftery, 1995). For interpreting the significance of the predictors, we set the alpha level at .01 to reduce type I errors. Further, we provide corrected p-values using False Discovery Rate procedure (FDR, Benjamini & Hochberg, 1995) to address the problem of multiple comparison.
We tested for factorial invariance to ensure that the multi-item constructs of well-being remained the same over time. We reached strict invariance for well-being (see the online Supplementary Material). We did not exclude people with missing longitudinal data, because excluding this group would lead to sample selectivity, distort the representativeness, and limit the generalizability of the results. Missing data were accommodated using Full Information Maximum Likelihood FIML; Enders, 2001), which takes all available information into account and is recommended for SEM models.

3 Results

As can be seen in Table 3, the models from LGCM adequately fit the data. The only exception from this was the intercept-only model. We continue with the interpretation of the models that fit the data well.
Table 3
Fit Indices for Latent Growth Curve Models
Model
Fit Indices
RMSEA (90% CI)
SRMR
CFI
BIC
χ2 (df)
Life satisfaction
Intercept only
.134[.106, .163]
.118
0.508
4721.85
67.095 (6)
Linear growth model
.092[.054, .136]
.062
0.883
4691.29
17.505 (3)
Nonlinear growth model
.032[.000, .084]
.033
0.986
4678.56
4.766 (3)
Personality model
.000[.000, .041]
.019
1.000
3862.79
6.216 (8)
Personality model with covariates
.000[.000, .040]
.017
1.000
3242.04
9.707(11)
Values model
.042[.013, .069]
.024
0.934
3822.30
20.002(10)
Values model with covariates
.039[.013, .063]
.021
0.930
3207.41
24.407(13)
Well-being
Intercept only
.144[.117, .174]
.133
0.145
3104.66
77.113 (6)
Linear growth model
.073[.033, .118]
.055
0.890
3058.69
12.116 (3)
Nonlinear growth model
.036[.000, .086]
.035
0.974
3051.75
5.170 (3)
Personality model
.000[.000, .046]
.019
1.000
2228.79
7.284 (8)
Personality model with covariates
.000[.000, .031]
.014
1.000
1609.16
7.418(11)
Values model
.023[.000, .042]
.017
1.000
2190.68
9.014(10)
Values model with covariates
.000[.000, .030]
.014
1.000
1575.37
9.230(13)
N = 570. Rejected models were in

3.1 Trajectories of Life Satisfaction and Well-Being

We investigated in the trajectories of happiness during basic income payment and conducted Latent Growth Curve Models to determine whether life satisfaction and well-being were changing over time. Loadings on the slope were fixed at zero for T1 and at one for T2 and T3 in the nonlinear growth models. Besides this, we tested linear growth models with loadings of zero at T1, one at T2, and two at T3, respectively. The linear growth models did not fit the data well. As a second, we included predictors and covariates of T1 into the models to estimate their predictive value on growth during basic income payment.
Overall, we did observe changes in life satisfaction and well-being. The nonlinear Latent Growth Curve Model of life satisfaction fits the data (SRMR = .033, RMSEA = .032, RMSEA 90% CI = [.000, .084], CFI = 0.99), significantly better than the intercept-only model according to the likelihood ratio test and BIC difference (χ2Diff (df) = 62.329 (3), p < .000, Δ BIC = 43.30). The same occurred for the intercept-only and nonlinear growth models of well-being (SRMR = .035, RMSEA = .036, RMSEA 90% CI = [.000, .086], CFI = 0.97; χ2Diff (df) = 71.944 (3), p < .000, Δ BIC = 52.90).
In the nonlinear growth model with fixed slope loadings of zero at T1, and one at T2 and T3, the average level of life satisfaction at the initial level was 6.147 (SE = 0.081, p < .001), and slope mean was 0.701 (SE = 0.093, p < .001). The intercept variance suggests significant individual differences in initial levels of life satisfaction (b = 1.567, SE = 0.277, p < .001), but no variance in growth was detected (b = 0.649, SE = 0.392, p = .098). For well-being, the initial average level was 3.431, with an increase of 0.382 (p < .001). As with life satisfaction, participants varied significantly in their well-being at the beginning of the study of the nonlinear growth model (b = 0.368, SE = 0.070, p < .001), but they did not show significant variability in the slope parameter (b = 0.202, SE = 0.103, p = .050). Notably, the correlation between intercept and slope was negative, while not statistically significant. Overall, the non-significant slope variances indicate that individuals do not differ in their growth and suggest that the limited inter-individual differences allow weak links to predictors.

3.2 Personality Traits as Predictors of Change

In the next step, we included personality traits in the LGCM nonlinear models. Parameter estimates are shown in Table 4. Slope mean was not significant in the models indicating that no overall change had occurred. For life satisfaction, the personality traits neuroticism (b = -0.450, p < .001) as well as extraversion (b = 0.263, p < .001) predicted initial levels. Additionally, conscientiousness predicted growth in life satisfaction in the model without covariates (b = 0.267, p = .006). This was not significant when adjusting for multiple comparison (padj = .015). When entering the covariates into the model, the effect of conscientiousness completely diminished (p = .012, padj = .042). For well-being, high levels of neuroticism were associated with lower levels of well-being at the beginning of the study (b = -0.267, p < .001). For trajectories in well-being, neuroticism (b = 0.124, p = .002) and openness (b = 0.126, p = .002) were positive predictors of growth, even in the model with covariates. When controlling for multiple comparison, the p-value of neuroticism indicated no significant effect on growth in well-being, so this seems no stable predictor in the well-being model (padj = .014). The slopes of the personality models with covariates are depicted in Fig. 1 for the predicted factor scores of life satisfaction and in Fig. 2 for the predicted factor scores of well-being, with added Loess smooth lines.
Table 4
Coefficients in Latent Growth Curve Analysis of personality models
 
Life satisfaction
Well-being
 
Personality model
Personality model with covariates
Personality model
Personality model with covariates
 
b (SE)
p
padj
b (SE)
p
p adj
b (SE)
p
p adj
b (SE)
p
p adj
Intercept Mean
7.037 (0.729) *
.000
.000
5.527 (0.918) *
.000
.000
4.319 (0.359) *
.000
.000
3.729 (0.452) *
.000
.000
Intercept Variance
1.070 (0.253) *
.000
.000
0.994 (0.250) *
.000
.000
0.239 (0.063) *
.000
.000
0.223 (0.062) *
.000
.000
Slope Mean
-1.910 (0.920)
.038
.063
-1.142 (1.161)
.325
.401
-1.073 (0.466)
.021
.043
-0.745 (0.588)
.205
.304
Slope Variance
0.462 (0.379)
.223
.304
0.437 (0.379)
.249
.396
0.145 (0.100)
.145
.181
0.140 (0.099)
.161
.282
Residual Variance
1.848 (0.176) *
.000
.000
1.849 (0.176) *
.000
.000
0.476 (0.045) *
.000
.000
0.475 (0.045) *
.000
.000
Intercept Part
Neuroticism
-0.450 (0.063) *
.000
.000
-0.437 (0.065) *
.000
.000
-0.267 (0.031) *
.000
.000
-0.255 (0.032) *
.000
.000
Extraversion
0.264 (0.063) *
.000
.000
0.273 (0.062) *
.000
.000
0.071 (0.031)
.023
.043
0.076 (0.031)
.014
.037
Openness
-0.064 (0.064)
.316
.395
-0.071 (0.063)
.264
.396
-0.023 (0.032)
.465
.490
-0.024 (0.031)
.436
.538
Agreeableness
-0.018 (0.081)
.822
.822
0.010 (0.082)
.900
.900
-0.028 (0.040)
.490
.490
-0.007 (0.040)
.858
.890
Conscientiousness
0.051 (0.079)
.517
.554
0.078 (0.079)
.321
.401
0.040 (0.039)
.299
.345
0.064 (0.039)
.101
.193
Age
   
-0.012 (0.006)
.044
.092
   
-0.006 (0.003)
.038
.089
Gender
   
0.282 (0.160)
.076
.133
   
0.215 (0.079)
.006
.018
Education
   
0.152 (0.063)
.016
.048
   
-0.005 (0.031)
.864
.899
Slope Part
Neuroticism
0.192 (0.077)
.013
.028
0.185 (0.080)
.021
.049
0.124 (0.039) *
.002
.005
0.118 (0.041)
.004
.014
Extraversion
-0.175 (0.077)
.022
.041
-0.192 (0.077)
.020
.049
-0.073 (0.039)
.062
.093
-0.075 (0.039)
.054
.113
Openness
0.146 (0.078)
.060
.090
0.149 (0.078)
.055
.105
0.126 (0.040) *
.002
.005
0.126 (0.040) *
.001
.004
Agreeableness
0.075 (0.100)
.451
.520
0.060 (0.101)
.553
.581
0.079 (0.051)
.122
.166
0.066 (0.052)
.198
.304
Conscientiousness
0.267 (0.097)
.006
.015
0.249 (0.099)
.012
.042
0.036 (0.050)
.047
.078
0.022 (0.050)
.661
.771
Age
   
0.007 (0.007)
.301
.401
   
0.004 (0.004)
.274
.360
Gender
   
-0.172 (0.196)
.381
.444
   
-0.124 (0.100)
.217
.304
Education
   
-0.063 (0.077)
.408
.451
   
0.005 (0.039)
.899
.899
Correlation
Intercept x Slope
-.093 (0.246)
.791
 
-.035 (0.244)
.924
 
-.273 (0.064)
.429
 
-.231 (0.064)
.524
 
N = 570. Coefficients are unstandardized estimates. Coding for gender: 1 = female, 2 = male, no nonbinary gender at T1. padj is corrected with FDR
* p adj < .01
Fig. 1
Slope parameter of life satisfaction (Y) in dependence of personality traits (X). Note Underlying model was personality model with covariates. Loess smooth lines were added
Bild vergrößern
Fig. 2
Slope parameter of well-being (Y) in dependence of personality traits (X). Note Underlying model was personality model with covariates. Loess smooth lines were added
Bild vergrößern

3.3 Personal Values as Predictors of Change

The last step of the data analysis was conducted by regressing the personal values and the covariates age, gender and education on the outcomes life satisfaction and well-being. Estimates of coefficients, their standard errors, significance, and correlation between the intercept and slope parameter are displayed in Table 5.
Table 5
Coefficients in Latent Growth Curve Analysis of values models
 
Life satisfaction
Well-being
 
Values model
Values model with covariates
Values model
Values model with covariates
 
(SE)
p
p adj
(SE)
p
p adj
(SE)
p
p adj
(SE)
p
p adj
Intercept Mean
6.030 (0.758) *
.000
.000
4.130.(0.886) *
.000
.000
3.294 (0.378) *
.000
.000
2.515 (0.442) *
.000
.000
Intercept Variance
1.410 (0.269) *
.000
.000
1.313 (0.265) *
.000
.000
0.335 (0.068) *
.000
.000
0.310 (0.067) *
.000
.000
Slope Mean
0.484 (0.892)
.587
.715
1.546 (1.046)
.140
.389
-0.390 (0.457)
.394
.595
0.100 (0.536)
.852
.852
Slope Variance
0.482 (0.384)
.209
.500
0.453 (0.382)
.235
.458
0.163 (0.101)
.107
.290
0.155 (0.101)
.125
.347
Residual Variance
1.853 (0.177) *
.000
.000
1.851 (0.177) *
.000
.000
0.479 (0.045) *
.000
.000
0.478 (0.045) *
.000
.000
Intercept Part
Self-Direction
-0.050 (0.096)
.602
.715
-0.075 (0.096)
.434
.566
-0.040 (0.048)
.407
.595
-0.046 (0.048)
.332
.684
Power
-0.086 (0.099)
.385
.596
-0.105 (0.100)
.290
.459
-0.045 (0.050)
.360
.595
-0.073 (0.050)
.140
.350
Universalism
-0.052 (0.128)
.684
.764
-0.045 (0.126)
.723
.786
-0.001 (0.064)
.988
.988
0.020 (0.063)
.752
.852
Achievement
-0.004 (0.087)
.959
.959
-0.001 (0.088)
.989
.989
-0.013 (0.043)
.766
.910
0.009 (0.044)
.842
.852
Stimulation
0.118 (0.089)
.186
.496
0.105 (0.089)
.236
.458
0.043 (0.044)
.331
.595
0.030 (0.044)
.490
.710
Hedonism
0.306 (0.084) *
.000
.000
0.357 (0.086) *
.000
.000
0.149 (0.042) *
.000
.000
0.156 (0.043) *
.000
.000
Benevolence
-0.134 (0.125)
.283
.538
-0.084 (0.124)
.497
.592
-0.041 (0.062)
.510
.692
-0.014 (0.062)
.814
.852
Age
   
0.007 (0.007)
.277
.459
   
0.003 (0.003)
.430
.686
Gender
   
0.381 (0.165)
.021
.075
   
0.322 (0.082) *
.000
.000
Education
   
0.218 (0.067) *
.001
.004
   
0.026 (0.034)
.439
.686
Slope Part
Self-Direction
0.132 (0.112)
.240
.507
0.151 (0.114)
.185
.458
0.169 (0.058)
.003
.011
0.177 (0.058) *
.002
.008
Power
-0.096 (0.116)
.408
.596
-0.088 (0.118)
.453
.566
0.005 (0.059)
.930
.988
0.018 (0.060)
.771
.852
Universalism
0.011 (0.157)
.943
.959
-0.008 (0.158)
.959
.989
0.117 (0.080)
.143
.340
0.106 (0.080)
.186
.423
Achievement
0.072 (0.100)
.471
.639
0.065 (0.103)
.528
.600
-0.020 (0.051)
.700
.887
-0.035 (0.053)
.511
.710
Stimulation
-0.106 (0.105)
.341
.589
-0.103 (0.106)
.331
.487
-0.051 (0.054)
.344
.595
-0.047 (0.054)
.383
.684
Hedonism
-0.296 (0.100)
.003
.011
-0.331 (0.102) *
.001
.004
-0.094 (0.051)
.066
.210
-0.103 (0.052)
.049
.175
Benevolence
0.204 (0.149)
.171
.496
0.178 (0.150)
.238
.458
-0.003 (0.076)
.972
.988
-0.015 (0.077)
.845
.852
Age
   
-0.007 (0.008)
.367
.510
   
-0.004 (0.004)
.370
.684
Gender
   
-0.208 (0.198)
.294
.459
   
-0.183 (0.101)
.070
.219
Education
   
-0.116 (0.078)
.139
.389
   
-0.021 (0.040)
.605
.796
Correlation
Intercept x Slope
-.155 (0.254)
.616
 
-.095 (0.251)
.770
 
-.402 (0.067)
.162
 
-.363 (0.066)
.231
 
N = 570. Coefficients are unstandardized estimates. Coding for gender: 1 = female, 2 = male, no nonbinary gender at T1. padj is corrected with FDR
* p adj < .01
Similar to the personality models, slope mean was not significant in the values models indicating that no overall change had occurred. For life satisfaction, the positive regression coefficients of the value hedonism (b = 0.357, p < .001) and of the covariate education (b = 0.218, p = .001) indicated that the initial level of life satisfaction was higher for people high in hedonism and for more highly educated people. Growth in life satisfaction was predicted by hedonism at T1 (b = -0.296, p = .003). This was not significant when adjusting for multiple comparison (padj = .011). For well-being, the initial level again was predicted by hedonism (b = 0.149, p < .001). Moreover, we detected a gender effect on the initial level of well-being (b = 0.322, p < .001), indicating that men rather than women reported having greater well-being when entering the study. In contrast to growth in life satisfaction, the personal value of self-direction predicted growth in well-being (b = 0.177, p = .003), but not when controlling for multiple comparison (padj = .011). This effect occurred in the value model of well-being with covariates and remained after p-value correction.
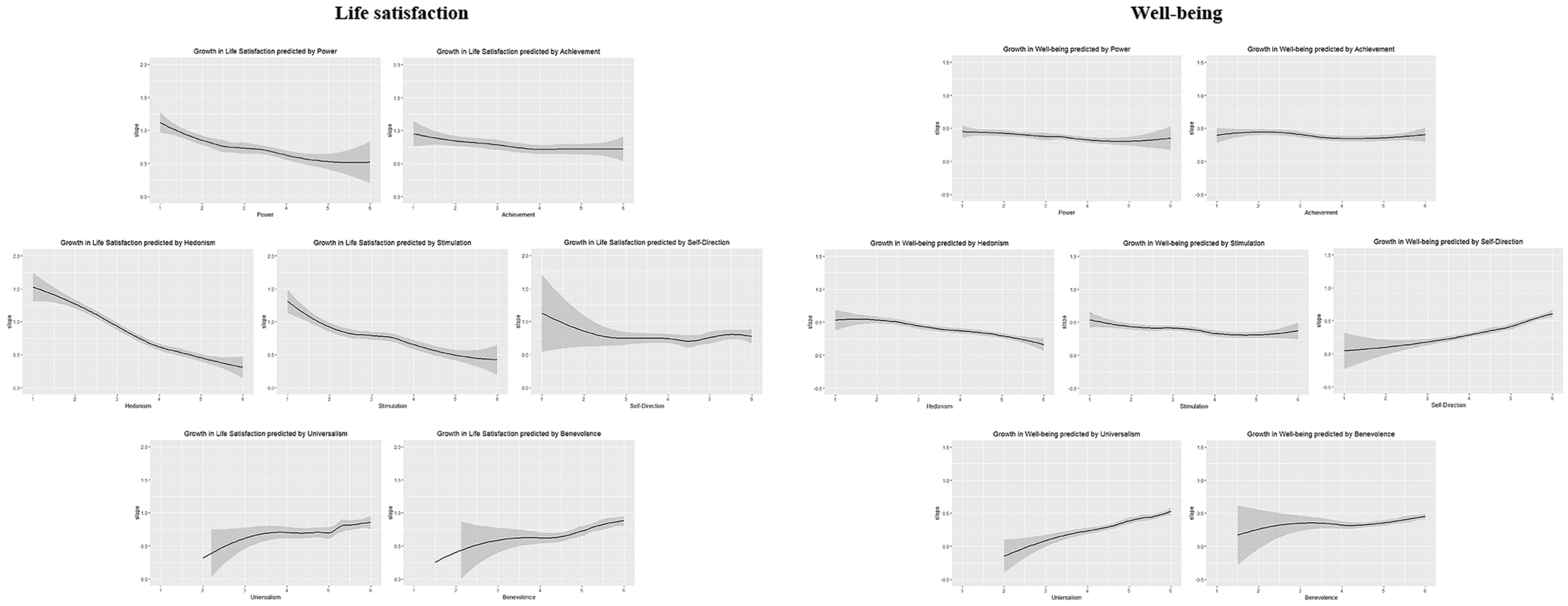
Figure 3 displays the associations between the slope of the outcome and the personal values. None of the covariates predicted growth in well-being. Furthermore, none of the correlations between intercept and slope factor across our models were statistically significant.
Fig. 3
Slope parameter of life satisfaction and well-being (Y) in dependence of personal values (X). Note Underlying models were values models with covariates. Controlled for age, gender, and education. Loess smooth lines were added
Bild vergrößern

4 Discussion

The goal of the present study was to examine trajectories of life satisfaction and well-being during basic income payment and to explore if and how these trajectories are related to personality traits and personal values. Consequently, we sought to explore whether people with certain individual characteristics benefit or even suffer from additional cash payments. Indeed, we found overall growth in life satisfaction and well-being. Furthermore, we found evidence that certain traits and values are related to the growth of happiness in a positive way. Trajectories of life satisfaction and well-being remained almost identical throughout the payment.
Growth in life satisfaction was predicted by the trait conscientiousness and the value hedonism. Growth in well-being was predicted by two traits, neuroticism and openness, and the value of self-direction. However, the effect of conscientiousness on growth in life satisfaction was not robust when correcting for multiple comparisons (FDR procedure) and not when the covariates were added to the model. Additionally, the effect of neuroticism on growth in well-being was not significant in a model with covariates when correcting for multiple comparisons.
After a period of six months, the increases reached a maximum and plateaued until the end of basic income payment. At this point, it should be highlighted that data collection was conducted partially during the pandemic crisis with the often-reported effect of overall decreases in happiness over the same period (Jung et al., 2020; Wang et al., 2020). This, in fact, strengthens the positive effects we found and indicates that the actual growth due to basic income might be underestimated in our study. Unfortunately, we cannot compare our results with a control group. Therefore, we cannot proof the changes in happiness or relations of these changes to be different for people who receive basic income versus for people who do not.
Our results in trajectories of happiness are in line with a variety of studies concerning income and happiness (Clark et al., 2008; Diener & Seligman, 2009; Mund et al., 2021; Sirgy, 2021). One of the common findings is that money is necessary to achieve a certain level of happiness. This finding was confirmed by the results of our study as additional income was accompanied by increases in overall life satisfaction and well-being. Another common finding of the association between income and happiness is that money is insufficient in itself to enhance happiness. This was also corroborated in our study, as happiness did not increase indefinitely.
In summary, our results indicate that basic income might be a major life event that evokes changes in happiness. This is in line with a broad body of research on relation of life events and happiness (Diener et al., 2006; Luhmann et al., 2012; Yap et al., 2012) and some studies in the context of UBI (Haushofer & Shapiro, 2016; Kangas et al., 2021). To further reveal this, we examined our research questions in the light of interindividual differences.

4.1 Growth in Dependence of Personality

Our first research question referred to changes in life satisfaction and well-being during basic income payment in relation to the Big Five personality traits. We found a predictive relation for neuroticism and openness, but conscientiousness, agreeableness and extraversion predicted no changes in happiness due to basic income. The positive effects of the two personality traits that we found can be interpreted in different ways.
First, the effect of neuroticism is in line with results from Soto and Luhmann (2013), who found an effect of income increases on life satisfaction, especially for people scoring higher in neuroticism. Additionally, we can confirm a negative relation of neuroticism to the initial level of well-being that also appeared in our sample and is well examined (e.g., Costa & McCrae, 1980; DeNeve & Cooper, 1998; Diener et al., 2003; Steel et al., 2008). This leaves more room for people high in neuroticism to enhance well-being in general. Both taken together, the lower initial level of well-being and the larger growth given higher neuroticism, we may deliver first empirical insights that the negative association of neuroticism and well-being might be softened to a certain extent during basic income payment. Underlying mechanisms for this finding are not quite clear. It might be explained by the behavioral inhibition system of neurotics because they are more sensitive to punishment and negative affect (Gray, 1970; Lucas, 2008). Soto and Luhmann (2013), concerning the results from income increases, suggest that individuals with higher neuroticism benefit from additional income in special ways because they react to negative consumption experiences more intensively. For example, this is the case when struggling to afford a living, or in regards to unfavorable social income experiences when comparing to friends with higher income, or on comparisons to one’s own past income situation after a pay cut. This explanation is supported by Trait Activation Theory by Tett and Burnett (2003), which implicates that special traits are activated by trait-relevant cues of one’s situation. Financial security offered by basic income, in this respect, might be helpful to enhance people’s emotional stability, and in turn enhance their emotional well-being, especially in otherwise challenging times. Nevertheless, these results and interpretation should be treated with caution as the effect of neuroticism on growth in well-being was not stable in the models with covariates.
Second, openness predicted growth in well-being, indicating that individuals who are open to new experiences can benefit more from receiving basic income. Our explanation behind this finding is that basic income context might offer more for people who are more open. Spending more money for pleasurable goods or events, having more room to concentrate on new experiences, autonomy and scope for action might potentially create positive affect and therefore might allow differences in openness to manifest in well-being. This explanation is underpinned by Trait Activation Theory (Tett & Burnett, 2003), which specifies that personality traits are expressed in case of trait-relevant cues, for example in specific situations or contextual settings.

4.2 Growth in Dependence of Personal Values

Our second research question focused on the predictive character of personal values on changes in happiness during one year of basic income payment. Similar to personality traits, the trajectories of life satisfaction and well-being were predicted by different personal values.
First, we detected an increase of life satisfaction regarding lower hedonism. The growth in life satisfaction for lower levels of hedonism is in line with healthy value perspective (Deci & Ryan, 2000) as people would gain in happiness because they focus on pleasurable experiences. In other words, people low in hedonism at the beginning of basic income payment rediscover their “lust for life” and gain in overall life satisfaction. In fact, at this point a control group would be needed to statistically verify this effect. Another explanation of a more technical nature delivers the critical examination of value assessment. It is conceivable that we capture two different aspects of values previously reported by Ostermann et al. (2017), that is, the importance of values and their realization. We cannot completely exclude that some people score low in hedonism at the beginning of the study because they were not in the position to realize this value. In contrast, we were rather interested in the importance for a person. Therefore, it would be clarifying in basic income studies to assess the importance of values and realization of values to distinguish these aspects and to open new avenues for interpretation.
Second, well-being increased regarding highly valued self-direction. Self-direction is conceptualized as autonomy of thought and of action (Sagiv & Schwartz, 2000). Hence, realization of self-direction might be better fulfilled in a basic income context as there are several degrees of freedom due to added financial security. This might enable people to set new goals, discover new activities, feel more independence for example of employers, live out creativity, and therefore perceive more well-being. In line with value-oriented living perspective, basic income context would more likely enable people to live in accordance with the value self-direction, indicating an alignment of its importance for the person and realization due to financial security. At the same time, it is similar to the result for openness to new experiences reported above and Trait Activation Theory (Tett & Burnett, 2003) in that situational or contextual cues fit better to a specific value allowing for this value to be more strongly expressed.
Most effects remained stable when entering the covariates age, gender, and education in the models. In particular models, some of the covariates had an effect on the initial level of the outcome, but not on the slope. Taken together, we did not detect a particular pattern of links between the covariates and trajectories in happiness during basic income payment.
Some practical implications both for and beyond basic income can be derived from these results. Certain expressions in traits and values were associated to positive trajectories of life satisfaction and well-being. Thus, there are practical implications for emotionally instable persons, as high levels of neuroticism were associated with negative objective life events (Magnus et al., 1993), negative affect (Larsen & Prizmic, 2008), and are known to be a risk factor for mental disorders (Bagby et al., 2017). The stabilizing effect on one’s financial situation could therefore lead to much-needed relief in the reality of life for emotionally less stable persons in the long term, and thus provide overall (cost) mitigation for the healthcare system due to mental disorders (Widiger & Oltmanns, 2017). There has also been a tendency of increase in well-being for people high in openness to experience and evaluating self-direction as important. This may be related to the creative scope provided by a basic income, which people who are or want to be curious, creative, innovative thinkers and independent in particular can make use of. In the context of UBI, these people can act as role models and multipliers who break new ground and inspire others through their spirit and actions.

4.3 Limitations of the Study and Future Investigations

Here we will address a few strengths and limitations. The study presented offers several advantages in comparison to other studies on basic income. Our sample is the first of its kind in Europe due to the fact that it is not tied to any requirements concerning demographics, grade of charity, or employment status of participants. The longitudinal design, the separate analysis for life satisfaction and well-being, the relatively large sample size if one considers the costs of basic income payments per person, and the heterogeneity according to age demonstrate its outstanding quality. It replicates findings for the associations between the two personality traits neuroticism and extraversion and the initial level of happiness that highlight the comparability of our sample, but for the sake of novelty in basic income research it opens new insights into the field of happiness. Nevertheless, there certainly persists room for improvement and future investigations.
For receiving basic income and participating in the study, people had to register at a website. This might lead to self-selection effects. We earlier reported that about 40% of participants in the study had an academic degree, demonstrating some initiative toward basic income especially among more highly educated people. Additionally, we cannot check for the self-selective character regarding expressions of specific traits or values. For example, extraversion is associated with the experience of more positive life events (Magnus et al., 1993; Specht et al., 2011). People who are hedonists try to create more positive life events (Larsen & Prizmic, 2008) that might be affordable with basic income payments and stimulation, self-direction and hedonism are positively associated with the number of controllable events (Sortheix et al., 2013). Naturally, a fully randomized-controlled trial would be beneficial for future investigations.
Some small improvements we would propose are related to the study design. With regard to our research questions, we analyzed trajectories of happiness before, during, and at the end of basic income payment. As six months passed between T1 and T2, we were unable to pinpoint when the overall life satisfaction and well-being reached a plateau. To account for this more precisely, shorter time intervals would be necessary from the beginning of the study. Further, it would be quite interesting to see what happens in terms of sustainability of the observed growth. Therefore, future research should investigate happiness levels in follow up surveys. Additionally, we analyzed basic income payment periods of only one year. Now, if we were to look at basic income as an alternative security system that could be implemented indefinitely, future research would have to examine longer lasting effects. In turn, giving people a long-term perspective might evoke different reactions in people’s happiness, including habituation, recovery or stabilization. To address this hypothetical issue, experiments would have to last a minimum of several years with accompanying longitudinal research.
We did not investigate three of Schwartz’s values on the higher order dimension conservation due to reasons of survey length. As some of the values belonging to this dimension seem to be associated with conscientiousness and openness to experiences (Roccas et al., 2002), which proved to be predictors in our study, they could contribute to interpretation of changes in happiness. Neither did we investigate in changes of personality or personal values during basic income payment because such changes had not been addressed by our research questions. Nevertheless, life events might cause changes in personality (Bleidorn et al., 2018; Specht et al., 2011) and in values (Bardi et al., 2014; Milfont et al., 2016) to a certain extent. Therefore, it is necessary to investigate changes in these interindividual differences regarding additional income.
The underlying assumption of our study was the idea that people with an additional income might choose activities and practices that enhance their life satisfaction and well-being. Several ideas about changes in happiness are available. Lyubomirsky et al. (2005) have shown that distinct components influence happiness, including a volitional component. Surely, what changes happiness concretely might vary from person to person. For example, Oishi et al., (1999b) have reported that people differ in the type of activity they find satisfying depending upon their values. For the sake of understanding such mechanisms, future studies should investigate if there exists a pattern of concrete activities, decisions, or practices under basic income common to those persons holding the same traits or values.

5 Conclusion

As opposed to other empirical studies, our work considered how trajectories of happiness are linked to interindividual differences. This has led us to a number of conclusions. First, overall growth in life satisfaction and in well-being lead to higher levels of overall happiness while receiving basic income. In line with the finding that neuroticism is associated with the affective component of happiness, rather than with the cognitive aspects, such as life satisfaction, we found an increase in well-being that points to a stabilization for individuals with higher values on neuroticism. Moreover, other predictors showed effects from conscientiousness and hedonism on growth in life satisfaction, whereas growth in well-being benefits from openness to new experiences and self-direction throughout basic income payment. We can only speculate about the underlying mechanisms so far. Therefore, further research is needed in this field. The most striking finding of our study was that none of the subgroups systematically suffered from receiving basic income. In other words, regardless of personality traits or personal value expressions, none of the results indicated trajectories in life satisfaction or in well-being took a negative turn under basic income. From a psychological view, this gives reason to further examine basic income and delivers arguments for considering it as an alternative to the prevailing social security system in Western societies.

Acknowledgments

We appreciated the collaboration with the association Mein Grundeinkommen e.V. and are very thankful for UBI payments and data collection what made this study feasible.

Declarations

Conflict of interest

The authors state that there is no competing interest to disclose, that the respondents received informed consent and that they comply with all applicable APA guidelines and ethical standards.
Open Access This article is licensed under a Creative Commons Attribution 4.0 International License, which permits use, sharing, adaptation, distribution and reproduction in any medium or format, as long as you give appropriate credit to the original author(s) and the source, provide a link to the Creative Commons licence, and indicate if changes were made. The images or other third party material in this article are included in the article's Creative Commons licence, unless indicated otherwise in a credit line to the material. If material is not included in the article's Creative Commons licence and your intended use is not permitted by statutory regulation or exceeds the permitted use, you will need to obtain permission directly from the copyright holder. To view a copy of this licence, visit http://creativecommons.org/licenses/by/4.0/.

Publisher's Note

Springer Nature remains neutral with regard to jurisdictional claims in published maps and institutional affiliations.
Download
Titel
Who (Really) Wins with Basic Income: Personality and Values as Predictors of Happiness Trajectories
Verfasst von
Julia Malinka
Kristin Mitte
Matthias Ziegler
Publikationsdatum
01.01.2025
Verlag
Springer Netherlands
Erschienen in
Journal of Happiness Studies / Ausgabe 1/2025
Print ISSN: 1389-4978
Elektronische ISSN: 1573-7780
DOI
https://doi.org/10.1007/s10902-024-00831-x

Appendix

See Tables 6 and 7
Table 6
Scales and items
Scale
Subscale
Item(s)
Life satisfaction (L1)
All things considered, how satisfied are you with your life these days?
WHO-5 Well-Being Index (WHO-5)
(Over the past two weeks…)
I have felt cheerful and in good spirits.
I have felt calm and relaxed
I have felt active and vigorous.
I woke up feeling fresh and rested.
My daily life has been filled with things that interest me.
Personality traits
 
I see myself as someone who.
Neuroticism
worries a lot.
gets nervous easily.
is relaxed, handles stress well. (-).
Extraversion
is talkative
is reserved, quiet. (-)
is outgoing, sociable
Openness
is original, comes up with new ideas.
values artistic experiences.
has an active imagination.
Agreeableness
is sometimes rude to others. (-).
has a forgiving nature.
is considerate and kind to almost everyone.
Conscientiousness
does a thorough job
tends to be lazy. (-).
does everything efficiently.
Personal values
 
How much like you is this person.
Self-direction
Thinking up new ideas and being creative is important to the person. The person likes to do things in the own original way.
It is important to the person to make own decisions about what he or she does. The person likes to be free and not depend on others.
Power
It is important to the person to be rich. The person wants to have a lot of money and expensive things.
It is important to the person to get respect from others. The person wants people to do what he or she says.
Universalism
The person thinks it is important that every person in the world should be treated equally. The person believes everyone should have equal opportunities in life.
It is important to the person to listen to people who are different from him or her. Even when the person disagrees with them, he or she still wants to understand them.
The person strongly believes that people should care for nature. Looking after the environment is important to him or her.
Achievement
It's important to the person to show his or her abilities. The person wants people to admire what he or she does.
Being very successful is important to the person. The person hopes people will recognise his or her achievements.
Stimulation
The person likes surprises and is always looking for new things to do. The person thinks it is important to do lots of different things in life.
The person looks for adventures and likes to take risks. The person wants to have an exciting life.
Hedonism
Having a good time is important to the person. The person likes to “spoil” him- or herself.
The person seeks every chance he or she can to have fun. It is important to him or her to do things that give him or her pleasure.
Benevolence
It's very important to the person to help the people around him or her. The person wants to care for their well-being.
It is important to the person to be loyal to his or her friends. The person wants to devote him- or herself to people close to him or her.
Table 7
Correlations of the dependent and independent variables
 
Scale
Wave
 
1
2
3
4
5
6
7
8
9
10
11
12
13
14
15
16
17
18
1
Life satisfaction
T1
                                     
2
T2
 
0.42***
                                 
3
T3
 
0.31***
0.46***
                               
4
Well-being
T1
 
0.58***
0.33***
0.20***
                             
5
T2
 
0.31***
0.63***
0.32***
0.34***
                           
6
T3
 
0.28**
0.36***
0.71***
0.22**
0.40***
                         
7
Personality traits
 
N
-0.34***
-0.24***
-0.19**
-0.38***
-0.23***
-0.18**
                       
8
 
E
0.23***
0.16***
0.08
0.17***
0.10*
0.10
-0.20***
                     
9
T1
O
0.00
0.09
0.07
-0.02
0.16*
0.14*
0.04
0.27***
                   
10
 
A
0.04
0.11*
0.07
0.04
0.15**
0.05
-0.14***
0.09*
0.11*
                 
11
 
C
0.06
0.17***
0.16*
0.08
0.10*
0.05
-0.07
0.12**
0.02
0.18***
               
12
Personal values
 
SD
0.03
0.07
0.00
0.00
0.18***
0.10
-0.09
0.16***
0.61***
0.03
0.03
             
13
 
P
0.03
-0.11*
-0.01
-0.01
-0.06
-0.05
0.08*
0.02
0.06
-0.17***
-0.15***
0.12**
           
14
 
U
-0.01
0.02
0.09
0.01
0.12*
0.15*
0.00
0.12**
0.32***
0.27***
0.09*
0.27***
-0.16***
         
15
T1
AC
0.03
-0.04
0.03
0.00
-0.02
-0.03
0.13**
0.19***
0.23***
-0.07
-0.04
0.21***
0.60***
0.02
       
16
 
ST
0.14**
0.00
0.08*
0.11**
0.10
0.04
-0.11**
0.30***
0.30***
0.02
-0.05
0.36***
0.20***
0.16***
0.31***
     
17
 
H
0.19***
0.02
-0.03
0.18***
0.10
0.04
-0.09
0.27***
0.22***
0.07
-0.19***
0.22***
0.28***
0.12**
0.22***
0.51***
   
18
 
B
-0.03
0.01
0.06
-0.01
0.02
0.08
0.04
0.16***
0.22***
0.28***
0.25***
0.18***
-0.04
0.43***
0.06
0.10*
0.14**
 
N = Neuroticism, E = Extraversion, O = Openness, A = Agreeableness, C = Conscientiousness, SD = Self-Direction, P = Power, U = Universalism, AC = Achievement, ST = Stimulation, H = Hedonism, B = Benevolence, * p < .05, ** p < .01, *** p < .001
Zurück zum Zitat Anusic, I., & Schimmack, U. (2016). Stability and change of personality traits, self-esteem, and well-being: Introducing the meta-analytic stability and change model of retest correlations. Journal of Personality and Social Psychology, 110(5), 766–781. https://doi.org/10.1037/pspp0000066CrossRef
Zurück zum Zitat Argyle, M. (2001). The psychology of happiness, (2nd ed.). London: Routledge.
Zurück zum Zitat Arthaud-day, M. L., Rode, J. C., Mooney, C. H., & Near, J. P. (2005). The subjective well-being construct: A test of its convergent, discriminant, and factorial validity. Social Indicators Research, 74(3), 445–476. https://doi.org/10.1007/s11205-004-8209-6CrossRef
Zurück zum Zitat Bagby, R. M., Uliaszek, A., Gralnick, T. M., & Al-Dajani, N. (2017). Axis I Disorders. In T. A. Widiger (Eds.), Oxford Library of Psychology Ser. The Oxford Handbook of the Five Factor Model (pp. 479–506). Oxford University Press.
Zurück zum Zitat Bardi, A., Buchanan, K. E., Goodwin, R., Slabu, L., & Robinson, M. (2014). Value stability and change during self-chosen life transitions: Self-selection versus socialization effects. Journal of Personality and Social Psychology, 106(1), 131–147. https://doi.org/10.1037/a0034818CrossRef
Zurück zum Zitat Barrick, M. R., & Mount, M. K. (1991). The big five personality dimensions and job performance: A meta-analysis. Personnel Psychology, 44(1), 1–26. https://doi.org/10.1111/j.1744-6570.1991.tb00688.xCrossRef
Zurück zum Zitat Beauducel, A., & Wittmann, W. W. (2005). Simulation study on fit indexes in CFA Based on data with slightly distorted simple structure. Structural Equation Modeling: A Multidisciplinary Journal, 12(1), 41–75. https://doi.org/10.1207/s15328007sem1201_3CrossRef
Zurück zum Zitat Becker, C. K., & Trautmann, S. T. (2022). Does happiness increase in old age? Longitudinal evidence from 20 European countries. Journal of Happiness Studies, 23(7), 3625–3654. https://doi.org/10.1007/s10902-022-00569-4CrossRef
Zurück zum Zitat Beierlein, C., Kovaleva, A., László, Z., Kemper, C. J., & Rammstadt, B. (2014). Eine Single-Item-Skala zur Erfassung der Allgemeinen Lebenszufriedenheit: Die Kurzskala Lebenszufriedenheit-1 (L-1) [The short scale L-1 for recording general life satisfaction]. Advance online publication. https://doi.org/10.6102/zis229CrossRef
Zurück zum Zitat Benjamini, Y., & Hochberg, Y. (1995). Controlling the false discovery rate: A practical and powerful approach to multiple testing. Journal of the Royal Statistical Society B, 57, 289–300.CrossRef
Zurück zum Zitat Blanchflower, D. G., & Oswald, A. J. (2008). Is well-being U-shaped over the life cycle? Social Science & Medicine, 66(8), 1733–1749. https://doi.org/10.1016/j.socscimed.2008.01.030CrossRef
Zurück zum Zitat Bleidorn, W., Hopwood, C. J., & Lucas, R. E. (2018). Life events and personality trait change. Journal of Personality, 86(1), 83–96. https://doi.org/10.1111/jopy.12286CrossRef
Zurück zum Zitat Bobowik, M., Basabe, N., Páez, D., Jiménez, A., & Bilbao, M. Á. (2011). Personal values and well-being among europeans, spanish natives and immigrants to spain: Does the culture matter? Journal of Happiness Studies, 12(3), 401–419. https://doi.org/10.1007/s10902-010-9202-1CrossRef
Zurück zum Zitat Boyce, C. J., Wood, A. M., & Brown, G. D. (2010). The dark side of conscientiousness: Conscientious people experience greater drops in life satisfaction following unemployment. Journal of Research in Personality, 44(4), 535–539. https://doi.org/10.1016/j.jrp.2010.05.001CrossRef
Zurück zum Zitat Brähler, E., Mühlan, H., Albani, C., & Schmidt, S. (2007). Teststatistische Prüfung und Normierung der deutschen Versionen des EUROHIS-QOL Lebensqualität-Index und des WHO-5 Wohlbefindens-Index [Testing and standardization of the German version of the EUROHIS-QOL and WHO-5 quality-of life-indices]. Diagnostica, 53(2), 83–96. https://doi.org/10.1026/0012-1924.53.2.83CrossRef
Zurück zum Zitat Brickman, P., Coates, D., & Janoff-Bulman, R. (1978). Lottery winners and accident victims: Is happiness relative? Journal of Personality and Social Psychology, 36(8), 917–927.CrossRef
Zurück zum Zitat Brunstein, J. C., Schultheiss, O. C., & Grässmann, R. (1998). Personal goals and emotional well-being: The moderating role of motive dispositions. Journal of Personality and Social Psychology, 75(2), 494–508.CrossRef
Zurück zum Zitat Chow, S.-M., Ram, N., Boker, S. M., Fujita, F., & Clore, G. (2005). Emotion as a thermostat: Representing emotion regulation using a damped oscillator model. Emotion, 5(2), 208–225. https://doi.org/10.1037/1528-3542.5.2.208CrossRef
Zurück zum Zitat Clark, A. E., Frijters, P., & Shields, M. A. (2008). Relative income, happiness, and utility: An explanation for the Easterlin paradox and other puzzles. Journal of Economic Literature, 46(1), 95–144. https://doi.org/10.1257/jel.46.1.95CrossRef
Zurück zum Zitat Costa, P. T., & McCrae, R. R. (1980). Influence of extraversion and neuroticism on subjective well-being: Happy and unhappy people. Journal of Personality and Social Psychology, 38(4), 668–678. https://doi.org/10.1037/0022-3514.38.4.668CrossRef
Zurück zum Zitat Deci, E. L., & Ryan, R. M. (2000). The ‘what’ and ‘why’ of goal pursuits: Human needs and the self-determination of behavior. Psychological Inquiry, 11(4), 227–268. https://doi.org/10.1207/S15327965PLI1104_01CrossRef
Zurück zum Zitat DeNeve, K. M., & Cooper, H. (1998). The happy personality: A meta-analysis of 137 personality traits and subjective well-being. Psychological Bulletin, 124(2), 197–229. https://doi.org/10.1037/0033-2909.124.2.197CrossRef
Zurück zum Zitat Desjardins, R. (2008). Researching the Links between education and well-being. European Journal of Education, 43(1), 23–35. https://doi.org/10.1111/j.1465-3435.2007.00333.x
Zurück zum Zitat Destatis. (2021). Datenreport 2021 [Data Report 2021]. https://www.destatis.de/EN/Themes/_node.html
Zurück zum Zitat Destatis. (2024). Population by territory and average age, 1990 to 2023. German federal statistical office. https://www.destatis.de/EN/Themes/Society-Environment/Population/Current-Population/Tables/population-by-territory-and-average-age.html
Zurück zum Zitat Diener, E. (1984). Subjective well-being. Psychological Bulletin, 95(3), 542–575. https://doi.org/10.1037/0033-2909.95.3.542CrossRef
Zurück zum Zitat Diener, E., & Larsen, R. J. (1984). Temporal stability and cross-situational consistency of affective, behavioral, and cognitive responses. Journal of Personality and Social Psychology, 47(4), 871–883. https://doi.org/10.1037/0022-3514.47.4.871CrossRef
Zurück zum Zitat Diener, E., Suh, E. M., Lucas, R. E., & Smith, H. L. (1999). Subjective well-being: Three decades of progress. Psychological Bulletin, 125(2), 276–302. https://doi.org/10.1037/0033-2909.125.2.276CrossRef
Zurück zum Zitat Diener, E., Oishi, S., & Lucas, R. E. (2003). Personality, culture, and subjective well-being: Emotional and cognitive evaluations of life. Annual Review of Psychology, 54, 403–425. https://doi.org/10.1146/annurev.psych.54.101601.145056CrossRef
Zurück zum Zitat Diener, E., Lucas, R. E., & Scollon, C. N. (2006). Beyond the hedonic treadmill: Revising the adaptation theory of well-being. American Psychologist, 61(4), 305–314. https://doi.org/10.1037/0003-066X.61.4.305CrossRef
Zurück zum Zitat Diener, E., & Biswas-Diener, R. (2011). Happiness: Unlocking the Mysteries of Psychological Wealth. John Wiley & Sons. http://gbv.eblib.com/patron/FullRecord.aspx?p=416425https://doi.org/10.1002/9781444305159
Zurück zum Zitat Diener, E., & Seligman, M. E. (2009). Beyond money: Toward an economy of well-being. In: A. C. Michalos & E. Diener (Eds.), social indicators research series. The science of well-being, pp 201–265 Springer: Netherlands. https://doi.org/10.1007/978-90-481-2350-6_9
Zurück zum Zitat Easterlin, R. A. (1974). Does economic growth improve the human lot? Some empirical evidence. In P. A. David & M. W. Reder (Eds.), Nations and Households in Economic Growth (pp. 89–125). Academic Press. https://doi.org/10.1016/B978-0-12-205050-3.50008-7
Zurück zum Zitat Eid, M., & Diener, E. (2004). Global judgments of subjective well-being: Situational variability and long-term stability. Social Indicators Research, 65(3), 245–277. https://doi.org/10.1023/B:SOCI.0000003801.89195.bcCrossRef
Zurück zum Zitat Eid, M., & Randy, J. (Eds.). (2008). The science of subjective well-being. Guilford Publications. http://ebookcentral.proquest.com/lib/huberlin-ebooks/detail.action?docID=405990
Zurück zum Zitat Enders, C. K. (2001). A primer on maximum likelihood algorithms available for use with missing data. Structural Equation Modeling: A Multidisciplinary Journal, 8(1), 128–141. https://doi.org/10.1207/S15328007SEM0801_7CrossRef
Zurück zum Zitat Ferdosi, M., & McDowell, T. (2020). More than welfare: The experiences of employed and unemployed ontario basic income recipients. Basic Income Studies. https://doi.org/10.1515/bis-2020-0005CrossRef
Zurück zum Zitat Fetvadjiev, V. H., & He, J. (2019). The longitudinal links of personality traits, values, and well-being and self-esteem: A five-wave study of a nationally representative sample. Journal of Personality and Social Psychology, 117(2), 448–464. https://doi.org/10.1037/pspp0000212CrossRef
Zurück zum Zitat Frijters, P., Haisken-Denew, J. P., & Shields, M. A. (2004). Money does matter! Evidence from increasing real income and life satisfaction in East Germany following reunification. American Economic Review, 94(3), 730–740. https://doi.org/10.1257/0002828041464551CrossRef
Zurück zum Zitat Fujita, F., & Diener, E. (2005). Life satisfaction set point: Stability and change. Journal of Personality and Social Psychology, 88(1), 158–164. https://doi.org/10.1037/0022-3514.88.1.158CrossRef
Zurück zum Zitat Gallagher, M. W., Lopez, S. J., & Preacher, K. J. (2009). The hierarchical structure of well-being. Journal of Personality, 77(4), 1025–1050. https://doi.org/10.1111/j.1467-6494.2009.00573.xCrossRef
Zurück zum Zitat García, L. R. (2022). The policy and political consequences of the B-Mincome pilot project. European Journal of Social Security, 24(3), 213–229. https://doi.org/10.1177/13882627221123347CrossRef
Zurück zum Zitat Gibson, M., Hearty, W., & Craig, P. (2020). The public health effects of interventions similar to basic income: A scoping review. The Lancet Public Health, 5(3), e165–e176. https://doi.org/10.1016/S2468-2667(20)30005-0CrossRef
Zurück zum Zitat Goldberg, L. R. (1990). An alternative “description of personality”: The big-five factor structure. Journal of Personality and Social Psychology, 59(6), 1216–1229. https://doi.org/10.1037/0022-3514.59.6.1216CrossRef
Zurück zum Zitat Gray, J. A. (1970). The psychophysiological basis of introversion-extraversion. Behaviour Research and Therapy, 8(3), 249–266. https://doi.org/10.1016/0005-7967(70)90069-0CrossRef
Zurück zum Zitat Grosz, M. P., Schwartz, S. H., & Lechner, C. M. (2021). The longitudinal interplay between personal values and subjective well-being: A registered report. European Journal of Personality, 35(6), 881–897. https://doi.org/10.1177/08902070211012923CrossRef
Zurück zum Zitat Haushofer, J., & Shapiro, J. (2016). The short-term impact of unconditional cash transfers to the poor: Experimental evidence from Kenya. The Quarterly Journal of Economics, 131(4), 1973–2042. https://doi.org/10.1093/qje/qjw025CrossRef
Zurück zum Zitat Headey, B., & Wearing, A. (1989). Personality, life events, and subjective well-being: Toward a dynamic equilibrium model. Journal of Personality and Social Psychology, 57(4), 731–739. https://doi.org/10.1037/0022-3514.57.4.731CrossRef
Zurück zum Zitat Headey, B., Muffels, R., & Wagner, G. G. (2010). Long-running German panel survey shows that personal and economic choices, not just genes, matter for happiness. Proceedings of the National Academy of Sciences of the United States of America, 107(42), 17922–17926. https://doi.org/10.1073/pnas.1008612107CrossRef
Zurück zum Zitat Heene, M., Hilbert, S., Draxler, C., Ziegler, M., & Bühner, M. (2011). Masking misfit in confirmatory factor analysis by increasing unique variances: A cautionary note on the usefulness of cutoff values of fit indices. Psychological Methods, 16(3), 319–336. https://doi.org/10.1037/a0024917CrossRef
Zurück zum Zitat Heise, D. R. (1969). Separating reliability and stability in test-retest correlation. American Sociological Review, 34(1), 93. https://doi.org/10.2307/2092790CrossRef
Zurück zum Zitat Helliwell, J. F. (2003). How’s life? Combining individual and national variables to explain subjective well-being. Economic Modelling, 20(2), 331–360. https://doi.org/10.1016/S0264-9993(02)00057-3CrossRef
Zurück zum Zitat Hill, P. L., Mroczek, D. K., & Young, R. K. (2014). Personality Traits as potential moderators of well-being. In Stability of Happiness (pp. 245–259). Elsevier. https://doi.org/10.1016/B978-0-12-411478-4.00012-6
Zurück zum Zitat Hoynes, H., & Rothstein, J. (2019). Universal basic income in the United States and advanced countries. Annual Review of Economics, 11(1), 929–958. https://doi.org/10.1146/annurev-ec-11CrossRef
Zurück zum Zitat Hu, L., & Bentler, P. M. (1999). Cutoff criteria for fit indexes in covariance structure analysis: Conventional criteria versus new alternatives. Structural Equation Modeling: A Multidisciplinary Journal, 6(1), 1–55. https://doi.org/10.1080/10705519909540118CrossRef
Zurück zum Zitat Jebb, A. T., Tay, L., Diener, E., & Oishi, S. (2018). Happiness, income satiation and turning points around the world. Nature Human Behaviour, 2(1), 33–38. https://doi.org/10.1038/s41562-017-0277-0CrossRef
Zurück zum Zitat Joshanloo, M. (2021). There is no temporal relationship between hedonic values and life satisfaction: A longitudinal study spanning 13 years. Journal of Research in Personality, 93, 104125. https://doi.org/10.1016/j.jrp.2021.104125CrossRef
Zurück zum Zitat Judge, T. A., Higgins, C. A., Thoresen, C. J., & Barrick, M. R. (1999). The big five personality traits, general mental ability, and career success across the life span. Personnel Psychology, 52(3), 621–652. https://doi.org/10.1111/j.1744-6570.1999.tb00174.xCrossRef
Zurück zum Zitat Jung, S., Kneer, J., & Krüger, T. H. C. (2020). Mental health, sense of coherence, and interpersonal violence during the COVID-19 pandemic lockdown in Germany. Journal of Clinical Medicine, 9(11), 1–12. https://doi.org/10.3390/jcm9113708CrossRef
Zurück zum Zitat Kangas, O., & Ylikännö, M. (2023). Basic income and the status of women in an established gender-equal welfare state: Results from the finnish basic income experiment. International Journal of Environmental Research and Public Health. https://doi.org/10.3390/ijerph20031733CrossRef
Zurück zum Zitat Kangas, O., Jauhiainen, S., Simanainen, M., & Ylikanno, M. (2021). Experimenting with unconditional basic income. Edward Elgar Publishing. https://doi.org/10.4337/9781839104855CrossRef
Zurück zum Zitat Kaplan, S. (1983). A model of person-environment compatibility. Environment and Behavior, 15(3), 311–332. https://doi.org/10.1177/0013916583153003CrossRef
Zurück zum Zitat Kasser, T. (2016). Materialistic values and goals. Annual Review of Psychology, 67, 489–514. https://doi.org/10.1146/annurev-psych-122414-033344CrossRef
Zurück zum Zitat Kasser, T., & Ryan, R. M. (1996). Further examining the American dream: Differential correlates of intrinsic and extrinsic goals. Personality & Social Psychology Bulletin, 22(3), 280–287. https://doi.org/10.1177/0146167296223006CrossRef
Zurück zum Zitat Kesebir, P., & Diener, E. (2008). In pursuit of happiness: Empirical answers to philosophical questions. Perspectives on Psychological Science: A Journal of the Association for Psychological Science, 3(2), 117–125. https://doi.org/10.1111/j.1745-6916.2008.00069.xCrossRef
Zurück zum Zitat Keyes, C. L. M. (1998). Social well-being. Social Psychology Quarterly, 61(2), 121–140.CrossRef
Zurück zum Zitat Keyes, C. L. (2005). Mental illness and/or mental health? Investigating axioms of the complete state model of health. Journal of Consulting and Clinical Psychology, 73(3), 539. https://doi.org/10.1037/0022-006X.73.3.539CrossRef
Zurück zum Zitat Kokko, K., Korkalainen, A., Lyyra, A., & Feldt, T. (2013). Structure and continuity of well-being in mid-adulthood: A longitudinal study. Journal of Happiness Studies, 14(1), 99–114. https://doi.org/10.1007/s10902-011-9318-yCrossRef
Zurück zum Zitat Larsen, R. J., & Ketelaar, T. (1991). Personality and susceptibility to positive and negative emotional states. Journal of Personality and Social Psychology, 61(1), 132–140. https://doi.org/10.1037/0022-3514.61.1.132CrossRef
Zurück zum Zitat Larsen, R. J., & Prizmic, Z. (2008). Regulation of emotional well-being: Overcoming the hedonic treadmill. In M. Eid & R. J. Larsen (Eds.), The science of subjective well-being (pp. 258–289). Guilford Publications.
Zurück zum Zitat Lucas, R. E. (2008). Personality and subjective well-being. In M. Eid & R. J. Larsen (Eds.), The science of subjective well-being (pp. 171–194). Guilford Publications.
Zurück zum Zitat Lucas, R. E., & Donnellan, M. B. (2007). How stable is happiness? Using the STARTS model to estimate the stability of life satisfaction. Journal of Research in Personality, 41(5), 1091–1098. https://doi.org/10.1016/j.jrp.2006.11.005CrossRef
Zurück zum Zitat Lucas, R. E., & Fujita, F. (2000). Factors influencing the relation between extraversion and pleasant affect. Journal of Personality and Social Psychology, 79(6), 1039–1056. https://doi.org/10.1037/0022-3514.79.6.1039CrossRef
Zurück zum Zitat Lucas, R. E., Diener, E., & Suh, E. (1996). Discriminant validity of well-being measures. Journal of Personality and Social Psychology, 71(3), 616–628. https://doi.org/10.1037/0022-3514.71.3.616CrossRef
Zurück zum Zitat Lucas, R. E., Clark, A. E., Georgellis, Y., & Diener, E. (2004). Unemployment alters the set point for life satisfaction. Psychological Science, 15(1), 8–13. https://doi.org/10.1111/j.0963-7214.2004.01501002.xCrossRef
Zurück zum Zitat Luhmann, M., & Eid, M. (2009). Does it really feel the same? Changes in life satisfaction following repeated life events. Journal of Personality and Social Psychology, 97(2), 363–381. https://doi.org/10.1037/a0015809CrossRef
Zurück zum Zitat Luhmann, M., Hofmann, W., Eid, M., & Lucas, R. E. (2012). Subjective well-being and adaptation to life events: A meta-analysis. Journal of Personality and Social Psychology, 102(3), 592–615. https://doi.org/10.1037/a0025948CrossRef
Zurück zum Zitat Luhmann, M., Krasko, J., & Terwiel, S. (2021). Subjective well-being as a dynamic construct. In The Handbook of Personality Dynamics and Processes (pp. 1231–1249). Elsevier. https://doi.org/10.1016/B978-0-12-813995-0.00048-0
Zurück zum Zitat Lykken, D., & Tellegen, A. (1996). Happiness Is a stochastic phenomenon. Psychological Science, 7(3), 186–189. https://doi.org/10.1111/j.1467-9280.1996.tb00355.xCrossRef
Zurück zum Zitat Lyubomirsky, S., Sheldon, K. M., & Schkade, D. (2005). Pursuing happiness: The architecture of sustainable change. Review of General Psychology, 9(2), 111–131. https://doi.org/10.1037/1089-2680.9.2.111CrossRef
Zurück zum Zitat Magnus, K., Diener, E., Fujita, F., & Pavot, W. (1993). Extraversion and neuroticism as predictors of objective life events: A longitudinal analysis. Journal of Personality and Social Psychology, 65(5), 1046–1053. https://doi.org/10.1037/0022-3514.65.5.1046CrossRef
Zurück zum Zitat McArdle, J. J., & Grimm, K. J. (2010). Five steps in latent curve and latent change score modeling with longitudinal Data. In K. van Montfort, J. H. Oud, & A. Satorra (Eds.), Longitudinal research with latent variables (pp. 245–273). Springer.CrossRef
Zurück zum Zitat McCrae, R. R., Kurtz, J. E., Yamagata, S., & Terracciano, A. (2011). Internal consistency, retest reliability, and their implications for personality scale validity. Personality and Social Psychology Review, 15(1), 28–50. https://doi.org/10.1177/1088868310366253CrossRef
Zurück zum Zitat McKay, F. H., Bennett, R., & Dunn, M. (2023). How, why and for whom does a basic income contribute to health and wellbeing: A systematic review. Health Promotion International, 38(5). https://doi.org/10.1093/heapro/daad119
Zurück zum Zitat Meredith, W., & Tisak, J. (1990). Latent curve analysis. Psychometrika, 55(1), 107–122. https://doi.org/10.1007/BF02294746CrossRef
Zurück zum Zitat Milfont, T. L., Milojev, P., & Sibley, C. G. (2016). Values stability and change in adulthood: A 3-years longitudinal study of rank-order stability and mean-level differences. Personality & Social Psychology Bulletin, 42(5), 572–588. https://doi.org/10.1177/0146167216639245CrossRef
Zurück zum Zitat Mund, M., Johnson, M. D., & Nestler, S. (2021). Changes in size and interpretation of parameter estimates in within-person models in the presence of time-invariant and time-varying covariates. Frontiers in Psychology, 12, 1–16. https://doi.org/10.3389/fpsyg.2021.666928CrossRef
Zurück zum Zitat Oishi, S., Diener, E., Lucas, R. E., & Suh, E. (1999a). Cross-cultural variations in predictors of life satisfaction: Perspectives from needs and values. Personality & Social Psychology Bulletin, 25(8), 980–990. https://doi.org/10.1177/01461672992511006CrossRef
Zurück zum Zitat Oishi, S., Diener, E., Suh, E., & Lucas, R. E. (1999b). Value as a moderator in subjective well-being. Journal of Personality, 67(1), 157–184. https://doi.org/10.1111/1467-6494.00051CrossRef
Zurück zum Zitat Ostermann, M., Huffziger, S., Kleindienst, N., Mata, J., Schmahl, C., Beierlein, C., Bohus, M., & Lyssenko, L. (2017). Realization of personal values predicts mental health and satisfaction with life in a German population. Journal of Social and Clinical Psychology, 36(8), 651–674. https://doi.org/10.1521/jscp.2017.36.8.651CrossRef
Zurück zum Zitat Parks-Leduc, L., Feldman, G., & Bardi, A. (2015). Personality traits and personal values. Personality and Social Psychology Review, 19(1), 3–29. https://doi.org/10.1177/1088868314538548CrossRef
Zurück zum Zitat Pinquart, M., & Sörensen, S. (2000). Influences of socioeconomic status, social network, and competence on subjective well-being in later life: A meta-analysis. Psychology and Aging, 15(2), 187–224.CrossRef
Zurück zum Zitat Poropat, A. E. (2009). A meta-analysis of the five-factor model of personality and academic performance. Psychological Bulletin, 135(2), 322–338. https://doi.org/10.1037/a0014996CrossRef
Zurück zum Zitat Raftery, A. E. (1995). Bayesian model selection in social research. Sociological Methodology, 25, 111–163. https://doi.org/10.2307/271063CrossRef
Zurück zum Zitat Roberts, B. W., Kuncel, N. R., Shiner, R., Caspi, A., & Goldberg, L. R. (2007). The power of personality: The comparative validity of personality traits, socioeconomic status, and cognitive ability for predicting important life outcomes. Perspectives on Psychological Science : A Journal of the Association for Psychological Science, 2(4), 313–345. https://doi.org/10.1111/j.1745-6916.2007.00047.xCrossRef
Zurück zum Zitat Robeyns, I. (2008). Introduction: Revisiting the feminism and basic income debate. Basic Income Studies. https://doi.org/10.2202/1932-0183.1137CrossRef
Zurück zum Zitat Roccas, S., Sagiv, L., Schwartz, S. H., & Knafo, A. (2002). The big five personality factors and personal values. Personality & Social Psychology Bulletin, 28(6), 789–801. https://doi.org/10.1177/0146167202289008CrossRef
Zurück zum Zitat Roosma, F. (2022). A struggle for framing and interpretation: The impact of the ‘basic income experiments’ on social policy reform in the Netherlands. European Journal of Social Security, 24(3), 192–212. https://doi.org/10.1177/13882627221109846CrossRef
Zurück zum Zitat Rosseel, Y. (2012). Lavaan: An R Package for Structural Equation Modeling. Journal of Statistical Software, 48(2). https://doi.org/10.18637/jss.v048.i02
Zurück zum Zitat Ryff, C. D. (1989). Happiness is everything, or is it? Explorations on the meaning of psychological wellbeing. Journal of Personality and Social Psychology, 57(6), 1069.CrossRef
Zurück zum Zitat Sagiv, L., Roccas, S., & Hazan, O. (2004). Value pathways to well‐being: healthy values, valued goal attainment, and environmental congruence. In P. A. Linley & M. E. P. Seligman (Eds.), Positive psychology in practice (pp. 68–85). Wiley. https://doi.org/10.1002/9780470939338.ch5
Zurück zum Zitat Sagiv, L., Roccas, S., & Oppenheim-Weller, S. (2015). Values and well-being. In S. Joseph (Ed.), Positive psychology in practice (pp. 103–120). John Wiley & Sons, Inc. https://doi.org/10.1002/9781118996874.ch7
Zurück zum Zitat Sagiv, L., & Schwartz, S. H. (1995). Value priorities and readiness for out-group social contact. Journal of Personality and Social Psychology, 69(3), 437–448. https://doi.org/10.1037/0022-3514.69.3.437CrossRef
Zurück zum Zitat Sagiv, L., & Schwartz, S. H. (2000). Value priorities and subjective well-being: Direct relations and congruity effects. European Journal of Social Psychology, 30(2), 177–198. https://doi.org/10.1002/(SICI)1099-0992(200003/04)30:2%3c177::AID-EJSP982%3e3.0.CO;2-ZCrossRef
Zurück zum Zitat Schmidt, P., Bamberg, S., Davidov, E., Herrmann, J., & Schwartz, S. H. (2007). Die Messung von Werten mit dem “Portraits Value Questionnaire” [The Measurement of Values with the “Portrait Value Questionnaire”]. Zeitschrift Für Sozialpsychologie, 38(4), 261–275. https://doi.org/10.1024/0044-3514.38.4.261CrossRef
Zurück zum Zitat Schupp, J., & Gerlitz, J.-Y. (2014). Big five inventory-SOEP (BFI-S). Advance online publication. https://doi.org/10.6102/zis54CrossRef
Zurück zum Zitat Schwartz, S. H. (2012). An overview of the Schwartz theory of basic values. Online readings in psychology and culture. https://doi.org/10.9707/2307-0919.1116CrossRef
Zurück zum Zitat Schwartz, S. H. (1992). Universals in the content and structure of values: theoretical advances and empirical tests in 20 countries. In M. P. Zanna (Ed.), Advances in experimental social psychology (Vol. 25, pp. 1–65). https://doi.org/10.1016/S0065-2601(08)60281-6
Zurück zum Zitat Schwartz, S. H. (2003). A proposal for measuring value orientations across nations. ESS (Ed.). Questionnaire development package of the European social survey. https://www.europeansocialsurvey.org/docs/methodology/core_ess_questionnaire/ESS_core_questionnaire_human_values.pdf
Zurück zum Zitat Schyns, P. (2001). Income and satisfaction in russia. Journal of Happiness Studies, 2(2), 173–204. https://doi.org/10.1023/A:1011564631319CrossRef
Zurück zum Zitat Sekulova, F., Bonilla, F., & Laín, B. (2023). Life satisfaction and socio-economic vulnerability: Evidence from the basic income experiment in Barcelona. Applied Research in Quality of Life. https://doi.org/10.1007/s11482-023-10176-xCrossRef
Zurück zum Zitat Sirgy, M. J. (2021). The psychology of quality of life (Vol. 83). Springer International Publishing. https://doi.org/10.1007/978-3-030-71888-6
Zurück zum Zitat Sortheix, F. M., & Lönnqvist, J.-E. (2014). Personal value priorities and life satisfaction in Europe. Journal of Cross-Cultural Psychology, 45(2), 282–299. https://doi.org/10.1177/0022022113504621CrossRef
Zurück zum Zitat Sortheix, F. M., Olakivi, A., & Helkama, K. (2013). Values, life events, and health: A study in a finnish rural community. Journal of Community & Applied Social Psychology, 23(4), 331–346. https://doi.org/10.1002/casp.2125CrossRef
Zurück zum Zitat Soto, C. J., & Luhmann, M. (2013). Who can buy happiness? Social Psychological and Personality Science, 4(1), 46–53. https://doi.org/10.1177/1948550612444139CrossRef
Zurück zum Zitat Specht, J., Egloff, B., & Schmukle, S. C. (2011). Stability and change of personality across the life course: The impact of age and major life events on mean-level and rank-order stability of the Big Five. Journal of Personality and Social Psychology, 101(4), 862–882. https://doi.org/10.1037/a0024950CrossRef
Zurück zum Zitat Steel, P., Schmidt, J., & Shultz, J. (2008). Refining the relationship between personality and subjective well-being. Psychological Bulletin, 134(1), 138–161. https://doi.org/10.1037/0033-2909.134.1.138CrossRef
Zurück zum Zitat Sutin, A. R., Costa, P. T., Miech, R., & Eaton, W. W. (2009). Personality and career success: Concurrent and longitudinal relations. European Journal of Personality, 23(2), 71–84. https://doi.org/10.1002/per.704CrossRef
Zurück zum Zitat Syrén, S. M., Kokko, K., Pulkkinen, L., & Pehkonen, J. (2020). Income and mental well-being: Personality traits as moderators. Journal of Happiness Studies, 21(2), 547–571. https://doi.org/10.1007/s10902-019-00076-zCrossRef
Zurück zum Zitat Tett, R. P., & Burnett, D. D. (2003). A personality trait-based interactionist model of job performance. The Journal of Applied Psychology, 88(3), 500–517. https://doi.org/10.1037/0021-9010.88.3.500CrossRef
Zurück zum Zitat Topp, C. W., Østergaard, S. D., Søndergaard, S., & Bech, P. (2015). The WHO-5 well-being index: A systematic review of the literature. Psychotherapy and Psychosomatics, 84(3), 167–176. https://doi.org/10.1159/000376585CrossRef
Zurück zum Zitat Vaidya, J. G., Gray, E. K., Haig, J., & Watson, D. (2002). On the temporal stability of personality: Evidence for differential stability and the role of life experiences. Journal of Personality and Social Psychology, 83(6), 1469–1484. https://doi.org/10.1037/0022-3514.83.6.1469CrossRef
Zurück zum Zitat van Vianen, A. E. (2018). Person-environment fit: A review of its basic tenets. Annual Review of Organizational Psychology and Organizational Behavior, 5, 75–101. https://doi.org/10.1146/annurev-orgpsych-032117-104702CrossRef
Zurück zum Zitat van Agteren, J., Iasiello, M., Lo, L., Bartholomaeus, J., Kopsaftis, Z., Carey, M., & Kyrios, M. (2021). A systematic review and meta-analysis of psychological interventions to improve mental wellbeing. Nature Human Behaviour, 5(5), 631–652. https://doi.org/10.1038/s41562-021-01093-wCrossRef
Zurück zum Zitat Wang, C., Pan, R., Wan, X., Tan, Y., Xu, L., Ho, C. S., & Ho, R. C. (2020). Immediate psychological responses and associated factors during the initial stage of the 2019 coronavirus disease (COVID-19) epidemic among the general population in China. International Journal of Environmental Research and Public Health, 17(5), 1729–1754. https://doi.org/10.3390/ijerph17051729CrossRef
Zurück zum Zitat Widiger, T. A., & Oltmanns, J. R. (2017). Neuroticism is a fundamental domain of personality with enormouspublic health implications. World Psychiatry: Official Journal of the World Psychiatric Association (WPA), 16(2), 144–145. https://doi.org/10.1002/wps.20411CrossRef
Zurück zum Zitat Witter, R. A., Okun, M. A., Stock, W. A., & Haring, M. J. (1984). Education and subjective well-being: A meta-analysis. Educational Evaluation and Policy Analysis, 6(2), 165–173. https://doi.org/10.3102/01623737006002165CrossRef
Zurück zum Zitat Yakovlev, P. & Leguizamon, S. (2012). Ignorance is not bliss: On the role of education in subjective well-being. The Journal of Socio-Economics, 41(6), 806–815. https://doi.org/10.1016/j.socec.2012.08.009.
Zurück zum Zitat Yap, S. C. Y., Anusic, I., & Lucas, R. E. (2012). Does Personality moderate reaction and adaptation to major life events? Evidence from the British household panel survey. Journal of Research in Personality, 46(5), 477–488. https://doi.org/10.1016/j.jrp.2012.05.005CrossRef