Zum Inhalt

Structural, optical, and magnetic studies of iodine-doped CdO nanopowders and films

  • 17.01.2018
  • Original Paper: Fundamentals of sol-gel and hybrid materials processing
Erschienen in:

Aktivieren Sie unsere intelligente Suche, um passende Fachinhalte oder Patente zu finden.

search-config
loading …

Abstract

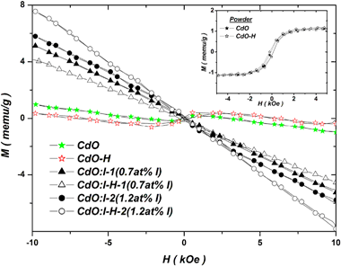
Iodine-doped CdO powders of different iodine contents have been synthesized by thermal dissociation of Cd complex. In addition, I-doped CdO thin films have been grown on glass substrates by a physical vapor deposition method. The effects of iodine doping on the structural, magnetic, and optical properties of the host CdO powder and film were systematically studied. The X-ray diffraction study shows that the incorporated I-ions most likely occupy oxygen vacancies (VO) created naturally in CdO lattice as point defects during synthesis. Thus, I-doping increases the unit-cell volume of host CdO, causes bandgap narrowing, and removing the weak d0 ferromagnetic (FM) component of CdO. Therefore, the weak FM component of undoped (d0) CdO is defect-induced phenomenon or induced by the created oxygen vacancies (VO). In the present fundamental investigation, real experimental connection between active VO, I-doping, and magnetic properties of I-doped CdO was observed and discussed.

Graphical abstract

Structural, optical and magnetic Study of iodine-doped CdO nanocomposite ceramic

Sie haben noch keine Lizenz? Dann Informieren Sie sich jetzt über unsere Produkte:

Springer Professional "Technik"

Online-Abonnement

Mit Springer Professional "Technik" erhalten Sie Zugriff auf:

  • über 67.000 Bücher
  • über 390 Zeitschriften

aus folgenden Fachgebieten:

  • Automobil + Motoren
  • Bauwesen + Immobilien
  • Business IT + Informatik
  • Elektrotechnik + Elektronik
  • Energie + Nachhaltigkeit
  • Maschinenbau + Werkstoffe




 

Jetzt Wissensvorsprung sichern!

Springer Professional "Wirtschaft+Technik"

Online-Abonnement

Mit Springer Professional "Wirtschaft+Technik" erhalten Sie Zugriff auf:

  • über 102.000 Bücher
  • über 537 Zeitschriften

aus folgenden Fachgebieten:

  • Automobil + Motoren
  • Bauwesen + Immobilien
  • Business IT + Informatik
  • Elektrotechnik + Elektronik
  • Energie + Nachhaltigkeit
  • Finance + Banking
  • Management + Führung
  • Marketing + Vertrieb
  • Maschinenbau + Werkstoffe
  • Versicherung + Risiko

Jetzt Wissensvorsprung sichern!

Titel
Structural, optical, and magnetic studies of iodine-doped CdO nanopowders and films
Verfasst von
A. A. Dakhel
Publikationsdatum
17.01.2018
Verlag
Springer US
Erschienen in
Journal of Sol-Gel Science and Technology / Ausgabe 2/2018
Print ISSN: 0928-0707
Elektronische ISSN: 1573-4846
DOI
https://doi.org/10.1007/s10971-017-4567-9
Dieser Inhalt ist nur sichtbar, wenn du eingeloggt bist und die entsprechende Berechtigung hast.

Weitere Artikel der Ausgabe 2/2018

ZnO-Al2O3-promoted CuO/ZrO2 catalyst prepared by oxalate gel-coprecipitation for the conversion of water-bearing materials

  • Original Paper: Sol-gel and hybrid materials for catalytic, photoelectrochemical and sensor applications

Assembly of Ni(OH)2-based electrodes without material synthesis step for application in supercapacitors

  • Original Paper: Nano-structured materials (particles, fibers, colloids, composites, etc.)

Synthesis and characterization of pectin/SiO2 hybrid materials

  • Original Paper: Modelling, computational tools and theoretical studies of sol-gel and hybrid materials

Polymerization behavior of silicic acid with Fe3+, Al3+, and Ca2+ coexisting ions

  • Original Paper: Sol-gel, hybrids and solution chemistries

IST - International Surface Technology (Link öffnet in neuem Fenster)

The leading magazine for all topics related to surface technology.
For decision-makers and users from all areas of industry.

ADVERTORIAL

Automatisierung in der Pulverbeschichtung

JOT - Journal für Oberflächentechnik (Link öffnet in neuem Fenster)

Das führende Magazin für sämtliche Themen in der Oberflächentechnik.
Für Entscheider und Anwender aus allen Bereichen der Industrie.

    ADVERTORIAL

    Automatisierung in der Pulverbeschichtung

    Bildnachweise
    IST - International Surface Technology, Online-Advertorial mit Teaserbox/© S, Gema - Pulverbeschichtung auf höchstem Niveau, Cenaris Logo/© @CENARIS GmbH, Eisenmann Logo/© ©EISENMANN GmbH, Fischer Logo/© ©Helmut Fischer GmbH, L&S Logo/© @L&S Oberflächentechnik GmbH & Co. KG, Venjakob Logo/© @VENJAKOB Maschinenbau GmbH & Co. KG, Nordson Logo/© ©2025 Nordson Corporation., ASIS Logo, Gema Logo/© @Gema Switzerland GmbH, Harter Drying Solutions/© @HARTER GmbH, Ecoclean Logo/© @SBS Ecoclean Group, Wagner Logo/© @J. Wagner GmbH, FreiLacke Logo/© @Emil Frei GmbH & Co. KG, JOT - Journal für Oberflächentechnik