Zum Inhalt

The importance of tree species identity and trait-based winter foraging ecology of bark-foraging bird species in a large Central European floodplain forest

  • Open Access
  • 27.04.2024
  • Original Research
Erschienen in:

Aktivieren Sie unsere intelligente Suche, um passende Fachinhalte oder Patente zu finden.

search-config
loading …

Abstract

Die Studie untersucht die Futterökologie von Rindenfuttervögeln in einem großen mitteleuropäischen Auenwald und konzentriert sich dabei auf die Bedeutung der Identität von Baumarten und der Ökologie der Rindenfuttersuche. Es untersucht die Vielfalt der Baumnutzung durch Vogelarten, das Netzwerk der Vogel-Baum-Interaktionen und den Einfluss von Baumeigenschaften wie Zustand, Durchmesser und Rauheit der Rinde auf das Futterverhalten von Vögeln. Die Forschung unterstreicht die Komplexität und Unzersplittertheit dieser Interaktionen und betont die Notwendigkeit von Schutzbemühungen, um die Vielfalt der Auwälder zu erhalten.
Communicated by Grzegorz Mikusinski

Publisher's Note

Springer Nature remains neutral with regard to jurisdictional claims in published maps and institutional affiliations.

Introduction

Habitat use by tree-foraging birds with overlapping resource preferences is shaped by the availability of resources and by the presence of competitor species (Alatalo 1978; MacNally 1983). Species that forage on trees are often morphologically similar so overlap in resource use is often partitioned to avoid competition. Foraging preferences are often driven by the composition of tree species (Korňan and Adamík 2017; Lara et al. 2015), as each foraging bird species can have a distinctive preference for a particular tree species (Beltrán and Wunderle 2013; Ceia and Ramos 2016b; Holmes and Robinson 1981).
Among species foraging on bark-dwelling arthropods, woodpecker foraging ecology is often the most widely studied because of their unique ability to excavate deep within the bark (Hammond and Theimer 2020; Kumar et al. 2020). Nuthatches and treecreepers are also obligate tree-climbing species, but they use other foraging techniques to find their prey on trees (Adamík and Kornan 2004; Lara et al. 2015). Apart from being granivorous, tits feed more frequently in winter on eggs, larvae, pupae, and adults of arthropods extracted from the bark compared to spring or summer (Gayk and Lindsay 2012; Suhonen et al. 1994).
Floodplain forests are nutrient-rich and highly diverse ecosystems with a high diversity of microhabitats attributed to hydrological dynamic shaping within this forest type (Mölder and Schneider 2011; Schneider-Binder 2009). Floodplain areas, however, have been widely destroyed and transformed by measures implemented to regulate river levels. For instance, 80% of the floodplains of the Danube (Europe’s second largest river after the Volga) have been severely destroyed (Schneider et al. 2009). Hence, the few remaining floodplains are of high importance for biodiversity conservation (Mölder and Schneider 2011). Even so, these remaining floodplain forests suffer ongoing reduction in hydrological connectivity because of deepening riverbeds and decreasing groundwater table (Saccone et al. 2010). The changing environmental conditions may facilitate the invasion of the remaining floodplain forests by exotic taxa, which poses another threat to biodiversity of these habitats (Schnitzler et al. 2007).
Ongoing changes in forest structure and tree species composition in floodplain forests could potentially have a significant impact on the composition of bark-foraging avian communities. Since birds are often used as bio-indicators for assessing changes in quality of forest habitat (Cooper et al. 2009; Machar 2011), we assessed the ecology of tree-foraging birds since knowledge of their preferences for particular tree species and associated foraging substrates may facilitate conservation planning (Gabbe et al. 2002; Kirsch and Wellik 2017). Particularly, we were interested in the extent of preferences of bark-foraging birds for certain floodplain forest tree species. Few studies have examined the relationships between tree species identity and bark-foraging birds in the context of bird-plant networks, and the interactions among birds and plants or plants for which birds facilitate pollination or seed dispersal (Buitrón-Jurado and Sanz 2021; Cockle et al. 2012; Li et al. 2019; Martínez-García et al. 2020).
Numerous tree characteristics are important for bark-foraging birds (Gorman 2004; Jackson 1979; Stański et al. 2021b). The condition or decay stage can indicate potential prey items living in the wood of particular trees (Stański et al. 2021b). Diameter at breast height is a standardized metric used to refer to the size and age of trees, as thicker, older trees can have more arthropods in or on the surface (Stański et al. 2021b). The roughness, or rugosity, of the bark is also important as bark-foraging birds can typically find more food on the surface and in the crevices of tree species with more structured bark (Lammertink 2007).
We hypothesized that in highly diverse floodplain forests, bark-foraging birds would not only prefer particular tree species, but that tree characteristics such as condition, bark roughness, and tree trunk diameter would be important predictors of occurrence. Hence, we observed tree-foraging woodpeckers, Eurasian nuthatches (Sitta europea), treecreepers (Certhia spp.), and tits in floodplain forest areas to assess the extent to which they exhibited resource partitioning in terms of tree species and their characteristics. As such, we examined the following:
I.
Diversity of tree use by bird species. We hypothesized that particular bird species are located on the specialization gradient concerning the use of foraging trees.
 
II.
Bird-tree network. We predicted a network where all avian taxa used a variety of tree species for foraging, yet key bird and tree species would also be present.
 
III.
How foraging patterns differed among bird species relative to tree condition, bark roughness, and diameter at breast height, and how each characteristic influenced the tree choice by particular avian taxa. We hypothesized that there would be species-specific differences in the importance of tree characteristics and that these factors would be important predictors of single-species tree choice.
 

Materials and Methods

Study area

The study was conducted in the Donau-Auen National Park, Eastern Austria, which contains the longest free-flowing section of the Danube with one of Europe’s largest semi-natural riparian forest areas of approximately 9300 ha. The national park stretches from Vienna to the eastern border of Austria (Fig. 1). It was established in 1996, and since then, no commercial forest management operations have been carried out (Hönigsberger 2017). Some parts of this forest have been sealed off from floods by a flood protection dam, which prevents adjacent settlements from flooding (Adrion 2016). We conducted our study in both the areas that are still flooded regularly and the sealed-off areas, which can still be affected by flooding events due to a rising groundwater table.
Fig. 1
Above: satellite image and map of the study area (light green polygon) and transects (red lines). Below: location of the study sites in Central Europe
Bild vergrößern
The forest cover of the national park is a mixture of softwood and hardwood forest stands that include 30- to more than 100-year-old stands, with a high tree and shrub species diversity (Nagl and Schulze 2017). We carried out our surveys throughout a variety of floodplain forest types and age classes while making sure to avoid monoculture plantations. Our transects were located in the vicinity of the settlements of Orth an der Donau, Eckartsau, Witzelsdorf, and Stopfenreuth, with a total length of ca. 30 km (Fig. 1). This study was focused on woody species with a diameter at breast height greater than 10 cm. Based on monitoring of available tree species (see Methods), the most frequent tree species were white poplar (Populus alba, ca. 25%), common ash (Fraxinus excelsior, ca. 17%), field maple (Acer campestre, ca. 10%), common walnut (Juglans regia, ca. 7%), black poplar (P. nigra, ca. 5%), and pedunculate oak (Quercus robur, ca 5%). The trees with the largest trunk diameter mainly included pedunculate oak, common ash, and black poplar. Such trees with a diameter at breast height over 150 cm were scattered mainly throughout the oldest (> 100 years of age) stands of the study area but can also be found in younger stands. There was a low frequency of dead trees in the study area (ca 6%), and most of them had a diameter at breast height (DBH) < 40 cm. There were sporadic (< 5%) native floodplain trees such as white elm (Ulmus laevis), white willow (Salix alba), and crack willow (S. fragilis), and mountainous species, such as common hornbeam (Carpinus betulus) and sycamore maple (Acer pseudoplatanus). We also found old individuals of shrub species, such as Cornelian cherry dogwood (Cornus mas), common dogwood (C. sanguinea), common hazel (Corylus avellana), black elderberry (Sambucus nigra), and common hawthorn (Crataegus monogyna) and non-native trees such as the tree of heaven (Ailanthus altissima) and black locust (Robinia pseudoacacia).

Methods

Data were collected in two periods: from December 2019 to January 2020 and from January to early March 2021, under winter weather conditions below or slightly over 0 °C. We visited each transect only once in each of the two periods, walked at a steady pace, and within a 100 m buffer of where we recorded foraging behavior of each bird that spent a minimum of 3 s in a particular spot gleaning, probing, pecking or excavating (Czeszczewik 2010; Nappi et al. 2015; Osiejuk 1998) on a woody species with a DBH > 10 cm. To avoid autocorrelation of data, we used only “first foraging observations” (Filek et al. 2018). In the first period, we observed only obligate bark-foraging species, such as woodpeckers, Eurasian nuthatches, and treecreepers, while during the second period, we additionally included facultative bark-foraging birds as great tits (Parus major), Eurasian blue tits (Cyanistes caeruleus), and marsh tits (Poecile palustris). We took great care in the direction of flights of the birds encountered to minimize the possibility of pseudo-replication (i.e. double counting). Observations were carried out only during periods without heavy rain or strong winds from one hour after sunrise through the morning hours and sometimes into the late afternoon in the case of long transects.
Based on the protocols of similar studies (Czeszczewik 2010; Duron et al. 2018; Filek et al. 2018; Lorenz et al. 2016; Nappi et al. 2015; Osiejuk 1998; St-Amand et al. 2018; Török 1990), during every encounter, we recorded the following variables: tree species, tree condition, and trunk DBH.
Tree or shrub species were classified at the species level, except white willow and crack willow (collectively classified as “willow trees” since they have very similar architecture and wood structure and are difficult to distinguish in leafless conditions). These two willow species also hybridize (Triest 2001). White poplar often hybridizes with common aspen (Populus tremula) (Castiglione et al. 2010), while black poplar crossbreeds with planted hybrid Euramerican poplars (Populus × canadensis) (Gencsi and Vancsura 2002). These two groups can be clearly identified and are referred to as “white poplar” and “black poplar”. The two poplar groups have different bark structures, as the bark of white poplars is smoother compared to black poplars, which may lead to differences in their bark-dwelling arthropod communities (Ónodi et al. 2021).
The condition of trees was classified as living (less than half of their branches are decayed), decaying (more than half of their branches are decayed but still have living branches), or dead (all of the branches are dead or branchless).
Stem DBH was assigned at 30-cm intervals, e.g. > 10–40 cm, > 40–70 cm, > 70–100 cm, and > 100 cm.
We recorded tree species, condition, and stem DBH of the tree the focal individual bird foraged upon. Furthermore, we also collected data on unused trees, with a slight modification of the ‘random tree’ approach (Pierson et al. 2010). We registered one tree west and one east of the focal tree within a 15 m distance. We randomly selected a tree if there was no tree within 15 m of a given direction.
Further, the bark roughness of each tree species was defined in a posteriori mode, based on the characteristics of middle-aged and older trees as smooth (no crevices = 1), intermediate (< 2 cm deep crevices = 2), and rough (> 2 cm deep crevices = 3) after Buba and Danmallan (2019). Values are shown in Table 1.
Table 1
List of tree species encountered throughout the study in alphabetical order with their bark roughness score as smooth (no crevices = 1), intermediate (< 2 cm deep crevices = 2), and rough (> 2 cm deep crevices = 3)
Scientific name
English name
Bark roughness
Acer campestre
Field maple
2
Acer negundo
Box elder
2
Acer pseudoplatanus
Sycamore
2
Aesculus hippocastanum
Horse chestnut
3
Ailanthus altissima
Tree of heaven
1
Alnus glutinosa
Common alder
2
Alnus incana
Grey alder
1
Betula pendula
Silver birch
3
Carpinus betulus
Common hornbeam
1
Cornus mas
Cornelian cherry
2
Cornus sanguinea
Common dogwood
2
Corylus avellana
Common hazel
1
Crataegus monogyna
Common hawthorn
2
Fraxinus angustifolia ssp. pannonica
Hungarian narrow-leaved ash
2
Fraxinus excelsior
Common ash
2
Juglans nigra
Eastern American black walnut
2
Juglans regia
English walnut
2
Populus alba
White poplar
3
Populus nigra
Black poplar
3
Quercus robur
Pedunculate oak
3
Robinia pseudoacacia
Black locust
3
Salix spp.
Willows
3
Sambucus nigra
Black elder
2
Tilia platyphyllos
Large-leaved lime
2
Ulmus glabra
Wych elm
2
Ulmus laevis
European white elm
3
Ulmus minor
Field elm
2
Throughout our field sessions, we collected 234 foraging records of eight species altogether. We only included species in our analysis that had at least 20 encounters, which resulted in 231 foraging observations of seven bird species. We excluded encounters of lesser spotted woodpeckers (Dryobates minor, three encounters) and analyzed foraging data of 52 great spotted woodpeckers (Dendrocopos major), 20 middle spotted woodpeckers, 57 Eurasian nuthatches, 20 treecreepers, 39 Eurasian blue tits, 22 great tits, and 21 marsh tits. Following earlier studies (Skórka and Wójcik 2003; Brauze and Zieliński 2006), we grouped the common treecreeper (Certhia familiaris) and the short-toed treecreeper (C. brachydactyla) into one category, since these sibling taxa have highly similar morphology (Clouet and Gerard 2019). Most of the time, it was not possible to tell the two species apart for non-singing individuals, especially in winter conditions, while they are spiraling quickly on the trunk and gleaning on the bark. Along the transects, we observed a few black woodpeckers (Dryocopus martius) and Eurasian green woodpeckers (Picus viridis) only flying and calling, thus, we did not include them in our study. We had data on 231 foraging trees of 20 species and 462 adjacent trees. We encountered 27 tree species in total throughout our study (Table 1).

Data analyses

To compare the diversity of tree species used, a species accumulation curve was calculated for each bird species using iNEXT (Chao et al. 2014, 2016). The curves visualize how the number of tree species used by individual bird species increases with the number of first foraging observations. For direct comparison between bird species, we then used a rarefaction approach calculating the number of tree species (± 95% CI) predicted to be used for the largest common number of first foraging observations of 40. For each bird species, the number of tree species used was estimated either by rarefaction or the extrapolation for a common number of foraging observations of 40 since the smallest number of foraging observation of a species was 20, and Chao et al. (2016) recommend extrapolating species accumulation curves to no more than twice the sample size. This corresponds to a sample size of 40 observations.
We made a two-mode network on the tree species preferences of the studied bird species. We only included the tree species with more than four registered individuals throughout the study to mitigate the bias of sporadic but over-preferred tree species with, for example, occasionally highly decayed wood. We only worked with bird-plant relationships of a positive Jacobs’ preference index value. This index ranges from -1 (total avoidance) to + 1 (strong preference) (Loehle and Rittenhouse 1982; Swamidoss et al. 2012). Any ties were weighted by Jacobs’ preference index values. We computed network metrics on the macro- (connectedness, fragmentation, and transitivity) and micro-scale (normalized degree, closeness centrality, and betweenness centrality) as well (Martínez-García et al. 2020). We also computed key-player metrics to determine the most important bird species and the five most important tree species in this network via the distance-weighted fragmentation criterion (Borgatti 2006). These analyses were made with UCINET 6 for Windows (Borgatti et al. 2002) and KeyPlayer 1.45 (Borgatti 2003). The network was visualized with NetDraw 2.176 (Borgatti 2002).
To compare the use of tree characteristics between species, we used Kruskal–Wallis analysis followed by Wilcoxon pairwise post hoc tests with Monte Carlo resampling. P values were considered significant under 0.1 (Pasinelli 2000). We made this analysis in PAST version 2.17c (Hammer et al. 2001). The visualization of these particular results was made in R version 4.2.2 (R Core Team 2022) with packages tidyverse (version 2.0.0, Wickham et al. 2019), rstatix (version 0.7.2, Kassambara 2019), devtools (version 2.4.5, Wickham and Bryan 2023), ggpubr (version 0.6.0, Kassambara 2019), GmAMisc (version 1.2.1, Alberti 2020), multcompView (version 0.1–10, Graves et al. 2024) and ggplot2 (version 3.4.4, Wickham 2016).
To reveal which tree traits were crucial in the foraging tree choice of each bird species, we computed Wilcoxon rank sum tests with Monte Carlo resampling, comparing the used and unused trees (Western and Eastern). P values were considered statistically significant under 0.1 (Pasinelli 2000). For this analysis, we used PAST version 2.17c (Hammer et al. 2001).

Results

The diversity of trees used

Twenty species of tree were used by the target species for foraging. The tree species accumulation curves indicate that the majority of bird species used a wide range of species for foraging. Further, all species accumulation curves indicate that the number of records of tree species used would continue to increase as the number of first foraging observations increased. However, the treecreepers appeared to use more tree species than, e.g., the Eurasian blue tit (Fig. 2). Still, when standardizing the number of first foraging observations to a shared sample size of 40, the estimated number of tree species used did not significantly differ among the seven bird species when considering their overlapping 95% confidence intervals (Fig. 3).
Fig. 2
The cumulative number of tree species used for foraging by the target species plotted against the increasing number of individuals observed (= first foraging observations). Dashed lines indicate extrapolated parts of the curves. Bird species: GSW—great spotted woodpecker, MSW—middle spotted woodpecker, NUT – Eurasian nuthatch, TRE – treecreeper species, GT—great tit, BT – Eurasian blue tit, MT—marsh tit
Bild vergrößern
Fig. 3
Estimated number of tree species that each of the seven bird species used when calculated for a commonly shared number of 40 individuals. Bird species: GSW – great spotted woodpecker, MSW – middle spotted woodpecker, NUT – Eurasian nuthatch, TRE – treecreeper, GT – great tit, BT – Eurasian blue tit, MT – marsh tit
Bild vergrößern

The bird-tree network

The seven bird species used 20 tree species in this study. Among woodpeckers, the great spotted woodpeckers used 13 tree species, while the middle spotted woodpeckers used 9 species. Eurasian nuthatches used 14 tree species, treecreepers used 10 species. Great, Eurasian blue and marsh tits used 8, 10, and 8 tree species, respectively (Fig. 4).
Fig. 4
Bimodal bird-tree network of the study based on tree species with more than five individuals. Links are weighted on the positive values of Jacobs’ selectivity indices
Bild vergrößern
According to the Jacobs' preference indices, the two tree species most preferred by individual bird species were Betula pendula and Quercus robur for great spotted woodpecker, Ailanthus altissima and Quercus robur for middle spotted woodpecker, Juglans nigra and Quercus robur for Eurasian nuthatch, Robinia pseudoacacia and Salix spp. for treecreepers, Populus alba and Quercus robur for great tit, Populus alba and Salix spp. for Eurasian blue tit and Acer campestre and Carpinus betulus for marsh tit, respectively. The full spectrum of tree species preferred by individual bird species is presented in Fig. 4.
The bimodal network of bird species preferring woody species was a completely unfragmented network, with a connectedness of 1 and a fragmentation of 0, with a transitivity of 0.662. According to the normalized degree, closeness, and betweenness centrality, the most connected tree species was Ulmus laevis, although Populus alba, P. nigra, Quercus robur, and Fraxinus excelsior also had high values (Table 2). The most connected bird species were the great spotted woodpecker, Eurasian nuthatch, and treecreeper (Table 3). According to the distance-weighted fragmentation criterion, the most important bird species was the marsh tit; hence only this species preferred Corylus avellana and Carpinus betulus. The top five key tree species from the most to the least important were Ulmus laevis, Quercus robur, Populus nigra, P. alba, and Fraxinus excelsior.
Table 2
2-mode centrality measures of the bird-tree network for tree species with more than four records. The most connected six tree species are highlighted in bold letters
 
Degree
2-Local
Closeness
Betweenness
Eigenvector
Acer campestre
0.571
0.230
0.719
0.033
0.250
Acer pseudoplatanus
0.429
0.167
0.672
0.013
0.183
Ailanthus altissima
0.143
0.063
0.562
0
0.071
Betula pendula
0.143
0.071
0.577
0
0.066
Corylus avellana
0.143
0.056
0.547
0
0.057
Carpinus betulus
0.143
0.056
0.547
0
0.057
Cornus sanguinea
0.286
0.143
0.651
0.004
0.139
Crataegus monogyna
0.286
0.127
0.651
0.006
0.134
Fraxinus excelsior
0.714
0.333
0.911
0.082
0.347
Juglans nigra
0.286
0.143
0.651
0.004
0.139
Juglans regia
0.429
0.206
0.719
0.018
0.210
Populus alba
0.857
0.365
0.911
0.097
0.394
Populus nigra
0.571
0.262
0.837
0.053
0.274
Quercus robur
0.714
0.333
0.837
0.062
0.351
Robinia pseudoacacia
0.286
0.143
0.672
0.006
0.147
Salix spp.
0.429
0.190
0.719
0.015
0.206
Ulmus laevis
1
0.437
1
0.163
0.460
Ulmus minor
0.429
0.175
0.651
0.008
0.193
Table 3
2-mode centrality measures of the bird-tree network for bird species. The most connected three bird species are highlighted in bold letters
 
Degree
2-Local
Closeness
Betweenness
Eigenvector
Dendrocopos major
0.500
0.246
0.625
0.202
0.374
Leiopicus medius
0.444
0.270
0.600
0.156
0.402
Sitta europaea
0.500
0.278
0.625
0.172
0.418
Certhia spp.
0.500
0.310
0.625
0.144
0.461
Parus major
0.389
0.238
0.577
0.087
0.345
Cyanistes caeruleus
0.333
0.206
0.556
0.052
0.296
Poecile palustris
0.389
0.222
0.577
0.190
0.323

Tree characteristics

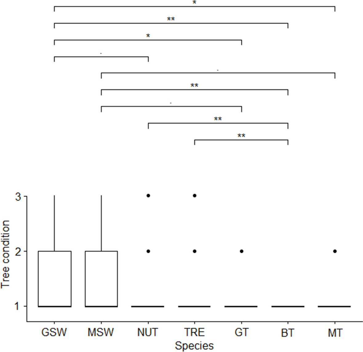
Among the three tree characteristics, we only found statistically significant differences between species in terms of tree condition (χ2 = 25.559, df = 6, p = 0.00027). Based on the pairwise post hoc tests, great spotted woodpeckers used significantly more decayed trees than great tits, Eurasian blue tit, and marsh tit. Middle spotted woodpeckers and Eurasian nuthatches used significantly more decayed trees than Eurasian blue tits (Fig. 5).
Fig. 5
Visualization of pairwise Wilcoxon rank sum tests with Monte Carlo randomizations for the comparison of the bird species studied in the use of different tree condition categories with box plots. Tree condition categories are as follows: ‘1’: living trees, with less than 50% of dead branches, ‘2’: decaying trees, with at least 50% of dead branches, ‘3’: dead trees, with 100% of dead branches. Bird species abbreviations are as follows: ‘GSE’: great spotted woodpecker, ‘MSW’: middle spotted woodpecker, ‘NUT’: Eurasian nuthatch, ‘TRE’: treecreeper, ‘GT’: great tit, ‘BT’: Eurasian blue tit, ‘MT’: marsh tit. Dots over the brackets indicate between-species differences with the P value from under 0.1 to 0.05. Single asterisks indicate between-species differences with the P value from under 0.05 to 0.001. Double asterisks indicate between-species differences with a P value under 0.001
Bild vergrößern
We found statistically significant correspondence in the tree choice of six species, great spotted woodpecker, middle spotted woodpecker, Eurasian nuthatch, great tit, Eurasian blue tit, and marsh tit. Excluding the marsh tit, which only preferred trees with higher DBH, the other species preferred trees of higher DBH and rougher bark structure, while Eurasian blue tits also preferred less decayed trees (Table 4).
Table 4
Results of Wilcoxon rank sum tests comparing used and unused trees in each studied species in the case of each tree characteristic, with mean, standard deviation (SD), Wilcoxon U, and Monte Carlo simulated P values. P values under 0.1 are in bold style. DBH = diameter at breast height
 
Used trees
Unused trees
  
Mean
SD
Mean
SD
U
Monte Carlo P
Great spotted woodpecker
Tree condition
1.50
0.70
1.34
0.61
2346
0.1615
DBH
2.13
0.91
1.45
0.67
1491
0.0001
Bark roughness
2.52
0.54
2.27
0.62
2111
0.0226
Middle spotted woodpecker
Tree condition
1.50
0.83
1.32
0.57
352
0.5716
DBH
1.95
0.94
1.45
0.72
256.5
0.0236
Bark roughness
2.50
0.61
2.16
0.64
272
0.0579
Eurasian nuthatch
Tree condition
1.28
0.53
1.33
0.64
3006
0.9525
DBH
1.91
0.87
1.48
0.73
2144
0.0004
Bark roughness
2.51
0.54
2.18
0.65
2205
0.0019
Treecreeper
Tree condition
1.30
0.66
1.42
0.68
340
0.4364
DBH
1.85
0.81
1.63
0.79
317.5
0.2794
Bark roughness
2.60
0.50
2.42
0.68
336
0.4556
Great tit
Tree condition
1.09
0.29
1.28
0.45
359
0.1161
DBH
2.14
0.94
1.43
0.68
242.5
0.0016
Bark roughness
2.64
0.49
2.18
0.64
272
0.0083
Eurasian blue tit
Tree condition
1.00
0.00
1.13
0.38
1307
0.0239
DBH
2.08
0.90
1.47
0.84
869
0.0001
Bark roughness
2.67
0.48
2.30
0.65
869
0.0001
Marsh tit
Tree condition
1.10
0.30
1.30
0.66
348
0.319
DBH
2.05
0.86
1.46
0.77
235.5
0.005
Bark roughness
2.38
0.67
2.22
0.67
336.5
0.3749

Discussion

The diversity of trees used

Floodplain forests are highly degraded habitats globally, yet are among the most important forest types with high conservation significance, both as green corridors for forest species and as breeding habitats for floodplain forest specialists (Havrdová et al. 2023; Machar et al. 2019; Mölder and Schneider 2011). As one of the largest free-flowing floodplain areas of Europe, Donau-Auen National Park has a crucial role in conservation as a biodiversity hotspot in the region with a high species richness of both bird and tree species, it provides an exceptional opportunity to study tree species preferences of tree-foraging bird species in such complex ecosystems (Nagl and Schulze 2017).
Although we hypothesized that particular bird species would be more specialist while others would be more generalist in terms of how many tree species each use, we did not find substantial differences among bird species in this regard. In fact, all bird species used a variety of tree species for foraging. Nevertheless, considering preference, we found substantial differences between the studied bird species. It can be stated that the number of visited tree species can be fairly higher than the number of preferred tree species (Gabbe et al. 2002; Korňan and Adamík 2017).

The network between birds and preferred tree species

As we hypothesized, the bird-tree preference connections in our study revealed an unfragmented network with key members of both bird and tree species.
As we recorded, great spotted woodpeckers used a wide range of tree species, being the most generalist woodpecker species in the Western Palearctic (Gorman 2004; Ónodi et al. 2021; Stański et al. 2020, 2021a). In a study on its foraging behavior in an oak-lime-hornbeam forests of Białowieża National Park, they also preferred a wide range of tree species, e.g., aspen (Populus tremula), small-leaved lime (Tilia cordata), Norway maple (Acer platanoides), common hornbeam and pedunculate oaks (Stański et al. 2020).
Similarly to other studies (e.g., Pasinelli 2000 Stański et al. 2021b), middle spotted woodpeckers highly preferred pedunculate oaks, as old oak trees with decaying parts can have a variety of foraging sources for this woodpecker species. In spite of this, they showed the greatest preference for girdled individuals of the invasive tree of heaven. These trees, along with non-native box elder trees (Acer negundo), were killed by horizontal chainsaw cuts around the stems in a national park-wide effort from 2010 to 2014 (Quadt et al. 2016). Due to these efforts, a substantial proportion of snags and logs found nowadays in the National Park originate from this invasive tree species. We found no information in the literature for middle spotted woodpeckers foraging on Ailanthus altissima. However, there are a few records of wood-boring insect species found in the wood of this species in Hungary that can be prey of woodpeckers (Kovács 1995, 1997; Kovács and Gebei 2021). In the oak-lime-hornbeam (Tilio-Carpinetum) forests of the Białowieża National Park, Stański et al. (2021b) found that apart from pedunculate oaks, middle spotted woodpeckers also preferred Norway maple (Acer platanoides) trees, which were only found scarcely in our study area and we did not record any foraging data from this tree species. Pasinelli (2000) also found preferential use of oaks in Swiss lowland forests characterized by oak, hornbeam and lime.
As already documented, the Eurasian nuthatch occupies a broad niche in terms of tree species use (Adamík and Kornan 2004, Korňan and Adamík 2017). This was also confirmed by our study. Treecreepers are known to use a wide range of tree species (Ceia and Ramos 2016a; Korňan and Adamík 2017), similarly to our observations. Adamík and Korňan (2004) and Korňan and Adamík (2017) also reported a preference for sycamore maple by both common treecreeper and Eurasian nuthatch, for which we did not find evidence.
The unique tree preference exhibited by marsh tits may perhaps be explained by its subordinate role among Parid species. Haftorn (1993) found that marsh tits are subordinate to both great tits and also Eurasian blue tits. This may explain why we did not observe this species foraging on the scarcely found pedunculate oaks. At the same time, other studies highlight its significant role in habitat selection and winter foraging ecology of marsh tits (Broughton et al. 2014). The competitive exclusion by great tits and Eurasian blue tits relative to pedunculate oaks was also suggested by Carpenter (2008). In a coniferous-deciduous mixed mountain forests of Slovakia, in the absence of great tits and Eurasian blue tits, but in the presence of coal tits (Periparus ater) and crested tit (Lophophanes cristatus), marsh tits preferred to forage on sycamore maples (Adamík et al. 2003). In our study, we could not find any preference for sycamore maples by marsh tits, but great and Eurasian blue tits did show a preference for this particular tree species. This preference may be due to social dominance or difference in prey availability of the same tree species at different geographical locations in different seasons (Osborne and Green 1992; Travis 1977; Unno 2002). Great tits frequently used oaks (Quercus spp.) and sycamore maple trees as well in a study conducted in spring in parks with common ash, oak, sycamore maple, beech, elder, hawthorn, hazel, blackthorn (Prunus spinoza) and willow (Salix spp.) trees in Oxford (Franzreb 1984). In that study, Eurasian blue tits foraged most frequently on common ash and oak trees, while in our study they did not use oaks but preferred common ash trees. Marsh tits in Franzreb’s (1984) study foraged mostly on black elderberry and common ash trees; we also found a preference for the latter tree species. Rolando (1982) studied the autumn–winter foraging behavior of these three particular tit species in parks in the Po River valley, with dominant tree species such as pedunculate oak, common ash, and poplars. He found that marsh tits foraged on oak trees the least among tit species and foraged the most on hazel. We also found a preference for hazel.
We found the European white elm to be the most connected and essential key species for this bird-tree network, as all bird species showed preferences for this particular tree species. The European white elm is symbolic of temperate European oak-ash-elm floodplain forests. As a late successional tree species, it is susceptible to the drier climate caused by climate change, but also to the effects of river regulations with deeper riverbeds and thus a lower groundwater table (Allen et al. 2010; Hemery et al. 2010; Venturas et al. 2014). Studies on bark-foraging birds using elm trees are rare, especially in the case of the European white elm. In North America, downy woodpeckers (Dryobates pubescens) prefer dead American elm trees (Ulmus americana) in winter (Jackson 1970). In a study on the tree preferences of tree-foraging insectivorous bird species in a primeval beech-fir forests of Slovakia, the wych elm (U. glabra) was most preferred by species also considered in our study, namely Eurasian nuthatch, Eurasian treecreeper, and marsh tit (Korňan and Adamík 2017). According to Holmes and Robinson (1981) and Holmes and Schultz (1988), elms, besides other tree species such as willows and sycamores (Platanus spp.), are disturbance-dependent species that grow fast and generally have lower defenses against herbivory and therefore have higher abundance and biomass of insects. As elms have relatively low population densities but have a significant role in bird foraging, it is crucial to take the conservation of the European white elm into consideration among other secondary tree species in floodplain forest habitats (Venturas et al. 2014).
The high importance of Quercus robur is equivocal with other studies, as oak species provide a high diversity of microhabitats with essential food sources for bark-foraging birds (Domokos and Cristea 2014; Ónodi et al. 2022; Proença et al. 2010; Robles et al. 2011; Stański et al. 2021b).

Tree characteristics

In our study, species that are particularly specialized on searching for insects on and under bark showed a clear preference for decayed and dead trees. This was also the case in the study of Korňan and Adamík (2017), which was conducted in a primeval mountain mixed forest in Slovakia, where among the numerous tree-foraging bird species, only the Eurasian nuthatch and the studied two woodpecker species, namely the three-toed woodpecker (Picoides tridactylus) and the white-backed woodpecker (Dendrocopos leucotos), showed preference for dead trees. Also, in our study, besides the importance of tree species identity, there was at least a weak preference for more decayed trees in both woodpecker species compared to other bark-foraging birds. Excluding treecreepers, all species studied showed a preference for larger DBH.
In this study, apart from treecreepers, all other bird species preferred trees with a larger diameter and a rougher bark structure. In an earlier study by Ónodi et al. (2021) on the winter intersexual foraging segregation of great spotted woodpeckers in softwood willow-poplar forests in Hungary with a high presence of invasive non-native tree species, such as green ash (Fraxinus pennsylvanica) and box elder (Acer negundo), this woodpecker species preferred the rougher bark willow and poplar trees with larger DBH, compared to the invasive tree species with smoother bark surfaces. In those forests, willow and poplar species provided more foraging sources compared to non-native trees. In contrast, the floodplain forests of the Donau-Auen National Park have a high number of native species and, therefore, a wider variety of food sources. Great spotted woodpeckers also chose the larger-diameter trees with rough bark structures. Similarly to our results, in the highly diverse oak-lime-hornbeam stands of Białowieża National Park in Poland, Stański et al. (2020) found a preference of this woodpecker species for more decayed foraging trees with a greater DBH. Nevertheless, on the level of bird species, we did not find a preference for decayed trees. On the preference for larger-diameter trees, Stański et al. (2020) hypothesized that trees with larger trunk diameters can have a higher number of invertebrates than smaller-diameter trees.
Middle spotted woodpeckers preferred dead trees over living trees in the work of Stański et al. (2021b) in the oak-lime-hornbeam forest stands of the Białowieża National Park in the non-breeding season. As in that particular study, middle spotted woodpeckers preferred the rough-barked pedunculate oak and Norway spruce the most, thus, bark roughness could also be an important factor for the species, as also documented by our study.
In a study on post-fledging middle spotted woodpeckers in the Cantabrian mountains of Northern Spain, in forests where oaks were the major species with a significant amount of poplars, willows, ashes, and pines, birds used only larger diameter decayed oak, willow, and poplar trees of rougher bark (Ciudad et al. 2009), similarly to our study.
In a study on the foraging of middle spotted woodpeckers made in the Taurus mountain range in Turkey during April/May (Bergner et al. 2016), in an area of mainly pollarded individuals of four oak species, among other tree characteristics, middle spotted woodpeckers preferred to forage on trees with a greater circumference and bark roughness, as we also found.
In contrast to Korňan and Adamík (2017), who found a preference of foraging Eurasian nuthatches for dead trees in a beech-fir mixed forest in spring, we could not confirm this phenomenon in our study. This difference may be attributed to habitat and seasonal differences (Michielsen et al. 2024). In the former study, nuthatches also preferred tree species with rougher bark structure (such as sycamore maple and Norway spruce), similar to our study.
In addition to species-specific preferences for certain tree species, we found that great, Eurasian blue and marsh tits preferred to forage on trees with rougher bark. Similar results were reported by Franzreb (1984) and Rolando (1982) for the same tit species in similar forests consisting predominantly of pedunculate oak, common ash, and poplars. The three species almost exclusively used trees of intermediate or rough bark structure, such as common ash, sycamore maple, and pedunculate oak.
Studies by Fraticelli and Guerrieri (1988) carried out in a Mediterranean oak-dominated forest and that conducted by Karpińska et al. (2023) in a temperate primeval lime-oak-hornbeam and ash-alder forests showed that tree trunks and bark contributed less to the foraging properties of tit species. In the floodplain forests of our study area, all tit species were observed foraging on both the limbs and the trunk. The fact that bark roughness had a significant effect on both great and blue tits suggests that this variable plays an important role in some forest types.
According to MacFarlane and Luo (2009), who measured bark roughness of individual trees belonging to different species in an old-growth natural hardwood forest in Michigan, USA, bark roughness of individual tree species correlated with the stem DBH, suggesting that tree aging increases the amount of microhabitats for bark-living arthropods. As more fissured bark structures can harbor more arthropod prey for bark-foraging birds (Jackson 1979), it is crucial to conserve old forest stands or apply forest management practices for retaining old, aging tree individuals in commercial forests, such as green tree retention (Machar et al. 2019).

Conclusions

Although the varieties of tree species used were overlapped among bird species, our study indicated a highly complex and unfragmented network of interactions among birds and tree species, where, as we predicted, some avian species were more generalist, preferring a wider variety of tree species, while others were more specialized and favored a subset of tree species. Hence, we suggest that changes in these highly diverse floodplain forest stands, e.g., decreasing level of the groundwater table or the proliferation of invasive tree species, will also lead to changes in the composition of tree-foraging bird communities by influencing competition for resources between species and their foraging niches (Lara et al. 2015; Mansor and Ramli 2017). For the resilience of these bird-tree relationships, protecting such highly diverse floodplain forest ecosystems, conservation-based water management practices would be crucial to maintaining at least near-natural hydrological dynamics with a sufficient level of the groundwater table, with the requirements of our aforementioned key tree species in mind (Klimo et al. 2013; Souter et al. 2014). Apart from the preference for tree species, the three tree characteristics examined in this study (conditions, DBH, and bark roughness) were all crucial for the winter foraging ecology of the avian species examined. Nevertheless, while tree condition was mostly influential for the between-species differences, stem DBH and bark roughness were highly important factors for tree choice of almost all taxa. Our findings also send a strong message to navigate forest management practices toward more diverse commercial forest stands with an essential amount of secondary tree species, a variety of trunk diameters, tree conditions, and bark roughness classes (Hanzelka and Reif 2016; O’Connell et al. 2012; Ónodi et al. 2022).

Acknowledgements

We would like to express our gratitude for the essential supporting work of the Donau-Auen National Park, namely to Christian Baumgartner and Karoline Zsak, and also for the help of the Austrian Federal Forests, namely to Monika Kanzian and Jakob Hagenauer. Martin Korňan made great pieces of expert advice for the first version of the manuscript. György Csóka and Tibor Kovács provided helpful information on wood-boring insects of Ailanthus altissima. The authors would like to thank Eric L. Walters for his help in language editing.

Declarations

Competing interests

The authors declare no competing interests.

Competing interests

The authors declare no conflict of interest. The funders had no role in the design of the study; in the collection, analyses, or interpretation of data; in the writing of the manuscript; or in the decision to publish the results.
Open Access This article is licensed under a Creative Commons Attribution 4.0 International License, which permits use, sharing, adaptation, distribution and reproduction in any medium or format, as long as you give appropriate credit to the original author(s) and the source, provide a link to the Creative Commons licence, and indicate if changes were made. The images or other third party material in this article are included in the article's Creative Commons licence, unless indicated otherwise in a credit line to the material. If material is not included in the article's Creative Commons licence and your intended use is not permitted by statutory regulation or exceeds the permitted use, you will need to obtain permission directly from the copyright holder. To view a copy of this licence, visit http://creativecommons.org/licenses/by/4.0/.

Publisher's Note

Springer Nature remains neutral with regard to jurisdictional claims in published maps and institutional affiliations.
Download
Titel
The importance of tree species identity and trait-based winter foraging ecology of bark-foraging bird species in a large Central European floodplain forest
Verfasst von
Gabor Ónodi
Zoltán Botta-Dukát
Dániel Winkler
Christian H. Schulze
Publikationsdatum
27.04.2024
Verlag
Springer Netherlands
Erschienen in
Biodiversity and Conservation / Ausgabe 6-7/2024
Print ISSN: 0960-3115
Elektronische ISSN: 1572-9710
DOI
https://doi.org/10.1007/s10531-024-02852-7
Zurück zum Zitat Adamík P, Kornan M (2004) Foraging ecology of two bark foraging passerine birds in an old-growth temperate forest. Ornis Fenn 81(1):13–22
Zurück zum Zitat Adamík P, Kornan M, Vojtek J (2003) The effect of habitat structure on guild patterns and the foraging strategies of insectivorous birds in forests. Biologia-Bratislava 58(2):275–286
Zurück zum Zitat Adrion L (2016) Effects of structural heterogeneity of floodplain forests and hydrological dynamic on bird assemblages: a case study from the Donau-Auen National Park (Eastern Austria). Thesis, University of Vienna, Vienna, MSc
Zurück zum Zitat Alatalo R (1978) Resource partitioning in Finnish woodpeckers. Ornis Fenn 55:49–59
Zurück zum Zitat Alberti G (2020) GmAMisc: ’Gianmarco Alberti’ Miscellaneous. R Package Version 1(1):1
Zurück zum Zitat Allen CD, Macalady AK, Chenchouni H, Bachelet D, McDowell N, Vennetier M, Kitzberger T, Rigling A, Breshears DD, Hogg EH, Gonzalez P, Fensham R, Zhang Z, Castro J, Demidova N, Lim J-H, Allard G, Running SW, Semerci A, Cobb N (2010) A global overview of drought and heat-induced tree mortality reveals emerging climate change risks for forests. For Ecol Manag 259(4):660–684CrossRef
Zurück zum Zitat Beltrán W, Wunderle JM (2013) Determinants of tree species preference for foraging by insectivorous birds in a novel Prosopis-Leucaena woodland in Puerto Rico: the role of foliage palatability. Biodivers Conserv 22:2071–2089. https://doi.org/10.1007/s10531-013-0529-xCrossRef
Zurück zum Zitat Bergner A, Sunnergren A, Yeşilbudak B, Erdem C, Jansson N (2016) Attributes of trees used by nesting and foraging woodpeckers (Aves: Picidae) in an area with old pollarded Oaks (Quercus spp.) in the Taurus Mountains, Turkey. Zool Middle East 62(4):288–298. https://doi.org/10.1080/09397140.2016.1226242
Zurück zum Zitat Borgatti SP (2002) NetDraw Software for Network Visualization. Lexington, USA, Analytic Technologies
Zurück zum Zitat Borgatti SP (2003) KeyPlayer. Boston, USA, Analytic Technologies
Zurück zum Zitat Borgatti SP (2006) Identifying Sets of Key Players in a Social Network. Comput Math Organ Theory 12:21–34. https://doi.org/10.1007/s10588-006-7084-xCrossRef
Zurück zum Zitat Borgatti SP, Everett MG, Freeman LC (2002) Ucinet 6 for Windows. Software for Social Network Analysis. Harvard, USA, Analytic Technologies
Zurück zum Zitat Brauze T, Zieliński J (2006) Are winter species composition and abundance censuses of birds in small urban green areas comparable? Acta Ornithol 41:93–101. https://doi.org/10.3161/068.041.0205CrossRef
Zurück zum Zitat Broughton RK, Bellamy PE, Hill RA, Hinsley SA (2014) Winter habitat selection by marsh tits Poecile palustris in a British woodland. Bird Stud 61:404–412. https://doi.org/10.1080/00063657.2014.934193CrossRef
Zurück zum Zitat Buba T, Danmallam BA (2019) Effects of tree size and bark roughness of Parkia biglobosa on Lichen colonization in Amurum forest reserve: implication for conservation. Science Forum. J Pure Appl Sci 17:73–83. https://doi.org/10.5455/sf.32286CrossRef
Zurück zum Zitat Buitrón-Jurado G, Sanz V (2021) Specialization increases in a frugivorous bird–plant network from an isolated montane forest remnant. Community Ecol 22:261–274. https://doi.org/10.1007/s42974-021-00054-7CrossRef
Zurück zum Zitat Carpenter J (2008) An investigation of causes of population decline in the marsh tit Poecile palustris in Britain. Dissertation, University of Oxford
Zurück zum Zitat Castiglione S, Cicatelli A, Lupi R, Patrignani G, Fossati T, Brundu G, Sabatti M, Van Loo M, Lexere C (2010) Genetic structure and introgression in riparian populations of Populus alba L. Plant Biosyst 144:656–668. https://doi.org/10.1080/11263504.2010.496188CrossRef
Zurück zum Zitat Ceia RS, Ramos JA (2016a) Birds as predators of cork and holm oak pests. Agrofor Syst 90:159–176. https://doi.org/10.1007/s10457-014-9749-7CrossRef
Zurück zum Zitat Ceia RS, Ramos JA (2016b) Effects of dominant tree species on insectivorous birds breeding in Mediterranean oak woodlands. Bird Study 63:115–127. https://doi.org/10.1080/00063657.2015.1136264CrossRef
Zurück zum Zitat Chao A, Gotelli NJ, Hsieh TC, Sander EL, Ma KH, Colwell RK, Ellison AM (2014) Rarefaction and extrapolation with Hill numbers: a framework for sampling and estimation in species diversity studies. Ecol Monogr 84:45–67. https://doi.org/10.1890/13-0133.1CrossRef
Zurück zum Zitat Chao A, Ma KH, Hsieh TC (2016) iNEXT (iNterpolation and EXTrapolation) Online: Software for Interpolation and Extrapolation of Species Diversity. Program and User's Guide published at http://chao.stat.nthu.edu.tw/wordpress/software_download/inext-online/. Accessed 25 Nov 2021
Zurück zum Zitat Ciudad C, Robles H, Matthysen E (2009) Postfledging habitat selection of juvenile middle spotted woodpeckers: a multi-scale approach. Ecography 32:676–682. https://doi.org/10.1111/j.1600-0587.2009.05806.xCrossRef
Zurück zum Zitat Clouet M, Gerard JF (2019) Factors affecting the distribution of the sibling species of treecreepers Certhia familiaris and C. brachydactyla in the Pyrenees. J Ornithol 160:27–36. https://doi.org/10.1007/s10336-018-1605-5CrossRef
Zurück zum Zitat Cockle KL, Martin K, Robledo G (2012) Linking fungi, trees, and hole-using birds in a Neotropical tree-cavity network: pathways of cavity production and implications for conservation. For Ecol Manag 264:210–219. https://doi.org/10.1016/j.foreco.2011.10.015CrossRef
Zurück zum Zitat Cooper RJ, Wood LA, Gannon JJ, Wilson RR (2009) Effects of timber harvest and other factors on a floodplain forest indicator species, the prothonotary warbler. Wetlands 29:574–585. https://doi.org/10.1672/08-139.1CrossRef
Zurück zum Zitat Czeszczewik D (2010) Wide intersexual niche overlap of the specialized white-backed woodpecker Dendrocopos leucotos under the rich primeval stands in the Białowieża Forest, Poland. Ornis Pol 51:241–251
Zurück zum Zitat Domokos E, Cristea V (2014) Effects of managed forests structure on woodpeckers (Picidae) in the Niraj valley (Romania): woodpecker populations in managed forests. North-West J Zool 10:110–117
Zurück zum Zitat Duron Q, Jimenez JE, Vergara PM, Soto GE, Lizama M, Rozzi R (2018) Intersexual segregation in foraging microhabitat use by Magellanic woodpeckers (Campephilus magellanicus): Seasonal and habitat effects at the world’s southernmost forests. Austral Ecol 43:25–34. https://doi.org/10.1111/aec.12531CrossRef
Zurück zum Zitat Filek N, Cimadom A, Schulze CH, Jäger H, Tebbich S (2018) The impact of invasive plant management on the foraging ecology of the warbler finch (Certhidea olivacea) and the small tree finch (Camarhynchus parvulus) on Galápagos. J Ornithol 159:129–140. https://doi.org/10.1007/s10336-017-1481-4CrossRefPubMed
Zurück zum Zitat Franzreb BJ (1984) Patterns of habitat utilization in six species of European and American tits. Trans West Sec Wildlife Soc 20:81–88
Zurück zum Zitat Fraticelli F, Guerrieri M (1988) Aspects of the foraging niche of great tits Parus major, blue tits Parus caeruleus and long-tailed tits Aegithalos caudatus in a Mediterranean wood. Avocetta 122:71–82
Zurück zum Zitat Gabbe AP, Robinson SK, Brawn JD (2002) Tree-species preferences of foraging insectivorous birds: implications for floodplain forest restoration. Conserv Biol 16:462–470. https://doi.org/10.1046/j.1523-1739.2002.00460.xCrossRef
Zurück zum Zitat Gayk ZG, Lindsay AR (2012) Winter microhabitat foraging preferences of sympatric boreal and black–capped chickadees in Michigan’s Upper Peninsula. Wilson J Ornithol 124:820–824. https://doi.org/10.1676/1559-4491-124.4.820CrossRef
Zurück zum Zitat Gencsi L, Vancsura R (2002) Dendrológia. Mezőgazda Kiadó, Budapest (in Hungarian)
Zurück zum Zitat Gorman G (2004) Woodpeckers of Europe: a study of the European Picidae. Bruce Coleman Ltd., Chalfont St Peter, UK
Zurück zum Zitat Graves S, Piepho H-P, Selze L, Dorai-Raj LS (2024) ‘multcompView’ R package version 0.1–10. https://cran.r-project.org/web/packages/multcompView/. Accessed 17 Jan 2022
Zurück zum Zitat Haftorn S (1993) Is the coal tit Parus ater really the most subordinate of the Scandinavian tits? Ornis Scand 24:335–338. https://doi.org/10.2307/3676798CrossRef
Zurück zum Zitat Hammer Ø, Harper DA, Ryan PD (2001) PAST: Paleontological statistics software package for education and data analysis. Palaeontol Electron 4(1):1–9
Zurück zum Zitat Hammond RL, Theimer TC (2020) A review of tree–scale foraging ecology of insectivorous bark–foraging woodpeckers in North America. For Ecol Manag 478:118516. https://doi.org/10.1016/j.foreco.2020.118516CrossRef
Zurück zum Zitat Hanzelka J, Reif J (2016) Effects of vegetation structure on the diversity of breeding bird communities in forest stands of non-native black pine (Pinus nigra A.) and black locust (Robinia pseudoacacia L.) in the Czech Republic. For Ecol Manag 379:102–113. https://doi.org/10.1016/j.foreco.2016.08.017CrossRef
Zurück zum Zitat Havrdová A, Douda J, Doudová J (2023) Threats, biodiversity drivers and restoration in temperate floodplain forests related to spatial scales. Sci Total Environ 854:158743. https://doi.org/10.1016/j.scitotenv.2022.158743CrossRefPubMed
Zurück zum Zitat Hemery GE, Clark JR, Aldinger E, Claessens H, Malvolti ME, O’connor E, Raftoyannis Y, Savill PS, Brus R (2010) Growing scattered broadleaved tree species in Europe in a changing climate: a review of risks and opportunities. Forestry 83(1):65–81. https://doi.org/10.1093/forestry/cpp034CrossRef
Zurück zum Zitat Holmes RT, Robinson SK (1981) Tree species preferences of foraging insectivorous birds in a northern hardwoods forest. Oecologia 48:31–35. https://doi.org/10.1007/BF00346985CrossRefPubMed
Zurück zum Zitat Holmes RT, Schultz JC (1988) Food availability for forest birds: effects of prey distribution and abundance on bird foraging. Can J Zool 66(3):720–728. https://doi.org/10.1139/z88-107CrossRef
Zurück zum Zitat Hönigsberger B (2017) Wintering birds in floodplain forests – Effects of vegetation structure and landscape composition on species assemblages. Thesis, University of Vienna, Vienna, MSc
Zurück zum Zitat Jackson JA (1970) A quantitative study of the foraging ecology of downy woodpeckers. Ecology 51(2):318–323. https://doi.org/10.2307/1933671CrossRef
Zurück zum Zitat Jackson JA (1979) Tree surfaces as foraging substrates for insectivorous birds. In: Dickson JG, Conner RG, Fleet RR, Jackson JA, Kroll JC (eds) The role of insectivorous birds in forest ecosystems. Academic Press, New York, pp 69–93CrossRef
Zurück zum Zitat Karpińska O, Kamionka-Kanclerska K, Czortek P, Dyderski MK, Czeszczewik D (2023) Spatial niche segregation between bird species in the Białowieża primeval forest (NE Poland). Forest Ecosystems 10:100129. https://doi.org/10.1016/j.fecs.2023.100129CrossRef
Zurück zum Zitat Kassambara A (2019) Practical Statistics in R II - Comparing groups: Numerical variables. Datanovia, Alhambra CA
Zurück zum Zitat Kirsch EM, Wellik MJ (2017) Tree species preferences of foraging songbirds during spring migration in floodplain forests of the Upper Mississippi River. Am Midl Nat 177:226–249. https://doi.org/10.1674/0003-0031-177.2.226CrossRef
Zurück zum Zitat Klimo E, Kulhavý J, Prax A, Menšík L, Hadaš P, Mauer O (2013) Functioning of South Moravian floodplain forests (Czech Republic) in forest environment subject to natural and anthropogenic change. Int J For Res 248749. https://doi.org/10.1155/2013/248749
Zurück zum Zitat Korňan M, Adamík P (2017) Tree species preferences of foraging insectivorous birds in a primeval mountain mixed forest: implications for management. Scand J For Res 32:671–678. https://doi.org/10.1080/02827581.2017.1299211CrossRef
Zurück zum Zitat Kovács T (1995) Data to the long-horned beetle fauna of Szigetköz, Mosoni-Síkság and Észak-Hanság (Coleoptera, Cerambycidae). Folia Ent Hung 56:57–67
Zurück zum Zitat Kovács T (1997) Magyarországi cincérek tápnövény- és lelőhelyadatai II. (Coleoptera, Cerambycidae). Fol Hist-Nat Mus Matr 22:247–255
Zurück zum Zitat Kovács T, Gebei L (2021) Ritka és természetvédelmi szempontból jelentős bogarak (Coleoptera) a Hortobágyi Nemzeti Park Igazgatóság működési területéről. Fol Hist-Nat Mus Matr 44:103–135
Zurück zum Zitat Kumar R, Shahabuddin G, Kumar A (2020) Foraging niche differentiation among sympatric woodpecker species in forests of North-Western India. Acta Ornithol 55:88–100. https://doi.org/10.3161/00016454AO2020.55.1.009CrossRef
Zurück zum Zitat Lammertink JM (2007) Community ecology and logging responses of Southeast Asian woodpeckers (Picidae, Aves). Dissertation, University of Amsterdam
Zurück zum Zitat Lara C, Pérez B, Castillo-Guevara C, Serrano-Meneses MA (2015) Niche partitioning among three tree-climbing bird species in subtropical mountain forest sites with different human disturbance. Zool Stud 54:1–7. https://doi.org/10.1186/s40555-015-0106-yCrossRef
Zurück zum Zitat Li N, Wang Z, Zhang S, Yan C, Li X, Lu C (2019) Importance of bird traits for seed dispersal patterns of co-fruiting trees in a patchy forest. Integr Zool 14:470–478. https://doi.org/10.1111/1749-4877.12374CrossRefPubMed
Zurück zum Zitat Loehle C, Rittenhouse LR (1982) An analysis of forage preference indices. J Range Manage 35:316–319CrossRef
Zurück zum Zitat Lorenz TJ, Vierling KT, Kozma JM, Millard JE (2016) Foraging plasticity by a keystone excavator, the white-headed woodpecker, in managed forests: Are there consequences for productivity? For Ecol Manag 363:110–119. https://doi.org/10.1016/j.foreco.2015.12.021CrossRef
Zurück zum Zitat MacFarlane DW, Luo A (2009) Quantifying tree and forest bark structure with a bark-fissure index. Can J For Res 39(10):1859–1870. https://doi.org/10.1139/X09-098CrossRef
Zurück zum Zitat Machar I (2011) The impact of floodplain forest habitat conservation on the structure of birds breeding communities. Ekológia 30:36–50. https://doi.org/10.4149/ekol_2011_01_36CrossRef
Zurück zum Zitat Machar I, Schlossarek M, Pechanec V, Uradnicek L, Praus L, Sıvacıoğlu A (2019) Retention forestry supports bird diversity in managed, temperate hardwood floodplain forests. Forests 10(4):300. https://doi.org/10.3390/f10040300CrossRef
Zurück zum Zitat MacNally RC (1983) On assessing the significance of interspecific competition to guild structure. Ecology 64(6):1646–1652. https://doi.org/10.2307/1937517CrossRef
Zurück zum Zitat Mansor MS, Ramli R (2017) Foraging niche segregation in Malaysian babblers (Family: Timaliidae). PLoS ONE 12:e0172836. https://doi.org/10.1371/journal.pone.0172836CrossRefPubMedPubMedCentral
Zurück zum Zitat Martínez-García V, González O, Ortiz-Pulido R (2020) Hummingbird-Plant Network in a Lowland Dry Forest in Yucatan, Mexico. Trop Conserv Sci 13:1–12. https://doi.org/10.1177/1940082920973830CrossRef
Zurück zum Zitat Michielsen RJ, Żmihorski M, Pärt T, Walesiak M, Mikusiński G (2024) Seasonal patterns of habitat use of resident birds in Białowieża Forest and its links to post-disturbance management. For Ecol Manage 554:121669. https://doi.org/10.1016/j.foreco.2023.121669CrossRef
Zurück zum Zitat Mölder A, Schneider E (2011) On the beautiful diverse Danube? Danubian floodplain forest vegetation and flora under the influence of river eutrophication. River Res Appl 27:881–894. https://doi.org/10.1002/rra.1403CrossRef
Zurück zum Zitat Nagl C, Schulze CH (2017) Population density and habitat preferences in a Tawny Owl Strix aluco population in floodplain forests in Eastern Austria. In: 6th Symposium for Research in Protected Areas. Salzburger Nationalparkfonds, Mittersill, pp 441–444. https://doi.org/10.1553/np_symposium2017
Zurück zum Zitat Nappi A, Drapeau P, Leduc A (2015) How important is dead wood for woodpeckers foraging in eastern North American boreal forests? For Ecol Manag 346:10–21. https://doi.org/10.1016/j.foreco.2015.02.028CrossRef
Zurück zum Zitat O’Connell S, Irwin S, Wilson MW, Sweeney OFM, Kelly TC, O’Halloran J (2012) How can forest management benefit bird communities? Evidence from eight years of research in Ireland. Irish For 69(1–2):44–57
Zurück zum Zitat Ónodi G, Csiszár Á, Botta-Dukát Z, Csörgő T, Winkler D (2021) Intersexual segregation in winter foraging of great spotted woodpecker Dendrocopos major in riparian forests infested with invasive tree species. Scand J For Res 36:354–363. https://doi.org/10.1080/02827581.2021.1943516CrossRef
Zurück zum Zitat Ónodi G, Botta-Dukát Z, Winkler D, Rédei T (2022) Endangered lowland oak forest steppe remnants keep unique bird species richness in Central Hungary. J For Res 33:343–355. https://doi.org/10.1007/s11676-021-01317-9CrossRef
Zurück zum Zitat Osborne WS, Green K (1992) Seasonal changes in composition, abundance and foraging behaviour of birds in the Snowy Mountains. Emu Austral Ornithol 92(2):93–105. https://doi.org/10.1071/MU9920093CrossRef
Zurück zum Zitat Osiejuk TS (1998) Study on the intersexual differentiation of foraging niche in relation to abundance of winter food in great spotted woodpecker Dendrocopos major. Acta Ornithol 33:135–141
Zurück zum Zitat Pasinelli G (2000) Sexual dimorphism and foraging niche partitioning in the middle spotted woodpecker Dendrocopos medius. Ibis 142:635–644. https://doi.org/10.1111/j.1474-919X.2000.tb04463.xCrossRef
Zurück zum Zitat Pierson JC, Mills LS, Christian DP (2010) Foraging patterns of cavity-nesting birds in fire-suppressed and prescribe-burned ponderosa pine forests in Montana. Open Environ Sci 4:41–52. https://doi.org/10.2174/1876325101004010041CrossRef
Zurück zum Zitat Proença VM, Pereira HM, Guilherme J, Vicente L (2010) Plant and bird diversity in natural forests and in native and exotic plantations in NW Portugal. Acta Oecol 36:219–226. https://doi.org/10.1016/j.actao.2010.01.002CrossRef
Zurück zum Zitat Quadt V, Oitzinger G, Zsak K (2016) Management of invasive tree species in the Donau-Auen National Park, Austria. In: Krumm F, Vítková L (eds) Introduced tree species in European forests: opportunities and challenges. German Federal Ministry of Food and Agriculture, Bonn, pp 404–411
Zurück zum Zitat R Core Team (2022) R: A Language and environment for statistical computing. https://www.r-project.org/. Accessed on 1 February 2022
Zurück zum Zitat Robles H, Ciudad C, Matthysen E (2011) Tree–cavity occurrence, cavity occupation and reproductive performance of secondary cavity–nesting birds in oak forests: the role of traditional management practices. For Ecol Manag 261:1428–1435. https://doi.org/10.1016/j.foreco.2011.01.029CrossRef
Zurück zum Zitat Rolando A (1982) Ecological isolation in the genus Parus in natural and modified habitats of Northern Italy. Ital J Zool 49:155–164. https://doi.org/10.1080/11250008209439383CrossRef
Zurück zum Zitat Saccone P, Brun JJ, Michalet R (2010) Challenging growth–survival trade–off: a key for Acer negundo invasion in European floodplains? Can J For Res 40:1879–1886. https://doi.org/10.1139/X10-134CrossRef
Zurück zum Zitat Schneider E, Dister E, Döpke M (2009) Lower Danube green corridor atlas. Kraft-Druck, Ettlingen
Zurück zum Zitat Schneider-Binder E (2009) Floodplain forests along the lower Danube. Transylv Rev Syst Ecol Res 8:113–136
Zurück zum Zitat Schnitzler A, Hale BW, Alsum EM (2007) Examining native and exotic species diversity in European riparian forests. Biol Conserv 138:146–156. https://doi.org/10.1016/j.biocon.2007.04.010CrossRef
Zurück zum Zitat Skórka P, Wójcik JD (2003) Winter bird communities in a managed mixed oak-pine forest (Niepołomice Forest, southern Poland). Acta Zool Cracov 46:29–41
Zurück zum Zitat Souter NJ, Wallace T, Walter M, Watts R (2014) Raising river level to improve the condition of a semi-arid floodplain forest. Ecohydrology 7(2):334–344. https://doi.org/10.1002/eco.1351CrossRef
Zurück zum Zitat St-Amand J, Tremblay JA, Martin K (2018) Foraging ecology of the Williamson’s sapsucker: Implications for forest management. Condor 120:680–702. https://doi.org/10.1650/CONDOR-17-238.1CrossRef
Zurück zum Zitat Stański T, Czeszczewik D, Stańska M, Walankiewicz W (2020) Foraging behaviour of the great spotted woodpecker Dendrocopos major in relation to sex in primeval stands of the Białowieża National Park. Acta Ornithol 55:120–128. https://doi.org/10.3161/00016454AO2020.55.1.012CrossRef
Zurück zum Zitat Stański T, Czeszczewik D, Stański M, Walankiewicz W (2021a) Anvils of the great spotted woodpecker (Dendrocopos major) in primeval oak–lime–hornbeam stands of the Białowieża National Park. Eur Zool J 88:1–8. https://doi.org/10.1080/24750263.2020.1844324CrossRef
Zurück zum Zitat Stański T, Stańska M, Goławski A, Czeszczewik D (2021b) Foraging site selection of the middle spotted woodpecker (Leiopicus medius Linnaeus) in primeval oak–lime–hornbeam forest of the Białowieża National Park: comparison of breeding and non–breeding seasons. Forests 12:837. https://doi.org/10.3390/f12070837CrossRef
Zurück zum Zitat Suhonen J, Alatalo RV, Gustafsson L (1994) Evolution of foraging ecology in Fennoscandian tits (Parus spp.). Proc Roy Soc London Ser B Biol Sci 258:127–131. https://doi.org/10.1098/rspb.1994.0152CrossRef
Zurück zum Zitat Swamidoss PD, Sudhakaran MR, Parvathiraj P (2012) Habitat preference of microchiropteran bats in three districts of Tamilnadu, South India. Int Res J Biol Sci 1:24–30
Zurück zum Zitat Török J (1990) Resource partitioning among three woodpecker species Dendrocopos spp. during the breeding season. Holarctic Ecol 13:257–264. https://doi.org/10.1111/j.1600-0587.1990.tb00617.xCrossRef
Zurück zum Zitat Travis J (1977) Seasonal foraging in a downy woodpecker population. Condor 79(3):371–375. https://doi.org/10.2307/1368015CrossRef
Zurück zum Zitat Triest L (2001) Hybridization in staminate and pistillate Salix alba and S. fragilis (Salicaceae): morphology versus RAPDs. Plant Syst Evol 226:143–154. https://doi.org/10.1007/s006060170062CrossRef
Zurück zum Zitat Unno A (2002) Tree species preferences of insectivorous birds in a Japanese deciduous forest: the effect of different foraging techniques and seasonal change of food resources. Ornithol Sci 1(2):133–142. https://doi.org/10.2326/osj.1.133CrossRef
Zurück zum Zitat Venturas MD, Lopez Rodriguez RA, Perea García-calvo R, Fernandez Fernandez V, Guzman Delgado P, Rodriguez Calcerrada J, Miranda E, Domínguez J, González-Gordaliza G, Zafra E, Fajardo-Alcántara M, Martín JA, Ennos R, Nanos N, Lucena JJ, Iglesias S, Collada C, Gil L (2014) Ulmus laevis in the Iberian Peninsula: a review of its ecology and conservation. IForest 8(2):1–8. https://doi.org/10.3832/ifor1201-008CrossRef
Zurück zum Zitat Wickham H (2016) ggplot2: Elegant Graphics for Data Analysis, 2nd edn. Springer-Verlag, New YorkCrossRef
Zurück zum Zitat Wickham H, Averick M, Bryan J, Chang W, McGowan LD, François R, Grolemund G, Hayes A, Henry L, Hester J, Kuhn M, Pedersen TL, Miller E, Bache SM, Müller K, Ooms J, Robinson D, Seidel DP, Spinu V, Takahashi K, Vaughan D, Wilke C, Woo K, Yutani H (2019) Welcome to the tidyverse. J Open Source Softw 4(43):1686. https://doi.org/10.21105/joss.01686CrossRef
Zurück zum Zitat Wickham H, Bryan J (2023) R packages, 2nd edn. O’Reilly Media, Sebastopol